Simultaneous Equations
Simultaneous Equations
 1) Eliminate a variable
Simultaneous Equations
 1) Eliminate a variable
 2) Solve for the other variable
Simultaneous Equations
 1) Eliminate a variable
 2) Solve for the other variable

 3) Substitute to find the eliminated variable
Simultaneous Equations
  1) Eliminate a variable
  2) Solve for the other variable

  3) Substitute to find the eliminated variable
e.g. (i ) 2 x  3 y  21 (1)
        5 x  2 y  3  (2)
Simultaneous Equations
  1) Eliminate a variable
  2) Solve for the other variable

  3) Substitute to find the eliminated variable
e.g. (i ) 2 x  3 y  21 (1)
       5 x  2 y  3  (2)
 Multiply (1) by 2 and (2) by 3
Simultaneous Equations
  1) Eliminate a variable
  2) Solve for the other variable

  3) Substitute to find the eliminated variable
e.g. (i ) 2 x  3 y  21 (1)
       5 x  2 y  3  (2)
 Multiply (1) by 2 and (2) by 3
        4 x  6 y  42
       15 x  6 y  9
Simultaneous Equations
  1) Eliminate a variable
  2) Solve for the other variable

  3) Substitute to find the eliminated variable
e.g. (i ) 2 x  3 y  21 (1)
       5 x  2 y  3  (2)
 Multiply (1) by 2 and (2) by 3
        4 x  6 y  42
       15 x  6 y  9
       11x       =  33
Simultaneous Equations
  1) Eliminate a variable
  2) Solve for the other variable

  3) Substitute to find the eliminated variable
e.g. (i ) 2 x  3 y  21 (1)
       5 x  2 y  3  (2)
 Multiply (1) by 2 and (2) by 3
        4 x  6 y  42
       15 x  6 y  9
       11x       =  33
         x       = 3
Simultaneous Equations
  1) Eliminate a variable
  2) Solve for the other variable

  3) Substitute to find the eliminated variable
e.g. (i ) 2 x  3 y  21 (1)
       5 x  2 y  3  (2)
 Multiply (1) by 2 and (2) by 3
        4 x  6 y  42
       15 x  6 y  9
       11x       =  33              2  3  3 y  21
         x       = 3                           3 y  27
                                                y9
Simultaneous Equations
  1) Eliminate a variable
  2) Solve for the other variable

  3) Substitute to find the eliminated variable
e.g. (i ) 2 x  3 y  21 (1)
       5 x  2 y  3  (2)
 Multiply (1) by 2 and (2) by 3
        4 x  6 y  42
       15 x  6 y  9
       11x       =  33                 2  3  3 y  21
         x       = 3                              3 y  27
                                                   y9
                      x  3, y  9
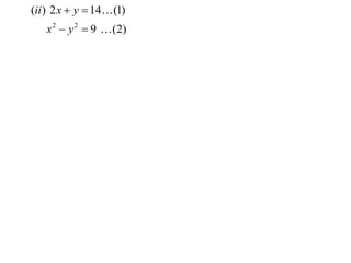
(ii ) 2 x  y  14 (1)
   x 2  y 2  9  (2)
(ii ) 2 x  y  14 (1)
   x 2  y 2  9  (2)
Make y the subject in (1)
  y  14  2 x
(ii ) 2 x  y  14 (1)
   x 2  y 2  9  (2)
Make y the subject in (1)
  y  14  2 x
Substitute into (2)
  x 2  14  2 x   9
                  2
(ii ) 2 x  y  14 (1)
       x 2  y 2  9  (2)
   Make y the subject in (1)
     y  14  2 x
   Substitute into (2)
       x 2  14  2 x   9
                      2


x 2  196  56 x  4 x 2  9
     3 x 2  56 x  205  0
(ii ) 2 x  y  14 (1)
       x 2  y 2  9  (2)
   Make y the subject in (1)
     y  14  2 x
   Substitute into (2)
       x 2  14  2 x   9
                      2


x 2  196  56 x  4 x 2  9
     3 x 2  56 x  205  0
      3x  41 x  5   0
                         41
        x  5 or x 
                          3
(ii ) 2 x  y  14 (1)
        x 2  y 2  9  (2)
    Make y the subject in (1)
      y  14  2 x
    Substitute into (2)
        x 2  14  2 x   9
                       2


 x 2  196  56 x  4 x 2  9
        3 x 2  56 x  205  0
         3x  41 x  5   0
                            41
           x  5 or x 
                             3
                           41    14
2  5   y  14 or 2   y
                          3
                               40
           y  4 or y  
                                3
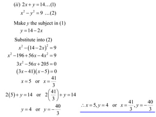
(ii ) 2 x  y  14 (1)
        x 2  y 2  9  (2)
    Make y the subject in (1)
      y  14  2 x
    Substitute into (2)
        x 2  14  2 x   9
                       2


 x 2  196  56 x  4 x 2  9
        3 x 2  56 x  205  0
         3x  41 x  5   0
                            41
           x  5 or x 
                             3
                           41    14
2  5   y  14 or 2   y
                          3
                                                             41       40
                               40        x  5, y  4 or x  , y  
           y  4 or y                                      3        3
                                3
(iii )      x  2 y  z  5  (1)
         2 x  3 y  4 z  28  (2)   any time you have the same number of
                                        pronumerals as equations it should
         4 x  5 y  3 z  10 (3)       be possible to find their values
(iii )      x  2 y  z  5  (1)
                                 any time you have the same number of
         2 x  3 y  4 z  28  (2)
                                   pronumerals as equations it should
         4 x  5 y  3 z  10 (3)  be possible to find their values
  Create two pairs of two equations and
  eliminate the same variable from both
(iii )      x  2 y  z  5  (1)
                                 any time you have the same number of
         2 x  3 y  4 z  28  (2)
                                   pronumerals as equations it should
         4 x  5 y  3 z  10 (3)  be possible to find their values
  Create two pairs of two equations and
  eliminate the same variable from both
           Multiply (1) by 2
           2 x  4 y  2 z  10
           2 x  3 y  4 z  28
(iii )      x  2 y  z  5  (1)
                                 any time you have the same number of
         2 x  3 y  4 z  28  (2)
                                   pronumerals as equations it should
         4 x  5 y  3 z  10 (3)  be possible to find their values
  Create two pairs of two equations and
  eliminate the same variable from both
           Multiply (1) by 2
           2 x  4 y  2 z  10
           2 x  3 y  4 z  28
                7 y  6 z  38
(iii )      x  2 y  z  5  (1)
                                 any time you have the same number of
         2 x  3 y  4 z  28  (2)
                                   pronumerals as equations it should
         4 x  5 y  3 z  10 (3)  be possible to find their values
  Create two pairs of two equations and
  eliminate the same variable from both
           Multiply (1) by 2              Multiply (1) by 4
           2 x  4 y  2 z  10          4 x  8 y  4 z  20
           2 x  3 y  4 z  28           4 x  5 y  3 z  10
                7 y  6 z  38
(iii )      x  2 y  z  5  (1)
                                 any time you have the same number of
         2 x  3 y  4 z  28  (2)
                                   pronumerals as equations it should
         4 x  5 y  3 z  10 (3)  be possible to find their values
  Create two pairs of two equations and
  eliminate the same variable from both
           Multiply (1) by 2              Multiply (1) by 4
           2 x  4 y  2 z  10          4 x  8 y  4 z  20
           2 x  3 y  4 z  28           4 x  5 y  3 z  10
                7 y  6 z  38                   3 y  z  10
(iii )      x  2 y  z  5  (1)
                                 any time you have the same number of
         2 x  3 y  4 z  28  (2)
                                   pronumerals as equations it should
         4 x  5 y  3 z  10 (3)  be possible to find their values
  Create two pairs of two equations and
  eliminate the same variable from both
           Multiply (1) by 2                      Multiply (1) by 4
           2 x  4 y  2 z  10                  4 x  8 y  4 z  20
           2 x  3 y  4 z  28                   4 x  5 y  3 z  10
                7 y  6 z  38                           3 y  z  10
                      Solve these new equations simultaneously
(iii )      x  2 y  z  5  (1)
                                 any time you have the same number of
         2 x  3 y  4 z  28  (2)
                                   pronumerals as equations it should
         4 x  5 y  3 z  10 (3)  be possible to find their values
  Create two pairs of two equations and
  eliminate the same variable from both
           Multiply (1) by 2                         Multiply (1) by 4
           2 x  4 y  2 z  10                    4 x  8 y  4 z  20
           2 x  3 y  4 z  28                   4 x  5 y  3 z  10
                7 y  6 z  38                           3 y  z  10
                      Solve these new equations simultaneously
                                       7 y  6 z  38
                                      18 y  6 z  60
(iii )      x  2 y  z  5  (1)
                                 any time you have the same number of
         2 x  3 y  4 z  28  (2)
                                   pronumerals as equations it should
         4 x  5 y  3 z  10 (3)  be possible to find their values
  Create two pairs of two equations and
  eliminate the same variable from both
           Multiply (1) by 2                         Multiply (1) by 4
           2 x  4 y  2 z  10                    4 x  8 y  4 z  20
           2 x  3 y  4 z  28                   4 x  5 y  3 z  10
                7 y  6 z  38                           3 y  z  10
                      Solve these new equations simultaneously
                                       7 y  6 z  38
                                      18 y  6 z  60
(iii )      x  2 y  z  5  (1)
                                 any time you have the same number of
         2 x  3 y  4 z  28  (2)
                                   pronumerals as equations it should
         4 x  5 y  3 z  10 (3)  be possible to find their values
  Create two pairs of two equations and
  eliminate the same variable from both
           Multiply (1) by 2                          Multiply (1) by 4
           2 x  4 y  2 z  10                      4 x  8 y  4 z  20
           2 x  3 y  4 z  28                   4 x  5 y  3 z  10
                7 y  6 z  38                           3 y  z  10
                      Solve these new equations simultaneously
                                       7 y  6 z  38
                                      18 y  6 z  60
                                      11 y        22
                                         y      2
 3  2   z  10
           z  4
            z4
 3  2   z  10    x  2  2   4  5
           z  4                      x3
            z4
 3  2   z  10                      x  2  2   4  5
           z  4                                        x3
            z4

                        x  3, y  2, z  4
 3  2   z  10                      x  2  2   4  5
           z  4                                        x3
            z4

                        x  3, y  2, z  4




             Exercise 1H; 1bg, 2cfil, 3aceg, 4aegh, 5a,
                       6ace, 7ad, 8*b, 9***

11 X1 T01 08 Simultaneous Equations (2010)

  • 1.
  • 2.
    Simultaneous Equations 1)Eliminate a variable
  • 3.
    Simultaneous Equations 1)Eliminate a variable 2) Solve for the other variable
  • 4.
    Simultaneous Equations 1)Eliminate a variable 2) Solve for the other variable 3) Substitute to find the eliminated variable
  • 5.
    Simultaneous Equations 1) Eliminate a variable 2) Solve for the other variable 3) Substitute to find the eliminated variable e.g. (i ) 2 x  3 y  21 (1) 5 x  2 y  3  (2)
  • 6.
    Simultaneous Equations 1) Eliminate a variable 2) Solve for the other variable 3) Substitute to find the eliminated variable e.g. (i ) 2 x  3 y  21 (1) 5 x  2 y  3  (2) Multiply (1) by 2 and (2) by 3
  • 7.
    Simultaneous Equations 1) Eliminate a variable 2) Solve for the other variable 3) Substitute to find the eliminated variable e.g. (i ) 2 x  3 y  21 (1) 5 x  2 y  3  (2) Multiply (1) by 2 and (2) by 3 4 x  6 y  42 15 x  6 y  9
  • 8.
    Simultaneous Equations 1) Eliminate a variable 2) Solve for the other variable 3) Substitute to find the eliminated variable e.g. (i ) 2 x  3 y  21 (1) 5 x  2 y  3  (2) Multiply (1) by 2 and (2) by 3 4 x  6 y  42 15 x  6 y  9 11x =  33
  • 9.
    Simultaneous Equations 1) Eliminate a variable 2) Solve for the other variable 3) Substitute to find the eliminated variable e.g. (i ) 2 x  3 y  21 (1) 5 x  2 y  3  (2) Multiply (1) by 2 and (2) by 3 4 x  6 y  42 15 x  6 y  9 11x =  33 x = 3
  • 10.
    Simultaneous Equations 1) Eliminate a variable 2) Solve for the other variable 3) Substitute to find the eliminated variable e.g. (i ) 2 x  3 y  21 (1) 5 x  2 y  3  (2) Multiply (1) by 2 and (2) by 3 4 x  6 y  42 15 x  6 y  9 11x =  33  2  3  3 y  21 x = 3 3 y  27 y9
  • 11.
    Simultaneous Equations 1) Eliminate a variable 2) Solve for the other variable 3) Substitute to find the eliminated variable e.g. (i ) 2 x  3 y  21 (1) 5 x  2 y  3  (2) Multiply (1) by 2 and (2) by 3 4 x  6 y  42 15 x  6 y  9 11x =  33  2  3  3 y  21 x = 3 3 y  27 y9  x  3, y  9
  • 12.
    (ii ) 2x  y  14 (1) x 2  y 2  9  (2)
  • 13.
    (ii ) 2x  y  14 (1) x 2  y 2  9  (2) Make y the subject in (1) y  14  2 x
  • 14.
    (ii ) 2x  y  14 (1) x 2  y 2  9  (2) Make y the subject in (1) y  14  2 x Substitute into (2) x 2  14  2 x   9 2
  • 15.
    (ii ) 2x  y  14 (1) x 2  y 2  9  (2) Make y the subject in (1) y  14  2 x Substitute into (2) x 2  14  2 x   9 2 x 2  196  56 x  4 x 2  9 3 x 2  56 x  205  0
  • 16.
    (ii ) 2x  y  14 (1) x 2  y 2  9  (2) Make y the subject in (1) y  14  2 x Substitute into (2) x 2  14  2 x   9 2 x 2  196  56 x  4 x 2  9 3 x 2  56 x  205  0  3x  41 x  5   0 41 x  5 or x  3
  • 17.
    (ii ) 2x  y  14 (1) x 2  y 2  9  (2) Make y the subject in (1) y  14  2 x Substitute into (2) x 2  14  2 x   9 2 x 2  196  56 x  4 x 2  9 3 x 2  56 x  205  0  3x  41 x  5   0 41 x  5 or x  3  41    14 2  5   y  14 or 2   y 3 40 y  4 or y   3
  • 18.
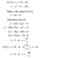
    (ii ) 2x  y  14 (1) x 2  y 2  9  (2) Make y the subject in (1) y  14  2 x Substitute into (2) x 2  14  2 x   9 2 x 2  196  56 x  4 x 2  9 3 x 2  56 x  205  0  3x  41 x  5   0 41 x  5 or x  3  41    14 2  5   y  14 or 2   y 3 41 40 40  x  5, y  4 or x  , y   y  4 or y   3 3 3
  • 19.
    (iii ) x  2 y  z  5  (1) 2 x  3 y  4 z  28  (2) any time you have the same number of pronumerals as equations it should 4 x  5 y  3 z  10 (3) be possible to find their values
  • 20.
    (iii ) x  2 y  z  5  (1) any time you have the same number of 2 x  3 y  4 z  28  (2) pronumerals as equations it should 4 x  5 y  3 z  10 (3) be possible to find their values Create two pairs of two equations and eliminate the same variable from both
  • 21.
    (iii ) x  2 y  z  5  (1) any time you have the same number of 2 x  3 y  4 z  28  (2) pronumerals as equations it should 4 x  5 y  3 z  10 (3) be possible to find their values Create two pairs of two equations and eliminate the same variable from both Multiply (1) by 2 2 x  4 y  2 z  10 2 x  3 y  4 z  28
  • 22.
    (iii ) x  2 y  z  5  (1) any time you have the same number of 2 x  3 y  4 z  28  (2) pronumerals as equations it should 4 x  5 y  3 z  10 (3) be possible to find their values Create two pairs of two equations and eliminate the same variable from both Multiply (1) by 2 2 x  4 y  2 z  10 2 x  3 y  4 z  28 7 y  6 z  38
  • 23.
    (iii ) x  2 y  z  5  (1) any time you have the same number of 2 x  3 y  4 z  28  (2) pronumerals as equations it should 4 x  5 y  3 z  10 (3) be possible to find their values Create two pairs of two equations and eliminate the same variable from both Multiply (1) by 2 Multiply (1) by 4 2 x  4 y  2 z  10 4 x  8 y  4 z  20 2 x  3 y  4 z  28 4 x  5 y  3 z  10 7 y  6 z  38
  • 24.
    (iii ) x  2 y  z  5  (1) any time you have the same number of 2 x  3 y  4 z  28  (2) pronumerals as equations it should 4 x  5 y  3 z  10 (3) be possible to find their values Create two pairs of two equations and eliminate the same variable from both Multiply (1) by 2 Multiply (1) by 4 2 x  4 y  2 z  10 4 x  8 y  4 z  20 2 x  3 y  4 z  28 4 x  5 y  3 z  10 7 y  6 z  38 3 y  z  10
  • 25.
    (iii ) x  2 y  z  5  (1) any time you have the same number of 2 x  3 y  4 z  28  (2) pronumerals as equations it should 4 x  5 y  3 z  10 (3) be possible to find their values Create two pairs of two equations and eliminate the same variable from both Multiply (1) by 2 Multiply (1) by 4 2 x  4 y  2 z  10 4 x  8 y  4 z  20 2 x  3 y  4 z  28 4 x  5 y  3 z  10 7 y  6 z  38 3 y  z  10 Solve these new equations simultaneously
  • 26.
    (iii ) x  2 y  z  5  (1) any time you have the same number of 2 x  3 y  4 z  28  (2) pronumerals as equations it should 4 x  5 y  3 z  10 (3) be possible to find their values Create two pairs of two equations and eliminate the same variable from both Multiply (1) by 2 Multiply (1) by 4 2 x  4 y  2 z  10 4 x  8 y  4 z  20 2 x  3 y  4 z  28 4 x  5 y  3 z  10 7 y  6 z  38 3 y  z  10 Solve these new equations simultaneously 7 y  6 z  38 18 y  6 z  60
  • 27.
    (iii ) x  2 y  z  5  (1) any time you have the same number of 2 x  3 y  4 z  28  (2) pronumerals as equations it should 4 x  5 y  3 z  10 (3) be possible to find their values Create two pairs of two equations and eliminate the same variable from both Multiply (1) by 2 Multiply (1) by 4 2 x  4 y  2 z  10 4 x  8 y  4 z  20 2 x  3 y  4 z  28 4 x  5 y  3 z  10 7 y  6 z  38 3 y  z  10 Solve these new equations simultaneously 7 y  6 z  38 18 y  6 z  60
  • 28.
    (iii ) x  2 y  z  5  (1) any time you have the same number of 2 x  3 y  4 z  28  (2) pronumerals as equations it should 4 x  5 y  3 z  10 (3) be possible to find their values Create two pairs of two equations and eliminate the same variable from both Multiply (1) by 2 Multiply (1) by 4 2 x  4 y  2 z  10 4 x  8 y  4 z  20 2 x  3 y  4 z  28 4 x  5 y  3 z  10 7 y  6 z  38 3 y  z  10 Solve these new equations simultaneously 7 y  6 z  38 18 y  6 z  60 11 y  22 y  2
  • 29.
     3 2   z  10  z  4 z4
  • 30.
     3 2   z  10  x  2  2   4  5  z  4 x3 z4
  • 31.
     3 2   z  10  x  2  2   4  5  z  4 x3 z4  x  3, y  2, z  4
  • 32.
     3 2   z  10  x  2  2   4  5  z  4 x3 z4  x  3, y  2, z  4 Exercise 1H; 1bg, 2cfil, 3aceg, 4aegh, 5a, 6ace, 7ad, 8*b, 9***