GROUP’S MEMBERS
Name                         Matric No.
Ridwan bin shamsudin         D20101037472


Mohd. Hafiz bin Salleh       D20101037433


Muhammad Shamim Bin          D20101037460
Zulkefli

Jasman bin Ronie             D20101037474

Hairieyl Azieyman Bin Azmi   D20101037426


Mustaqim Bin Musa            D20101037402
y

    (3,2)

     (4,2)
             x


                 Last but not
                 least
WHAT IS VECTOR?
 VECTOR REPRESENTATIVE
 MAGNITUDE OF VECTOR
 NEGATIVE VECTOR
 ZERO VECTOR
 EQUALITY OF VECTOR
 PARALLEL VECTOR
 VECTOR MULTIPLICATION BY
 SCALAR
                       NEXT
VECTOR ADDITION
 VECTOR
 SUBTRACTION
 DOT PRODUCT
ANGLE BETWEEN TWO
  VECTOR
WHAT IS . .
INTRODUCTION . .

 Vectoris a variable quantity that can
 be resolved into components.
 Vector also is a straight line segment
 whose length is magnitude and whose
 orientation in space is direction.

                       Hurmm . . .
   SCALAR VECTOR  VECTOR PRODUCT

 A scalar quantity
  has magnitude only  A vector quantity has
  with an appropriate    both magnitude and
  unit of                direction.
  measurement.          Examples of vector
 Example of scalar
  quantities are         quantities are
  length, speed, time,   displacement,
  temperatue, mass       velocity, acceleration
  and power.             and force.
 The most commonly used example of vectors in
 everyday life is velocity.
 Vectors also mainly used in physics and engineering
 to represent directed quantities.
 Vectors play an important role in physics about of a
 moving object and forces acting on it are all
 described by vectors.
Nice isn’t it??
 Since  several important physical
  quantities are vectors, it is useful to
  agree on a way for representing them
  and adding them together.
 In the example involving displacement,
  we used a scale diagram in which
  displacements were represented by
  arrows which were proportionately
  scaled and orientated correctly with
  respect to our axes (i.e., the points of the
  compass).
 Thisrepresentation can be used for all vector
 quantities provided the following rules are
 followed:
   1.The reference direction is indicated.
   2.The scale is indicated.
   3.The vectors are represented as arrows
 with a    length proportional to their
 magnitude and are correctly orientated with
 respect to the reference direction.
   4.The direction of the vector is indicated by
 an arrowhead.
   5.The arrows should be labelled to show
 which     vectors they represent.
   For example, the diagram below
    shows two vectors A and B, where A
    has a magnitude of 3 units in a
    direction parallel to the reference
    direction and B has a magnitude of 2
    units and a direction 60° clockwise to
    the reference direction:



        I see ~
The  length of a vector is called the
 magnitude or modulus of the vector.
 A vector whose modulus is unity is
 called a unit vector which has
 magnitude. The unit vector in the
 direction is called
   The unit vectors parallel to
 The magnitude of vector a is written as |a|.
 The magnitude of vector AB is written as
  |AB|. 𝑥                         𝑥2 + 𝑦2
         𝑦
 If a =   then the magnitude |a|=
  *using pythagorean theorem.
EXAMPLES :
1. Find the magnitude of the
 vector 2
Solution :
A vector   having the same magnitude
 but opposite direction to a vector A, is
 -A.
If v is a vector, then -v is a vector
 pointing in the opposite direction.
If v is represented by (a, b, c)T then -v
 is represented by (-a, -b, -c)T.
Example :
   Write down the negetive of

    solution :

                   3
             =   −
                   −2


                 −3
             =   2
•   Is a vector with zero magnitude and
    no direction
•    |0|= 0
EXAMPLE :
   Determine whether w-y-x+z is a zero
    vector.




Solution
From the diagram,w-y-x+z = O
Since it does not has magnitude,thus it is
 a zero
vector
 2 vectors u and v are equal if their
  corresponding components are equal
 For example,
     if u=ai +bj and v=ci + dj
     then u = v        a=c and b=d
 Or in another word we can say it is
  equal if the vectors have same
  magnitude and same direction
Example




*note that   =2i+j ,   =-2i-j
 Vectors are parallel if they have the
  same direction
 Both components of one vector must
  be in the same ratio to the
  corresponding components of the
  parallel vector.
(i) v1  kv2 , k any scalar
            
(ii) v1 .v2  v1 v2 or
     v1 .v2   v1 v2
               
      v  x v  0 
(iii) 1        2
                 
EXERCISE
Exercise
Given 2i-3j and 8i+yj are parallel vector.
 Find the value of y.

Solution
Since they are parallel vectors
Let 8i+yj=k(2i-3j),k is any scalar
     8i+yj=2ki-3kj
8=2k                     y=-3k
k=4                       =-3(4)
                           =-12
VECTOR MULTIPLICATION BY
        SCALAR
   The scalar product(dot product) of two
    vectors    and       is denoted by
    and defined as
                
             a  b  a b cos


Where is the angle between         and
which converge to a point or diverge from
 a
point.
m1
              
m2   

             is an abtuse angle
Use this:
a . a =  a 2
Rule 1
Rule 2
Rule 3
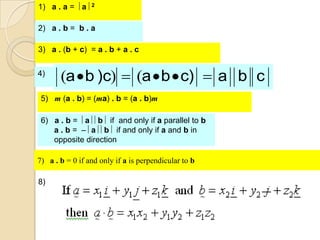
• SPECIAL CASE
Algebraic properties of the
    scalar product for any vector
    a, b and c and m is a
    constant
1) a . a =  a 2

2) a . b = b . a

3) a . (b + c) = a . b + a . c


4)
       (a  b )c)  (a  b  c)  a b c
 5) m (a . b) = (ma) . b = (a . b)m

 6) a . b = a b if and only if a parallel to b
    a . b = – a b if and only if a and b in
    opposite direction

7) a . b = 0 if and only if a is perpendicular to b

8)

                                                      .
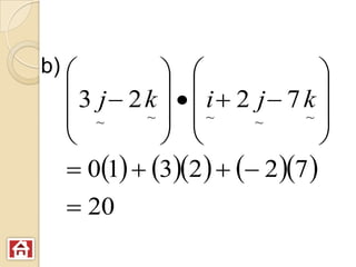
Example
:
 Evaluate
 a) (2 i  j )  (3 i  4 k )
        ~   ~           ~       ~


 b) (3 i  2 k )  (i  2 j  7 k )
        ~       ~   ~       ~       ~
SOLUTION
    EXAMPLE 1

a)
      ~  ~ ~
           ~
                       
      2 i j   3i 4 k

      23   10  04
     6
b)                           
  3 j 2 k    i 2 j 7 k 
   ~     ~  ~       ~     ~ 
                             
   01  32    2 7 
   20
Definition of Vector
Multiplication
   In Vector Multiplication, a vector is
    multiplied by one or more vectors or
    by a scalar quantity.
More about Vector
Multiplication
 There are three different types of
  multiplication: dot product, cross product,
  and multiplication of vector by a scalar.
 The dot product of two vectors u and v is
  given as u · v = uv cos θ where θ is the
  angle between the vectors u and v.
 The cross product of two vectors u and v
  is given as u × v = uv sin θ where θ is
  the angle between the vectors u and v.
 When a vector is multiplied by a scalar,
  only the magnitude of the vector is
  changed, but the direction remains the
  same.
Examples of Vector
Multiplication
 If the vector is multiplied by a scalar then
  =.
 If u = 2i + 6j and v = 3i - 4j are two
  vectors and angle between them is 60°,
  then to find the dot product of the
  vectors, we first find their magnitude.
  Magnitude of vector
  Magnitude of vector
  The dot product of the vectors u, v is u ·
  v = uv cos θ
  = (2 ) (5) cos 60°
  = (2 ) (5) ×
  =5
   If u = 5i + 12j and v = 3i + 6j are two
    vectors and angle between them is 60°,
    then to find the cross product of the
    vectors, we first find their magnitude.
    Magnitude of vector
    Magnitude of vector
    The cross product of the vectors u, v is u
    × v = uv sin θ
    = (3 ) (13) sin 60°
    = 39 (2)
    = 78
   Solved Example on Vector Multiplication
   Which of the following is the dot product of the
    vectors u = 6i + 8j and v = 7i - 9j?
    Choices:
    A. 114
    B. - 30
    C. - 2
    D. 110
    Correct Answer: B
    Solution:
    Step 1: u = 6i + 8j, v = 7i - 9j are the two vectors.
    Step 2: Dot product of the two vectors u, v = u · v
    = u1v1 + u2v2
    Step 3: = (6i + 8j) · (7i - 9j)
    Step 4: = (6) (7) + (8) (- 9) [Use the definition of
    the dot product of two vectors.]
    Step 5: = - 30 [Simplify.]
Definition of Addition of
Vectors


   Adding two or more vectors to form a
    single resultant vector is known as
    Addition of Vectors.
More about Addition of
Vectors
 If two vectors have the same direction,
  then the sum of these two vectors is
  equal to the sum of their magnitudes,
  in the same direction.
 If the two vectors are in opposite
  directions, then the resultant of the
  vectors is the difference of the
  magnitude of the two vectors and is in
  the direction of the greater vector.
Examples of Addition of
Vectors




    To find the sum of the vectors of and , they
     are placed tail to tail to form two adjacent
     sides of a parallelogram and the diagonal
     gives the sum of the vectors and . This is
     also called as ‘parallelogram rule of vector
     addition’.
   If the vector is represented in
    Cartesian coordinate, then the sum of
    the vectors is found by adding the
    vector components.
    The sum of the vectors u = <- 3, 4>
    and v = <4, 6> is u + v =
    <- 3 + 4, 4 + 6>
    = <1, 10>
Definition Of Subtraction Of
Vectors

   subtracting two or more vectors to
    form a single resultant vector is known
    as subtraction of vectors.
example
   f the vector is represented in
    Cartesian coordinate, then the
    subtraction of the vectors is found by
    subtracting the vector components.
    The sum of the vectors u = <- 3, 4>
    and v = <4, 6> is u - v =
    <- 3 - 4, 4 - 6>
    = <-7, -2>
The angle between 2 lines
   The two lines have the equations r = a
    + tb and r = c + sd.
    The angle between the lines is found
    by working out the dot product of b
    and d.

   We have b.d = |b||d| cos A.
Example
   Find the acute angle between the lines

    L : r  i  2 j  t (2i  j  2k )
      1

    L : r  2i  j  k  s(3i  6 j  2k )
      2
Direction Vector of L1, b1 = 2i –j + 2k
Direction Vector of L2, b2 = 3i -6j + 2k
If θ is the angle between the lines,
        (2i  j  2k ).( 3i  6 j  2k )
Cos θ =
          2i  j  2k 3i  6 j  2k
EXAMPLE
        664
Cos θ =
         9 49
        16
Cos θ =
        21
   θ = 40 22’

Vector

  • 1.
    GROUP’S MEMBERS Name Matric No. Ridwan bin shamsudin D20101037472 Mohd. Hafiz bin Salleh D20101037433 Muhammad Shamim Bin D20101037460 Zulkefli Jasman bin Ronie D20101037474 Hairieyl Azieyman Bin Azmi D20101037426 Mustaqim Bin Musa D20101037402
  • 2.
    y (3,2) (4,2) x Last but not least
  • 4.
    WHAT IS VECTOR? VECTOR REPRESENTATIVE  MAGNITUDE OF VECTOR  NEGATIVE VECTOR  ZERO VECTOR  EQUALITY OF VECTOR  PARALLEL VECTOR  VECTOR MULTIPLICATION BY SCALAR NEXT
  • 5.
    VECTOR ADDITION  VECTOR SUBTRACTION  DOT PRODUCT ANGLE BETWEEN TWO VECTOR
  • 6.
  • 7.
    INTRODUCTION . . Vectoris a variable quantity that can be resolved into components.  Vector also is a straight line segment whose length is magnitude and whose orientation in space is direction. Hurmm . . .
  • 8.
    SCALAR VECTOR  VECTOR PRODUCT  A scalar quantity has magnitude only  A vector quantity has with an appropriate both magnitude and unit of direction. measurement.  Examples of vector  Example of scalar quantities are quantities are length, speed, time, displacement, temperatue, mass velocity, acceleration and power. and force.
  • 9.
     The mostcommonly used example of vectors in everyday life is velocity.  Vectors also mainly used in physics and engineering to represent directed quantities.  Vectors play an important role in physics about of a moving object and forces acting on it are all described by vectors.
  • 10.
  • 11.
     Since several important physical quantities are vectors, it is useful to agree on a way for representing them and adding them together.  In the example involving displacement, we used a scale diagram in which displacements were represented by arrows which were proportionately scaled and orientated correctly with respect to our axes (i.e., the points of the compass).
  • 12.
     Thisrepresentation canbe used for all vector quantities provided the following rules are followed: 1.The reference direction is indicated. 2.The scale is indicated. 3.The vectors are represented as arrows with a length proportional to their magnitude and are correctly orientated with respect to the reference direction. 4.The direction of the vector is indicated by an arrowhead. 5.The arrows should be labelled to show which vectors they represent.
  • 13.
    For example, the diagram below shows two vectors A and B, where A has a magnitude of 3 units in a direction parallel to the reference direction and B has a magnitude of 2 units and a direction 60° clockwise to the reference direction: I see ~
  • 15.
    The lengthof a vector is called the magnitude or modulus of the vector.  A vector whose modulus is unity is called a unit vector which has magnitude. The unit vector in the direction is called The unit vectors parallel to
  • 16.
     The magnitudeof vector a is written as |a|.  The magnitude of vector AB is written as |AB|. 𝑥 𝑥2 + 𝑦2 𝑦  If a = then the magnitude |a|= *using pythagorean theorem.
  • 17.
    EXAMPLES : 1. Findthe magnitude of the vector 2 Solution :
  • 19.
    A vector having the same magnitude but opposite direction to a vector A, is -A. If v is a vector, then -v is a vector pointing in the opposite direction. If v is represented by (a, b, c)T then -v is represented by (-a, -b, -c)T.
  • 21.
    Example :  Write down the negetive of solution : 3 = − −2 −3 = 2
  • 24.
    Is a vector with zero magnitude and no direction • |0|= 0
  • 25.
    EXAMPLE :  Determine whether w-y-x+z is a zero vector. Solution From the diagram,w-y-x+z = O Since it does not has magnitude,thus it is a zero vector
  • 27.
     2 vectorsu and v are equal if their corresponding components are equal  For example, if u=ai +bj and v=ci + dj then u = v a=c and b=d  Or in another word we can say it is equal if the vectors have same magnitude and same direction
  • 28.
    Example *note that =2i+j , =-2i-j
  • 30.
     Vectors areparallel if they have the same direction  Both components of one vector must be in the same ratio to the corresponding components of the parallel vector. (i) v1  kv2 , k any scalar   (ii) v1 .v2  v1 v2 or v1 .v2   v1 v2     v  x v  0  (iii) 1 2   
  • 31.
    EXERCISE Exercise Given 2i-3j and8i+yj are parallel vector. Find the value of y. Solution Since they are parallel vectors Let 8i+yj=k(2i-3j),k is any scalar 8i+yj=2ki-3kj 8=2k y=-3k k=4 =-3(4) =-12
  • 32.
  • 34.
    The scalar product(dot product) of two vectors and is denoted by and defined as    a  b  a b cos Where is the angle between and which converge to a point or diverge from a point.
  • 35.
    m1  m2     is an abtuse angle
  • 36.
    Use this: a .a =  a 2
  • 38.
  • 40.
  • 41.
  • 42.
  • 43.
    Algebraic properties ofthe scalar product for any vector a, b and c and m is a constant
  • 44.
    1) a .a =  a 2 2) a . b = b . a 3) a . (b + c) = a . b + a . c 4) (a  b )c)  (a  b  c)  a b c 5) m (a . b) = (ma) . b = (a . b)m 6) a . b = a b if and only if a parallel to b a . b = – a b if and only if a and b in opposite direction 7) a . b = 0 if and only if a is perpendicular to b 8) .
  • 45.
    Example :  Evaluate a)(2 i  j )  (3 i  4 k ) ~ ~ ~ ~ b) (3 i  2 k )  (i  2 j  7 k ) ~ ~ ~ ~ ~
  • 46.
    SOLUTION  EXAMPLE 1 a)  ~  ~ ~  ~    2 i j   3i 4 k  23   10  04 6
  • 47.
    b)     3 j 2 k    i 2 j 7 k   ~ ~  ~ ~ ~       01  32    2 7   20
  • 49.
    Definition of Vector Multiplication  In Vector Multiplication, a vector is multiplied by one or more vectors or by a scalar quantity.
  • 50.
    More about Vector Multiplication There are three different types of multiplication: dot product, cross product, and multiplication of vector by a scalar.  The dot product of two vectors u and v is given as u · v = uv cos θ where θ is the angle between the vectors u and v.  The cross product of two vectors u and v is given as u × v = uv sin θ where θ is the angle between the vectors u and v.  When a vector is multiplied by a scalar, only the magnitude of the vector is changed, but the direction remains the same.
  • 51.
    Examples of Vector Multiplication If the vector is multiplied by a scalar then =.  If u = 2i + 6j and v = 3i - 4j are two vectors and angle between them is 60°, then to find the dot product of the vectors, we first find their magnitude. Magnitude of vector Magnitude of vector The dot product of the vectors u, v is u · v = uv cos θ = (2 ) (5) cos 60° = (2 ) (5) × =5
  • 52.
    If u = 5i + 12j and v = 3i + 6j are two vectors and angle between them is 60°, then to find the cross product of the vectors, we first find their magnitude. Magnitude of vector Magnitude of vector The cross product of the vectors u, v is u × v = uv sin θ = (3 ) (13) sin 60° = 39 (2) = 78
  • 53.
    Solved Example on Vector Multiplication  Which of the following is the dot product of the vectors u = 6i + 8j and v = 7i - 9j? Choices: A. 114 B. - 30 C. - 2 D. 110 Correct Answer: B Solution: Step 1: u = 6i + 8j, v = 7i - 9j are the two vectors. Step 2: Dot product of the two vectors u, v = u · v = u1v1 + u2v2 Step 3: = (6i + 8j) · (7i - 9j) Step 4: = (6) (7) + (8) (- 9) [Use the definition of the dot product of two vectors.] Step 5: = - 30 [Simplify.]
  • 55.
    Definition of Additionof Vectors  Adding two or more vectors to form a single resultant vector is known as Addition of Vectors.
  • 56.
    More about Additionof Vectors  If two vectors have the same direction, then the sum of these two vectors is equal to the sum of their magnitudes, in the same direction.  If the two vectors are in opposite directions, then the resultant of the vectors is the difference of the magnitude of the two vectors and is in the direction of the greater vector.
  • 57.
    Examples of Additionof Vectors  To find the sum of the vectors of and , they are placed tail to tail to form two adjacent sides of a parallelogram and the diagonal gives the sum of the vectors and . This is also called as ‘parallelogram rule of vector addition’.
  • 58.
    If the vector is represented in Cartesian coordinate, then the sum of the vectors is found by adding the vector components. The sum of the vectors u = <- 3, 4> and v = <4, 6> is u + v = <- 3 + 4, 4 + 6> = <1, 10>
  • 60.
    Definition Of SubtractionOf Vectors  subtracting two or more vectors to form a single resultant vector is known as subtraction of vectors.
  • 61.
    example  f the vector is represented in Cartesian coordinate, then the subtraction of the vectors is found by subtracting the vector components. The sum of the vectors u = <- 3, 4> and v = <4, 6> is u - v = <- 3 - 4, 4 - 6> = <-7, -2>
  • 64.
    The angle between2 lines  The two lines have the equations r = a + tb and r = c + sd. The angle between the lines is found by working out the dot product of b and d.  We have b.d = |b||d| cos A.
  • 65.
    Example  Find the acute angle between the lines L : r  i  2 j  t (2i  j  2k ) 1 L : r  2i  j  k  s(3i  6 j  2k ) 2 Direction Vector of L1, b1 = 2i –j + 2k Direction Vector of L2, b2 = 3i -6j + 2k If θ is the angle between the lines, (2i  j  2k ).( 3i  6 j  2k ) Cos θ = 2i  j  2k 3i  6 j  2k
  • 66.
    EXAMPLE 664 Cos θ = 9 49 16 Cos θ = 21 θ = 40 22’