Contents
Euler’s Formula
Functions having point of discontinuity
Change of interval
Even and Odd functions
Half Range series
Harmonic analysis
FOURIER SERIES
Definition of a Fourier
series
A Fourier series may be defined as an expansion of a function in a series
of sine's and cosine’s such as
(1)
0
1
( ) ( cos sin ).
2
n n
n
a
f x a nx b nx
∞
=
= + +∑
The coefficients are related to the periodic function f(x)
by definite integrals in equation 1.
Henceforth we assume f satisfies the following conditions:
(1) f(x) is a periodic function;
(2) f(x) has only a finite number of finite discontinuities;
(3) f(x) has only a finite number of extreme values, maxima and minima in the
interval [0,2π].
Fourier series are named in honour of Joseph Fourier (1768-1830), who made important
contributions to the study of trigonometric series, in connection with the solution of the
heat equation
( ) ( )f t f t T= +
where T is a constant and is called the period of the function.
A function f(x) which satisfies the relation
f(x) = f(x + T) for all real x and some fixed T is called Periodic function. The smallest
positive number T, for which this relation holds, is called the period of f(x).
 Any function that satisfies
Periodic Function
Euler’s Formula
The Fourier series for the function f(x) in the interval
Is given by -
These values of a0,an&bn are known as Euler’s Formula.
παα 2+<< x
{ }
∫
∫
∫
∑
+
+
+
=
∞
=
=
=
++=
πα
α
πα
α
πα
α
π
π
π
2
2
2
0
1
0
sin)(
1
cos)(
1
)(
1
sincos
2
)(
nxdxxfb
nxdxxfa
dxxfa
nxbnxa
a
xf
n
n
n
nn
Problems
Q1.Obtain the Fourier series for f(x)=e-x
in the interval 0<x<2
.
Sol. We know that,
π
{ }∑
∞
=
++=
1
0
sincos
2
)(
n
nn nxbnxa
a
xf
{ }
π
π
π
π
π
x
x
x
n
nn
x
e
ea
ea
nxbnxa
a
e
2
2
00
2
0
0
1
0
1
1
1
sincos
2
−
−
−
∞
=
−
−
=
−=
=
++=
∫
∑
( )
( ) ( ) π
π
ππ
π
π
π
π
π
ππ
π
π
π
2
02
2
0
2
2
2
1
2
2
2
02
2
0
cossin
1
1
sin
1
,....
5
11
&
2
11
1
1
.
1
sincos
)1(
1
cos
1
nxnnxe
n
b
nxdxeb
e
a
e
a
n
e
a
nxnnxe
n
a
nxdxea
x
n
x
n
n
x
n
x
n
−−
+
=
=





 −
=




 −
=∴
+




 −
=
+−
+
=
=
−
−
−−
−
−
−
∫
∫
.......
5
2
.
1
&
2
1
.
1
1
.
1
2
2
2
1
2
2





 −
=




 −
=∴
+




 −
=
−−
−
ππ
π
ππ
π
e
b
e
b
n
ne
bn
Putting the values of a0,an&bn in the Fourier Series
Answer












++++





++++
−
=
−
−
.....3sin
10
3
2sin
5
2
sin
2
1
.....3cos
10
1
2cos
5
1
cos
2
1
2
11 2
xxxxxx
e
e x
π
π
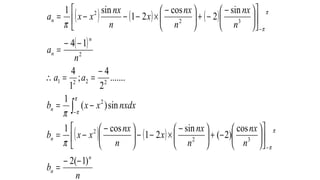
Q2. Find a Fourier series to represent x-x2
from x=- to x=
Sol. We know that,
π π
{ }∑
∞
=
++=
1
0
sincos
2
)(
n
nn nxbnxa
a
xf
{ }∑
∞
=
++=−
1
02
sincos
2 n
nn nxbnxa
a
xx
∫
∫
−
−
−
−=
−
=
−=
−=
π
π
π
π
π
π
π
π
π
π
nxdxxxa
a
xx
a
dxxxa
n cos)(
1
3
2
32
1
)(
1
2
2
0
32
0
2
0
( ) ( ) ( )
( )
( ) ( )
n
b
n
nx
n
nx
x
n
nx
xxb
nxdxxxb
aa
n
a
n
nx
n
nx
x
n
nx
xxa
n
n
n
n
n
n
n
)1(2
cos
)2(
sin
21
cos1
sin)(
1
.......
2
4
;
1
4
14
sin
2
cos
21
sin1
32
2
2
2221
2
32
2
−−
=












−+




 −
×−−




 −
−=
−=
−
==∴
−−
=











 −
−+




 −
×−−−=
−
−
−
∫
π
π
π
π
π
π
π
π
π
;.......
2
2
;
1
2
21
−
=∴ bb
Putting this value in Fourier Series,
we get
Answer






+−+





+−+
−
=− .....
2
2sin
1
sin
2.....
2
2cos
1
cos
4
3 22
2
2 xxxx
xx
π
Functions having point of
discontinuity
In the interval (α, α+2π)
f(x)= Φ(x), α<x<c
= Ψ(x),c<x< α+2π



 +=



 +=



 +=
∫ ∫
∫ ∫
∫ ∫
+
+
+
c
c
n
c
c
n
c
c
nxdxxnxdxxb
nxdxxnxdxxa
dxxdxxa
α
πα
α
πα
α
πα
ψφ
π
ψφ
π
ψφ
π
2
2
2
0
sin)(sin)(
1
cos)(cos)(
1
)()(
1
Problems
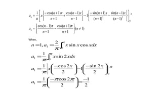
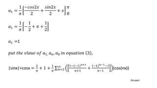
Q1. Find the Fourier Series expansion for f(x), if
f(x)=-π<x<0
x, 0<x< π.
Deduce that
Sol.
We know
Then
2
222
85
1
3
1
1
1 π
=⋅⋅⋅⋅⋅+++
∑ ∑
∞
=
∞
=
++=
1 1
0
sincos
2
)(
n n
n nxdxbnnxdxa
a
xf
]|
2
||[|
1
])([
1
0
2
0
0
0
0
π
π
π
π
π
π
π
π
x
xdxdxa
+−=
+−=
−
−
∫ ∫
---A
)1(cos
1
]
1
cos
1
0[
1
]
cossinsin
[
1
]coscos)([
1
2
)
2
(
1
2
22
0
2
0
0
0
2
2
−=
−+=
++−=
−+−=
−=
+−=
−
−
−
∫ ∫
π
π
π
π
π
π
π
π
π
π
π
π
π
π
π
π
n
n
n
n
n
n
nx
n
nxx
n
nx
nxdxxnxdxa
therefore
n
,.......
4
1
,1,
2
1
,3
)cos21(
1
]cos)cos1([
1
]
sincoscos
[
1
]sinsin)([
1
,
5
2
,0,
3
2
,0,
1
2
4321
0
2
0
0
0
25423221
−
==
−
==∴
−=
−−=
+−+=
+−=
⋅
−==
⋅
−==
⋅
−
=∴
−
−∫ ∫
bbbb
n
n
n
n
n
n
n
nx
n
nx
x
n
nx
nxdxxnxb
therefore
aaaaa
n
π
π
π
π
π
π
π
π
π
π
πππ
π
π
π
π
.......
4
4sin
3
3sin3
2
2sin
sin3......
5
5cos
3
3cos
cos
2
4
)( 22
+−+−+





+++−−=
xxx
x
xx
xxf
π
π
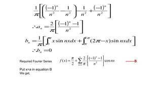
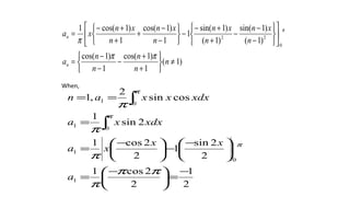
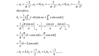
Hence putting the values of a’s and b’s in equation –A
-----B
Hence this is the required result.
Putting x=0 in equation B
We get,
-------C
is discontinuous at x=0,






∞+++−−= ......
5
1
3
1
1
2
4
)0( 22
π
π
f
)(xf
0)00()00( =+−=−∴ andff π 2
)]00()00([
2
1
)0(
π−
=++−=∴ fff




+++−−=− .....
5
1
3
1
1
12
42 222
π
ππ
Hence C equation takes the form
Q2. Find the Fourier Series to represent the function given by
for and= for
Deduce that
Sol. We know that,
-----A
)(xf
xxf =)( ,0 π≤≤ x x−π2 ππ 2≤≤ x
8
....
5
1
3
1
1
1 2
222
π
=∞+++
∑ ∑
∞
=
∞
=
++=
1 1
0
sincos
2
)(
n n
n nxdxbnnxdxa
a
xf






−−++=



 −+=∴








−+=



 −+=∴
∫ ∫
∫∫
π
π
π
π π
π
π
π
π
π
π
π
π
π
π
π
π
π
π
π
2
2
0
2
0
2
2
2
0
2
2
0
0
sin
)2(
cossin1
cos)2(cos
1
2
2
2
1
)2(
1
n
nx
n
nx
x
n
nx
n
nxx
nxdxxnxdxxa
x
x
x
dxxxdxa
n
( ) ( )
( )
0
sin)2(sin
1
112
11111
0
2
2
2222
=∴



 −+=





 −−
=∴







 −
+−







−
−
∫ ∫
n
n
n
n
nn
b
nxdxxnxdxxb
n
a
nnnn
π π
π
π
π
π
π
Required Fourier Series -------B
Put x=a in equation B
We get,
∑
∞
= 




 −−
+=
1
2
cos
1)1(2
2
)(
n
n
nx
n
xf
π
π
∞+++=⇒
∞+
−
+
−
+
−
=
×−
=





 −−
+= ∑
∞
=
......
5
1
3
1
1
1
8
......
5
2
3
2
2
2
4
1)1(2
2
)0(
222
2
22
1
2
π
ππ
π
π
n
n
n
f
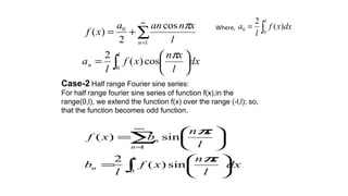
Half Range Series
The Fourier series which contains terms sine or cosine only is
known as half range Fourier sine series or half range Fourier
cosine series.
The function will be defined in range of 0 to but in order to
obtain half range Fourier cosine series or half range Fourier
sine series we extend the range of the function f(x) or
in general (-l,l). So, that the function is either converted in form
of even function of even or odd function.
Case-1 Half range Fourier cosine series:
For the half range Fourier cosine series of the function f(x) in
the range (0,l), we extend the function f(x) over the range (-l,l).
So that the function become even function.
π
),( ππ−
∑
∞
=
+=
1
0 cos
2
)(
n l
xnana
xf
π ∫=
l
dxxf
l
a
0
0 )(
2
∫ 





=
l
n dx
l
xn
xf
l
a
0
cos)(
2 π
Where,
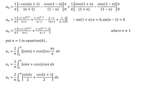
Case-2 Half range Fourier sine series:
For half range fourier sine series of function f(x),in the
range(0,l), we extend the function f(x) over the range (-l,l); so,
that the function becomes odd function.
∫
∑






=






=
∞
=
l
n
n
n
dx
l
xn
xf
l
b
l
xn
bxf
0
1
sin)(
2
sin)(
π
π
Problems
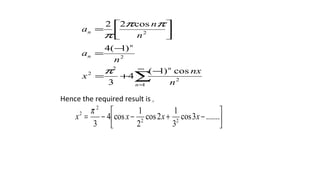
Q1. Find the Fourier cosine series for the function
f(x)=x2
in the range .
Sol.
The given function f(x)=x2
is a even function.
So, we apply case 1
i.e.
π≤≤ x0
∑
∞
=
+=
1
0 cos
2
)(
n l
xnana
xf
π
∫ 





=
l
n dx
l
xn
xf
l
a
0
cos)(
2 π
[ ]
3
2
3
2
2
1
2
0
0
3
0
0
2
0
2
0
π
π
π
π
π
π
π
π
=
=
=
=
∫
∫−
a
xa
dxxa
dxxa
[ ]
3
2
3
2
2
1
2
0
0
3
0
0
2
0
2
0
π
π
π
π
π
π
π
π
=
=
=
=
∫
∫−
a
xa
dxxa
dxxa
( ) ( ) π
π
π
π
π
π
π
0
32
2
0
2
2
sin2cos2sin2
cos
2
cos
1





 −
+
−
−=
=
=
∫
∫−
n
nx
n
nxx
n
nxx
a
nxdxxa
nxdxxa
n
n
n
∑
∞
=
−
+=
−
=




=
1
2
2
2
2
2
cos)1(
4
3
)1(4
cos22
n
n
n
n
n
n
nx
x
n
a
n
n
a
π
ππ
π






−+−−= .......3cos
3
1
2cos
2
1
cos4
3 22
2
2
xxxx
π
Hence the required result is ,
Q2. Obtain the Fourier expansion of xsinx as a cosine series in (0, ).
Hence deduce
Sol.
Let
4
2
......
75
1
53
1
31
1 −
=∞−
⋅
+
⋅
−
⋅
π
π
( ) ( )
[ ]∫
∫
∫
−−+=
=
=
−−−=
=
π
π
π
π
π
π
π
π
0
0
0
00
0
0
)1sin()1sin(
1
cossin
2
2
sin1cos
2
sin
2
dxxnxnxa
nxdxxxa
a
xxxa
xdxxa
n
n
)1(
1
)1cos(
1
)1cos(
)1(
)1sin(
)1(
)1sin(
1
1
)1cos(
1
)1cos(1
0
22
≠






+
+
−
−
−
=












−
−
−
+
+−
−






−
−
+
+
+−
=
n
n
n
n
n
a
n
xn
n
xn
n
xn
n
xn
xa
n
n
ππ
π
π
2
1
2
2cos1
2
2sin
1
2
2cos1
2sin
1
cossin
2
,1
1
0
1
0
1
0
1
−
=




−
=





−
−




−
=
=
==
∫
∫
ππ
π
π
π
π
π
π
π
a
xx
xa
xdxxa
xdxxxan
When,






∞−
⋅
+
⋅
−
⋅
+=






∞−
⋅
+
⋅
−
⋅
−−=
......
75
1
53
1
31
1
21
2
.....
75
4cos
53
3cos
31
2cos
2cos
2
1
1sin
π
xxx
xxx
Putting x= ,then
2
π
4
2
......
75
1
53
1
31
1 −
=∞−
⋅
+
⋅
−
⋅
π
Hence,
Even and Odd Functions:-Even and Odd Functions:-
Even function:-
1. The function is said to be even function if
2. The function f(x) is said to be Odd function if
• The graph of odd function is symmetric about origin.
• The graph of even function is symmetric about Y-axis.
• First we have to check whether the domain of the function is symmetric
about the y-axis.
How To Determine Whether The Function IsHow To Determine Whether The Function Is
Even Or OddEven Or Odd
f(x)=sin x
-3π -5π/2 -2π -3π/2 -π -π/2 π/2 π 3π/2 2π 5π/2 3π
-9
-8
-7
-6
-5
-4
-3
-2
-1
1
2
3
4
5
6
7
8
9
x
y
2
5
2:sin
π
π <<− xx
f(x)=sin x
-3π -5π/2 -2π -3π/2 -π -π/2 π/2 π 3π/2 2π 5π/2 3π
-9
-8
-7
-6
-5
-4
-3
-2
-1
1
2
3
4
5
6
7
8
9
x
y
Key Point
Products of functions
(even)×(even) = (even)
(even)×(odd) = (odd)
(odd)×(odd) = (even)
Sums of functions
(even) + (even) = (even)
(even) + (odd) = (neither)
(odd) + (odd) = (odd)
If
Or
then the function is even
function
and then the function is odd
function
If Function is in this form
Fourier series for even & odd function
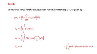
Case1:-
The Fourier series for the even function F(x) in the interval (-L,+L) is given by
Case2:-
If the function f(x) is an odd function then the fourier series (-L,+L) is given by
Answer
Half Range Series
The Fourier series which contains terms of sine or cosine only
is known as half range Fourier sine series or half range Fourier
cosine series.
The function will be defined in range of 0 to but in order to
obtain half range Fourier cosine series or half range Fourier
sine series we extend the range of the function f(x) or
in general (-l,l). So, that the function is either converted in form
of even function of even or odd function.
Case-1 Half range Fourier cosine series:
For the half range Fourier cosine series of the function f(x) in
the range (0,l), we extend the function f(x) over the range (-l,l).
So that the function become even function.
π
),( ππ−
∑
∞
=
+=
1
0 cos
2
)(
n l
xnana
xf
π ∫=
l
dxxf
l
a
0
0 )(
2
∫ 





=
l
n dx
l
xn
xf
l
a
0
cos)(
2 π
Where,
Case-2 Half range Fourier sine series:
For half range fourier sine series of function f(x),in the
range(0,l), we extend the function f(x) over the range (-l,l); so,
that the function becomes odd function.
∫
∑






=






=
∞
=
l
n
n
n
dx
l
xn
xf
l
b
l
xn
bxf
0
1
sin)(
2
sin)(
π
π
Problems
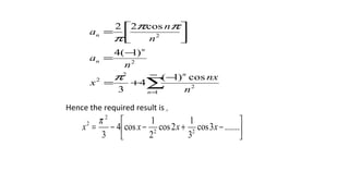
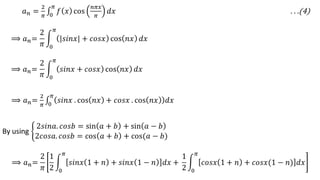
Q1. Find the Fourier cosine series for the function
f(x)=x2
in the range .
Sol.
The given function f(x)=x2
is a even function.
So, we apply case 1
i.e.
π≤≤ x0
∑
∞
=
+=
1
0 cos
2
)(
n l
xnana
xf
π
3
22
0
0
3
3
2
0
0
22
0
21
0
π
a
πx
π
a
π dxx
π
a
π
π dxx
π
a
=



=
∫=
∫−=
[ ]
3
2
3
2
2
1
2
0
0
3
0
0
2
0
2
0
π
π
π
π
π
π
π
π
=
=
=
=
∫
∫−
a
xa
dxxa
dxxa
( ) ( ) π
π
π
π
π
π
π
0
32
2
0
2
2
sin2cos2sin2
cos
2
cos
1





 −
+
−
−=
=
=
∫
∫−
n
nx
n
nxx
n
nxx
a
nxdxxa
nxdxxa
n
n
n
and,
∫ 





=
l
n dx
l
xn
xf
l
a
0
cos)(
2 π
∑
∞
=
−
+=
−
=




=
1
2
2
2
2
2
cos)1(
4
3
)1(4
cos22
n
n
n
n
n
n
nx
x
n
a
n
n
a
π
ππ
π






−+−−= .......3cos
3
1
2cos
2
1
cos4
3 22
2
2
xxxx
π
Hence the required result is ,
Q2. Obtain the Fourier expansion of xsinx as a cosine series in (0, ).
Hence deduce
Sol.
Let
4
2
......
75
1
53
1
31
1 −
=∞−
⋅
+
⋅
−
⋅
π
π
( ) ( )
[ ]∫
∫
∫
−−+=
=
=
−−−=
=
π
π
π
π
π
π
π
π
0
0
0
00
0
0
)1sin()1sin(
1
cossin
2
2
sin1cos
2
sin
2
dxxnxnxa
nxdxxxa
a
xxxa
xdxxa
n
n
)1(
1
)1cos(
1
)1cos(
)1(
)1sin(
)1(
)1sin(
1
1
)1cos(
1
)1cos(1
0
22
≠






+
+
−
−
−
=












−
−
−
+
+−
−






−
−
+
+
+−
=
n
n
n
n
n
a
n
xn
n
xn
n
xn
n
xn
xa
n
n
ππ
π
π
2
1
2
2cos1
2
2sin
1
2
2cos1
2sin
1
cossin
2
,1
1
0
1
0
1
0
1
−
=




−
=





−
−




−
=
=
==
∫
∫
ππ
π
π
π
π
π
π
π
a
xx
xa
xdxxa
xdxxxan
When,






∞−
⋅
+
⋅
−
⋅
+=






∞−
⋅
+
⋅
−
⋅
−−=
......
75
1
53
1
31
1
21
2
.....
75
4cos
53
3cos
31
2cos
2cos
2
1
1sin
π
xxx
xxx
Putting x= ,then
2
π
4
2
......
75
1
53
1
31
1 −
=∞−
⋅
+
⋅
−
⋅
π
Hence,
Harmonic Analysis
The process of finding the Fourier series corresponding to the function when the
function by numerical values is known as harmonic analysis. The Fourier series for
the function f(x) in the interval is given by-
If the given function is not the explicit function of the independent variable x and
the function is defined by the numerical values then the formula of a0,an and bn are
given by the following relations.
∫
∫
∫
∑
+
+
+
∞
=






=






=
=












+





+=
c
n
c
n
c
n
nn
dx
c
xn
xf
c
b
dx
c
xn
xf
c
a
dxxf
c
a
c
xn
b
c
xn
a
a
xf
2
2
2
0
1
0
sin)(
1
cos)(
1
)(
1
sincos
2
)(
α
α
α
α
α
α
π
π
ππ
Where,
cx 2+<< αα
a0 = 2x[Mean value of f(x) in the interval ( )]
an = 2x[Mean value of in the interval( )]
bn = 2x[Mean value of in the interval ( )]
In formula 1 the first term of expansion is known as first or
fundamental harmonic.
The second term is known as second harmonic and the term
is known as third harmonic and so on…..
c2, +αα






⋅
c
xn
xf
π
cos)( c2, +αα






⋅
c
xn
xf
π
sin)( c2, +αα
c
xb
c
xa n ππ sincos1
+
c
xb
c
xa ππ 2sin2cos 22
+
c
xb
c
xa ππ 3sin3cos 33
+
Problems
Q1. In a machine the displacement y of a given point is given for a certain angle as
follows.
Find the coefficient of in the Fourier series representing the above variations.
Sol.
The Fourier series for the function y in the given interval 0-360o
or ( ) is given by
θ
0 30 60 90 120 150 180 210 240 270 300 350
7.9 8 7.2 5.6 3.6 1.7 0.5 0.2 0.9 2.5 4.7 6.8
°θ
y
( ).sincos
2 1
0
∑
∞
=
++=
n
nn xnbxna
a
y ππ
π2,0
θ2sin
Presented By :-
Shiv Prasad Gupta
Naveen Kumar
Avinash

Fourier series