Prepared by: Dr. Mahladisa
SPHA021
CLASSICAL MECHANICS
Lecturer: Prof. DE Motaung
Office: Q-block 3rd Floor
OFFICE NO. 3046
• The minimum pass mark is 50% - RULE G19.1.
• Exam: 40%; Tests: 30%; Practicals: 20%; and
Assignments: 10%.
• Attendance of lectures and consultations will never
let you down.
• SPHA021 SUDY GUIDE IS AVAILABLE AT
THE BOOKSHOP AT A REASONABLE
PRICE. ALL CHAPTERS INCLUDED.
THINGS TO TAKE NOTE OF:
GENERAL
1. Basic Concepts of Mechanics
1.1 Definition of basic terms
1.2 Ingredients of mechanics
2. Getting acquainted with Vector Algebra
2.1 Graphical representation of vectors
2.2 Vector Addition
2.3 Vector Multiplication
2.4 Vector Differentiation
2.5 Vector Integral
COURSE OUTLINE
3. Rigid Body Dynamics
3.1 The Concept of a Rigid Body
3.2 Centre of Mass
3.3 Rigid Body Kinematics
3.4 Degree of Freedom
3.5 Rigid Body Dynamics
3.6 Angular Momentum
3.7 Moment of Inertia
4. Simple Harmonic Motion
4.1 Introduction
4.2 Simple Harmonic Motion
COURSE OUTLINE
5. Lagrangian Dynamics
5.1 Introduction
5.2 Calculus of Variation
5.3 Generalized Coordinates
5.4. Lagrange Equation of Motion
5.5 Conservation Laws
5.6 Essence of Lagrangian Dynamics
6. Hamiltonian Dynamics
6.1 Hamilton Equations of Motion
6.2 Conservation of Energy
6.3 Ignorable Coordinates
COURSE OUTLINE
COURSE OUTLINE
6.4 Symmetries and Conservation Laws
RECOMMENDED BOOKS
1. Classical Dynamics of Particles and Systems: by
Marion Thornton
2. Principles of Vector Analysis: by J.B. Marion
3. University Physics: by Young and Freedman
4. Study Guide at the Bookshop
• TWO ASSIGNMENTS AND TWO TESTS
WILL BE WRITTEN.
• PROPOSED TESTS DATES:
1. ??? February 2020
2. ??? March 2020
• QUIZES WILL BE WRITTEN IN BETWEEN.
TESTS AND ASSIGNMENTS
• Particle – Anything with a definite position (may
have no size).
- In physical systems where a body is very small
compared to the distance or lengths, we
represent a body in a mathematical model by a
particle.
• Mass – Two bodies (A and B) of the same material
nearly identical in shape and size, will give same
results when used in any mechanical experiment
(performed first with object A and then with object
B).
DEFINITION OF BASIC TERMS
- Two bodies may differ in material, shape, etc. and
still give the same results in any mechanical
experiment, no matter the size or the shape of the
two bodies.
- Two bodies are mechanical equivalent if they
give the same results in any mechanical
experiment, no matter the size or the shape of
the two bodies.
- A number is assigned to each piece of matter
(like a price to each article of trade/business) and
this number is called mass, demoted m.
DEFINITION OF BASIC TERMS
- The mass of body A is the same as the mass of body
B if the two bodies are mechanically equivalent.
- If a system consists of bodies of different
masses, the mass of the system is the sum of the
individual masses of the bodies making the
system.
• Rigid body – A hard body that never undergoes
any change of size and shape (under specified
conditions for performing an experiment).
DEFINITION OF BASIC TERMS
• Frame of Reference – A definite rigid position at
which an event occurs.
- An event occurs at a particular mathematical point
or position and instantaneously.
- In most cases the earth is used as a frame of
reference. The interior of a train; stretcher or
airplane can also be frames of references.
• Time – In addition to the position at which an event
occurs, an event occurs at a particular time. Time is
denoted by a letter t.
DEFINITION OF BASIC TERMS
• Rest and Motion – A particle is at rest when it is
at the same position as the frame of reference.
- A particle is in motion when it does not continue to
coincide with the same point of that frame of
reference.
- An event occurs at a particular mathematical point
or position and instantaneously.
- In most cases the earth is used as a frame of
reference. The interior of a train; stretcher or
airplane can also be frames of references.
DEFINITION OF BASIC TERMS
1. Differentiate with respect to x:
f (x)  lnx f (x)  ex
f (x)  x4
sinx2
lnxex
 7
f (x) 
1 d    1
mx
2 

 

1
kx2  f (x)  y2
sin x dt x

2
 x

2


    
2. Integrate: by parts by parts
  eu2
2udu xcosxdx ex
cosxdx
sin t  dt  
3. Factorize and simplify:J
x2
 f d f  y
f (x)  x2
 4 sin 2
x cos2
x 
d  
y

dx y


dx
x  
1
Differentiation and Integration
• MECHANICS – The study of motion.
-Basic concepts of mechanics are mass;
acceleration; force; distance; etc.
- There are hypotheses which come from
observations and if tested to be true after some
approximations, the hypothesis become law of
nature.
• Classical mechanics predicts motion of large
objects up atoms, but cannot deal with motions of
electrons or objects moving at the speed of light.
THE INGREDIENTS OF MECHANICS
• VECTOR – Requires two or more numbers to
complete their specifications. A vector is defined as
a physical quantity with magnitude and direction.
-The direction and magnitude of a vector are
graphically represented by a directed line
segment or arrow drawn parallel to the vector
and pointing in the direction of the vector.
- The length of the arrow is drawn to scale so that its
length may be chosen to represent the magnitude of
that vector.
- Two vectors A and B are said to be equal if they
VECTOR ALGEBRA
both have the same magnitude and direction, no
matter where they are in space, i.e. A = B.
• The negative of a vector is the vector with the
same magnitude as the original vector but
opposite in direction, i.e. A = ̶ B.
A B A
̶ B
VECTOR ALGEBRA
• If A,B are two points in three dimensional space
and C,D are also the other points in that space and:
(i) the length CD is equal to the length AB
(ii) CD is parallel to AB, then
Such pairs of points are defined as the free vector
AB or just A.
• Two vectors A and B are equal if they refer to the
same class.
FREE VECTOR
• If the point O is fixed, OA is called the position
vector of the point A relative to O.
• Once the point O is chosen, the representation of any
position vector relative to O is fixed, and other
representations cease to be appropriate.
• If the two points have the same position vector, then
the two points coincide.
• A position vector is used to specify a point relative
to a chosen origin, i.e. an alternative to its
specification by means of its coordinates relative to
a chosen set of axes.
POSITION VECTOR
• A set of coordinate axes or base vectors can be used
to algebraically represent any vector (say A) by
specifying its projections.
• The three base vectors of a three-dimensional
coordinate system must be linearly independent
(meaning that they must satisfy the requirement that
they be noncoplanar base vectors).
• The three unit vectors are chosen in a Cartesian
coordinate system so that they are directed
respectively along the positive x-; y- and z-axis.
• The unit vectors along the x-; y- and z-coordinates
ALGEBRAIC REPRESENTATION
OF A VECTOR
• are respectively designated by the symbols i; j and
k.
• Vectors having unit lengths are called unit vectors.
• i, j; k are called rectangular unit vectors and are
mutually perpendicular unit vectors having
directions of the positive x; y and z axes.
ALGEBRAIC REPRESENTATION
OF A VECTOR
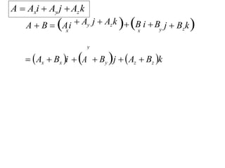
• Any vector A in the three-dimensional can be
represented by rectangular unit vectors when it has
origin at O. We can write vector A as: A
= Axi + Ay j + Azk.
• Axi ; Ayj; and Azk are called component vectors of
vector A in the x; y and z directions.
• The magnitude of vector A is:
• The position vector r from O to the point (x; y; z) is
then written as: r = xi + yj + zk and its magnitude is:
UNIT VECTORS
z
y
x
A2
 A2
A2
A  A 
r  r  x2
 y2
 z2
• The position vector r from O to the point (x; y; z) is
then written as: r = xi + yj + zk and its magnitude is:
• Vectors can be added using the parallelogram law
of addition as shown in the diagram.
VECTOR ALGEBRA OR VECTOR ADDITION
• Vectors can be added using the triangular law of
vector addition simply joining the two vectors by
drawing a line from the start of the first vector to the
tip of the second vector.
• Vector addition is commutative: A  B  B  A
VECTOR ALGEBRA OR VECTOR ADDITION
C  A  B
and is associative: A B C A  B C
A  B  B  A
• If the sum of the two vectors A and B equals a
vector of zero magnitude, A B  0, then the vectors
A and B must obviously have equal magnitude and
opposite directions so that: A  B.
• If A; B and C are vectors and m and n are scalars,
then:
1. ; commutative law
2. A  BC A  BC ; associative law
VECTOR ALGEBRA OR VECTOR ADDITION
mA  Am
3. ; commutative law
VECTOR ALGEBRA OR VECTOR ADDITION
4. mnAmnA ; associative law
5. mnA  mA  nA ; distributive law
6. mA BmA mB ; distributive law
VECTOR ADDITION
B  Bxi  By j Bzk
A  Axi  Ay j Azk
x x
A  B  Ai  Ayj  Azk B i  By
j  Bzk
 Ax  Bx i  A  By j Az  Bz k
y
1. SCALAR or DOT PRODUCT
The scalar product of two vectors is defined as the
product of the magnitudes fo the vectors and cosine
of the angle (for 0 ≤ θ ≤ π). Then we can write:
• If θ = 0, then:A B  AB
VECTOR MULTIPLICATION
A B
A  B
 cos
AB  A B cos A B  A B cos
 B A cos
1. SCALAR or DOT PRODUCT
For unit vectors we have:
cos0 1
cos90 0
VECTOR MULTIPLICATION
i  j  i k  jk  0
i i  j  j  k  k  1
x
x
x
1. SCALAR or DOT PRODUCT
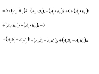
For vectors A and B the scalar or dot product is:
A B  A i Ay
j AzkB i  By j  Bzk 
 Ax  Bx i iA  B i
y j  Ax  Bz i k  A  Bx
j i
 A  By jjA  Bz jk  Az Bx k i
VECTOR MULTIPLICATION
y
y y
 A  By kj  Az  Bz k  k
 Ax Bx  00  0 Ay By  00  0 Az Bz
 Ax Bx  By By AzBz
z
Calculate the sum and, then the scalar or dot product
between vectors: A = 6i - 3j + 4k and B = 2i + 9j - 5k
A  B  6i 3j  4k  2i 9 j 5k 
 6 2i  39j  45k
 8i  6 j  k
AB  6i 3j4k2i 9 j 5k 
62i i 39jj 45k k
EXAMPLE
1227  20 35
2. VECTOR or CROSS PRODUCT
• The vector product of two vectors is defined as the
product of the magnitudes of the vectors and the sine
of the angle (for 0 ≤ θ ≤ π) between the vectors.
- The direction is perpendicular to the plane of the
two vectors in the sense of the translation of a
right-handed screw rotated from the first to the
second vector.
• We write:
VECTOR MULTIPLICATION
AB  A B sin
2. VECTOR or CROSS PRODUCT
If θ = 0 then:
If θ = 90 then:
For unit vectors we will have:
sin 0  0
VECTOR MULTIPLICATION
i i  j j  k k  0
A  B  AB
AB  0
i i  j j  k k  0
2. VECTOR or CROSS PRODUCT
For unit vectors we will have:
i  j  k  ji
k i  j ik
jk  i  k  j
VECTOR MULTIPLICATION
sin 0 0
x
x
y
z
x


For vectors A and B the vector or cross product is:
A B  A i  A j 
y
AzkBi  By j  Bzk 
 Ax  Bx i i  A  By i  j  Ax  Bz i k A  Bx
j i
 A  By jjA  Bz jk Az Bx k i
A B k
y j  Az  Bz k  k
VECTOR MULTIPLICATION
y
y
x
z
y
 0 A B kA
y x
 Bz jA  Bx k 0A  Bz i
 Az  Bx j  A  By i0
 A B  A B i
z z y
Az Bx  Ax Bz jABy Ay Bx k
y y
x
y x
x y
x z
z x
z y
y z
Bz
By
Bx
Alternatively, we can use the matrix for vector
or cross product:
VECTOR MULTIPLICATION
i
A B  Ax
j
Ay
k
Az
 A B  A B i A B  A B j A B  A B k
• Scalar or dot product is commutative A B  B  A .
• Vector or cross product does not satisfy the
commutative and associative laws:
1.
2. A B C

A

B

AC 

3. mA BmAB  AmBABm
VECTOR MULTIPLICATION
AB  B  A
• Vector triple product is:
AB CACB ABC
Calculate the vector or cross product between
vectors: A = 6i - 3j + 4k and B = 2i + 9j - 5k
A B  6i 3 j  4k 2i 9 j 5k 
 62i i 69i  j 65i k 32ji
39jj 35jk  42k i
 49k  j  45k k
 054k  30 j 6k  015i 8 j 36i 0
EXAMPLE
 21i  38 j 60k
• Visit www.saip.org.za for more information and
more knowledge, i.e. job opportunities, bursaries,
careers in physics, etc.
• Use physics to join these nine dots without lifting a
pen and without going over one line twice. You can
go out of the box.
INTERESTED IN DOING PHYSICS ….
SHOULD BE. THANX TO MR RIBA.
AB CABAC


NOT
AB CABAC
ERRATUM
r  xi  yj  zk


• Vector A is said to be a single-valued function of the
scalar q if for every value of q there exists only one
value of the vector A.
• If for every set of values of the scalars q1;q2;q3; …
there exists only one value of vector A, then vector
A is said to be a single-valued function of the
scalars q1;q2;q3;…. Such a vector is shown by:
A  Aq1;q2;q3;

• A position vector r is represented in the following
manner:
DERIVATIVE OF A VECTOR
• r is a continuous function of the scalars x; y; z and
is designated, if possible by: r  rx; y;z .
• The position vector r expressed as a function of
time (t) is: r  rxt; yt;zt rt


• The derivative of a vector function (following the
definition of the derivative of a scalar function) is
expressed as: AtAxti  AytjAz tk
• Then the derivative is: dA

lim At t At
DERIVATIVE OF A VECTOR
 
dt t0
 t 
d
CA
dC
A C
dA
dt
dt
dt




• In terms of components we have:
dA

lim Ax
i 
Ay
j 
Az k

dAx
i 
dAy j 
dAz
k
dt t0

t t t  dt dt dt
• The derivative of a vector sum can be written as:
• And:
DERIVATIVE OF A VECTOR
d
A  B
dA

dB
C is a scalar
dt dt dt
dt
dt
dt
• For a derivative of a vector product we write:
• The order of the vectors is very important.
• In the integral, let AuAxui  AyujAz uk
be a vector function of u. the indefinite integral of
A(u) is defined as:
DERIVATIVE OF A VECTOR
d
A  B
dA
B  A
dB
Audu  i Ax uduj Ay udu  k Az udu
• Dynamics – branch of mechanics that deals with the
motion and equilibrium of systems under the action
of forces, usually from outside the system.
• A rigid body is a hard body that never undergoes any
change of size and shape (under specified conditions
for performing an experiment).
• Bodies in which particles have fixed distances do not
exist in nature because atoms are always undergoing
some relative motion (i.e. Vibrating along their
lattice positions).
RIGID BODY DYNAMICS
• However, these motion or vibrations of atoms are
microscopic and can therefore be ignored when
describing the macroscopic motion of the body.
• A rigid body is a collection of particles whose
relative distances are constrained to remain
absolutely fixed.
• If the body was to be absolutely rigid, whatever
happens at one end would instantaneously be felt at
the opposite end.
RIGID BODY DYNAMICS
• The motion of a rigid body is described by an
inertial frame and a coordinate system fixed with
respect to the body.
• We specify six quantities (coordinates of the centre
of mass and three independent angles that give the
orientation of the body coordinate system with
respect to the fixed system) to denote the position
of the body.
RIGID BODY DYNAMICS
• Let r1,r2,r3,,rn be the position vectors of a system
of particles of masses
• See diagram:
m1,m2,m3,,mn
P1
respectively.
P2 Pcm
P3
P4
CENTRE OF MASS (cm)
1. Consider two vectors: A  3i  2 j and B  i  4 j .
(i) Calculate: A  B
(ii) The direction of: A  B
2. Find the angle between the vectors: A  4i 2 j 5k and
B  2i 10 j  7k.
3. Show that: AB C ABAC

given that vectors
A  7i 4 j 11k , B  6i  9 j 8k and C  3i 3j 4k . Also show
QUIZ No.1 [VECTOR C INCLUDED]
that: AABB A B 0 and
A B  B  A for vectors A and
B as given.
n
M
m
• The centre of mass or centroid of the system of
particles is defined as that point C having position
vector:
r 
m1r1  m2r2 m3r3 mnrn
 
 miri 
1
m r
m1 m2  m3mn
i i
i i i
• M  mi is the total mass of the system.
CENTRE OF MASS (cm)
n
• We can similarly write the centre of mass in terms
of the individual directions.
i
mixi
m

i
3
2
1
m  m  m 

m1x1 m2 x2  m3 x3  


x
• We can similarly write the centre of mass in terms
of the individual directions, if we have several
particles with massesm1,m2,m3, . If the coordinates
of m1 are x1, y1; of m2 are x2 , y2 and of m3 are
x3, y3 , then we define the centre of mass of the
system as the point that has coordinates (x,y) given
by:
and
CENTRE OF MASS (cm)
y 
m1y1  m2 y2  m3 y3  
 
mi yi
cm
cm
• Remember that vector is a function of x and y, so
we write: r  xi  yj or r  rx; y .
• For a continuous system of particles occupying a
region R of space in which the volume density is ,
the centre of mass can be written as:
r 
rd
R
d
R
• The integral is taken over the entire region R.
CENTRE OF MASS (cm)


i 
• The centre of mass (in a two-dimensional system)
can then be written as:
 m1x1
 m2 x2 m3x3 m y  m y
1 1 2 2
 m y
3 3
 
r  
 m1m2  m3
i  
  m1m2  m3
 j
 
 mi xi

m  mi yi

m
 i i   i i 



• In a three-dimensional system we write the centre
CENTRE OF MASS (cm)

j
of mass as:

k



 j 
m1 m2  m3 
k



i i


i i
 
i i


i  
r  

m m
• In a three-dimensional system we write the centre
of mass as:
• Or into components the centre of mass is:
x  mi xi
y 
mi yi
z 
mi zi
cm cm
i
cm
i i
CENTRE OF MASS (cm)



i
m x
i  
 

i
m y
 j 
i
m z 
 m1x1  m2x2  m3x3  
m1  m2  m3  
 m y  m y  m y 
1 1 2 2 3 3
 m1z1  m2 z2  m3 z3   
m1 m2  m3 
mi
mi
mi
m
M
zd
M
yd
M
xd
• In terms of the volume density, the components of
the centre of mass are written as:
• The mass M is defined as follows:
M  mi or
CENTRE OF MASS (cm)
xcm  R
ycm  R
zcm  R
M  d
R
• We can alternatively define the centre of mass as a
point with respect to which the linear moment (lm)
vanishes.
• To show that we can define the centre of mass as a
point where linear moment vanishes is significant
that we prove that (i) a mass centre exists and (ii)
there is only one mass centre.
• Consider a system of n particles of masses
m1,m2 ,m3 ,,mn , situated at points P
1, P2 , P3,, Pn . The
position vectors of these points are r1,r2,r3,,rn .
CENTRE OF MASS (cm)
• Let r1,r2,r3,,rn be the position vectors of a system
of particles of masses
• See diagram:
m1,m2,m3,,mn
P1
respectively.
P2 Pcm
P3
P4
CENTRE OF MASS (cm)
n
mi
i1
miri
miri

n
lm  

• The first linear moment of the system with respect
to its assigned point will be the vector:
• The existence of the mass centre is established by
taking any point O where the vectors of the points
P
1, P2 , P3,, Pn relative to O are r1,r2,r3,,rn .
Let C be a points such that:
CENTRE OF MASS (cm)
n
i1
OC  i1
• C has the same properties as the centre of mass.
n
mi
i1
miri
OC  i1
i1
i1
i1
i1
i i
i i
i i
• The position vector of the point P relative to C is:
ri ri OC
• The linear moment of the system with respect to C
is then given by:
• Substitution by in the above equation
gives zero.
CENTRE OF MASS (cm)
lm  
 m r 
 r OC
 m r OC
 m
n
i
n
n
m
n
n

 i1
n
 mi



• That is:
• The above equations vanish and therefore C
becomes the mass centre. A mass centre exists.
• To establish the uniqueness of the mass centre, we
assume that there are two mass centres C and Cʹ
relative to which the position vectors of the
CENTRE OF MASS (cm)


 i1 
i i
m r  0
n

i1
i i
m r 
n

i1



i
m

n





i i
lm
1
i i 
m r


n


i
m r 
n

i1

n
n
i1
i1
n
n
i1
i1
miri  miri

n


mi ri0
n


particles are respectively
Then: and
r1,r2,r3,,rn and r1
,r2
,r3
,,rn


 

• But: ri ri
 CC  from ri
 ri OC .
• Combining the two above equations:
• Then:
CENTRE OF MASS (cm)
i1 i1
n n
mi ri mi ri

mi ri
 0
i0 i1
i
i
i
• Substituting for ri we will get that:


i1
mrCC 

i1
mir
 

i1
rCC 

i1
ri

CC 0
CENTRE OF MASS (cm)
n n
n n
• This means that C and Cʹ coincide and
therefore only one mass centre exist.
CENTRE OF GRAVITY (cg)
• In equilibrium problems, one of the forces acting on
the body is its weight (w) and the torque of this
weight can be calculated.
• The weight is distributed over the entire body but the
torque can always be calculated due to the body’s
weight by assuming that the entire force of gravity is
concentrated at one point called the centre of
gravity (cg).
• We assume that the acceleration due to gravity g
has the same magnitude and direction at every
point in the body.
• Every particle in the body experiences a
gravitational force, and the total weight of the body
is the vector sum of a large number of parallel
forces.
• A typical particle has mass mi and weight wi mi g.
• If ri is the position vector of this particle with
respect to an arbitrary origin O, then the torque
vector i of the weight wi with respect to O is:
CENTRE OF GRAVITY (cg)
i  ri wi  rimi g
• The total torque due to the gravitational forces on
all the particles is:
  i
i
 r1 m1g r2 m2 g r3m3g
 m1r1  m2r2 m3r3 g
 

m r

g
 i i 
 i 
CENTRE OF GRAVITY (cg)

• By the definition of the centre of mass, the torque
mi
i
m1  m2  m3 
is then given by:
• The first part of the equation is the centre of mass
and Mg is weight, so we write:
• From the above equation we have:
CENTRE OF GRAVITY (cg)
 
m1r1 m2r2 m3r3 
Mg  
miri
Mg
  rcm Mg  rcmw
  r F
• Calculate the centre of mass for the body with
three particles where the first particle with mass
10.0 kg is located 2.0 m form the origin on the y-
axis, the second particle of mass 25.0 kg is at the
origin and the third particle with mass 40.0 kg is
3.6 m from the origin on the y-axis. Draw a rough
sketch depicting the situation.
• Solution: m1 = 10.0 kg; y1 = 2.0 m; m2 = 25.0 kg;
m3 = 40.0 kg; x3 = 3.6 m.
EXAMPLE
• http://tmlearn.ul.ac.za.
OR
• http://10.1.254.60
• NB!!! No www in the addresses
BLACKBOARD
xcm  mi xi
mi

m2 x2
m2
 m3x3
 m3

25.0kg0m40.0kg3.6m
25.0kg 40.0kg

0144.0kgm
65kg
 2.2m
ycm  mi yi
mi

m1 y1
m1
 m2 y2
 m2

10.0kg2.0m25.0kg0.0m
10.0kg 25.0kg

20.0kgm0
35kg
 0.6m
EXAMPLE
• Therefore: rcm  xcmi  ycm j 2.2mi 0.6mj
• A water (H2O) molecule consists of two hydrogen
atoms and one oxygen atom. The oxygen atom is
located at the origin. One hydrogen atom is between
the positive x-axis and positive y-axis and the other
hydrogen atom is between the positive x-axis and the
negative y-axis. Each hydrogen atom makes an angle
of 60º with the positive x-axis and they are both a
distance d = 9.57 nm from the origin. Draw a rough
sketch of the water molecule and then calculate the
center of mass of the water molecule. The mass of
oxygen is 16.0 g and of hydrogen is 1.0
g. [Note: 1 nm = 10-9 m]
EXAMPLE [DO IT YOURSELF]
• Kinematics – branch of mechanics that deals with
pure motion, without reference to the masses or
forces involved (the cause of motion is ignored).
• Consider a body (rigid) constrained to rotate about a
fixed point O.
• If t1 and t2 are two instants, then in a time interval t2
– t1 a body receives a displacement equivalent to a
rotation n about O.
• The object rotates about the angle θ.
• If t1 is fixed and t2 is moved next to t1 to approach t1,
the direction of some vector n will approach
RIGID BODY KINEMATICS
some limiting direction and can be denoted by i .
• The ratio of the angle or rotation about n direction in
a time interval t2 - t1 approaches a limiting value, ω.
• The vector, is called an angular velocity of the
body at time interval (instant) t1.
• In analogy to linear velocity (in linear motion in one
direction), the instantaneous angular velocity  , is
defined as:
  lim


t0 t

d
dt
RIGID BODY KINEMATICS
• The average angular velocity is:
 


2 1
ave
t t2 t1
• Angular velocity is measured in rad/s.
• The units for angular displacement will be radians
(rad).
RIGID BODY KINEMATICS
v 
dr
  r
• Angular displacement is given by:  2 1 .
• If dt is a big value of time, the body will have a big
rotation dt .
• The displacement of the particle in rotation is:
dr  dt r . r is the position vector relative to O.
• The velocity of the particle is then:
• The instantaneous angular acceleration is:
RIGID BODY KINEMATICS
dt
  lim


t0 t

d
dt
• The average angular acceleration is:
 


2 1
ave
t t2 t1
• Angular acceleration is measured in rad/s2.
RIGID BODY KINEMATICS
Test 1: 05 March 2012
Test 2: 23 March 2012
NEW TESTS DATES
• The equations are similar to those in linear motion
(straight one dimensional motion in the x- or
y-direction).
• We already know that:  


ave
t
2 1
t2  t1
• Replace ave by (instantaneous).
• Let 0 be the angular velocity of a rigid body at
time t = 0, and  time t (t2 = t).
ROTATION WITH CONSTANT
ANGULAR ACCELERATION
be the angular
velocity at a later
• Angular acceleration is constant and equal to the
average value for the interval. Then:



• Angular velocity becomes:

 0
t t0
• With constant angular acceleration, the interval of
change for the angular velocity is constant
(uniform), so we can take the average.
ROTATION WITH CONSTANT
ANGULAR ACCELERATION
  0 t
• Average angular velocity is then:
ave 
0 
2
• But average angular velocity is also:
ave 
2
t2
1
t1

 0
t
• Combining the two equations we get that:
0 
2

 0
t
ROTATION WITH CONSTANT
ANGULAR ACCELERATION
  
1
 t t
1
 t
• Then:
• Substituting   0 t in the above equation
we shall have:
• Then:
ROTATION WITH CONSTANT
ANGULAR ACCELERATION
0
2
0
2
0
2
t

1
t 
0

0
  
0
0
2
0
  
1
  tt

0

0

  0 0 
0
• Substituting
we obtain:
t 

0
in





   


• The result is: 2
 2
20 
ROTATION WITH CONSTANT
ANGULAR ACCELERATION

     
2
1
2

2
t

1
2
0
  t
0
  
0
x  x  v t 

0 
0


1.
2.
3. v2




2
2ax

x0


2


 

2
2

0 
SIMILARITIES IN LINEAR AND
ANGULAR MOTIONS
2
0 0 0
2
at
1
2
t

1
2
t 

  
v  v0  at   0 t
v 


• The angular position of a particle is given by:
  2.0rad / s3
t3
(i) Find the displacement of the particle during the
time interval t1 = 2.0 s and t2 = 5.0 s. (ii) Find the
average angular velocity for the interval. (iii) What
will the instantaneous angular velocity at t = 3.5 s?
EXAMPLE
(i) Displacement of the particle during the time
interval t1 = 2.0 s and t2 = 5.0 s.
 2.0rad / s3
5.0s3
 2.0rad / s3
2.0s3
 250 rad16rad
 234rad
EXAMPLE
dt
dt
(ii) The average angular velocity for the interval.

ave 
t

234 rad
3.0s
 78.0rad /s
(iii) The instantaneous angular velocity at t = 3.5 s?
EXAMPLE
 
d

d
2.0rad / s3
t3
 6.0rad / s3
t2
  6.0rad / s3
3.5s2
 73.5rad / s

A wheel rotates with a constant angular acceleration
of 3.50 rad/s2. The angular speed of the wheel is 3.05
rad/s at t = 0.
(i) What will be the angle of rotation of the wheel
when t = 4.09 s?
(ii) What is the angular speed of the wheel?
EXAMPLE
 3.05rad / s4.09s
1
3.50rad / s2
4.09s2
0
(i) The angle of rotation
EXAMPLE
   t 
1
2
t2
2
 12.475rad  29.274rad
  41.7rad
 
0
(ii) The angular speed of the wheel
2
 2
2  
0
 3.05rad / s2
 23.50rad / s2
41.7rad

  301.2025
or
rad2
/ s2
17.4rad / s
  0 t  3.05rad / s3.50rad/s2
4.09s
EXAMPLE
 17.4rad / s
• The number of coordinates required to specify the
position of a system of one or more particles is
called the number of degrees of freedom of the
system.
• A system whose position may be specified by one
variable or coordinate is said to be a system with one
degree of freedom (e.g. a simple pendulum).
• A system whose position may be specified by two
arbitrary and independent variables or coordinates is
said to be a system with two degrees of freedom.
DEGREES OF FREEDOM
• q1,q2,q3,,qn is a set of generalised coordinates for a
given system if the position of every particle in the
system is a function of these variables and perhaps
also explicitly of time, then ri ri q1,q2 ,q3,,qn ,t .
• The number of degrees of freedom can also be taken
to be the number of coordinates which can vary
independently in a system.
DEGREES OF FREEDOM
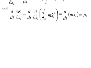
  r F
• We already know that: and   F l
• Two conditions of equilibrium are: F  0   0
• For a particle with mass m, velocity v ; momentum
is given by: p  mv , and position vector r relative
to the origin O of an inertial frame, we define
RIGID BODY DYNAMICS
angular momentum L as:
L  r  p  r mv  r m
dr
dt
dt
r
L  r  p  r mv  m
dr
• In terms of the magnitude:
• The units of angular momentum are: kgm2
/ s
• When the net force acts on a particle, its velocity
and momentum change, and the angular
momentum also changes.
• It can be shown that the rate of change of angular
momentum is equal to the torque of the force.
• We know that:
RIGID BODY DYNAMICS
L mvr

dt








dt
dt
dL

d
rmv
• Taking the time derivative of angular momentum
we shall have:
• Applying the distributive law we obtain:
RIGID BODY DYNAMICS
dt dt
dL

 dr
mv



r m
dv 

dt
v 
dr
dt
• As we know: and
• Substituting for v and a in the time derivative of
angular momentum we get:
• Rearranging the first term and equating
we get:
ma  F
RIGID BODY DYNAMICS
dL
 vmv r ma
a 
dv
dt
dL
 0  r  F
dt
dL


dt
mv vr  F 

• The cross product of a vector by itself is always
zero.
• Then:
• By definition: r  F
RIGID BODY DYNAMICS
dL




• Then:
• Therefore the time derivative of angular
momentum is equal to the torque of the force.
• For a system of n particles, the angular
momentum is the vector sum of the angular
momenta of the particles.
• The angular momentum of the ith particle
(relative to a point O) is written as:
RIGID BODY DYNAMICS
dt
n
where ri, mi, vi respectively denote the position
vector, mass and velocity of the ith particle.
• If a point O is fixed in the frame of reference, then
and the components of L along rectangular axes fixed
in the frame can be obtained.
• The components of position vector ri are xi, yi, zi
RIGID BODY DYNAMICS
L  ri mivi 
i
and for velocity the components are x
i , y
i , z
i .
• The components of L along the rectangular axes
fixed in the frame are:
RIGID BODY DYNAMICS
i
mi ri vi  mi xi
j
yi
k
zi 
x
i y
i z
i
mi yi z
i  zi y
i i mi zi x
i  xi z
i j mi xi y
i  yi x
i k
• Therefore:
n
n
n
• We can introduce the centre of mass (into the
angular momentum) by expressing the position
vector of each particle ri´ in terms of the position of
the centre of mass rcm and the position vector of
particle i relative to the centre of mass ri, namely:
RIGID BODY DYNAMICS
Lx  mi yi z
i  zi y
i 
i
Ly  mi zi x
i  xi z
i 
i
Lz  mi xi y
i  yi x
i 
i
i
i
i i
i
dt
d
rmv rF 
d
i
• The position vector of the ith particle is:
• The velocity vector is:
• Then:
• Substituting for r and v in above we get:
dt
rcm  rimi vcm  vi rcm
i
 riFi
RIGID BODY DYNAMICS
i i
vi
  vcm vi
ri
 rcmri
i
i
i
dt
i
i
i
i
cm
i i
i
i cm
cm
• By expanding the equation we have and, because
the linear moment of the centre of mass vanishes,
the terms miri
and mivi
are zero we get that:
• By definition of the centre of mass we know that:
Fi
i
 miai
i
 macm
RIGID BODY DYNAMICS
r m a 
d
r  m v  r F  r  F
i
i
dt
dL
 r  F 
i
i
i i
i
dt
d
r m v  r  F
• rcm on the left cancels the one on the right
• The result is then:
• The sum on the left is the angular momentum of
the system about the centre of mass and the sum
on the right is the total moment of the external
forces about the centre of mass.
• Therefore, as proven earlier:
RIGID BODY DYNAMICS
i i
i
dL
 0
dt
• The equation states that: the time rate of change of
change of angular momentum about the centre of
mass of any system is equal to the total moment
of the external forces about the centre of mass.
• Conservation law in rotational motion states that:
the total angular momentum of a system is constant
if the resultant external torque acting on the system
is zero. If then L is constant.
RIGID BODY DYNAMICS
2
  r
rad
a
2

v
r
arad
• A particle moving in a circle of radius r has
acceleration .
• We already know that v r , then if we substitute
v in a we obtain: .
• Consider a body consisting of large number of
particles with masses m1,m2 ,m3 , at distances
r1,r2,r3, from the fixed axis of rotation.
MOMENT OF INERTIA
vi  ri
• For a rigid body rotating about a fixed axis, the
speed of the ith particle is given by:
i i
3 3
2 2
1 1
2 2
2 2
2 2
2 2
2
2
m r 
1
2
2
m v 
1
2
K 
• Angular speed is the same for all particles in a
rigid body.
• The kinetic energy of the ith particle can be
expressed as:
• The total energy of the rigid body is the sum of the
kinetic energies of all particles, then
MOMENT OF INERTIA
i i i i i
K 
1
2
m r  
1
2
m r  
1
2
m r    
i
1
2
m r 
i i
3 3
2 2
1 1
2
2
2
2
• Angular speed (or velocity) is the same throughout
the body and since ½ and ω constants, we can have
that:
• The quantity in brackets is called the moment of
inertia and is denoted by I.
• Then: I  m r2
 m r2
 m r2
 m r2
1 1 2 2 3 3 i i
MOMENT OF INERTIA
K 
1
2
m r m r m r  2

1
2

i
m r  2




i
K 
1
I 2
• The moment of inertia depends on how the
body’s mass is distributed in space, not on how
the body rotates.
• Then the total rotational kinetic energy of a rigid
body about a fixed axis, in terms of the moment on
inertia is: . Then: KI
• The greater the moment of inertia, the harder it is to
start the body rotating if it is at rest and the harder it
is to stop its rotation if it is already rotating.
MOMENT OF INERTIA
2
• Angular momentum of a rigid body can be
expressed in terms of moment of inertia .
• We then shall have that:
L mvr mrr  mr 2
 I v  r
• As a vector we have:
• Remember: the dot product of a vector quantity
MOMENT OF INERTIA
L  I
and a scalar quantity gives a vector quantity.
I 
1
M a2
b2

I 
1
ML2
3
I 
1
ML2
12
• Different rigid bodies have different moments of
inertia.
• The moment of inertia of a slender rod, axis
through the centre is: . Show!!!
• The moment of inertia of a slender rod, axis
through one end is: . Show!!!
• The moment of inertia of a rectangular plate,
axis through the centre is: . Show!!!
MOMENT OF INERTIA
12
I 
1
Ma2
3
2
• The moment of inertia of a thin rectangular
plate axis along edge is: . Show!!!
• The moment of inertia of a hollow cylinder is:
I 
1
2
M R1 R2
. Show!!!
• The moment of inertia of a solid cylinder is:
. Show!!!
MOMENT OF INERTIA
I 
1
MR2
2
2
I 
2
MR2
3
I MR2
• The moment of inertia of a thin-walled hollow
cylinder is: . Show!!!
• The moment of inertia of a solid sphere is:
. Show!!!
• The moment of inertia of a thin-walled hollow
sphere is: . Show!!!
MOMENT OF INERTIA
I 
2
MR2
5
A body consisting of three masses rotates about a
fixed axis along the z direction. Mass m1 = 100.0 g is
50.0 cm from the axis of rotation, mass m2 = 300.0 g
is 30.0 cm from the axis of rotation and mass
m3 = 200 g is 40.0 cm from the axis ofrotation.
(i). Calculate the sum of the moments of inertia about
the axis of rotation.
(ii). What will be the total kinetic energy (K) of the
body when it rotates with angular speed of 10.0 rad/s?
EXAPMPLE
(i). Calculate the sum of the moments of inertia about
the axis of rotation.
(ii). What will be the total kinetic energy (K) of the
body when it rotates with angular speed of 10.0 rad/s?
EXAPMPLE
• An engineer is designing a machine part consisting
of three disks linked by lightweight struts. What is
the moment of inertia of this body about an axis
through the centre of disk A, perpendicular to the
plane of the diagram? What is the moment of inertia
about an axis through the centres of disks B and C?
if the body rotates about an axis through A
perpendicular to the plane of the diagram, with
angular speed ω = 4.0 rad/s, what is its kinetic
energy?
EXAPMPLE (DO IT YOURSELF!!!)
• An engineer is designing a machine part consisting
DIAGRAM
• We start by defining what a periodic motion is.
• Periodic motion is a motion that repeats itself in
a definite circle and it occurs whenever a body
has a stable equilibrium position and a restoring
force that acts when it is displaced from
equilibrium.
• Periodic motion can be observed in: (i) oscillations
of a mass of a spring; (ii) rise and fall of the sea
tides; (iii) vibrations of a quartz crystal in a watch;
(iv) back and forth motion of the pistons in a car
engine; etc.
SIMPLE HARMONIC MOTION
• For simple systems, periodic or oscillatory motion
can take place if the system has an equilibrium
position, and there exists a force which tends to
restore the system to equilibrium whenever it is
disturbed (restoring force).
• Oscillations or vibrations can only occur when
there is a restoring force tending to return the
system back to equilibrium.
• Periodic motion has amplitude (A), period (T),
frequency (f), and angular frequency (ω).
SIMPLE HARMONIC MOTION
1Hz 
1cycle

1
 s1
• The amplitude (A) of the motion is the maximum of
displacement from equilibrium and is always
positive. That is A = |xmax|; measured in metres (m).
• A complete vibration or cycle is one complete
round trip.
• Period (T) is the time for one compete circle and is
measured in seconds (s). Period is always positive.
• Frequency (f) is the number of cycle in a unit of time.
Frequency is always positive and is measured in
hertz (Hz).
SIMPLE HARMONIC MOTION
1s s
• Angular frequency (ω) is 2π times the frequency.
  2f . ω is measured in rad/s.
• T, f and ω are related to each other by the following
relation:
f 
1
;T 
T
1
; 
2
;T
f T

2


• Simple harmonic motion is defined as a motion of
particle whose acceleration is always directed
towards a fixed point and directly proportional
SIMPLE HARMONIC MOTION
to its distance from that point.
• Force (Fx) is directly proportional to the
displacement (x) from equilibrium and this happens
when the spring is an ideal one obeying Hooke’s
law.
• The constant of proportionality between F and x is
called a spring or force constant, denoted k.
• The force acting on the spring (when stretched) is
Fx kx. By Newton’s third law of motion the
x-component of the force the spring exerts on the
SIMPLE HARMONIC MOTION
body is opposite so, Fx
 kx.
• Fx  kx is called the restoring force.
• F is measured in Newtons (N), x in metres (m), so k
is measured in N/m or N.m-1.
• When the restoring force is directly proportional to
the displacement from equilibrium, the oscillation is
called simple harmonic motion (SHM).
• A body that undergoes simple harmonic motion is
called a harmonic oscillator.
SIMPLE HARMONIC MOTION
k
x
m
F
x
 
m
d2
x
dt2
ax 
• The acceleration of a simple harmonic motion is
given by:
• The minus sign simply means that acceleration and
displacement always have opposite signs.
SIMPLE HARMONIC MOTION
• Go to the website: compadre.org/osp/index.cfm
• Research on harmonic motion in relation to
these topics: (1) connection between circular and
simple harmonic motion; (2) motion in a harmonic
central force model; (3) damped driven harmonic
oscillator phasor model; (4) strange harmonic
oscillator model; (5) spring motion model; (6)
simple harmonic oscillator model; (7) linear
oscillator model; (8) spring pendulum model; (9)
oscillator chain model.
• In each case
SIMPLE HARMONIC MOTION
• In each case play the simulation, provide the
drawing of the simulation. Describe in words what
you saw in the simulation and then write the physics
of the observation.
• In other cases also show the graph of displacement
x, the energy, force and velocity.
SIMPLE HARMONIC MOTION
CIRCULAR MOTION AND THE
EQUATIONS OF SHM
• Diagram
• n
• Point Q moves around the reference with constant
angular speed . Vector OQ rotates with the same
speed and such a rotating vector is called a phasor.
• Fx  kx is called the restoring force.
• F is measured in Newtons (N), x in metres (m), so k
is measured in N/m or N.m-1.
• When the restoring force is directly proportional to
the displacement from equilibrium, the oscillation is
called simple harmonic motion (SHM).
• A body that undergoes simple harmonic motion is
called a harmonic oscillator.
SIMPLE HARMONIC MOTION
k
x
m
F
x
 
m
d2
x
dt2
ax 
• The acceleration of a simple harmonic motion is
given by:
• The minus sign simply means that acceleration and
displacement always have opposite signs.
SIMPLE HARMONIC MOTION
Q
a 2
A ;v  r
v2
r
a 
CIRCULAR MOTION AND THE
EQUATIONS OF SHM
• The x-component of the phasor at time t is just the
x-component of point Q: x  Acos


• Since point Q is in uniform circular motion, its
acceleration vector aQ
O. the magnitude of aQ
is always directed toward
is constant and given by
the angular speed squared times the radius of the
circle. So: . A is the radius.
ax  aQ cos
• The x-component of aQ is:
2
2
x
CIRCULAR MOTION AND THE
EQUATIONS OF SHM
• Then acceleration of point P is:
• Remember: acceleration is directly proportional to
the displacement x and always opposite in direction.
• Combining the two acceleration equations, a  
k
x
m
and a  2
x , we get that: 
k
m
x  2
x   
k
m
a    Acos  x


Q
a cos
  2f ;T 
1
CIRCULAR MOTION AND THE
EQUATIONS OF SHM
• From: ; we have that for SHM,
and
• In simple harmonic motion the period and period
and frequency.
f
m
k

f
T 
1

2
 2
k
m
2
2
f 


1
DISPLACEMENT, VELOCITY AND
ACCELERATION IN SHM
• If the angle at t = 0 is , then at time t the angle is t
(t + ) = θ.
• Then: x  AcosAcost  .
• The constant  is called the phase angle.
• At θ = 0, the displacement as a function of time is a
periodic function.
• The velocity (as a function of time) of the harmonic
oscillator can be found by doing the time derivative
of displacement x:
dt
dt
x
DISPLACEMENT, VELOCITY AND
ACCELERATION IN SHM
• Acceleration is the time derivative of velocity:
ax 
dvx
dt

d
 Asint
dt
2
Acost 
• Remember previously that we had that a 2
x
where x  Acost .
v 
dx

d
AcostAsint
• The graphs of x, v and a can be plotted and
discussed.
DISPLACEMENT, VELOCITY AND
ACCELERATION IN SHM
•
• The graphs of x, v and a can be plotted and
discussed.
DISPLACEMENT, VELOCITY AND
ACCELERATION IN SHM
• When the body is passing through the equilibrium
position so that the displacement x is zero, the
velocity equals either vmax or –vmax and acceleration
is zero. When the body is at either its
maximum positive displacement x = +A or its
maximum negative displacement x = –A, velocity is
zero and the body is instantaneously at rest. At x =
+A, acceleration is negative and equal to –amax
and x = –A acceleration is positive, ax = amax.
• Show that the amplitude A for SHM is: v2
2
2
x x
A 
K 
1
mv2
2
ENERGY IN SIMPLE HARMONIC
MOTION
• Consider a body oscillating horizontally on the end
of a massless spring. The spring force is the only
horizontal force on the body.
• The force exerted by an ideal spring is a
conservative force so that the total mechanical
energy of the system is conserved.
• Kinetic energy (K) is always given by the equation:
and the potential energy (U)
is: U 
1
kx2
2
ENERGY IN SIMPLE HARMONIC
MOTION
• The total mechanical energy of the system is:
E  K U 
1
mv
2
2
x

1
kx2

2
constant
• The total mechanical energy E is related to the
amplitude A of the motion.
• When the reaches a maximum point from
equilibrium where its maximum displacement is x
= A, it momentarily stops as it turns back toward the
equilibrium position, i.e. when x = A, vx = 0.
ENERGY IN SIMPLE HARMONIC
MOTION
• At this point the kinetic energy is zero and the
energy is entirely potential and E 
1
kA2
.
2
• Because E is constant, it is equal to
other point.
1
kA2
2
at any
• Then: E 
1
mv
2 2
x 
1
kx2

2

1
kA2
2
 constant
ENERGY IN SIMPLE HARMONIC
MOTION
• We can verify this equation by substituting for
x  Acost  and vx Asint .
E 
1
mv
2

1
kx2
2
x
2

1
mAsint 2

1
kAcost 2
2 2

1
m2
A2
sin2
t 
1
kA2
cos2
t 
2 2
k
m
 2

k
 

m

ENERGY IN SIMPLE HARMONIC
MOTION
• We know that: .
• So:
E 
1
2
 k 
A2
 
sin 2
t 
1
kA2
2
cos2
t 

1
kA2
2
sin 2
t 
1
kA2
2
cos2
t 
m
m

1
kA2
sin
2
2
t cos2
t 
T 
2

1
 2
E 
1
kA2
1
1
kA2
ENERGY IN SIMPLE HARMONIC
MOTION
• We know that:
• Therefore:
sin 2
t.cos2
t 1
• A simple pendulum is an idealized model
consisting of a point mass suspended by a
massless, un-stretchable string.
• T of a simple pendulum is:
2 2
 f
l
g
I
mgd
ENERGY IN SIMPLE HARMONIC
MOTION
• A physical pendulum is any real pendulum that
uses an extended body.
• T of a compound pendulum is:
• I is the moment of inertia.
T  2
EXAMPLE
• The shock absorbers in an old car with mass 1000
kg are completely worn out. When a 980-N person
climbs into the car to its centre of gravity, the car
sinks 2.8 cm. when the car, with the person aboard,
hits a bump, the car starts oscillating up and down
in SHM. Taking the car and the person to be one
thing, find the period and frequency f the
oscillation.
• First calculate k:
EXAMPLE
k 
Fx
 980N  3.5104
N / mkg/ s2
x 0.028m
• From the weight of the person, the mass is:
m 
w

980 Nkgm/ s2


100kg
g 9.8m /s2
k
EXAMPLE
• Period T is then:
• And frequency:
T  2
m
2 1100kg
3.5104
kg /s2
 1.11s
f 
1

T
1
1.11s
 0.90s1
0.90Hz
x  0.42cos7.4t
EXAMPLE
A 10 kg mass vibrates according to the equation:
, where x is in meters and t in
seconds. Determine:
(i). the kinetic energy (K) and potential energy
when t = 2.16 s.
(ii). The total energy E.
• Find v first:
• Then x:
and k are:
E = K + U = (3.7 + 44.6)J = 48.3 J
EXAMPLE
• Kinetic energy is:
• Potential energy:
• Total energy:
Or
DISPLACEMENT, VELOCITY AND
ACCELERATION IN SHM
•
DISPLACEMENT, VELOCITY AND
ACCELERATION IN SHM
•
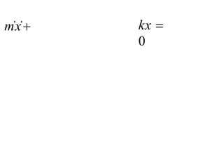
SOLUTIONS TO THE HARMONIC
MOTION EQUATION
• The equation for the harmonic motion is:
then m
x
 kx 0
• To solve the equation m
x
 kx 0 we employ the
trial method in which the function eqt
is the trivial
solution and q is a constant to be determined.
• If x eqt
is a solution, then for all values of t we
Fx  kx Fx  kx  0
must have:
m e  0
qt
 ke
qt
d 2
dt2
SOLUTIONS TO THE HARMONIC
MOTION EQUATION
• The equation for the harmonic motion is:
then m
x
 kx 0
• To solve the equation m
x
 kx 0 we employ the
trial method in which the function eqt
is the trivial
solution and q is a constant to be determined.
• If x eqt
is a solution, then for all values of t we
Fx  kx Fx  kx  0
must have:
m e  0
qt
 ke
qt
d 2
dt2
SOLUTIONS TO THE HARMONIC
MOTION EQUATION
• Differentiating the equation:
and cancelling the common factors, we obtain:
or
• Then q is imaginary because:
q   
k
m
mq2
 k  0 q2
 
k
m
qt
qt
e  ke  0
d 2
dt2
m
ei0t
m
0
 
k
k
 i
SOLUTIONS TO THE HARMONIC
MOTION EQUATION
• Then:
where
• We know that: so the trial method yields
two solutions of the form and
• From complex numbers Euler’s theorem the
exponential is expressible in terms of ordinary
trigonometry functions by the relations:
m
ei0t
i  1
0
q  i
SOLUTIONS TO THE HARMONIC
MOTION EQUATION
and
• We alternatively write:
and
• A handy property of linear differential equations is
that if x1t and x2t are known solutions in
terms of the independent variable t, then any linear
eiu
eiu
cos u 
2
eiu
 eiu
sin u 
2i
eiu
 cosu isinu
eiu
 cosu isin u
combination C1x1 C2 x2 is also a solution.
2 2
dt2 1 1
2 2
1 1
qt
SOLUTIONS TO THE HARMONIC
MOTION EQUATION
• The constant C1 and C2 arearbitrary.
• This can be verified by substituting in the equation
we have:
m
d2
dt2
eqt
 ke
 m
d 2
C x C x  kC x C x 
 C1m
x
1  kx1 C2 m
x
2  kx2 
 0
eqt
 keqt
0
d 2
dt2
m
SOLUTIONS TO THE HARMONIC
MOTION EQUATION
• Therefore the general solution of the differential
equation of motion as a linear combination can be
expressed as: xt C ei0t
C ei0t
 
or equivalently: xt Acos0t  Bsin 0t
in which C 
1
AiB and

2
C 
1
AiB

2
• constant C1 and C2 arearbitrary.
• Visit www.saip.org.za for more information and
more knowledge, i.e. job opportunities, bursaries,
careers in physics, etc.
• Use physics to join these nine dots without lifting a
pen and without going over one line twice. You can
go out of the box.
INTERESTED IN DOING PHYSICS ….
EXAMPLE
A 10 kg mass vibrates according to the equation:
x 0.42 cos7.4t , where x is in meters and t in
seconds. Determine:
(i) the kinetic energy (K) and potential energy (U)
when t = 2.16 s.
(ii) the total energy E.
An oscillator displacement as a function of time is
given by: x Acos0t . If it is released from rest
and x = A = 3.0 cm when the clock is set to t = 0 s
with k = 10 N/m and m = 0.5 kg:
(i) Determine the position and velocity of the
oscillator at t = 2 s.
(ii) At what time does the oscillator get to
x = ̶ 1.0 cm?
EXAMPLE
dt
dt
dt
• A particle’s motion in an inertial reference frame is
correctly described by the Newtonian equation:
• Force on a particle moving in an inertial reference
frame equals to the time derivative of momentum.
LAGRANGIAN DYNAMICS
F ma
 F  m
dv

d
mv
 F 
dp
 p

• Newtonian mechanics is for a particle restricted in an
area in which rectangular coordinates (x,y,z) are used
to describe motion.
• If these restrictions are removed, equations of
motion are complex and difficult to manipulate.
• A particle moving on a given smooth horizontal
surface, the force keeping the particle on the surface
is F = -mg.
• Curved surfaces need a complicated force of
constraint.
LAGRANGIAN DYNAMICS
• For such complicated motion (curved surface),
alternative methods are applied and such methods
are contained in the Lagrangian and Hamiltonian
equations which are resulting from the application of
the Hamiltonian’s principle.
• Equations of motion which result from the
application of Hamiltonian’s principle are called
Lagrange’s equations.
• Lagrange’s equations constitute a proper description
of the dynamics of particles and are in some ways
equivalent to Newton’s equations.
LAGRANGIAN DYNAMICS
t2
K U dt  0
t1
• Hamilton’s principle, upon which it is possible to
base all classical mechanics states that: of all the
paths along which a dynamical system may move
from one point to another within a specified time
interval (consistent with any constraint) the
actual path followed is that which minimizes the
time integral of the differences between the
kinetic and potential energies.
• In terms of calculus of variations, Hamilton’s
principle is:
LAGRANGIAN DYNAMICS
• Kinetic energy expressed in fixed, rectangular
coordinates is a function only of velocity x and if
the particle moves in a conservative force field,
potential energy is a function of only the position x.
• Then: K  Kx
i  and U Ux 
i
• Let Lagrangian L be L  K U ; then the calculus
of variation of the Hamiltonian principle becomes:
t2
 Lxi , x
i dt  0
t1
LAGRANGIAN DYNAMICS
• The position of a system with N particles is specified
by N radius vectors, i.e. 3N coordinates.
• The number of independent quantities which must
be specified in order to define uniquely the position
of any system is called the number of degrees of
freedom and this number is 3N.
• Any n quantities q1,q2,q3,,qn which completely
define the position of a system with n degrees of
freedom are called generalised coordinates of the
system.
LAGRANGIAN DYNAMICS
• The derivatives are called generalised velocities.
• For velocities we write: q
1,q
2 ,q
3,,q
n
• According to Hamilton’s principle every
mechanical system is characterised by a definite
function, so: L  Lq1,q
2,t K U
• Let the system that occupy, at the instant t1 and t2
positions defined by two sets of values of
coordinates, q1 and q2. Hamiltonian’s principle
requires that the system moves between these
t2
LAGRANGIAN DYNAMICS
positions such that the integral
takes the least possible value.
S  
t1
Lq,q,tdt
 Lq,q,tdt  0
t1
t2
• The function L is called the Lagrangian of the
system.
• The variation of the equation is:
• This implies that:
LAGRANGIAN DYNAMICS
S  Lq,q,tdt  0
t1
t2
dt  0


q
L
q 

1


t2
L
• Then:
• Effecting the variation in the above equation we
obtain that:
• We know that:
LAGRANGIAN DYNAMICS
t  


dt
q
dq
q
q
Lq,q,tdt  0
t1
t2
• Then we can write:
• Integrating the second term by parts we get:
LAGRANGIAN DYNAMICS
L
q
t2

q dt 0

d L
dt q
q


1
t
1
q 
t2
L
 
t
q
 0



q dt


q
dt 
d L
q 

q

1

t 

t2
L
 


t 


q dt  0
1


• We set the initial conditions such that qt1qt2  0
so that the integrated tern becomes zero.
• We remain with:
• Then:
• Then we can write:
LAGRANGIAN DYNAMICS
t  dt  
1
d  L L
0
q
dt  q


dt q
q
qdt  0

d L 


t2
 L

q
d L
q 

q
t2
 L
E 
1
mx
2

1
kx2
 0
L
 0
qi
 

d  L 
• When the system has more than one degree of
freedom, we write:
• These equations are called Lagrange’s equations
of motion. First term is for K and second for U.
• Given that the total mechanical energy of a system
is: , apply Lagrange’s
equations of motion to the total mechanical energy.
LAGRANGIAN DYNAMICS
dt  q
i 
2 2
 

• Lagrange’s equation is:
• Then: d    1
mx
2 
  


1
kx2 
 0
dt 

  x

2

 x  2   
d
mx
 kx  0
• Differentiation will give us: dt  mx
LAGRANGIAN DYNAMICS
dt  x
i 
L
 0
x
d  L 

kx 0
F  ma
• From simple harmonic motion we have that:
F  kx F  kx  0
• But F is force and equals to ma.
F
• Substituting we get:
 kx 0
ma  kx 0
• Re
me
mber:
LAGRANGIAN DYNAMICS
d2
x
a 
mx


kx 
0
i 

ij

2


• In classical mechanics we solve Newton’s second
law of motion (F = ma) to get the energy of
interaction as atoms collide with each other.
• In quantum mechanics the energy of electrons is
obtained by solving for the wavefunction:
IT’S ALL ABOUT THE ENERGY
E  
1
V(r ) c 

i j

i
tot
q
j
j
q
j
dt
 

L
0
• In an inertial frame of reference, time is
homogeneous and the Lagrangian that describes a
closed system does not depend explicitly on time,
i.e.
• Lagrangian equation is:
• The total derivative of the Lagrangian becomes:
CONSERVATION OF ENERGY
t d  L 
dL
 
L
q
 
L
q


j
j
j
L
 0
qi
dt  q
i 
q
j
j
dt
q
j
dt
dL
 
L d
q
 
L
q


L
qj
dt qj
qj
• From Lagrange’s equation of motion we know that:
• Substituting in
we obtain that:
CONSERVATION OF ENERGY
L

d L
j
j
j
j
q
j
j
j
j
q
j
dt
dL
 
L
q
 
L
q




q
L 
0


d
• Rearranging we get:
• Taking out d/dt as a common factor yields:
• This implies that:
CONSERVATION OF ENERGY

dt 
j
j 
j
L
 cons tan t H
j
q
L  q

j
 0

j 


q
j
L 

q
 j
L 



dt
d 
q


j
dL
dt
K U  q

K
 H
L
 H
• Or just:
• We know that L = K – U and substituting for L in
above we shall get:
K U  q
j
j
K U
qj
 H
• U does not depend on velocity so the above
equation becomes:
CONSERVATION OF ENERGY
j
qj
j
j
qj
L  q

j
q

K
 2K
• By definition:
• This implies that: K U 2K  H
• Therefore: K U  H constant
• The total energy of a closed system is conserved.
Some systems where the energy is conserved are
CONSERVATION OF ENERGY
j
j
qj
called conservative system.
i
x
i
i
i
i
x
i
• We are still working with a homogeneous system
space (system) in an inertial frame of reference.
• For a system consisting of a single particle, the
Lagrangian is written in terms of rectangular
coordinates so that: L  Lxi , x
i  .
• The change in L is caused by the infinitesimal
displacement r xiei
i
is:
CONSERVATION OF LINEAR MOMENTUM
L  
L
x  
L
x  0
x
i
L  
L
x  0
• A variation of displacement makes it
(displacement) independent of time so that:
• Therefore, L becomes:
• Each of the xi
is an independent displacement,
L vanishes identically only if each of the partial
CONSERVATION OF LINEAR MOMENTUM
i i
i
dt

d
x  0
dt
i
i
dx
 

x
derivations of L vanishes:
xi
 
• According to Lagrange’s equations,
L
and
x
i
 constant
or: K U 

x
i
K
x
i

U
x
i

K
x
i
• Then:
K x
i

 x
i  1
m

2
i
CONSERVATION OF LINEAR MOMENTUM
L
 0
  0

dt  x
i 
d  L 
i 
x
2 


mx
i

pi  constan
t
• Thus, the homogeneity of space implies that the
linear momentum p of a closed system is constant
with time.
• For an equilibrium system:
• We have shown that:
Fi  0
• The force of the system is simply:
CONSERVATION OF LINEAR MOMENTUM
i
i
q
i
F  
L
 p

q
L
 p


L

d  L 
 0
• Lagrangian and Newtonian formulations of
mechanics are equivalent.
• Lagrange’s equations for a single particle under
rectangular coordinates are:
• Or substituting for L = K - U:
K U 
d
xi dt
K U   0
x
i
EQUIVALENCE OF LAGRANGE’S AND
NEWTON’S EQUATIONS
xi dt  x
i 
EQUIVALENCE OF LAGRANGE’S AND
NEWTON’S EQUATIONS
• We know that K  Kx
i and U Uxi  so: K
 0
and U
x
i
 0
.
U
xi
• In a conservative system 
xi
 Fi because:
 kx  F


2
kx
1
2


i 

 
U





d K

d
and
dt x
i dt x
i  i1
mx
i  p
i
d
dt
 

2 
mx
i
3
 
i
i

i
x 
i
x
dt
dt
dt
• Therefore, from Lagrange’s equations of motion:
F  p



• From Newton’s second law we have that:
EQUIVALENCE OF LAGRANGE’S AND
NEWTON’S EQUATIONS
F  ma  m
dv

d
mv
 F 
dp
 p

• Lagrange’s and Newton’s equations of motion all
show that force is the time derivative of
momentum.
• Therefore this shows the equivalence between
Lagrangian and Newtonian mechanics.
• Lagrangian and Newtonian equations are
identical statements if the generalised
coordinates are the rectangular coordinates.
EQUIVALENCE OF LAGRANGE’S AND
NEWTON’S EQUATIONS
q
j
p 
L
p 
L
• The potential energy of a system is velocity
independent, then the linear momentum in
rectangular coordinates are given by:
• If we use generalised coordinates in Lagrangian
equation, the generalised momenta is: or
• Then from the derivative of the conservation of
energy we have that:
HAMILTONIAN MECHANICS
p
 
L
j
qj
i
x
j
i
• Rearranging the terms and substituting for:
we obtain:
H  
i
pj qj  L
• The Lagrangian is considered function of the
generalised coordinates, and possibly the time. L
will only depend on time if the position or velocity
HAMILTONIAN MECHANICS
j
q
j
p 
L
j
L
 H
j
q
L  q

j
depend on time or if the transformation equations
j
q
j
p 
L
connecting the rectangular and generalised
coordinates explicitly contain the time.
• From we have that: qj qj qk , pk ,t


• From H 
j
pj qj L
we may write the
Hamiltonian as: Hqk , pk ,t 
i
pj qj

Lqk ,q
k ,t
HAMILTONIAN MECHANICS



• Hamiltonian is always written as a function of the
k


qk , pk ,t set whereas the Lagrangian is always a
function of the qk ,q
k ,t set so that: H  Hqk , pk ,t
and L  Lqk ,q
k
.,t .
• The total differential of H (H does not explicitly
depend on time) is therefore:
HAMILTONIAN MECHANICS
dH 
k


H
q
dq 
H
p
dp  
H
dt
t

k
• From the equation: Hqk , pk ,t 
i
pj qj

Lqk ,q
k ,t
k
k
t
k
k
k
k
k
k
k
k
j
L
p j 
q

j
L
p
 j 
q

q
k
q


k

k
k




we can also write:
• Substituting and in above we get:
• Like terms cancel and we are left with:
HAMILTONIAN MECHANICS
dH  

qdp  p dq 
L
dq 
L
dq 


L

dt
dH  q
dp  p dq
  p
 dq  p dq
 
L
dt
t
k
k
k

k

k
q
k
 p
 
H
p
k
q 
H
t
k
k
k
k
• We solve for q
k by letting other terms on the right
to be zero, and do the same for p
k
and L .
t
• We get that: and and
HAMILTONIAN MECHANICS
dH  q
dp  p
 dq 
L
dt
k
pk
t

L

H
p
  
H
q 
H
• The two equations: and
are called Hamilton’s equations of motion.
• Because of their symmetric appearance, they are
sometimes known as canonical equations of
motion.
• The description of motion by these equations is
termed Hamiltonian dynamics.
HAMILTONIAN MECHANICS
k
p
k
qk
k
• A natural homogeneous system is characterised by
the fact that the kinetic energy contains no explicit
dependence on time.
• For a natural system, the Hamiltonian function is
equal to the total energy of the system.
• Allowing H to explicitly depend on time, we write:
H  H q,p,t


• The full time derivative of H becomes:
CONSERVATION OF ENERGY (Hamiltonian)
 qi

p
q
i
t
dt
Or:
CONSERVATION OF ENERGY (Hamiltonian)
dH

H
 
H
q
  
H
p


i
dH
dt

H  H


p
i

H
p
q
i 

i

t


i
i
i
i


p
i
 qi


p
i 
 qi

t


 p
 
H
q 
H
• From Hamilton’s equations of motion we have
that: and
• Substituting by Hamilton’s equations in:
we get that:
CONSERVATION OF ENERGY (Hamiltonian)
i
p
i
q
H  H 
dH
dt

H  H  H H 
qi 
pi
H

i

t


H
pi
q
i 

i



dH
dt
i
i
H
 0
dH

H
• Therefore:
• In a natural conservative system, K and U do not
depend on time so that
• Hence:
• This simply means that H is constant, hence
H  K U  constant . Energy is conserved.
CONSERVATION OF ENERGY (Hamiltonian)
t
dt t
dH
 0
dt
H
 0
• Conserved quantities are expression of symmetry
properties possessed by the system.
• Because even if there is a change in position, the
property remains unchanged.
• If the property is constant in a conserved system,
e.g. H, then: .
• Consider a general function of the coordinates,
momenta and time, Gq, p,t .
• We define transformation generated by G to be
SYMMETRIES AND CONSERVATION OF
ENERGY


p 
F
p


q
F



F 
q
p
and
• Because even if there is a change in position, the
property remains unchanged.
• Consider another function
F is:
Fq, p,t. The change in
SYMMETRIES AND CONSERVATION OF
ENERGY
 



 q





q 
p

p
 q
F G 
G
F





p 
G


q 
G

p q 
 q p



• We define Poisson's bracket of F and G to be
• The change in F under the transformation
generated by G is written as: F F,G

• The antisymmetry of Poisson bracket means that if
we interchange F and G, we change the sign:
F,G G,F
SYMMETRIES AND CONSERVATION OF
ENERGY
F,G
F G

F G 

• If F is unchanged by the transformation
generated by G, then conversely G is unchanged
by the transformation generated by F.
THE END
GOODBYE. IF WE DON’T MEET AGAIN,I
HOPE OUR PART WAS MADE IN PEACE,
AND IF WE MEET AGAIN WEWILL
STILL SMILE.
SYMMETRIES AND CONSERVATION OF
ENERGY


• Exam scope: everything we did in
class. Tests will guide you.
• TEST 2: 26-MARCH 2012, 17:30.
LASTLY
  rcm  w  r F
i
i
dL
 r  F 
CC 0
lm  miri  0
i1
  t
1. All definitions 5.
2.
6.
3. 7.
4. 8.
ALL WHAT TO DERIVE OR SHOW
n
dt i
0 0
2
K 
1
I 2
dt
dL
 r  F 
2
t

1
2
  
 

k
q 
H p
  
H
E 
1
kA2
2
12.
9. 13.
pi 
F 
constant
p






10.
14.
dH
15. dt
 0 K U  H
ALL WHAT TO DERIVE OR SHOW
d  dL  p
k
q
 0
dL
dqi
dt  dq
i 
k k
11.
K U  H  constant 16. F,G G,F

SPHA021 Notes-Classical Mechanics-2020.docx

  • 1.
    Prepared by: Dr.Mahladisa SPHA021 CLASSICAL MECHANICS Lecturer: Prof. DE Motaung Office: Q-block 3rd Floor OFFICE NO. 3046
  • 3.
    • The minimumpass mark is 50% - RULE G19.1. • Exam: 40%; Tests: 30%; Practicals: 20%; and Assignments: 10%. • Attendance of lectures and consultations will never let you down. • SPHA021 SUDY GUIDE IS AVAILABLE AT THE BOOKSHOP AT A REASONABLE PRICE. ALL CHAPTERS INCLUDED. THINGS TO TAKE NOTE OF: GENERAL
  • 4.
    1. Basic Conceptsof Mechanics 1.1 Definition of basic terms 1.2 Ingredients of mechanics 2. Getting acquainted with Vector Algebra 2.1 Graphical representation of vectors 2.2 Vector Addition 2.3 Vector Multiplication 2.4 Vector Differentiation 2.5 Vector Integral COURSE OUTLINE
  • 5.
    3. Rigid BodyDynamics 3.1 The Concept of a Rigid Body 3.2 Centre of Mass 3.3 Rigid Body Kinematics 3.4 Degree of Freedom 3.5 Rigid Body Dynamics 3.6 Angular Momentum 3.7 Moment of Inertia 4. Simple Harmonic Motion 4.1 Introduction 4.2 Simple Harmonic Motion COURSE OUTLINE
  • 6.
    5. Lagrangian Dynamics 5.1Introduction 5.2 Calculus of Variation 5.3 Generalized Coordinates 5.4. Lagrange Equation of Motion 5.5 Conservation Laws 5.6 Essence of Lagrangian Dynamics 6. Hamiltonian Dynamics 6.1 Hamilton Equations of Motion 6.2 Conservation of Energy 6.3 Ignorable Coordinates COURSE OUTLINE
  • 7.
    COURSE OUTLINE 6.4 Symmetriesand Conservation Laws RECOMMENDED BOOKS 1. Classical Dynamics of Particles and Systems: by Marion Thornton 2. Principles of Vector Analysis: by J.B. Marion 3. University Physics: by Young and Freedman 4. Study Guide at the Bookshop
  • 8.
    • TWO ASSIGNMENTSAND TWO TESTS WILL BE WRITTEN. • PROPOSED TESTS DATES: 1. ??? February 2020 2. ??? March 2020 • QUIZES WILL BE WRITTEN IN BETWEEN. TESTS AND ASSIGNMENTS
  • 10.
    • Particle –Anything with a definite position (may have no size). - In physical systems where a body is very small compared to the distance or lengths, we represent a body in a mathematical model by a particle. • Mass – Two bodies (A and B) of the same material nearly identical in shape and size, will give same results when used in any mechanical experiment (performed first with object A and then with object B). DEFINITION OF BASIC TERMS
  • 11.
    - Two bodiesmay differ in material, shape, etc. and still give the same results in any mechanical experiment, no matter the size or the shape of the two bodies. - Two bodies are mechanical equivalent if they give the same results in any mechanical experiment, no matter the size or the shape of the two bodies. - A number is assigned to each piece of matter (like a price to each article of trade/business) and this number is called mass, demoted m. DEFINITION OF BASIC TERMS
  • 12.
    - The massof body A is the same as the mass of body B if the two bodies are mechanically equivalent. - If a system consists of bodies of different masses, the mass of the system is the sum of the individual masses of the bodies making the system. • Rigid body – A hard body that never undergoes any change of size and shape (under specified conditions for performing an experiment). DEFINITION OF BASIC TERMS
  • 13.
    • Frame ofReference – A definite rigid position at which an event occurs. - An event occurs at a particular mathematical point or position and instantaneously. - In most cases the earth is used as a frame of reference. The interior of a train; stretcher or airplane can also be frames of references. • Time – In addition to the position at which an event occurs, an event occurs at a particular time. Time is denoted by a letter t. DEFINITION OF BASIC TERMS
  • 14.
    • Rest andMotion – A particle is at rest when it is at the same position as the frame of reference. - A particle is in motion when it does not continue to coincide with the same point of that frame of reference. - An event occurs at a particular mathematical point or position and instantaneously. - In most cases the earth is used as a frame of reference. The interior of a train; stretcher or airplane can also be frames of references. DEFINITION OF BASIC TERMS
  • 15.
    1. Differentiate withrespect to x: f (x)  lnx f (x)  ex f (x)  x4 sinx2 lnxex  7 f (x)  1 d    1 mx 2      1 kx2  f (x)  y2 sin x dt x  2  x  2        2. Integrate: by parts by parts   eu2 2udu xcosxdx ex cosxdx sin t  dt   3. Factorize and simplify:J x2  f d f  y f (x)  x2  4 sin 2 x cos2 x  d   y  dx y   dx x   1 Differentiation and Integration
  • 16.
    • MECHANICS –The study of motion. -Basic concepts of mechanics are mass; acceleration; force; distance; etc. - There are hypotheses which come from observations and if tested to be true after some approximations, the hypothesis become law of nature. • Classical mechanics predicts motion of large objects up atoms, but cannot deal with motions of electrons or objects moving at the speed of light. THE INGREDIENTS OF MECHANICS
  • 17.
    • VECTOR –Requires two or more numbers to complete their specifications. A vector is defined as a physical quantity with magnitude and direction. -The direction and magnitude of a vector are graphically represented by a directed line segment or arrow drawn parallel to the vector and pointing in the direction of the vector. - The length of the arrow is drawn to scale so that its length may be chosen to represent the magnitude of that vector. - Two vectors A and B are said to be equal if they VECTOR ALGEBRA
  • 18.
    both have thesame magnitude and direction, no matter where they are in space, i.e. A = B. • The negative of a vector is the vector with the same magnitude as the original vector but opposite in direction, i.e. A = ̶ B. A B A ̶ B VECTOR ALGEBRA
  • 19.
    • If A,Bare two points in three dimensional space and C,D are also the other points in that space and: (i) the length CD is equal to the length AB (ii) CD is parallel to AB, then Such pairs of points are defined as the free vector AB or just A. • Two vectors A and B are equal if they refer to the same class. FREE VECTOR
  • 20.
    • If thepoint O is fixed, OA is called the position vector of the point A relative to O. • Once the point O is chosen, the representation of any position vector relative to O is fixed, and other representations cease to be appropriate. • If the two points have the same position vector, then the two points coincide. • A position vector is used to specify a point relative to a chosen origin, i.e. an alternative to its specification by means of its coordinates relative to a chosen set of axes. POSITION VECTOR
  • 21.
    • A setof coordinate axes or base vectors can be used to algebraically represent any vector (say A) by specifying its projections. • The three base vectors of a three-dimensional coordinate system must be linearly independent (meaning that they must satisfy the requirement that they be noncoplanar base vectors). • The three unit vectors are chosen in a Cartesian coordinate system so that they are directed respectively along the positive x-; y- and z-axis. • The unit vectors along the x-; y- and z-coordinates ALGEBRAIC REPRESENTATION OF A VECTOR
  • 22.
    • are respectivelydesignated by the symbols i; j and k. • Vectors having unit lengths are called unit vectors. • i, j; k are called rectangular unit vectors and are mutually perpendicular unit vectors having directions of the positive x; y and z axes. ALGEBRAIC REPRESENTATION OF A VECTOR
  • 23.
    • Any vectorA in the three-dimensional can be represented by rectangular unit vectors when it has origin at O. We can write vector A as: A = Axi + Ay j + Azk. • Axi ; Ayj; and Azk are called component vectors of vector A in the x; y and z directions. • The magnitude of vector A is: • The position vector r from O to the point (x; y; z) is then written as: r = xi + yj + zk and its magnitude is: UNIT VECTORS z y x A2  A2 A2 A  A 
  • 24.
    r  r x2  y2  z2 • The position vector r from O to the point (x; y; z) is then written as: r = xi + yj + zk and its magnitude is: • Vectors can be added using the parallelogram law of addition as shown in the diagram. VECTOR ALGEBRA OR VECTOR ADDITION
  • 25.
    • Vectors canbe added using the triangular law of vector addition simply joining the two vectors by drawing a line from the start of the first vector to the tip of the second vector. • Vector addition is commutative: A  B  B  A VECTOR ALGEBRA OR VECTOR ADDITION C  A  B
  • 26.
    and is associative:A B C A  B C
  • 27.
    A  B B  A • If the sum of the two vectors A and B equals a vector of zero magnitude, A B  0, then the vectors A and B must obviously have equal magnitude and opposite directions so that: A  B. • If A; B and C are vectors and m and n are scalars, then: 1. ; commutative law 2. A  BC A  BC ; associative law VECTOR ALGEBRA OR VECTOR ADDITION
  • 28.
    mA  Am 3.; commutative law
  • 29.
    VECTOR ALGEBRA ORVECTOR ADDITION 4. mnAmnA ; associative law 5. mnA  mA  nA ; distributive law 6. mA BmA mB ; distributive law VECTOR ADDITION B  Bxi  By j Bzk
  • 30.
    A  Axi Ay j Azk x x A  B  Ai  Ayj  Azk B i  By j  Bzk  Ax  Bx i  A  By j Az  Bz k y
  • 31.
    1. SCALAR orDOT PRODUCT The scalar product of two vectors is defined as the product of the magnitudes fo the vectors and cosine of the angle (for 0 ≤ θ ≤ π). Then we can write: • If θ = 0, then:A B  AB VECTOR MULTIPLICATION A B A  B  cos AB  A B cos A B  A B cos  B A cos
  • 32.
    1. SCALAR orDOT PRODUCT For unit vectors we have: cos0 1 cos90 0 VECTOR MULTIPLICATION i  j  i k  jk  0 i i  j  j  k  k  1
  • 33.
    x x x 1. SCALAR orDOT PRODUCT For vectors A and B the scalar or dot product is: A B  A i Ay j AzkB i  By j  Bzk   Ax  Bx i iA  B i y j  Ax  Bz i k  A  Bx j i  A  By jjA  Bz jk  Az Bx k i VECTOR MULTIPLICATION y y y
  • 34.
     A By kj  Az  Bz k  k  Ax Bx  00  0 Ay By  00  0 Az Bz  Ax Bx  By By AzBz z
  • 35.
    Calculate the sumand, then the scalar or dot product between vectors: A = 6i - 3j + 4k and B = 2i + 9j - 5k A  B  6i 3j  4k  2i 9 j 5k   6 2i  39j  45k  8i  6 j  k AB  6i 3j4k2i 9 j 5k  62i i 39jj 45k k EXAMPLE
  • 36.
  • 37.
    2. VECTOR orCROSS PRODUCT • The vector product of two vectors is defined as the product of the magnitudes of the vectors and the sine of the angle (for 0 ≤ θ ≤ π) between the vectors. - The direction is perpendicular to the plane of the two vectors in the sense of the translation of a right-handed screw rotated from the first to the second vector. • We write: VECTOR MULTIPLICATION AB  A B sin
  • 38.
    2. VECTOR orCROSS PRODUCT If θ = 0 then: If θ = 90 then: For unit vectors we will have: sin 0  0 VECTOR MULTIPLICATION i i  j j  k k  0 A  B  AB AB  0
  • 39.
    i i j j  k k  0 2. VECTOR or CROSS PRODUCT For unit vectors we will have: i  j  k  ji k i  j ik jk  i  k  j VECTOR MULTIPLICATION sin 0 0
  • 40.
    x x y z x   For vectors Aand B the vector or cross product is: A B  A i  A j  y AzkBi  By j  Bzk   Ax  Bx i i  A  By i  j  Ax  Bz i k A  Bx j i  A  By jjA  Bz jk Az Bx k i A B k y j  Az  Bz k  k VECTOR MULTIPLICATION y y
  • 41.
    x z y  0 AB kA y x  Bz jA  Bx k 0A  Bz i  Az  Bx j  A  By i0  A B  A B i z z y Az Bx  Ax Bz jABy Ay Bx k y y x
  • 42.
    y x x y xz z x z y y z Bz By Bx Alternatively, we can use the matrix for vector or cross product: VECTOR MULTIPLICATION i A B  Ax j Ay k Az  A B  A B i A B  A B j A B  A B k
  • 43.
    • Scalar ordot product is commutative A B  B  A . • Vector or cross product does not satisfy the commutative and associative laws: 1. 2. A B C  A  B  AC   3. mA BmAB  AmBABm VECTOR MULTIPLICATION AB  B  A
  • 44.
    • Vector tripleproduct is: AB CACB ABC
  • 45.
    Calculate the vectoror cross product between vectors: A = 6i - 3j + 4k and B = 2i + 9j - 5k A B  6i 3 j  4k 2i 9 j 5k   62i i 69i  j 65i k 32ji 39jj 35jk  42k i  49k  j  45k k  054k  30 j 6k  015i 8 j 36i 0 EXAMPLE
  • 46.
     21i 38 j 60k
  • 47.
    • Visit www.saip.org.zafor more information and more knowledge, i.e. job opportunities, bursaries, careers in physics, etc. • Use physics to join these nine dots without lifting a pen and without going over one line twice. You can go out of the box. INTERESTED IN DOING PHYSICS ….
  • 48.
    SHOULD BE. THANXTO MR RIBA. AB CABAC   NOT AB CABAC ERRATUM
  • 49.
    r  xi yj  zk   • Vector A is said to be a single-valued function of the scalar q if for every value of q there exists only one value of the vector A. • If for every set of values of the scalars q1;q2;q3; … there exists only one value of vector A, then vector A is said to be a single-valued function of the scalars q1;q2;q3;…. Such a vector is shown by: A  Aq1;q2;q3;  • A position vector r is represented in the following manner: DERIVATIVE OF A VECTOR
  • 50.
    • r isa continuous function of the scalars x; y; z and is designated, if possible by: r  rx; y;z . • The position vector r expressed as a function of time (t) is: r  rxt; yt;zt rt   • The derivative of a vector function (following the definition of the derivative of a scalar function) is expressed as: AtAxti  AytjAz tk • Then the derivative is: dA  lim At t At DERIVATIVE OF A VECTOR
  • 51.
  • 52.
    d CA dC A C dA dt dt dt     • Interms of components we have: dA  lim Ax i  Ay j  Az k  dAx i  dAy j  dAz k dt t0  t t t  dt dt dt • The derivative of a vector sum can be written as: • And: DERIVATIVE OF A VECTOR d A  B dA  dB C is a scalar
  • 53.
  • 54.
    dt dt dt • For aderivative of a vector product we write: • The order of the vectors is very important. • In the integral, let AuAxui  AyujAz uk be a vector function of u. the indefinite integral of A(u) is defined as: DERIVATIVE OF A VECTOR d A  B dA B  A dB
  • 55.
    Audu  iAx uduj Ay udu  k Az udu
  • 56.
    • Dynamics –branch of mechanics that deals with the motion and equilibrium of systems under the action of forces, usually from outside the system. • A rigid body is a hard body that never undergoes any change of size and shape (under specified conditions for performing an experiment). • Bodies in which particles have fixed distances do not exist in nature because atoms are always undergoing some relative motion (i.e. Vibrating along their lattice positions). RIGID BODY DYNAMICS
  • 57.
    • However, thesemotion or vibrations of atoms are microscopic and can therefore be ignored when describing the macroscopic motion of the body. • A rigid body is a collection of particles whose relative distances are constrained to remain absolutely fixed. • If the body was to be absolutely rigid, whatever happens at one end would instantaneously be felt at the opposite end. RIGID BODY DYNAMICS
  • 58.
    • The motionof a rigid body is described by an inertial frame and a coordinate system fixed with respect to the body. • We specify six quantities (coordinates of the centre of mass and three independent angles that give the orientation of the body coordinate system with respect to the fixed system) to denote the position of the body. RIGID BODY DYNAMICS
  • 59.
    • Let r1,r2,r3,,rnbe the position vectors of a system of particles of masses • See diagram: m1,m2,m3,,mn P1 respectively. P2 Pcm P3 P4 CENTRE OF MASS (cm)
  • 60.
    1. Consider twovectors: A  3i  2 j and B  i  4 j . (i) Calculate: A  B (ii) The direction of: A  B 2. Find the angle between the vectors: A  4i 2 j 5k and B  2i 10 j  7k. 3. Show that: AB C ABAC  given that vectors A  7i 4 j 11k , B  6i  9 j 8k and C  3i 3j 4k . Also show QUIZ No.1 [VECTOR C INCLUDED]
  • 61.
    that: AABB AB 0 and A B  B  A for vectors A and B as given.
  • 62.
    n M m • The centreof mass or centroid of the system of particles is defined as that point C having position vector: r  m1r1  m2r2 m3r3 mnrn    miri  1 m r m1 m2  m3mn i i i i i • M  mi is the total mass of the system. CENTRE OF MASS (cm) n
  • 63.
    • We cansimilarly write the centre of mass in terms of the individual directions.
  • 64.
    i mixi m  i 3 2 1 m  m m   m1x1 m2 x2  m3 x3     x • We can similarly write the centre of mass in terms of the individual directions, if we have several particles with massesm1,m2,m3, . If the coordinates of m1 are x1, y1; of m2 are x2 , y2 and of m3 are x3, y3 , then we define the centre of mass of the system as the point that has coordinates (x,y) given by: and CENTRE OF MASS (cm) y  m1y1  m2 y2  m3 y3     mi yi cm cm
  • 65.
    • Remember thatvector is a function of x and y, so we write: r  xi  yj or r  rx; y . • For a continuous system of particles occupying a region R of space in which the volume density is , the centre of mass can be written as: r  rd R d R • The integral is taken over the entire region R. CENTRE OF MASS (cm)
  • 66.
      i  • Thecentre of mass (in a two-dimensional system) can then be written as:  m1x1  m2 x2 m3x3 m y  m y 1 1 2 2  m y 3 3   r    m1m2  m3 i     m1m2  m3  j    mi xi  m  mi yi  m  i i   i i     • In a three-dimensional system we write the centre CENTRE OF MASS (cm)  j
  • 67.
  • 68.
     k     j  m1m2  m3  k    i i   i i   i i   i   r    m m • In a three-dimensional system we write the centre of mass as: • Or into components the centre of mass is: x  mi xi y  mi yi z  mi zi cm cm i cm i i CENTRE OF MASS (cm)    i m x i      i m y  j  i m z   m1x1  m2x2  m3x3   m1  m2  m3    m y  m y  m y  1 1 2 2 3 3  m1z1  m2 z2  m3 z3    m1 m2  m3  mi mi mi m
  • 69.
    M zd M yd M xd • In termsof the volume density, the components of the centre of mass are written as: • The mass M is defined as follows: M  mi or CENTRE OF MASS (cm) xcm  R ycm  R zcm  R M  d R
  • 70.
    • We canalternatively define the centre of mass as a point with respect to which the linear moment (lm) vanishes. • To show that we can define the centre of mass as a point where linear moment vanishes is significant that we prove that (i) a mass centre exists and (ii) there is only one mass centre. • Consider a system of n particles of masses m1,m2 ,m3 ,,mn , situated at points P 1, P2 , P3,, Pn . The position vectors of these points are r1,r2,r3,,rn . CENTRE OF MASS (cm)
  • 71.
    • Let r1,r2,r3,,rnbe the position vectors of a system of particles of masses • See diagram: m1,m2,m3,,mn P1 respectively. P2 Pcm P3 P4 CENTRE OF MASS (cm)
  • 72.
    n mi i1 miri miri  n lm    •The first linear moment of the system with respect to its assigned point will be the vector: • The existence of the mass centre is established by taking any point O where the vectors of the points P 1, P2 , P3,, Pn relative to O are r1,r2,r3,,rn . Let C be a points such that: CENTRE OF MASS (cm) n i1 OC  i1
  • 73.
    • C hasthe same properties as the centre of mass.
  • 74.
    n mi i1 miri OC  i1 i1 i1 i1 i1 ii i i i i • The position vector of the point P relative to C is: ri ri OC • The linear moment of the system with respect to C is then given by: • Substitution by in the above equation gives zero. CENTRE OF MASS (cm) lm    m r   r OC  m r OC  m n i n n m n n
  • 75.
      i1 n  mi    •That is: • The above equations vanish and therefore C becomes the mass centre. A mass centre exists. • To establish the uniqueness of the mass centre, we assume that there are two mass centres C and Cʹ relative to which the position vectors of the CENTRE OF MASS (cm)    i1  i i m r  0 n  i1 i i m r  n  i1    i m  n      i i lm 1 i i  m r   n   i m r  n  i1 
  • 76.
    n n i1 i1 n n i1 i1 miri  miri  n   miri0 n   particles are respectively Then: and r1,r2,r3,,rn and r1 ,r2 ,r3 ,,rn      • But: ri ri  CC  from ri  ri OC . • Combining the two above equations: • Then: CENTRE OF MASS (cm) i1 i1 n n mi ri mi ri  mi ri  0
  • 77.
  • 78.
    i i i • Substituting forri we will get that:   i1 mrCC   i1 mir    i1 rCC   i1 ri  CC 0 CENTRE OF MASS (cm) n n n n
  • 79.
    • This meansthat C and Cʹ coincide and therefore only one mass centre exist.
  • 80.
    CENTRE OF GRAVITY(cg) • In equilibrium problems, one of the forces acting on the body is its weight (w) and the torque of this weight can be calculated. • The weight is distributed over the entire body but the torque can always be calculated due to the body’s weight by assuming that the entire force of gravity is concentrated at one point called the centre of gravity (cg). • We assume that the acceleration due to gravity g has the same magnitude and direction at every point in the body.
  • 81.
    • Every particlein the body experiences a gravitational force, and the total weight of the body is the vector sum of a large number of parallel forces. • A typical particle has mass mi and weight wi mi g. • If ri is the position vector of this particle with respect to an arbitrary origin O, then the torque vector i of the weight wi with respect to O is: CENTRE OF GRAVITY (cg) i  ri wi  rimi g
  • 82.
    • The totaltorque due to the gravitational forces on all the particles is:   i i  r1 m1g r2 m2 g r3m3g  m1r1  m2r2 m3r3 g    m r  g  i i   i  CENTRE OF GRAVITY (cg)
  • 83.
     • By thedefinition of the centre of mass, the torque
  • 84.
    mi i m1  m2 m3  is then given by: • The first part of the equation is the centre of mass and Mg is weight, so we write: • From the above equation we have: CENTRE OF GRAVITY (cg)   m1r1 m2r2 m3r3  Mg   miri Mg   rcm Mg  rcmw   r F
  • 85.
    • Calculate thecentre of mass for the body with three particles where the first particle with mass 10.0 kg is located 2.0 m form the origin on the y- axis, the second particle of mass 25.0 kg is at the origin and the third particle with mass 40.0 kg is 3.6 m from the origin on the y-axis. Draw a rough sketch depicting the situation. • Solution: m1 = 10.0 kg; y1 = 2.0 m; m2 = 25.0 kg; m3 = 40.0 kg; x3 = 3.6 m. EXAMPLE
  • 86.
    • http://tmlearn.ul.ac.za. OR • http://10.1.254.60 •NB!!! No www in the addresses BLACKBOARD
  • 87.
    xcm  mixi mi  m2 x2 m2  m3x3  m3  25.0kg0m40.0kg3.6m 25.0kg 40.0kg  0144.0kgm 65kg  2.2m ycm  mi yi mi  m1 y1 m1  m2 y2  m2  10.0kg2.0m25.0kg0.0m 10.0kg 25.0kg  20.0kgm0 35kg  0.6m EXAMPLE
  • 88.
    • Therefore: rcm xcmi  ycm j 2.2mi 0.6mj
  • 89.
    • A water(H2O) molecule consists of two hydrogen atoms and one oxygen atom. The oxygen atom is located at the origin. One hydrogen atom is between the positive x-axis and positive y-axis and the other hydrogen atom is between the positive x-axis and the negative y-axis. Each hydrogen atom makes an angle of 60º with the positive x-axis and they are both a distance d = 9.57 nm from the origin. Draw a rough sketch of the water molecule and then calculate the center of mass of the water molecule. The mass of oxygen is 16.0 g and of hydrogen is 1.0 g. [Note: 1 nm = 10-9 m] EXAMPLE [DO IT YOURSELF]
  • 90.
    • Kinematics –branch of mechanics that deals with pure motion, without reference to the masses or forces involved (the cause of motion is ignored). • Consider a body (rigid) constrained to rotate about a fixed point O. • If t1 and t2 are two instants, then in a time interval t2 – t1 a body receives a displacement equivalent to a rotation n about O. • The object rotates about the angle θ. • If t1 is fixed and t2 is moved next to t1 to approach t1, the direction of some vector n will approach RIGID BODY KINEMATICS
  • 91.
    some limiting directionand can be denoted by i . • The ratio of the angle or rotation about n direction in a time interval t2 - t1 approaches a limiting value, ω. • The vector, is called an angular velocity of the body at time interval (instant) t1. • In analogy to linear velocity (in linear motion in one direction), the instantaneous angular velocity  , is defined as:   lim   t0 t  d dt RIGID BODY KINEMATICS
  • 92.
    • The averageangular velocity is:     2 1 ave t t2 t1 • Angular velocity is measured in rad/s. • The units for angular displacement will be radians (rad). RIGID BODY KINEMATICS
  • 93.
    v  dr  r • Angular displacement is given by:  2 1 . • If dt is a big value of time, the body will have a big rotation dt . • The displacement of the particle in rotation is: dr  dt r . r is the position vector relative to O. • The velocity of the particle is then: • The instantaneous angular acceleration is: RIGID BODY KINEMATICS dt
  • 94.
  • 95.
    • The averageangular acceleration is:     2 1 ave t t2 t1 • Angular acceleration is measured in rad/s2. RIGID BODY KINEMATICS
  • 96.
    Test 1: 05March 2012 Test 2: 23 March 2012 NEW TESTS DATES
  • 97.
    • The equationsare similar to those in linear motion (straight one dimensional motion in the x- or y-direction). • We already know that:     ave t 2 1 t2  t1 • Replace ave by (instantaneous). • Let 0 be the angular velocity of a rigid body at time t = 0, and  time t (t2 = t). ROTATION WITH CONSTANT ANGULAR ACCELERATION
  • 98.
  • 99.
    • Angular accelerationis constant and equal to the average value for the interval. Then:    • Angular velocity becomes:   0 t t0 • With constant angular acceleration, the interval of change for the angular velocity is constant (uniform), so we can take the average. ROTATION WITH CONSTANT ANGULAR ACCELERATION   0 t
  • 100.
    • Average angularvelocity is then: ave  0  2 • But average angular velocity is also: ave  2 t2 1 t1   0 t • Combining the two equations we get that: 0  2   0 t ROTATION WITH CONSTANT ANGULAR ACCELERATION
  • 101.
       1 t t 1  t • Then: • Substituting   0 t in the above equation we shall have: • Then: ROTATION WITH CONSTANT ANGULAR ACCELERATION 0 2 0 2 0 2 t  1 t  0  0    0 0 2 0    1   tt
  • 102.
     0  0    00  0 • Substituting we obtain: t   0 in            • The result is: 2  2 20  ROTATION WITH CONSTANT ANGULAR ACCELERATION        2 1 2  2 t  1 2 0   t 0   
  • 103.
    0 x  x v t   0  0   1. 2. 3. v2     2 2ax  x0   2      2 2  0  SIMILARITIES IN LINEAR AND ANGULAR MOTIONS 2 0 0 0 2 at 1 2 t  1 2 t      v  v0  at   0 t v 
  • 104.
      • The angularposition of a particle is given by:   2.0rad / s3 t3 (i) Find the displacement of the particle during the time interval t1 = 2.0 s and t2 = 5.0 s. (ii) Find the average angular velocity for the interval. (iii) What will the instantaneous angular velocity at t = 3.5 s? EXAMPLE
  • 105.
    (i) Displacement ofthe particle during the time interval t1 = 2.0 s and t2 = 5.0 s.  2.0rad / s3 5.0s3  2.0rad / s3 2.0s3  250 rad16rad  234rad EXAMPLE
  • 106.
    dt dt (ii) The averageangular velocity for the interval.  ave  t  234 rad 3.0s  78.0rad /s (iii) The instantaneous angular velocity at t = 3.5 s? EXAMPLE   d  d 2.0rad / s3 t3  6.0rad / s3 t2   6.0rad / s3 3.5s2  73.5rad / s 
  • 107.
    A wheel rotateswith a constant angular acceleration of 3.50 rad/s2. The angular speed of the wheel is 3.05 rad/s at t = 0. (i) What will be the angle of rotation of the wheel when t = 4.09 s? (ii) What is the angular speed of the wheel? EXAMPLE
  • 108.
     3.05rad /s4.09s 1 3.50rad / s2 4.09s2 0 (i) The angle of rotation EXAMPLE    t  1 2 t2 2  12.475rad  29.274rad   41.7rad
  • 109.
      0 (ii) Theangular speed of the wheel 2  2 2   0  3.05rad / s2  23.50rad / s2 41.7rad    301.2025 or rad2 / s2 17.4rad / s   0 t  3.05rad / s3.50rad/s2 4.09s EXAMPLE
  • 110.
  • 111.
    • The numberof coordinates required to specify the position of a system of one or more particles is called the number of degrees of freedom of the system. • A system whose position may be specified by one variable or coordinate is said to be a system with one degree of freedom (e.g. a simple pendulum). • A system whose position may be specified by two arbitrary and independent variables or coordinates is said to be a system with two degrees of freedom. DEGREES OF FREEDOM
  • 112.
    • q1,q2,q3,,qn isa set of generalised coordinates for a given system if the position of every particle in the system is a function of these variables and perhaps also explicitly of time, then ri ri q1,q2 ,q3,,qn ,t . • The number of degrees of freedom can also be taken to be the number of coordinates which can vary independently in a system. DEGREES OF FREEDOM
  • 113.
      rF • We already know that: and   F l • Two conditions of equilibrium are: F  0   0 • For a particle with mass m, velocity v ; momentum is given by: p  mv , and position vector r relative to the origin O of an inertial frame, we define RIGID BODY DYNAMICS
  • 114.
    angular momentum Las: L  r  p  r mv  r m dr dt
  • 115.
    dt r L  r p  r mv  m dr • In terms of the magnitude: • The units of angular momentum are: kgm2 / s • When the net force acts on a particle, its velocity and momentum change, and the angular momentum also changes. • It can be shown that the rate of change of angular momentum is equal to the torque of the force. • We know that: RIGID BODY DYNAMICS L mvr
  • 116.
     dt         dt dt dL  d rmv • Taking thetime derivative of angular momentum we shall have: • Applying the distributive law we obtain: RIGID BODY DYNAMICS dt dt dL   dr mv    r m dv  
  • 117.
    dt v  dr dt • Aswe know: and • Substituting for v and a in the time derivative of angular momentum we get: • Rearranging the first term and equating we get: ma  F RIGID BODY DYNAMICS dL  vmv r ma a  dv dt
  • 118.
    dL  0 r  F dt dL   dt mv vr  F   • The cross product of a vector by itself is always zero. • Then: • By definition: r  F RIGID BODY DYNAMICS
  • 119.
    dL     • Then: • Thereforethe time derivative of angular momentum is equal to the torque of the force. • For a system of n particles, the angular momentum is the vector sum of the angular momenta of the particles. • The angular momentum of the ith particle (relative to a point O) is written as: RIGID BODY DYNAMICS dt
  • 120.
    n where ri, mi,vi respectively denote the position vector, mass and velocity of the ith particle. • If a point O is fixed in the frame of reference, then and the components of L along rectangular axes fixed in the frame can be obtained. • The components of position vector ri are xi, yi, zi RIGID BODY DYNAMICS L  ri mivi  i
  • 121.
    and for velocitythe components are x i , y i , z i . • The components of L along the rectangular axes fixed in the frame are: RIGID BODY DYNAMICS i mi ri vi  mi xi j yi k zi  x i y i z i mi yi z i  zi y i i mi zi x i  xi z i j mi xi y i  yi x i k
  • 122.
  • 123.
    n n n • We canintroduce the centre of mass (into the angular momentum) by expressing the position vector of each particle ri´ in terms of the position of the centre of mass rcm and the position vector of particle i relative to the centre of mass ri, namely: RIGID BODY DYNAMICS Lx  mi yi z i  zi y i  i Ly  mi zi x i  xi z i  i Lz  mi xi y i  yi x i  i
  • 124.
    i i i i i dt d rmv rF d i • The position vector of the ith particle is: • The velocity vector is: • Then: • Substituting for r and v in above we get: dt rcm  rimi vcm  vi rcm i  riFi RIGID BODY DYNAMICS i i vi   vcm vi ri  rcmri
  • 125.
    i i i dt i i i i cm i i i i cm cm •By expanding the equation we have and, because the linear moment of the centre of mass vanishes, the terms miri and mivi are zero we get that: • By definition of the centre of mass we know that: Fi i  miai i  macm RIGID BODY DYNAMICS r m a  d r  m v  r F  r  F
  • 126.
    i i dt dL  r F  i i i i i dt d r m v  r  F • rcm on the left cancels the one on the right • The result is then: • The sum on the left is the angular momentum of the system about the centre of mass and the sum on the right is the total moment of the external forces about the centre of mass. • Therefore, as proven earlier: RIGID BODY DYNAMICS i i i
  • 127.
    dL  0 dt • Theequation states that: the time rate of change of change of angular momentum about the centre of mass of any system is equal to the total moment of the external forces about the centre of mass. • Conservation law in rotational motion states that: the total angular momentum of a system is constant if the resultant external torque acting on the system is zero. If then L is constant. RIGID BODY DYNAMICS
  • 128.
    2   r rad a 2  v r arad •A particle moving in a circle of radius r has acceleration . • We already know that v r , then if we substitute v in a we obtain: . • Consider a body consisting of large number of particles with masses m1,m2 ,m3 , at distances r1,r2,r3, from the fixed axis of rotation. MOMENT OF INERTIA
  • 129.
    vi  ri •For a rigid body rotating about a fixed axis, the speed of the ith particle is given by:
  • 130.
    i i 3 3 22 1 1 2 2 2 2 2 2 2 2 2 2 m r  1 2 2 m v  1 2 K  • Angular speed is the same for all particles in a rigid body. • The kinetic energy of the ith particle can be expressed as: • The total energy of the rigid body is the sum of the kinetic energies of all particles, then MOMENT OF INERTIA i i i i i K  1 2 m r   1 2 m r   1 2 m r     i 1 2 m r 
  • 131.
    i i 3 3 22 1 1 2 2 2 2 • Angular speed (or velocity) is the same throughout the body and since ½ and ω constants, we can have that: • The quantity in brackets is called the moment of inertia and is denoted by I. • Then: I  m r2  m r2  m r2  m r2 1 1 2 2 3 3 i i MOMENT OF INERTIA K  1 2 m r m r m r  2  1 2  i m r  2    
  • 132.
  • 133.
    K  1 I 2 •The moment of inertia depends on how the body’s mass is distributed in space, not on how the body rotates. • Then the total rotational kinetic energy of a rigid body about a fixed axis, in terms of the moment on inertia is: . Then: KI • The greater the moment of inertia, the harder it is to start the body rotating if it is at rest and the harder it is to stop its rotation if it is already rotating. MOMENT OF INERTIA 2
  • 134.
    • Angular momentumof a rigid body can be expressed in terms of moment of inertia . • We then shall have that: L mvr mrr  mr 2  I v  r • As a vector we have: • Remember: the dot product of a vector quantity MOMENT OF INERTIA L  I
  • 135.
    and a scalarquantity gives a vector quantity.
  • 136.
    I  1 M a2 b2  I 1 ML2 3 I  1 ML2 12 • Different rigid bodies have different moments of inertia. • The moment of inertia of a slender rod, axis through the centre is: . Show!!! • The moment of inertia of a slender rod, axis through one end is: . Show!!! • The moment of inertia of a rectangular plate, axis through the centre is: . Show!!! MOMENT OF INERTIA 12
  • 137.
    I  1 Ma2 3 2 • Themoment of inertia of a thin rectangular plate axis along edge is: . Show!!! • The moment of inertia of a hollow cylinder is: I  1 2 M R1 R2 . Show!!! • The moment of inertia of a solid cylinder is: . Show!!! MOMENT OF INERTIA I  1 MR2 2 2
  • 138.
    I  2 MR2 3 I MR2 •The moment of inertia of a thin-walled hollow cylinder is: . Show!!! • The moment of inertia of a solid sphere is: . Show!!! • The moment of inertia of a thin-walled hollow sphere is: . Show!!! MOMENT OF INERTIA I  2 MR2 5
  • 139.
    A body consistingof three masses rotates about a fixed axis along the z direction. Mass m1 = 100.0 g is 50.0 cm from the axis of rotation, mass m2 = 300.0 g is 30.0 cm from the axis of rotation and mass m3 = 200 g is 40.0 cm from the axis ofrotation. (i). Calculate the sum of the moments of inertia about the axis of rotation. (ii). What will be the total kinetic energy (K) of the body when it rotates with angular speed of 10.0 rad/s? EXAPMPLE
  • 140.
    (i). Calculate thesum of the moments of inertia about the axis of rotation. (ii). What will be the total kinetic energy (K) of the body when it rotates with angular speed of 10.0 rad/s? EXAPMPLE
  • 141.
    • An engineeris designing a machine part consisting of three disks linked by lightweight struts. What is the moment of inertia of this body about an axis through the centre of disk A, perpendicular to the plane of the diagram? What is the moment of inertia about an axis through the centres of disks B and C? if the body rotates about an axis through A perpendicular to the plane of the diagram, with angular speed ω = 4.0 rad/s, what is its kinetic energy? EXAPMPLE (DO IT YOURSELF!!!)
  • 142.
    • An engineeris designing a machine part consisting DIAGRAM
  • 143.
    • We startby defining what a periodic motion is. • Periodic motion is a motion that repeats itself in a definite circle and it occurs whenever a body has a stable equilibrium position and a restoring force that acts when it is displaced from equilibrium. • Periodic motion can be observed in: (i) oscillations of a mass of a spring; (ii) rise and fall of the sea tides; (iii) vibrations of a quartz crystal in a watch; (iv) back and forth motion of the pistons in a car engine; etc. SIMPLE HARMONIC MOTION
  • 144.
    • For simplesystems, periodic or oscillatory motion can take place if the system has an equilibrium position, and there exists a force which tends to restore the system to equilibrium whenever it is disturbed (restoring force). • Oscillations or vibrations can only occur when there is a restoring force tending to return the system back to equilibrium. • Periodic motion has amplitude (A), period (T), frequency (f), and angular frequency (ω). SIMPLE HARMONIC MOTION
  • 145.
    1Hz  1cycle  1  s1 •The amplitude (A) of the motion is the maximum of displacement from equilibrium and is always positive. That is A = |xmax|; measured in metres (m). • A complete vibration or cycle is one complete round trip. • Period (T) is the time for one compete circle and is measured in seconds (s). Period is always positive. • Frequency (f) is the number of cycle in a unit of time. Frequency is always positive and is measured in hertz (Hz). SIMPLE HARMONIC MOTION 1s s
  • 146.
    • Angular frequency(ω) is 2π times the frequency.   2f . ω is measured in rad/s. • T, f and ω are related to each other by the following relation: f  1 ;T  T 1 ;  2 ;T f T  2   • Simple harmonic motion is defined as a motion of particle whose acceleration is always directed towards a fixed point and directly proportional SIMPLE HARMONIC MOTION
  • 147.
    to its distancefrom that point.
  • 148.
    • Force (Fx)is directly proportional to the displacement (x) from equilibrium and this happens when the spring is an ideal one obeying Hooke’s law. • The constant of proportionality between F and x is called a spring or force constant, denoted k. • The force acting on the spring (when stretched) is Fx kx. By Newton’s third law of motion the x-component of the force the spring exerts on the SIMPLE HARMONIC MOTION
  • 149.
    body is oppositeso, Fx  kx.
  • 150.
    • Fx kx is called the restoring force. • F is measured in Newtons (N), x in metres (m), so k is measured in N/m or N.m-1. • When the restoring force is directly proportional to the displacement from equilibrium, the oscillation is called simple harmonic motion (SHM). • A body that undergoes simple harmonic motion is called a harmonic oscillator. SIMPLE HARMONIC MOTION
  • 151.
    k x m F x   m d2 x dt2 ax  •The acceleration of a simple harmonic motion is given by: • The minus sign simply means that acceleration and displacement always have opposite signs. SIMPLE HARMONIC MOTION
  • 152.
    • Go tothe website: compadre.org/osp/index.cfm • Research on harmonic motion in relation to these topics: (1) connection between circular and simple harmonic motion; (2) motion in a harmonic central force model; (3) damped driven harmonic oscillator phasor model; (4) strange harmonic oscillator model; (5) spring motion model; (6) simple harmonic oscillator model; (7) linear oscillator model; (8) spring pendulum model; (9) oscillator chain model. • In each case SIMPLE HARMONIC MOTION
  • 153.
    • In eachcase play the simulation, provide the drawing of the simulation. Describe in words what you saw in the simulation and then write the physics of the observation. • In other cases also show the graph of displacement x, the energy, force and velocity. SIMPLE HARMONIC MOTION
  • 154.
    CIRCULAR MOTION ANDTHE EQUATIONS OF SHM • Diagram • n • Point Q moves around the reference with constant angular speed . Vector OQ rotates with the same speed and such a rotating vector is called a phasor.
  • 155.
    • Fx kx is called the restoring force. • F is measured in Newtons (N), x in metres (m), so k is measured in N/m or N.m-1. • When the restoring force is directly proportional to the displacement from equilibrium, the oscillation is called simple harmonic motion (SHM). • A body that undergoes simple harmonic motion is called a harmonic oscillator. SIMPLE HARMONIC MOTION
  • 156.
    k x m F x   m d2 x dt2 ax  •The acceleration of a simple harmonic motion is given by: • The minus sign simply means that acceleration and displacement always have opposite signs. SIMPLE HARMONIC MOTION
  • 157.
    Q a 2 A ;v r v2 r a  CIRCULAR MOTION AND THE EQUATIONS OF SHM • The x-component of the phasor at time t is just the x-component of point Q: x  Acos   • Since point Q is in uniform circular motion, its acceleration vector aQ O. the magnitude of aQ is always directed toward is constant and given by the angular speed squared times the radius of the circle. So: . A is the radius. ax  aQ cos
  • 158.
  • 159.
    2 2 x CIRCULAR MOTION ANDTHE EQUATIONS OF SHM • Then acceleration of point P is: • Remember: acceleration is directly proportional to the displacement x and always opposite in direction. • Combining the two acceleration equations, a   k x m and a  2 x , we get that:  k m x  2 x    k m a    Acos  x   Q a cos
  • 160.
      2f;T  1 CIRCULAR MOTION AND THE EQUATIONS OF SHM • From: ; we have that for SHM, and • In simple harmonic motion the period and period and frequency. f m k  f T  1  2  2 k m 2 2 f    1
  • 161.
    DISPLACEMENT, VELOCITY AND ACCELERATIONIN SHM • If the angle at t = 0 is , then at time t the angle is t (t + ) = θ. • Then: x  AcosAcost  . • The constant  is called the phase angle. • At θ = 0, the displacement as a function of time is a periodic function. • The velocity (as a function of time) of the harmonic oscillator can be found by doing the time derivative of displacement x:
  • 162.
    dt dt x DISPLACEMENT, VELOCITY AND ACCELERATIONIN SHM • Acceleration is the time derivative of velocity: ax  dvx dt  d  Asint dt 2 Acost  • Remember previously that we had that a 2 x where x  Acost . v  dx  d AcostAsint
  • 163.
    • The graphsof x, v and a can be plotted and discussed.
  • 164.
    DISPLACEMENT, VELOCITY AND ACCELERATIONIN SHM • • The graphs of x, v and a can be plotted and discussed.
  • 165.
    DISPLACEMENT, VELOCITY AND ACCELERATIONIN SHM • When the body is passing through the equilibrium position so that the displacement x is zero, the velocity equals either vmax or –vmax and acceleration is zero. When the body is at either its maximum positive displacement x = +A or its maximum negative displacement x = –A, velocity is zero and the body is instantaneously at rest. At x = +A, acceleration is negative and equal to –amax and x = –A acceleration is positive, ax = amax. • Show that the amplitude A for SHM is: v2 2 2 x x A 
  • 166.
    K  1 mv2 2 ENERGY INSIMPLE HARMONIC MOTION • Consider a body oscillating horizontally on the end of a massless spring. The spring force is the only horizontal force on the body. • The force exerted by an ideal spring is a conservative force so that the total mechanical energy of the system is conserved. • Kinetic energy (K) is always given by the equation: and the potential energy (U) is: U  1 kx2 2
  • 167.
    ENERGY IN SIMPLEHARMONIC MOTION • The total mechanical energy of the system is: E  K U  1 mv 2 2 x  1 kx2  2 constant • The total mechanical energy E is related to the amplitude A of the motion. • When the reaches a maximum point from equilibrium where its maximum displacement is x = A, it momentarily stops as it turns back toward the equilibrium position, i.e. when x = A, vx = 0.
  • 168.
    ENERGY IN SIMPLEHARMONIC MOTION • At this point the kinetic energy is zero and the energy is entirely potential and E  1 kA2 . 2 • Because E is constant, it is equal to other point. 1 kA2 2 at any • Then: E  1 mv 2 2 x  1 kx2  2  1 kA2 2
  • 169.
  • 170.
    ENERGY IN SIMPLEHARMONIC MOTION • We can verify this equation by substituting for x  Acost  and vx Asint . E  1 mv 2  1 kx2 2 x 2  1 mAsint 2  1 kAcost 2 2 2  1 m2 A2 sin2 t  1 kA2 cos2 t  2 2
  • 171.
    k m  2  k    m  ENERGYIN SIMPLE HARMONIC MOTION • We know that: . • So: E  1 2  k  A2   sin 2 t  1 kA2 2 cos2 t   1 kA2 2 sin 2 t  1 kA2 2 cos2 t  m m
  • 172.
  • 173.
    T  2  1  2 E 1 kA2 1 1 kA2 ENERGY IN SIMPLE HARMONIC MOTION • We know that: • Therefore: sin 2 t.cos2 t 1 • A simple pendulum is an idealized model consisting of a point mass suspended by a massless, un-stretchable string. • T of a simple pendulum is: 2 2  f l g
  • 174.
    I mgd ENERGY IN SIMPLEHARMONIC MOTION • A physical pendulum is any real pendulum that uses an extended body. • T of a compound pendulum is: • I is the moment of inertia. T  2
  • 175.
    EXAMPLE • The shockabsorbers in an old car with mass 1000 kg are completely worn out. When a 980-N person climbs into the car to its centre of gravity, the car sinks 2.8 cm. when the car, with the person aboard, hits a bump, the car starts oscillating up and down in SHM. Taking the car and the person to be one thing, find the period and frequency f the oscillation.
  • 176.
    • First calculatek: EXAMPLE k  Fx  980N  3.5104 N / mkg/ s2 x 0.028m • From the weight of the person, the mass is: m  w  980 Nkgm/ s2   100kg
  • 177.
  • 178.
    k EXAMPLE • Period Tis then: • And frequency: T  2 m 2 1100kg 3.5104 kg /s2  1.11s f  1  T 1 1.11s  0.90s1 0.90Hz
  • 179.
    x  0.42cos7.4t EXAMPLE A10 kg mass vibrates according to the equation: , where x is in meters and t in seconds. Determine: (i). the kinetic energy (K) and potential energy when t = 2.16 s. (ii). The total energy E. • Find v first: • Then x: and k are:
  • 180.
    E = K+ U = (3.7 + 44.6)J = 48.3 J EXAMPLE • Kinetic energy is: • Potential energy: • Total energy: Or
  • 181.
  • 182.
  • 183.
    SOLUTIONS TO THEHARMONIC MOTION EQUATION • The equation for the harmonic motion is: then m x  kx 0 • To solve the equation m x  kx 0 we employ the trial method in which the function eqt is the trivial solution and q is a constant to be determined. • If x eqt is a solution, then for all values of t we Fx  kx Fx  kx  0
  • 184.
    must have: m e 0 qt  ke qt d 2 dt2
  • 185.
    SOLUTIONS TO THEHARMONIC MOTION EQUATION • The equation for the harmonic motion is: then m x  kx 0 • To solve the equation m x  kx 0 we employ the trial method in which the function eqt is the trivial solution and q is a constant to be determined. • If x eqt is a solution, then for all values of t we Fx  kx Fx  kx  0
  • 186.
    must have: m e 0 qt  ke qt d 2 dt2
  • 187.
    SOLUTIONS TO THEHARMONIC MOTION EQUATION • Differentiating the equation: and cancelling the common factors, we obtain: or • Then q is imaginary because: q    k m mq2  k  0 q2   k m qt qt e  ke  0 d 2 dt2 m
  • 188.
    ei0t m 0   k k  i SOLUTIONSTO THE HARMONIC MOTION EQUATION • Then: where • We know that: so the trial method yields two solutions of the form and • From complex numbers Euler’s theorem the exponential is expressible in terms of ordinary trigonometry functions by the relations: m ei0t i  1 0 q  i
  • 189.
    SOLUTIONS TO THEHARMONIC MOTION EQUATION and • We alternatively write: and • A handy property of linear differential equations is that if x1t and x2t are known solutions in terms of the independent variable t, then any linear eiu eiu cos u  2 eiu  eiu sin u  2i eiu  cosu isinu eiu  cosu isin u
  • 190.
    combination C1x1 C2x2 is also a solution.
  • 191.
    2 2 dt2 11 2 2 1 1 qt SOLUTIONS TO THE HARMONIC MOTION EQUATION • The constant C1 and C2 arearbitrary. • This can be verified by substituting in the equation we have: m d2 dt2 eqt  ke  m d 2 C x C x  kC x C x   C1m x 1  kx1 C2 m x 2  kx2   0 eqt  keqt 0 d 2 dt2 m
  • 192.
    SOLUTIONS TO THEHARMONIC MOTION EQUATION • Therefore the general solution of the differential equation of motion as a linear combination can be expressed as: xt C ei0t C ei0t   or equivalently: xt Acos0t  Bsin 0t in which C  1 AiB and  2 C  1 AiB  2 • constant C1 and C2 arearbitrary.
  • 193.
    • Visit www.saip.org.zafor more information and more knowledge, i.e. job opportunities, bursaries, careers in physics, etc. • Use physics to join these nine dots without lifting a pen and without going over one line twice. You can go out of the box. INTERESTED IN DOING PHYSICS ….
  • 194.
    EXAMPLE A 10 kgmass vibrates according to the equation: x 0.42 cos7.4t , where x is in meters and t in seconds. Determine: (i) the kinetic energy (K) and potential energy (U) when t = 2.16 s. (ii) the total energy E.
  • 195.
    An oscillator displacementas a function of time is given by: x Acos0t . If it is released from rest and x = A = 3.0 cm when the clock is set to t = 0 s with k = 10 N/m and m = 0.5 kg: (i) Determine the position and velocity of the oscillator at t = 2 s. (ii) At what time does the oscillator get to x = ̶ 1.0 cm? EXAMPLE
  • 196.
    dt dt dt • A particle’smotion in an inertial reference frame is correctly described by the Newtonian equation: • Force on a particle moving in an inertial reference frame equals to the time derivative of momentum. LAGRANGIAN DYNAMICS F ma  F  m dv  d mv  F  dp  p 
  • 197.
    • Newtonian mechanicsis for a particle restricted in an area in which rectangular coordinates (x,y,z) are used to describe motion. • If these restrictions are removed, equations of motion are complex and difficult to manipulate. • A particle moving on a given smooth horizontal surface, the force keeping the particle on the surface is F = -mg. • Curved surfaces need a complicated force of constraint. LAGRANGIAN DYNAMICS
  • 198.
    • For suchcomplicated motion (curved surface), alternative methods are applied and such methods are contained in the Lagrangian and Hamiltonian equations which are resulting from the application of the Hamiltonian’s principle. • Equations of motion which result from the application of Hamiltonian’s principle are called Lagrange’s equations. • Lagrange’s equations constitute a proper description of the dynamics of particles and are in some ways equivalent to Newton’s equations. LAGRANGIAN DYNAMICS
  • 199.
    t2 K U dt 0 t1 • Hamilton’s principle, upon which it is possible to base all classical mechanics states that: of all the paths along which a dynamical system may move from one point to another within a specified time interval (consistent with any constraint) the actual path followed is that which minimizes the time integral of the differences between the kinetic and potential energies. • In terms of calculus of variations, Hamilton’s principle is: LAGRANGIAN DYNAMICS
  • 200.
    • Kinetic energyexpressed in fixed, rectangular coordinates is a function only of velocity x and if the particle moves in a conservative force field, potential energy is a function of only the position x. • Then: K  Kx i  and U Ux  i • Let Lagrangian L be L  K U ; then the calculus of variation of the Hamiltonian principle becomes: t2  Lxi , x i dt  0 t1 LAGRANGIAN DYNAMICS
  • 201.
    • The positionof a system with N particles is specified by N radius vectors, i.e. 3N coordinates. • The number of independent quantities which must be specified in order to define uniquely the position of any system is called the number of degrees of freedom and this number is 3N. • Any n quantities q1,q2,q3,,qn which completely define the position of a system with n degrees of freedom are called generalised coordinates of the system. LAGRANGIAN DYNAMICS
  • 202.
    • The derivativesare called generalised velocities.
  • 203.
    • For velocitieswe write: q 1,q 2 ,q 3,,q n • According to Hamilton’s principle every mechanical system is characterised by a definite function, so: L  Lq1,q 2,t K U • Let the system that occupy, at the instant t1 and t2 positions defined by two sets of values of coordinates, q1 and q2. Hamiltonian’s principle requires that the system moves between these t2 LAGRANGIAN DYNAMICS
  • 204.
    positions such thatthe integral takes the least possible value. S   t1 Lq,q,tdt
  • 205.
     Lq,q,tdt 0 t1 t2 • The function L is called the Lagrangian of the system. • The variation of the equation is: • This implies that: LAGRANGIAN DYNAMICS S  Lq,q,tdt  0 t1 t2
  • 206.
    dt  0   q L q  1   t2 L • Then: • Effecting the variation in the above equation we obtain that: • We know that: LAGRANGIAN DYNAMICS t     dt q dq q q Lq,q,tdt  0 t1 t2
  • 207.
    • Then wecan write: • Integrating the second term by parts we get: LAGRANGIAN DYNAMICS L q t2  q dt 0  d L dt q q   1 t 1 q  t2 L   t q  0    q dt   q dt  d L q   q  1  t   t2 L
  • 208.
        t    qdt  0 1   • We set the initial conditions such that qt1qt2  0 so that the integrated tern becomes zero. • We remain with: • Then: • Then we can write: LAGRANGIAN DYNAMICS t  dt   1 d  L L 0 q dt  q   dt q q qdt  0  d L    t2  L  q d L q   q t2  L
  • 209.
    E  1 mx 2  1 kx2  0 L 0 qi    d  L  • When the system has more than one degree of freedom, we write: • These equations are called Lagrange’s equations of motion. First term is for K and second for U. • Given that the total mechanical energy of a system is: , apply Lagrange’s equations of motion to the total mechanical energy. LAGRANGIAN DYNAMICS dt  q i  2 2
  • 210.
       • Lagrange’sequation is: • Then: d    1 mx 2       1 kx2   0 dt     x  2   x  2    d mx  kx  0 • Differentiation will give us: dt  mx LAGRANGIAN DYNAMICS dt  x i  L  0 x d  L 
  • 211.
  • 212.
    F  ma •From simple harmonic motion we have that: F  kx F  kx  0 • But F is force and equals to ma. F • Substituting we get:  kx 0 ma  kx 0 • Re me mber: LAGRANGIAN DYNAMICS d2 x a 
  • 213.
  • 214.
    i   ij  2   • Inclassical mechanics we solve Newton’s second law of motion (F = ma) to get the energy of interaction as atoms collide with each other. • In quantum mechanics the energy of electrons is obtained by solving for the wavefunction: IT’S ALL ABOUT THE ENERGY E   1 V(r ) c   i j  i tot
  • 215.
    q j j q j dt    L 0 • Inan inertial frame of reference, time is homogeneous and the Lagrangian that describes a closed system does not depend explicitly on time, i.e. • Lagrangian equation is: • The total derivative of the Lagrangian becomes: CONSERVATION OF ENERGY t d  L  dL   L q   L q   j j j L  0 qi dt  q i 
  • 216.
    q j j dt q j dt dL   L d q  L q   L qj dt qj qj • From Lagrange’s equation of motion we know that: • Substituting in we obtain that: CONSERVATION OF ENERGY L  d L j j j j q j j j j q j dt dL   L q   L q  
  • 217.
      q L  0   d • Rearrangingwe get: • Taking out d/dt as a common factor yields: • This implies that: CONSERVATION OF ENERGY  dt  j j  j L  cons tan t H j q L  q  j  0  j    q j L   q  j L     dt d  q   j dL dt
  • 218.
    K U q  K  H L  H • Or just: • We know that L = K – U and substituting for L in above we shall get: K U  q j j K U qj  H • U does not depend on velocity so the above equation becomes: CONSERVATION OF ENERGY j qj j j qj L  q  j
  • 219.
    q  K  2K • Bydefinition: • This implies that: K U 2K  H • Therefore: K U  H constant • The total energy of a closed system is conserved. Some systems where the energy is conserved are CONSERVATION OF ENERGY j j qj
  • 220.
  • 221.
    i x i i i i x i • We arestill working with a homogeneous system space (system) in an inertial frame of reference. • For a system consisting of a single particle, the Lagrangian is written in terms of rectangular coordinates so that: L  Lxi , x i  . • The change in L is caused by the infinitesimal displacement r xiei i is: CONSERVATION OF LINEAR MOMENTUM L   L x   L x  0
  • 222.
    x i L   L x 0 • A variation of displacement makes it (displacement) independent of time so that: • Therefore, L becomes: • Each of the xi is an independent displacement, L vanishes identically only if each of the partial CONSERVATION OF LINEAR MOMENTUM i i i dt  d x  0 dt i i dx    x
  • 223.
  • 224.
    xi   • Accordingto Lagrange’s equations, L and x i  constant or: K U   x i K x i  U x i  K x i • Then: K x i   x i  1 m  2 i CONSERVATION OF LINEAR MOMENTUM L  0   0  dt  x i  d  L 
  • 225.
  • 226.
    • Thus, thehomogeneity of space implies that the linear momentum p of a closed system is constant with time. • For an equilibrium system: • We have shown that: Fi  0 • The force of the system is simply: CONSERVATION OF LINEAR MOMENTUM i i q i F   L  p  q L  p
  • 227.
      L  d  L  0 • Lagrangian and Newtonian formulations of mechanics are equivalent. • Lagrange’s equations for a single particle under rectangular coordinates are: • Or substituting for L = K - U: K U  d xi dt K U   0 x i EQUIVALENCE OF LAGRANGE’S AND NEWTON’S EQUATIONS xi dt  x i 
  • 228.
    EQUIVALENCE OF LAGRANGE’SAND NEWTON’S EQUATIONS • We know that K  Kx i and U Uxi  so: K  0 and U x i  0 . U xi • In a conservative system  xi  Fi because:  kx  F   2 kx 1 2   i     U  
  • 229.
       d K  d and dt x idt x i  i1 mx i  p i d dt    2  mx i 3   i i  i x  i x
  • 230.
    dt dt dt • Therefore, fromLagrange’s equations of motion: F  p    • From Newton’s second law we have that: EQUIVALENCE OF LAGRANGE’S AND NEWTON’S EQUATIONS F  ma  m dv  d mv  F  dp  p 
  • 231.
    • Lagrange’s andNewton’s equations of motion all show that force is the time derivative of momentum. • Therefore this shows the equivalence between Lagrangian and Newtonian mechanics. • Lagrangian and Newtonian equations are identical statements if the generalised coordinates are the rectangular coordinates. EQUIVALENCE OF LAGRANGE’S AND NEWTON’S EQUATIONS
  • 232.
    q j p  L p  L •The potential energy of a system is velocity independent, then the linear momentum in rectangular coordinates are given by: • If we use generalised coordinates in Lagrangian equation, the generalised momenta is: or • Then from the derivative of the conservation of energy we have that: HAMILTONIAN MECHANICS p   L j qj i x j i
  • 233.
    • Rearranging theterms and substituting for: we obtain: H   i pj qj  L • The Lagrangian is considered function of the generalised coordinates, and possibly the time. L will only depend on time if the position or velocity HAMILTONIAN MECHANICS j q j p  L j L  H j q L  q  j
  • 234.
    depend on timeor if the transformation equations
  • 235.
    j q j p  L connecting therectangular and generalised coordinates explicitly contain the time. • From we have that: qj qj qk , pk ,t   • From H  j pj qj L we may write the Hamiltonian as: Hqk , pk ,t  i pj qj  Lqk ,q k ,t HAMILTONIAN MECHANICS
  • 236.
       • Hamiltonian isalways written as a function of the
  • 237.
    k   qk , pk,t set whereas the Lagrangian is always a function of the qk ,q k ,t set so that: H  Hqk , pk ,t and L  Lqk ,q k .,t . • The total differential of H (H does not explicitly depend on time) is therefore: HAMILTONIAN MECHANICS dH  k   H q dq  H p dp   H dt t
  • 238.
     k • From theequation: Hqk , pk ,t  i pj qj  Lqk ,q k ,t k k
  • 239.
    t k k k k k k k k j L p j  q  j L p j  q  q k q   k  k k     we can also write: • Substituting and in above we get: • Like terms cancel and we are left with: HAMILTONIAN MECHANICS dH    qdp  p dq  L dq  L dq    L  dt dH  q dp  p dq   p  dq  p dq   L dt t k k k  k 
  • 240.
    k q k  p   H p k q H t k k k k • We solve for q k by letting other terms on the right to be zero, and do the same for p k and L . t • We get that: and and HAMILTONIAN MECHANICS dH  q dp  p  dq  L dt k pk t  L  H
  • 241.
    p    H q H • The two equations: and are called Hamilton’s equations of motion. • Because of their symmetric appearance, they are sometimes known as canonical equations of motion. • The description of motion by these equations is termed Hamiltonian dynamics. HAMILTONIAN MECHANICS k p k qk k
  • 242.
    • A naturalhomogeneous system is characterised by the fact that the kinetic energy contains no explicit dependence on time. • For a natural system, the Hamiltonian function is equal to the total energy of the system. • Allowing H to explicitly depend on time, we write: H  H q,p,t   • The full time derivative of H becomes: CONSERVATION OF ENERGY (Hamiltonian)
  • 243.
     qi  p q i t dt Or: CONSERVATION OFENERGY (Hamiltonian) dH  H   H q    H p   i dH dt  H  H   p i  H p q i   i  t   i i i i
  • 244.
      p i  qi   p i  qi  t    p   H q  H • From Hamilton’s equations of motion we have that: and • Substituting by Hamilton’s equations in: we get that: CONSERVATION OF ENERGY (Hamiltonian) i p i q H  H  dH dt  H  H  H H  qi  pi H  i  t   H pi q i   i    dH dt i i
  • 245.
    H  0 dH  H • Therefore: •In a natural conservative system, K and U do not depend on time so that • Hence: • This simply means that H is constant, hence H  K U  constant . Energy is conserved. CONSERVATION OF ENERGY (Hamiltonian) t dt t dH  0 dt
  • 246.
    H  0 • Conservedquantities are expression of symmetry properties possessed by the system. • Because even if there is a change in position, the property remains unchanged. • If the property is constant in a conserved system, e.g. H, then: . • Consider a general function of the coordinates, momenta and time, Gq, p,t . • We define transformation generated by G to be SYMMETRIES AND CONSERVATION OF ENERGY 
  • 247.
     p  F p   q F    F  q p and •Because even if there is a change in position, the property remains unchanged. • Consider another function F is: Fq, p,t. The change in SYMMETRIES AND CONSERVATION OF ENERGY       q      q  p  p  q F G  G F      p  G   q  G 
  • 248.
    p q  q p    • We define Poisson's bracket of F and G to be • The change in F under the transformation generated by G is written as: F F,G  • The antisymmetry of Poisson bracket means that if we interchange F and G, we change the sign: F,G G,F SYMMETRIES AND CONSERVATION OF ENERGY F,G F G  F G 
  • 249.
     • If Fis unchanged by the transformation generated by G, then conversely G is unchanged by the transformation generated by F. THE END GOODBYE. IF WE DON’T MEET AGAIN,I HOPE OUR PART WAS MADE IN PEACE, AND IF WE MEET AGAIN WEWILL STILL SMILE. SYMMETRIES AND CONSERVATION OF ENERGY
  • 250.
      • Exam scope:everything we did in class. Tests will guide you. • TEST 2: 26-MARCH 2012, 17:30. LASTLY
  • 251.
      rcm w  r F i i dL  r  F  CC 0 lm  miri  0 i1   t 1. All definitions 5. 2. 6. 3. 7. 4. 8. ALL WHAT TO DERIVE OR SHOW n dt i 0 0 2 K  1 I 2 dt dL  r  F  2 t  1 2   
  • 252.
       k q  Hp    H E  1 kA2 2 12. 9. 13. pi  F  constant p       10. 14. dH 15. dt  0 K U  H ALL WHAT TO DERIVE OR SHOW d  dL  p k q  0 dL dqi dt  dq i  k k
  • 253.
    11. K U H  constant 16. F,G G,F