Periodic Functions and
Fourier Series
Periodic Functions
A function

f  

is periodic

if it is defined for all real



and if there is some positive number,

T

such that

f   T   f   .
f

0

T
f

0

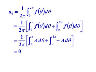
T
f

0

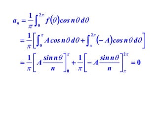
T
Fourier Series
f  

be a periodic function with period

2

The function can be represented by
a trigonometric series as:




n 1

n 1

f    a0   an cos n   bn sin n




n 1

n 1

f    a0   an cos n   bn sin n
What kind of trigonometric (series) functions
are we talking about?

cos  , cos 2 , cos 3  and
sin , sin 2 , sin 3 
0

0

cos

cos

cos
0

0

sin

sin

sin
We want to determine the coefficients,

an

and

bn

.

Let us first remember some useful
integrations.
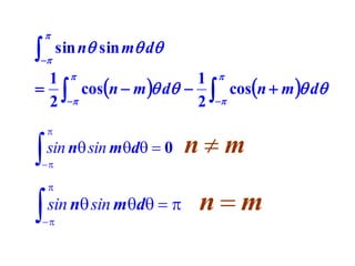
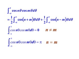


  cos n cos m d


1 
1 
  cosn  m  d   cosn  m  d
2 
2 





cos n cos md  0

nm







cos n cos md  



nm


  sin n cos m d


1 
1 
  sinn  m  d   sinn  m  d
2 
2 





sin n cos md  0



for all values of m.


  sin n sin m d


1 
1 
  cosn  m  d   cosn  m  d
2 
2 





sin n sin md  0







sin n sin md  



nm

nm
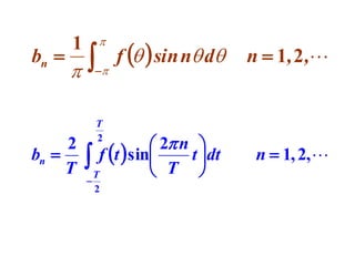
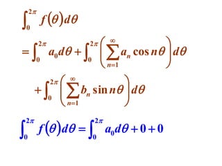
Determine

a0

Integrate both sides of (1) from



to



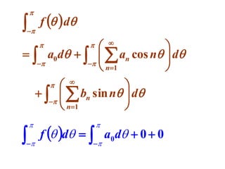
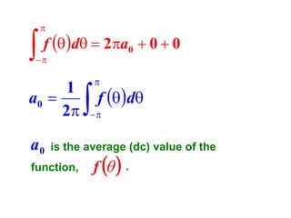


  f  d






  a0   an cos n   bn sin n  d

n1
n 1






  f   d




  a0d     an cos n  d


 
 n 1









    bn sin n  d

 
 n 1









  f  d    a d  0  0




0




f d  2a0  0  0



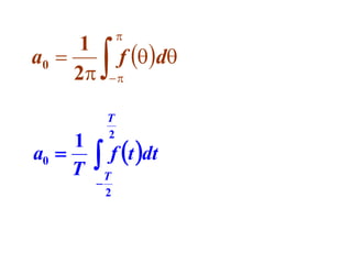
1
a0 
2

a0





f d



is the average (dc) value of the

function,

f   .
You may integrate both sides of (1) from

0



to

2

instead.

f   d

0



2

2

0



a0   an cos n   bn sin n  d
n 1
n 1






It is alright as long as the integration is
performed over one period.


2

f   d

0

2

2

0

0

  a0d  


2

0



2

0



  an cos n  d


 n 1





  bn sin n  d


 n 1



2

f   d   a0d  0  0
0


2

0

f   d  2a0  0  0

1
a0 
2



2

0

f   d
Determine
Multiply (1) by

an

cos m

and then Integrate both sides from



to





  f   cos m d






  a0   an cos n   bn sin n  cos m d

n1
n1




Let us do the integration on the right-hand-side
one term at a time.
First term,





a0 cos m d  0



Second term,





  n 1

an cos n cos m d
Second term,




  a


n

cos n cos m d  am

n1

Third term,




b



n 1

n

sin n cos m d  0
Therefore,





f   cos m d  am

am 

1







f   cos m d

m  1, 2, 
Determine
Multiply (1) by

bn

sin m

and then Integrate both sides from



to





  f   sin m d






  a0   a n cos n   bn sin n  sin m d

n 1
n 1




Let us do the integration on the right-hand-side
one term at a time.
First term,





a0 sin m d  0

Second term,




  a


n 1

n

cos n sin m d
Second term,




  a


n 1

n

cos n sin m d  0

Third term,




b



n

n1

sin n sin m d  bm
Therefore,





f   sin md  bm

bm 

1







f   sin md

m  1, 2 ,
The coefficients are:

1
a0 
2





f d





am 

  f  cos m d


bm 

1

1









f   sin m d

m  1, 2, 

m  1, 2, 
We can write n in place of m:

1
a0 
2





f d





an 

  f  cos n d


bn 

1

1









f   sin n d

n  1, 2 ,

n  1, 2 ,
The integrations can be performed from

0

to

2

1
a0 
2



2

0

an 



2

bn 

1

2

1

0




0

instead.

f   d

f   cos n d

f   sin n d

n  1, 2 ,

n  1, 2 ,
Example 1. Find the Fourier series of
the following periodic function.
f

A

0

-A

f   A when 0    
  A when     2

f   2   f  
1 2
a0 
f   d
0
2
2
1  

f   d   f   d 
 0



2 
2
1  

A d    A d 
 0



2 
0
an 

1




2
0

f   cos n d

2
1 

A cos n d    A cos n d 
 0







2

1  sin n 
1
sin n 
 A
    A n   0

n 0


bn 

1



2
0

f   sin n d

2
1 

A sin n d    A sin n d 




  0



2

1
cos n 
1  cos n 
  A
 A

n 0  
n 


A
 cos n  cos 0  cos 2n  cos n 

n
A
 cos n  cos 0  cos 2n  cos n 
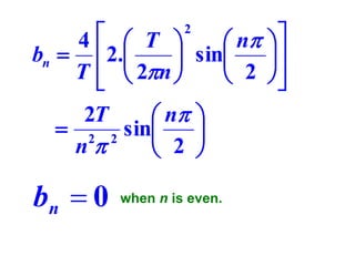
bn 
n
A
1  1  1  1

n
4A

when n is odd
n
A
 cos n  cos 0  cos 2n  cos n 
bn 
n
A
 1  1  1  1

n
 0 when n is even
Therefore, the corresponding Fourier series is

4A 
1
1
1

 sin  sin 3  sin 5  sin 7  
 
3
5
7

In writing the Fourier series we may not be
able to consider infinite number of terms for
practical reasons. The question therefore, is
– how many terms to consider?
When we consider 4 terms as shown in the
previous slide, the function looks like the
following.
1.5

1

0.5
f()

0

0.5

1

1.5

When we consider 6 terms, the function looks
like the following.
1.5

1

0.5
f()

0

0.5

1

1.5

When we consider 8 terms, the function looks
like the following.
1.5
1
0.5
f ( )

0

0.5
1
1.5

When we consider 12 terms, the function looks
like the following.
1.5

1

0.5
f()

0

0.5

1

1.5

The red curve was drawn with 12 terms and
the blue curve was drawn with 4 terms.
1.5

1

0.5

0

0.5

1

1.5


The red curve was drawn with 12 terms and
the blue curve was drawn with 4 terms.
1.5

1

0.5

0

0.5

1

1.5

0

2

4

6


8

10
The red curve was drawn with 20 terms and
the blue curve was drawn with 4 terms.
1.5

1

0.5

0

0.5

1

1.5

0

2

4

6


8

10
Even and Odd Functions
(We are not talking about even or
odd numbers.)
Even Functions
f(

Mathematically speaking -

f     f  

The value of the
function would
be the same
when we walk
equal distances
along the X-axis
in opposite
directions.
Odd Functions
f(

Mathematically speaking -

f      f  

The value of the
function would
change its sign
but with the
same magnitude
when we walk
equal distances
along the X-axis
in opposite
directions.
Even functions can solely be represented
by cosine waves because, cosine waves
are even functions. A sum of even
functions is another even function.
5

0

5
10

0


10
Odd functions can solely be represented by
sine waves because, sine waves are odd
functions. A sum of odd functions is another
odd function.
5

0

5
10

0


10
The Fourier series of an even function f  
is expressed in terms of a cosine series.


f    a0   an cos n
n 1

The Fourier series of an odd function f  
is expressed in terms of a sine series.


f     bn sin n
n 1
Example 2. Find the Fourier series of
the following periodic function.
f(x)

x
0

f x   x

2

when    x  

f   2   f  
1
a0 
2
1

2



1
f  x  dx 
2




x 

x 


3
3
  x  
3

2






2

x dx
an 

1







f  x  cos nx dx

1  2


x cos nxdx
 



Use integration by parts.
4
an  2 cos n
n
4
an   2
n

4
an  2
n

when n is odd

when n is even
This is an even function.
Therefore,

bn  0

The corresponding Fourier series is



cos 2 x cos 3 x cos 4 x


 4 cos x 


 
2
2
2
3
2
3
4


2
Functions Having Arbitrary Period

Assume that a function f t  has
period, T . We can relate angle
(  ) with time ( t ) in the following
manner.

  t
 is the angular frequency in radians per
second.
  2 f
f is the frequency of the periodic function,

f t 

  2 f t
Therefore,

where

2

t
T

1
f 
T
2

t
T

2
d 
dt
T

Now change the limits of integration.

  

2
 
t
T

T
t
2

 

2

t
T

T
t
2
1
a0 
2
1
a0 
T








f d



T
2

f t dt

T
2
an 

1






2
an 
T



T
2

f   cos n d

 2 n 
 Tf t cos T t dt



2

n  1, 2 ,

n  1, 2, 
bn 

1



f   sin n d

n  1, 2 ,

 2 n 
 Tf t sin T t dt




n  1, 2, 




2
bn 
T



T
2

2
Example 4. Find the Fourier series of
the following periodic function.
f(t)
3T/4

0
-T/2

t

T/4
T/2

T

2T

T
T
f t   t when   t 
4
4
T
T
3T
 t 
when
t
2
4
4
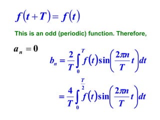
f t  T   f t 
This is an odd (periodic) function. Therefore,

an  0

2
 2n 
bn   f t  sin
t dt
T 0
 T 
T

4

T


0

T
2

 2n 
f t  sin
t dt
 T 
4
bn 
T
4

T

T
4

 2n 
t sin
t  dt
 T 
0
T
2

T   2n 

t dt
  t   sin
T 
2  T 
4

Use integration by parts.
  T 
 n
 sin
 2.
 2
  2n 

2T
 n 
 2 2 sin

n
 2 

4
bn 
T

bn  0

2

when n is even.





Therefore, the Fourier series is

2T
2


  2  1

 6  1
 10 
 sin  T t   2 sin  T t   2 sin  T t   
 3

 5


 

The Complex Form of Fourier Series




n 1

n 1

f    a0   an cos n   bn sin n
Let us utilize the Euler formulae.

cos  
sin 

e
e

j

j

e
2

 j

e
2i

 j
n

th harmonic component of (1) can be
The
expressed as:

an cos n  bn sin n
 an

 an

e

e

jn

jn

e
2

 jn

e
2

 jn

 bn

e

 ibn

jn

e

e
2i

jn

 jn

e
2

 jn
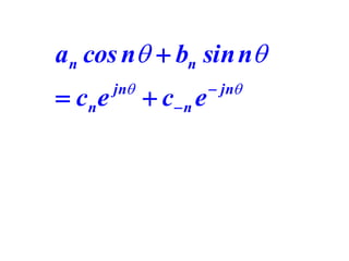
an cos n  bn sin n
 an  jbn  jn  an  jbn   jn

e  
e
2 
2 


Denoting

 a n  jb n
cn  

2

and

c0  a0






,

cn

 a n  jb n 


2


an cos n  bn sin n
 cn e

jn

 c n e

 jn
The Fourier series for
can be expressed as:




f  

f    c0   cne
n 1





c e
n

n 

jn

jn

 c ne

 jn


The coefficients can be evaluated in
the following manner.

 an  jbn 
cn  

2 

1 
j

 f  cos nd  2
2


1

2



1

2










  f  sin n d


f  cos n  j sin n d

f   e

 jn

d
 an  jbn 
c n  

2 

1 
j

 f  cos nd  2
2

1

2

1

2





  f  sin n d


  f  cos n  j sin n d




  f   e


jn

d
 an  jbn 
cn  

2 

Note that

cn .

cn

 an  jbn 
c n  

 2 

is the complex conjugate of

Hence we may write that

1
cn 
2





f e

 jn

d



.

n  0 ,  1,  2 , 
The complex form of the Fourier series of

f   with period

f   

2



c e

n  

n

is:

jn
Example 1. Find the Fourier series of
the following periodic function.
f

A

0

-A

f   A when 0    
  A when     2

f   2   f  
A  5
f ( x) 

A if 0  x  
A if   x  2 
0 otherwise

2

1 
A0 
 f ( x) dx
2 0
A0  0
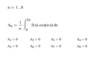
n  1  8
2

1 
An   f ( x) cos( nx) dx
 0
A1  0

A2  0

A3  0

A4  0

A5  0

A6  0

A7  0

A8  0
2

1 
Bn  
 0

f ( x) sin( nx) dx

B1  6.366

B2  0

B3  2.122

B4  0

B5  1.273

B6  0

B7  0.909

B8  0
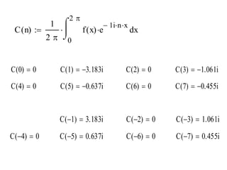
Comple x Form

f   



c e

1
cn 
2

jn

n

n  





f e  jnd



n  0,  1,  2,

2

1 
C ( n) 

2  0

 1i n  x

f ( x) e

dx
2

1 
C ( n) 

2  0

 1i n  x

f ( x) e

dx

C (0)  0

C (1)  3.183i

C (2)  0

C (3)  1.061i

C (4)  0

C (5)  0.637i

C (6)  0

C (7)  0.455i

C (1)  3.183i

C (2)  0

C (3)  1.061i

C (5)  0.637i

C (6)  0

C (7)  0.455i

C (4)  0

periodic functions and Fourier series

  • 1.
  • 2.
    Periodic Functions A function f  is periodic if it is defined for all real  and if there is some positive number, T such that f   T   f   .
  • 3.
  • 4.
  • 5.
  • 6.
    Fourier Series f  be a periodic function with period 2 The function can be represented by a trigonometric series as:   n 1 n 1 f    a0   an cos n   bn sin n
  • 7.
      n 1 n 1 f   a0   an cos n   bn sin n What kind of trigonometric (series) functions are we talking about? cos  , cos 2 , cos 3  and sin , sin 2 , sin 3 
  • 8.
  • 9.
  • 10.
    We want todetermine the coefficients, an and bn . Let us first remember some useful integrations.
  • 11.
       cosn cos m d  1  1    cosn  m  d   cosn  m  d 2  2    cos n cos md  0 nm    cos n cos md    nm
  • 12.
       sinn cos m d  1  1    sinn  m  d   sinn  m  d 2  2    sin n cos md  0  for all values of m.
  • 13.
       sinn sin m d  1  1    cosn  m  d   cosn  m  d 2  2    sin n sin md  0    sin n sin md    nm nm
  • 14.
    Determine a0 Integrate both sidesof (1) from  to     f  d        a0   an cos n   bn sin n  d  n1 n 1   
  • 15.
       f  d      a0d     an cos n  d      n 1           bn sin n  d     n 1        f  d    a d  0  0   0
  • 16.
      f d 2a0  0  0  1 a0  2 a0   f d  is the average (dc) value of the function, f   .
  • 17.
    You may integrateboth sides of (1) from 0  to 2 instead. f   d 0  2 2 0   a0   an cos n   bn sin n  d n 1 n 1     It is alright as long as the integration is performed over one period.
  • 18.
     2 f  d 0 2 2 0 0   a0d    2 0  2 0     an cos n  d    n 1       bn sin n  d    n 1   2 f   d   a0d  0  0 0
  • 19.
     2 0 f  d  2a0  0  0 1 a0  2  2 0 f   d
  • 20.
    Determine Multiply (1) by an cosm and then Integrate both sides from  to     f   cos m d        a0   an cos n   bn sin n  cos m d  n1 n1   
  • 21.
    Let us dothe integration on the right-hand-side one term at a time. First term,   a0 cos m d  0  Second term,      n 1 an cos n cos m d
  • 22.
    Second term,    a  n cos n cos m d  am n1 Third term,   b   n 1 n sin n cos m d  0
  • 23.
    Therefore,    f  cos m d  am am  1     f   cos m d m  1, 2, 
  • 24.
    Determine Multiply (1) by bn sinm and then Integrate both sides from  to     f   sin m d        a0   a n cos n   bn sin n  sin m d  n 1 n 1   
  • 25.
    Let us dothe integration on the right-hand-side one term at a time. First term,    a0 sin m d  0 Second term,     a  n 1 n cos n sin m d
  • 26.
    Second term,    a  n 1 n cos n sin m d  0 Third term,   b   n n1 sin n sin m d  bm
  • 27.
    Therefore,    f  sin md  bm bm  1     f   sin md m  1, 2 ,
  • 28.
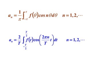
    The coefficients are: 1 a0 2   f d   am    f  cos m d  bm  1 1      f   sin m d m  1, 2,  m  1, 2, 
  • 29.
    We can writen in place of m: 1 a0  2   f d   an    f  cos n d  bn  1 1      f   sin n d n  1, 2 , n  1, 2 ,
  • 30.
    The integrations canbe performed from 0 to 2 1 a0  2  2 0 an   2 bn  1 2 1 0   0 instead. f   d f   cos n d f   sin n d n  1, 2 , n  1, 2 ,
  • 31.
    Example 1. Findthe Fourier series of the following periodic function. f A 0 -A f   A when 0       A when     2 f   2   f  
  • 32.
    1 2 a0  f  d 0 2 2 1    f   d   f   d   0    2  2 1    A d    A d   0    2  0
  • 33.
    an  1   2 0 f  cos n d 2 1   A cos n d    A cos n d   0      2 1  sin n  1 sin n   A     A n   0  n 0  
  • 34.
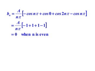
    bn  1  2 0 f  sin n d 2 1   A sin n d    A sin n d        0  2 1 cos n  1  cos n    A  A  n 0   n    A  cos n  cos 0  cos 2n  cos n   n
  • 35.
    A  cos n cos 0  cos 2n  cos n  bn  n A 1  1  1  1  n 4A  when n is odd n
  • 36.
    A  cos n cos 0  cos 2n  cos n  bn  n A  1  1  1  1  n  0 when n is even
  • 37.
    Therefore, the correspondingFourier series is 4A  1 1 1   sin  sin 3  sin 5  sin 7     3 5 7  In writing the Fourier series we may not be able to consider infinite number of terms for practical reasons. The question therefore, is – how many terms to consider?
  • 38.
    When we consider4 terms as shown in the previous slide, the function looks like the following. 1.5 1 0.5 f() 0 0.5 1 1.5 
  • 39.
    When we consider6 terms, the function looks like the following. 1.5 1 0.5 f() 0 0.5 1 1.5 
  • 40.
    When we consider8 terms, the function looks like the following. 1.5 1 0.5 f ( ) 0 0.5 1 1.5 
  • 41.
    When we consider12 terms, the function looks like the following. 1.5 1 0.5 f() 0 0.5 1 1.5 
  • 42.
    The red curvewas drawn with 12 terms and the blue curve was drawn with 4 terms. 1.5 1 0.5 0 0.5 1 1.5 
  • 43.
    The red curvewas drawn with 12 terms and the blue curve was drawn with 4 terms. 1.5 1 0.5 0 0.5 1 1.5 0 2 4 6  8 10
  • 44.
    The red curvewas drawn with 20 terms and the blue curve was drawn with 4 terms. 1.5 1 0.5 0 0.5 1 1.5 0 2 4 6  8 10
  • 45.
    Even and OddFunctions (We are not talking about even or odd numbers.)
  • 46.
    Even Functions f( Mathematically speaking- f     f   The value of the function would be the same when we walk equal distances along the X-axis in opposite directions.
  • 47.
    Odd Functions f( Mathematically speaking- f      f   The value of the function would change its sign but with the same magnitude when we walk equal distances along the X-axis in opposite directions.
  • 48.
    Even functions cansolely be represented by cosine waves because, cosine waves are even functions. A sum of even functions is another even function. 5 0 5 10 0  10
  • 49.
    Odd functions cansolely be represented by sine waves because, sine waves are odd functions. A sum of odd functions is another odd function. 5 0 5 10 0  10
  • 50.
    The Fourier seriesof an even function f   is expressed in terms of a cosine series.  f    a0   an cos n n 1 The Fourier series of an odd function f   is expressed in terms of a sine series.  f     bn sin n n 1
  • 51.
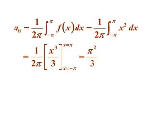
    Example 2. Findthe Fourier series of the following periodic function. f(x) x 0 f x   x 2 when    x   f   2   f  
  • 52.
    1 a0  2 1  2  1 f x  dx  2   x  x    3 3   x   3 2    2 x dx
  • 53.
    an  1     f x  cos nx dx 1  2   x cos nxdx      Use integration by parts.
  • 54.
    4 an  2cos n n 4 an   2 n 4 an  2 n when n is odd when n is even
  • 55.
    This is aneven function. Therefore, bn  0 The corresponding Fourier series is  cos 2 x cos 3 x cos 4 x    4 cos x      2 2 2 3 2 3 4   2
  • 56.
    Functions Having ArbitraryPeriod Assume that a function f t  has period, T . We can relate angle (  ) with time ( t ) in the following manner.   t  is the angular frequency in radians per second.
  • 57.
      2f f is the frequency of the periodic function, f t    2 f t Therefore, where 2  t T 1 f  T
  • 58.
    2  t T 2 d  dt T Now changethe limits of integration.    2   t T T t 2   2  t T T t 2
  • 59.
    1 a0  2 1 a0  T     fd  T 2 f t dt T 2
  • 60.
    an  1    2 an  T  T 2 f  cos n d  2 n   Tf t cos T t dt    2 n  1, 2 , n  1, 2, 
  • 61.
    bn  1  f  sin n d n  1, 2 ,  2 n   Tf t sin T t dt    n  1, 2,    2 bn  T  T 2 2
  • 62.
    Example 4. Findthe Fourier series of the following periodic function. f(t) 3T/4 0 -T/2 t T/4 T/2 T 2T T T f t   t when   t  4 4 T T 3T  t  when t 2 4 4
  • 63.
    f t T   f t  This is an odd (periodic) function. Therefore, an  0 2  2n  bn   f t  sin t dt T 0  T  T 4  T  0 T 2  2n  f t  sin t dt  T 
  • 64.
    4 bn  T 4  T T 4  2n t sin t  dt  T  0 T 2 T   2n   t dt   t   sin T  2  T  4 Use integration by parts.
  • 65.
      T  n  sin  2.  2   2n   2T  n   2 2 sin  n  2  4 bn  T bn  0 2 when n is even.    
  • 66.
    Therefore, the Fourierseries is 2T 2    2  1   6  1  10   sin  T t   2 sin  T t   2 sin  T t     3   5     
  • 67.
    The Complex Formof Fourier Series   n 1 n 1 f    a0   an cos n   bn sin n Let us utilize the Euler formulae. cos   sin  e e j j e 2  j e 2i  j
  • 68.
    n th harmonic componentof (1) can be The expressed as: an cos n  bn sin n  an  an e e jn jn e 2  jn e 2  jn  bn e  ibn jn e e 2i jn  jn e 2  jn
  • 69.
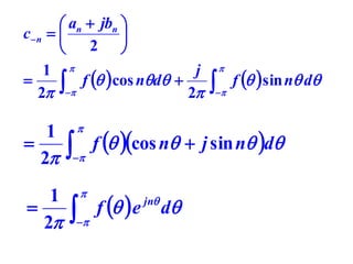
    an cos n bn sin n  an  jbn  jn  an  jbn   jn  e   e 2  2    Denoting  a n  jb n cn    2  and c0  a0     , cn  a n  jb n    2  
  • 70.
    an cos n bn sin n  cn e jn  c n e  jn
  • 71.
    The Fourier seriesfor can be expressed as:   f   f    c0   cne n 1   c e n n  jn jn  c ne  jn 
  • 72.
    The coefficients canbe evaluated in the following manner.  an  jbn  cn    2   1  j   f  cos nd  2 2  1  2  1  2        f  sin n d  f  cos n  j sin n d f   e  jn d
  • 73.
     an jbn  c n    2   1  j   f  cos nd  2 2 1  2 1  2     f  sin n d    f  cos n  j sin n d     f   e  jn d
  • 74.
     an jbn  cn    2   Note that cn . cn  an  jbn  c n     2  is the complex conjugate of Hence we may write that 1 cn  2   f e  jn d  . n  0 ,  1,  2 , 
  • 75.
    The complex formof the Fourier series of f   with period f    2  c e n   n is: jn
  • 76.
    Example 1. Findthe Fourier series of the following periodic function. f A 0 -A f   A when 0       A when     2 f   2   f  
  • 77.
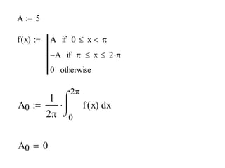
    A  5 f( x)  A if 0  x   A if   x  2  0 otherwise 2 1  A0   f ( x) dx 2 0 A0  0
  • 78.
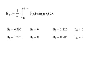
    n  1 8 2 1  An   f ( x) cos( nx) dx  0 A1  0 A2  0 A3  0 A4  0 A5  0 A6  0 A7  0 A8  0
  • 79.
    2 1  Bn   0 f ( x) sin( nx) dx B1  6.366 B2  0 B3  2.122 B4  0 B5  1.273 B6  0 B7  0.909 B8  0
  • 80.
    Comple x Form f    c e 1 cn  2 jn n n     f e  jnd  n  0,  1,  2, 2 1  C ( n)   2  0  1i n  x f ( x) e dx
  • 81.
    2 1  C (n)   2  0  1i n  x f ( x) e dx C (0)  0 C (1)  3.183i C (2)  0 C (3)  1.061i C (4)  0 C (5)  0.637i C (6)  0 C (7)  0.455i C (1)  3.183i C (2)  0 C (3)  1.061i C (5)  0.637i C (6)  0 C (7)  0.455i C (4)  0