Precipitation titration
Nirmal raj marasine
pharmacist
cmc
8/26/2015 1
Precipitation titration
The titration in which precipitation reactions takes
place is called precipitation titration .for eg
:titration of AgN03 with halide ions such as Cl or I
O Br
 Solubility product
the product of molar concentration of ions
raised to the power equal to its stoichiometric
coefficient presents in the ionic equation In
saturated solution at a fixed tempreature is called
solubility product.
8/26/2015 2
• It is donated by Ksp
• SOLUBILITY :
The molar concentration of solute dissolved in
solution at saturated condition at any
temperature is called solubility .for eg :
out of 5 moles of solute ,suppose 2moles of solute
is ionized in a one liter solution at any fixed
temperature .therefore ,here solubility of solute
is equal to 2moleslit.
8/26/2015 3
Principle of precipitation
• The product of concentrations of ions presents in
a solution at any fixed temperature is called ionic
product of the salt
• It is denoted by Q
• If the solution is saturated solution then the ionic
product is called solubility product of the salt
• “if the ionic product of the salt is greater than
that its solubility product value then the
preciptation of the salt takes place otherwise
not,this is called the principle of precipitation “
8/26/2015 4
Depending upon the values of ionic product, the
solutions can be classified into three different
categories as follows:
i. Q=Ksp ,the solution is just saturated and no
precipitation takes place .
ii. If Q>Ksp ,the solution is supersaturated and
precipitation takes place
iii. If Q<Ksp ,the solution is unsaturated and more
of the solute can dissolve .so no precipitation
takes place at this condition
8/26/2015 5
Factors affecting the solubility of
precipitate
a) Effect of tempreature :
with increased temperature solubility of
precipitate increases
b) Effect of solvent :
solubility of inorganic salt is reduced by addition
of organic solvent such as ethanol ,methanol
,propanol ,and acetone .
• but in presence of only water ,hydration of ions
of salt increases due to the high dipole moment
of water molecule .
8/26/2015 6
• this hydration produces energy called
hydration energy which is sufficient to
overcome the attractive force between ion of
solid lattice .
• the ions in crystals do not have so large an
attraction for oraganic solvents ,and hence
the solubilities are usually less than in water
8/26/2015 7
c) Effect of acid :
The solubilityof the salt of weak acid is affected
by the addition of acid .
-hydrogen ion of added acid combines with the
anions of the salt and forms weak acid thereby
increasing the solubility of the salt .
d) Formation of complex ions :
The increase in solubility of a precipitate upon
adding excess precipitating agent is frequently
due to the formation of complex ion
8/26/2015 8
Argentometric titration (argentometry):
titration involving precipitation with a standard
solution of sliver nitrate is called argentometric
titration or argentometry
conditions required for argentometry :
 precipitates should be practically insoulble
Precipitation reactions should be rapid and
quantitative
8/26/2015 9
Precipitate should not interfere in the sharp
detection of the end point
Titration results should not differ apprecially due
to adorptions on the precipitate
Different methods involved in argentometry:
a) Mohr’s method
b) volhard’s method
c) Fajan’s method
8/26/2015 10
Mohr’s method
• A precipitaion titration in which sliver ion is used as
titrant and chromate ion as indicator is called mohr
method .
• This method is appplicable for the quantitative analysis
of halide ions (cl br and i)
THEORY:
Solubility product of ppt of sliver halide is greater than
that of sliver chromate so that solubility of sliver halide
becomes less than that of sliver chromate .there fore
,ppt of sliver halide is formed first than that of silver
chromate .
2 Ag+(aq) + CrO4
2–(aq) → Ag2CrO4(s)
8/26/2015 11
• For example ,in titration of AgN03 with Nacl in
presence of indicaor The chromate ion, CrO4
2–
Here initially AgN03 reacts with Nacl and
produce white ppt of Agcl
NaCl + AgNO3  AgCl + NaNO3
white ppt
8/26/2015 12
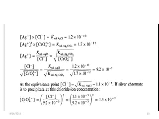
8/26/2015 13
• Therefore ,concentration of Ag2CrO4 should
be 0.014 M at end point of titrations but this
gives the intense yellow colour which interfere
the colour of end point .there fore ,generally
0003M-0.005M concentration of Ag2CrO4
is maintained at end point .
8/26/2015 14
precaution :
1) The titration must be carried out in ph range
of 6.5-9 (i.e neutral or slightly in alkaline)
2) In more alkaline medium sliver hydroxide may
be precipitated out
3) in acidic solution ,conccentration of chromate
ion decreases greatly as :
8/26/2015 15
In acidic medium due to the decrease in concentration of
brick red color can not seen at the end point of titration
4) In actual practice ,the concentration of chromate
produces an intense yellow color to such and extent
that the end point is masked .
-therefore ,normally 0.003 -0.005M concentration should
be employed in analytical procedures.
8/26/2015 16
Volhard’s method
• A precipitation titration in which Ag+ ion is
precipitated by SCN- (thiocyanate ions ) in
presence of Fe(lll) ions indicator in acidic
medium is called volhard method .
• i.e initially
Ag+(aq) + SCN–(aq) → AgSCN(s)
8/26/2015 17
• At end point
Fe3+(aq) + SCN–(aq) → [FeSCN]2+
reddish brown
• Here ,initially thiocyanate react with silver
ions and forms precipitate .at end point
,excess of thiocyanate (SCN-) react with Fe(lll)
and forms reddish brown complex which
indicate the end point of reaction .
8/26/2015 18
• This volhard method is used to determine the
concentration of Ag+ ions or concentration of
halide ions (i.e. CL-, Br-, I) indirectly i.e. by back
titration.
precautions:
During the titration in resulting solution
,concentration of nitric acid should be 0.5M-
1M.Here ,strong nitric acid is not used because it
prevents the formation of thiocyanate iron(lll)
complex .Here ,acidic medium prevents the
hydrolysis of Fe(lll) as Fe(0H)3
8/26/2015 19
The solution must be free from nitrous acid
otherwise it gives the instant red colouration
forming the thiocynic acid
Temperature of the solution must be
maintained below 250C since at an elevated
temperature the red colour of the ferric
thiocyanate complex fades away rapidly
8/26/2015 20
• When the excess of silver has reacted ,the
thiocyanate may react with the silver chloride
,since thiocyanate is less soluble than silver
chloride .
i.e AgCl + SCN–→ AgSCN + Cl–
this will take place before reaction occurs
with the iron (lll) ions in the solution ,so there
will be considerable titration error .
8/26/2015 21
Fajan’s method (indicator adsorption
method)
• The precipitation titration in which silver ions
is titrated with halide or thiocyanate ions in
presence of adsorption indicator is called
fajan’s method
• Since the adsorption of indicator takes place
at end point the method is also called
indicator adsorption method
• The indicator, which is a dye, exists in solution
as the ionized form, usually an anion
8/26/2015 22
• The method is generally used for the
quantitative analysis of halide ions or
thiocyanate ions .
• For eg :titration of Cl– ions with AgN03 in
presence of adsorption indicator .here AgN03
is kept in burette and the Cl– ion solution
with indicator is taken in titration flask
8/26/2015 23
a) Before the equivalence point :before the
eqv.point ,colloidal particles of AgCL are
negatively charged due to the adsorption of
Cl– from the solution . The adsorbed Cl–
from the primary layer which attract the
positively charged Na+ ions from the
solution to form a more loosely held
secondary layer as shown in figure
8/26/2015 24
8/26/2015 25
b) After the eqv.point ,excess of silver ions Ag+
displace the Cl– ions and form the primary layer
which attract the negatively charged nitrate ions
N03
– .
c) At the end point ,anion of indicator in (weak
organic acid or base )replace the negatively
charged ion N03
– from the second layer and
give the intense color .
- This intense color gives the end point of titration
8/26/2015 26
8/26/2015 27
Precautions:
The AgCL should not be allowed to coagulate into
large particles at the eqv.point since this will
greatly decrease the surface available for
adsoption of the indicator .
-A protective colloid such as dextrin should be
added to keep the precipitate highly dispersed .in
thepresence of dextrin the color change is
reversible and if the end point is overrun ,one can
back titrate `with a standard chloride solution .
8/26/2015 28
The adsorption of indicator should start just
before the eqv.point and increase rapidly at
the eqv.point .some unsuitable indicators are
so strongly adsorbed that they actually
displace the primary adsorbed ion well before
the eqv.point is reached
The pH of the titration medium must be
controlled to ensure a sufficient concentration
of the ion of the weak acid or base indicator ..
8/26/2015 29
• fluorescein for eg ,has a (Ka =10-7) and in
solutions more than acidic than pH 7 the
concentration of Fluorescein ions is so small that
no color change is observed .
- fluoresceion can be used only in the Ph range of
about 7 to 10
• It is preferable that the indicator ion be opposite
in charge to the ion added as the titrant
adsorption of the indicator will then not occur
untill excess titrant is present .
8/26/2015 30
Adsorption indicator
8/26/2015 31
Comparison of silver titration
methods
8/26/2015 32

Precipitation titration

  • 1.
    Precipitation titration Nirmal rajmarasine pharmacist cmc 8/26/2015 1
  • 2.
    Precipitation titration The titrationin which precipitation reactions takes place is called precipitation titration .for eg :titration of AgN03 with halide ions such as Cl or I O Br  Solubility product the product of molar concentration of ions raised to the power equal to its stoichiometric coefficient presents in the ionic equation In saturated solution at a fixed tempreature is called solubility product. 8/26/2015 2
  • 3.
    • It isdonated by Ksp • SOLUBILITY : The molar concentration of solute dissolved in solution at saturated condition at any temperature is called solubility .for eg : out of 5 moles of solute ,suppose 2moles of solute is ionized in a one liter solution at any fixed temperature .therefore ,here solubility of solute is equal to 2moleslit. 8/26/2015 3
  • 4.
    Principle of precipitation •The product of concentrations of ions presents in a solution at any fixed temperature is called ionic product of the salt • It is denoted by Q • If the solution is saturated solution then the ionic product is called solubility product of the salt • “if the ionic product of the salt is greater than that its solubility product value then the preciptation of the salt takes place otherwise not,this is called the principle of precipitation “ 8/26/2015 4
  • 5.
    Depending upon thevalues of ionic product, the solutions can be classified into three different categories as follows: i. Q=Ksp ,the solution is just saturated and no precipitation takes place . ii. If Q>Ksp ,the solution is supersaturated and precipitation takes place iii. If Q<Ksp ,the solution is unsaturated and more of the solute can dissolve .so no precipitation takes place at this condition 8/26/2015 5
  • 6.
    Factors affecting thesolubility of precipitate a) Effect of tempreature : with increased temperature solubility of precipitate increases b) Effect of solvent : solubility of inorganic salt is reduced by addition of organic solvent such as ethanol ,methanol ,propanol ,and acetone . • but in presence of only water ,hydration of ions of salt increases due to the high dipole moment of water molecule . 8/26/2015 6
  • 7.
    • this hydrationproduces energy called hydration energy which is sufficient to overcome the attractive force between ion of solid lattice . • the ions in crystals do not have so large an attraction for oraganic solvents ,and hence the solubilities are usually less than in water 8/26/2015 7
  • 8.
    c) Effect ofacid : The solubilityof the salt of weak acid is affected by the addition of acid . -hydrogen ion of added acid combines with the anions of the salt and forms weak acid thereby increasing the solubility of the salt . d) Formation of complex ions : The increase in solubility of a precipitate upon adding excess precipitating agent is frequently due to the formation of complex ion 8/26/2015 8
  • 9.
    Argentometric titration (argentometry): titrationinvolving precipitation with a standard solution of sliver nitrate is called argentometric titration or argentometry conditions required for argentometry :  precipitates should be practically insoulble Precipitation reactions should be rapid and quantitative 8/26/2015 9
  • 10.
    Precipitate should notinterfere in the sharp detection of the end point Titration results should not differ apprecially due to adorptions on the precipitate Different methods involved in argentometry: a) Mohr’s method b) volhard’s method c) Fajan’s method 8/26/2015 10
  • 11.
    Mohr’s method • Aprecipitaion titration in which sliver ion is used as titrant and chromate ion as indicator is called mohr method . • This method is appplicable for the quantitative analysis of halide ions (cl br and i) THEORY: Solubility product of ppt of sliver halide is greater than that of sliver chromate so that solubility of sliver halide becomes less than that of sliver chromate .there fore ,ppt of sliver halide is formed first than that of silver chromate . 2 Ag+(aq) + CrO4 2–(aq) → Ag2CrO4(s) 8/26/2015 11
  • 12.
    • For example,in titration of AgN03 with Nacl in presence of indicaor The chromate ion, CrO4 2– Here initially AgN03 reacts with Nacl and produce white ppt of Agcl NaCl + AgNO3  AgCl + NaNO3 white ppt 8/26/2015 12
  • 13.
  • 14.
    • Therefore ,concentrationof Ag2CrO4 should be 0.014 M at end point of titrations but this gives the intense yellow colour which interfere the colour of end point .there fore ,generally 0003M-0.005M concentration of Ag2CrO4 is maintained at end point . 8/26/2015 14
  • 15.
    precaution : 1) Thetitration must be carried out in ph range of 6.5-9 (i.e neutral or slightly in alkaline) 2) In more alkaline medium sliver hydroxide may be precipitated out 3) in acidic solution ,conccentration of chromate ion decreases greatly as : 8/26/2015 15
  • 16.
    In acidic mediumdue to the decrease in concentration of brick red color can not seen at the end point of titration 4) In actual practice ,the concentration of chromate produces an intense yellow color to such and extent that the end point is masked . -therefore ,normally 0.003 -0.005M concentration should be employed in analytical procedures. 8/26/2015 16
  • 17.
    Volhard’s method • Aprecipitation titration in which Ag+ ion is precipitated by SCN- (thiocyanate ions ) in presence of Fe(lll) ions indicator in acidic medium is called volhard method . • i.e initially Ag+(aq) + SCN–(aq) → AgSCN(s) 8/26/2015 17
  • 18.
    • At endpoint Fe3+(aq) + SCN–(aq) → [FeSCN]2+ reddish brown • Here ,initially thiocyanate react with silver ions and forms precipitate .at end point ,excess of thiocyanate (SCN-) react with Fe(lll) and forms reddish brown complex which indicate the end point of reaction . 8/26/2015 18
  • 19.
    • This volhardmethod is used to determine the concentration of Ag+ ions or concentration of halide ions (i.e. CL-, Br-, I) indirectly i.e. by back titration. precautions: During the titration in resulting solution ,concentration of nitric acid should be 0.5M- 1M.Here ,strong nitric acid is not used because it prevents the formation of thiocyanate iron(lll) complex .Here ,acidic medium prevents the hydrolysis of Fe(lll) as Fe(0H)3 8/26/2015 19
  • 20.
    The solution mustbe free from nitrous acid otherwise it gives the instant red colouration forming the thiocynic acid Temperature of the solution must be maintained below 250C since at an elevated temperature the red colour of the ferric thiocyanate complex fades away rapidly 8/26/2015 20
  • 21.
    • When theexcess of silver has reacted ,the thiocyanate may react with the silver chloride ,since thiocyanate is less soluble than silver chloride . i.e AgCl + SCN–→ AgSCN + Cl– this will take place before reaction occurs with the iron (lll) ions in the solution ,so there will be considerable titration error . 8/26/2015 21
  • 22.
    Fajan’s method (indicatoradsorption method) • The precipitation titration in which silver ions is titrated with halide or thiocyanate ions in presence of adsorption indicator is called fajan’s method • Since the adsorption of indicator takes place at end point the method is also called indicator adsorption method • The indicator, which is a dye, exists in solution as the ionized form, usually an anion 8/26/2015 22
  • 23.
    • The methodis generally used for the quantitative analysis of halide ions or thiocyanate ions . • For eg :titration of Cl– ions with AgN03 in presence of adsorption indicator .here AgN03 is kept in burette and the Cl– ion solution with indicator is taken in titration flask 8/26/2015 23
  • 24.
    a) Before theequivalence point :before the eqv.point ,colloidal particles of AgCL are negatively charged due to the adsorption of Cl– from the solution . The adsorbed Cl– from the primary layer which attract the positively charged Na+ ions from the solution to form a more loosely held secondary layer as shown in figure 8/26/2015 24
  • 25.
  • 26.
    b) After theeqv.point ,excess of silver ions Ag+ displace the Cl– ions and form the primary layer which attract the negatively charged nitrate ions N03 – . c) At the end point ,anion of indicator in (weak organic acid or base )replace the negatively charged ion N03 – from the second layer and give the intense color . - This intense color gives the end point of titration 8/26/2015 26
  • 27.
  • 28.
    Precautions: The AgCL shouldnot be allowed to coagulate into large particles at the eqv.point since this will greatly decrease the surface available for adsoption of the indicator . -A protective colloid such as dextrin should be added to keep the precipitate highly dispersed .in thepresence of dextrin the color change is reversible and if the end point is overrun ,one can back titrate `with a standard chloride solution . 8/26/2015 28
  • 29.
    The adsorption ofindicator should start just before the eqv.point and increase rapidly at the eqv.point .some unsuitable indicators are so strongly adsorbed that they actually displace the primary adsorbed ion well before the eqv.point is reached The pH of the titration medium must be controlled to ensure a sufficient concentration of the ion of the weak acid or base indicator .. 8/26/2015 29
  • 30.
    • fluorescein foreg ,has a (Ka =10-7) and in solutions more than acidic than pH 7 the concentration of Fluorescein ions is so small that no color change is observed . - fluoresceion can be used only in the Ph range of about 7 to 10 • It is preferable that the indicator ion be opposite in charge to the ion added as the titrant adsorption of the indicator will then not occur untill excess titrant is present . 8/26/2015 30
  • 31.
  • 32.
    Comparison of silvertitration methods 8/26/2015 32