QUANTITATIVE TECHNIQUES
2022
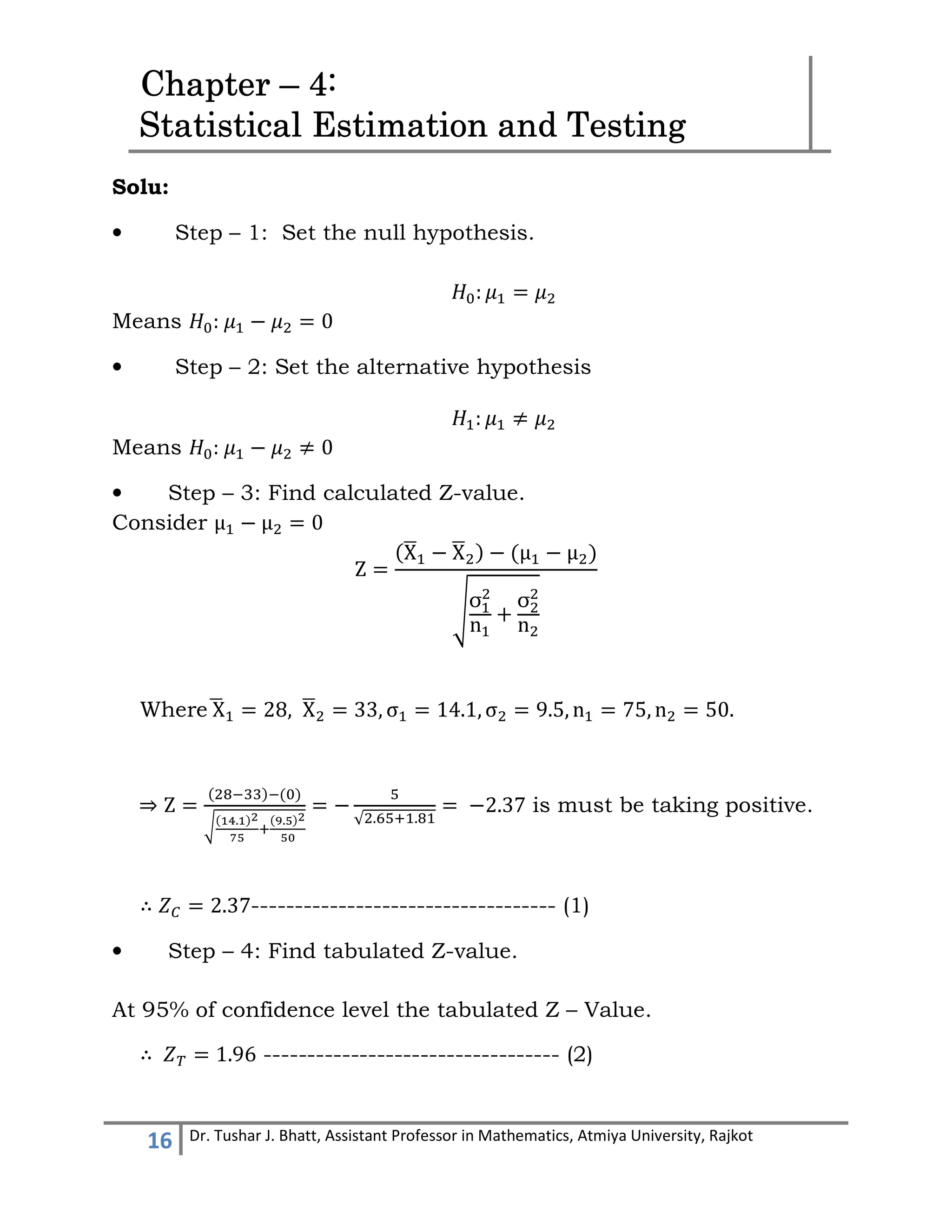
Chapter – 4:
Statistical Estimation and
Testing
For B.Com/M.Com Students
Dr. Tushar J. Bhatt
Chapter
Chapter
Chapter
Chapter –
–
–
– 4:
4:
4:
4:
Statistical Estimation and Testing
Statistical Estimation and Testing
Statistical Estimation and Testing
Statistical Estimation and Testing
2 Dr. Tushar J. Bhatt, Assistant Professor in Mathematics, Atmiya University, Rajkot
4.1: Introduction
Definition: (Statistical Inference)
The Statistical Inference is the process of drawing conclusions
about on underlying population based on a sample or subset of
the data.
In most cases, it is not practical to obtain all the measurements
in a given population.
The statistical inference is deals with decision problems. There
are two types of decision problems as mentioned below:
(i) Problems of estimation and
(ii) Test of hypotheses
In the problem of estimation, we must determine the value of
parameter(s), while in test of hypothesis we must decide whether
to accept or reject a specific value(s) of a parameter(s).
4.2: Estimator and Estimate
An estimate is a proper guess about an unknown quantity or
outcome based on known information.
A rule that tells how to calculate an estimate based on the
measurements contained in a sample is called an estimator.
4.3: Types of Estimation
There are two types of estimation as given below:
(a)Point Estimation
When a parameter is being estimated and the estimate is a single
number, the estimate is called point estimate.
Chapter
Chapter
Chapter
Chapter –
–
–
– 4:
4:
4:
4:
Statistical Estimation and Testing
Statistical Estimation and Testing
Statistical Estimation and Testing
Statistical Estimation and Testing
3 Dr. Tushar J. Bhatt, Assistant Professor in Mathematics, Atmiya University, Rajkot
For example, while a trip from Delhi to Agra, we might estimate
the distance, mileage, and petrol price etc. These information can
now we put together to estimate the cost of the entire trip which
can be viewed as a point estimation.
• List of commonly used Point Estimators
Sample mean = = ∑
Sample Variance = = ∑ −
Sample Standard Deviation= = √ =	 ∑ −
Chapter
Chapter
Chapter
Chapter –
–
–
– 4:
4:
4:
4:
Statistical Estimation and Testing
Statistical Estimation and Testing
Statistical Estimation and Testing
Statistical Estimation and Testing
4 Dr. Tushar J. Bhatt, Assistant Professor in Mathematics, Atmiya University, Rajkot
Sample Proportion = =
Note: A proportion is a special type of ratio in which the
denominator includes the numerator. An example is the
proportion of deaths that occurred to males which would be
deaths to males divided by deaths to males plus deaths to
females (i.e. the total population)
Ex-1: The following are the weights of four bags of rice (in kgs.)
chosen at random form a lot of 100 bags: 102kgs, 100kgs, 98kgs,
and 97kgs. Find best estimates of
(i) The true mean weight of all the bags.
(ii) The true variance of the weights of all bags.
(iii) The standard deviation of weights.
Solu: Here the given instruction is all about the samples and all
the data represent through single numbers. Therefore we say
that, it is necessary to discuss about the point estimation.
(i) The true mean weight of all the bags is given by
= ∑
= 102 + 100 + 98 + 97
=
!
= 99.25$%&	
(ii) The estimate of variance is given by
Chapter
Chapter
Chapter
Chapter –
–
–
– 4:
4:
4:
4:
Statistical Estimation and Testing
Statistical Estimation and Testing
Statistical Estimation and Testing
Statistical Estimation and Testing
5 Dr. Tushar J. Bhatt, Assistant Professor in Mathematics, Atmiya University, Rajkot
= ∑ −
=
1
4 − 1
102 − 99.25 + 100 − 99.25 + 98 − 99.25 + 97 − −99.25
= 7.56 + 0.56 + 1.56 + 5.06
= 4.91
(iii) Estimate of standard deviation is given by
) =	√*+,-+./0 =	√4.91 = 2.22
Ex-2: In a random sample of 400 individuals, 76 wear contact
lenses. Estimate the proportion of people in the population who
wear contact lenses.
Solu: Here given that . = 400, &+2 30	&-40
= 76, .5260,	78	 07 30	9ℎ7	90+,	/7.;+/;	30.&0&
Estimate of proportion of people who wear contact lenses is given
by	 = =
!<
==
= 0.19.
-. 0. 19% of the population may be expected to wear contact
lenses.
(b) Interval Estimation
When the estimate is a range of scores or values, the estimator is
called an interval estimator. In interval estimation,
Range of values or confidence interval and
Level of confidence
are most important elements for further investigation.
Chapter
Chapter
Chapter
Chapter –
–
–
– 4:
4:
4:
4:
Statistical Estimation and Testing
Statistical Estimation and Testing
Statistical Estimation and Testing
Statistical Estimation and Testing
6 Dr. Tushar J. Bhatt, Assistant Professor in Mathematics, Atmiya University, Rajkot
Confidence Interval (C.I):
It is an interval compute from sample data containing true
value of parameter with a certain level of confidence.
It means that with a 95% confidence interval for a sample
mean, 95% of all samples of the same size will contain the true
population mean. This is very close to saying that the true
population mean has a 95% chance of falling within the
confidence interval.
Level of confidence (LoC):
The researcher selects a level of confidence to be used in
interval estimation. In general, the greater degree of confidence
provides the wider confidence interval.
The level of confidence is directly connected with	> − 30?03.
> − 30?03 = 1 − /7.8-@0./0	30?03
Suppose with the 95% of confidence level (In other words it is
0.95), then the value of > is given by	1 − 0.95 = 0.05.
• List of commonly used Interval Estimators
Confidence interval for population mean	 A is given by
B ̅ −
DE
F
G
H
√.
	, ̅ +
DE
F
G
H
√.
		I
Where	H = J7 53+;-7.	 ),
		D = D − &/7,0	 &;+.@+,@	K7,2+3	@-&;,-65;-7.	;+630 ,
̅ = +2 30	L0+. and		. = +2 30	&-40.
Chapter
Chapter
Chapter
Chapter –
–
–
– 4:
4:
4:
4:
Statistical Estimation and Testing
Statistical Estimation and Testing
Statistical Estimation and Testing
Statistical Estimation and Testing
7 Dr. Tushar J. Bhatt, Assistant Professor in Mathematics, Atmiya University, Rajkot
The left endpoint is known as the lower confidence limit and
the right endpoint is called the upper confidence limit.
M ̅ −
N
E
O
P
G
Q
√
	, ̅ +
N
E
O
P
G
Q
√
		R is also called 100 1 − > % confidence
interval for A.
1 − > is called the confidence coefficient of level of confidence.
Ex-1: Assume that the standard deviation of SAT verbal scores in a
school system is known to be 100. A researcher wishes to estimate
the mean SAT score limits and compute a 95% confidence interval
from a random sample of 10 scores. The 10 scores are: 320, 380,
400, 420, 500, 520, 600, 660, 720 and 780.	 T-?0.	;ℎ+;	D=.=U = 1.96 .
Solu: It is clear that, we want to obtain the mean SAT score of
sample data of size 10 and the mean score of given sample data
which is drawn from such population and it is not given.
1 − >
DF
DF
0
>
2
>
2
Chapter
Chapter
Chapter
Chapter –
–
–
– 4:
4:
4:
4:
Statistical Estimation and Testing
Statistical Estimation and Testing
Statistical Estimation and Testing
Statistical Estimation and Testing
8 Dr. Tushar J. Bhatt, Assistant Professor in Mathematics, Atmiya University, Rajkot
Since mean score of sample data obtained 95% of confidence level,
so it is necessary to find out the interval where mean score is lies.
Let denote the SAT verbal scores.
Given that . = 10, H = 100
To find: Confidence Interval M ̅ −
N
E
O
P
G
Q
√
	, ̅ +
N
E
O
P
G
Q
√
		R
So we need,
̅ =
∑VW
=
=X Y=X ==X =XU==XU =X<==X<<=X! =X!Y=
=
=
U ==
=
= 530
Now 100 1 − > % = [7.8-@0./0	.;0,?+3
⇒ 100 1 − > % = 95%
⇒ 1 − > =
U
==
⇒ 1 − > = 0.95
⇒ > = 1 − 0.95 = 0.05
⇒ > = 0.05
⇒
F
=
=.=U
= 0.025
Now DE
O
P
G
= D=.= U = 1.96 (According to standard normal distribution
table)
To find: 	^790,	3-2-;	78	+.	-.;0,?+3	 =	 ̅ −
N
E
O
P
G
Q
√
∴ ^790,	3-2-;	78	+.	-.;0,?+3	 =	 ̅ −
N
E
O
P
G
Q
√
Chapter
Chapter
Chapter
Chapter –
–
–
– 4:
4:
4:
4:
Statistical Estimation and Testing
Statistical Estimation and Testing
Statistical Estimation and Testing
Statistical Estimation and Testing
9 Dr. Tushar J. Bhatt, Assistant Professor in Mathematics, Atmiya University, Rajkot
= 530 −
. <× ==
√ =
= 530 −
<
. <
= 530 − 61.98
= 468.02
To find: 	a 0,	3-2-;	78	+.	-.;0,?+3	 =	 ̅ +
N
E
O
P
G
Q
√
∴ a 0,	3-2-;	78	+.	-.;0,?+3	 =	 ̅ +
N
E
O
P
G
Q
√
= 530 +
. <× ==
√ =
= 530 +
<
. <
= 530 + 61.98
= 591.98
Therefore the confidence interval is	 468.02 ≤ A ≤ 591.68 .
4.4: Hypotheses and Errors
Definition: Hypothesis
- A hypothesis is a testable statement about the relationship
between two of more variables or a proposed explanation for
some observed phenomenon.
Definition: Hypothesis testing
- It is a statistical method that is used in making statistical
decisions using experimental data.
Chapter
Chapter
Chapter
Chapter –
–
–
– 4:
4:
4:
4:
Statistical Estimation and Testing
Statistical Estimation and Testing
Statistical Estimation and Testing
Statistical Estimation and Testing
10 Dr. Tushar J. Bhatt, Assistant Professor in Mathematics, Atmiya University, Rajkot
Types of hypothesis
- There are two types of hypothesis are available for the purpose
of making decisions (accepted or rejected) about the stated
assumption.
1. Null Hypothesis:
- It is relates to the statement being tested.
- It is denoted by	c=.
2. Alternative hypothesis:
- It is complementary statement to the null hypothesis.
- It is denoted by	c .
Type – I and Type – II Errors:
- When a statistical hypothesis is tested these are four possible
results
• The hypothesis is true but it is rejected by the test ×
• The hypothesis is true and it is accepted by the test √
• The hypothesis is false and it is rejected by the test √
• The hypothesis is false but it is accepted by the test ×
Above right arrows says that the right-decision and the cross
arrows indicates, the decision is not right.
At that situation the errors are involved in the statements.
If hypothesis is rejected while it should have been accepted, we
say that Type – I error has been committed.
On the other hand if a hypothesis is accepted while it should
have been rejected, we say that a Type – II error has been made.
Chapter
Chapter
Chapter
Chapter –
–
–
– 4:
4:
4:
4:
Statistical Estimation and Testing
Statistical Estimation and Testing
Statistical Estimation and Testing
Statistical Estimation and Testing
11 Dr. Tushar J. Bhatt, Assistant Professor in Mathematics, Atmiya University, Rajkot
4.5: Hypotheses Testing
Definition: Degree of freedom:
- The total number of observations minus the number of
independent constraints (Variables) imposed on the
observations.
Sample size large and small
- Let us denote the size of sample	= ..
- If . < 30, is said to be small sample.
- If . ≥ 30, is said to be large sample.
4.6 Testing Methods
There are several methods available for testing the hypothesis, in
general the Z- test, t-test, F-test and f - test all are very much
familiar, as mentioned below:
Z – test
- Z-test is a statistical tool used for the comparison or
determination of the significance of several statistical
measures, particularly the mean in a sample from a normally
distributed population or between two independent samples.
- Z-test is the most commonly used statistical tool in research
methodology, with it being used for studies where the sample
size is large (n>30).
• One – sample Z test
- A one-sample z test is used to check if there is a difference
between the sample mean and the population mean when the
population standard deviation is known. The formula for the z
test statistic is given as follows:
- D =
g
Q/√
Chapter
Chapter
Chapter
Chapter –
–
–
– 4:
4:
4:
4:
Statistical Estimation and Testing
Statistical Estimation and Testing
Statistical Estimation and Testing
Statistical Estimation and Testing
12 Dr. Tushar J. Bhatt, Assistant Professor in Mathematics, Atmiya University, Rajkot
- Where 	
i the sample is mean, A is the population mean, H is
the population standard deviation and . is the sample size.
• Left – tailed test:
- Null hypothesis c=: A = A=
- Alternative hypothesis c : A < A=
- Decision criteria:
- If Dk > Dm follows null hypothesis reject.
Dk Calculative Z-value
Dm Tabulated Z-value
-- 	If Dk < Dm follows null hypothesis accept.
- Where 	Dk Calculative Z-value and Dm Tabulated Z-value
• Right – tailed test:	
- Null hypothesis c=: A = A=
- Alternative hypothesis c : A > A=
• Decision criteria:
- If Dk > Dm follows null hypothesis reject.
-- 	If Dk < Dm follows null hypothesis accept.
- Where 	Dk Calculative Z-value and Dm Tabulated Z - value.
Chapter
Chapter
Chapter
Chapter –
–
–
– 4:
4:
4:
4:
Statistical Estimation and Testing
Statistical Estimation and Testing
Statistical Estimation and Testing
Statistical Estimation and Testing
13 Dr. Tushar J. Bhatt, Assistant Professor in Mathematics, Atmiya University, Rajkot
• Two – tailed test:
- A two sample z test is used to check if there is a difference
between the means of two samples. The z test statistic formula
is given as follows:
Z =
o
ip o
iP qp qP
r
σp
P
sp
X
σP
P
sP
- Where and = Sample means for 1st and 2nd sample means
respectively.
- A and A = Population means for 1st and 2nd population means
respectively.
- H and H = Population variances for 1st and 2nd population
means respectively.
• Decision criteria:
- If Dk > Dm follows null hypothesis reject.
-- If Dk < Dm follows null hypothesis accept.
- Where Dk Calculative Z-value and Dm Tabulated Z-value.
• Z – Score according to given confidence level.
Confidence Level Z - Score
90% 1.645
95% 1.96
98% 2.33
99% 2.575
Chapter
Chapter
Chapter
Chapter –
–
–
– 4:
4:
4:
4:
Statistical Estimation and Testing
Statistical Estimation and Testing
Statistical Estimation and Testing
Statistical Estimation and Testing
14 Dr. Tushar J. Bhatt, Assistant Professor in Mathematics, Atmiya University, Rajkot
• When do we use Z – Test:
1. When samples are drawn at random.
2. When the samples are taken from the population is
independent.
3. When standard deviation is known.
4. When number of observations is large	 . ≥ 30 .
Ex – 1: A principal at a school claims that the students in his
school are above average intelligence. A random sample of thirty
students’ IQ scores has a mean score of 112.5. Is there sufficient
evidence to support the principal’s claim? The mean population IQ
is 100 with a standard deviation of 15. Consider the level of
confidence is 90%.
Solu:
• Step – 1: Set the null hypothesis.
c=: A = 100
(A principal at a school claims that the students in his school
are not above average intelligence)
• Step – 2: Set the alternative hypothesis.
c : A > 100
(A principal at a school claims that the students in his school
are above average intelligence)
• Step – 3: Find tabulated Z-value.
Chapter
Chapter
Chapter
Chapter –
–
–
– 4:
4:
4:
4:
Statistical Estimation and Testing
Statistical Estimation and Testing
Statistical Estimation and Testing
Statistical Estimation and Testing
15 Dr. Tushar J. Bhatt, Assistant Professor in Mathematics, Atmiya University, Rajkot
- Here confidence level 90% then there corresponding Z – score
is Dm =1.645.
• Step – 4: Find calculated Z – Value.
D =
g
Q/√
-------------------------------- (1)
Given that = 	112.5, A = 100, H = 15	+.@	. = 30		 put
in equation -------- (1) we get,
1 ⇒ D =
.U ==
U/√ =
=
.U
U/U. Y
=
.U
.!
= 4.56
	∴ Dk = 4.56.
It is clear that Dk = 4.56	 > Dm 	= 1.645	
• Step – 5: Decision Making
- If Dk > Dm follows null hypothesis reject. Therefore alternate
hypothesis is accepted.
- Hence we say that the principal’s claim is right.
- The students in his school are above average intelligence.
Ex – 2: The amount of a certain trace element in blood is known to
vary with a standard deviation of 14.1ppm (parts per million) for
male blood donors and 9.5ppm for female blood donors. Random
samples of 75 male and 50 female donors yields concentration
means of 28 and 33ppm, respectively all the samples are taking
95% of confidence level. What is the likelihood that the population
means of concentrations of the element are the same for men and
women? Given that Z – score at 95% level of confidence = 1.96.
Chapter
Chapter
Chapter
Chapter –
–
–
– 4:
4:
4:
4:
Statistical Estimation and Testing
Statistical Estimation and Testing
Statistical Estimation and Testing
Statistical Estimation and Testing
16 Dr. Tushar J. Bhatt, Assistant Professor in Mathematics, Atmiya University, Rajkot
Solu:
• Step – 1: Set the null hypothesis.
c=: A = A
Means c=:	A − A = 0
• Step – 2: Set the alternative hypothesis
c : A ≠ A
Means c=:	A − A ≠ 0
• Step – 3: Find calculated Z-value.
Consider μ − μ = 0
Z =
X
i − X
i − μ − μ
r
σ
n +
σ
n
Where	X
i = 28, X
i = 33, σ = 14.1, σ = 9.5, n = 75, n = 50.
⇒ Z =
Y =
py.p P
z{
X
|.{ P
{}
= −
U
√ .<UX .Y
=	−2.37 is must be taking positive.
∴ Dk = 2.37----------------------------------- (1)
• Step – 4: Find tabulated Z-value.
At 95% of confidence level the tabulated Z – Value.
∴ 	Dm = 1.96 ---------------------------------- (2)
Chapter
Chapter
Chapter
Chapter –
–
–
– 4:
4:
4:
4:
Statistical Estimation and Testing
Statistical Estimation and Testing
Statistical Estimation and Testing
Statistical Estimation and Testing
17 Dr. Tushar J. Bhatt, Assistant Professor in Mathematics, Atmiya University, Rajkot
• Step – 5: Decision Making
Now from equation ---- (1) and ------ (2) we say that;
Dk = 2.37 > Dm = 1.96
Dk > Dm follows null hypothesis reject. Therefore alternate
hypothesis is accepted.
t – Test
A t-test is a statistical test that is used to compare the means of
two groups. It is often used in hypothesis testing to determine
whether a process or treatment actually has an effect on the
population of interest, or whether two groups are different from one
another.
• t – Score
The t score is a ratio between the difference between two groups
and the difference within the groups. The larger the t score, the
more difference there is between groups. The smaller the t score,
the more similarity there is between groups. A t score of 3 means
that the groups are three times as different from each other as they
are within each other. When you run a t test, the bigger the t-value,
the more likely it is that the results are repeatable.
• A large t-score tells you that the groups are different.
• A small t-score tells you that the groups are similar.
• Definition: (Degree of Freedom): The total number of
observations minus the number of independent variables or
constraints imposed on the observations is called degree of
freedom.
Chapter
Chapter
Chapter
Chapter –
–
–
– 4:
4:
4:
4:
Statistical Estimation and Testing
Statistical Estimation and Testing
Statistical Estimation and Testing
Statistical Estimation and Testing
18 Dr. Tushar J. Bhatt, Assistant Professor in Mathematics, Atmiya University, Rajkot
• Calculating the Statistic / Test Types
There are three main types of t-test:
# An Independent Samples t-test (Unpaired t – test) compares
the means for two groups.
# A Paired sample t-test compares means from the same group at
different times (say, one year apart).
# A one sample t-test tests the mean of a single group against a
known mean.
The conditions for applying ‘t’ tests
1. Sample must be chosen randomly.
2. The data must be quantitative.
3. The data should be follows normal distribution.
4. The sample size is ideally < 30 in each group.
5. Population should have equal S.D.
6. The t –test used must appropriate for the design. Paired t –
test for the paired design and unpaired t – test for comparing
two group means.
A one sample t-test
	~• =
€•‚‚ƒ„ƒ…†ƒ	‡‚	ˆƒ‰…
Š.‹.
Š. ‹. =
ЉˆŒ•ƒ	Š.€
√… Ž
… = •‰ˆŒ•ƒ	•••ƒ = …‡. ‡‚	ƒ•ƒˆƒ…~•	•…	~‘ƒ	’•“ƒ…	•‰ˆŒ•ƒ.	
€ƒ’„ƒƒ	‡‚	‚„ƒƒ”‡ˆ	 = … − Ž
If ~• > ~• follows –— rejected, otherwise accepted.
Chapter
Chapter
Chapter
Chapter –
–
–
– 4:
4:
4:
4:
Statistical Estimation and Testing
Statistical Estimation and Testing
Statistical Estimation and Testing
Statistical Estimation and Testing
19 Dr. Tushar J. Bhatt, Assistant Professor in Mathematics, Atmiya University, Rajkot
Ex – 1: A random sample of 20 tablets from a batch gives a mean
ingredient content 42 mg. and standard deviation of 6 mg. Test the
hypothesis that the population mean is 44 mg. ˜ℎ0,0	;=.=U = 2.093.
Solu: Here we have only one sample of size 20. Therefore the testing
of hypothesis we are using one sample t – test.
Step – 1: To set the Null Hypothesis.
	c=: Sample mean =Population mean A = 	44	2%.
Step – 2: To set the Alternate Hypothesis.
c : Sample mean ≠ Population mean A = 	44	2%.
Step – 3: Find calculated t-value.
	;k =
™ šš›œ› •›	žš	Ÿ›
Š.‹.
------------------ (1)
Difference of mean = 	44 − 42	 = 2
Sample Standard deviation = 	6
K79	 . ¡. =
+2 30	 . )
√. − 1
=
6
√20 − 1
=
6
4.3589
= 1.3765
From equation ------- (1) we have,
	
1 ⇒ 	;k =
™ š›œ› •›	žš	Ÿ›
Š.‹.
=
¢
Ž.£¤¥¦
= Ž. §¦£— ----------- (2).
Chapter
Chapter
Chapter
Chapter –
–
–
– 4:
4:
4:
4:
Statistical Estimation and Testing
Statistical Estimation and Testing
Statistical Estimation and Testing
Statistical Estimation and Testing
20 Dr. Tushar J. Bhatt, Assistant Professor in Mathematics, Atmiya University, Rajkot
Step – 4: Find tabulated t-value.
Given that degree of freedom = 	. − 1	 = 	20 − 1	 = 19 at 5% level of
significance the tabulated t – score is ;=.=U = ;m =2.093 ------------ (3).
Step – 5: Decision Making.
From the results ------ (2) and -------- (3), we say that,
	;k = 1.4530 < ;m = 2.093 follows the null hypothesis is accepted.
Hence, the sample mean is also equal to the population mean 44.
A Paired sample t-test
This is a special type of “t” test. This test is useful in testing the
effect of any treatment i.e. whether the given treatment is effective
or not?
	~• =
|”
i|
Š.€./√… Ž
;Where ”
i =
∑”
	+.@	@ = −
… = •‰ˆŒ•ƒ	•••ƒ = …‡. ‡‚	ƒ•ƒˆƒ…~•	•…	~‘ƒ	’•“ƒ…	•‰ˆŒ•ƒ.	
€ƒ’„ƒƒ	‡‚	‚„ƒƒ”‡ˆ	 = … − Ž
Sample S.D.(s) =
∑”¢
…
− E
∑”
…
G
¢
	
If ~• > ~• follows –— rejected, otherwise accepted.
Chapter
Chapter
Chapter
Chapter –
–
–
– 4:
4:
4:
4:
Statistical Estimation and Testing
Statistical Estimation and Testing
Statistical Estimation and Testing
Statistical Estimation and Testing
21 Dr. Tushar J. Bhatt, Assistant Professor in Mathematics, Atmiya University, Rajkot
Ex – 1: A new analytical method is to be compared to an old
method. The experiment is performed by single analyst. She selects
four batches of product at random and obtained the following
results.
Batch Method – I Method – II
1 4.81 4.93
2 5.44 5.43
3 4.25 4.30
4 4.35 4.47
Do you think that the two methods give different results on the
average?
Solu:
Step – 1: To set the Null Hypothesis.
c=: There is no difference between two methods.
Step – 2: To set the Alternate Hypothesis.
c : There is a difference between two methods.
Step – 3: Find calculated t-value.
	~• =
|”
i|
Š.€./√… Ž
; Where ”
i =
∑”
	+.@	@ = −
Chapter
Chapter
Chapter
Chapter –
–
–
– 4:
4:
4:
4:
Statistical Estimation and Testing
Statistical Estimation and Testing
Statistical Estimation and Testing
Statistical Estimation and Testing
22 Dr. Tushar J. Bhatt, Assistant Professor in Mathematics, Atmiya University, Rajkot
Batch
Method – I Method – II
@ = − @
1 4.81 4.93 -0.12 0.0144
2 5.44 5.43 0.01 0.0001
3 4.25 4.30 -0.05 0.0025
4 4.35 4.47 -0.12 0.0144
Total -0.28 0.0314
∴ ”
i =
∑”
= −
=. Y
= −0.07	873379&	©”
i© = —. —¤
Now, . ). & =
∑”¢
…
− E
∑”
…
G
¢
=
—.—£Ž§
§
− E
—.¢ª
§
G
¢
= √—. ——¤« − —. ——§«
∴ . ). & = √0.0029
∴ . ). & = 0.0543
Now 	~• =
|”
i|
Š.€./√… Ž
=
—.—¤
—.—¦§£/√§ Ž
=
—.—¤
=.=U × .!
=
=.=!
=.=
= 0.82 ----- (1)
Step – 4: Find tabulated t-value.
At Degree of freedom	= . − 1 = 4 − 1 = 3, and 5% level of significance
the tabulated t-value is	;=.=U = ;m = 3.182. ------ (2)
Step – 5: Decision Making.
From results ---- (1) and ----- (2) we say that;
Chapter
Chapter
Chapter
Chapter –
–
–
– 4:
4:
4:
4:
Statistical Estimation and Testing
Statistical Estimation and Testing
Statistical Estimation and Testing
Statistical Estimation and Testing
23 Dr. Tushar J. Bhatt, Assistant Professor in Mathematics, Atmiya University, Rajkot
;k = 0.82 < ;m = 3.182 follows the null hypothesis is accepted.
In other words we say that there is no difference between two
methods.
F – Test
The F – Test is named in honor of the great statistician R.A. Fisher.
The objective of the F – Test is to find out whether the two
independent estimates of population variance differ significantly or
whether the two samples may be regarded as drawn from the
normal populations having the same variance.
A test of significance concerning two sample variances is based on
the ratio rather than the difference between variances. Thus the
variance ratio or F is defined as
¬ =
-
®p
P
-
®P
P = p-p
P/ p
P-P
P/ P
Where =
∑ Vp V̅p
P
p
				+.@					 =
∑ VP V̅P
P
P
Where ® 	+.@	 ® indicates the population variances and ,
denotes as sample variances.
)0%,00	78	8,00@72	 = . − 1, 	. − 1 .	
If ¯• > ¯• follows –— rejected, otherwise accepted.
Chapter
Chapter
Chapter
Chapter –
–
–
– 4:
4:
4:
4:
Statistical Estimation and Testing
Statistical Estimation and Testing
Statistical Estimation and Testing
Statistical Estimation and Testing
24 Dr. Tushar J. Bhatt, Assistant Professor in Mathematics, Atmiya University, Rajkot
Ex – 1: Two samples of size 8 and 7 give the sum of squares of
deviations from their respective mean equal to 34 and 24
respectively. Test the hypothesis that the populations have the
same variance. Given that ¬=.=U = 4.2	87,	 7, 6 	@0%,00	78	8,00@72.
Solu:
Step – 1: To set the Null Hypothesis.
c=: Populations have the same variance
Step – 2: To set the Alternate Hypothesis.
c : Populations have not the same variance
Step – 3: Find calculated F-value.
Here given that . = 8,	 . = 7, =
Y
	+.@	 =
!
Now, ® =
p-p
P
p 		
=
Y×E
°y
±
G
Y
=
!
and ® =
P-P
P
P 		
=
!×E
Py
z
G
7−1
=
24
6
Now ¬ =
-
®p
P
-
®P
P =
/!
24/6
=
34×6
24×7
=
204
168
= 1.2143
∴ ¬[ = 1.2143 − − − − − − −	 1
Chapter
Chapter
Chapter
Chapter –
–
–
– 4:
4:
4:
4:
Statistical Estimation and Testing
Statistical Estimation and Testing
Statistical Estimation and Testing
Statistical Estimation and Testing
25 Dr. Tushar J. Bhatt, Assistant Professor in Mathematics, Atmiya University, Rajkot
Step – 4: Find tabulated F-value.
According to the given values at (7, 6) degree of freedom the
tabulated¬ − ?+350 with 5% level of significance is
¬m = ¬=.=U = 4.2 ----- (2)
Step – 5: Decision Making.
From equations ------- (1) and ------- (2) we say that;
¬k = 1.2143 < ¬m = 4.2.
Therefore we conclude that the null hypothesis is accepted at 5%
level of significance.
i.e. Populations have the same variance.
4.7 Comparative study of Z, t and F –tests:
A z-test is used for testing the mean of a population versus a
standard, or comparing the means of two populations, with large
.	 ≥ 	30 samples whether you know the population standard
deviation or not. It is also used for testing the proportion of some
characteristic versus a standard proportion, or comparing the
proportions of two populations.
Example - 1: Comparing the average engineering salaries of men
versus women.
Example - 2: Comparing the fraction defectives from 2 production
lines.
Chapter
Chapter
Chapter
Chapter –
–
–
– 4:
4:
4:
4:
Statistical Estimation and Testing
Statistical Estimation and Testing
Statistical Estimation and Testing
Statistical Estimation and Testing
26 Dr. Tushar J. Bhatt, Assistant Professor in Mathematics, Atmiya University, Rajkot
A t-test is used for testing the mean of one population against a
standard or comparing the means of two populations if you do not
know the populations’ standard deviation and when you have a
limited sample (n < 30). If you know the populations’ standard
deviation, you may use a z-test.
Example - 1: Measuring the average diameter of shafts from a
certain machine when you have a small sample.
An F-test is used to compare 2 populations’ variances. The samples
can be any size. It is the basis of ANOVA (Analysis of variances).
Example - 1: Comparing the variability of bolt diameters from two
machines.
Matched pair test is used to compare the means before and after
something is done to the samples. A t-test is often used because the
samples are often small. However, a z-test is used when the
samples are large. The variable is the difference between the before
and after measurements.
Example - 2: The average weight of subjects before and after
following a diet for 6 weeks

Statistical Estimation and Testing Lecture Notes.pdf

  • 1.
    QUANTITATIVE TECHNIQUES 2022 Chapter –4: Statistical Estimation and Testing For B.Com/M.Com Students Dr. Tushar J. Bhatt
  • 2.
    Chapter Chapter Chapter Chapter – – – – 4: 4: 4: 4: StatisticalEstimation and Testing Statistical Estimation and Testing Statistical Estimation and Testing Statistical Estimation and Testing 2 Dr. Tushar J. Bhatt, Assistant Professor in Mathematics, Atmiya University, Rajkot 4.1: Introduction Definition: (Statistical Inference) The Statistical Inference is the process of drawing conclusions about on underlying population based on a sample or subset of the data. In most cases, it is not practical to obtain all the measurements in a given population. The statistical inference is deals with decision problems. There are two types of decision problems as mentioned below: (i) Problems of estimation and (ii) Test of hypotheses In the problem of estimation, we must determine the value of parameter(s), while in test of hypothesis we must decide whether to accept or reject a specific value(s) of a parameter(s). 4.2: Estimator and Estimate An estimate is a proper guess about an unknown quantity or outcome based on known information. A rule that tells how to calculate an estimate based on the measurements contained in a sample is called an estimator. 4.3: Types of Estimation There are two types of estimation as given below: (a)Point Estimation When a parameter is being estimated and the estimate is a single number, the estimate is called point estimate.
  • 3.
    Chapter Chapter Chapter Chapter – – – – 4: 4: 4: 4: StatisticalEstimation and Testing Statistical Estimation and Testing Statistical Estimation and Testing Statistical Estimation and Testing 3 Dr. Tushar J. Bhatt, Assistant Professor in Mathematics, Atmiya University, Rajkot For example, while a trip from Delhi to Agra, we might estimate the distance, mileage, and petrol price etc. These information can now we put together to estimate the cost of the entire trip which can be viewed as a point estimation. • List of commonly used Point Estimators Sample mean = = ∑ Sample Variance = = ∑ − Sample Standard Deviation= = √ = ∑ −
  • 4.
    Chapter Chapter Chapter Chapter – – – – 4: 4: 4: 4: StatisticalEstimation and Testing Statistical Estimation and Testing Statistical Estimation and Testing Statistical Estimation and Testing 4 Dr. Tushar J. Bhatt, Assistant Professor in Mathematics, Atmiya University, Rajkot Sample Proportion = = Note: A proportion is a special type of ratio in which the denominator includes the numerator. An example is the proportion of deaths that occurred to males which would be deaths to males divided by deaths to males plus deaths to females (i.e. the total population) Ex-1: The following are the weights of four bags of rice (in kgs.) chosen at random form a lot of 100 bags: 102kgs, 100kgs, 98kgs, and 97kgs. Find best estimates of (i) The true mean weight of all the bags. (ii) The true variance of the weights of all bags. (iii) The standard deviation of weights. Solu: Here the given instruction is all about the samples and all the data represent through single numbers. Therefore we say that, it is necessary to discuss about the point estimation. (i) The true mean weight of all the bags is given by = ∑ = 102 + 100 + 98 + 97 = ! = 99.25$%& (ii) The estimate of variance is given by
  • 5.
    Chapter Chapter Chapter Chapter – – – – 4: 4: 4: 4: StatisticalEstimation and Testing Statistical Estimation and Testing Statistical Estimation and Testing Statistical Estimation and Testing 5 Dr. Tushar J. Bhatt, Assistant Professor in Mathematics, Atmiya University, Rajkot = ∑ − = 1 4 − 1 102 − 99.25 + 100 − 99.25 + 98 − 99.25 + 97 − −99.25 = 7.56 + 0.56 + 1.56 + 5.06 = 4.91 (iii) Estimate of standard deviation is given by ) = √*+,-+./0 = √4.91 = 2.22 Ex-2: In a random sample of 400 individuals, 76 wear contact lenses. Estimate the proportion of people in the population who wear contact lenses. Solu: Here given that . = 400, &+2 30 &-40 = 76, .5260, 78 07 30 9ℎ7 90+, /7.;+/; 30.&0& Estimate of proportion of people who wear contact lenses is given by = = !< == = 0.19. -. 0. 19% of the population may be expected to wear contact lenses. (b) Interval Estimation When the estimate is a range of scores or values, the estimator is called an interval estimator. In interval estimation, Range of values or confidence interval and Level of confidence are most important elements for further investigation.
  • 6.
    Chapter Chapter Chapter Chapter – – – – 4: 4: 4: 4: StatisticalEstimation and Testing Statistical Estimation and Testing Statistical Estimation and Testing Statistical Estimation and Testing 6 Dr. Tushar J. Bhatt, Assistant Professor in Mathematics, Atmiya University, Rajkot Confidence Interval (C.I): It is an interval compute from sample data containing true value of parameter with a certain level of confidence. It means that with a 95% confidence interval for a sample mean, 95% of all samples of the same size will contain the true population mean. This is very close to saying that the true population mean has a 95% chance of falling within the confidence interval. Level of confidence (LoC): The researcher selects a level of confidence to be used in interval estimation. In general, the greater degree of confidence provides the wider confidence interval. The level of confidence is directly connected with > − 30?03. > − 30?03 = 1 − /7.8-@0./0 30?03 Suppose with the 95% of confidence level (In other words it is 0.95), then the value of > is given by 1 − 0.95 = 0.05. • List of commonly used Interval Estimators Confidence interval for population mean A is given by B ̅ − DE F G H √. , ̅ + DE F G H √. I Where H = J7 53+;-7. ), D = D − &/7,0 &;+.@+,@ K7,2+3 @-&;,-65;-7. ;+630 , ̅ = +2 30 L0+. and . = +2 30 &-40.
  • 7.
    Chapter Chapter Chapter Chapter – – – – 4: 4: 4: 4: StatisticalEstimation and Testing Statistical Estimation and Testing Statistical Estimation and Testing Statistical Estimation and Testing 7 Dr. Tushar J. Bhatt, Assistant Professor in Mathematics, Atmiya University, Rajkot The left endpoint is known as the lower confidence limit and the right endpoint is called the upper confidence limit. M ̅ − N E O P G Q √ , ̅ + N E O P G Q √ R is also called 100 1 − > % confidence interval for A. 1 − > is called the confidence coefficient of level of confidence. Ex-1: Assume that the standard deviation of SAT verbal scores in a school system is known to be 100. A researcher wishes to estimate the mean SAT score limits and compute a 95% confidence interval from a random sample of 10 scores. The 10 scores are: 320, 380, 400, 420, 500, 520, 600, 660, 720 and 780. T-?0. ;ℎ+; D=.=U = 1.96 . Solu: It is clear that, we want to obtain the mean SAT score of sample data of size 10 and the mean score of given sample data which is drawn from such population and it is not given. 1 − > DF DF 0 > 2 > 2
  • 8.
    Chapter Chapter Chapter Chapter – – – – 4: 4: 4: 4: StatisticalEstimation and Testing Statistical Estimation and Testing Statistical Estimation and Testing Statistical Estimation and Testing 8 Dr. Tushar J. Bhatt, Assistant Professor in Mathematics, Atmiya University, Rajkot Since mean score of sample data obtained 95% of confidence level, so it is necessary to find out the interval where mean score is lies. Let denote the SAT verbal scores. Given that . = 10, H = 100 To find: Confidence Interval M ̅ − N E O P G Q √ , ̅ + N E O P G Q √ R So we need, ̅ = ∑VW = =X Y=X ==X =XU==XU =X<==X<<=X! =X!Y= = = U == = = 530 Now 100 1 − > % = [7.8-@0./0 .;0,?+3 ⇒ 100 1 − > % = 95% ⇒ 1 − > = U == ⇒ 1 − > = 0.95 ⇒ > = 1 − 0.95 = 0.05 ⇒ > = 0.05 ⇒ F = =.=U = 0.025 Now DE O P G = D=.= U = 1.96 (According to standard normal distribution table) To find: ^790, 3-2-; 78 +. -.;0,?+3 = ̅ − N E O P G Q √ ∴ ^790, 3-2-; 78 +. -.;0,?+3 = ̅ − N E O P G Q √
  • 9.
    Chapter Chapter Chapter Chapter – – – – 4: 4: 4: 4: StatisticalEstimation and Testing Statistical Estimation and Testing Statistical Estimation and Testing Statistical Estimation and Testing 9 Dr. Tushar J. Bhatt, Assistant Professor in Mathematics, Atmiya University, Rajkot = 530 − . <× == √ = = 530 − < . < = 530 − 61.98 = 468.02 To find: a 0, 3-2-; 78 +. -.;0,?+3 = ̅ + N E O P G Q √ ∴ a 0, 3-2-; 78 +. -.;0,?+3 = ̅ + N E O P G Q √ = 530 + . <× == √ = = 530 + < . < = 530 + 61.98 = 591.98 Therefore the confidence interval is 468.02 ≤ A ≤ 591.68 . 4.4: Hypotheses and Errors Definition: Hypothesis - A hypothesis is a testable statement about the relationship between two of more variables or a proposed explanation for some observed phenomenon. Definition: Hypothesis testing - It is a statistical method that is used in making statistical decisions using experimental data.
  • 10.
    Chapter Chapter Chapter Chapter – – – – 4: 4: 4: 4: StatisticalEstimation and Testing Statistical Estimation and Testing Statistical Estimation and Testing Statistical Estimation and Testing 10 Dr. Tushar J. Bhatt, Assistant Professor in Mathematics, Atmiya University, Rajkot Types of hypothesis - There are two types of hypothesis are available for the purpose of making decisions (accepted or rejected) about the stated assumption. 1. Null Hypothesis: - It is relates to the statement being tested. - It is denoted by c=. 2. Alternative hypothesis: - It is complementary statement to the null hypothesis. - It is denoted by c . Type – I and Type – II Errors: - When a statistical hypothesis is tested these are four possible results • The hypothesis is true but it is rejected by the test × • The hypothesis is true and it is accepted by the test √ • The hypothesis is false and it is rejected by the test √ • The hypothesis is false but it is accepted by the test × Above right arrows says that the right-decision and the cross arrows indicates, the decision is not right. At that situation the errors are involved in the statements. If hypothesis is rejected while it should have been accepted, we say that Type – I error has been committed. On the other hand if a hypothesis is accepted while it should have been rejected, we say that a Type – II error has been made.
  • 11.
    Chapter Chapter Chapter Chapter – – – – 4: 4: 4: 4: StatisticalEstimation and Testing Statistical Estimation and Testing Statistical Estimation and Testing Statistical Estimation and Testing 11 Dr. Tushar J. Bhatt, Assistant Professor in Mathematics, Atmiya University, Rajkot 4.5: Hypotheses Testing Definition: Degree of freedom: - The total number of observations minus the number of independent constraints (Variables) imposed on the observations. Sample size large and small - Let us denote the size of sample = .. - If . < 30, is said to be small sample. - If . ≥ 30, is said to be large sample. 4.6 Testing Methods There are several methods available for testing the hypothesis, in general the Z- test, t-test, F-test and f - test all are very much familiar, as mentioned below: Z – test - Z-test is a statistical tool used for the comparison or determination of the significance of several statistical measures, particularly the mean in a sample from a normally distributed population or between two independent samples. - Z-test is the most commonly used statistical tool in research methodology, with it being used for studies where the sample size is large (n>30). • One – sample Z test - A one-sample z test is used to check if there is a difference between the sample mean and the population mean when the population standard deviation is known. The formula for the z test statistic is given as follows: - D = g Q/√
  • 12.
    Chapter Chapter Chapter Chapter – – – – 4: 4: 4: 4: StatisticalEstimation and Testing Statistical Estimation and Testing Statistical Estimation and Testing Statistical Estimation and Testing 12 Dr. Tushar J. Bhatt, Assistant Professor in Mathematics, Atmiya University, Rajkot - Where i the sample is mean, A is the population mean, H is the population standard deviation and . is the sample size. • Left – tailed test: - Null hypothesis c=: A = A= - Alternative hypothesis c : A < A= - Decision criteria: - If Dk > Dm follows null hypothesis reject. Dk Calculative Z-value Dm Tabulated Z-value -- If Dk < Dm follows null hypothesis accept. - Where Dk Calculative Z-value and Dm Tabulated Z-value • Right – tailed test: - Null hypothesis c=: A = A= - Alternative hypothesis c : A > A= • Decision criteria: - If Dk > Dm follows null hypothesis reject. -- If Dk < Dm follows null hypothesis accept. - Where Dk Calculative Z-value and Dm Tabulated Z - value.
  • 13.
    Chapter Chapter Chapter Chapter – – – – 4: 4: 4: 4: StatisticalEstimation and Testing Statistical Estimation and Testing Statistical Estimation and Testing Statistical Estimation and Testing 13 Dr. Tushar J. Bhatt, Assistant Professor in Mathematics, Atmiya University, Rajkot • Two – tailed test: - A two sample z test is used to check if there is a difference between the means of two samples. The z test statistic formula is given as follows: Z = o ip o iP qp qP r σp P sp X σP P sP - Where and = Sample means for 1st and 2nd sample means respectively. - A and A = Population means for 1st and 2nd population means respectively. - H and H = Population variances for 1st and 2nd population means respectively. • Decision criteria: - If Dk > Dm follows null hypothesis reject. -- If Dk < Dm follows null hypothesis accept. - Where Dk Calculative Z-value and Dm Tabulated Z-value. • Z – Score according to given confidence level. Confidence Level Z - Score 90% 1.645 95% 1.96 98% 2.33 99% 2.575
  • 14.
    Chapter Chapter Chapter Chapter – – – – 4: 4: 4: 4: StatisticalEstimation and Testing Statistical Estimation and Testing Statistical Estimation and Testing Statistical Estimation and Testing 14 Dr. Tushar J. Bhatt, Assistant Professor in Mathematics, Atmiya University, Rajkot • When do we use Z – Test: 1. When samples are drawn at random. 2. When the samples are taken from the population is independent. 3. When standard deviation is known. 4. When number of observations is large . ≥ 30 . Ex – 1: A principal at a school claims that the students in his school are above average intelligence. A random sample of thirty students’ IQ scores has a mean score of 112.5. Is there sufficient evidence to support the principal’s claim? The mean population IQ is 100 with a standard deviation of 15. Consider the level of confidence is 90%. Solu: • Step – 1: Set the null hypothesis. c=: A = 100 (A principal at a school claims that the students in his school are not above average intelligence) • Step – 2: Set the alternative hypothesis. c : A > 100 (A principal at a school claims that the students in his school are above average intelligence) • Step – 3: Find tabulated Z-value.
  • 15.
    Chapter Chapter Chapter Chapter – – – – 4: 4: 4: 4: StatisticalEstimation and Testing Statistical Estimation and Testing Statistical Estimation and Testing Statistical Estimation and Testing 15 Dr. Tushar J. Bhatt, Assistant Professor in Mathematics, Atmiya University, Rajkot - Here confidence level 90% then there corresponding Z – score is Dm =1.645. • Step – 4: Find calculated Z – Value. D = g Q/√ -------------------------------- (1) Given that = 112.5, A = 100, H = 15 +.@ . = 30 put in equation -------- (1) we get, 1 ⇒ D = .U == U/√ = = .U U/U. Y = .U .! = 4.56 ∴ Dk = 4.56. It is clear that Dk = 4.56 > Dm = 1.645 • Step – 5: Decision Making - If Dk > Dm follows null hypothesis reject. Therefore alternate hypothesis is accepted. - Hence we say that the principal’s claim is right. - The students in his school are above average intelligence. Ex – 2: The amount of a certain trace element in blood is known to vary with a standard deviation of 14.1ppm (parts per million) for male blood donors and 9.5ppm for female blood donors. Random samples of 75 male and 50 female donors yields concentration means of 28 and 33ppm, respectively all the samples are taking 95% of confidence level. What is the likelihood that the population means of concentrations of the element are the same for men and women? Given that Z – score at 95% level of confidence = 1.96.
  • 16.
    Chapter Chapter Chapter Chapter – – – – 4: 4: 4: 4: StatisticalEstimation and Testing Statistical Estimation and Testing Statistical Estimation and Testing Statistical Estimation and Testing 16 Dr. Tushar J. Bhatt, Assistant Professor in Mathematics, Atmiya University, Rajkot Solu: • Step – 1: Set the null hypothesis. c=: A = A Means c=: A − A = 0 • Step – 2: Set the alternative hypothesis c : A ≠ A Means c=: A − A ≠ 0 • Step – 3: Find calculated Z-value. Consider μ − μ = 0 Z = X i − X i − μ − μ r σ n + σ n Where X i = 28, X i = 33, σ = 14.1, σ = 9.5, n = 75, n = 50. ⇒ Z = Y = py.p P z{ X |.{ P {} = − U √ .<UX .Y = −2.37 is must be taking positive. ∴ Dk = 2.37----------------------------------- (1) • Step – 4: Find tabulated Z-value. At 95% of confidence level the tabulated Z – Value. ∴ Dm = 1.96 ---------------------------------- (2)
  • 17.
    Chapter Chapter Chapter Chapter – – – – 4: 4: 4: 4: StatisticalEstimation and Testing Statistical Estimation and Testing Statistical Estimation and Testing Statistical Estimation and Testing 17 Dr. Tushar J. Bhatt, Assistant Professor in Mathematics, Atmiya University, Rajkot • Step – 5: Decision Making Now from equation ---- (1) and ------ (2) we say that; Dk = 2.37 > Dm = 1.96 Dk > Dm follows null hypothesis reject. Therefore alternate hypothesis is accepted. t – Test A t-test is a statistical test that is used to compare the means of two groups. It is often used in hypothesis testing to determine whether a process or treatment actually has an effect on the population of interest, or whether two groups are different from one another. • t – Score The t score is a ratio between the difference between two groups and the difference within the groups. The larger the t score, the more difference there is between groups. The smaller the t score, the more similarity there is between groups. A t score of 3 means that the groups are three times as different from each other as they are within each other. When you run a t test, the bigger the t-value, the more likely it is that the results are repeatable. • A large t-score tells you that the groups are different. • A small t-score tells you that the groups are similar. • Definition: (Degree of Freedom): The total number of observations minus the number of independent variables or constraints imposed on the observations is called degree of freedom.
  • 18.
    Chapter Chapter Chapter Chapter – – – – 4: 4: 4: 4: StatisticalEstimation and Testing Statistical Estimation and Testing Statistical Estimation and Testing Statistical Estimation and Testing 18 Dr. Tushar J. Bhatt, Assistant Professor in Mathematics, Atmiya University, Rajkot • Calculating the Statistic / Test Types There are three main types of t-test: # An Independent Samples t-test (Unpaired t – test) compares the means for two groups. # A Paired sample t-test compares means from the same group at different times (say, one year apart). # A one sample t-test tests the mean of a single group against a known mean. The conditions for applying ‘t’ tests 1. Sample must be chosen randomly. 2. The data must be quantitative. 3. The data should be follows normal distribution. 4. The sample size is ideally < 30 in each group. 5. Population should have equal S.D. 6. The t –test used must appropriate for the design. Paired t – test for the paired design and unpaired t – test for comparing two group means. A one sample t-test ~• = €•‚‚ƒ„ƒ…†ƒ ‡‚ ˆƒ‰… Š.‹. Š. ‹. = ЉˆŒ•ƒ Š.€ √… Ž … = •‰ˆŒ•ƒ •••ƒ = …‡. ‡‚ ƒ•ƒˆƒ…~• •… ~‘ƒ ’•“ƒ… •‰ˆŒ•ƒ. €ƒ’„ƒƒ ‡‚ ‚„ƒƒ”‡ˆ = … − Ž If ~• > ~• follows –— rejected, otherwise accepted.
  • 19.
    Chapter Chapter Chapter Chapter – – – – 4: 4: 4: 4: StatisticalEstimation and Testing Statistical Estimation and Testing Statistical Estimation and Testing Statistical Estimation and Testing 19 Dr. Tushar J. Bhatt, Assistant Professor in Mathematics, Atmiya University, Rajkot Ex – 1: A random sample of 20 tablets from a batch gives a mean ingredient content 42 mg. and standard deviation of 6 mg. Test the hypothesis that the population mean is 44 mg. ˜ℎ0,0 ;=.=U = 2.093. Solu: Here we have only one sample of size 20. Therefore the testing of hypothesis we are using one sample t – test. Step – 1: To set the Null Hypothesis. c=: Sample mean =Population mean A = 44 2%. Step – 2: To set the Alternate Hypothesis. c : Sample mean ≠ Population mean A = 44 2%. Step – 3: Find calculated t-value. ;k = ™ šš›œ› •› žš Ÿ› Š.‹. ------------------ (1) Difference of mean = 44 − 42 = 2 Sample Standard deviation = 6 K79 . ¡. = +2 30 . ) √. − 1 = 6 √20 − 1 = 6 4.3589 = 1.3765 From equation ------- (1) we have, 1 ⇒ ;k = ™ š›œ› •› žš Ÿ› Š.‹. = ¢ Ž.£¤¥¦ = Ž. §¦£— ----------- (2).
  • 20.
    Chapter Chapter Chapter Chapter – – – – 4: 4: 4: 4: StatisticalEstimation and Testing Statistical Estimation and Testing Statistical Estimation and Testing Statistical Estimation and Testing 20 Dr. Tushar J. Bhatt, Assistant Professor in Mathematics, Atmiya University, Rajkot Step – 4: Find tabulated t-value. Given that degree of freedom = . − 1 = 20 − 1 = 19 at 5% level of significance the tabulated t – score is ;=.=U = ;m =2.093 ------------ (3). Step – 5: Decision Making. From the results ------ (2) and -------- (3), we say that, ;k = 1.4530 < ;m = 2.093 follows the null hypothesis is accepted. Hence, the sample mean is also equal to the population mean 44. A Paired sample t-test This is a special type of “t” test. This test is useful in testing the effect of any treatment i.e. whether the given treatment is effective or not? ~• = |” i| Š.€./√… Ž ;Where ” i = ∑” +.@ @ = − … = •‰ˆŒ•ƒ •••ƒ = …‡. ‡‚ ƒ•ƒˆƒ…~• •… ~‘ƒ ’•“ƒ… •‰ˆŒ•ƒ. €ƒ’„ƒƒ ‡‚ ‚„ƒƒ”‡ˆ = … − Ž Sample S.D.(s) = ∑”¢ … − E ∑” … G ¢ If ~• > ~• follows –— rejected, otherwise accepted.
  • 21.
    Chapter Chapter Chapter Chapter – – – – 4: 4: 4: 4: StatisticalEstimation and Testing Statistical Estimation and Testing Statistical Estimation and Testing Statistical Estimation and Testing 21 Dr. Tushar J. Bhatt, Assistant Professor in Mathematics, Atmiya University, Rajkot Ex – 1: A new analytical method is to be compared to an old method. The experiment is performed by single analyst. She selects four batches of product at random and obtained the following results. Batch Method – I Method – II 1 4.81 4.93 2 5.44 5.43 3 4.25 4.30 4 4.35 4.47 Do you think that the two methods give different results on the average? Solu: Step – 1: To set the Null Hypothesis. c=: There is no difference between two methods. Step – 2: To set the Alternate Hypothesis. c : There is a difference between two methods. Step – 3: Find calculated t-value. ~• = |” i| Š.€./√… Ž ; Where ” i = ∑” +.@ @ = −
  • 22.
    Chapter Chapter Chapter Chapter – – – – 4: 4: 4: 4: StatisticalEstimation and Testing Statistical Estimation and Testing Statistical Estimation and Testing Statistical Estimation and Testing 22 Dr. Tushar J. Bhatt, Assistant Professor in Mathematics, Atmiya University, Rajkot Batch Method – I Method – II @ = − @ 1 4.81 4.93 -0.12 0.0144 2 5.44 5.43 0.01 0.0001 3 4.25 4.30 -0.05 0.0025 4 4.35 4.47 -0.12 0.0144 Total -0.28 0.0314 ∴ ” i = ∑” = − =. Y = −0.07 873379& ©” i© = —. —¤ Now, . ). & = ∑”¢ … − E ∑” … G ¢ = —.—£Ž§ § − E —.¢ª § G ¢ = √—. ——¤« − —. ——§« ∴ . ). & = √0.0029 ∴ . ). & = 0.0543 Now ~• = |” i| Š.€./√… Ž = —.—¤ —.—¦§£/√§ Ž = —.—¤ =.=U × .! = =.=! =.= = 0.82 ----- (1) Step – 4: Find tabulated t-value. At Degree of freedom = . − 1 = 4 − 1 = 3, and 5% level of significance the tabulated t-value is ;=.=U = ;m = 3.182. ------ (2) Step – 5: Decision Making. From results ---- (1) and ----- (2) we say that;
  • 23.
    Chapter Chapter Chapter Chapter – – – – 4: 4: 4: 4: StatisticalEstimation and Testing Statistical Estimation and Testing Statistical Estimation and Testing Statistical Estimation and Testing 23 Dr. Tushar J. Bhatt, Assistant Professor in Mathematics, Atmiya University, Rajkot ;k = 0.82 < ;m = 3.182 follows the null hypothesis is accepted. In other words we say that there is no difference between two methods. F – Test The F – Test is named in honor of the great statistician R.A. Fisher. The objective of the F – Test is to find out whether the two independent estimates of population variance differ significantly or whether the two samples may be regarded as drawn from the normal populations having the same variance. A test of significance concerning two sample variances is based on the ratio rather than the difference between variances. Thus the variance ratio or F is defined as ¬ = - ®p P - ®P P = p-p P/ p P-P P/ P Where = ∑ Vp V̅p P p +.@ = ∑ VP V̅P P P Where ® +.@ ® indicates the population variances and , denotes as sample variances. )0%,00 78 8,00@72 = . − 1, . − 1 . If ¯• > ¯• follows –— rejected, otherwise accepted.
  • 24.
    Chapter Chapter Chapter Chapter – – – – 4: 4: 4: 4: StatisticalEstimation and Testing Statistical Estimation and Testing Statistical Estimation and Testing Statistical Estimation and Testing 24 Dr. Tushar J. Bhatt, Assistant Professor in Mathematics, Atmiya University, Rajkot Ex – 1: Two samples of size 8 and 7 give the sum of squares of deviations from their respective mean equal to 34 and 24 respectively. Test the hypothesis that the populations have the same variance. Given that ¬=.=U = 4.2 87, 7, 6 @0%,00 78 8,00@72. Solu: Step – 1: To set the Null Hypothesis. c=: Populations have the same variance Step – 2: To set the Alternate Hypothesis. c : Populations have not the same variance Step – 3: Find calculated F-value. Here given that . = 8, . = 7, = Y +.@ = ! Now, ® = p-p P p = Y×E °y ± G Y = ! and ® = P-P P P = !×E Py z G 7−1 = 24 6 Now ¬ = - ®p P - ®P P = /! 24/6 = 34×6 24×7 = 204 168 = 1.2143 ∴ ¬[ = 1.2143 − − − − − − − 1
  • 25.
    Chapter Chapter Chapter Chapter – – – – 4: 4: 4: 4: StatisticalEstimation and Testing Statistical Estimation and Testing Statistical Estimation and Testing Statistical Estimation and Testing 25 Dr. Tushar J. Bhatt, Assistant Professor in Mathematics, Atmiya University, Rajkot Step – 4: Find tabulated F-value. According to the given values at (7, 6) degree of freedom the tabulated¬ − ?+350 with 5% level of significance is ¬m = ¬=.=U = 4.2 ----- (2) Step – 5: Decision Making. From equations ------- (1) and ------- (2) we say that; ¬k = 1.2143 < ¬m = 4.2. Therefore we conclude that the null hypothesis is accepted at 5% level of significance. i.e. Populations have the same variance. 4.7 Comparative study of Z, t and F –tests: A z-test is used for testing the mean of a population versus a standard, or comparing the means of two populations, with large . ≥ 30 samples whether you know the population standard deviation or not. It is also used for testing the proportion of some characteristic versus a standard proportion, or comparing the proportions of two populations. Example - 1: Comparing the average engineering salaries of men versus women. Example - 2: Comparing the fraction defectives from 2 production lines.
  • 26.
    Chapter Chapter Chapter Chapter – – – – 4: 4: 4: 4: StatisticalEstimation and Testing Statistical Estimation and Testing Statistical Estimation and Testing Statistical Estimation and Testing 26 Dr. Tushar J. Bhatt, Assistant Professor in Mathematics, Atmiya University, Rajkot A t-test is used for testing the mean of one population against a standard or comparing the means of two populations if you do not know the populations’ standard deviation and when you have a limited sample (n < 30). If you know the populations’ standard deviation, you may use a z-test. Example - 1: Measuring the average diameter of shafts from a certain machine when you have a small sample. An F-test is used to compare 2 populations’ variances. The samples can be any size. It is the basis of ANOVA (Analysis of variances). Example - 1: Comparing the variability of bolt diameters from two machines. Matched pair test is used to compare the means before and after something is done to the samples. A t-test is often used because the samples are often small. However, a z-test is used when the samples are large. The variable is the difference between the before and after measurements. Example - 2: The average weight of subjects before and after following a diet for 6 weeks