Tutorial MTH 3201
Linear Algebras
Tutorial 1
1. Determine whether the given set V with the given operations is a vector
      space or not. For those that are NOT, list all axioms that fail to hold.
   (a) V is the set of all 2 × 2 non-singular matrices. The operations of
      addition and scalar multiplication are the standard matrix
      operations. V=2 × 2 non-singular matrices Operation=-standard matrix operations.
         Let


      Suppose            u1    u2                   v1     v2
                
                u                             
                                          and v
                         u3    u4                   v3     v4
 AXIOM 1:
                u1      u2      v1   v2     u1 v1 u2 v2
       
      u v                                                             V
                u3      u4      v3   v4     u3 v3    u4 v4
 AXIOM 2:          
                u v v u
        u1 u2        v1 v2    u1 v1 u2 v2    v1 u1 v2 u2         u1 u2    v1 v2
 
u v
        u3 u4        v3 v4    u3 v3 u4 v4    v3 u3 v4 u4         u3 u4    v3 v4
                                                                 
                                                                v u      V
AXIOM 3:

           u1   u2        v1        v2        w1    w2
u (v w)
              u3   u4        v3        v4        w3    w4
                   u1 u2           v1 w1 v2 w2
                   u3 u4           v3 w3 v4 w4
                   u1 v1 w1            u2 v2 w2
                    u3 v3 w3 u4 v4 w4                            V
                u1 u2    v1 v2   w1                      w2
    (u v) w
                   u3   u4        v3        v4        w3    w4
                    u1 v1 u2 v2                   w1 w2
                    u3 v3 u4 v4                   w3       w4
                   u1 v1 w1                 u2 v2 w2
                                                                     V
                   u3 v3 w3 u4 v4 w4
                             
                        u (v w) (v u ) w
AXIOM 4:                                 
             There exist 0 V such that u 0 0 u             
                                                           u

  Let            x1        x2
        
        0                       ; u 0 u
                                    
                 x3        x4
            u1        u2        x1   x2    u1   u2
 
u 0
            u3        u4        x3   x4    u3       u4
                  u1 x1 u2 x2              u1       u2
                  u3 x3 u4 x4              u3       u4

             u1        x1 u1 , then x1          0               V
                                                         Then, 0
             u2            x2   u2 , then x2    0
             u3            x3   u3 , then x3    0
                 u4        x4   u4 , then x4    0
    
But 0                 0 which is a singular matrix
AXIOM 5:       
               u V           
                             u          
                                   s.t. u    
                                             u      
                                                    u    
                                                        u 0
          V
  Since, 0
AXIOM 6:

                                  
  If k is any scalar and u V then ku V .
     k u1 u2           ku1 ku2
   ku
            u3 u4
                                   V
                        ku3 ku4
AXIOM 7:     
           k u      
                    v     
                         ku         
                                   kv

             u1   u2       v1    v2
k u v      k
               u3   u4       v3    v4
               u1   u2        v1   v2          
           k             k                  ku kv       V
               u3   u4        v3    v4
AXIOM 8:   k       
                  u       
                          ku           
                                      u
                                             ku1 u1 ku2 u2
                        u1      u2
  k     u ( k )                            ku3 u3 ku4 u4
                         u3      u4
               ku1 ku2        u1 u2            u1 u2       u1 u2
               ku3 ku4        u3 u4
                                             k           
                                                 u3 u4       u3 u4
                 
                ku        
                         u
AXIOM 9:      
           k u              
                          k u
                        u1          u 2
       k u         k
                         u3          u 4
                         k u1    k u2
                         k u3    k u4
                                 
                              k u
AXIOM 10:               
                      11 u    
                              u

            u1   u2     u1   u2
1
  u    1                         
                                  u
            u3   u4     u3   u4


   CONCLUSION :



      Hence, V is is not a vector space
      since Axiom 4 and Axiom 5 aren't satisfied.
V=2 × 2 non-singular matrices
• i.e., one that has a matrix inverse (invertable)
• A square matrix is nonsingular iff its
  determinant is nonzero.
  Example:


                               0   0
                               0   0
                 V
                0
(b) v       
              v    (v1 , v2 , v3 )    3 v1   v2
Suppose
  
  u                        
       (u1 , u2 , u3 ) and v                                
                                     (v1 , v2 , v3 ) where u, v V
AXIOM 1:

 
u v (u1, u2 , u3 ) (v1, v2 , v3 ) (u1 v1 , u2 v2 , u3 v3 )     V
AXIOM 2:      
           u v v u
 
u v (u1, u2 , u3 ) (v1, v2 , v3 ) (u1 v1 , u2 v2 , u3 v3 )
    (v1 u1 , v2 u2 , v3 u3 ) (v1 , v2 , v3 ) (u1 , u2 , u3 )
                                     
                                    v u      V
AXIOM 3:            
            u (v w) (v u ) w

  
u (v w) (u1, u2 , u3 )         (v1, v2 , v3 ) (w1, w2 , w3 )


              (u1, u2 , u3 )      v1 w1 , v2 w2 , v3 w3

             (u1 v1 w1 , u2 v2            w2 , u3 v3       w3 )       V
      
   (u v) w     (u1, u2 , u3 ) (v1, v2 , v3 )     (w1, w2 , w3 )


           u1 v1, u2 v2 , u3 v3           (w1, w2 , w3 )

           (u1 v1 w1 , u2 v2 w2 , u3 v3                        w3 )   V

                            
                       u (v w) (v u ) w
AXIOM 4:                               
           There exist 0 V such that u 0 0 u                   
                                                               u

  Let                       
        0 ( x1, x2 , x3 ); u 0 u
 
u 0 (u1, u2 , u3 ) ( x1, x2 , x3 )       (u1 , u2 , u3 )
        (u1 x1 , u2 x2 , u3 x3 )         (u1 , u2 , u3 )
           u1 x1 u1 , then x1                    0                                 
                                                           ( x1, x2 , x3 ) (0,0,0) 0
           u2 x2 u2 , then x2                    0
           u3 x3 u3 , then x3
            u4     x4    u4 , then x4
                                                 0
                                                 0
                                                            V
                                                     Then, 0
AXIOM 5:             
                     u V                 
                                         u       s.t.
            
            u       
                    u              
                                 u u 0           Since,              V
                                                                    u
            (u1 , u2 , u3 ) ( (u1 , u2 , u3 )) (u1, u2 , u3 ) ( u1, u2 , u3 )
                 (u1 u1 , u2 u2 , u3 u3 ) ( u1 u1 , u2 u2 , u3 u3 )
                                                      
                 ( (u , u , u )) (u , u , u ) (0,0,0) 0
                     1   2   3       1       2   3
AXIOM 6:
           If k is any scalar and                        
                                                u V then ku   V.

                        (ku1 , ku2 , ku3 )
 ku k u1 , u2 , u3                                  V
AXIOM 7:
             
           k u       
                     v        
                             ku        
                                      kv
      
   k u v       k (u1 , u2 , u3 ) (v1 , v2 , v3 )

              k (u1 , u2 , u3 ) k (v1 , v2 , v3 )
                  
               ku kv             V
AXIOM 8:    k       
                   u         
                             ku         
                                       u

  k      
        u        (k ) u1, u2 , u3             (ku1 u1 , ku2   u2 , ku3 u3 )

                  (ku1 , ku2 , ku3 ) (u1 , u2 , u3 )
                  k u1, u2 , u3     u1, u2 , u3
                    
                   ku              
                                  u
AXIOM 9:        
             k u               
                             k u
              
           k u       k u1 , u2 , u3
                     (k u1 , k u2 , k u3 )
                              
                           k u
AXIOM 10:               1 
                        1 u        
                                    u


1 1(u1 , u2 , u3 )
  u                      (u1 , u2 , u3 )   
                                           u


    CONCLUSION :




               Hence, V is a vector space.
(c) v      
            v    (v1 , v2 , v3 )    3 v1   v2
 Suppose

  
  u                        
       (u1 , u2 , u3 ) and v                               
                                    (v1 , v2 , v3 ) where u, v V
AXIOM 1:

 
u v (u1, u2 , u3 ) (v1, v2 , v3 ) (u1 v1 , u2 v2 , u3 v3 )   V
AXIOM 2:      
           u v v u
 
u v (u1, u2 , u3 ) (v1, v2 , v3 ) (u1 v1 , u2 v2 , u3 v3 )
 (v1 u1 , v2 u2 , v3 u3 ) (v1 , v2 , v3 ) (u1 , u2 , u3 )
                                  
                                v u      V
AXIOM 3:            
            u (v w) (v u ) w

  
u (v w) (u1, u2 , u3 )         (v1, v2 , v3 ) (w1, w2 , w3 )


              (u1, u2 , u3 )      v1 w1 , v2 w2 , v3 w3

             (u1 v1 w1 , u2 v2            w2 , u3 v3       w3 )       V
      
   (u v) w     (u1, u2 , u3 ) (v1, v2 , v3 )     (w1, w2 , w3 )


           u1 v1, u2 v2 , u3 v3           (w1, w2 , w3 )

           (u1 v1 w1 , u2 v2 w2 , u3 v3                        w3 )   V

                            
                       u (v w) (v u ) w
AXIOM 4:                               
           There exist 0 V such that u 0 0 u           
                                                       u

  Let                       
        0 ( x1, x2 , x3 ); u 0 u
 
u 0 (u1, u2 , u3 ) ( x1, x2 , x3 )   (u1 , u2 , u3 )
        (u1 x1 , u2 x2 , u3 x3 )     (u1 , u2 , u3 )
                                 
         ( x1, x2 , x3 ) (0,0,0) 0
  Hence v1                      v2 .Then,              
                                                       0 V.

AXIOM 5:


                V
        Since, 0
AXIOM 6:
           If k is any scalar and                        
                                                u V then ku   V.

                        (ku1 , ku2 , ku3 )
 ku k u1 , u2 , u3                                  V
AXIOM 7:
             
           k u       
                     v        
                             ku        
                                      kv
      
   k u v       k (u1 , u2 , u3 ) (v1 , v2 , v3 )

              k (u1 , u2 , u3 ) k (v1 , v2 , v3 )
                  
               ku kv             V
AXIOM 8:    k       
                   u         
                             ku         
                                       u

  k      
        u        (k ) u1, u2 , u3             (ku1 u1 , ku2   u2 , ku3 u3 )

                  (ku1 , ku2 , ku3 ) (u1 , u2 , u3 )
                  k u1, u2 , u3     u1, u2 , u3
                    
                   ku              
                                  u
AXIOM 9:        
             k u               
                             k u
              
           k u       k u1 , u2 , u3
                     (k u1 , k u2 , k u3 )
                              
                           k u
AXIOM 10:               1
                          u         
                                    u


1 1(u1 , u2 , u3 )
  u                      (u1 , u2 , u3 )   
                                           u


    CONCLUSION :



        Hence, V is not a vector space because
        Axiom 4 and Axiom 5 not satisfied.
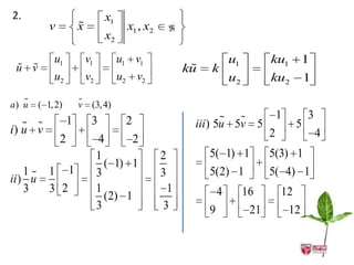
2.                                x1
            v           
                        x                x1 , x2       
                                  x2
             u1             v1         u1 v1                            u1         ku1          1
  
 u v                                                        
                                                           ku   k
             u2             v2         u2 v2                            u2         ku2          1
   
a) u     ( 1, 2)        
                        v (3, 4)
                    1        3          2                                            1        3
    
i) u v                                                      iii ) 5u 5v 5                   5
                2                4      2                                          2                4
                                 1                 2            5( 1) 1            5(3) 1
                                   ( 1) 1
    1      1 1                  3                 3            5(2) 1             5( 4) 1
ii ) u
    3       3 2                  1                  1               4        16        12
                                   (2) 1
                                 3                 3            9             21           12
 v) 5 2
iv)5( u 
                                   5(2) 1        11
                       2           5( 2) 1        11

                              1        5( 1) 1            4
            
v) (2 5) u 5u 5
                           2            5(2) 1         9

                             1            1
vi )       2u 3u       2            3
                           2            2
           2( 1) 1     5( 1) 1
           2(2) 1      3(2) 1
       3           2   1
           5   5       0

(b) Find the object 0                    
                             V such that 0              
                                                        u            
                                                            u for any u   V.

                       x1                         u1
  Suppose 0                            
                                   and u
                        x2                         u2
                 x1         u1    u1
         0 u
                   x2         u2    u2
                        x1 u1       u1
                        x2 u2       u2
        Then x1 u1           u1      x1       0
               x2 u2         u2          x2   0.

              0
         0          V
               0

(c) If the object 0 in (b) exist,
                                            
    find the object w V such that u w 0 for any u V .

                   0               w1               u1
 Suppose 0               
                        ,w                       
                                             and u
                    0               w2               u2

               w1       u1          0
        
       w u
               w2       u2          0

               w1 u1            0
               w2 u2            0
        Then w1 u1          0           w1   u1
             w2 u2          0           w2    u2 .
               u1
         
         w              V
               u2

(d) Is 1v             
            v for each v      V?

                        v1
             
     Suppose v
                        v2
                   v1
             
            1v 1
                   v2


                   1(v1 ) 1   v1
                   1(v2 ) 1   v2

(e) Is v with the given two operation a vector space?


         V is not a vector space because
         Axiom 8 is not satisfied.
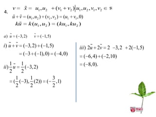
3.                              x1
           v           
                       x              x1 , x2   
                                x2

               u1          v1        u1v1                      u1            u1        k
      
     u v                                             
                                                    ku    k
               u2          v2        u2 v2                     u2            ku2

   
a) u   ( 2, 7)         
                       v (1, 2)

                                                                                2            1
                   2       1            2(1)        2    iii ) 3u 3v 3                     3
    
i) u v                                                                        7                    2
               7                2     7 2     5
                                                              3( 2)(1)        3 1
                                      1     3
                                 2                            3(7)            3( 2)
    1         1 2                    2     2
ii ) u
    2          2 7              1         7                1        4             4
                                  (7)
                                2         2                   21         6        15
 v) 3( 2 )
iv)3( u 
                               3 2                21
              5                3(5)               15

                              2            2 7        5
            
v) (2 5) u 7u 7
                           7               7(7)        49

                     2               2
vi ) 2u 5u     2               5
                   7               7
   2 2        5 2
   2(7)       5(7)
   0      3          0
   14     35         49

(b) Find the object 0                      
                               V such that 0             
                                                         u            
                                                             u for any u   V.

                       x1                          u1
  Suppose 0                             
                                    and u
                        x2                          u2
                 x1          u1    u1
         0 u
                   x2          u2    u2
                        x1u1         u1
                        x2 u2        u2
        Then       x1u1        u1         x1 1
               x2 u2           u2         x2   0.

              1
         0          V
               0

(c) If the object 0 in (b) exist,
                                            
    find the object w V such that u w 0 for any u V .

                 1              w1                   u1
 Suppose 0                
                         ,w                 
                                        and u
                     0           w2                   u2
                w1          u1   1                               1
                                      Then w1u1   1        w1
         
        w u                                                      u1
                w2          u2   0
                                           w2 u2       0        w2    u2 .
                     w1u1        1          1
                     w2 u2       0     
                                       w    u1     V
                                             u2
(d) Is (k       
              )v         
                         kv               
                               v for each v          V and k ,     ?

                               v1
             
     Suppose v
                               v2
                          v1        (k ) v1
          
   ( k  )v    ( k )
                          v2        (k )v2
                    v1         v1     k v1       v1       (k v1 )( v1 )
     
   kv v      k           
                    v2         v2     kv2       v2        kv2 v2


                                         
                                    (k )v      
                                              kv v

(e) Is v with the given two operation a vector space?


         V is not a vector space because
         Axiom 8 is not satisfied.
v        
                x    u1 , u2      (v1   v2 ) u1 , u2 , v1 , v2   
4.
        
       u v       (u1 , u2 ) (v1 , v2 ) (u1 v1 , 0)
         
        ku        k (u1 , u2 ) ( ku1 , ku2 )

   
a) u       ( 3, 2)   
                     v   ( 1,5)
    
i) u v ( 3, 2) ( 1,5)                                  
                                               iii ) 2u 2v 2         3, 2   2( 1,5)
               ( 3 ( 1),0) ( 4,0)                    ( 6, 4) ( 2,10)
    1    1                                          ( 8, 0).
ii ) u      ( 3, 2)
    2     2
        1     1       3
       ( ( 3), (2)) ( ,1)
        2     2       2
 
iv) 2( u v) 2( 4,0)    8,0

           
v) (2 5) u 7u 7( 3, 2)
    (7( 3),7(2)) ( 21,14)
       
vi ) 2u 5u 2( 3, 2) 5( 3, 2)
   ( 6, 4) ( 15,10)
   ( 21,0)

(b) Find the object 0                   
                            V such that 0               
                                                        u               
                                                               u for any u   V.

        
Suppose 0         ( x1 , x2 )            
                                     and u        (u1 , u2 )

      
     0 u ( x1, x2 ) (u1, u2 ) (u1, u2 )

                  ( x1 u1 , 0)       (u1 , u2 )

       Then       x1 u1         u1           x1   0
                        0       u2           x2   0.

             0
        0           V
              0

(c) If the object 0 in (b) exist,
                                            
    find the object w V such that u w 0 for any u V .

                           
 Since 0 not exist and then w is not exist.
(d) Is       
          k (v   
                 w)     
                       kv                 
                              kw for each v, w V and k                       ?

                 
         Suppose v          v1, v2          
                                        and w          (w1, w2 )


              
          k (v w )    k (v1 , v2 ) k ( w1 , w2 ) (kv1 , kv2 ) (kw1 , kw2 )
              (kv1 kw1 , 0)
             
          kv kw k (v1 , v2 ) k ( w1 , w2 ) (kv1 , kv2 ) (kw1 , kw2 )
                 (kv1 kw1 , 0)


                      
                   k (v              
                                     w)            
                                                  kv             
                                                                kw

(e) Is v with the given two operation a vector space?


           V is not a vector space since
          
          0 is not exist.
5. Is the set W subspace of vector space V
From lecture note,
5. Is the set W subspace of vector space V


a) W     u1 , u2 , u3       3 u1    u2   u3      

                           
   Let u (u2 u3 , u2 , u3 ) v (v2 v3 , v2 , v3 )
   Axiom1
      
   ( u v) (u2 u3 , u2 , u3 ) (v2 v3 , v2 , v3 )
                ((u2 v2 ) (u3 v3 ), u2 v2 , u3 v3 ) W
   Axiom 6
     
   k u k (u       u3 , u2 , u3 ) W
            2

       W is subspace of V
5. Is the set W subspace of vector space V


b) W     x, y      2 x     0 ; V        
                         
         Let u (u1 , u2 ) v (v1 , v2 )
         Axiom1
            
         ( u v) (u1 , u2 ) (v1 , v2 )
                   (u1 v1 , u2 v2 ) W
         Axiom 6
          
         ku k (u1 , u2 ) (ku1 , ku2 )
            If k    0, then ku1 0 W
            W is not subspace of V
5. Is the set W subspace of vector space V


                       2                       2
c) W      x, y            y   2x ; V      

                        
       Let u (u1 , 2u1 ) v (v1 , 2v1 )
       Axiom1
          
       ( u v) (u1 , 2u1 ) (v1 , 2v1 )
                 (u1 v1 , 2(u1 v1 )) W
       Axiom 6
         
       k u k (u1 , 2u1 ) (ku1 , 2ku2 ) W


          W is subspace of V
5. Is the set W subspace of vector space V

d) W         p x       P2 p(0)                     0 ; V    P2

Let P ( x) a1 x n b1 x n
     1
                               1
                                       ... 0
     P2 ( x) a2 x n b2 x n         1
                                           ... 0
Axiom1
P ( x) P2 ( x) a1 x n b1 x n
 1
                                       1
                                            ... 0 a2 x n b2 x n      1
                                                                         ... 0
          (a1 a2 ) x n (b1 b2 ) x n                1
                                                       ... 0 W
Axiom 6
kP ( x) k (a1 x n b1 x n
  1
                           1
                                   ... 0) ka1 x n kb1 x n        1
                                                                         ... 0 W


   W is subspace of V
5. Is the set W subspace of vector space V


e) W   p ( x)    ax 2    3x   2a       ; V    P( x)

          Let P ( x) a1 x 2 3x 2
               1

                 P2 ( x) a2 x 2 3 x 2
          Axiom1
          P ( x) P2 ( x) a1 x 2 3x 2 a2 x 2 3x 2
           1

                        (a1 a2 ) x 2 6 x 4 W
          Axiom 6
          kP ( x) k (a1 x 2 3x 2) ka1 x 2 3kx 6 W
            1



                W is not subspace of V
5. Is the set W subspace of vector space V

               a        c
f) W                                 a, c            ; V     M 22
               c            a
          u1       u2                            v1   v2
    
Let u                                 
                                      v
          u2        u4                           v2   v4
Axiom1
         u1    u2               v1        v2          u1 v1     u2 v2
 
u v                                                                        W
         u2     u4              v2          v4        u2 v2     (u4 v4 )
Axiom 6
     u1        u2               ku1         ku2
 
ku k
     u2         u4              ku2          ku4
If k 0, then         ku1 0 W
  W is not subspace of V
5. Is the set W subspace of vector space V
           a        b
g) W                    a, b, c             ; V       M 22
           c    0

                u1 u2                        v1 v2
       
   Let u                             
                                     v
                u2          0                v2    0
   Axiom1
               u1 u2            v1 v2             u1 v1   u2 v2
    
   u v                                                            W
               u2       0       v2       0        u2 v2   (0 0)
   Axiom 6
        u1 u2                   ku1 ku2
    
   ku k                                            W
        u2 0                    ku2 0
       W is subspace of V
Thank You!!!
“Satu itu Alif, Alif itu Ikhlas,
Ikhlas itu perlu diletakkan pada tempat Pertama,
Juga Perlu di Utamakan”

Tutorial 1 mth 3201

  • 1.
  • 2.
  • 3.
    1. Determine whetherthe given set V with the given operations is a vector space or not. For those that are NOT, list all axioms that fail to hold. (a) V is the set of all 2 × 2 non-singular matrices. The operations of addition and scalar multiplication are the standard matrix operations. V=2 × 2 non-singular matrices Operation=-standard matrix operations. Let Suppose u1 u2 v1 v2  u  and v u3 u4 v3 v4 AXIOM 1: u1 u2 v1 v2 u1 v1 u2 v2   u v V u3 u4 v3 v4 u3 v3 u4 v4 AXIOM 2:     u v v u u1 u2 v1 v2 u1 v1 u2 v2 v1 u1 v2 u2 u1 u2 v1 v2   u v u3 u4 v3 v4 u3 v3 u4 v4 v3 u3 v4 u4 u3 u4 v3 v4   v u V
  • 4.
    AXIOM 3:   u1 u2 v1 v2 w1 w2 u (v w) u3 u4 v3 v4 w3 w4 u1 u2 v1 w1 v2 w2 u3 u4 v3 w3 v4 w4 u1 v1 w1 u2 v2 w2 u3 v3 w3 u4 v4 w4 V    u1 u2 v1 v2 w1 w2 (u v) w u3 u4 v3 v4 w3 w4 u1 v1 u2 v2 w1 w2 u3 v3 u4 v4 w3 w4 u1 v1 w1 u2 v2 w2 V u3 v3 w3 u4 v4 w4       u (v w) (v u ) w
  • 5.
    AXIOM 4:      There exist 0 V such that u 0 0 u  u Let x1 x2  0 ; u 0 u    x3 x4 u1 u2 x1 x2 u1 u2   u 0 u3 u4 x3 x4 u3 u4 u1 x1 u2 x2 u1 u2 u3 x3 u4 x4 u3 u4 u1 x1 u1 , then x1 0  V Then, 0 u2 x2 u2 , then x2 0 u3 x3 u3 , then x3 0 u4 x4 u4 , then x4 0  But 0 0 which is a singular matrix
  • 6.
    AXIOM 5:  u V  u  s.t. u  u  u   u 0  V Since, 0 AXIOM 6:   If k is any scalar and u V then ku V .  k u1 u2 ku1 ku2 ku u3 u4 V ku3 ku4 AXIOM 7:  k u  v  ku  kv   u1 u2 v1 v2 k u v k u3 u4 v3 v4 u1 u2 v1 v2   k k ku kv V u3 u4 v3 v4
  • 7.
    AXIOM 8: k   u  ku  u ku1 u1 ku2 u2  u1 u2 k  u ( k ) ku3 u3 ku4 u4 u3 u4 ku1 ku2 u1 u2 u1 u2 u1 u2 ku3 ku4 u3 u4 k  u3 u4 u3 u4  ku  u AXIOM 9:  k u  k u  u1 u 2 k u k u3 u 4 k u1 k u2 k u3 k u4  k u
  • 8.
    AXIOM 10:   11 u  u u1 u2 u1 u2 1 u 1  u u3 u4 u3 u4 CONCLUSION : Hence, V is is not a vector space since Axiom 4 and Axiom 5 aren't satisfied.
  • 9.
    V=2 × 2non-singular matrices • i.e., one that has a matrix inverse (invertable) • A square matrix is nonsingular iff its determinant is nonzero. Example: 0 0 0 0  V 0
  • 10.
    (b) v  v (v1 , v2 , v3 )  3 v1 v2 Suppose  u  (u1 , u2 , u3 ) and v   (v1 , v2 , v3 ) where u, v V AXIOM 1:   u v (u1, u2 , u3 ) (v1, v2 , v3 ) (u1 v1 , u2 v2 , u3 v3 ) V AXIOM 2:     u v v u   u v (u1, u2 , u3 ) (v1, v2 , v3 ) (u1 v1 , u2 v2 , u3 v3 ) (v1 u1 , v2 u2 , v3 u3 ) (v1 , v2 , v3 ) (u1 , u2 , u3 )   v u V
  • 11.
    AXIOM 3:       u (v w) (v u ) w    u (v w) (u1, u2 , u3 ) (v1, v2 , v3 ) (w1, w2 , w3 ) (u1, u2 , u3 ) v1 w1 , v2 w2 , v3 w3 (u1 v1 w1 , u2 v2 w2 , u3 v3 w3 ) V    (u v) w (u1, u2 , u3 ) (v1, v2 , v3 ) (w1, w2 , w3 ) u1 v1, u2 v2 , u3 v3 (w1, w2 , w3 ) (u1 v1 w1 , u2 v2 w2 , u3 v3 w3 ) V       u (v w) (v u ) w
  • 12.
    AXIOM 4:      There exist 0 V such that u 0 0 u  u Let     0 ( x1, x2 , x3 ); u 0 u   u 0 (u1, u2 , u3 ) ( x1, x2 , x3 ) (u1 , u2 , u3 ) (u1 x1 , u2 x2 , u3 x3 ) (u1 , u2 , u3 ) u1 x1 u1 , then x1 0  ( x1, x2 , x3 ) (0,0,0) 0 u2 x2 u2 , then x2 0 u3 x3 u3 , then x3 u4 x4 u4 , then x4 0 0  V Then, 0 AXIOM 5:  u V  u s.t.  u  u    u u 0 Since,  V u (u1 , u2 , u3 ) ( (u1 , u2 , u3 )) (u1, u2 , u3 ) ( u1, u2 , u3 ) (u1 u1 , u2 u2 , u3 u3 ) ( u1 u1 , u2 u2 , u3 u3 )  ( (u , u , u )) (u , u , u ) (0,0,0) 0 1 2 3 1 2 3
  • 13.
    AXIOM 6: If k is any scalar and   u V then ku V.  (ku1 , ku2 , ku3 ) ku k u1 , u2 , u3 V AXIOM 7:  k u  v  ku  kv   k u v k (u1 , u2 , u3 ) (v1 , v2 , v3 ) k (u1 , u2 , u3 ) k (v1 , v2 , v3 )   ku kv V
  • 14.
    AXIOM 8: k   u  ku  u k   u (k ) u1, u2 , u3 (ku1 u1 , ku2 u2 , ku3 u3 ) (ku1 , ku2 , ku3 ) (u1 , u2 , u3 ) k u1, u2 , u3  u1, u2 , u3  ku  u AXIOM 9:  k u  k u  k u k u1 , u2 , u3 (k u1 , k u2 , k u3 )  k u
  • 15.
    AXIOM 10: 1  1 u  u 1 1(u1 , u2 , u3 ) u (u1 , u2 , u3 )  u CONCLUSION : Hence, V is a vector space.
  • 16.
    (c) v  v (v1 , v2 , v3 )  3 v1 v2 Suppose  u  (u1 , u2 , u3 ) and v   (v1 , v2 , v3 ) where u, v V AXIOM 1:   u v (u1, u2 , u3 ) (v1, v2 , v3 ) (u1 v1 , u2 v2 , u3 v3 ) V AXIOM 2:     u v v u   u v (u1, u2 , u3 ) (v1, v2 , v3 ) (u1 v1 , u2 v2 , u3 v3 ) (v1 u1 , v2 u2 , v3 u3 ) (v1 , v2 , v3 ) (u1 , u2 , u3 )   v u V
  • 17.
    AXIOM 3:       u (v w) (v u ) w    u (v w) (u1, u2 , u3 ) (v1, v2 , v3 ) (w1, w2 , w3 ) (u1, u2 , u3 ) v1 w1 , v2 w2 , v3 w3 (u1 v1 w1 , u2 v2 w2 , u3 v3 w3 ) V    (u v) w (u1, u2 , u3 ) (v1, v2 , v3 ) (w1, w2 , w3 ) u1 v1, u2 v2 , u3 v3 (w1, w2 , w3 ) (u1 v1 w1 , u2 v2 w2 , u3 v3 w3 ) V       u (v w) (v u ) w
  • 18.
    AXIOM 4:      There exist 0 V such that u 0 0 u  u Let     0 ( x1, x2 , x3 ); u 0 u   u 0 (u1, u2 , u3 ) ( x1, x2 , x3 ) (u1 , u2 , u3 ) (u1 x1 , u2 x2 , u3 x3 ) (u1 , u2 , u3 )  ( x1, x2 , x3 ) (0,0,0) 0 Hence v1 v2 .Then,  0 V. AXIOM 5:  V Since, 0
  • 19.
    AXIOM 6: If k is any scalar and   u V then ku V.  (ku1 , ku2 , ku3 ) ku k u1 , u2 , u3 V AXIOM 7:  k u  v  ku  kv   k u v k (u1 , u2 , u3 ) (v1 , v2 , v3 ) k (u1 , u2 , u3 ) k (v1 , v2 , v3 )   ku kv V
  • 20.
    AXIOM 8: k   u  ku  u k   u (k ) u1, u2 , u3 (ku1 u1 , ku2 u2 , ku3 u3 ) (ku1 , ku2 , ku3 ) (u1 , u2 , u3 ) k u1, u2 , u3  u1, u2 , u3  ku  u AXIOM 9:  k u  k u  k u k u1 , u2 , u3 (k u1 , k u2 , k u3 )  k u
  • 21.
    AXIOM 10: 1 u  u 1 1(u1 , u2 , u3 ) u (u1 , u2 , u3 )  u CONCLUSION : Hence, V is not a vector space because Axiom 4 and Axiom 5 not satisfied.
  • 22.
    2. x1 v  x x1 , x2  x2 u1 v1 u1 v1 u1 ku1 1   u v  ku k u2 v2 u2 v2 u2 ku2 1  a) u ( 1, 2)  v (3, 4) 1 3 2   1 3   i) u v iii ) 5u 5v 5 5 2 4 2 2 4 1 2 5( 1) 1 5(3) 1 ( 1) 1 1 1 1 3 3 5(2) 1 5( 4) 1 ii ) u 3 3 2 1 1 4 16 12 (2) 1 3 3 9 21 12
  • 23.
     v) 52 iv)5( u  5(2) 1 11 2 5( 2) 1 11  1 5( 1) 1 4  v) (2 5) u 5u 5 2 5(2) 1 9   1 1 vi ) 2u 3u 2 3 2 2 2( 1) 1 5( 1) 1 2(2) 1 3(2) 1 3 2 1 5 5 0
  • 24.
     (b) Find theobject 0  V such that 0  u   u for any u V.  x1 u1 Suppose 0  and u x2 u2   x1 u1 u1 0 u x2 u2 u2 x1 u1 u1 x2 u2 u2 Then x1 u1 u1 x1 0 x2 u2 u2 x2 0.  0 0 V 0
  • 25.
     (c) If theobject 0 in (b) exist,      find the object w V such that u w 0 for any u V .  0 w1 u1 Suppose 0  ,w  and u 0 w2 u2 w1 u1 0   w u w2 u2 0 w1 u1 0 w2 u2 0 Then w1 u1 0 w1 u1 w2 u2 0 w2 u2 . u1  w V u2
  • 26.
     (d) Is 1v   v for each v V? v1  Suppose v v2 v1  1v 1 v2 1(v1 ) 1 v1 1(v2 ) 1 v2
  • 27.
     (e) Is vwith the given two operation a vector space? V is not a vector space because Axiom 8 is not satisfied.
  • 28.
    3. x1 v  x x1 , x2  x2 u1 v1 u1v1 u1 u1 k   u v  ku k u2 v2 u2 v2 u2 ku2  a) u ( 2, 7)  v (1, 2)   2 1 2 1 2(1) 2 iii ) 3u 3v 3 3   i) u v 7 2 7 2 7 2 5 3( 2)(1) 3 1 1 3 2 3(7) 3( 2) 1 1 2 2 2 ii ) u 2 2 7 1 7 1 4 4 (7) 2 2 21 6 15
  • 29.
     v) 3(2 ) iv)3( u  3 2 21 5 3(5) 15  2 2 7 5  v) (2 5) u 7u 7 7 7(7) 49   2 2 vi ) 2u 5u 2 5 7 7 2 2 5 2 2(7) 5(7) 0 3 0 14 35 49
  • 30.
     (b) Find theobject 0  V such that 0  u   u for any u V.  x1 u1 Suppose 0  and u x2 u2   x1 u1 u1 0 u x2 u2 u2 x1u1 u1 x2 u2 u2 Then x1u1 u1 x1 1 x2 u2 u2 x2 0.  1 0 V 0
  • 31.
     (c) If theobject 0 in (b) exist,      find the object w V such that u w 0 for any u V .  1 w1 u1 Suppose 0  ,w  and u 0 w2 u2 w1 u1 1 1 Then w1u1 1 w1   w u u1 w2 u2 0 w2 u2 0 w2 u2 . w1u1 1 1 w2 u2 0  w u1 V u2
  • 32.
    (d) Is (k  )v  kv   v for each v V and k ,  ? v1  Suppose v v2 v1 (k ) v1  ( k  )v ( k ) v2 (k )v2 v1 v1 k v1  v1 (k v1 )( v1 )   kv v k  v2 v2 kv2 v2 kv2 v2  (k )v   kv v
  • 33.
     (e) Is vwith the given two operation a vector space? V is not a vector space because Axiom 8 is not satisfied.
  • 34.
    v  x u1 , u2 (v1 v2 ) u1 , u2 , v1 , v2  4.   u v (u1 , u2 ) (v1 , v2 ) (u1 v1 , 0)  ku k (u1 , u2 ) ( ku1 , ku2 )  a) u ( 3, 2)  v ( 1,5)   i) u v ( 3, 2) ( 1,5)   iii ) 2u 2v 2 3, 2 2( 1,5) ( 3 ( 1),0) ( 4,0) ( 6, 4) ( 2,10) 1 1 ( 8, 0). ii ) u ( 3, 2) 2 2 1 1 3 ( ( 3), (2)) ( ,1) 2 2 2
  • 35.
      iv) 2(u v) 2( 4,0) 8,0   v) (2 5) u 7u 7( 3, 2) (7( 3),7(2)) ( 21,14)   vi ) 2u 5u 2( 3, 2) 5( 3, 2) ( 6, 4) ( 15,10) ( 21,0)
  • 36.
     (b) Find theobject 0  V such that 0  u   u for any u V.  Suppose 0 ( x1 , x2 )  and u (u1 , u2 )   0 u ( x1, x2 ) (u1, u2 ) (u1, u2 ) ( x1 u1 , 0) (u1 , u2 ) Then x1 u1 u1 x1 0 0 u2 x2 0.  0 0 V 0
  • 37.
     (c) If theobject 0 in (b) exist,      find the object w V such that u w 0 for any u V .   Since 0 not exist and then w is not exist.
  • 38.
    (d) Is  k (v  w)  kv    kw for each v, w V and k ?  Suppose v v1, v2  and w (w1, w2 )   k (v w ) k (v1 , v2 ) k ( w1 , w2 ) (kv1 , kv2 ) (kw1 , kw2 ) (kv1 kw1 , 0)   kv kw k (v1 , v2 ) k ( w1 , w2 ) (kv1 , kv2 ) (kw1 , kw2 ) (kv1 kw1 , 0)  k (v  w)  kv  kw
  • 39.
     (e) Is vwith the given two operation a vector space? V is not a vector space since  0 is not exist.
  • 40.
    5. Is theset W subspace of vector space V From lecture note,
  • 41.
    5. Is theset W subspace of vector space V a) W u1 , u2 , u3  3 u1 u2 u3    Let u (u2 u3 , u2 , u3 ) v (v2 v3 , v2 , v3 ) Axiom1   ( u v) (u2 u3 , u2 , u3 ) (v2 v3 , v2 , v3 ) ((u2 v2 ) (u3 v3 ), u2 v2 , u3 v3 ) W Axiom 6  k u k (u u3 , u2 , u3 ) W 2 W is subspace of V
  • 42.
    5. Is theset W subspace of vector space V b) W x, y 2 x 0 ; V    Let u (u1 , u2 ) v (v1 , v2 ) Axiom1   ( u v) (u1 , u2 ) (v1 , v2 ) (u1 v1 , u2 v2 ) W Axiom 6  ku k (u1 , u2 ) (ku1 , ku2 ) If k 0, then ku1 0 W W is not subspace of V
  • 43.
    5. Is theset W subspace of vector space V 2 2 c) W x, y  y 2x ; V    Let u (u1 , 2u1 ) v (v1 , 2v1 ) Axiom1   ( u v) (u1 , 2u1 ) (v1 , 2v1 ) (u1 v1 , 2(u1 v1 )) W Axiom 6  k u k (u1 , 2u1 ) (ku1 , 2ku2 ) W W is subspace of V
  • 44.
    5. Is theset W subspace of vector space V d) W p x P2 p(0) 0 ; V P2 Let P ( x) a1 x n b1 x n 1 1 ... 0 P2 ( x) a2 x n b2 x n 1 ... 0 Axiom1 P ( x) P2 ( x) a1 x n b1 x n 1 1 ... 0 a2 x n b2 x n 1 ... 0 (a1 a2 ) x n (b1 b2 ) x n 1 ... 0 W Axiom 6 kP ( x) k (a1 x n b1 x n 1 1 ... 0) ka1 x n kb1 x n 1 ... 0 W W is subspace of V
  • 45.
    5. Is theset W subspace of vector space V e) W p ( x) ax 2 3x 2a  ; V P( x) Let P ( x) a1 x 2 3x 2 1 P2 ( x) a2 x 2 3 x 2 Axiom1 P ( x) P2 ( x) a1 x 2 3x 2 a2 x 2 3x 2 1 (a1 a2 ) x 2 6 x 4 W Axiom 6 kP ( x) k (a1 x 2 3x 2) ka1 x 2 3kx 6 W 1 W is not subspace of V
  • 46.
    5. Is theset W subspace of vector space V a c f) W a, c  ; V M 22 c a u1 u2 v1 v2  Let u  v u2 u4 v2 v4 Axiom1 u1 u2 v1 v2 u1 v1 u2 v2   u v W u2 u4 v2 v4 u2 v2 (u4 v4 ) Axiom 6 u1 u2 ku1 ku2  ku k u2 u4 ku2 ku4 If k 0, then ku1 0 W W is not subspace of V
  • 47.
    5. Is theset W subspace of vector space V a b g) W a, b, c  ; V M 22 c 0 u1 u2 v1 v2  Let u  v u2 0 v2 0 Axiom1 u1 u2 v1 v2 u1 v1 u2 v2   u v W u2 0 v2 0 u2 v2 (0 0) Axiom 6 u1 u2 ku1 ku2  ku k W u2 0 ku2 0 W is subspace of V
  • 48.
    Thank You!!! “Satu ituAlif, Alif itu Ikhlas, Ikhlas itu perlu diletakkan pada tempat Pertama, Juga Perlu di Utamakan”