Prepared by 
Tanuj Parikh
Chapter Two: Vector Spaces 
Vector space ~ Linear combinations of vectors. 
I. Definition of Vector Space 
II. Linear Independence 
III. Basis and Dimension 
• Topic: Fields 
• Topic: Crystals 
• Topic: Voting Paradoxes 
• Topic: Dimensional Analysis 
Ref: T.M.Apostol, “Linear Algebra”, Chap 3, Wiley (97)
I. Definition of Vector Space 
I.1. Definition and Examples 
I.2. Subspaces and Spanning Sets
Algebraic Structures 
Ref: Y.Choquet-Bruhat, et al, “Analysis, Manifolds & Physics”, Pt 
I., North Holland (82) 
Structure Internal Operations Scalar Multiplication 
Group * No 
Ring, Field * , + No 
Module / Vector Space + Yes 
Algebra + , * Yes 
Field = Ring with idenity & all elements except 0 have inverses. 
Vector space = Module over Field.
I.1. Definition and Examples 
Definition 1.1: (Real) Vector Space ( V,  § ;  ) 
A vector space (over ) consists of a set V along with 2 operations ‘§’ and ‘¨’ s.t. 
(1) For the vector addition § : 
" v, w, u Î V 
a) v § w Î V ( Closure ) 
b) v § w = w § v ( Commutativity ) 
c) ( v § w ) § u = v § ( w § u ) ( Associativity ) 
d) $ 0 Î V s.t. v § 0 = v ( Zero element ) 
e) $ -v Î V s.t. v § (-v) = 0 ( Inverse ) 
(2) For the scalar multiplication ¨ : 
" v, w Î V and a, b Î , [  is the real number field (,+,´) 
f) a ¨ v Î V ( Closure ) 
g) ( a + b ) ¨ v = ( a ¨ v ) § (b ¨ v ) ( Distributivity ) 
h) a ¨ ( v § w ) = ( a ¨ v ) § ( a ¨ w ) 
i) ( a ´ b ) ¨ v = a ¨ ( b ¨ v ) ( Associativity ) 
j) 1 ¨ v = v 
 § is always written as + so that one writes v + w instead of v § w 
 ´ and ¨ are often omitted so that one writes a b v instead of ( a ´ b ) ¨ v
Definition in Conventional Notations 
Definition 1.1: (Real) Vector Space ( V,  + ;  ) 
A vector space (over ) consists of a set V along with 2 operations ‘+’ and ‘ ’ s.t. 
(1) For the vector addition + : 
" v, w, u Î V 
a) v + w Î V ( Closure ) 
b) v + w = w + v ( Commutativity ) 
c) ( v + w ) + u = v + ( w + u ) ( Associativity ) 
d) $ 0 Î V s.t. v + 0 = v ( Zero element ) 
e) $ -v Î V s.t. v -v = 0 ( Inverse ) 
(2) For the scalar multiplication : 
" v, w Î V and a, b Î , [  is the real number field (,+,´) ] 
a) a v Î V ( Closure ) 
b) ( a + b ) v = a v + b v ( Distributivity ) 
c) a ( v + w ) = a v + a w 
d) ( a ´ b ) v = a ( b v ) = a b v ( Associativity ) 
e) 1 v = v
Example 1.3: 2 
x y 
2 is a vector space if 1 1 
æ ö æ ö 
ax by 
ax by 
æ + ö 
= ç ¸ è + ø 
x y 1 1 
a b a b 
+ = ç ¸+ ç ¸ 
x y 
è 2 ø è 2 
ø 
2 2 
" a,bÎR 
0 
0 
= æ ö ç ¸ 
è ø 
with 0 
Proof it yourself / see Hefferon, p.81. 
Example 1.4: Plane in 3. 
The plane through the origin 0 
ì æ x 
ö ü 
= ï ç ¸ í ç ¸ + + = ï ý ï î çè ø¸ ï þ 
P y x y z 
z 
is a vector space. 
P is a subspace of 3. 
Proof it yourself / see Hefferon, 
p.82.
Example 1.5: 
Let § & ¨ be the (column) matrix addition & scalar multiplication, resp., then 
( n, + ;  ) is a vector space. 
( n, + ;  ) is not a vector space since closure is violated under scalar multiplication. 
Example 1.6: 
0 
0 
0 
0 
V 
ì æ ö ü 
ï ç ¸ ï = ï ç ¸ ï í ç ¸ ý ï ç ¸ ï îï è ø ïþ 
Let then (V, + ;  ) is a vector space. 
Definition 1.7: A one-element vector space is a trivial space.
Example 1.8: Space of Real Polynomials of Degree n or less, n 
ìï ïü = í Î ý 
îï ïþ 
P å R { 2 3 } 
0 
n 
k 
n k k 
k 
a x a 
= 
3 0 1 2 3 k P = a + a x + a x + a x a ÎR 
n is a vector space with vectors 
a º å 
n n 
The kth component of a is 
a + b = å +å ( ) k k k a + b = a + b 
Vector 
addition: 0 0 
k k 
a x b x 
k k 
k k 
= = 
Scalar multiplication: 
æ ö 
a å 
b b a x 
= ç ¸ 
è 0 
ø 
n 
k 
k 
k 
= 
Zero element: 
= å + 
= å 
0 = å ( ) 0 k i.e., 0 = "k 
0 
0 
n 
k 
k 
x 
= 
0 
n 
k 
k 
k 
a x 
= 
( ) 
0 
n 
k 
k k 
k 
a b x 
= 
0 
n 
k 
k 
k 
ba x 
= 
i.e. 
, 
( ) k k i.e. b a = ba 
, 
E.g. 
, 
-a º å - ( ) k k i.e. -a = -a 
å ÎP L ÎR 
is isomorphic to n+1 with ( ) 1 
n 0 
0 
~ , , 
n 
k n 
k n n 
k 
a x a a + 
= 
Inverse: ( ) 
0 
n 
k 
k 
k 
a x 
= 
, 
( ) k k a = a
Example 1.9: Function Space 
The set { f | f :  →  } of all real valued functions of natural numbers is 
a vector space if 
Vector addition: ( f1 + f2 ) ( n) º f1 ( n) + f2 ( n) 
Scalar multiplication: ( a f ) ( n) º a f ( n) 
nÎN 
aÎR 
Zero 
element: 
zero(n) = 0 
Inverse: ( - f ) (n) º - f ( n) 
f ( n ) is a vector of countably infinite dimensions: f = ( f(0), f(1), f(2), f(3), … ) 
E.g., 
f ( n) = n2 +1 ~ f = (1, 2, 5,10,L)
Example 1.10: Space of All Real Polynomials,  
ìï ïü = í Î Î ý 
îï ïþ 
P å R N 
0 
, 
n 
k 
k k 
k 
a x a n 
= 
 is a vector space of countably infinite dimensions. 
å ÎP ( L ) ÎR 
0 1 2 
0 
k ~ , , , 
k 
k 
a x a a a 
¥ 
¥ 
= 
Example 1.11: Function Space 
The set { f | f :  →  } of all real valued functions of real numbers is a 
vector space of uncountably infinite dimensions.
Example 13: Solution Space of a Linear Homogeneous Differential Equation 
ì ü 
= í ® + = ý 
î þ 
2 
2 S f : d f f 0 
R R is a vector space with 
d x 
Vector addition: ( f + g) ( x) º f ( x) + g ( x) 
Scalar multiplication: ( a f ) ( x) º a f ( x) 
Zero 
element: 
zero(x) = 0 
Inverse: ( - f ) (x) º - f ( x) 
Closure: 
aÎR 
+ = + = ( ) ( ) 
2 2 
2 2 d f f 0 & d g g 0 
d x d x 
2 
d a f bg 
a f bg 
2 0 
d x 
+ 
→ + + = 
Example 14: Solution Space of a System of Linear Homogeneous Equations
Remarks: 
• Definition of a mathematical structure is not unique. 
• The accepted version is time-tested to be most concise & elegant. 
Lemma 1.16: Lose Ends 
In any vector space V, 
1. 0 v = 0 . 
2. ( -1 ) v + v = 0 . 
3. a 0 = 0 . 
" v ÎV and a Î . 
Proof: 
1. 0 = v - v = (1+ 0) v - v = v + 0v - v = 0v 
2. 
( -1) v + v = ( -1+1) v = 0v = 0 
3. 
a 0 = a ( 0 v) = ( a 0) v = 0 v = 0
Exercises 2.I.1. 
1. At this point “the same” is only an intuition, but nonetheless for 
each vector space identify the k for which the space is “the same” as k. 
(a) The 2´3 matrices under the usual operations 
(b) The n ´ m matrices (under their usual operations) 
(c) This set of 2 ´ 2 matrices 
ìï æ a 
0 
ö ïü í ç ¸ a + b + c 
= 0 
ý 
îï è b c 
ø ïþ 
2. 
(a) Prove that every point, line, or plane thru the origin in 3 is a 
vector space under the inherited operations. 
(b) What if it doesn’t contain the origin?
I.2. Subspaces and Spanning Sets 
Definition 2.1: Subspaces 
For any vector space, a subspace is a subset that is itself a vector space, 
under the inherited operations. 
Note: A subset of a vector space is a subspace iff it is closed under § & ¨. 
ì æ x 
ö ü 
= ï ç ¸ í ç ¸ + + = ï ý ï î çè ø¸ ï þ 
Example 2.2: Plane in 3 P y x y z 
0 
z 
is a subspace of 3. 
→ It must contain 0. (c.f. Lemma 2.9.) 
Proof: Let ( ) ( ) 1 1 1 1 2 2 2 2 , , , , , T T r = x y z r = x y z ÎP 
→ 1 1 1 2 2 2 x + y + z = 0 , x + y + z = 0 
 ( ) 1 2 1 2 1 2 1 2 , , T ar + br = ax + bx ay + by az + bz 
with ( ) ( ) ( ) ( ) ( ) 1 2 1 2 1 2 1 1 1 2 2 2 ax + bx + ay + by + az + bz = a x + y + z + b x + y + z 
→ 1 2 ar + br ÎP " a,bÎR QED 
= 0
Example 2.3: The x-axis in n is a subspace. 
( ,0, ,0) -axis T Proof follows directly from the fact that r = x L Î x 
Example 2.4: 
• { 0 } is a trivial subspace of n. 
• n is a subspace of n. 
Both are improper subspaces. 
All other subspaces are proper. 
Example 2.5: Subspace is only defined wrt inherited operations. 
({1},§ ; ) is a vector space if we define 1§1 = 1 and a¨1=1 "aÎ. 
However, neither ({1},§ ; ) nor ({1},+ ; ) is a subspace of the vector space 
(,+ ; ).
Example 2.6: Polynomial Spaces. 
n is a proper subspace of m if n < m. 
Example 2.7: Solution Spaces. 
The solution space of any real linear homogeneous ordinary 
differential equation,  f = 0, 
is a subspace of the function space of 1 variable { f :  →  }. 
Example 2.8: Violation of Closure. 
+ is not a subspace of  since (-1) v Ï + " vÎ +.
Lemma 2.9: 
Let S be a non-empty subset of a vector space ( V, + ;  ). 
W.r.t. the inherited operations, the following statements are equivalent: 
1. S is a subspace of V. 
2. S is closed under all linear combinations of pairs of vectors. 
3. S is closed under arbitrary linear combinations. 
Proof: See Hefferon, p.93. 
Remark: Vector space = Collection of linear combinations of vectors.
Example 2.11: Parametrization of a Plane in 3 
ì æ x 
ö ü 
= ï ç ¸ í ç ¸ - 2 + = 0 
ï ý ï î çè ø¸ ï þ 
S y x y z 
z 
is a 2-D subspace of 3. 
ì æ 2 
y - z 
ö ü 
= ï ç ¸ í ç y ¸ y , 
z 
Î R 
ï ý ï î çè z 
ø¸ ï þ 
ì æ 2 ö æ - 1 
ö ü 
= ï ç í y 1 ¸+ ç ¸ z ç 0 ¸ ç ¸ y , 
z 
Î R 
ï ý ï î çè 0 ø¸ èç 1 
ø¸ ï þ 
i.e., S is the set of all linear combinations of 2 vectors (2,1,0)T, & 
(-1,0,1)T. 
Example 2.12: Parametrization of a Matrix Subspace. 
ìï æ a 
0 
ö ïü = í ç ¸ + + = 0 
ý 
îï è ø ïþ 
L a b c 
b c 
is a subspace of the space of 2´2 matrices. 
ìï æ- b - c 
0 
= ö í ç ¸ b , 
c 
Î R 
ïü b c 
ý 
îï è ø ïþ 
ìï æ - 1 0 ö æ - 1 0 
= b ¸+ c ö í ç ç ¸ b , 
c 
Î R 
ïü 1 0 0 1 
ý 
îï è ø è ø ïþ
Definition 2.13: Span 
Let S = { s1 , …, sn | sk Î ( V,+, ) } be a set of n vectors in vector space V. 
The span of S is the set of all linear combinations of the vectors in S, i.e., 
ì ü 
= í Î Î ý 
î þ 
å s s R with span Æ = { 0 } 
span S c S c 
1 
, 
n 
k k k k 
k 
= 
Lemma 2.15: The span of any subset of a vector space is a subspace. 
Proof: 
n n 
Let S = { s, …, s| sÎ ( V,+,) } 
1 n k  and u =å s v =å s Î 
u , 
v span S 
k k k k 
= = 
k k 
1 1 
w = u + v =å + s 
® a b ( au bv 
) 
1 
n 
k k k 
k 
= 
=å s Î " a,bÎR 
1 
n 
k k 
k 
w span S 
= 
QED 
Converse: Any vector subspace is the span of a subset of its members. 
Also: span S is the smallest vector space containing all members of 
S.
Example 2.16: 
For any vÎV, span{v} = { a v | a Î } is a 1-D subspace. 
Example 2.17: 
Proof: 
The problem is tantamount to showing that for all x, y Î, $ unique a,b Î s.t. 
1 1 
1 1 
x 
æ ö = a æ ö + b 
æ ö ç è y 
¸ ç ¸ ç ¸ ø è ø è - ø 
i.e., a b x 
+ = 
- = 
a b y 
has a unique solution for arbitrary x & y. 
Since 1 ( ) 
a = x + y 1 ( ) 
2 
b = x - y " x, yÎR QED 
2 
2 1 1 
, 
1 1 
span 
ì æ ö æ ö ü í ç ¸ ç ¸ ý = î è ø è - ø þ 
R
Example 2.18: 2 
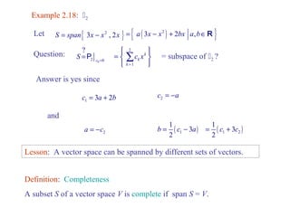
Let S = span{ 3x - x2 , 2x } = { a ( 3x - x2 ) + 2bx a,bÎR } 
Question: 
0 2 0 
? 
c S = =P 
Answer is yes since 
ì ü 
= í ý 
î þ 
å = subspace of 2 ? 
1 c = 3a + 2b 2 c = -a 
1 3 
2 
a = -c b = ( c - a 
) 2 1 
and 
1 3 
2 
( ) 1 2 
= c + c 
2 
1 
k 
k 
k 
c x 
= 
Lesson: A vector space can be spanned by different sets of vectors. 
Definition: Completeness 
A subset S of a vector space V is complete if span S = V.
Example 2.19: All Possible Subspaces of 3 
See next section for proof. 
Planes thru 
0 
Lines thru 0
Exercises 2.I.2 
ì æ x 
ö ü 
ï ç í ç y ¸ ï çè ø¸ ¸ x + y + z 
= ý ï z 
ï î þ 
1. Consider the set 1 
under these operations. 
x x x x 1 
y y y y 
z z z z 
æ ö æ + - ç 1 ¸+ ç 2 ö æ 1 2 
ö 
¸= ç ¸ çç 1 ¸¸ çç + 2 ¸¸ çç 1 2 
¸¸ è 1 ø è + 2 ø è 1 2 
ø 
x rx r 1 
r y r y 
z rz 
æ ö æ - + ö 
ç ¸= ç ¸ çç ¸¸ çç ¸¸ è ø è ø 
(a) Show that it is not a subspace of 3. (Hint. See Example 2.5). 
(b) Show that it is a vector space. 
( To save time, you need only prove axioms (d) & (j), and closure 
under all linear combinations of 2 vectors.) 
(c) Show that any subspace of 3 must pass thru the origin, and so any 
subspace of 3 must involve zero in its description. 
Does the converse hold? 
Does any subset of 3 that contains the origin become a subspace 
when given the inherited operations?
2. Because ‘span of’ is an operation on sets we naturally consider how it 
interacts with the usual set operations. Let [S] º Span S. 
(a) If S Í T are subsets of a vector space, is [S] Í [T] ? 
Always? Sometimes? Never? 
(b) If S, T are subsets of a vector space, is [ S È T ] = [S] È [T] ? 
(c) If S, T are subsets of a vector space, is [ S Ç T ] = [S] Ç [T] ? 
(d) Is the span of the complement equal to the complement of the span? 
3. Find a structure that is closed under linear combinations, and yet is not 
a vector space. (Remark. This is a bit of a trick question.)
Definition ofvectorspace

Definition ofvectorspace

  • 1.
  • 2.
    Chapter Two: VectorSpaces Vector space ~ Linear combinations of vectors. I. Definition of Vector Space II. Linear Independence III. Basis and Dimension • Topic: Fields • Topic: Crystals • Topic: Voting Paradoxes • Topic: Dimensional Analysis Ref: T.M.Apostol, “Linear Algebra”, Chap 3, Wiley (97)
  • 3.
    I. Definition ofVector Space I.1. Definition and Examples I.2. Subspaces and Spanning Sets
  • 4.
    Algebraic Structures Ref:Y.Choquet-Bruhat, et al, “Analysis, Manifolds & Physics”, Pt I., North Holland (82) Structure Internal Operations Scalar Multiplication Group * No Ring, Field * , + No Module / Vector Space + Yes Algebra + , * Yes Field = Ring with idenity & all elements except 0 have inverses. Vector space = Module over Field.
  • 5.
    I.1. Definition andExamples Definition 1.1: (Real) Vector Space ( V, § ;  ) A vector space (over ) consists of a set V along with 2 operations ‘§’ and ‘¨’ s.t. (1) For the vector addition § : " v, w, u Î V a) v § w Î V ( Closure ) b) v § w = w § v ( Commutativity ) c) ( v § w ) § u = v § ( w § u ) ( Associativity ) d) $ 0 Î V s.t. v § 0 = v ( Zero element ) e) $ -v Î V s.t. v § (-v) = 0 ( Inverse ) (2) For the scalar multiplication ¨ : " v, w Î V and a, b Î , [  is the real number field (,+,´) f) a ¨ v Î V ( Closure ) g) ( a + b ) ¨ v = ( a ¨ v ) § (b ¨ v ) ( Distributivity ) h) a ¨ ( v § w ) = ( a ¨ v ) § ( a ¨ w ) i) ( a ´ b ) ¨ v = a ¨ ( b ¨ v ) ( Associativity ) j) 1 ¨ v = v  § is always written as + so that one writes v + w instead of v § w  ´ and ¨ are often omitted so that one writes a b v instead of ( a ´ b ) ¨ v
  • 6.
    Definition in ConventionalNotations Definition 1.1: (Real) Vector Space ( V, + ;  ) A vector space (over ) consists of a set V along with 2 operations ‘+’ and ‘ ’ s.t. (1) For the vector addition + : " v, w, u Î V a) v + w Î V ( Closure ) b) v + w = w + v ( Commutativity ) c) ( v + w ) + u = v + ( w + u ) ( Associativity ) d) $ 0 Î V s.t. v + 0 = v ( Zero element ) e) $ -v Î V s.t. v -v = 0 ( Inverse ) (2) For the scalar multiplication : " v, w Î V and a, b Î , [  is the real number field (,+,´) ] a) a v Î V ( Closure ) b) ( a + b ) v = a v + b v ( Distributivity ) c) a ( v + w ) = a v + a w d) ( a ´ b ) v = a ( b v ) = a b v ( Associativity ) e) 1 v = v
  • 7.
    Example 1.3: 2 x y 2 is a vector space if 1 1 æ ö æ ö ax by ax by æ + ö = ç ¸ è + ø x y 1 1 a b a b + = ç ¸+ ç ¸ x y è 2 ø è 2 ø 2 2 " a,bÎR 0 0 = æ ö ç ¸ è ø with 0 Proof it yourself / see Hefferon, p.81. Example 1.4: Plane in 3. The plane through the origin 0 ì æ x ö ü = ï ç ¸ í ç ¸ + + = ï ý ï î çè ø¸ ï þ P y x y z z is a vector space. P is a subspace of 3. Proof it yourself / see Hefferon, p.82.
  • 8.
    Example 1.5: Let§ & ¨ be the (column) matrix addition & scalar multiplication, resp., then ( n, + ;  ) is a vector space. ( n, + ;  ) is not a vector space since closure is violated under scalar multiplication. Example 1.6: 0 0 0 0 V ì æ ö ü ï ç ¸ ï = ï ç ¸ ï í ç ¸ ý ï ç ¸ ï îï è ø ïþ Let then (V, + ;  ) is a vector space. Definition 1.7: A one-element vector space is a trivial space.
  • 9.
    Example 1.8: Spaceof Real Polynomials of Degree n or less, n ìï ïü = í Î ý îï ïþ P å R { 2 3 } 0 n k n k k k a x a = 3 0 1 2 3 k P = a + a x + a x + a x a ÎR n is a vector space with vectors a º å n n The kth component of a is a + b = å +å ( ) k k k a + b = a + b Vector addition: 0 0 k k a x b x k k k k = = Scalar multiplication: æ ö a å b b a x = ç ¸ è 0 ø n k k k = Zero element: = å + = å 0 = å ( ) 0 k i.e., 0 = "k 0 0 n k k x = 0 n k k k a x = ( ) 0 n k k k k a b x = 0 n k k k ba x = i.e. , ( ) k k i.e. b a = ba , E.g. , -a º å - ( ) k k i.e. -a = -a å ÎP L ÎR is isomorphic to n+1 with ( ) 1 n 0 0 ~ , , n k n k n n k a x a a + = Inverse: ( ) 0 n k k k a x = , ( ) k k a = a
  • 10.
    Example 1.9: FunctionSpace The set { f | f :  →  } of all real valued functions of natural numbers is a vector space if Vector addition: ( f1 + f2 ) ( n) º f1 ( n) + f2 ( n) Scalar multiplication: ( a f ) ( n) º a f ( n) nÎN aÎR Zero element: zero(n) = 0 Inverse: ( - f ) (n) º - f ( n) f ( n ) is a vector of countably infinite dimensions: f = ( f(0), f(1), f(2), f(3), … ) E.g., f ( n) = n2 +1 ~ f = (1, 2, 5,10,L)
  • 11.
    Example 1.10: Spaceof All Real Polynomials,  ìï ïü = í Î Î ý îï ïþ P å R N 0 , n k k k k a x a n =  is a vector space of countably infinite dimensions. å ÎP ( L ) ÎR 0 1 2 0 k ~ , , , k k a x a a a ¥ ¥ = Example 1.11: Function Space The set { f | f :  →  } of all real valued functions of real numbers is a vector space of uncountably infinite dimensions.
  • 12.
    Example 13: SolutionSpace of a Linear Homogeneous Differential Equation ì ü = í ® + = ý î þ 2 2 S f : d f f 0 R R is a vector space with d x Vector addition: ( f + g) ( x) º f ( x) + g ( x) Scalar multiplication: ( a f ) ( x) º a f ( x) Zero element: zero(x) = 0 Inverse: ( - f ) (x) º - f ( x) Closure: aÎR + = + = ( ) ( ) 2 2 2 2 d f f 0 & d g g 0 d x d x 2 d a f bg a f bg 2 0 d x + → + + = Example 14: Solution Space of a System of Linear Homogeneous Equations
  • 13.
    Remarks: • Definitionof a mathematical structure is not unique. • The accepted version is time-tested to be most concise & elegant. Lemma 1.16: Lose Ends In any vector space V, 1. 0 v = 0 . 2. ( -1 ) v + v = 0 . 3. a 0 = 0 . " v ÎV and a Î . Proof: 1. 0 = v - v = (1+ 0) v - v = v + 0v - v = 0v 2. ( -1) v + v = ( -1+1) v = 0v = 0 3. a 0 = a ( 0 v) = ( a 0) v = 0 v = 0
  • 14.
    Exercises 2.I.1. 1.At this point “the same” is only an intuition, but nonetheless for each vector space identify the k for which the space is “the same” as k. (a) The 2´3 matrices under the usual operations (b) The n ´ m matrices (under their usual operations) (c) This set of 2 ´ 2 matrices ìï æ a 0 ö ïü í ç ¸ a + b + c = 0 ý îï è b c ø ïþ 2. (a) Prove that every point, line, or plane thru the origin in 3 is a vector space under the inherited operations. (b) What if it doesn’t contain the origin?
  • 15.
    I.2. Subspaces andSpanning Sets Definition 2.1: Subspaces For any vector space, a subspace is a subset that is itself a vector space, under the inherited operations. Note: A subset of a vector space is a subspace iff it is closed under § & ¨. ì æ x ö ü = ï ç ¸ í ç ¸ + + = ï ý ï î çè ø¸ ï þ Example 2.2: Plane in 3 P y x y z 0 z is a subspace of 3. → It must contain 0. (c.f. Lemma 2.9.) Proof: Let ( ) ( ) 1 1 1 1 2 2 2 2 , , , , , T T r = x y z r = x y z ÎP → 1 1 1 2 2 2 x + y + z = 0 , x + y + z = 0 ( ) 1 2 1 2 1 2 1 2 , , T ar + br = ax + bx ay + by az + bz with ( ) ( ) ( ) ( ) ( ) 1 2 1 2 1 2 1 1 1 2 2 2 ax + bx + ay + by + az + bz = a x + y + z + b x + y + z → 1 2 ar + br ÎP " a,bÎR QED = 0
  • 16.
    Example 2.3: Thex-axis in n is a subspace. ( ,0, ,0) -axis T Proof follows directly from the fact that r = x L Î x Example 2.4: • { 0 } is a trivial subspace of n. • n is a subspace of n. Both are improper subspaces. All other subspaces are proper. Example 2.5: Subspace is only defined wrt inherited operations. ({1},§ ; ) is a vector space if we define 1§1 = 1 and a¨1=1 "aÎ. However, neither ({1},§ ; ) nor ({1},+ ; ) is a subspace of the vector space (,+ ; ).
  • 17.
    Example 2.6: PolynomialSpaces. n is a proper subspace of m if n < m. Example 2.7: Solution Spaces. The solution space of any real linear homogeneous ordinary differential equation,  f = 0, is a subspace of the function space of 1 variable { f :  →  }. Example 2.8: Violation of Closure. + is not a subspace of  since (-1) v Ï + " vÎ +.
  • 18.
    Lemma 2.9: LetS be a non-empty subset of a vector space ( V, + ;  ). W.r.t. the inherited operations, the following statements are equivalent: 1. S is a subspace of V. 2. S is closed under all linear combinations of pairs of vectors. 3. S is closed under arbitrary linear combinations. Proof: See Hefferon, p.93. Remark: Vector space = Collection of linear combinations of vectors.
  • 19.
    Example 2.11: Parametrizationof a Plane in 3 ì æ x ö ü = ï ç ¸ í ç ¸ - 2 + = 0 ï ý ï î çè ø¸ ï þ S y x y z z is a 2-D subspace of 3. ì æ 2 y - z ö ü = ï ç ¸ í ç y ¸ y , z Î R ï ý ï î çè z ø¸ ï þ ì æ 2 ö æ - 1 ö ü = ï ç í y 1 ¸+ ç ¸ z ç 0 ¸ ç ¸ y , z Î R ï ý ï î çè 0 ø¸ èç 1 ø¸ ï þ i.e., S is the set of all linear combinations of 2 vectors (2,1,0)T, & (-1,0,1)T. Example 2.12: Parametrization of a Matrix Subspace. ìï æ a 0 ö ïü = í ç ¸ + + = 0 ý îï è ø ïþ L a b c b c is a subspace of the space of 2´2 matrices. ìï æ- b - c 0 = ö í ç ¸ b , c Î R ïü b c ý îï è ø ïþ ìï æ - 1 0 ö æ - 1 0 = b ¸+ c ö í ç ç ¸ b , c Î R ïü 1 0 0 1 ý îï è ø è ø ïþ
  • 20.
    Definition 2.13: Span Let S = { s1 , …, sn | sk Î ( V,+, ) } be a set of n vectors in vector space V. The span of S is the set of all linear combinations of the vectors in S, i.e., ì ü = í Î Î ý î þ å s s R with span Æ = { 0 } span S c S c 1 , n k k k k k = Lemma 2.15: The span of any subset of a vector space is a subspace. Proof: n n Let S = { s, …, s| sÎ ( V,+,) } 1 n k  and u =å s v =å s Î u , v span S k k k k = = k k 1 1 w = u + v =å + s ® a b ( au bv ) 1 n k k k k = =å s Î " a,bÎR 1 n k k k w span S = QED Converse: Any vector subspace is the span of a subset of its members. Also: span S is the smallest vector space containing all members of S.
  • 21.
    Example 2.16: Forany vÎV, span{v} = { a v | a Î } is a 1-D subspace. Example 2.17: Proof: The problem is tantamount to showing that for all x, y Î, $ unique a,b Î s.t. 1 1 1 1 x æ ö = a æ ö + b æ ö ç è y ¸ ç ¸ ç ¸ ø è ø è - ø i.e., a b x + = - = a b y has a unique solution for arbitrary x & y. Since 1 ( ) a = x + y 1 ( ) 2 b = x - y " x, yÎR QED 2 2 1 1 , 1 1 span ì æ ö æ ö ü í ç ¸ ç ¸ ý = î è ø è - ø þ R
  • 22.
    Example 2.18: 2 Let S = span{ 3x - x2 , 2x } = { a ( 3x - x2 ) + 2bx a,bÎR } Question: 0 2 0 ? c S = =P Answer is yes since ì ü = í ý î þ å = subspace of 2 ? 1 c = 3a + 2b 2 c = -a 1 3 2 a = -c b = ( c - a ) 2 1 and 1 3 2 ( ) 1 2 = c + c 2 1 k k k c x = Lesson: A vector space can be spanned by different sets of vectors. Definition: Completeness A subset S of a vector space V is complete if span S = V.
  • 23.
    Example 2.19: AllPossible Subspaces of 3 See next section for proof. Planes thru 0 Lines thru 0
  • 24.
    Exercises 2.I.2 ìæ x ö ü ï ç í ç y ¸ ï çè ø¸ ¸ x + y + z = ý ï z ï î þ 1. Consider the set 1 under these operations. x x x x 1 y y y y z z z z æ ö æ + - ç 1 ¸+ ç 2 ö æ 1 2 ö ¸= ç ¸ çç 1 ¸¸ çç + 2 ¸¸ çç 1 2 ¸¸ è 1 ø è + 2 ø è 1 2 ø x rx r 1 r y r y z rz æ ö æ - + ö ç ¸= ç ¸ çç ¸¸ çç ¸¸ è ø è ø (a) Show that it is not a subspace of 3. (Hint. See Example 2.5). (b) Show that it is a vector space. ( To save time, you need only prove axioms (d) & (j), and closure under all linear combinations of 2 vectors.) (c) Show that any subspace of 3 must pass thru the origin, and so any subspace of 3 must involve zero in its description. Does the converse hold? Does any subset of 3 that contains the origin become a subspace when given the inherited operations?
  • 25.
    2. Because ‘spanof’ is an operation on sets we naturally consider how it interacts with the usual set operations. Let [S] º Span S. (a) If S Í T are subsets of a vector space, is [S] Í [T] ? Always? Sometimes? Never? (b) If S, T are subsets of a vector space, is [ S È T ] = [S] È [T] ? (c) If S, T are subsets of a vector space, is [ S Ç T ] = [S] Ç [T] ? (d) Is the span of the complement equal to the complement of the span? 3. Find a structure that is closed under linear combinations, and yet is not a vector space. (Remark. This is a bit of a trick question.)