Project: Development of Hydrological Design Aids (Surface Water) under HP-II
Document: 2009097/WR/REP-02 July 2010
State of the Art Report Revision: R0
  i  WATER RESOURCES
 
Contents
EXECUTIVE SUMMARY..................................................................................................... ES-i to x
CHAPTERS
1. INTRODUCTION 1-1
1.1 Background of the Project................................................................................. 1-1
1.2 Need for Development of HDAs....................................................................... 1-1
1.3 Hydrological Studies Required for a Water Resources Project......................... 1-2
1.4 Design Parameters for Development of HDA................................................... 1-3
1.5 Scope and Methodology for the Consultancy.................................................... 1-5
2. PREVALENT DESIGN CRITERIA AND PRACTICES: THE INDIAN
PERSPECTIVE......................................................................................................... 2.1-1
2.1 Assessment of Water Resources Potential – Availability / Yield Assessment.. 2.1-1
2.1.1 Approach…………………………………………………………. 2.1-1
2.1.2 Hydrological data type and extent of hydrological inputs………... 2.1-1
2.1.3 Compilation and Hydrological Data Processing…………………. 2.1-2
2.1.3.1 Filling of short data gaps…………………………………………. 2.1‐2
2.1.3.2 Adjustment of records……………………………………………. 2.1-3
2.1.3.3 Consistency of data………………………………………………. 2.1-5
2.1.3.4 Data Extension…………………………………………………… 2.1-6
2.1.3.5 Data Generation…………………………………………………... 2.1-7
2.1.4 Water Availability Assessment…………………………………... 2.1-7
2.1.5 Continuous simulation Models / related data processing model
developed in India……………………………………………….. 2.1-8
2.1.5.1 HYPRO package………………………………………………….. 2.1-8
2.1.5.2 Water Yield Model (WYM)……………………………………… 2.1-8
2.1.6 Rainfall-Runoff Models developed for some regions in India…… 2.1-9
2.1.7 Design Practices adopted by State Government for yield
estimation in India……………………………………………….. 2.1-11
2.1.8 State-of-the-Art technology developed in various parts of the
world and applied in Indian catchments by various Premier
Research Institutes of India……………………………………… 2.1-13
2.1.9 Snowmelt Hydrology…………………………………………….. 2.1-16
2.1.9.1 Introduction………………………………………………………. 2.1-16
2.1.9.2 Snowmelt Modelling……………………………………………... 2.1-16
2.1.9.3 SWAT snowmelt hydrology……………………………………… 2.1-19
2.2 Estimation of Design Flood…………………………………………………… 2.2-1
2.2.1 General……………………………………………………………. 2.2-1
2.2.1.1 Objectives of Design Flood Estimation…………………………... 2.2-1
2.2.2 Literature Review………………………………………………… 2.2-1
2.2.2.1 General……………………………………………………………. 2.2-1
2.2.2.2 Previous Practices in India……………………………………….. 2.2-2
2.2.2.2.1 Project Categorization……………………………………………. 2.2-2
2.2.2.2.2 Empirical Formulae………………………………………………. 2.2-2
2.2.2.2.3 Rational Formula…………………………………………………. 2.2-3
2.2.2.3 Current Design Flood Estimation Criteria/Practices……………... 2.2-3
2.2.2.3.1 General……………………………………………………………. 2.2-3
2.2.2.3.2 Central Water Commission (CWC)………………………………. 2.2-3
2.2.2.3.3 Bureau of Indian Standards (BIS)………………………………... 2.2-17
2.2.2.4 Design Flood Estimation Approaches……………………………. 2.2-18
2.2.2.4.1 Flood Formulae…………………………………………………… 2.2-18
Project: Development of Hydrological Design Aids (Surface Water) under HP-II
Document: 2009097/WR/REP-02 July 2010
State of the Art Report Revision: R0
  ii  WATER RESOURCES
 
2.2.2.4.2 Probabilistic/Statistical Approach (Index Flood Method)………... 2.2-19
2.2.2.4.3 Hydrometeorological Approach………………………………….. 2.2-21
2.2.2.4.4 Regional Flood Frequency Analysis……………………………… 2.2-22
2.2.2.5 Estimation of Snowmelt Contribution……………………………. 2.2-23
2.2.2.5.1 GLOF……………………………………………………………... 2.2-26
2.2.2.6 Design Flood for Urban and Agricultural Catchments…………… 2.2-30
2.2.2.6.1 Urban Catchments………………………………………………... 2.2-30
2.2.2.6.2 Agricultural Catchments………………………………………….. 2.2-30
2.2.2.7 Climate Change Effects…………………………………………... 2.2-32
2.2.3 Reviews and Recommendations………………………………….. 2.2-32
2.2.3.1 Suggested Design Flood Estimation Criteria…………………….. 2.2-32
2.2.3.2 Procedures for determining PMF………………………………… 2.2-33
2.2.3.3 Procedures for determining T-Year Flood………………………... 2.2-33
2.2.4 Conclusions………………………………………………………. 2.2-34
2.3 Sedimentation Rate Estimation………………………………………………... 2.3-1
2.3.1 Introduction………………………………………………………. 2.3-1
2.3.2 Silting Rate for Planning Indian Reservoirs……………………… 2.3-1
2.3.2.1 Direct Measurement of Sediment in River……………………….. 2.3-1
2.3.2.2 Reservoir Capacity Survey……………………………………….. 2.3-2
2.3.2.2.1 Modern Techniques of Surveying: HYDAC 3 (Hydrographic data
Acquisition system)……………………………………………… 2.3-3
2.3.2.2.2 Remote Sensing…………………………………………………... 2.3-3
2.3.2.3 Results from River/Reservoir Sediment Data……………………. 2.3-3
2.3.2.4 Prediction of Rate of Reservoir Sedimentation………………….. 2.3-6
2.3.2.5 GIS Applications for Determination of Sediment Yeild…………. 2.3-8
2.3.3 Trap Efficiency…………………………………………………… 2.3-9
2.3.4 Predicting Sediment Distribution in Reservoir…………………… 2.3-9
2.3.5 Life of Reservoirs………………………………………………… 2.3-10
2.3.6 Planning Practices for Reservoir Sedimentation in India………… 2.3-10
2.3.7 Practices Adopted By State Governments………………………... 2.3-13
2.3.8 Conclusion……………………………………………………….. 2.3-14
 
3. PREVALENT DESIGN CRITERIA AND PRACTICES:
THE INTERNATIONAL PERSPECTIVE……………………………………… 3-1
3.1 Assessment of Water Resources Potential – Availability / Yield Assessment.. 3-1
3.1.1 Approach to the assessment of Water Resources Potential………. 3-1
3.1.2 Climate change impacts on river flows…………………………... 3-6
3.1.3 Data requirements & data management…………………………... 3-6
3.1.4 Rainfall-runoff modelling………………………………………… 3-36
3.1.5 Water resources system modelling……………………………….. 3-36
3.1.6 River basin modelling……………………………………………. 3-37
3.1.7 Snow melt runoff modelling……………………………………… 3-38
3.1.8 Glacier melt runoff modelling……………………………………. 3-50
3.1.9 Recommendations………………………………………………... 3-53
3.1.10 References………………………………………………………... 3-54
3.2 Estimation of Design Flood………………………………………………….. 3-61
3.2.1 Approach to Design Flood Estimation (hydro-meteorological;
statistical; regional)……………………………………………… 3-61
3.2.2 Overview of Methods for Estimation of the Design Flood………. 3-68
3.2.3 Estimation of Hypothetical Floods……………………………….. 3-69
3.2.4 Estimation of Probabilistic Floods……………………………….. 3-72
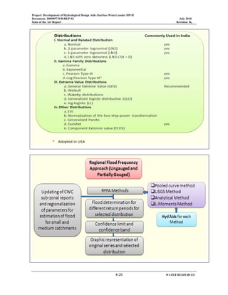
3.2.5 Regional Flood Frequency Analysis……………………………… 3-76
3.2.6 Flood Wave Propagation…………………………………………. 3-77
3.2.7 Impact of snow melt contribution on Design Flood
(Includes GLOF and cloud burst flood)…………………………..
3-78
Project: Development of Hydrological Design Aids (Surface Water) under HP-II
Document: 2009097/WR/REP-02 July 2010
State of the Art Report Revision: R0
  iii  WATER RESOURCES
 
3.2.8 Development of Design Flood Hydrograph for Agricultural
and Urban catchments…………………………………………….
3-79
3.2.9 Stationarity, trend and climate change…………………………… 3-79
3.2.10 Glossary…………………………………………………………... 3-81
3.2.11 References………………………………………………………... 3-83
3.3 Sedimentation Rate Estimation……………………………………………….. 3-87
3.3.1 General Concepts…………………………………………………. 3-87
3.3.2 Availability of Standards and Guidance………………………….. 3-89
3.3.3 Current Practice is different in different parts of world………….. 3-89
3.3.4 Historic development of reservoir sedimentation methods………. 3-90
3.3.5 Estimation of sediment yield……………………………………... 3-91
3.3.6 Assessment of sedimentation rates………………………………. 3-96
3.3.7 Increasing emphasis on mitigation methods……………………… 3-100
3.3.8 References………………………………………………………... 3-101
4. PROPOSED HYDROLOGICAL DESIGN PRACTICES……………………… 4-1
4.1 General……………………………………………………………………….. 4-1
4.2 Assessment of water resources potential – availability (HDA1)…………….. 4-1
4.2.1 Criteria With Checklist for choosing an established tool………… 4-2
4.2.2 Recommended Procedure………………………………………… 4-4
4.2.2.1 Pre-processing Functions………………………………………… 4-4
4.2.2.2 Techniques for Filling in Missing data…………………………… 4-4
4.2.2.3 Consistency test functions………………………………………... 4-5
4.2.2.4 Hind-casting of stream flow records where Precipitation data is
Available…………………………………………………………. 4-5
4.2.2.5 Synthetic flow Generation………………………………………... 4-6
4.2.2.6 Naturalisation of Flow……………………………………………. 4-6
4.2.2.7 Rainfall Runoff Modelling……………………………………….. 4-7
4.2.3 Proposed Models-Description & Data Requirements……………. 4-12
4.3 Design flood Estimation (HDA2)…………………………………………….. 4-13
4.3.1 General……………………………………………………………. 4-13
4.3.2 Estimation of PMF & SPF & T-year Flood………………………. 4-13
4.3.3 Urban & Agriculture Catchments………………………………… 4-17
4.3.4 Road Map for Design Flood Estimation (HDA-2)……………….. 4-18
4.4 Sediment Rate Estimation (HDA-3)………………………………………….. 4-22
4.4.1 Estimation of Sediment Yield…………………………………….. 4-22
4.4.2 Distribution of Sediment in reservoir…………………………….. 4-23
4.4.3 Proposed Road Map (HDA-3)……………………………………. 4-24
TABLES
Table 2.1 Rainfall runoff ratios for different surface conditions…………………….. 2.1-9
Table 2.2 Commonly used formulae………………………………………………… 2.2-2
Table 2.3 Decisive Parameters for Various purposes………………………………... 2.2-4
Table 2.4 Design Flood Values……………………………………………………… 2.2-6
Table 2.5 Comparison of Design Criteria……………………………………………. 2.2-8
Table 2.6 Comparison of Procedures for Design Flood Estimation…………………. 2.2-9
Table 2.7 Consequence Classification of Dams……………………………………... 2.2-12
Table 2.8 Synthetic UG Relations for Small/Medium Catchments………………….. 2.2-14
Table 2.9 Regional Flood Formulae for Small/Medium Catchment………………… 2.2-15
Table 2.10 Comparison of Goodness of fit Tests……………………………………... 2.2-20
Table 2.11 Comparison of Snowmelt Runoff…………………………………………. 2.2-25
Table 2.12 Characteristics of identified urban runoff models………………………… 2.2-31
Table 2.13 Region wise Sedimentation Rate in India…………………………………. 2.3-4
Table 3.1 Main data types used in water resources assessment……………………… 3-13
Project: Development of Hydrological Design Aids (Surface Water) under HP-II
Document: 2009097/WR/REP-02 July 2010
State of the Art Report Revision: R0
  iv  WATER RESOURCES
 
Table 3.2 Hydraulic models and their data requirements……………………………. 3-15
Table 3.3 Types of data to which QAS apply………………………………………... 3-16
Table 3.4 Description of the steps taken for each level of quality assurance………... 3-17
Table 3.5 Guidelines for limits of infilling data where gaps or errors exist…………. 3-19
Table 3.6 Example methods of correcting or infilling gaps in data, their suitability
and application……………………………………………………………. 3-21
Table 3.7 Details relating to catchments, catchment observed-flow series (gauged
and naturalised) and model calibration periods…………………………... 3-29
Table 3.8 Form for identification of character of a catchment (Environment
Agency, 2001)……………………………………………………………. 3-33
Table 3.9 Advantages and disadvantages of the two main approaches to melt
Modelling…………………………………………………………………. 3-43
Table 3.10 Application of various sensors for particular snow properties……………. 3-46
Table 3.11 Classification of Water Conservancy and Hydropower Projects in China... 3-62
Table 3.12 Classification of hydraulic structures in China……………………………. 3-63
Table 3.13 Design flood criteria for permanent structures in China………………….. 3-63
Table 3.14 Check design flood criteria for permanent structures in China…………… 3-63
Table 3.15 Design flood and Check design flood criteria for powerhouse and
non-damming structures in China………………………………………… 3-64
Table 3.16 Design flood criteria for temporary structures in China…………………... 3-64
Table 3.17 French dam safety assessment criteria……………………………………. 3-64
Table 3.18 Polish dam safety assessment criteria…………………………………….. 3-66
Table 3.19 UK dam safety assessment criteria………………………………………... 3-67
Table 3.20 US Federal recommended spillway design floods………………………… 3-68
Table 4.1 Checklist Matrix for Rainfall –Runoff models…………………………… 4-2
Table 4.2 Checklist Matrix for Water resources system models…………………….. 4-3
Table 4.3 Checklist matrix for River Basin models…………………………………. 4-4
FIGURES
Figure 2.1 Schematic diagram of monthly runoff model……………………………... 2.1-17
Figure 2.2 Simplified flow chart of vertical balance within each ASA………………. 2.1-19
Figure 2.3 Sub-Zonal Map of India for Small/Medium Catchments flood studies…... 2.2-16
Figure 2.4 Map of India showing zone wise sedimentation rate……………………… 2.3-5
Figure 2.5 Iso-erosion rate (in Tonnes km-2yr-1) map of India (Garde and
Kothyari,1987)…………………………………………………………… 2.3-8
Figure 3.1 Locations of the 15 catchments used in Jones et al. (2006)……………… 3-28
Figure 3.2 Reconstructed and measured river flow on the River Exe from 1907-11… 3-31
Figure 3.3 fundamental operations involved in modelling snowmelt………………... 3-40
Figure 3.4 Generalized depositional zones in a reservoir…………………………….. 3-88
Figure 3.5 Formation of fluvial delta in Lake Mead, USA – Smith et al (1954)……... 3-88
Figure 3.6 Average annual sediment yield versus drainage area for semiarid areas of
the United States (Strand and Pemberton 1987)…………………………. 3-90
Figure 3.7 Sediment yield map for India (Shangle, 1991)……………………………. 3-93
Figure 3.8 Relationship between reservoir hydrologic size (capacity: inflow ratio)
and sediment-trapping efficiency by Brune and the Sedimentation index
approach by Churchill (Strand and Pemberton 1987)………………….. 3-97
Figure 3.9 Churchill curve for estimating sediment release efficiency
(adapted from Churchill 1948)…………………………………………… 3-97
Figure 3.10 Temporal development of delta growth upstream of Bakra Dam, India.
The rate of delta advance slows with time because Of the reservoir
geometry, which depends and broadens in the downstream direction…… 3-99
Project: Development of Hydrological Design Aids (Surface Water) under HP-II
Document: 2009097/WR/REP-02 July 2010
State of the Art Report Revision: R0
  v  WATER RESOURCES
 
ANNEXURES
Annexure 2.1: Classification of Projects based the Type of Structure and on the
Contemplated Use of Water
Annexure 2.2: Commonly Used Methods for Consistency Tests
Annexure 2.3: Yield Estimation - Guideline for the Preparation of Preliminary
Water Balance Reports, NWDA, GOI, Nov 1991
Annexure 2.4: Yield Assessment - Manual on Planning and Design of Small
Hydroelectric Schemes, CBIP, India, 2001
Annexure 2.5: Yield Assessment - Hydrological Aspects in Project Planning and
Preparation of DPR, Training Directorate, CWC
Annexure 2.6: Model Structure of Water Yield Model (WYM)
Annexure 2.7: SHE Model
Annexure 2.8: SCS – CN Based Hydrological Model
Annexure 2.9: Tank Model
Annexure 2.10: Lumped Basin scale Water Balance Model
Annexure 2.11: SWAT Model
Annexure 2.12: Artificial Neural Networks in Rainfall – Runoff Modelling
Annexure 2.2-1: Practices by State Governments
Annexure 2.2-2: Flood Formulae
Annexure 2.2-3: Probabilistic approach for estimation of design flood
Annexure 2.2-4: Deterministic or Hydrometeorological approach for estimation of design
flood
Annexure 2.2-5: Regional flood frequency analysis (Ungauged Catchments)
Annexure 4.1: SWAT Model
Annexure 4.2: Water Rights Analysis Package (WRAP)
Annexure 4.3: HEC-HMS Soil Moisture Accounting (SMA) Model
Annexure 4.4: Model E
Annexure 4.5: HEC-RESSIM
Annexure 4.6: Snowmelt Runoff Model WINSRM
APPENDICES
Appendix A Step-by-step guide to extending hydrological data
Appendix B Snow melt model summaries
Appendix C Case studies of snow melt model application and use
Appendix D Rainfall-runoff model summaries
Appendix E Hydraulic model summaries
 
 
 
 
 
 
 
 
 
 
 
 
EXECUTIVE SUMMARY 
 
 
 
 
 
 
 
 
 
 
 
 
Project: Development of Hydrological Design Aids (Surface Water) under HP-II
Document: 2009097/WR/REP-02 July 2010
State of the Art Report Revision: R0
ES - i WATER RESOURCES
Executive Summary
Hydrology Projects I and II aim to ‘support major aspects of India’s National Water Policy,
particularly with regard to water allocation, and the planning and management of water resources
development at the national, state, basin, and individual project levels.
Hydrology Project-II is a sequel to its predecessor, Hydrology Project-I, which aimed to improve
hydrometeorological data collection procedures in nine states and six central agencies. Hydrology
Project-II builds upon the earlier project’s Hydrological Information System, through broadening the
area of application to thirteen states and eight central agencies, and through various ‘vertical
extension’ activities such as the current project. This project aims to develop Hydrological Design
Aids to improve upon current design practices and to standardise those practices for uniform use all
over the country. One of the first steps in enabling the development of such Hydrological Design Aids
is to assess the current, relevant, state-of-the-art in tools and techniques used in India and around the
world, and to review the international state-of-the-art with a view to transferring those tools and
techniques for use in India.
This report reviews the state of the art in the three key study areas: assessing water resource
availability; estimating the design flood; and sedimentation rate estimation. The assessment is
undertaken for the international context with reference to applicability in India.
The main purpose of this review of the state-of-the-art in the three key study areas is to inform the
process of development of three Hydrological Design Aids, one for each of those key study areas. The
international state of the art is reviewed to enable a comparison with the procedures currently being
carried out in India, and to help identify those techniques which would offer an improvement over
current methods and that could sensibly be transferred for use in India. The report makes specific
recommendations of those internationally employed tools and techniques that the authors believe to be
suitable for use in India.
The three matrices below (Tables 0.1-0.3) summarise the findings of the report. There is one matrix
per Hydrological Design Aid. Each matrix presents the tools and techniques for the Indian and
international contexts, grouped according to their areas of application. Each matrix, and each area of
application, also presents a priority for those tools and techniques that could sensibly and usefully be
employed as part of each Hydrological Design Aid under this project.
Table 0.1:Summary of state of the art techniques & tools used in assessment of water resources
potential
Area of application
of techniques &
tools
Techniques & tools
used in Indian context
Examples of techniques &
tools used in international
context
Priority areas for
further work
(High to Low)
(Low means that
Indian methods
are ‘state of the
art’)
Project pre-feasibility
stage
Strange’s Table
Observed flow
Empirical formulae
ICAR formula for small
watersheds
Thorrnthwaite Mather’s
formula
Empirical calculations to
estimate seasonal flows, mean
flow and low flows
Rainfall-runoff models,
HYSIM
Water resource systems
models
High
Project: Development of Hydrological Design Aids (Surface Water) under HP-II
Document: 2009097/WR/REP-02 July 2010
State of the Art Report Revision: R0
ES - ii WATER RESOURCES
Area of application
of techniques &
tools
Techniques & tools
used in Indian context
Examples of techniques &
tools used in international
context
Priority areas for
further work
(High to Low)
(Low means that
Indian methods
are ‘state of the
art’)
AQUATOR
HEC-ResSim
River basin models, e.g.
MIKE BASIN
WRAP
IRAS
Project design stage Observed flows
Rainfall Runoff models
Regression
relationship
Snowmelt model
Simple conceptual
model - Degree day
method
SLURP model
Rainfall-runoff models
PDM
CatchMOD
HEC-HMS
IHACRES
HYSIM
NAM
SHE
SWAT
Hydraulic models
InfoWorks RS
InfoWorks ICM
Mike 11
SOBEK
Snow melt runoff models
Temperature-index
models HBV
SRM
SNOW-17
Energy balance approach
PRMS
SSARR- energy budget
method
Combined approach
NWS RFS
UBC Watershed model;
PREVAH.
Glacier melt runoff models
SRM-ETH;
WaSiM-ETH
HBV (glacier module)
High
Project: Development of Hydrological Design Aids (Surface Water) under HP-II
Document: 2009097/WR/REP-02 July 2010
State of the Art Report Revision: R0
ES - iii WATER RESOURCES
Table 0.2:Summary of state of the art techniques used in the estimation of design flood
Area of
application of
techniques
and tools
Techniques and tools
used in Indian context
Techniques and tools used in
international context
Priority areas for
further work (
High to Low)
(Low means that
Indian are ‘state
of the art’)
Recommended
Approach
Spillways of major and
medium dams:
maximum probable
flood as derived using
unit hydrograph and
maximum probable
storm. Where Annual
Maximum flood series
is available, Probability
distribution methods
like Log Normal(2 and
3 parameters), Pearson,
Log Pearson and
Gumbel for 10000 year
flood are used.
Barrages and minor
dams: standard project
flood (SPF)/500 yr flood
for free board, 50 yr
flood for remaining
aspects
Miscellaneous hydraulic
structures: 50-100 year
flood to be used
ICOLD: PMF as design standard
for large dams;
Australia: PMF-DF is design
flood for which probability of
flood=probability of rainfall;
Canada: PMP for large dams,
WMO procedures as per
Operational Hydrology Report
No. 1
China: 5 project ranks
based on scale, benefit &
importance to economy;
France: H√V (H= dam height, V
= storage capacity);
Germany: Spillway capacity fro
large dams=1000 yr flood;
Iran: 24 hr PMP estimates are
derived using statistical analysis
with a frequency factor of 9.63.
For basins of 1000 sq km and less
the statistical estimates are used
while for larger basins the
estimated derived on physical
basis are used.
Japan: For concrete dams larger
of,
200 yr flood at site
Maximum experienced at site
Maximum that can be expected
1000 yr flood for embankment
dams
Kenya: WMO recommended
procedures
Malaysia: PMF derived from
PMP;
Norway: Spillway capacity for
Low
Low
Low
Project: Development of Hydrological Design Aids (Surface Water) under HP-II
Document: 2009097/WR/REP-02 July 2010
State of the Art Report Revision: R0
ES - iv WATER RESOURCES
Area of
application of
techniques
and tools
Techniques and tools
used in Indian context
Techniques and tools used in
international context
Priority areas for
further work (
High to Low)
(Low means that
Indian are ‘state
of the art’)
large dams=1000 yr flood;
Poland: Dams classified according
to foundation & potential
consequences;
Sweden: Large dams designed
according to pessimistic
assumptions about precipitation,
snow-melt & soils;
UK: Dams in 4 categories with
various design standards;
USA: Spillway design according
to hazard and size class
Estimation of
hypothetical
floods
Determination by
Empirical formulae
1. Formulae involving
drainage area only:
i. Dicken’s Formula
ii. Ryve’s Formula
iii. Ingis
iv. G.C. Khanna
v. Nawab Jung Bahadur
Formula
vi. W P Creager’s
Formula
2. Formulae involving
total runoff and drainage
area:
i. Boston Society of
Civil Engineers Formula
3. Formulae involving
rainfall intensity and
drainage area:
i.Rational Formula
4. Formulae involving
rainfall and drainage
area:
Unit Hydrograph;
SCS method;
Probable Maximum Flood;
Probable Maximum Precipitation;
Continuous Simulation;;
Distributed catchment modeling
(Topmodel, HBV, Lisflood,
PDM, Catchmod)
High
Project: Development of Hydrological Design Aids (Surface Water) under HP-II
Document: 2009097/WR/REP-02 July 2010
State of the Art Report Revision: R0
ES - v WATER RESOURCES
Area of
application of
techniques
and tools
Techniques and tools
used in Indian context
Techniques and tools used in
international context
Priority areas for
further work (
High to Low)
(Low means that
Indian are ‘state
of the art’)
i. Graig’s Formula
Determination using
envelope curves – one
for south India, another
for Central/North India.
Upper curves
corresponds to world
records, average line
and lower envelope
curves for PMF peaks
developed by CWC and
other organizations
PMP, SPS, PMF
Hydrometeorological
approach
Estimation of
Probabilistic
Floods
Gumbel’s Method
Selection of frequency
distribution (Log
Normal(2 and 3
parameters), Pearson,
Log Pearson and
Gumbel);
Plotting rules for
observations;
Parameter fitting
(Graphical, Least
squares, Max likelihood,
PWM, L-moments);
Goodness of fit tests
Choice of statistic (AM, POT)
Selection of distribution (Normal,
Lognormal, Gumbel, GEV, Log-
Pearson III);
Plotting rules for observations;
Parameter fitting (Graphical,
Least squares, Min variance, Max
likelihood, PWM, L-moments);
QdF methodology;
High
Regional
Flood
frequency
analysis
CWC analysis of small
catchments for various
hydro meteorological
zones of India
Use of L-moments for
RFFA based on
available data.
Index flood method
Index flood methods based on
data availability and complexity;
Regional growth curves.
Determination of homogeneous
regions
High
Project: Development of Hydrological Design Aids (Surface Water) under HP-II
Document: 2009097/WR/REP-02 July 2010
State of the Art Report Revision: R0
ES - vi WATER RESOURCES
Area of
application of
techniques
and tools
Techniques and tools
used in Indian context
Techniques and tools used in
international context
Priority areas for
further work (
High to Low)
(Low means that
Indian are ‘state
of the art’)
Assessing the
impact of
snowmelt
contribution
GLOF by CWC
Empirical Relationship
GLOF: use techniques similar to
dam break assessment for high
risk glacial lakes
SRM model for snowmelt
contribution
High
Development
of design flood
hydrograph for
agricultural &
urban
catchments
No standardized
methodology exists.
Rational Formula
Use SCS
Where no standardized
methodology exists (e.g. FEH in
UK), use SCS
HEC-HMS kinematic wave
model
High
Table 0.3:Summary of state of the art techniques used in sedimentation rate estimation
Area of application
of techniques & tools
Techniques & tools used
in Indian context
Techniques & tools used
in international context
Priority areas for
further work (High
to Low) (Low means
that Indian methods
are ‘state of the
art’)
Estimation of
sediment yield
Maps of sediment yield in
various regions of India.
Sediment rating curves
Universal soil loss
equation
Delivery ratio
Reservoir surveys
SWAT (used by
researchers)
Global maps of sediment
yield
Sediment rating curves
Soil Loss Equations:
USLE, MUSLE, RUSLE
Delivery Ratio
Spatially distributed
models: AnnAGNPS,
HSPF, MIKE-SHE,
SWAT
High
Assessment of
sedimentation rates
Churchill / Brune curves Empirical relations for
trapping efficiency
(Churchill/Brune curves)
Numerical sedimentation
modelling: 1D
(RESSASS , Mike 11,
InfoWorks, HEC-RAS)
and 2D & 3D models
High
Project: Development of Hydrological Design Aids (Surface Water) under HP-II
Document: 2009097/WR/REP-02 July 2010
State of the Art Report Revision: R0
ES - vii WATER RESOURCES
The tables given above present specific tools for use at particular points in a typical project. Figure 0.1
presents a typical engineering project cycle, such as for reservoir design, for example. It shows the
main stages of the project, from concept through pre-feasibility and feasibility studies, on to detailed
design and engineering, then operational monitoring and finally evaluation. The figure shows the
main stages of the project cycle which would use the types of tools and techniques presented in this
state of the art report.
Figure 0.1 Project cycle diagram showing types of tools and techniques used at each stage of a
typical project
This report considers the data necessary for hydrological assessment of water resources availability
and yield and methods of adjusting these data, including gap-filling and extending of time series. It
goes on to describe the various options available for modelling and forecasting of water resources
including in those areas affected by flows from snow and glaciers – there are clearly large and
important basins in India to which this applies. The report does not claim to be comprehensive in
terms of considering all options available worldwide, as there are an extremely large number of tools
which have been developed while only a small number are in widespread use. Rather, the report is
intended to give a summary of the major tools in use and in some cases relating to data management,
examples of standard practice from the UK as an example of best practice internationally.
The sections on design flood estimation and estimation of sedimentation rate are less extensive, being
smaller areas of research internationally and depending to some extent on the water resources data and
data management techniques described in the first section.
The review of Indian practices being followed at present vis-à-vis International practices as
summarised in the three matrices above indicates that a large number of models / practices could be
attempted in Indian scenario if the information base was available. Keeping in view the available data
in India through the Water Resources Information System (WRIS) being developed by CWC, HIS
system developed under HP-I, Survey of India topographical sheets, Thematic maps of soils from
National Bureau of Soil Survey, Agricultural Report from All India Soil and Land Use Survey and
other data from Directorate of Land Use and Land Records, National Thematic Mapping Organisation
Project: Development of Hydrological Design Aids (Surface Water) under HP-II
Document: 2009097/WR/REP-02 July 2010
State of the Art Report Revision: R0
ES - viii WATER RESOURCES
and Indian Meteorological Department, the following techniques are recommended in the three study
areas.
A. Assessment of Water resources potential – availability (HDA-1)
Processes Tools suggested
Flow naturalisation WRAP,
NWDA Water Balance method (in house)
Synthetic Flow Generation AR, MA, ARMA, Seasonal
ACF and PACF Analysis
Data validation Precipitation
Graphical Plot of Data for multiple stations for
checking spatial variability
Double Mass Curve
Discharge
Graphical Plot of Discharge with time
Graphical Plot of discharge with respect to any
adjacent basin upstream or downstream (if
homogenous) / rainfall
Residual series plot
Trend line Plot
Moving Average
Flow Mass curve
Student t – test and f – test
Data gap infilling Interpolation by extending a trend between the
recorded data points either side of the gap e.g.
exponential decay during low flows
Simple bridging using a straight line
Using spline technique to insert a curved line
that can be used for inserting peaks / troughs
Hind-casting of flow data with
Rainfall-Runoff modelling
MWSWAT,
Thornthwaite-Mather model
HEC-HMS
Regression Techniques
Water resources system
modelling
Hec ResSim
River basin modelling WRAP
Snowmelt runoff modelling
(including segregation into
rainfed and snowfed, seasonal
and permanent snowline,
rainfall and snowfall
characteristics)
WINSRM / MWSWAT
Glacier melt runoff modelling SRM
Technique for assessing the
potential impact of climate
change
MWSWAT
Project: Development of Hydrological Design Aids (Surface Water) under HP-II
Document: 2009097/WR/REP-02 July 2010
State of the Art Report Revision: R0
ES - ix WATER RESOURCES
B. Assessment of Design Flood (HDA-2)
Type of
Basin
Approach
suggested
Tools/Models suggested
Gauged
Basins
Hydrometeo
rological
approach
i. Tool for development of response function for basins of
size less than 5000 km2 which will include determination
of T-hour unit hydrograph using storm event and
concurrent discharge values, Collin’s method, Nash model,
Clark model.
ii. Tool for storm analysis which includes determination of
depth area duration curves, guidelines for storm
transposition, storm maximization, barrier adjustment and
development of storm hyetograph.
iii. Tools for IDF curve analysis.
iv. Tool for determination of Parameters of Muskingum Cunge
method of channel routing
v. SRM model for snowmelt contribution
vi. HEC-RAS model for GLOF routing. Separate tool will be
developed for routing in steep slopes.
vii. Tool for integrating GLOF with the intermediate catchment
runoff.
viii. For computation of flood hydrograph HEC-HMS model
have been identified
Probabilisti
c Approach
i. Tools for data mean, SD, skewness, kurtosis and detection
of outliers.
ii. Tools will be developed for parameter estimation of four
identified parameter estimation techniques (Method of
moments, method of maximum likelihood, Probability
weighted moments and L-moments approach) for Normal,
Lognormal, Pearson III, Log Pearson III, Gumbel and GEV
distributions.
iii. Tools for 4 (Chi-square, KS test, Cramer Von Mises and
ADC) Goodness of fit tests
iv. Interface will be developed for graphic representation of
best fit distribution and original series with confidence band
Project: Development of Hydrological Design Aids (Surface Water) under HP-II
Document: 2009097/WR/REP-02 July 2010
State of the Art Report Revision: R0
ES - x WATER RESOURCES
Ungauged/
Partially
gauged
Basins
Hydrometeo
rological
approach
(synthetic
Unit
Hydrograph)
i. Determination of response function for basins of size less
than 5000 km2 using Snyder’s method, Dimensionless unit
hydrograph and GIUH where concurrent rainfall and
discharge data are not available.
ii. Tools for implementation of CWC sub zonal reports.
iii. SRM model for snowmelt contribution
iv. HEC-RAS model for GLOF routing. Separate tool will be
developed for routing in steep slopes.
v. Tool for integrating GLOF with the intermediate catchment
runoff.
vi. For computation of flood hydrograph HEC-HMS model
have been identified
Regional
Flood
frequency
Approach
i. Tools to implement L-moment approach of RFFA analysis
ii. Tools for USGS method and Pooled curve method
iii. Tools for identification of region of influence (ROI) of the
Ungauged basins
Urban and
Agricultural
catchments
Hydrometeo
rological
Approach
i. Tool for Rational method for both urban and agricultural
catchments
ii. Kinematic wave model of HEC-HMS for Urban catchments
iii. SCS Curve number method of HEC-HMS
C. Sediment Rate Estimation (HDA-3)
Processes /Study areas Tools suggested
Estimation of
sedimentation yield
Reservoir Trap
Efficiency
Distribution of
Sedimentation in
Reservoirs
1. Use of actual observed data
(a) Development of sediment rating curves and flow
duration curves and their use for assessing
sediment yield/rates
(b) Use of reservoir resurvey data and trap efficiencies
for assessing sedimentation yield/rates
2. Development of GIS based regional relations for four
identified river systems based on observed data and for
use in ungauged areas.
3. Use of MWSWAT model
1. Revision of empirical Brune’s curves using reservoir
resurvey data from Indian reservoirs
1. Revision of empirical sedimentation distribution
procedures using reservoir resurvey data from Indain
reservoirs.
2. Use of one dimensional model like HEC-RAS
 
 
 
 
 
 
 
 
 
 
CHAPTER 1:  
INTRODUCTION 
Project: Development of Hydrological Design Aids (Surface Water) under HP-II
Document: 2009097/WR/REP-02 July 2010
State of the Art Report Revision: R0
1-1 WATER RESOURCES
1. INTRODUCTION
1.1 BACKGROUND OF THE PROJECT
Environmentally, socially and financially sound management of water resources requires
long-term, reliable hydrologic information. Poor availability of comprehensive and good
quality hydrologic data leads to unsound planning and inadequate design and operation of
water resources projects. The National water policy emphasis that a well developed
information system, for water related data in its entirely, at the national / state level is a prime
requisite for resources planning. In this background, Ministry of Water Resources,
Government of India had earlier executed a World Bank assisted Hydrology Project – I (HP-
I) for improvement of hydrometeorological data collection procedures. HP-I was successfully
concluded in 2003 wherein 9 states and 6 central agencies including Central Water
Commission (CWC) participated.
The Hydrological Information System (HIS) created under Hydrology Project-I has the
provision for collection, collation, and storing of Hydro-meteorological data that includes
both Surface Water (SW), Ground Water (GW), Rainfall and Water Quality data. HP-I has
strengthened technical capacities of all participating agencies for moving towards long term
data management. This proved an important step in the direction of creating awareness about
the importance of this data asset among the participating states/ central agencies for proper
hydrological planning for water resources projects.
Government of India is now implementing a Hydrology Project – II (HP-II) as a sequel to
HP-I for building on and expanding development of a comprehensive Hydrological
Information System for improving access and use by various data user departments and others
in the society to boost efficient water resources planning and management. Activities under
HP-II have been planned both as horizontal and vertical extension of HP-I and as horizontal
extension, the project is being implemented in 13 states and 8 central agencies. As a part of
vertical extension, one of the activities proposed is “Development of Hydrological Design
Aids (HDAs)” with an aim to derive benefits from the works done under HP-I and to facilitate
the use of HIS created under HP-I.
The development of Hydrological Design Aids for use by all the States and Central Agencies
is being done through a consultancy project and Central Water Commission has appointed
M/s Consulting Engineering Services (India) Private Limited (CES) as the consultants for
Development of Hydrological Design Aids (Surface Water). The Contract No.:4/7/2009-
RDD/1 for consultant’s services for Development of Hydrological Design Aids (Surface
Water) between CWC and CES was signed on November 18, 2009 and the consultants started
the work from December 9, 2009.
1.2 NEED FOR DEVELOPMENT OF HDAS
Water Resources projects play a major role in the development of society, and for meeting the
increasing requirements of water, it is necessary that the hydraulic structures are planned after
intensive and extensive investigations and studies on various aspects of Hydrology.
Hydrological inputs form a basic ingredient for planning various water resources projects. As
the subject of hydrology is a database science, application of its knowledge to practical
problems requires a great deal of experience and sound judgement on the part of Hydrologists
and investigators. Proper hydrologic design of the projects results in better overall utilization
of available resources in general and needs more reliable estimates of available yield,
spillway capacity, and sedimentation etc. for better management and safety of hydraulic
Project: Development of Hydrological Design Aids (Surface Water) under HP-II
Document: 2009097/WR/REP-02 July 2010
State of the Art Report Revision: R0
1-2 WATER RESOURCES
structures. Since, a great deal of experience is required in solving practical problems the need
for acceptable design criteria’s/ guidelines/ aids have always been felt by practicing engineers
and hydrologists the world over including in India. Obviously the criteria’s and design
practices have evolved alongwith man’s experience, understanding of the principles of
hydrology and the practices being followed in different parts of the world. Centuries old local
water resources systems exist in the World and also in India, to meet the basic needs for
drinking water and irrigation. These works were not designed on any hydrological design
practices. As the science and man’s understanding progressed the practices for the
hydrological design of water resources projects improved and today the use of untested
empiricism has disappeared and has given way to rational hydrologic analysis. With the
developments in computer technology the techniques of hydrologic analysis have further
improved and procedures/guidelines have also suitably improved and updated.
Any hydrological study requires hydro-meteorological and hydrological data as a basic input
and the techniques and procedures which can be used depend to a great extent on the
availability of the information base. The techniques should therefore be suitably selected in
different data situations. At the same time the use of standardized hydrological design
practices in various organizations in the country is essential for uniformity in approach for
optimal planning of any Water Resources Project. It is therefore considered very important to
estimate the hydrological design parameters using standard design practices all over the
country and adopting state of the art technology to the extent it is possible keeping in view the
database that is available.
In the above background, the HDAs are being developed so as to overcome the limitations of
the current design practices and to standardize these practices for uniform use all over the
country. Under the project, the existing design practices are to be taken into consideration for
improvements in consultation with the states and CWC.
1.3 HYDROLOGICAL STUDIES REQUIRED FOR A WATER RESOURCES PROJECT
The terms of reference of the project not only require the development of HDAs but also
highlight the issue of integration of the design aids to produce a compact version and also to
have a provision for preparation of the hydrology chapter of a Detailed Project Report of a
water resources project. It is proposed to first prepare the configuration to produce a
hydrology report and the developed system should be an interactive system to prompt the user
to provide for certain information which will be necessary for producing the hydrology report.
The inputs to the report would have to be provided as basic inputs such as proposed project
features, general characteristics of the interest areas etc. and also the study results in a desired
format that will be obtained through the developed HDA tools. The hydrology report is to be
as per the latest guidelines issued by Ministry of Water Resources/ CWC.
The Ministry of Water Resources guidelines for preparation of Hydrology Chapter for a
detailed project report (DPR) indicate that information on following aspects should be
covered in the hydrology chapter of the DPR.
a) General Climate and Hydrology:
This should cover general information about the region, specific information about
drainage basin, command area, floods and drainage, river geometry, ground water
recharge, reservoir area, other water usage, navigation and information on available
meteorological and hydrological data supported by inventories. Specifications of formats
and details to be provided are highlighted in the guidelines.
b) Hydrological Data Requirement
Project: Development of Hydrological Design Aids (Surface Water) under HP-II
Document: 2009097/WR/REP-02 July 2010
State of the Art Report Revision: R0
1-3 WATER RESOURCES
This section shall discuss the type and extent of Hydrological Inputs required for the
proposed plan of development. The inputs required based on various developments are
stipulated in the guidelines.
c) Compilation and processing of Basic Hydrological Data
This part shall discuss the details of the specific data collected for the purpose. The basic/
processed hydrological data should be collected, compiled and discussed. Processing of
data, adjustment of records, consistency of data will be carried out and discussed. The
processed data shall be compiled and furnished keeping in view the hydrological inputs
required for the studies for development in question.
d) Preparation of Hydrologic Inputs for Simulation
This section shall cover the details and results of the analysis made for preparation of
various hydrologic inputs required for simulation studies to supplement the available data.
Studies completed for water inflows, lake evaporation, sedimentation studies to evaluate
effect of depletion of reservoirs’ useful capacity and potential evapotranspiration and
rainfall in command shall be discussed.
e) Preparation of Hydrological Inputs for studies other than Simulation
This part of the hydrology chapter shall include the studies and their results relating to
design flood, design flood level and tail water rating curve etc. Studies required for design
flood for safety of structures, flood storage and flood control works, design of drainage in
command area, diversion arrangements, levels for locating structures on river banks etc.
shall be discussed.
f) Simulation Studies
This section shall discuss the details of the simulation studies and the conclusions arrived
there from. The studies carried out for the alternative under consideration shall be
discussed in detail explaining all the factors and assumptions that have been made.
g) Effect of Project on Hydrologic Regime
The guidelines stipulate that this section shall include effect on low flows, peak flood,
total runoff and sediment flows in different reaches of the river due to the project.
The information on above aspects will have to be collected/ compiled through the data
inputs and studies carried out through the developed HDA tools so as to produce the
hydrology chapter of the DPR.
1.4 DESIGN PARAMETERS FOR DEVELOPMENT OF HDA
As indicated in para 1.3 above, the hydrology report for a proposed project should cover
general information, data requirements and processing, studies for preparation of hydrological
inputs, conclusions through the simulation studies and effect of the project on hydrologic
regime. It is seen that for any hydrological study the three main design parameters are:
a) Assessment of the resource potential for sizing a water resources development project
b) Estimation of design flood for the safety of any hydraulic structure
c) Estimation of sediment rate so as to assess the economic life of the project
Project: Development of Hydrological Design Aids (Surface Water) under HP-II
Document: 2009097/WR/REP-02 July 2010
State of the Art Report Revision: R0
1-4 WATER RESOURCES
In view of the above, the terms of reference of the consultancy assignment include, following
areas for developing HDA tools.
HDA 1: Assessment of Water Resources Potential – Availability/ Yield Assessment
HDA 2: Estimation of Design Flood; and
HDA 3: Sediment Rate Estimation
The resource assessment study is generally required to finalize water yield series as per the
requirements of a project. The finalization of yield series will deal with various data
availability situations and as per TOR, all methodologies on different time steps are to be
developed for different data availability scenarios. For the ungauged catchments regional
water availability models based on observed hydrological and meteorological data of few
selected catchments in the region will be developed. Regional models are to be developed for
minimum four identified river systems of the country.
The water resources potential assessment would end up with the assessment of virgin flows
and procedure for estimating the uncertainties or minimizing the uncertainties. These have to
be the integral part of this design aid.
For a snow covered catchment, the detail for flow segregation i.e. rainfed and snowfed
seasonal/ permanent snow line, rainfall and snowfall characteristics are to be defined. It
would be well compatible to deal different types of inhomogeneity present in a project
catchment. Snow melt estimation model under different data scenario is to be developed. The
design aid would also address the issue of data requirement and make references to prevalent
standard procedure for observations world wide and in India and suggestions on improvement
of data collection techniques. Various sub components in the yield series estimation would be
able to be used as stand alone wherever limited use is required.
Under HDA 2, design flood for different purposes is to be finalized based on all practices in
vogue including all standard approaches and data availability scenarios. The design flood
estimation will cover hydrometeorolocial approach, statistical approach and regional
approach. These approaches are used currently, as such, the basic objective is to develop
standard methods in the forms of easy to use monographs and/ computer software, through
critical reviews of the existing National and International practices. The method and
techniques that are currently being applied in India will be improved in conjunction with the
recommended methodologies used internationally as good practices, especially for ungauged
or partially gauged catchments. The HDA 2 to be developed will also consider cases of
unregulated and regulated natural streams having hydraulic structures upstream and
downstream of the considered location. The techniques in-built in HDA 2 would thus also
cater for integrated operation of reservoirs considering channel and reservoir routing as an
integral part. The TOR also include development of proper methodology for snow melt
contribution in case of snow fed catchments, methodology for estimation of GLOF (Glacier
Lake Outburst Flood) and hydrological planning of agricultural and urban catchments.
Under HDA 3 the basic objective is to determine the appropriate Dead Storage Elevation
(New Zero Elevation) for storage reservoirs for different time horizons as per BIS and CBI&P
guidelines. In case of gauged streams the collected/ observed sediment data will be used and
for ungauged catchments, the regional sediment curves (iso-erosion lines) are required to be
prepared for four different regions of the country based on observed information for rivers/
reservoirs.
Project: Development of Hydrological Design Aids (Surface Water) under HP-II
Document: 2009097/WR/REP-02 July 2010
State of the Art Report Revision: R0
1-5 WATER RESOURCES
1.5 SCOPE AND METHODOLOGY FOR THE CONSULTANCY
The hydrological design aids are proposed to be developed after due consideration and
assessment of the prevalent design practices recommended by CWC and other state water
resources departments, prevailing design practices in other parts of the World and their
relevance with respect to India both from techno-economic considerations and data
requirements and availability. The existing BIS and national guidelines available for
determination of various hydrological parameters are to be customized with modifications to
make them more rational and scientific to suit the requirements both in terms of degree of
accuracy and ease with which these can be used by water resources planners. The TOR of the
assignment require that a state of the Art Report (SAR) on each design aid is produced which
covers various National/ International practices, and recommends various practices that can
be used in Indian scenario. The SAR for all the three disciplines viz. water availability,
estimation of Design Floods and Sedimentation is to be prepared after review of practices
followed world wide and within India and has to cover the practices that are followed globally
with the information on data requirements for following such practices.
The practices followed in India by various organizations have been studied through the
available documents/ guidelines issued by CWC, BIS and other organizations. The practices
followed world wide have been studied by the team of experts of the consultant through
literature survey and various guidelines issued by important organizations working the world
over in the field of hydrology and available publications of International Organizations viz.
World Meteorological organizations and UNESCO etc. The outcome of these studies and
review of practices followed nationally/ internationally in the three disciplines of water
availability, estimation of design flood and sedimentation is elaborated in the following
chapters.
 
 
 
 
 
 
CHAPTER 2:  
PREVALENT DESIGN CRITERIA AND 
PRACTICES: THE INDIAN PERSPECTIVE 
 
 
 
 
Project: Development of Hydrological Design Aids (Surface Water) under HP-II
Document: 2009097/WR/REP-02 July 2010
State of the Art Report Revision: R0
2.1-1 WATER RESOURCES
2. PREVALENT DESIGN CRITERIA AND PRACTICES: THE INDIAN
PERSPECTIVE
Hydrology Project-I was set up to improve the Hydrological Information System (HIS) in
India to arrive at comprehensive, easily accessible, and user-friendly databases covering all
aspects of the hydrological cycle. Such data are a prerequisite for a rational water resources
planning and management in a country facing already severe water shortages in the present,
not to mention in the near future. The HIS comprises the following components:
• A network of observational stations including sampling sites established to collect the
basic data for different meteorological, hydrological and geohydrological variables.
• A system of Water Quality Laboratories to analyze water samples on the concentration
of various water quality variables.
• A system of Data Processing Centres at various levels to enter the observed data on
magnetic media and to subsequently process the data to arrive at reliable information for
transfer to the database.
• Data Storage Centres, where both field and processed data sets are stored, i.e. processed
data for dissemination to the data users and field data for archiving original observation
and to permit inspection and revalidation at a future date if required.
The data collected range from surface water variables (including precipitation, stage,
discharge, and rating equations), through water quality variables and groundwater variables.
The data available through the HIS should enable more effective use of the tools developed
under Hydrology Project-II.
2.1 ASSESSMENT OF WATER RESOURCES POTENTIAL – AVAILABILITY / YIELD
ASSESSMENT
2.1.1 Approach
While planning projects, one was accustomed to deal with availability of water in terms of
annual totals, average or 75% dependable flows (annual volume). These concepts did not
address the availability of water at shorter intervals and at critical times which are crucial for
the planning, layout and design of hydraulic structures. With the upstream developments and
storage and complexity of systems – simulation of actual operation for satisfying various
demands is a necessity at the planning stage itself. For such simulation to be done, one has to
have a reasonable picture of anticipated post project conditions.
The objective of the current chapter is to briefly cover the design criteria/practices/guidelines
as stipulated by MOWR, CWC, NWDA, BIS, State Design offices, premier research
organisations and by various agencies working in the field of water availability and yield
studies in India. Under HP-I project, data processing software HYMOS was developed which
is being used in Central Water Commission besides nine states in India and other central
agencies. The existing practices discussed also include the various processing models which
are in HYMOS.
2.1.2 Hydrological data type and extent of hydrological inputs
With reference to Guidelines for preparation of Detailed Project Reports of Irrigation and
Multipurpose projects, Government of India, Ministry of Water Resources (MOWR) /
Guidelines for Detailed Project Report by Central Water Commission (CWC), the type and
extent of hydrological inputs for the proposed plan of development depends on the type of
Project: Development of Hydrological Design Aids (Surface Water) under HP-II
Document: 2009097/WR/REP-02 July 2010
State of the Art Report Revision: R0
2.1-2 WATER RESOURCES
structure and on the contemplated use of water at storage space. The classification of
alternative plans based on above inputs are indicated in Annex- 2.1.
2.1.3 Compilation and Hydrological Data Processing
2.1.3.1 Filling of short data gaps
a) As per the Guidelines for preparation of Detailed Project Reports of Irrigation and
Multipurpose projects, MWR / Guidelines for Detailed Project Report by CWC, the
techniques which are proposed for gap filling are as follows :
• Random choice from values observed for that period
• Interpolation from adjoining values by plotting a smooth hydrograph
• Using average production with normals for the adjoining stations
• Double Mass curve techniques
• Correlation with adjoining stations either of the same/different hydrologic element
• Auto correlation with earlier period at the same station
• Any other
b) In the HYMOS software, following methods are available for filling of short data gaps.
i. Linear interpolation,
ii. Block type filling-in
iii. Series relation
iv. Spatial interpolation.
i. Linear interpolation
Linear interpolation is a method of curve fitting using linear polynomials. It is a simplest form
of interpolation. In a number of cases gaps in series can well be filled-in by linear
interpolation between the last value before the gap and the first one after, provided that the
distance over which interpolation takes place is not too large.
If the two known points are given by the coordinates and , the linear
interpolant is the straight line between these points. For a value x in the interval , the
value y along the straight line is given from the equation:
(1)
Solving this equation for y, which is the unknown value at x, gives
(2)
which is the formula for linear interpolation in the interval
ii. Block type filling – in
Filling-in data according to the block-type comprises the replacement of missing data by the
last non-missing value before any gap.
iii. Series relation
Relation/regression equations can be used to fill-in missing data, provided that the standard
error in the fit is small. Polynomial / simple linear / exponential equations can be used to fill-
in missing data.
Regression models involve the following variables:
• The unknown parameters denoted as β; this may be a scalar or a vector of length k.
• The independent variables, X.
• The dependent variable, Y.A regression model relates Y to a function of X and β.
Project: Development of Hydrological Design Aids (Surface Water) under HP-II
Document: 2009097/WR/REP-02 July 2010
State of the Art Report Revision: R0
2.1-3 WATER RESOURCES
The approximation is usually formalized as E(Y | X) = f(X, β). To carry out regression
analysis, the form of the function f must be specified (polynomial/linear/exponential).
iv. Spatial interpolation
The spatial interpolation technique is applicable to quality and quantity parameters with a
spatial character, like rainfall, temperature, evaporation, etc., but sampled at a number of
stations (point measurements). Missing data at a test station are estimated by weighted
averages of observations at neighbouring stations. The weights are inversely proportional with
some power of the distance between the test station and the neighbour stations. The
requirements of this method are:
• series with selected data type and the same interval as the one under investigation should
be available;
• the distance between the test station and a neighbor should be less than a specified
maximum correlation distance Rmax (km);
Estimation of point rainfall
The point estimate for the base station u at a given point x based on the observations uk = u(xk)
for k = 0,1,...,N at N neighbour stations for the same time interval is given by equation:
(3)
Where,
(4)
x denotes an interpolated (arbitrary) point, xk is an interpolating (known) point, d is a given
distance from the known point xk to the unknown point x, N is the total number of known
points used in interpolation and p is a positive real number, called the power parameter.
c) As stipulated in Guide to Hydrological Practices, WMO No. 168, “judgement is required in
deciding how much missing data should be estimated. If too few gaps are estimated, then
large quantities of nearly complete records may be ignored. If too many data are estimated,
then the aggregate information content may be diluted by interpretation. It is rarely justified
to estimate more than five or 10 per cent of a record.”
2.1.3.2 Adjustment of records
a) The adjustment of flows to natural and virgin conditions for historical use in the upper
reaches requires withdrawal data, reservoir operation data and irrigation statistics. Where
adjustments due to upstream storage are made, storage changes and evaporation losses are to
be accounted for. Apart from adding upstream withdrawals, return flows have to be
subtracted. (Reference: Guidelines for preparation of Detailed Project Reports of Irrigation
and Multipurpose projects, MWR / Guidelines for Detailed Project Report by CWC)
i. The adjustment of the observed flows/sediment data may not be necessary if
• Utilisation by upstream projects has been same throughout the period of observation of
flows and sediment.
• The pattern of usage has not changed appreciably or with a definite need
ii. Adjustment with the flow and sediment records shall be required in other cases e.g. where
appreciable changes in land use have taken place.
iii. Adjustment of flood and low flows to remove the effect of upstream regulation may be
required where this is appreciable.
Project: Development of Hydrological Design Aids (Surface Water) under HP-II
Document: 2009097/WR/REP-02 July 2010
State of the Art Report Revision: R0
2.1-4 WATER RESOURCES
b) Natural (virgin) flow in the river basin is reckoned as water resource of a basin. The mean
flow of a basin is normally obtained on pro-rata basis from the average annual flow at the
terminal site for the desired period. For an overall assessment of water resource of a basin,
data of runoff (i.e., discharge or flows) for about 20 years may be considered adequate,
whereas for detailed project involving planning data for a much longer period is needed. In
case observed data for the entire period needed are not available, the gap is filled in by
interpolation or extrapolation, as needed, based on rainfall-runoff equations. (Reference:
Report of the working Group on Water Availability for use, National Commission for
Integrated Water Resources Development Plan, MWR, India, September, 1999))
Water resources have already been developed and utilized to a considerable extent in the river
basins through construction of major or medium storage dams and development of
hydropower, irrigation and other water supply systems. A large number of diversion schemes
and pumped schemes have also been in operation. Assessment of natural flow has become
complex in view of the upstream utilization, reservoir storages, regenerated flows and return
flows, etc. The natural flow at the location of any site is total of observed flow, upstream
utilization for irrigation, domestic and industrial uses both from surface and ground water
sources, increase in storage of reservoirs and evaporation losses in reservoirs. Return flows
from different uses from surface and ground water sources are deducted.
The following equation describes the computation of natural flow from observed runoff,
utilizations for different uses, effect of storage, evaporation loss and return flows from
different uses.
R(N) = R(O) + R(IR) + R(D) + R(GW) – R(RI) – R(RD)- R(RG) + S + E (5)
Where
R(N) – Natural flow,
R(O) – Observed flow,
R(IR) – Withdrawal for irrigation
R(D)- Withdrawal for domestic and industrial requirements
R(GW) – Groundwater withdrawal
S- Increase in storage of the reservoirs in the basin,
E-Net evaporation from the reservoirs
R(RI)- Return flow from irrigated areas,
R(RD)- Return flow from domestic and industrial withdrawal,
R(RG) – Return flow from ground water withdrawal.
The data on abstractions for irrigation are generally obtained from the records maintained by
irrigation project authorities. Where such records are not available, the abstractions are
estimated from information on area irrigated and the delta.
Data on withdrawals for the purposes of domestic and industrial uses are not generally
available. Hence, only rough estimates are made on the basis of population and available
information on per capita for domestic use and industrial uses.
The total ground water draft for the country as a whole is estimated by Central Ground Water
Board. Ground water utilization for different years is estimated based on ground water draft.
For some of the existing reservoirs, records of evaporation losses are maintained by project
authorities. Where such data are available, they are used to estimate evaporation losses. In
case of projects, where such data are not available, generally 20 percent of annual utilization
is taken as evaporation loss.
Return flows from irrigation use are assumed at 10 to 20 percent of the water diverted from
the reservoir for irrigation. In case of localized use of ground water for irrigation, the return
Project: Development of Hydrological Design Aids (Surface Water) under HP-II
Document: 2009097/WR/REP-02 July 2010
State of the Art Report Revision: R0
2.1-5 WATER RESOURCES
flow is assumed to be negligible. The return flows from domestic and industrial uses either
from ground water or surface water source are assumed to be 70 to 80 percent.
2.1.3.3 Consistency of data
a). The methods indicated for checking data consistency as per Guidelines for preparation of
DPR of Irrigation and Multipurpose projects, Government of India, MWR / Guidelines for
Detailed Project Report CWC are:
Internal consistency
The check can be done by stage discharge relationship for different periods. Large variations,
if any, shall be investigated, corrected and explained suitably.
External consistency
The consistency of observed data shall be discussed with reference to the rainfall in the
project catchment and observed data in adjacent locations / basins. The consistency can be
checked by
• Comparing monthly and annual rainfall with corresponding runoff
• Comparing average annual specific flow with corresponding figures at other sites of
the same river or adjacent basin
• By comparing the hydrograph of daily discharge at the control point with adjacent
sites
• By use of double mass curve techniques
Details of the study made for various hydrological observations at control points and sites
maintained by CWC/states and other agencies shall be summarised and presented as:
• Average annual/monthly/seasonal flow volumes expressed as depth of water over
drainage area
• Average maximum/minimum discharge (cumec/sq km for concurrent period)
b) The methods discussed in Hydrological aspects in Project Planning and Preparation of
Detailed Project Report by Training Directorate, Central Water Commission are:
Internal consistency
• Absolute limits
• Rate of change
• Graphical plot
• Time series analysis
External consistency
• Comparison plots
• Residual series
• Double mass curve
• Rainfall-Runoff comparison
• Regression Technique
c) Some of the methods for consistency tests for validation of series available in HYMOS are :
Listing of series Table of time series, with marking of the origin of the series, (i.e.
original, completed or corrected) or the quality of the series (i.e.
reliable, doubtful or unreliable).
Screening of series Table of time series, with basic statistics and marking of outliers.
Comparison of series For pairs of series all elements are shown at the times they differ.
Tabulation of series Column-wise presentation of up to 6 series side by side.
Less/greater than Only data less than or greater than a specified value are tabulated.
Project: Development of Hydrological Design Aids (Surface Water) under HP-II
Document: 2009097/WR/REP-02 July 2010
State of the Art Report Revision: R0
2.1-6 WATER RESOURCES
Same readings Table of time series, with marking if consecutive value is same for
specified number of time steps.
The Time series graphs options are meant for data validation purposes and/or reporting. This
option include graphs of:
• Time series, i.e. plot of an infinite number of series for the same time period, plotted
as lines and/or as bars.
• Residual series, i.e. a time series plotted relative to its mean as a function of time.
• Residual mass curves, i.e. a time series plot of accumulated differences from the
mean.
• Moving averages, i.e. plot of time series with its moving average over a specified
period.
• Water balances, i.e. plot of a computed sum or difference of time series.
• Data Availability, i.e. plot of time periods where data is non-missing.
• Derivative, i.e. a time series plot of the difference between each time step.
• Log-Log, i.e. a plot of two series on a double logarithmic scale.
• Combined series, i.e. a time series plot of a series with the stage discharge data of the
same time period.
• Series with limits, i.e. a time series plot of a series with its maximum and minimum
limits.
The consistency tests with respect to average flow series for yield study are :
Double Mass Curve
Arithmetic serial correlation coefficient: a test for serial correlation;
Wilcoxon-Mann-Whitney U-test
Wilcoxon Wtest: a test on difference in the mean between two series
Student t-test: a test on difference in the mean between two series
Linear trend test: a test on significance of linear trend by statistical inference on slope
of trend line;
Some of the above mentioned methods which are commonly used for consistency tests are
described in Annex 2.2.
2.1.3.4 Data Extension
The study and methodology used (Reference : Guidelines for preparation of DPR’s of
Irrigation and Multipurpose projects, Government of India, MWR / Guidelines for DPR by
CWC) for extending short term runoff series to desired length of time are as follows :
a. Co-relating runoff data with concurrent data on rainfall of long term stations in the
same catchment or data of runoff of adjacent long term stations and applying these
co-relations developed to past data of long-term stations of rainfall-runoff
b. Such correlation shall be developed for each time unit selected.
The following points are required to be considered
• Rainfall-runoff correlation may not be feasible or necessary for non-monsoon period
• Overall acceptability of correlation shall be checked
• Random components may be considered where corrections are not very strong.
Based on the information / inputs required, and having assessed the basic data availability, the
hydrologist has to use various techniques to extend/generate long term flow sequence for
proper evaluation of water availability and project planning. The observed data at a desired
location is commonly not available and as such suitable techniques to extend / generate long
term flow sequence is generally used in India. The methodology/models used for this purpose
could be (a) Data Extension (b) Information transfer from one catchment to another (c)
Project: Development of Hydrological Design Aids (Surface Water) under HP-II
Document: 2009097/WR/REP-02 July 2010
State of the Art Report Revision: R0
2.1-7 WATER RESOURCES
Transfer of model coupled with data extension and (d) Synthetic generation of data. In India
Rainfall-Runoff or Runoff-Runoff correlations of different forms are commonly adopted.
2.1.3.5 Data generation
Two approaches are recommended for data generation as per Guidelines for preparation of
DPR’s of Irrigation and Multipurpose projects, Government of India, MWR / Guidelines for
DPR by CWC which are :
Stochastic modelling – Study of Trends and cycles in the data, justification and necessity of
removal of trend and cycle, auto-correlation and possibility of smoothening auto-correlation
values from regional studies, frequency distribution of random error component, generation of
random numbers.
Conceptual Modelling
2.1.4 Water Availability Assessment
Water availability estimation is acknowledged as a central governing factor in determining the
size of a project. Various approaches have been formulated by different agencies for
estimation on different time scale which have been compiled in the present section.
The procedure / methodology adopted for working out water balance covers type of soil,
estimation of yield, ground water potential, water requirement, regeneration etc. The
methodology stated in yield estimation as per Guideline for the preparation of preliminary
Water Balance Reports, NWDA, GOI has been presented as Annex 2.3
The purpose of water availability assessment of any type of hydroelectric projects is to
compute streamflow series over a period of time of about 20-25 years. This flow series is
utilised to fix the installed capacity of power house and to evaluate energy generation. The
methodology for computing flow series would depend upon the type and extent of available
river flow data. The hydrologic techniques to be adopted for inflow studies would cater to the
following data situations.
a) Long term measurement of river flows, say 20-25 years
b) Short-term measured river flows (say 5-10 years) and long term rainfall records in the
relevant catchment
c) Short term measured river flows but no records of rainfalls in the relevant catchment
under two situations :
• Data available for a period of 5-10 years
• Data collected for a minimum period of two lean and one flood season
The methodologies under the above data scenarios as outlined in Manual on Planning and
Design of Small Hydroelectric Schemes, CBIP, India are given in Annex 2.4 .
Finalisation of yield series at a given location in a catchment depends on many factors. Some
of these factors are interdependent. The most rational approach in finalization of flow series
for a water resource project is based on site specific data. In such a case, final yield series can
be recommended after validation and processing of flow data. But this is a rare case and most
of time, flow data upstream or downstream are used. However, due consideration should be
given regarding the contribution of intervening catchment in case flows of nearby G&D site
is being utilized. The methodologies of water availability assessment as per Hydrological
Aspects in Project Planning and Preparation of DPR, Training Directorate, CWC, MWR,
GOI are indicated in Annex 2.5.
Project: Development of Hydrological Design Aids (Surface Water) under HP-II
Document: 2009097/WR/REP-02 July 2010
State of the Art Report Revision: R0
2.1-8 WATER RESOURCES
Provision of Environmental Flows
National Water Policy (MOWR 2002) ranks “ecology” as the fourth item in the list of
priorities for water-allocation. As the progressive degradation of the water environment
became evident, environmental concerns have started to gain strength. This is, perhaps, where
and when the term ‘minimum flow’ originated from. Minimum flow was understood as a
flow, which is needed (to be released) downstream from the dams for environmental
maintenance.
The issue of minimum flow was highlighted in a judgment of the Supreme Court of India,
which in 1999 directed the government to ensure a minimum flow of 10 cubic meters per
second (m3/s) in the Yamuna River as it flows through New Delhi for improving its water
quality. Since then the minimum flow requirement in rivers has been discussed at several
forums (but primarily in the context of water quality). In 2001, the Government of India
constituted the Water Quality Assessment Authority (WQAA) which in turn constituted, in
2003, a Working Group (WG) to advise the WQAA on ‘minimum flows in rivers to conserve
the ecosystem’. Despite the continuous use of the term ‘minimum flow’, the committee made
the following recommendations;
Himalayan Rivers
1. minimum flow to be not less than 2.5% of 75% dependable Annual flow expressed in cubic
meters per second.
2. one flushing flow during monsoon with a peak not less than 250% of 75% dependable annual
flow expressed in cubic meters per second.
Other Rivers
1. Minimum flow in any ten daily period to be not less than observed ten daily flow with 99%
exceedance. Where ten daily flow data is not available this may be taken as 0.5% of 75%
dependable flow expressed in cubic meters per second.
2. One flushing flow during monsoon with a peak not less than 600% of 75% dependable flow
expressed in cubic meters per second.
The committee also noted that this recommendation will have to be reviewed in collaboration
with International Water Management Institute (IWMI) and other world bodies. The IWMI
findings are documented in Report no 107 , where in a method to compute Environmental
flows is proposed and these flows are computed for various ecological conditions for various
Indian rivers. Further a Global Environmental Flow Calculator (GEFC) is now available fro
IWMI and can be used for computing environmental flows.
2.1.5 Continuous simulation Models / related data processing model developed in India
2.1.5.1 HYPRO package
HYPRO package has been developed for data storage, processing and retrieval system for
hydrological data by National Institute of Hydrology (Reference : Report No UM-47 National
Institute of Hydrology,1995-96). The software has been proposed to overcome inefficiencies
and consequent difficulties of multi file organization in data handling. Hydrological analysis
which can be performed are as follows.
(i) Statistical summary (viz. mean, standard deviation, skewness, kurtosis, series correlation
coefficient an maximum and minimum of data series)
(ii) Time series analysis (viz. Autoregressive model for simple case of stream flow, Moving
average model, Auto Regressive-Moving Average method for mixed behavior of stream flow
(combination of precipitation and groundwater flow), Auto covariance and Auto correlation
coefficient model) Finally an iterative approach of model building has been described (viz.
Model identification, Parameter estimation Diagnostic Checking).
Project: Development of Hydrological Design Aids (Surface Water) under HP-II
Document: 2009097/WR/REP-02 July 2010
State of the Art Report Revision: R0
2.1-9 WATER RESOURCES
(iii) Frequency analysis (fitting various probability distributions to hydrological data if stochastic
component of the time series is independent. Finally, outlier/inlier analysis, check for
persistence and plotting position has also been done.)
2.1.5.2 Water Yield Model (WYM)
The system Engineering Unit of Central Water Commission has developed a Water Yield
Model as an aid to Water Resources Planning and water management decisions. This is a
lumped parameter continuous model for simulating runoff volumes on monthly basis. A
comprehensive planning by system analysis involving integration of various reservoir
operation require monthly flows at all key reservoir sites. Further, the location of raingauges
matching the pattern of rainfall spatial variability from month to month is the limiting factor
for the size of the catchment that can be modelled by their lumped approach. Due to lumping
of rainfall inputs over a month, the sensitiveness of the mechanism infiltration, percolation,
overland flow, interflow, baseflow and the ground water storage are reduced on account of
their lumping over a month.
Therefore, modelling of three main constituents namely, evapotranspiration, surface runoff
and base flow by appropriate mathematical formulations is considered to be adequate rather
than to model all the processes involved in the land phase of the hydrologic cycle. The model
structure has been described in Annex 2.6.
The model has been used in several catchments in India successfully.
2.1.6 Rainfall-Runoff Models developed for some regions in India :
Strange evolved some ratios between rainfall and runoff based on data of Maharashta, India.
He accounted for the geological conditions of the catchment as good, average and bad, while
surface condition as dry, damp and wet prior to rain. The values recommended by him are
given in Table 2.1
Table 2.1 Rainfall runoff ratios for different surface conditions
Daily
rainfall
(mm)
Runoff percentage and yield when the original stage of ground is
Dry Damp Wet
Percentage Yield (mm) Percentage Yield (mm) Percentage Yield (mm)
5 - - 4 0.2 7 0.35
10 1 0.10 5 0.5 10 1.00
20 2 0.40 9 1.8 15 3.00
25 3 0.75 11 2.75 18 4.50
30 4 1.20 13 3.9 20 6.00
40 7 2.80 18 7.2 28 11.20
50 10 5.00 22 11.0 34 17.00
60 14 8.46 28 16.8 41 24.60
70 18 12.61 33 25.10 48 33.60
75 20 15.00 37 27.75 52 41.25
80 22 17.6 39 31.20 55 44.00
90 25 22.5 44 39.60 62 55.80
100 30 30.00 50 50.00 70 70.00
Note : for good or bad catchment add or deduct up to 25 % yield.
Inglis and De Souza’s Formula (1946) :
Inglis and De Souza used data from 53 stream gauging sites in Western India. He studied
catchments in western ghats and plains of Maharashtra, India and gave the following
relationships
Project: Development of Hydrological Design Aids (Surface Water) under HP-II
Document: 2009097/WR/REP-02 July 2010
State of the Art Report Revision: R0
2.1-10 WATER RESOURCES
For ghat areas
R = 0.85 P – 30.5 (6)
For Plains
R = 254
)8.17( PP −
(7)
Where R = runoff (cm)
P = precipitation (cm)
Binnie’s percentages (1872) (taken from Hydrology Part III 1978)
Sir Alexander Binnie measured the runoff from a small catchment (16 km2) near Nagpur
during 1869 and 1872, developed curves of cumulative runoff against cumulative rainfall (for
annual rainfall of 500 to 800 mm) and established percentages of runoff from rainfall. These
percentages have been used in the Madhya Pradesh and Vidarbha regions of Maharashtra for
the estimation of mean annual flow.
Khosla (1949), developed a relationship for monthly runoff:
Rm = Pm – Lm (8)
Lm = 0.48 Tm for Tm > 4.5 0
C (9)
where: Rm = Monthly runoff in cm , Pm = Monthly rainfall in centimeters (cm), Lm = Monthly
losses in centimeters, Tm = Mean monthly temperature of the catchment in o
C. He supplied
provisional values of losses for different temperatures. Annual runoff can be estimated as a
sum of monthly values. Khosla’s formula is indirectly based on the water-balance concept and
the mean monthly temperature is used to reflect the losses due to evapotranspiration. The
formula has been used on a number of catchments in India and is found to give fairly good
results for the annual yield for use in preliminary studies.
UP Irrigation Research Institute (1960) formulae:
Uttar Pradesh Irrigation Research Institute, Roorkee, has developed the following
relationships between runoff and precipitation:
Himalayan rivers
Ganga Basin at Hardwar (23,400 km2
) R = 5.45 P0.60
(10)
Yamuna Basin at Tajewala (11,150 km2
) R = 0.354 P0.11
(11)
Sharda Basin at Banbassa (14,960 sq.km) R = 2.7 P0.80
(12)
Bundelkhand area rivers (in Uttar Pradesh State)
Garai Basin at Husainpur (290 km2) R = 0.58 P −2.8 (13)
Ghori Basin at Ghori (36 km2) R = P −62.3 (14)
Ghaghar Basin at Dhandraul (285 km2) R = 0.38P (15)
Sukhra Basin at Sukhra (15 km2) R = 0.47 P −2.8 (16)
Karamnasa Basin at Silhat (518 km2) R = 0.49 P (17)
where: R is runoff in centimeters and P is rainfall in centimeters.
UPID’s formula.
The Uttar Pradesh Irrigation Department (UPID) developed the following correlation between
rainfall and runoff for Rihand River:
R = P −1.17 P 0.86
(18)
Where: R and P are runoff and rainfall in centimeters.
Project: Development of Hydrological Design Aids (Surface Water) under HP-II
Document: 2009097/WR/REP-02 July 2010
State of the Art Report Revision: R0
2.1-11 WATER RESOURCES
A Rational relationship was developed by Narsimaiya et. Al. (!991) to derive rainfall –runoff
relationship for Subernarekha river basin taking into account antecedent rainfall effect, land
use, elevation and catchment slope.
Kothyari (1995) used data from 31 non-snow fed catchments in India with areas less than
1,515 km2 in the Indian states of Uttar Pradesh, Madhya Pradesh, Bihar, Rajasthan, West
Bengal and Tamil Nadu – to develop a simple method for the estimation of monthly runoff
for the monsoon months of June to October in the following form:
{ }[ ] )()(/)1()1(1)(1)()( 1)(
IPIPIPIKIKIKIR IN
−−−+= −
(19)
where: R(I) = monthly runoff during the Ith month, P(I) = monthly areal rainfall during the Ith
month, K(I) and n(I) are parameters for the Ith month with K(I)<1.0 and n(I)>1.0. The values
of the exponent n(I) were found to vary significantly in Damodar (Bihar), Barakar (Bihar),
Mayurakshi (West Bengal), Chambal (Madhya Pradesh), Lower Bhawani (Tamil Nadu) and
Ram Ganga River (Uttar Pradesh) during any one month and the coefficient K was found to
be related to T, FA and A according to equation given below as it represents the loss from the
total rainfall.
K = 260.9 T-2.02
FA
-0.05
A0.05
where: T is temperature in o
C, A is the catchment area in km2
and FA is the percentage of
forest area. The values computed by the model were then compared with the corresponding
observed values of runoff. This comparison revealed that the proposed method produces
results with an error less than 25% for 90% of the data points. However, an error of less than
50% resulted for the arid catchments from the Chambal Basin (Madhya Pradesh).
References
Inglis, C. C and De souza, “ A critical study of runoff and floods of catchment of the Bombay
Presidency with a short note on loss from lakes by evaporation”, Bombay PWD Technical
paper No. 30 (1930).
Dhir, R. D., P.R. Ahuja and K. C. Majumdar, “ A study on the success of reservoir based on
actual and estimated runoff”, Paper presented at the Research Session of Central Board of
Irrigation and Power, India (1958).
Narasimaiya, M. K. , Upadhyay A, “Computer Applicartion in Hydrology for Runoff
Determination – A Rational Method”, National Seminar on use of Computers in Hydrology &
Water Resources, CWC, 1991.
Jha R., Smakhtin V., “A review of methods for H/ydrological estimation at ungauged sites in
India”, IWMI Working Paper 130
UPIRI (Uttar Pradesh Irrigation Research Institute). 1960. Rainfall-runoff studies for a few
Himalayan and Bundelkhand catchments of Uttar Pradesh TM 30-RR (HY-31).
Inglis, C. C. and de Souza (1946). Meanders and their bearing in river training. Maritime
Paper No. 7, Institution of Civil Engineers, London.
Khosla, A. E. 1949. Analysis and utilization of data for the appraisal of water resources, The
Central Board of Irrigation and Power Journal.
Kothyari, U. C. 1995. Estimation of Monthly Runoff from Small Catchments in India.
Journal of Hydrological Sciences 40: 533-541.
Project: Development of Hydrological Design Aids (Surface Water) under HP-II
Document: 2009097/WR/REP-02 July 2010
State of the Art Report Revision: R0
2.1-12 WATER RESOURCES
2.1.7 Design Practices adopted by State Government for yield estimation in India,
Based on the reports and informations collected from states, it has been observed that the
yield estimation procedures adopted by various states are in confirmation with the Central
Water Commission and Indian Standards guidelines, in general under the constraints of data
availability.
Maharashtra state, Water Resource Department has reported that the yield assessment are
based on 1980 Working Group Recommendations, GOI. PWD Handbook, Government of
Maharashtra, Chapter 19 on Hydrology describes the rainfall, evaporation, transpiration,
Evapotanspiration and discharge measurement related methodologies, regression and
correlation analysis techniques. Data Processing Centre at Nashik are using state of the Art
methods through HYMOS, SWDES and WISDOM in data processing. The procedure of
water availability study involves utilisation of observed gauge discharge / Tank gauge data.
Standard procedures are used in computing basin average rainfall. Naturalization of flow is
made by Water Balance method considering upstream utilizations. The yield series is
developed from rainfall-runoff correlation.
The practices followed by Gujarat Water Resource Department in water availability involve
the following procedures
- Collection and checking of data
- Rainfall – Interpolation and adjustment of missing data
- Naturalization considering upstream utilizations
- Developing regression model for monsoon periods and non monsoon period
- Net yield calculation considering all upstream existing and planned utilizations.
In Himachal Pradesh, small hydroelectric projects as run of the river schemes are developed
which are based on the existing gauge data. In the presence of flow informations available in
the same or nearby homogenous basins, catchment area proportioning method is used. In the
absence of any coefficient based on catchment characteristics is evolved.
The procedure and Criteria followed by State Govt of Rajasthan are:
When the observed runoff data are not available, the yield is computed using Strange’s table.
The Strange’s table gives runoff for good, average and bad catchments and surface conditions
ciz dry, damp and wet prior to the rain.
When the observed runoff data along with the observed rainfall of any nearest G & D site is
available the yield is computed using regression analysis. A relation between observed
monthly rainfall and observed monthly runoff for the G & D site is generated and it is
transposed over the catchment of the project using the rainfall-runoff relationship between
observed rainfall of G & D site and observed rainfall for the project.
The Procedure and Criteria followed by State Govt of West Bengal are :
For extension of streamflow records, the following methods are used:
1. Double Mass curve method
2. Correlation with catchment areas
3. Regression analysis
4. Index-station method
5. Langbeins log deviation method.
For yield assessment of Damodar river basin (19 900 km2
) Dhir, Ahuja and Majumdar’s
Relation is adopted :
R = 13 400P – 5.75 x 105
Where R = Runoff (cm) and P = Precipitation (cm)
Project: Development of Hydrological Design Aids (Surface Water) under HP-II
Document: 2009097/WR/REP-02 July 2010
State of the Art Report Revision: R0
2.1-13 WATER RESOURCES
2.1.8 State-of-the-Art technology developed in various parts of the world and applied in
Indian catchments by various Premier Research Institutes of India
Several flow simulation models available internationally were applied in Indian catchments
by premier research organisations. The results and conclusions are briefly mentioned as :
The ‘Systeme Hydrologique Europeen’ modeling system has been applied to six
subcatchments covering about 15000 km2
of the Narmada basin in Madhya Pradesh, Central
India by J.C.Refsgaard, S. M. Seth, J.C.Bathurst, M. Erlich, B. Storm, G. H. Jorgensen and S.
Chandra (1992) (Refer Appendix D8 for model description and Annex 2.7 for details)
From the application and results obtained from six catchments in India, the authors conclude
that
SHE is able to reproduce the rainfall-runoff process and give a physically reasonable
representation of intermediate hydrological processes for characteristic monsoon
environment.
The data requirement of SHE although high, can be collected from different agencies and
a supplement of field data is desirable for an improved assessment of hydrological
regimes.
Considering the generalized structure and process description, SHE is recommended as
the optical tool only for some types of hydrological problems like a) Rainfall-runoff
modeling for extension of streamflow records from long historical rainfall series, simpler
models will be equally accurate and easier to apply. SHE is therefore not generally
recommended for tackling problems related to prediction of discharge from a catchment.
b) For issues related to effects of man’s activities, land use changes, interaction between
surface and ground water, water management in command area, effects of climate change
etc., SHE is well suited. c) SHE is well suited for water quality and soil erosion modeling.
-----------------------------------------------------------------------------------------------------------------
A Modified SCS-CN Based Hydrologic Model was applied by Dr. S. K. Mishra (Reference :
TR(BR) – 2 / 1999-2000). The model formulation is based on conversion of precipitation to
rainfall excess using SCS-CN method and its routing by single linear reservoir and linear
regression techniques with following assumptions :
• The variation of parameter S was governed by antecedent moisture condition.
• The baseflow was assumed to be a fraction of the infiltration amount.
• The baseflow was routed to the outflow of the basin using lag and route method.
• The parameters of the model was computed using non-linear Marquardt algorithm.
The model was applied to daily rainfall-runoff data of Hemvati catchment and upper
Ramganga catchment of 600 sq km and 3134 sq km area respectively. By study under various
cases of calibration and validation data pattern , the author has concluded that data length of
higher magnitude is required for stability of model parameters. (Refer Annex 2.8 for details)
-----------------------------------------------------------------------------------------------------------------
The modified SCS-CN method has been used for continous modeling for volume of surface
runoff for small agriculture watersheds in Ramganga and Hemvati catchments of India by
S.K.Mishra, V. P. Singh (1999). The modifies version assumes that the initial abstraction
component accounts for surface storage, interception and infiltration before runoff begins.
Therefore, it can take any value from 0 to ∞. The authors concluded that the modified version
of SCS-CN method is more accurate than the existing SCS-CN method.(Refer Annex 2.8 for
details)
-----------------------------------------------------------------------------------------------------------------
A time distributed spatially lumped SCS-CN based runoff method is developed and applied to
seventeen events of Jhandoo Nala watershed in Himalaya affected by mining activities, and
Project: Development of Hydrological Design Aids (Surface Water) under HP-II
Document: 2009097/WR/REP-02 July 2010
State of the Art Report Revision: R0
2.1-14 WATER RESOURCES
seven events of 3F subzone watershed of river Godavary by S.M. Seth, S. K. Mishra
(Reference : Technical Report No TR (BR)-3/1999-2000, National Institute of Hydrology)
(Refer Annex 2.8)
-----------------------------------------------------------------------------------------------------------------
Application of tank model for hydrological studies in India has been limited. 4×4 tank model
for daily analysis was used by Datta (1984) for simulating daily streamflows in two sub-
basins in Central India. Kandaswamy et al (1989) applied tank model for simulation of daily
stream flows in two mountainous rivers in Southern India. Ramasastri (1990) applied of tank
model for a mountainous river in western India. The performance of the model was better due
to the fact that the model is a continuous model and the antecedent conditions were well
represented in the dataset. There was appreciable variation in surface flow and comparatively
less variation in the interflow and sub-baseflow. However, the common conclusion was that
the parameter calibration of the Tank Model is difficult and a very time consuming task.
(Refer Annex 2.9 )
-----------------------------------------------------------------------------------------------------------------
S. M. Seth and P. Nirpama (reference : NIH TR-42 ) developed flow series for four sites in
Mahanadi basin using HEC-4 model. Single, two and three station analysis have been carried
out to identify the best combination of stations for flow generation so that the historical mean,
standard deviation and serial correlation co-efficients are reproduced by the generated series.
It is concluded from the study that there is no difference between simulated results of two
station and three station models. However, the two station model is able to reproduce better
statistical characteristics of historical series than the single station analysis model.
-----------------------------------------------------------------------------------------------------------------
A lumped basin-scale water balance model (named KREC v.2 ) based on Thornthwaite-
Mather water balance accounting procedure was developed by Nandagiri (2002). The model
utilizes inputs of rainfall and potential evapotranspiration and gives continous output of direct
runoff, subsurface runoff, groundwater recharge, baseflow, actual evapotranspiration and total
runoff. (Refer Annex 2.10 )
The KREC model Version 2 was applied to the gauged Gurpur River basin (841 km
2
) located
in the Dakshina Kannada district. separately to each land-use class under each soil group and
streamflow was simulated for the period 1976–1986. An area-weighted streamflow was then
computed by summing the model simulated stream-flows from each category. With a Nash-
Sutcliffe coefficient of 0.92 and correlation coefficient of 0.96 between simulated and
observed flows during the entire period, the model indicates fairly good performance.
-----------------------------------------------------------------------------------------------------------------
A conceptual rainfall-runoff model (named Model E ) developed by R. Khosa in his research
thesis “Long term spatial analysis of Hydrology of a river basin” consists of five parameters
namely; Evapo-transpirative loss parameter for irrigated areas, evapo-transpirative loss
parameter for non-irrigated areas, maximum soil moisture capacity, parameter for partitioning
flow into quick and slow release components and parameter for slow release from ground
water storage.
The total water drained from soil pores, which would be available as runoff is also assumed to
be partitioned into two components namely, quick flow component (QIF) and percolation to
ground water store component (PGW) in this model. The quick flow component is assumed to
be the basin’s immediate response to water application and the percolation component is
assumed to add to the ground water store, from which water is released to the river in
proportion to the available ground water storage.
Model E was applied to sixteen subbasins of Cauvery river basin to simulate runoff on the
river at the outfall. The five parameter model was found suitable for rainfall-runoff modeling
on a monthly basis.
-----------------------------------------------------------------------------------------------------------------
The Soil and Water Assessment Tool (SWAT) model (Arnold et al., 1998) developed by
Agricultural Research Service, Blackland, Texas, USA is a distributed parameter and
Project: Development of Hydrological Design Aids (Surface Water) under HP-II
Document: 2009097/WR/REP-02 July 2010
State of the Art Report Revision: R0
2.1-15 WATER RESOURCES
continuous time simulation model with an Arc View GIS interface (AVSWAT) for the pre
and post processing of data and outputs. (Refer Appendix D and Annex 4.1 for details)
A case study has been taken up in the Bolangir district of Orissa State to demonstrate the
capabilities of SWAT model in generating information that is crucial for implementing
integrated watershed management programme in an effective manner. The efficacy of new
tools to be provided to handle the complexities of the integrated watershed management
philosophy in a scientific manner has been discussed in the paper titled “Swat implementation
for watershed management in india & suggested improvements” by A. K. Gosain, Sandhya
Rao
Under the Project “Water Resource management for Himachal Pradesh” sponsored by the
Council for Science, Technology and Environment, Govt. of Himachal Pradesh undertaken by
INRM Consultants and Technology House Consortium, an integrated approach was
demonstrated through the strength of IT and other latest technological advancements
including SWAT. The project covered two river systems: Indus and Yamuna. While Indus
river system comprises of Sutlej, Beas, Ravi and Chenab, the Yamuna river system comprises
Giri and Pabbar. The application of SWAT has been in developing annual and monthly water
yield for the basins.
Under “Impact Assessment of Climate change on water resource of two river systems in
India”, Jalvigyan Sameeksha Vol 22, 2007 by Gosain, A. K. and Rao, S, a study was
conducted to quantify the impact of climate change on water resources of India using a
hydrological model. Simulation of 12 major river basins have been conducted with 20 years
of data. The paper analyses river basins Godavari and Tapi with their sub-basins in water
yield and drought analysis.
-----------------------------------------------------------------------------------------------------------------
An artificial neural network (ANN), usually called "neural network" (NN), is a mathematical
model that tries to simulate the structure and/or functional aspects of biological neural
networks. It consists of an interconnected group of artificial neurons and processes
information using a connectionist approach to computation. A typical neural network consists
of an input layer, a hidden layer and an output layer. The number of neurons in the input layer
and output layer correspond to the number of inputs and outputs respectively. The number of
neurons in the hidden layer is usually determined by trial and error procedure. The hidden
neurons extract useful information from inputs and use them to predict the outputs. The
mathematical model of a neural network comprises of a set of simple functions linked
together by weights. (Refer Annex 2.11 for details). ANN has been used for continous
simulation of water yield, which are briefly described as follows :
Raman & Sunil kumar (1995) used a feed forward back propagation type ANN to synthesize
reservoir inflow series for two sites in the Bharathapuzha basin, South India. The compared
the performance of ANN model with multivariate autoregressive moving average (ARMA)
models. The results obtained using the neural networks compared well with those obtained
using an statistical model indicating that the network exhibits a potential for a competitive
alternative tool for the analysis of multivariate time series.
Rajukar et al (2002) applied artificial neural network (ANN) methodology to model daily
flows during monsoon flood events for a large size catchment of the Narmada River in
Madhya Pradesh, India. The developed model was shown to provide a systematic approach
for runoff estimation and displayed improvement in prediction accuracy over the other
models.
Sudheer et al (2002) presented a new approach for designing the network structure in an
artificial neural network (ANN)-based rainfall-runoff model. The method utilized the
statistical properties such as cross-, auto- and partial-auto-correlation of the data series in
identifying a unique input vector that best represents the process for the basin, and a standard
algorithm for training. The methodology was validated using data for a river basi in India.
The results of the study were found to be promising and showed the potential of significantly
reducing the effort and computational time required in developing an ANN model
Project: Development of Hydrological Design Aids (Surface Water) under HP-II
Document: 2009097/WR/REP-02 July 2010
State of the Art Report Revision: R0
2.1-16 WATER RESOURCES
Rajukar et al (2004) modeled the rainfall-runoff process by coupling a simple linear model
with the ANN. The study used data from two large size catchments in India and five other
catchments used earlier by the World Meteorological Organization (WMO) for inter-
comparison of the operational hydrological models. The study demonstrated that the adopted
approach for modeling produced reasonably satisfactory results for data of catchments from
different geographical locations, proving its versatility.
Agarwal and Singh (2004) developed Multi layer back propagation artificial neural network
(BPANN) models to simulate rainfall-runoff process for two sub-basins of Narmada river
(India) viz. Banjar up to Hridaynagar and Narmada up to Manot considering three time scales
viz. weekly, ten-daily and monthly with variable and uncertain data sets. The BPANN runoff
models were developed using gradient descent optimization technique and were generalized
through cross-validation. In almost all cases, the BPANN developed with the data having
relatively high variability and uncertainty learned in less number of iterations, with high
generalization. Performance of BPANN models was compared with the developed linear
transfer function (LTF) model and was found superior.
Raghuwanshi et al (2006) developed ANN models, to predict both runoff on a daily and
weekly basis, for a Nagwan watershed of Upper damodar valley. A total of five models were
developed for predicting runoff, of which three models were based on a daily interval and the
other two were based on a weekly interval. All five models were developed with one and two
hidden layers. Each model was developed with five different network architectures by
selecting a different number of hidden neurons. The models were trained using monsoon
season June to October data of five years, 1991–1995 for different sizes of architecture, and
then tested with respective rainfall and temperature data of monsoon season June to October
of two years 1996–1997.
Sharma and Tiwari (2009) developed bootstrap based artificial neural networks using
hierarchical approach of inclusion of inputs for prediction of monthly runoff from upper
damodar valley catchments, India. Best performance was observed for ANN model with
monthly rainfall, slope, coarse sand, bifurcation ratio and Normalized Difference Vegetation
Index (NDVI) as inputs (r = 0.925 and COE = 0.839). The study proposed using the specific
combinations of soil, topography, geomorphology and vegetation inputs for better prediction
of monthly runoff.
-----------------------------------------------------------------------------------------------------------------
2.1.9 Snowmelt Hydrology
2.1.9.1 Introduction
The Indus, Ganges and Brahmaputra river systems receive substantial amounts of melt water
from the Himalaya and are considered as the life-line of the Indian sub-continent. The
majority of rivers originating from Himalayas have their upper catchments in the snow-
covered area and flow through steep mountains. Estimation of the volume of water draining
from the snow and glaciers is needed for effective management of water resources. Despite
their well recognized importance and potential, very few attempts have been made to assess
the contributions in these rivers. Lack of data is a major restriction in categorizing the rivers
which contribute greater proportions of snow and glacier melt runoff.
2.1.9.2 Snowmelt Modeling
Several snowmelt forecasting models have been developed internationally to suit specific
needs and hydrologic conditions. These are either data intensive and / or complex to handle.
Very few models can handle varied hydrologic conditions in general. The popular ones
include SSAR (US Army 1972), SRM (Martinec, 1975), PRMS (Leavesly, 1983), UBC
(Quick et al. 1977) etc.
Project: Development of Hydrological Design Aids (Surface Water) under HP-II
Document: 2009097/WR/REP-02 July 2010
State of the Art Report Revision: R0
2.1-17 WATER RESOURCES
In India some efforts have been made for modeling rainfall-runoff in Himalayan catchments.
Roohani (1986) carried out a detained study for modeling runoff from several subcatchments
in Chenab basin. His model was based on split watershed approach by subdividing it into
permenant snow covered, temporary snow covered and snow free zones. Runoff coefficient
from the above three zones along with two routing coefficients were optimized using least-
square criterion for computing daily flows.
Seth (1983) developed a model for Sutlej basin using pattern search optimization. Singh and
Quick (1993) have applied the UBC model for simulation of flows in Sutluj river. Kumar et al
(1991) applied SRM model to river Beas in Himalayas. Rao et al. (1991) also used SRM
model with some modifications for its application to river Beas. A regression model using
percentage snow covered area of Satluj basin abov Bhakra and seasonal snowmelt runoff was
developed by Ramamorthi (1983; 1987). Ferguson (1985) made a study of Indus rivers in
Himalayas and developed a model using glaciological and climatological factors besides
snow cover area on annual basis. Some of the important findings include:
i) The melt season commences around March in Himalayas and contributions from
snowmelt continue upto September
ii) Simple degree day approach is well suited for typical conditions of data availability
and physical processes in Himalayan basins.
iii) There is a good correlation between snowmelt runoff and snowcover area for
Himalayan basins.
Keeping in view of the data constraints, Rao et al (1996) proposed a simple conceptual
monthly runoff model with relatively few parameters for snow dominated catchments in
Western Himalayas, using the degree day method. The model used monthly rain, snow (snow
water equivalent), mean air temperature and snowline elevation as primary inputs.
Conceptually the model divided the catchment into 3 zones. These include permanent snow
covered zone, temporary snow covered zone and the snow free zone. Each zone is further
subdivided into several elevation bands through the area elevation curve. Flows from the
three zones are integrated (area convolution) and routed through a linear reservoir (Chow
1991) with an optimal storage coefficient K using least square criterion (Rosenbrock
technique) to obtain computed flows. The schematic representation of the model is shown in
Figure 2.1 .
Figure 2.1: Schematic diagram of monthly runoff model.
Project: Development of Hydrological Design Aids (Surface Water) under HP-II
Document: 2009097/WR/REP-02 July 2010
State of the Art Report Revision: R0
2.1-18 WATER RESOURCES
Where,
k = number of elev. bands in perm. snow zone connected in parallel (constant)
(suffix indicates months starting from March to October)
m = no. of elevation bands in temp. snow zone connected in parallel (variable)
n = no. of elevation bands in snow free zone (variable and taken as cumulative sum each
month)
F1 = Flow restricted by lapsed temps. and degree day factors
F2 = Flow restricted by availability of snow pack and degree day factors
F3 = Flow from rainfall using runoff coefficients
All other parameters are estimated through trial simulations. The model was applied to two
sub-catchments of Chenab basin (of Indus river system) producing encouraging results.
Singh et al (1997) estimated the annual contribution of snow and glacier-melt runoff in the
annual streamflow of the Chenab River at Akhnoor for a period of 10 years using the
following water balance approach
Snow + glacier runoff volume = Observed flow volume – (rainfall volume –
evapotranspiration)
Rainfall data from 25 stations were used to compute the total rainfall input to the basin. The
period of October to September were chosen so that the annual snow accumulation and
snowmelt period could be taken into account. Total volume of flow was computed using
discharge data at Akhnoor gauging site using daily discharge measurements. Evaporation
losses were estimated using temperatures and pan evaporation measurements.
Evapotranspiration losses only from the snow-free area were taken into account, considering
that evaporation from rain falling on the snow-covered area and from the snow-covered area
itself is negligible. The maximum and minimum snow covered area in the basin was
determined using satellite imagery (Landsat and IRS) and it was found that on average 70 %
of the area of the basin is covered with snow in March/April which reduced to about 24 % in
September/October. The average snow and glacier runoff contribution to the annual flow of
the Chenab River was estimated to be about 49 percent. The remainder is contributed by
rainfall.
Hydrological studies require the handling of various spatial data for computation of
parameters associated with the hydrological models. Geographical Information Systems (GIS)
is a powerful set of tools for collecting, storing, retrieving, integrating and displaying spatial
data from the real world for a variety of purposes. Jain et al (1998) used SLURP model and
GIS for estimation of runoff in a part of satluj catchment in India. The SLURP model
developed at NHRI, Canada is a distributed conceptual model. The SLURP model divides a
watershed into a number of hydrologically consistent sub-areas known as Aggregated
Simulation Areas (ASAs). The basic requirements of an ASA are that the distribution of
landcovers and elevations within the ASA are known and that the ASA contributes runoff to a
definable stream channel.
The SLURP model applies a vertical water balance to each element of the matrix of ASAs
using the following four nonlinear reservoirs: one for the canopy, one for snowpack, one for a
rapid response store (can be considered as a combined surface storage and top soil layer
storage) and one for slow response store (can be considered as groundwater). The model
routes the precipitation through the appropriate processes and generates outputs (evaporation,
transpiration and runoff) and changes in storage (canopy interception, snowpack and soil
moisture). Runoff are accumulated from each land cover within an ASA using a
time/contributing area relationship for each land class and the combined runoff is converted to
streamflow and routed between each ASA. A simplified flowchart of the vertical water
balance applied to each land class within each ASA is shown in Figure 2.2
Project: Development of Hydrological Design Aids (Surface Water) under HP-II
Document: 2009097/WR/REP-02 July 2010
State of the Art Report Revision: R0
2.1-19 WATER RESOURCES
The model requires three types of data:
‐ Physiographic data such as areas, distances and elevations etc;
‐ Model parameters and coefficients; and
‐ Time series of input data such as precipitation, air temperature, dew point
temperature, radiation and discharge.
Information from Survey of India toposheets was used to prepare a digital elevation model
(DEM) in the study and landuse data were obtained from IRS satellite LISS II sensors. The
simulated flows at Bhakra Dam outlet of the Satluj catchment was computed and found to
compare well with the observed flows. The model results showed that local runoff from
rainfall is a small proportion of the total runoff (including snowmelt) and the improved results
could be expected when the upper portion of the catchment is also included.
2.1.9.3 SWAT snowmelt hydrology
In SWAT, processes related to snowmelt hydrology are basically represented at the sub-basin
level (Fontaine et al., 2002). Each sub-basin generated in SWAT can be divided into 10
elevation bands in order to incorporate temperature and precipitation variations with respect
to altitude (Hartman et al., 1999). For each sub-basin, different lapse rates for precipitation
plaps (mm H2O/km) and temperature tlaps (ºC/km) can be defined, which are then used to
account for the differences in precipitation and temperature (equation (1)) between these
elevation bands:
(1)
where P (mm H2O), T (ºC) and Z (m) are the sub-basin precipitation, temperature and
recording gauge elevation, respectively; while PB, TB and ZB are the adjusted precipitation,
temperature and mean elevation for each elevation band B. The variable dayspcp,yr represents
Fig. 2.2 Simplified flow chart of vertical water balance within each ASA
Modified
Precipitation
Modified
Precipitation
Evaporation Evaporation
Evaporation
Runoff
T > Tc
T ≤ Tc
Modified with satellite cloud cover
Canopy Storage
Snow
Rapid
Storage
Slow
Storage
Modified with
Satellite or Snow
Course data
Snow
Rapid
Storage
Slow
Storage
Project: Development of Hydrological Design Aids (Surface Water) under HP-II
Document: 2009097/WR/REP-02 July 2010
State of the Art Report Revision: R0
2.1-20 WATER RESOURCES
the mean annual number of days with precipitation. The snowpack is represented in SWAT
by means of the variable snow water equivalent SWE (mm H2O), which increases with
snowfall SF (mm H2O) (snowfall occurs if the mean daily temperature is below the critical
temperature SFTMP, ºC) and decreases with snowmelt SM (mm H2O) or sublimation ES (mm
H2O):
(2)
Snowmelt is controlled by the air and snowpack temperature, the melting rate and the areal
coverage of snow. The SM release will be zero until the snowpack temperature exceeds a
threshold temperature TMLT (ºC). The snowpack temperature is a function of the mean daily
temperature during the preceding days and varies as a dampened function of air temperature
(Anderson, 1976). The influence of the previous day’s snowpack temperature on the current
day’s snowpack temperature is controlled by a lagging factor, TIMP, which intrinsically
accounts for snowpack density, snowpack depth, exposure and other factors known to affect
snowpack temperature:
(3)
where Tsnowpack(day) and Tsnowpack(day-1) are the snowpack temperature (ºC) on a given day and on
the day preceding it, respectively, and Tav (ºC) is the mean air temperature for the same given
day. An areal depletion curve (equation (4)) based on a natural logarithm is used in SWAT to
describe the seasonal growth and recession of the snowpack (Anderson, 1976). This curve
requires a threshold depth of snow SNO100 to be defined; areas with a snow depth above this
threshold value will have a permanent snow cover. The threshold depth for permanent snow
cover will depend on a series of factors, such as: vegetation distribution, wind loading of
snow, wind scouring of snow, interception and aspect. The value will be unique to the
watershed of interest:
(4)
where snocov is the fraction of area covered by snow, SNO is the water content of the snow
pack on a given day (mm H2O), SNO100 is the threshold depth of snow at 100% coverage (mm
H2O), and cov1 and cov2 are coefficients that define the shape of the curve. The values used
for cov1 and cov2 are determined by solving equation (4) using two known points: 95%
coverage at 95% SNO100 and 50% coverage at a user-specified fraction of SNO100.
Snow depth over an elevation band is assumed to be constant when the SWE exceeds SNO100;
i.e. the areal depletion curve affects snowmelt only when the snowpack water content is
between zero and SNO100. Snowmelt is calculated as a linear function of the difference
between the average of the snowpack temperature (Tsnowpack) and the maximum air
temperature (Tmax) on a given day and the base or threshold temperature for snowmelt:
(5)
where bmlt (mm H2O/day-°C), is the melt factor for that day.
Project: Development of Hydrological Design Aids (Surface Water) under HP-II
Document: 2009097/WR/REP-02 July 2010
State of the Art Report Revision: R0
2.1-21 WATER RESOURCES
References
Arnold, J. G., Srinivasan, R., Muttiah, R. S. & Williams, J. R. (1998) Large area hydrologic
modeling and assessment – Part I: model development. J. Am. Water Resour. Assoc. 34(1),
73–89.
Jain, S.K., Kumar, N., Ahmad, T. SLURP model and GIS estimation of runoff in a part of
Sataluj Catchment, India. Hydrological Sciences 43 (6), December 1998, 875 – 884.
Kumar, Shashi, V., Haefner, H., and Seidel, K. (1991) Satellite snow cover mapping and
snowmelt runoff modeling in Beas basin, Proceedings of Vienna Symposium, August 1991,
IAHS publ, No. 205, pp. 101-109.
Rao, Mohan N., Bandopadhyaya, B. K., and Vardhan, A. (1991) Snow hydrology studies in
the Beas basin for developing snow melt runoff model, Paper ptd at the annual paper meeting
at Lucknow Institution of Engineers, Jun 1991, UDC 551.491.6.
Rao, S.V.N., Ramasastri, K.S., and Singh, R.N.P. (1996) A Simple monthly runoff model for
snow dominated catchments in western Himalayas, Nordic Hydrology, 27 (4), 1996, 255-
274.
Ramamoorthi, A.S. (1983) Snowmelt runoff assessment and forecasting using satellite data,
Prof of first national Sym. on Seasonal snowcover, SASE, Manali, India, 28 – 30, Apr, 1983
Vol. II, pp 117.
Ramamoorthi, A.S. (1987) Snow cover area (SCA) is the main factor in forecasting snow-
melt runoff from major river basins, Proceedings of the Vancouver Symposium, August 1987,
IAHS Publ 166, pp. 187-197.
Roohani, M. S. (1986) Studies on hydromorphometery and snowmelt runoff using data of
Chenab Catchment, Ph.d Thesis submitted to University of Roorkee, India, pp 21.
Seth, S. M. (1983) Modelling daily snowmelt runoff during premonsoon months for Beas
basin upto Manali. First national symp. on seasonal snowcover, Manali, India, 28 – 30 Apr,
1983, pp 104-115.
Singh, P., Kumar, N., 1997. Impact of climate change on the hydrological response of a snow
and glacier melt runoff dominated Himalayan River. J. Hydrol. .1993, 316-350.
SSAR (1972) Stream flow synthesis and reservoir regulations, US Army Corps of Engineers,
North Pacific, Portland, Oregon.
Project: Development of Hydrological Design Aids (Surface Water) under HP-II
Document: 2009097/WR/REP-02 July 2010
State of the Art Report Revision: R0
2.2-1 WATER RESOURCES
2.2 ESTIMATION OF DESIGN FLOOD
2.2.1 General
Hydrological inputs play a very vital role in planning of any water resources development
project. Hydrological studies are required at all the stages of project formulation,
implementation and operation as follows.
• Pre-feasibility stage,
• Preparation of detailed project report (DPR);
• Planning and design;
• Execution of the project; and
• Operation and maintenance of the facility.
Hydrological studies are usually required to cover the following aspects:
• Resource availability i.e. the assessment of quantities of available water and its time
variation;
• Safety of project in the event of external flood i.e., estimation of design flood
• Life of the project i.e., the assessment of the incoming silt load trapped and its
distribution in the reservoir for estimating the effect on the live storage and the useful
life of the project.
Proper selection of design flood value is of great importance. While a higher value results in
increase in the cost of hydraulic structures, an under-estimated value is likely to place the
structure and population involved, at risk.
2.2.1.1 Objectives of Design Flood Estimation
The objectives of flood estimation may be to provide:
i. The flood peak discharge
ii. The flood volume over specific time period
iii. The flooding arising from a combination of sources
iv. Flooding from a combination of processes
v. The assessment of flood frequency may be required for:
a. Meeting a statutory design standard
b. Meeting non-statutory, institutional design standards and practices
c. Use in investment appraisal for major expenditure on new capital works or asset
renewal
d. Simulation of system risk
2.2.2 Literature Review
2.2.2.1 General
Literature review of most the aspects related to design flood estimation such as previous
practices used in India, Current design flood criteria, Current design flood estimation
approaches in use and the emerging techniques are given in this chapter.
Project: Development of Hydrological Design Aids (Surface Water) under HP-II
Document: 2009097/WR/REP-02 July 2010
State of the Art Report Revision: R0
2.2-2 WATER RESOURCES
2.2.2.2 Previous Practices in India
2.2.2.2.1 Project Categorization
The categorization of minor, medium and major projects is made as under in the country.
Minor Projects Having catchment area up to 2000 ha
Medium Projects Having catchment area between 2000 to 10000 ha
Major Projects Having catchment more than 10000 ha
2.2.2.2.2 Empirical Formulae
The science of hydrology was largely empirical as, physical basis for most quantitative
hydrologic determinants was neither well known nor were data available. During the period
1900-1930, empiricism in hydrology became more evident. During this period hundreds of
empirical formulae were developed in studies by deriving regional values arrived at on the
basis of statistical correlation of observed flood peaks. Some of the commonly used formulae
are summarized in Table 2.2 which are used for design flood of small catchments like Cross
drainage works, Bridges etc.
It will be seen that area of the basin is the only independent variable considered in above
formulae. Also the flood estimated by these formulae does not give frequency as these
formulae cannot be used with any distinction to estimate flood of various frequencies as may
be required by the design criteria to be adopted for different type of structures. Further, these
formulae did not consider rainfall characteristics directly, which, undoubtedly, play a very
important role in any flood formation process. Thus these formulae are not useful for
assessment of peak flood and its hydrograph for large/ important projects where danger to
life/property may be involved. Nevertheless these formulas are generally being used by many
State governments for minor/medium projects with small catchment area up to around 1500
Sq.Km
Table 2.2: Commonly used formulae
Sl.
No.
Name
Formula (in metric
unit)
Region for which applicable
Value of
Co-efficient
1. Dicken
Q= CA3/4
Q in cumecs
A in sq.km.
North Indian plains,
North Indian hilly regions,
Central India,
Coastal Andhra, and Orissa
6
11 to 14
14 to 28
22 to 28
2. Ryves
Q= CA2/3
Q in cumecs
A in sq.km.
Area within 80 km from east coast
Area within 80-160 km from coast
Limited area near hills
6.8
8.5
10.2
3. Inglis
124 A/(A+ 10.4)1/2
Q in cumecs
A in sq.km.
For Maharashtra region
Project: Development of Hydrological Design Aids (Surface Water) under HP-II
Document: 2009097/WR/REP-02 July 2010
State of the Art Report Revision: R0
2.2-3 WATER RESOURCES
2.2.2.2.3 Rational Formula
Attempts were also made to estimate the design flood (which was earlier considered to be the
peak rate of runoff) that would occur due to storm rainfall of a given frequency and specified
duration by use of Rational Formula expressed in terms of the following equation.
Q = 0.278 CIA
Where, Q is the peak discharge in cumec, I is the uniform rate of rainfall intensity for a
duration equal to or greater than the time of concentration in mm/hr, and A is the drainage
area in Sq.Km.
This formula owing to its simplicity is still widely used in many countries including USA and
India especially for small bridges draining small areas and for urban drainage. Intensity of
rainfall can be obtained from Rainfall-Intensity- Duration-Frequency curves, if the
information is available.
2.2.2.3 Current Design Flood Estimation Criteria/Practices
2.2.2.3.1 General
Considerations/practices/criteria for design flood estimation of Indian organizations are given
below. Available state practices are given in Annexure 2.2-1
i. Central Water Commission (CWC)
ii. Bureau of Indian Standards (BIS)
2.2.2.3.2 Central Water Commission (CWC)
i) Manual on Estimation of Design Flood by CWC, 2001
The WMO decisive parameters as explained in section IV was recommended by Central
Water Commission for the decisive parameters of flood estimation and suggested to follow
the methods as given in IS: 11223– 1985 in the CWC manual on page 7 and 8 of “Estimation
of Design Flood” published in 2001, Design Criteria As Per CWC Manual On Estimation Of
Design Flood-2001.
• Flood Parameters
The decisive factor in the determination of a design flood is that feature or parameter of the
flood that can be identified as the major cause of potential damage. The decision as to which
is the most relevant flood parameter for a particular case rests with the planner and the
designer and should be based on engineering analysis of the given situation. The decisive
parameters (WMO 1994) as given in Table 2.3 may be used for guidance.
However, it is to be noted that the decisive parameter for design of dams is decided not by the
absolute magnitude of the storage involved or by the catchment size, but by the order of the
effect of storage on the flood moderation when routed through the reservoir.
• Storage Dams
The criteria for fixing spillway capacity of storage dams, as prevalent in India are covered in
IS: 11223 – 1985, “Guidelines for fixing spillway capacity”. According to these guidelines,
different inflow design floods to be considered for different requirements are:
a) Inflow design flood for the safety of the dam
Project: Development of Hydrological Design Aids (Surface Water) under HP-II
Document: 2009097/WR/REP-02 July 2010
State of the Art Report Revision: R0
2.2-4 WATER RESOURCES
b) Inflow design flood for efficient operation of energy dissipation system
c) Inflow design flood for checking extent of upstream submergence
d) Inflow design flood for checking extent of downstream damage in the valley.
Table 2.3: Decisive Parameters for Various purposes
Sl.
No.
Structure and/ or objectives
Relevant flood
parameters
1.
Culverts, bridges, weirs/ barrages and surplussing
arrangements for small dams
Peak
discharge
2.
Clearance under bridges/ culverts, flood embankments, road/
rail embankments/ formations.
Peak stage
(water level)
3.
Design of flood control reservoirs, and generally for all
cases where the effect of flood storage on flood moderation
can be significant, e.g., for design of spillway capacities and
freeboards on dams.
Flood volume
and flood
hydrograph
4.
Cases where superimposition of several floods must be
considered e.g., flood protection downstream from the mouth
of large tributaries or for reservoir operation during floods.
Flood
hydrograph
shape.
• Inflow Design Flood for the Safety of the Dam
It is the flood for which, when used with standard specifications, the performance of the dam
should be safe against overtopping, structural failure, and the spillway and its energy
dissipation arrangements, if provided for a lower flood should function reasonably well.
The dams are classified according to their size by using the static head (H, measured from
minimum tail water level to the full reservoir level) and the gross storage (S) behind the dam
as given below:
Classification Gross Storage (S) (Mm3
) Hydraulic Head (H) (m)
Small Between 0.5 and 10 Between 7.5 and 12
Intermediate Between 10 and 60 Between 12 and 30
Large Greater than 60 Greater than 30
The classification adopted would be the greater of that indicated by the above two
parameters. The inflow design flood for safety of the dam would be selected on the basis of
the classification of the dam as follows:
Small 100 year flood
Intermediate SPF
Large PMF
Floods of larger or smaller magnitude may be used if the hazard involved in the eventuality
of a failure is particularly high or low. The relevant parameters to be considered in judging
the hazard in addition to the size would be:
i) Distance to and location of the human habitations on the downstream after considering
the likely future developments; and
ii) Maximum hydraulic capacity of the downstream channel at a level at which
catastrophic damage is not expected
Project: Development of Hydrological Design Aids (Surface Water) under HP-II
Document: 2009097/WR/REP-02 July 2010
State of the Art Report Revision: R0
2.2-5 WATER RESOURCES
For more important projects, dam break studies may be done as an aid to the judgement in
deciding whether PMF needs to be used or not. Where the studies or judgement indicate an
imminent danger to present or future human settlements, the PMF should be used. Any
departure from the general criteria as above on account of larger or smaller hazard should be
clearly brought out and recorded.
• Inflow design flood for efficient operation of energy dissipation system
It is a flood, which may be lower than the inflow design flood for the safety of the dam.
When this flood is used with standard specifications or other factors affecting the
performance, the energy dissipation arrangements are expected to work most efficiently. No
damage/ breaches in the breaching section, fuse plug, etc., are contemplated during this flood.
• Design Flood for Upstream Submergence Consideration
This depends on local conditions, type of property and effects of its submergence. For very
important upstream structures like power houses, mines, etc. levels corresponding to SPF or
PMF may be used; for other structures consideration of smaller design floods and
corresponding levels attained may suffice. In general a 25-year flood for land acquisition and
50-year flood for built up property acquisition may be adopted.
• Design Flood for Downstream Submergence Consideration
This depends on local conditions, the type of property and effects of its submergence. For
very important facilities like powerhouses, outflows corresponding to the inflow design flood
for safety of the dam, with all spillway gates operative or of that order may be relevant.
Normally damage due to physical flooding may not be allowed under this condition, but
disruption of operation may be allowed.
• Other aspects to be considered
When a return period flood is used, it is customary to assign limits between which the
estimated value can be said to lie with a certain confidence. A suitable flood value lying
between the estimated value and the upper 95 percent confidence value may be chosen,
depending upon the importance of the structure, reliability of the data used, etc.
• Barrages and Weirs
Weirs and barrages, which are diversion structures basically, have usually small storage
capacities, and the risk of loss of life and property downstream would rarely be enhanced by
failure of the structure. Apart from the damage/ loss of structure the failure would cause
disruption of irrigation and communications that are dependent on the barrage. Existing
practices for deign of barrages and weirs are based on BIS Code, IS: 6966 (Part I) – 1989,
“Hydraulic Design of Barrages and Weirs – guidelines Alluvial reaches”. For purposes of
design of items other than free board, a design flood of 50-year frequency may normally
suffice. In such cases where risks and hazards are involved, a review of this criteria based on
site conditions may be necessary. For deciding the free board, a minimum of 500-year
frequency flood or the standard project flood, may be desirable.
• Diversion Works – Coffer Dams
The existing practice for design of waterways and canal aqueducts is based on IS: 10084 (Part
I) – 1982, “Criteria for design of Diversion Works-Part I Coffer Dams”. The relevant
paragraphs are reproduced below:
Project: Development of Hydrological Design Aids (Surface Water) under HP-II
Document: 2009097/WR/REP-02 July 2010
State of the Art Report Revision: R0
2.2-6 WATER RESOURCES
“The coffer dam being a temporary structure is normally designed for a flood with frequency
less than that for the design of the main structure. The choice of particular frequency shall be
made on practical judgement keeping in view the construction period and the stage of
construction of the main structure and its importance. Accordingly, the design flood is
chosen.
For seasonal coffer dams and the initial construction stages of the main structure, a flood
frequency of 20 years or more can be adopted. For coffer dams to be retained for more than
one season and for the advanced stage of the main structure, a flood of 100 years frequency
may be adopted”.
• Cross Drainage Works
The existing practice for design of waterways and canal aqueducts is based on IS-7784 (Part
I) – 1993, “Code of Practice for design of Cross-Drainage Works”. The relevant paragraphs
are reproduced below:
“Design flood for drainage channel to be adopted for cross drainage works should depend
upon the size of the canal, size of the drainage channel and location of the cross drainage. A
very long canal, crossing a drainage channel in the initial reach, damage to which is likely to
affect the canal supplies over a large area and for a long period, should be given proper
weightage
Cross drainage structures are divided into four categories depending upon the canal discharge
and drainage discharge. Design flood to be adopted for these four categories of cross drainage
structures is given in Table 2.4.
Table 2.4: Design Flood Values
Category of
structure
Canal discharge in
m3
/sec
*Estimated Drainage
Discharge in m3
/sec
Frequency of Design
Flood
A 0-0.5 All discharges 1 in 25 years
B 0.5-15
0-150
Above 150
1 in 50 years
1 in 100 years
C 15-30
0-100
Above 100
1 in 50 years
1 in 100 years
D Above 30
0-150
Above 150
1 in 100 years
As per Note 2
1. The design flood to be adopted as mentioned in this table should in no case, be less than
the observed flood.
2. In case of very large cross drainage structures where estimated drainage discharge is
above 150 cumec and canal design discharge is more than 30 cumec, the hydrology
should be examined in detail and appropriate design flood adopted, which should in no
case be less than 1 in 100 years flood.
Where possible, the discharges determined by different methods mentioned in IS:5477 (Part
4): 1971 should be compared to see if any large variations are exhibited and the most
reasonable value, giving weightage to the one based on observed data, should be adopted.
Where there are cross drainage works already existing on the same drainage channel, full data
regarding the observed flood should be obtained and the new cross drainage works designed,
with such modifications in the design flood as may be considered necessary.
Project: Development of Hydrological Design Aids (Surface Water) under HP-II
Document: 2009097/WR/REP-02 July 2010
State of the Art Report Revision: R0
2.2-7 WATER RESOURCES
To safeguard against unforeseen nature of flood intensities the foundation of the cross
drainage structure should be checked for a check flood discharge of value twenty percent
higher than the design flood given in Table 2.4.
• Road and Railway Bridges
For road bridges, the Indian Road Congress IRC-5:1998, Section I applies. As per this the
design discharge for which the waterway of a bridge is to be designed shall be not less than
50 year return period peak; “shall be discharge from any other recognized method applicable
for that area; shall be the discharge found by the area velocity method; by unit hydrograph
method; and the maximum discharge fixed by the judgement of the engineers responsible for
the design with comparison of above mentioned methods is to be adopted”. For railway
bridges a 50-yr flood is to be used for smaller bridges carrying railways of lesser importance
like minor lines and very important rail lines a 100-yr flood is to be adopted as per the
railway codes (IRS-1963).
• Determination of Design Flood using Envelope Curves
In early fifties, Kanwar Singh and Karpov collected data of various Indian Rivers and drew
two envelope curves one to suit basins of southern India and the other for those of northern
and central India.
The PMF figures for a number of projects estimated by CWC and other organizations during
the period 1980-91 have been utilized for developing envelope curves for PMF peaks. Three
curves were developed as Upper envelope curves, Average line and lower envelope curves.
The curves correspond to the following equations:
Upper envelopes Qu = 1585 A0.35
Average Lne, Qav = 398 A0.425
Lower envelope, Ql = 100 A0.5
Wher Q is PMF in cumecs and A is catchment area in Sq.km.
These curves have been recommended to be used for prioritising the existing large dams for
further detailed investigations for dam safety assurance.
ii) Second Round Table Meet for Designers : Current Design Practices and issues,
Volume I, Basic Theme Paper, 1999
The criteria and procedure for estimation of design flood have undergone some changes
subsequent to the publication of the recommended procedure. The important changes in
respect of design criteria for various hydraulic structures are summarized in the Table-2.5.
With the availability of better computing facility and development of software, the processing
and analysis of data has become easier. As a result, more and more alternatives are attempted
with a view to arrive at the most appropriate result. Further, a number of studies have been
carried out and this has helped in adopting a more rational approach in the analysis of data.
One of the important works carried out in Central Water Commission in this regard is the
publication of Flood Estimation Reports for various sub-zones of the country. These reports
are extensively used in design flood estimation for small and medium basins with inadequate
data conditions. Further, the procedures for design flood estimation have also undergone
changes in light of recommendations of various committees etc. some of the important
changes (which have taken place since the publication of CWC guidelines in the year 1972)
are summarized in Table 2.6.
Project: Development of Hydrological Design Aids (Surface Water) under HP-II
Document: 2009097/WR/REP-02 July 2010
State of the Art Report Revision: R0
2.2-8 WATER RESOURCES
As can be seen from Tables 2.5 and 2.6, there have been significant changes over these years
in the criteria adopted and procedure followed in arriving at the design flood values. It was
felt necessary to revise the publication on the recommended procedures.
It is indicated in the CWC note on current practices that every effort is made to adopt latest
techniques in hydrological analysis in general and for flood estimation in particular with a
view to have the most rational estimate. Access to fast computers and related software has
also been instrumental in application of latest techniques in the analysis. However, a major
problem related to design flood analysis is the inadequacy and/ or inconsistency of data.
Many a times, this situation forces hydrologists to make appropriate assumptions and adopt a
conservative attitude. Tendency for adopting a conservative attitude is more so because the
results of the review studies for design flood in respect of some of the completed project, in
general, indicated an upward revision of the design flood.
Table – 2.5: Comparison of Design Criteria
Recommended Criteria
in Earlier Guidelines
Existing Practice
Reference
for existing
practices
Inflow Design Flood for
Safety of Dams
a. PMF for major &
medium dams with
storage more than
6167 HA-m
b. SPF or 100-year RP
Flood for Minor
dams with storage
less than 6167 Ha-m
Inflow Design Flood for Safety of Dams
a) PMF for large dams (with gross storage > 60 million
cubic meter or hydraulic head> 30m)
b) SPF for intermediate dams (with gross storage between
10 to 60 million cubic meter or hydraulic head between
12 to 30 m)
c) 100 year return period flood for small dams (with gross
storage between 0.5 to 10 million cubic meter or
hydraulic head between 7.5 to 12 m)
Floods of larger or smaller magnitude may be used if the
hazard involved in eventuality of failure is particularly high
or low. The relevant parameters to be considered in judging
the hazard in addition to the size would be:
a) Distance to and location of the human habitations on the
d/s after considering the likely future developments
b) Maximum hydraulic capacity of the d/s channel at a
level at which catastrophic damage is not expected.
IS: 11223
Design of Barrages/ Weir
a) SPF or 100-year RP
flood (whichever is
higher) for permanent
barrages and minor
dams.
b) 50 to 100 year RP
flood for pick-up
weirs according to its
importance and level
conditions.
Design of Barrages/ Weir
a) SPF or 500-year RP flood for designing free board.
b) 50-year RP flood for design of items other than free
board. In such cases where risks and hazards are
involved, a review of this criteria based on site
condition may be necessary.
IS:6966
(Part – I)
Waterways and Canal
Aqueducts
a) 50 to 100 year RP
Waterways and Canal Aqueducts
a) PMF for providing passage for very large cross
drainage works (damage to which is likely to affect
IS: 7784
(Part – I)
Project: Development of Hydrological Design Aids (Surface Water) under HP-II
Document: 2009097/WR/REP-02 July 2010
State of the Art Report Revision: R0
2.2-9 WATER RESOURCES
Recommended Criteria
in Earlier Guidelines
Existing Practice
Reference
for existing
practices
flood for providing
passage in waterways
and canal aqueducts.
b) 100-year RP flood for
design of foundation
and freeboard
canal supplies over a long period).
b) 10 to 25 year RP flood with increased afflux for
designing passage for minor cross drainage works.
c) Design discharge to be increased from 10 to 30% under
different conditions of catchment (percent decreasing
with increase in area) for design of foundation and
freeboard.
Table – 2.6: Comparison of Procedures for Design Flood Estimation
Recommended
Procedures in Earlier
Guidelines
Existing Practice
Reference
for existing
practices
Use of Empirical
Formulae
Dicken’s, Ryves’, and
Inglis Formula were
recommended for use in
basins where sufficient
data available.
Use of Empirical Formulae
Empirical formulae are no more used. Enveloping
curves have been developed and these are used for
very limited purpose of having an overview of the
results of the analysis carried out on the basis of
rational approaches.
Flood Frequency
Analysis
Only Gumbel’s method
was recommended for
use.
Flood Frequency Analysis
Detailed analysis are carried out for checking (a)
consistency of the data, and (b) presence of
features such as trend, jump etc. Thereafter a
number of standard probability distributions (such
as log-normal (2 and 3 parameters), Pearson, Log
Pearson, Gumbel etc.) are applied. The distribution
providing the best fit to the given set of data are
identified on the basis of standard tests. Floods of
specific return periods are estimated with the help
of the distribution providing best fit.
Hydro-meteorological
Approach
Design Storm
a) Duration of design
storm was not
specifically defined
and storm duration
of 1-day, 2-day as
well as 3-day used
to be considered.
b) The rainfall was
increased by 15%
for Clock Hour
corrections to
convert the 1-day
rainfall to 24 hour
rainfall value
Hydro-meteorological Approach
Design Storm
a) Duration of design storm equivalent to base
period of unit hydrograph (in respect of fan
shaped catchment of about 5000 sq.km. and
below) rounded to the next nearest value
which is in multiples of 24 hours and less than
and equal to 72 hours is considered adequate.
For large catchments, the storm duration for
causing the PMF is to be equivalent to 2.5
times the travel time from the farthest point
(time of concentration) to the site of the
structure.
b) Clock hour correction to convert 1-day rainfall
to 24 hour rainfall for point rainfall is taken as
15% subject to a maximum value of 50 mm.
No clock hour correction is required for
catchment above 5000 sq.km.
Recommenda
tions of 1993
workshop
Recommenda
tions of 1993
workshop
Project: Development of Hydrological Design Aids (Surface Water) under HP-II
Document: 2009097/WR/REP-02 July 2010
State of the Art Report Revision: R0
2.2-10 WATER RESOURCES
Recommended
Procedures in Earlier
Guidelines
Existing Practice
Reference
for existing
practices
Moisture Maximization
Moisture maximization
to be carried out as per
the recommendations of
IS:5542
Moisture Maximization
Application of current computational procedures
based on dew points are not fully theoretically
supportable in tropical areas and alternate methods
need to be evolved. Till new procedures are
available and accepted, techniques using dew point
data (as available in India) may continue. Where
dew point data along the moisture path as reflected
in WMO 332, is not available to base estimation of
moisture maximization, a value of 25% for inland
areas and relatively lesser values of 10% for
coastal areas may be adopted. These factors may
be uniformly applied for the total period of the
storm.
Recommenda
tions of 1993
workshop
Temporal Distribution
and Critical Sequencing
The rainfall during the
entire storm period to
be temporally
distributed and arranged
in critical sequence
without any
consideration for bell
like arrangements.
Temporal Distribution and Critical Sequencing
a) It is recommended to present the design
hyetograph in two bells per day. The
combination of the bell arrangement and t he
arrangement of the rainfall increments within
each of the bell shaped spells may be
representing the maximum flood producing
characteristics.
b) The critical arrangement of increment in each
bell should minimize the sudden lull or
sluggishness and maximize the flood peak.
Hence, the arrangement is to be such that the
time lag between peak intensities of two spells
may be minimum. The cumulative pattern of
all the increments in the order of their
positioning should resemble the natural mass
curve pattern as observed by as SRRG of the
project region.
c) While arranging the increments within each
spell as mentioned above, care may be taken
to see that the sum of the consecutive
increments in any t-hour within storm duration
shall not exceed the t-hour areal PMF.
Recommenda
tions of 1993
workshop
Unit Hydrograph
a) Unit hydrograph to
be derived either
from flood events
with isolated peaks
or by using
Collin’s method in
case of flood
events with multi-
peaks.
b) Snyder’s method to
be used for
generation of
synthetic unit
hydrograph.
Unit hydrograph
a) Depending upon the data availability and
characteristics of flood hydrograph etc. unit
hydrograph is derived by using any of the
following techniques:
- simple method of UG derivation from a
flood event with isolated peak
- Collin’s method
- Nash model
- Clark model
b) In case sufficient data are not available, it
becomes necessary to derive synthetic unit
hydrograph. In such a situation, the unit
hydrograph is generally derived by using the
characteristics of the unit hydrographs already
Project: Development of Hydrological Design Aids (Surface Water) under HP-II
Document: 2009097/WR/REP-02 July 2010
State of the Art Report Revision: R0
2.2-11 WATER RESOURCES
Recommended
Procedures in Earlier
Guidelines
Existing Practice
Reference
for existing
practices
c) The peak of the
unit hydrograph to
be increased by 25
to 50 percent.
developed in the same sub-zone and the
characteristics of the respective basins.
Alternatively, the procedure given in flood.
Estimation reports for various sub-zones
published by Central Water Commission is
used for derivation of unit hydrograph. The
Snyder’s method is generally not used.
c) Efforts are made to identify the flood events
resulting from storms having wide spread
rainfall of moderate to high intensity and use
the same for derivation of unit hydrograph.
Further, all other alternatives including the
derivation of unit hydrograph on the basis of
the Flood Estimation Reports for the
concerned sub-zone etc. are attempted. A
specific unit hydrograph is selected for the
purpose of estimation of design flood after
detailed comparison and thorough checks.
In the review of the project hydrology by CWC, it is indicated that change in Design flood
values result due to one or more of following reasons:
a) Use of empirical methods at the time of planning.
b) Revision in the value of the design storm as a result of variability of additional data/
information about severe-most storms from hydro-meteorologically homogeneous
regions,
c) Adoption of a different temporal distribution pattern for the standard project storm or
probable maximum storm etc.
d) Changes in the response function i.e., unit hydrograph as a result of analysis of more
number of flood events or use of improved techniques, and
e) Availability of additional data in respect of observed flood peaks to be used in flood
frequency analysis.
It was therefore felt that the accuracy of estimated hydrological parameters depends on the
quality of hydrological and hydro-meteorological data, network density of the stations and the
length of record used in the study. The quality of data is all the more important in case of
design flood studies because the data observed during the highest flood are considered to be
most useful. On the other hand, it is the time when there is a tendency either to skip the
observations or to make observations without adhering to the standard procedures. The poor
quality of data leads to inconsistency which, many a times forces the hydrologist to abandon
the data. In some cases, observed data for entire period were found to be inconsistent.
The BIS code IS: 11223-1985 very clearly indicates that floods of larger or smaller
magnitude may be used if the hazard involved in the eventuality of a failure is particularly
high or low. It can be assumed that a 10000-year return period flood may be very close to the
probable maximum flood. Similarly, SPF may be considered to be equivalent to a 1000-year
return period flood.
As results of these, developments and further developed in other countries the CWC has
brought fresh manual on Recommended Procedure for Design Flood in 2001. After
deliberations in the workshop, following classification of dams was suggested:
Project: Development of Hydrological Design Aids (Surface Water) under HP-II
Document: 2009097/WR/REP-02 July 2010
State of the Art Report Revision: R0
2.2-12 WATER RESOURCES
Table – 2.7: Consequence Classification of Dams
Consequence
category
Potential Incremental Consequences of Failure
Population
at Risk
Economic and Social
Very high >1,00,000 Very high economic losses affecting infrastructure, public
and commercial facilities in inundation area. Typically
includes destruction of or extensive damage to large
residential areas, concentrated commercial land uses,
highways, railways, power lines and other utilities.
High Between
10,000 to
1,00,000
Substantial economic losses affecting infrastructure, public
and commercial facilities in inundation area. Typically
includes destruction of or extensive damage to concentrated
commercial land uses, highways, railways, power lines and
other utilities. Scattered residences may be destroyed or
severely damaged.
Moderate Between
2,000 to
10,000
Moderate to low economic losses to limited infrastructure,
public and commercial activities.
Low >2,000 Minimal economic losses typically limited to owners
property. Virtually no potential for future development of
other land uses within the foreseeable future.
The recommended inflow design flood for above categories of dams (based on consequence
classification) is recommended as follows:
a) Very high dam – PMF
b) High dam – between 1000-year RP flood (or SPF) and PMF
c) Low dam – between 100-year RP flood and 1000-year RP flood (or SPF)
d) Very low dam – less than or equal to 100-year RP flood
In the conclusion of the above important workshop it was felt that the existing practice of
classifying a dam on the basis of its physical state is quite robust and practicable.
The review indicated that the latest tools for processing and analysis of data for design flood
estimation are available in the country but in most of the cases, the analysis is limited to the
procedure recommended in guidelines. This is more so in case of most of the design offices
of the State Government Departments. There is need for analysis of all the available data with
a view to evaluate all possible alternatives and present various scenarios. In all ideal situation,
the hydro-meteorological as well as probabilistic approach of analysis of data should be
adopted and for a large dam, the probable maximum flood as well as floods of various return
periods, say 10000-year, 5000-year or 1000-year etc. should be estimated. Although, the two
approaches are not comparable specific observations in respect of similarity or otherwise
should appropriately be recorded. Flood frequency analysis should be carried out wherever;
sufficiently long series of flood peak data is available.
iii) Estimation of Design Flood for Small/Medium Catchments
Estimation of design flood peak is generally required for bridges/culverts. It is difficult for
site engineers to wait for observation for discharge data in the river for specific projects.
Recognising the need for evolving the method for estimation of design flood peak, a
Project: Development of Hydrological Design Aids (Surface Water) under HP-II
Document: 2009097/WR/REP-02 July 2010
State of the Art Report Revision: R0
2.2-13 WATER RESOURCES
Committee of Engineers headed by Dr.A.N.Khosla recommended systematic and sustained
collection of hydro meteorological data at selected catchment in different climatic zones in
India. The Committee had recommended maximum flood discharge on record for period not
less than 50 years. As a follow up of these recommended the Central Water Commission had
taken up the project for hydrological design of railways and road bridges across small and
medium streams and suggested adoption of rational formula involving use of design storm
and unit hydrograph for estimation of design flood. Since then considerable data has been
collection and subzone reports prepared using the result obtained by preparation of 23 sub-
zonal reports.
The relationship developed for each subzone, regional flow formulae developed and the
schematic diagram of the different subzones are shown in Tables 2.8, 2.9 and Figure 2.3.
Considerable efforts have gone in preparation of these reports and regional parameters
derived. These studies are considered quite valuable for estimation of design flood peak for
small structures without need for site specific data for each structures which saves time and
efforts. Consultants recommended adoption of these regional equations by state governments.
However care should be taken to see that these regional formulas/equation are not misused
for large areas/structures for which these formulae are not meant. These studies need to be
updated with availability of additional data and under Hydrology-I studies.
The Ministry of Railways and Research Design Organization has also jointly prepared report
on “Flood Estimation Methods for less than 25 sq.km. area.” This is a useful report
containing 50 years frequency, 24 hour rainfall isohyets. It also contains 50 year one hour
rainfall value for most of the subzones as also gives isohyets for 50 year 1 hour rainfall for
each sub zone and ratio of 1 hr to 24 hr rainfall values. The report also gives curves for 50 yr
T hour rainfall to 50 yr in respect of 4 main zones. The report was prepared in March 1990.
The details of the study carried out methodology adopted and etc shall be given in inception
report.
Also annual peak discharge series of large number of dam sites and important gauging
stations will now be available with the CWC and state governments. This could be collected,
compiled and analyzed by appropriate frequency distributions as per procedure described in
this chapter and 2 yr, 10 yr, 50 yr, 100 yr and 1000 yr etc frequency values obtained for
various sizes of catchment. These could be utilized for development of various frequency
parameters and for use in ungauged catchments.
Project: Development of Hydrological Design Aids (Surface Water) under HP-II
Document: 2009097/WR/REP-02 July 2010
State of the Art Report Revision: R0
2.2-14 WATER RESOURCES
Table 2.8: Synthetic UG Relations for Small/Medium Catchments
Sl.
No.
Sub
Zone
tr
(hr)
SUH Parameters
tp qp TB W50 W75 WR50 WR75
1. 1(a) 1 0.257(A)0.409
(S )0 432
2.615(tp)0.893
6.299 (tp)0.612
2.654(qp)0.921
1.672 (qp)0.816
1.245(qp)0.371
0.816(qp)0.339
2. 1(b) 1 0.339 (L/√Se)0.826
1.251(tp)0.610
6.662(tp)0.613
2.215(qp)1.034
1.191 (qp)1.057
0.834(qp)1.077
0.502(qp)1.065
3. 1(c) 1 2.195/ (qp)0.944
1.331/(L/√Se)0.492
3.917(tp)0.990
2.040(qp)1.026
1.250 (qp)0.864
0.739(qp)0.968
0.500(qp)0.813
4. 1(d) 1 0.314(L/√Se)1.012
1.664(tp)0.965
5.526(tp)0.866
2.534(qp)0.976
1.478 (qp)0.860
1.091(qp)0.750
0.672(qp)0.719
5. 1(e) 2 1.858(qp)1.038
2.030(L/√Se)0.649
7.744(tp)0.779
2.217(qp)0.99
1.477 (qp)0.876
0.812(qp)0.907
0.606(qp)0.791
6. 1(f) 6 1.217(qp)1.034
0.409(L/√Se)0.456
16.432(tp)0.646
1.173(qp)1.104
0.902 (qp)1.108
0.736(qp)0.928
0.478(qp)0.902
7. 1(g)
hill
1 1.180(LLc/√Se)0.285
2.097 (tp)0.927
5.583(tp)0.824
1.262(qp)0.828
0.789 (qp)0.711
0.535(qp)0.745
0.382(tp)0.647
8. 1(g)
l i
1 1.883(qp)0.940
0.661 (L/√Se)0.515
12.475(tp)0.721
1.789(qp)0.9211.006
0.895 (qp)1.061
0.552(qp)1.012
0.298(qp)1.012
9. 2(a) 1 2.164(qp)0.940
2.272 (LL/√Se)0.409
5.428(tp)0.852
2.084(qp)1.065
1.028 (qp)1.071
0.856(qp)0.865
0.440(qp)0.918
10. 2(b) 1 2.870 (qp)0.839
0.905 (A) 0.758
2.447(tp)1.157
2.304(qp)1.035
1.339 (qp)0.978
0.814(qp)1.018
0.494(qp)0.966
11. 3(a) 1 0.433 (L/√Se)0.704
1.161 (tp)0.635
8.375(tp)0.512
2.284(qp)1.00
1.331 (qp)0.991
0.827(qp)1.023
0.561(qp)1.0.37
12. 3(b) 1 0.523 (LLc/√Ss)0.323
1.920 (tp)0.780
6.908(tp)0.592
1.830(qp)0.97
0.924 (qp)0.792
0.745(qp)0.725
0.434(qp)0.616
13. 3(c) 1 0.854(LLc/√Ss)0.280
2.009 (tp)0.850
4.840(tp)0.740
2.259(qp)1.080
1.519 (qp)0.990
0.844(qp)1.240
0.583(qp)0.932
14. 3(d) 1 1.757(LLc/√Ss)0.261
1.260 (tp)0.725
5.411(tp)0.826
1.974(qp)1.104
0.961 (qp)1.125
1.150(qp)0.829
0.527 (qp)0.932
15. 3(e) 1 0.727(L/√Se)0.5990
2.020 (tp)0.880
5.485(tp)0.730
2.228(qp)1.104
1.301 (qp)0.960
0.880(qp)1.01
0.540(qp)0.960
16. 3(f) 1 0.348(L/√Se)0.454
1.842(tp)0.804
4.589(tp)0.894
2.353(qp)1.005
1.351(qp)0.992
0.936(qp)1.047
0.579(qp)1.004
17. 3(g) 1 0.353(LLc/√Se)0.45
1.968 (tp)0.842
4.572(tp)0.900
2.300(qp)1.018
1.356 (qp)1.007
0.954(qp)1.078
0.581(qp)1.035
18. 3(h) 1 0.258(LLc/√Ss)0.490
1.017 (tp)0.520
7.193(tp)0.530
2.396(qp)1.080
1.427 (qp)1.08
0.750(qp)1.250
0.557(qp)1.12
19. 3(i) 1 0.553(LLc/√Ss)0.405
2.043(tp)0.872
5.083(tp)0.733
2.197(qp)1.067
1.325 (qp)1.088
0.799(qp)1.138
0.536(qp)1.109
20. 4(a,b,c) 1 0.376(LLc/√Ss)0.434
1.215(tp)0.691
7.621(tp)0.623
2.211(qp)1.07
1.312 (qp)1.003
0.808(qp)1.053
0.542(qp)0.963
21. 5(a,b) 1 1.560(qp)1.0814
0.917(L/√Se)0.4313
7.380(tp)0.7343
1.925(qp)1.0896
1.018 (qp)1.0433
0.578(qp)1.1072
0.346(qp)1.0538
22. 7 1 2.498(LLc/√Se)0.156
1.048(tp)0.178
7.845(tp)0.453
1.954(LLc/√Ss)0.099
0.97(LLc/√Ss)0.124
0.189(W50)17690
0.419(W75)1.246
Project: Development of Hydrological Design Aids (Surface Water) under HP-II
Document: 2009097/WR/REP-02 July 2010
State of the Art Report Revision: R0
2.2-15 WATER RESOURCES
Table 2.9: Regional Flood Formulae for Small/Medium Catchments
Subzone name No.
Coefficients for Q25 Coefficients for Q50 Coefficients for Q100
a b c d e f a b c d e f a b c d e f
Chambal
1
(b)
2.550 0.904 -0.384 0.272 0.960 2.315 0.918 -0.415 0.279 1.010 2.540 0.911 -0.391 0.271 0.964
Betwa 1(c) 0.643 0.838 -0.363 0.560 1.259 0.861 0.831 -0.357 0.520 1.160 0.962 0.868 -0.357 0.520 1.090
Sone 1
(d)
5.613 0.708 0.485 0.178 0.000 6.214 0.701 0.048 0.202 0.000 10.43
7
0.678 0.396 0.145 0.000
Upper Indo-Ganga
Plain-Punjab
1(e) Not available 0.415 0.951 0.446 1.065 0.406 0.251 0.214 0.455 1.197 0.386
Middle Ganga plains –
Gomti, etc.
1(f) Not available 0.559 1.085 0.357 0.789 0.495 0.217 1.049 0.333 1.043 0.424
Lower Ganga Plains 1(g) Not available Not available Not available
North Brahamputra 2 (a) 0.686 0.918 0.314 1.115 0.395 0.199 0.726 0.903 0.313 1.097 0.375 0.192 0.837 0.907 0.310 1.065 0.365 0.204
South Brahamputra
Basin
2(b) 1.919 0.424 0.092 0.379 0.997 0.509 1.137 0.485 0.054 0.611 0.892 0.501 0.516 0.523 0.055 0.929 0.701 0.396
Mahi & Sabarmati 3(a) 1.005 0.978 0.250 1.190 0.618 1.164 0.947 0.242 1.143 0.566 Not available
Upper Narmada and
Tapi
3(C) Not available 2.020 0.860 0.000 0.680 0.130 Not available
Mahanadi Basin 3(d) -0.312 0.906 0.075 1.177 0.070 0.191 0.269 0.643 0.034 1.242 0.029 0.145 0.298 0.879 0.024 1.207 0.005 0.239
Upper Godavari 3(e) 2.967 0.868 0.167 0.760 0.000 0.000 3.317 0.871 0.162 0.718 0.000 0.000 3.569 0.876 0.158 0.717 0.000 0.000
Lower Godavari 3(f) 0.578 0.921 0.246 1.380 0.536 0.821 0.960 0.231 1.248 0.578 1.642 0.963 0.207 1.027 0.558
Krishna 3(h) 0.429 0.733 0.000 1.426 0.272 -0.264 1.694 0.753 0.000 0.934 0.338 -0.304 8.335 0.794 0.000 -0.422 0.313 0.416
East Coast 4(abc) 1.899 0.853 0.206 1.317 0.312 0.455 1.854 0.847 0.199 1.308 0.335 0.394 1.887 0.862 0.199 1.266 0.297 0.438
Konkan and Malabar
Coast
5(a)
&(b
)
0.649 0.785 0.306 0.950 0.143 0.933 0.757 0.287 0.874 0.123 0.717 0.793 0.310 0.912 0.140
Lower Narmada and
Tapti
3(b) Not available 0.050 0.002 1.120 0.050 0.210 0.580 Not available
Project: Development of Hydrological Design Aids (Surface Water) under HP-II
Document: 2009097/WR/REP-02 July 2010
State of the Art Report Revision: R0
2.2-16 WATER RESOURCES
Figure 2.3: Sub-Zonal Map of India for Small/Medium Catchments flood studies
Project: Development of Hydrological Design Aids (Surface Water) under HP-II
Document: 2009097/WR/REP-02 July 2010
State of the Art Report Revision: R0
2.2-17 WATER RESOURCES
2.2.2.3.3 BUREAU OF INDIAN STANDARDS (BIS)
i) As per IS: 5477 (Part IV) – 1971
• Major and Medium Reservoirs
In the design of spillways for major and medium reservoirs (with storage more than 6000
hectare metres) the maximum probable flood should be used. The maximum probable flood is
estimated from the maximum probable storm applying the unit hydrograph principle.
In such cases the design flood to be adopted for major structures should have a frequency of
not less than once in 1000 years. Where annual flood values of adequate length are available,
they are to be analyzed by Gumbel’s method and where the data is short, either partial
duration method or regional frequency technique is to be adopted as a tentative approach and
the results verified and checked by hydrological approaches. Sometimes when flood data is
inadequate, frequency analysis of recorded storms is made and the storm of a particular
frequency applied to the unit hydrograph to derive the flood; this flood usually has a return
period greater than that of the storm.
• Barrages and Minor Dams
In the case of permanent barrages and minor dams with less than 6000 hectare metres storage,
the standard project flood or a 100 year flood, whichever is higher is to be adopted.
For pick up weirs a flood 50-100 years frequency should be adopted according to its
importance, and level conditions.
• Design Flood
The design flood, also known as Inflow Design Flood (IDF) is the largest flood that is
selected for design or safety evaluation of the structure. The value of the design flood should
increase with increasing consequences of the failure of the structure. Therefore, in the
simplest way, design flood may be defined as the “flood adopted for design purpose”. It may
be the Probable Maximum Flood or the Standard Project Flood or a flood corresponding to
some desired frequency of occurrence depending upon the standard of security that should be
provided against possible failure of the structure (BIS, 1971).
• Probable Maximum Flood (PMF)
It is the flood resulting from the most severe combination of critical meteorological and
hydrological conditions that are reasonably possible in the region, and is computed by using
the maximum probable storm which is an estimate of the physical upper limit to storm
rainfall over the basin. This is obtained from storm studies of all the storms that have
occurred over the region and maximizing them for the most critical atmospheric conditions
(BIS, 1971).
• Standard Project Flood (SPF)
It is the flood resulting from the most severe combination of meteorological and hydrological
conditions considered reasonably characteristic of the region. The SPF is computed from the
standard project rainfall over the basin in question and may be taken as the largest storm
observed in the region of the basin. It is not maximized for the most critical atmospheric
condition but it may be transposed from an adjacent region to the watershed under
consideration (BIS, 1971).
iii) As per IS: 11223– 1985
Project: Development of Hydrological Design Aids (Surface Water) under HP-II
Document: 2009097/WR/REP-02 July 2010
State of the Art Report Revision: R0
2.2-18 WATER RESOURCES
• Storage dams
The different inflow design floods to be considered for different requirements are:
i. Inflow design flood for the safety of the dam
ii. Inflow design flood for efficient operation of energy dissipation system
iii. Inflow design flood for checking extent of upstream submergence
iv. Inflow design flood for checking extent of downstream damage in the valley
The dams are classified according to their size by using the static head (H), measured from
minimum tail water level to the full reservoir level) and the gross storage (S) behind the dam
as given below.
Criterion for selection of Design Flood
Classification
Gross storage
(S) Mm3
Hydraulic head at
FRL (H) (m)
Inflow design flood
Small 0.5-10 Between7.5 and 12 100 year flood
Intermediate 10-60 Between12 and 30 Standard Project Flood
Large > 60 > 30 Probable Maximum Flood
Floods of larger or smaller magnitude may be used if the hazard involved in the eventuality
of a failure is particularly high or low. The relevant parameters to be considered in judging
the hazard in addition to the size would be:
• Distance to and location of the human habitations on the downstream after considering
the likely future developments.
• Maximum hydraulic capacity of the downstream channel at a level at which
catastrophic damage is not expected.
For more important projects, dam break studies may be done as an aid to the judgement in
deciding whether PMF needs to be used or not. Where the studies or judgement indicate an
imminent danger to present or future human settlements, the PMF should be used. Any
departure from the general criteria as above on account of larger or smaller hazard should be
clearly brought out and recorded.
2.2.2.4 DESIGN FLOOD ESTIMATION APPROACHES
The commonly used design floods estimation approaches which are currently in use are
i. Flood Formulae
ii. Probabilistic/Statistical
iii. Hydrometeorological
iv. Regional Flood Frequency
2.2.2.4.1 Flood Formulae
A number of empirical flood formulae have been developed by various states/scientists for
local/regional use. When long term and short term rainfall and runoff records are not
available the design flood is obtained using these formulae. The value obtained from these
can only be used for preliminary estimates for small catchments. The formulae developed are
Dicken’s, Ryve’s, Nawab Jung Bahadur , W P Creager’s, Jarvis f, Modified Myer’s,
Project: Development of Hydrological Design Aids (Surface Water) under HP-II
Document: 2009097/WR/REP-02 July 2010
State of the Art Report Revision: R0
2.2-19 WATER RESOURCES
Dredge/bridge, Pettis, Boston society of Civil Engineers’, Rational formula etc. Some of the
important formulae are given in Annexure: 2.2-2
Envelope Curves
The envelope curves as shown in CWC manual 2001 may need to be revised with additional
data available. The updated curves will form a part of hydrological Aids.
2.2.2.4.2 Probabilistic/Statistical Approach (Index Flood Method)
Generally flood frequency approach is adopted in case data of peak floods are available for
large of period of record. Sometimes if it is not possible to undertake hydro meteorological
study for estimation of design flood/PMF or even structures of comparatively lesser
important/damage potential and when discharge data of a gauging station in upstream,
downstream or adjacent basin are not available, this out annual peak discharges or partial
duration series. The frequency analysis approach is resorted. In many developed countries,
and in India, this approach has been practiced for more than 40 years.
The main steps involved in Probabilistic approach are,
i. Data Processing
ii. Parameter Estimation for different distributions (Normal, Lognormal, Pearson III,
Log Pearson III, Gumbel and GEV) using Method of moments, method of maximum
likelihood, Probability weighted moments and L-moments approach
iii. Goodness of fit tests to find the best fit distribution
iv. T-year flood calculation using the selected best fit distribution
v. Graphic representation of original series and selected distribution with its confidence
bands
The detailed procedures are given in Annexure: 2.2-3.
Parameter Estimation Techniques
Four best used parameter estimation techniques were identified ie.,
i. Method of moments
ii. Method of Maximum likelihood
iii. Probability Weighted Moments
iv. L-moments Method
Detailed methodologies of these methods are given in Annexure 2.2-3
Goodness of fit tests
Four identified goodness of fit tests are proposed to be included in the Hydrological aids.
They are,
i. Chi-Square
ii. Kolmogorov Smirnov Test
iii. Cramer Von Mises
iv. Andersen Darling Criteria
Detailed procedures of these methods are given in Annexure 2.2-3. And a comparative study
of these models and their applicability is shown in Table 2.10
Project: Development of Hydrological Design Aids (Surface Water) under HP-II
Document: 2009097/WR/REP-02 July 2010
State of the Art Report Revision: R0
2.2-20 WATER RESOURCES
Table: 2.10 Comparison of Goodness of fit Tests
Sl
No
Test
Name
Applications Advantages Disadvantages
1 Chi-
Square
This test has a very
general applicability.
Applied to binned data
It can be applied to any univariate distribution for which you
can calculate the cumulative distribution function.
Widely used all over the world
This test is not valid for small samples, This test cannot
applied if the countings per bin are lower than five
It generality gives to it very little power.
This test is sensitive to the choice of bins. Application in
binned data requires careful treatment.
There is no optimal choice for the bin width (since the
optimal bin width depends on the distribution)
2 Kolmogor
ov
Smirnov
Test((KS)
The K-S test is
distribution free in the
sense that the critical
values do not depend
on the specific
distribution being
tested.
This test can be applied in any case (binned/unbinned data).
The K-S test does not require any minimum value for expected
frequencies and can be used with relatively small sample sizes.
This test is satisfactory in case of symmetric or right-skewed
distributions.
This test is one of the much powerful
An attractive feature of this test is that the distribution of the K-
S test statistic itself does not depend on the underlying
cumulative distribution function being tested
Another advantage is that it is an exact test (the chi-square
goodness-of-fit test depends on an adequate sample size for the
approximations to be valid)
1. It only applies to continuous distributions.
2. It tends to be more sensitive near the center of the
distribution than at the tails.
3. Perhaps the most serious limitation is that the
distribution must be fully specified. That is, if location,
scale, and shape parameters are estimated from the data,
the critical region of the K-S test is no longer valid. It
typically must be determined by simulation.
3 Cramer
Von
Mises
(CvM)
The test derives from
Kolmogorov statistics
and its applicability
rules are based on
Kolmogorov theorem.
Based on squared error function
An alternative to KS Test
This test can be applied only on unbinned data.
4 ADC The Anderson-Darling
test (Stephens, 1974)
is used to test if a
sample of data came
from a population with
a specific distribution.
It is basically an improved KS test.
This has the advantage of allowing a more sensitive test
Gives more attention to tails
Restricted to continuous distributions.
Critical values must be calculated for each distribution.
Project: Development of Hydrological Design Aids (Surface Water) under HP-II
Document: 2009097/WR/REP-02 July 2010
State of the Art Report Revision: R0
2.2-21 WATER RESOURCES
2.2.2.4.3 Hydrometeorological Approach
In the Hydrometeorological Approach, attempt is made to analyze the causative factors
responsible for production of severe floods. Even though many of the components elude
precise physical definition, the method is found to be very convenient and sufficiently
accurate for practical purposes. The design flood computation mainly involves estimation of a
design storm hyetograph and derivation of catchment response function. The catchment
response function used can be either a lumped system model or a distributed lumped system
model. In the former, a unit hydrograph is assumed to represent the entire catchment area and
in the distributed model, the catchment is divided into smaller sub-regions, and the unit
hydrographs of each sub-region applied with channel and/or reservoir routing will define the
catchment response. The main advantage of this method is, it gives a complete flood
hydrograph and this allows making a realistic determination of the moderating effect while
passing through a reservoir or a river reach. The method has certain limitations also such as
requirement of long term Hydrometeorological data, knowledge of rainfall process etc.
Hydrometeorological approach preferably based on site specific information is suggested for
the estimation of design flood of intermediate and large dams, especially when the storage
has a significant effect on modifying the design flood hydrograph as it flows through the
reservoir. In this approach probable maximum storm or SPS for the same is usually given by
India Meteorological Department so far.
The main steps in determining PMF and SPF as described are,
i. Determination of response function of the Basins/Sub-basins
ii. Storm analysis of extreme storms to determine PMP and SPS
iii. Computation of flood hydrograph
The detailed procedures are given in Annexure: 2.2-4.
Design Storm
Design storm determination is the most important part of the Hydrometeorological approach.
The design storm can be a SPS or PMP or a T-Year storm. The step by step procedures
involved in design storm derivation are shown below.
Project: Development of Hydrological Design Aids (Surface Water) under HP-II
Document: 2009097/WR/REP-02 July 2010
State of the Art Report Revision: R0
2.2-22 WATER RESOURCES
The detailed procedures of each step are described in Annexure 2.2-4
Routing
When we apply Hydrometeorological approach for large catchments larger than 5000 Km2
. it
is often necessary to subdivide the catchments suitably and route the flood through stream or
through reservoir for various applications and planning. The recognized methods of flood
routing are reservoir routing and streamflow routing. The reservoir routing is used for fixing
flood storage capacities in reservoirs and spillway capacities for large dams. The streamflow
routing is resorted to for design flood protection works and real time flood forecasting.
Normally used routing methods are hydrologic routing and hydraulic routing. The hydrologic
method essentially employs continuity equation. For streamflow routing the readymade
softwares are available like HEC-HMS, HEC-RAS etc.
2.2.2.4.4 Regional Flood Frequency Analysis
If the annual flood peak discharge series of a site is not available but annual peak values of
different sites in the region are available then Regional flood frequency approach can be used
for estimation of Design Flood for ungauged basins or sites.
Emerging Techniques in Estimation of Design Flood by Regional Flood Frequency
Analysis Using L-Moments Approach
• R. Kumar et al (2003) derived Regional flood formulas using L-moments for small
watersheds of Sone subzone of India. In this case study, regional flood formulae are
developed based on the L–moments approach for estimation of floods of various return
periods for the gauged and ungauged watersheds of Sone Subzone of India. Annual
maximum peak flood data for 12 stream flow gauging sites lying in the Subzone 1(d) are
available for the study. The watershed areas of these gauging sites vary from 34 to 1658
km2, and the total geographical area of the Sone Subzone 1(d) is 1,28,900 km2. Annual
data records, ranging from 13 to 33 years, were available for the gauging sites.
Project: Development of Hydrological Design Aids (Surface Water) under HP-II
Document: 2009097/WR/REP-02 July 2010
State of the Art Report Revision: R0
2.2-23 WATER RESOURCES
The various frequency distributions: viz. Extreme value (EV1), General extreme value
(GEV), Logistic (LOS), Generalized logistic (GLO), Normal (NOR), Generalized normal
(GNO), Uniform (UNF), Pearson Type–III (PE3), Exponential (EXP), Generalized
Pareto (GPA), Kappa (KAP), and five parameter Wakeby (WAK) were used in the
analysis. Parameters of the distributions were estimated using the L–moments approach.
GEV distribution was identified as best fit distribution for the zone using discordancy
measure. Formula relating QT with the area of the catchment was obtained. The regional
formulae by GEV distribution can be considered for the sub zone region 1(d) till further
data are available.
• A similar study was conducted Brahmaputra sub basin by Rakesh Kumar and
Chandranath Chatterjee in 2005 and found that GEV is the robust distribution for this sub
zone too.
The identified commonly used methods for Regional flood frequency analysis are,
1. USGS Method
2. Pooled Curve Method
3. Analytical Method
4. L-moments Approach
The detailed procedures of each of these methods are given in Annexure: 2.2-5
2.2.2.5 Estimation of Snowmelt Contribution
Comparison of snowmelt runoff models in Table 2.11 which indicates type of model whether
lumped or distributed processes considered, no of model parameters required and minimum
time step. Considering that the data availability in Indian condition is scanty, the SRM model
may be considered suitable. This needs only 7 parameters. There was a proposal to consider
HYSIM model also from UK Water Resources Associates Ltd. However further examination
revealed that the model is useful for long term rainfall and PET data to produce long term
flow records, flow naturalization, studying the effects of climate change, flood studies etc.
The output can be in in the form of overland flow, impermeable area runoff, snow storage,
soil moisture storage, interflow, groundwater recharge, ground water storage etc. These
parameters may not be easily available.
The SRM model can be applied in mountainous basins of any size upto around 10 lakh km2
at any elevation range from 0 to 8000 above MSL. The data requirement for the model is,
Area-Elevation curve of the basin, Basin Characteristics, Precipitation and Runoff data
Briefly SRM model can be used for, Simulation of daily flows in snowmelt season, Short
term seasonal runoff forecast and Evaluation of potential effect of climate change on the
seasonal snow cover and runoff.
The performance studies have been conducted on the snowmelt model runoff performance
wherein performance of available models in simulating seasonal or annual snowmelt runoff
has been evaluated by the test conducted by WMO in 1986 using coefficient R2 and %
deviation in total runoff volumes. Although the HBV, SRM, SSARR, PRMS and NWSRFS
were compared and the results were generally found within acceptable range however SRM
model appears to have given more results, and needs 7 parameter input, is a Degree day
model and may be easily adoptable under Indian conditions.
Project: Development of Hydrological Design Aids (Surface Water) under HP-II
Document: 2009097/WR/REP-02 July 2010
State of the Art Report Revision: R0
2.2-24 WATER RESOURCES
Hec-Hms is next generation software for precipitation runoff simulation and supersedes
HEC-1 software. The capabilities include watershed runoff, routing, snow accumulation and
melt flow and frequency analysis. This model can also be used to get the snowmelt
contribution. The model however needs 9-13 parameters including PX temperature, Base
temperature, Wet meltrate, Rain rate limit, ATI-meltrate coefficient, Cold-limit, ATI-coldrate
coefficient, Water capacity, Groundmelt etc. It may be difficult to get some of these
parameters under Indian conditions. As such it is considered desirable to use SRM model for
the purpose as hydrological Aid.
The hydrologic implications for flood due to snow are very complex and in absence of proper
snow recording data it is rather difficult to evaluate the snow melt contribution to runoff.
Since no detailed studies have been carried out for snowbound catchments in India, in
absence of catchment specific snow melt studies, the equation recommended by WMO is
used. As per WMO – No. 168, equation for heavily forested areas adapted from the U.S.
Army Corps of Engineers for snow/glacier melt due to rain is given below:
M = (0.3+0.012 x P) x T + 1.0
Where,
M = Daily snow melt in millimeters
P = Daily rain in millimeters
T = Mean daily temperature in 0
C
Project: Development of Hydrological Design Aids (Surface Water) under HP-II
Document: 2009097/WR/REP-02 July 2010
State of the Art Report Revision: R0
2.2-25 WATER RESOURCES
Table 2.11 Comparison of snowmelt Runoff models
Sl
No
Model Data Inputs
Degree day or
Energy budget
Lumped or distributed Process considered
Model
parameters
Minimum
Time step
1
NWSRF
S
Ta, P, u
DD, except
during rain
Lumped, but with a snow-cover
depletion curve
Cold content, snow temp.,
liquid routing, rain-on-snow
13 6 hr
2 SRM
Ta, P, and cloud cover for
modified version
DD
Semi-distributed, snow-cover
data by elevation zones
Ripening date specified,
seasonal adjustments
7 Daily
3 PRMS
Ta, P, incoming solar or
cloud cover; or complete
meteo. data
DD or EB
Distributed by hydrologic
response units; two snowpack
layers; elevation, slope and
aspect and forest effects
Snow temp., cold content,
Rain-on-snow
10
1 min in
storm mode,
daily
otherwise
4
HBV-
ETH
Ta and P, monthly potential
evapotranspiration
DD Semi-distributed
Parameters adjusted for
slope/aspect, forest effects
11-20,
varies with
version
Daily
5 SSARR Ta, P, evapotranspiration DD
Lumped or semi distributed with
elevation zones
Same as NSRFS plus
interception losses
15 0.1 hr
6 SHE
Ta and P or complete
meteorological data
DD or EB Distributed grid network
Interception losses, liquid
routing, cold content, full
forest effects
>50 0.1 hr
7
HEC-
HMS
PX temperature, Base
temperature, Wet meltrate,
Rain rate limit, ATI-meltrate
coefficient, Cold-limit, ATI-
coldrate coefficient, Water
capacity, Groundmelt etc
DD or EB Lumped 9-13 1 min
Project: Development of Hydrological Design Aids (Surface Water) under HP-II
Document: 2009097/WR/REP-02 July 2010
State of the Art Report Revision: R0
2.2-26 WATER RESOURCES
2.2.2.5.1 GLOF
In the past two decades their have been a number of glaciers like Lake Outburst floods.
Increase in melting of glacier has left many glacier lakes. A GLOF is caused when the glacier
lakes burst there banks and cause wide spread floods resulting in havoc to life flora and fauna
of a d/s area and damage to infrastructure in the region. Himalaya regions in India have
suffered many glacial lake outbursts. Factors contributing to the hazard risk of Moraine
damage glacial lake include:
• Large lake volume
• Narrow & High Moraine dam.
• Stagnant glacier ice with in the dam.
• Limited free board between lake level and crest of the Moraine ridge.
Potential outburst flood triggers include avalanche displacement waves from calving glaciers,
hanging glaciers, rock falls, settlements, piping within the dam, melting of ice core and
catastrophic glacial drainage in to the lake from sub-glacial are supra-glacial lakes.
In view of above it has now been practice to consider GLOF in many countries including
India, while planning designing and constructing any infrastructures special water resources
projects. The process involves identification of potentially dangerous glacial lakes based on
records of past events, field observation, geomorphological and geotechnical characteristics
of lakes have also been used. One such study has been done by Central water Commission for
Punatasangchhu Hydro-Electric Project in Bhutan.
Glacial lakes are like natural water reservoirs dammed by ice or moraines. Glacier lake dams
consisting of unconsolidated material are prone to failure and may cause disastrous surges of
water heavily charged with debris. Sudden, large river flow caused by an outburst of a glacier
lake is generally termed glacier lake outburst flood or GLOF. "Glacier floods represent in
general the highest and most farreaching glacial risk with the highest potential of disaster and
damages" (Richard/ Gay 2003)
Many Himalayan rivers originate from glaciers. These are subject to catastrophic process
GLOF. And unpredictable and may cause serious loss of life and much damage to property.
They are sudden. Many countries of the Himalayan region have experienced a number of
GLOF events. Consideration of potential glacier lake outburst floods (GLOF) is, therefore, of
essential importance for the design of river engineering structures located downstream of
hazardous glacier lakes.
Causes of GLOF
Causes of GLOF include ice avalanches, rock falls, melting of ice cored moraine dams. The
outburst may be caused by the failure of the damming moraine due to its own instability or
glacier and/or snow collapse into the lake and may lead to overtopping and eventually to
failure of the damming barrier. Many a times when the glacial melt rates are high the melt
water feeding the ice damned lakes may fill it upto the point of hydraulic displacement.
GLOF Events
Several GLOF events have been recorded in Tibet, Nepal and Bhutan and some mountain
regions of India. Thirty five destructive GLOF events have been recorded in the upper Indus
river system in the past 200 years. A GLOF event of August 1929 in the Indus river system
Project: Development of Hydrological Design Aids (Surface Water) under HP-II
Document: 2009097/WR/REP-02 July 2010
State of the Art Report Revision: R0
2.2-27 WATER RESOURCES
had extended 1300 km downstream and was reported to have recorded a discharge of 15000
cumecs.
Many floods in Nepal have originated in Tibet and similarly, floods from Nepal do not
respect national boundaries and have the potential to run into India and even Bangladesh.
Many of the rivers of the Indus and Ganga originate from Tibet and Nepal. Six GLOF events
during 1935 - 1981 in Tibet were reported to have caused damages in the Koshi river basin
area.
Impact of Climate Change
Climate change and retreating glaciers constitute a major hazard in the Himalayas. The most
significant glacial hazards relate to the catastrophic drainage of glacial lakes (Richardson and
Reynolds 2000). The phenomenon of GLOFs illustrates the possible impacts of global
climate change on the local level. With rising temperatures, many big glaciers have melted
rapidly and resulted in a large number of glacial lakes. On average, air temperatures in the
Himalayas are 1°C higher now than in the 1970s, rising by 0.06 °C per year (Shrestha et al,
1999).
GLOF Studies
Studies by Meon and Schwahz (1993) have shown that the maximum GLOF discharge at the
Upper Arun dam site in Nepal is 6300 cumecs about one and half times the PMF 4400
cumecs and three times the spillway design flood of 2100 cumecs (1000-year flood) selected
for the concrete structure of the run-of-river dam. DAMBRK model has been used to simulate
the GLOF
Bajracharya et al ( 2007) made an attempt to use a hydrodynamic model coupled with geo-
informatics for pre-processing and post-processing of data to simulate GLOF impact in
Himalayan catchments. NWS-BREACH (NWS 1991) was used to simulate the outburst
hydrographs. The model is based on coupling the conservation of mass of reservoir inflow,
spillway outflow, and breach outflow with the sediment transport capacity of the unsteady
uniform flow along erosion-formed breached channel. The results have shown that such
studies can be a cost effective means of obtaining preliminary information on the extent and
impact of possible GLOF events in areas like Sagarmatha, where detailed fieldwork is
difficult and expensive. The model outputs also provide information on flood arrival time,
discharge, and depth, which is important for devising early warning systems.
Using the Dam Break and HEC Ras models possible extension of debris flow, flood depth
and time travel of the debris and nature of flood propagation in the downstream was derived
from the hydrodynamic modeling. The spatial distribution of the flood was analysed by
preparing inundation maps for the high flood level along the river The analysis helps to
estimate the arrival time of the flood, which is useful in reducing the GLOF risk.
Mitigation of GLOF Damage
The most permanent, safe and cheap methods for mitigation work is needed, which is
possible by safe breaching moraine dams before the settlements begin with the safeguard of
many check dams and an earth dam at stable and narrow river valley downstream of the lake
for new reservoir This will not only reduce the GLOF risk but also can be helpful in
Project: Development of Hydrological Design Aids (Surface Water) under HP-II
Document: 2009097/WR/REP-02 July 2010
State of the Art Report Revision: R0
2.2-28 WATER RESOURCES
managing the water resources for the hydropower, water supply for drinking and irrigation
etc. which will improve the livelihood of the mountain people.
Almost all of the dangerous and growing glacial lakes are situated at remote and high
altitudes of rugged terrains with harsh climatic conditions. Hence to carry out the physical
mitigation works on these lakes are expensive and impractical, but awareness and adaptation
measures can be carried out to reduce the GLOF risk.
In the Indian part of Himalayas there were no control structures on any of the glacial lakes.
Also no GLOF monitoring and GLOF early warning systems exist. The risk to life and
property in the event of a major GLOF is very high.
Concluding Remarks
The immediate impact of fast and continuous retreat of glaciers is the proliferation of moraine
dammed glacial lakes. The continuous growth of the lake ultimately leads to the breaching of
the moraine dam with catastrophic GLOF. The Himalayas had already experienced many
GLOF events with continuous erosion and instability of slopes consequently threatening
settlement.
The rapid growing glacial lakes will most likely pose danger in the future and therefore it is
vital that these glaciers and glacial lakes are monitored for the sound management of water
resources and disaster risk reduction. Instead of constructing physical mitigation structure on
the unstable moraine and earthquake prone zone, it will be more feasible to create awareness
for the adaptation and safe breaching of the moraine dam. However, the phenomenon is a
challenge with limits imposed by the higher altitude, rarefied atmosphere, remoteness of
many of the locations and short working season due to near-freezing temperatures in the area.
To forecast when and how a GLOF event will take places difficult and needs detailed and
multi-disciplinary investigations of the total environment of the lakes and associated factors
in the surroundings as a whole
In addition to the "classical" flood flow analyses, GLOF analysis should be considered for
derivation of design floods of projects in glacier dominated mountainous watersheds.
Damage is likely to be caused by large boulders as parts of the GLOF bed load. Hence safety
of the dam against damage will depend on a well-timed complete opening of the gates to
lower the reservoir
Early warning systems aim to detect impending GLOFs in sufficient time to relay a warning
to people who might be affected so that they can move to safer grounds. For effective and
practical use of early warning systems, an information technology (IT) based system is
necessary. The use of geo-ICT tools and techniques will be a state-of-the-art in the region and
the Internet connectivity will be the backbone to the overall system. It is necessary to develop
awareness and capacity of the local people who now have access to wireless Internet.
Dam Break Modeling
The essence of dam break modeling is hydrodynamic modeling, which involves finding
solution of two partial differential equations originally derived by Barre De Saint Venant in
1871.
Project: Development of Hydrological Design Aids (Surface Water) under HP-II
Document: 2009097/WR/REP-02 July 2010
State of the Art Report Revision: R0
2.2-29 WATER RESOURCES
These equations are:
(∂Q/∂X) + ∂(A + A0) / ∂t - q = 0 (continuity equation)
(∂Q/∂t) + { ∂(Q2
/A)/∂X } + g A ((∂h/∂X ) + Sf + Sc ) = 0 (Momentum equation)
Where,
Q = discharge;
A = active flow area;
A0 = inactive storage area;
h = water surface elevation;
q= lateral flow;
x = distance along waterway;
t = time;
Sf = friction slope;
Sc = expansion contraction slope and
g = gravitational acceleration
Steps involved in GLOF analysis
The steps involved in GLOF analysis will therefore be,
i. Identification of potentially hazardous Glacial lakes
ii. Location of moraine dam(Lat. Long.) with cross sections
iii. Fix appropriate breach parameters
iv. Conduct Dam break analysis by HEC-RAS or MIKE 11 (if available)
v. Carry out critical analysis of different GLOF scenarios and prediction of outflow
hydrograph due to dam breach routing of hydrograph through downstream
vi. Criticality analysis
vii. Simulation study of the site.
The models available to conduct dam break analysis are,
Sl.
No
Model Merits Demerits Application
Freeware
/License
1 HEC-RAS
GIS Version HEC-
GEORAS Is Available
Doesn’t Suit
in Steep
Slopes
Applied all over
the world
Freeware
2 MIKE 11
More Suitable At Steep
Slopes
Licensing
problem
Applied all over
the world
License
3 NWS-
DAMBRK
Simple Model
user friendly
interface is
not available
User friendly
interface not
available
Freeware
4
NWS-
FLDWAV
Capability To Model
Flows Through A Single
Stream Or A System Of
Interconnected
Waterways
More
Complex
compared to
Dambrk
New Version of
NWS Model
Which Could
Also Be
Considered
Freeware
Project: Development of Hydrological Design Aids (Surface Water) under HP-II
Document: 2009097/WR/REP-02 July 2010
State of the Art Report Revision: R0
2.2-30 WATER RESOURCES
Since HEC-RAS is freeware software available, the same may be adopted. At steep slopes the
use of HEC-RAS is less effective and hence a separate tool will be developed for routing
through steep slopes.
2.2.2.6 Design Flood for Urban and Agricultural Catchments
2.2.2.6.1 Urban Catchments
Screening of available literature and models for urban nonpoint source runoff models was
made. It was seen that the rational model used for considerable period in UK and USA in its
original form or modified form. The SCS method also has been used for quite some time.
Recently updated version of HEC model i.e., HEC-HMS has also been used for urban
modeling. Brief review of the available models has been made and its simplicity
methodology, parameters required for modeling has been presented in the Table 2.12 below.
Considering the data requirement, simplicity of adopting under Indian conditions it is
proposed to provide aids for simplest universal model already in wide use i.e., Rational
method and for more accurate results use of HEC-HMS Kinematic Wave model developed by
USACE.
The insight available from models used in UK will also be utilized as possible
2.2.2.6.2 Agricultural Catchments
i. SCS method
SCS curve method can be used for agricultural design flood estimation which is commonly
used method in USA. The procedure consists of computing direct runoff of a storm with
runoff curve numbers which have been developed through field studies by measuring the
runoff from numerous soil cover combinations. A weighted composite curve number is
derived for catchments having more than one land use in area proportion.
HEC-HMS software has developed a module to implement SCS method. This will be used as
a Hydrologic Aid.
ii. Rational Formula
A rational formula is universally used and depends upon the catchment area characteristics
like time of concentration and length of the main stream etc. Details are given in section
2.2.2.2.3
Project: Development of Hydrological Design Aids (Surface Water) under HP-II
Document: 2009097/WR/REP-02 July 2010
State of the Art Report Revision: R0
2.2-31 WATER RESOURCES
Table: 2.12 Characteristics of identified urban runoff models
SL
No
Model
Application
(time domain)
Predictive
method
Independent
variables
Advantages Disadvantages
1
Rational
method
(Kuichling
1889; Lloyd-
Davies, 1906)
Peak Discharge
Empirical.
Rainfall and a
loss coefficient
Rainfall intensity, time
of concentration,
drainage area, loss
coefficient
• Simple and cheap to apply
• Minimal data requirement
• Widely used in UK sewer design
• Already in wide use in USA for urban
catchments
• Designed to estimate peak
flow not volume
• Restricted to small
catchments
2
RRL modified
rational method
(Watkins,1962;
TRRL,1976)
Peak Discharge,
Runoff volume and
hydrograph
Empirical
Discharge a product of
a travel-contributing
area relationship, and
a hyetograph
Specifically designed for UK urban
areas
Rigorously field tested
Derivatio0n of time-area
graph laborious ( can
assume linearity)
3
Wallingford
procedure
(modified
Rational
method)
(DoE, 1981)
Peak discharge
based on runoff
volume estimate
Peak discharge
based on
empirical
method. Drawing
on statistical
model of runoff
volume
Drainage area,
precipitation and
runoff volume ( from
soil index,
impermeability and
antecedent catchment
wetness)
Specifically designed for UK urban
areas
Rigorously field tested,, and based on
FSR data with additional composite
urban drainage database (largest in UK)
More accurate than previous UK
methods
Most widely accepted UK runoff volume
method (e.g. noted in FWR, 1994)
Statistical analysis
underlying runoff volume
places limitations on use are
variable values and
catchment size (<150ha)
4
SWMM :
Level I
(Heaney et al.,
1976)
Long term average
runoff volume
Empirical
rainfall and a
loss coefficient
Precipitation
population (for
imperviousness)
Simple, cheap and easy to apply
Minimal data requirement
Catchment only for US
urban catchments
Very crude
5
TR 55 Soil
Cover
Complex
(SCS, 1986)
Runoff volume,
peak discharge and
hydrograph (if
excess rainfall
procedure used)
Empirical/
graphical
method. Rainfall
depth/ Catchment
area
Precipitation (24 hr
rainfall), area, losses
based on curve
numbers defined by
hydrologic soil group
and land surface cover
graphs
Designed to include volume estimation
Universally accepted in US so well
documented
Applicable to larger catchments than
rational method
More consistent than rational method
Calibrated only for US
urban catchments
More complex than rational
method
Only considers 24 hour
design storm
6
Hec-Hms
using
Kinematic
wave
Approach
Peak Discharge,
Volume of
Discharge, Runoff
Hydrograph
Kinematic wave
Precipitation, Slope,
Roughness, Length of
channel and overland
• Physically based model
• Easily adoptable in India
• Its freely available
• Developed by USACE and widely
used in USA
• More parameters
compared to Rational and
SCS methods
Project: Development of Hydrological Design Aids (Surface Water) under HP-II
Document: 2009097/WR/REP-02 July 2010
State of the Art Report Revision: R0
2.2-32 WATER RESOURCES
2.2.2.7 Climate Change Effects
Intergovernmental Panel on Climate Change (IPCC) 4th
assessment report (AR4) on
climate change has studied the effects of climate change on design flood in general. Their
assessment is that there will be decrease in T-year flood at lower return periods but
increase in T year flood at higher frequencies. It is felt that limited 2,3 studies and IPCC
report do not appear to have examined the problem in greater depth considering long
term data and especially lack of data for assessing effects on 1000 and 10000 year floods.
Current information on the effects of climate change contains considerable complexity
and uncertainty which precludes making firm assessment of the changes in flood
magnitude and frequency. Globally, projected changes in flooding have regional and
seasonal variation. In general the trend for warming of the atmosphere leads to an increase
in the moisture content of the air and so for impacts upon the hydrological cycle.
It is for consideration if these contradictory results should be taken in any cognizance
and it will be preferable to wait for conclusive evidence and results. Till then it is
proposed not to provide for any climate change effects for long run in our Design Aids.
2.2.3 Reviews and Recommendations
2.2.3.1 Suggested Design Flood Estimation Criteria
The consultants have carefully examined the recommendations/Guidelines of BIS, CWC,
United States Army Corps of Engineers, ICOLD, and Institution of Civil Engineers
London- . Structural Standards for River Protection Facilities (Cabinet Order) drew on
basis of River Law of Japan, Classification and criterion for Water Conservancy and
Hydropower Project in China and many other agency/countries practices. Considering
that most of the developed countries and India have been following adequate criteria for
safety of the structures /properties and habitation downstream. The consultants feel that
the classification and criteria laid down in the B.I.S. and by CWC are based on highest
safety standards and considering the safety standards of various countries and consultant
proposed no change in the criteria.
ITEM
INDIA
BIS CWC
Large Dam
Gross storage: > 60MCM
Or
Hydraulic head at FRL: >30 m
Inflow design Flood: PMF
Gross storage: > 60MCM
Or
Hydraulic head at FRL: >30 m
Inflow design Flood: PMF
Medium
dam
Gross storage: 10-60MCM
Or
Hydraulic head at FRL: 12-30 m
Inflow design Flood: SPF
Gross storage: 10-60MCM
Or
Hydraulic head at FRL: 12-30 m
Inflow design Flood: SPF
Small Dam
Gross storage: 0.5-1.0MCM
Or
Hydraulic head at FRL: 7.5-12 m
Inflow design Flood: 100 yr flood
Gross storage: 0.5-1.0MCM
Or
Hydraulic head at FRL: 7.5-12m
Inflow design Flood: 100 yr flood
For more important projects, dam break studies may be done as an aid to the judgement in
deciding whether PMF needs to be used or not. Where the studies or judgement indicate
an imminent danger to present or future human settlements, the PMF should be used. Any
Project: Development of Hydrological Design Aids (Surface Water) under HP-II
Document: 2009097/WR/REP-02 July 2010
State of the Art Report Revision: R0
2.2-33 WATER RESOURCES
departure from the general criteria as above on account of larger or smaller hazard should
be clearly brought out and recorded.
Other guidelines as given in the section 2.2.2.3.2 from page 2.2-8 to 2.2-10 are also
recommended for small structures.
2.2.3.2 Procedures for determining PMF
After reviewing the criteria and different approaches for flood estimation the following
procedure was recommended for the determination of PMF.
i. Hydrometeorological Approach
On basis of critical studies of all sources the consultants suggest the following design
steps in brief.
Steps to determine the PMF are,
i. Development of DAD curves for the region
ii. Estimate PMP for 1 day, 2 day and 3 day from DAD curves
iii. Determination of 24 hour, 48 hour and 72 hour PMP values
iv. Maximization, transposition etc considering moisture adjustment factors
v. Determination of time distribution of these values
vi. Development of 1 hr, 3 hr, 6 hr, 9 hr, 12 hr.... 18hr hour values
vii. Determination of transfer function to convert the PMP to PMF
The methodology suggested by the Organizations (BIS, CWC etc) rather use institute
storms or actual storms which are transferred to the catchment in question, maximizing it
by moisture adjustment factor. The PMP Atlases are prepared by IMD probably using
guidelines of BIS and CWC. The standard for these Atlases are upto the year 1969, since
then a number of heavy storms have been experienced. IITM used Hershfield Technique
which also determines the frequency factor (k) on the basis of storms which are actually
occurred in India. It has been our experience that in the progress more intense storms are
experienced in India. The IPCC report in 2007 also suggests the impact of climate change
to increase the intensity of storms. Therefore it is suggested that both these Atlases by
IMD and IITM should be updated in light in every 5 years because they are dependent on
the data around the area.
For ungauged catchments the Manual on estimation of probable maximum precipitation
by WMO NO. 332 has given maximum observed Depth area duration rainfall values for
major storms in India which can be useful in determining the PMP. Also Publication by
Mutreja has indicated PMP as the sum of mean of 24 hour annual maximum and 15 times
the standard deviation of the sample which could vary from place to place also.
2.2.3.3 Procedures for determining T-Year Flood
After reviewing the criteria and different approaches for flood estimation the following
procedures were recommended for the determination of T-year Flood.
i. Probabilistic/Statistical Approach
It is seen that the Gumbel’s distribution was used upto 30-40 years back. No specific
distribution was suggested by CWC in its latest manual. With the publication of Design
flood estimation procedures have improved considerably. These procedures include data
processing, consistency checks and flood frequency analysis using selected distribution.
In India log normal distribution with two and three parameters, Pearson type III, log
Pearson type III, and Gumbel distribution are being generally used. However the General
Extreme Value (GEV) planned to be included along with the CWC specified distributions
in Hydrological Aids.
Project: Development of Hydrological Design Aids (Surface Water) under HP-II
Document: 2009097/WR/REP-02 July 2010
State of the Art Report Revision: R0
2.2-34 WATER RESOURCES
The main steps involved in the Probabilistic method of design flood estimation are
explained in clause 2.2.2.4.2
2.2.4 Conclusions
General
Considering the procedures adopted in India visa viz, other developed countries the status
of design flood procedures mentioned in the status of CWC procedures are almost at par
with other developed countries of the world.
The Chapter-2 indicates procedure being adopted based on Hydrometeorological
approach and are probabilistic approach depending upon the objective of the study, the
type of the structure whether large, medium or small dams, Barrage, Weir, C.D works,
Bridges etc. and data available. The details of these procedures are given in clause
2.2.2.4.2 to 2.2.2.4.4. The methodology depends upon the extent and nature of data
available but can broadly classify as under.
(i) Gauged Basin: (i) Hydrometeorological approach
(ii) Probabilistic approach
(ii) Partially gauged or (i) Regional flood frequency analysis
Ungauged basin: (ii) Hydrometeorological approach using Synthetic
Unit Hydrograph
Gauged Basins
Hydrometeorological approach
If sufficient precipitation and discharge data and concurrent short interval precipitation
data are available this procedure is considered, it involves data processing, identification
of sub basin (in case of basin larger than 5000 Km2), considering catchment
characteristics, snow bound area etc. The response function is derived from observed
flood hydrographs, preferably high isolated single peak hydrograph, which can be easily
used for derivation of unit hydrograph. In case of single peak hydrograph is not available,
complex flood hydrograph is used, using instantaneous unit hydrograph (Nash, Collins
and Clark methods).
Design Storm
The design storm also depends upon whether probable maximum storm, standard project
storm or T year storm is required, which depends upon nature of structure. This will
involve identification, selection, processing of very heavy storm including cloud burst.
On the basis of data available and the size of the basin, duration of design storm is
decided and candidate storm identified. The study will involve, aerial distribution, DAD
curve, storm transposition to get SPS storm and further applying barrier adjustment and
storm maximization. The time distribution of storm by developing and enveloping curve
is developed to get PMS with respect to time for the basin/sub basin.
For obtaining design flood at desired location, the stream flow routing by Muskingum
method or Muskingum-Cunge method will be used. For reservoir routing modified pulse
method can be used. For this purpose HEC-HMS software of US army corps of engineers
shall be used. For snowmelt contribution hydrologic Aid like SRM as discussed in Clause
2.2.2.5 will be used.
The road map is given in Chapter 4.3
Project: Development of Hydrological Design Aids (Surface Water) under HP-II
Document: 2009097/WR/REP-02 July 2010
State of the Art Report Revision: R0
2.2-35 WATER RESOURCES
Probabilistic Approach:
The present studies and merits are discussed in clause 2.2.2.4.2. Broadly this work
involves data processing, station characteristics, gap filling, consistency checks, analysis
by probability distribution etc. for the parameter estimation PWM, method of moments,
maximum likelihood moments and L moments are proposed. The present trends favour of
use of L moments. Some various probability distribution methods give varying results it
is considered important to carry out goodness of fit test by Chi-Square Test, Kolmogorov-
Smirnov (K-S), Cramer Von Mises (CVM), and ADC.
The above analysis will give T year flood on mean line. For more important structures the
assessment and in case important properties of habitation are located in downstream. For
more conservative states, assessment are made 90 or 95% upper confidence band.
Ungauged/Partially Gauged Basins:
Probabilistic Approach (RFFA Analysis)
This methodology can be used for partially gauged and ungauged catchments also by
conducting RFFA analysis. For RFFA analysis Pooled curve method, USGS method,
analytical method and L moments method can be employed. The hydrologic Aid modules
will be developed for these methods.
Study by L-moments
L moments methodology developed by Hosking and Wallis 1997. The L moments are
alternative system of describing the shape of probability distribution. The approach
involve screening of stream flow data, test of regional homogeneity, identification of
robust RFF distribution and development of RFF relationship for the catchments.
Hydrometeorological Approach (Synthetic Unit Hydrograph)
For analysis by Hydrometeorological Approach for ungauged/partially gauged
catchments following methods are available:
i. Snyder’s method
ii. Dimensionless unit hydrograph method
iii. CWC sub zonal reports
iv. GIUH
With the successful completion of CWC WRIS web based systems by 2013, it will be
possible to conduct these studies with the available basin wise GIS features. The rest of
the procedure will be same as for gauged basins.
Cloud Burst
A large number of very heavy cloud bursts have been experienced in the parts of the
country. These are intense sharp period heavy storms which cause heavy floods disruption
and dislocation of communication and sometimes losses of property and life. Although
these are rare events, they need to be considered while developing short interval
enveloping curve for the one day, two day and three day storms so that they get accounted
for automatically. Separate provision for cloud burst flood is therefore rarely made due to
above consideration.
GLOF
There have been number of glacier lake outburst floods in the recent times. The GLOF is
caused when glacier lake burst their banks and caused wide spread flood and havoc to
life, flora and fauna of the downstream area, apart from heavy damage to infrastructure.
The effect of GLOF is to be considered to predict the likely outflow hydrograph due to
Project: Development of Hydrological Design Aids (Surface Water) under HP-II
Document: 2009097/WR/REP-02 July 2010
State of the Art Report Revision: R0
2.2-36 WATER RESOURCES
dam breach. The detailed methodology and step by step procedure required to be
conducted are described in clause 2.2.2.5.1
Urban and Agricultural Catchments
Screening of available literature on practices being adopted in advanced countries like
UK and USA was made. It is seen that the rational method is still being used in many
countries in original form or modified form. The HEC HMS model has provision for
urban modelling also using Kinematic wave approach. Considering the data requirement,
simplicity of adoption under Indian conditions, it is proposed to provide Hydrological Aid
for use of Rational Formulae. HEC HMS Kinematic wave model developed by USACE
will also be used for detailed studies. Rational method can also be used for Agricultural
catchments. HEC-HMS module of SCS method will also become a tool for Agricultural
catchments.
References:
i. Abbs D. J. 1999 A numerical modelling study to investigate the assumptions used in
the calculation of Probable Maximum Precipitation. Water Resources Research Vol.
35 No. 3 pp 785-796
ii. Abdullah Al-Mamun and Alias Hashim Generalised long duration Probable
Maximum Precipitation Isohyetal Map for Peninsular Malaysia Journal of Spatial
Hydrology Vol.4, No.1
iii. Allen, S. K., Schneider, D., and Owens, I. F. (2009). "First approaches towards
modelling glacial hazards in the Mount Cook region of New Zealand’s Southern
Alps." Nat. Hazards Earth Syst. Sci , 9, 481-499.
iv. Asmal, K. (2000). Dams and Development , Earthscan.
v. Bergström, S., Harlin, J., and Lindström, G. (1992). "Spillway design floods in
Sweden." Hydrological Sciences Journal , 37(5), 505-519.
vi. Bergström, S., Hellström, S.-S., Lindström, G., and Wern, L. (2008). "Follow-up of
the Swedish guidelines for the design flood determination for dams." 1:2008, BE90 .
vii. Bocchiola, D., Michele, C. D., and Rosso, R. (2003). "Review of recent advances in
index flood estimation." Hydrology and Earth System Sciences , 7(3), 283-296.
viii. Bradlow, D. D., Palmieri, A., and Salman, S. M. A. (2002). Regulatory frameworks for
dam safety , The World Bank, Washington DC.
ix. Bruce, J. Q. And R . H. Clark 1966 Introduction to Hydrometeorology Pergamon
Press London pp 180 - 183
x. Calver, A., Lamb, R., and Morris, S. E. (1999). "River flood frequency estimation
using continuous runoff modelling." Proc Inst Civ Water Maritime and Energy ,
136(4), 225-234.
xi. Clark C 2008 New Guide to Flood Estimation in England and wales Review and
Update 10th
National Hydrology Symposium Exeter United Kingdom
xii. CWC 2001 Estimation of Design Flood- Recommended Procedures. India
xiii. CWC 1972 Estimation of Design Flood-Recommended Procedures. India
xiv. Darlrymple, T. (1960). "Flood frequency analysis." US Geological Survey.
xv. DIN. (1986). "Teil 10: Gemeinsame Festlegungen " In: Stauanlagen , Deutsches
Institut fur Normung eV, Berlin.
xvi. Droop, O. P., and Boughton, W. C. (2003). "Integration of WBNM into A Continuous
Simulation System for Design Flood Estimation " In: Modelling and Simulation 2003
.
xvii. Ed Tomlinson New Developments and Needs in site specific Probable Maximum
Precipitation (PMP) Studies. Proc Workshop on Hydrologi Research Needs for Dam
Safety Federal Emergency Management Agency USA pp. 107 – 110
xviii. Faulkner, D., and Wass, P. (2005). "FLOOD ESTIMATION BY CONTINUOUS
xix. SIMULATION IN THE DON CATCHMENT, SOUTH YORKSHIRE, UK."
Water and Environment Journal , 19(2), 78-84.
Project: Development of Hydrological Design Aids (Surface Water) under HP-II
Document: 2009097/WR/REP-02 July 2010
State of the Art Report Revision: R0
2.2-37 WATER RESOURCES
xx. FEMA. (2004a). "Hazard Potential Classification System for Dams ", Federal
Emergency Management Agency.
xxi. FEMA. (2004b). "Selecting and accomodating inflow design floods for dams." Federal
Emergency Management Agency.
xxii. Fernando, W.C.D.K and S.S. Wickramasuriya 2010 The Hydrometeorological
estimation of Probable Maximum Precipitation under varying scenarios in Sri Lanka
International Journal of Climatology
xxiii. Feyen, L., Dankers, R., Barredo, J. I., Kalas, M., Bódis, K., Roo, A. d., and Lavalle, C.
(2006). "Flood risk in Europe in a changing climate." EUR 22313 EN , European
Commission Joint Research Centre, Institute of Environment and Sustainability,
Luxembourg.
xxiv. Foerland, E. J., and Kristoffersen, D. (1989). "Estimation of extreme preciptitation in
Norway." Nordic Hydrology , 20, 257-276.
xxv. Galea, G., and Prudhomme, C. (1997). "Basic notions and useful concepts for
understanding the modelling of flood regimes of basins in QdF models." Revue des
Sciences de l'Eau , 10(1), 83-101.
xxvi. Ghahraman, B., The Estimation of One Day Duration Probable Maximum
Precipitation over Atrak Watershed in Iran. Iranian Journal of Science & Technology
Transaction B Engineering Vol 32 No B 2 pp 175 - 179
xxvii. Guillot, P. (1993). "The arguments of the gradex method: a logical support to assess
extreme floods." In: Extreme hydrological events: Precipittaion, floods and droughts ,
IAHS, Yokohama, Japan, 287-298.
xxviii. Guillot, P., and Duband, D. (1967). "La méthode du Gradex pour calcul de la
probabilitié de crues à partir des pluies." AISH , 84, 560-560.
xxix. Gurung, J., and Lama, L. T. (2008). "Regional GLOFs Risk Reduction Initiative in the
Himalayas: Preparatory Assessment Report, Nepal."
xxx. Hart T.L. (1982) Survey of Probable Maximum Precipitation using the synoptic
method of storm transposition and maximisation. Workshop on spillway design
AWRC Conference Vol. 6 Canberra Australia
xxxi. Hewitt, K. (1982). "Natural dams and outburst floods of the Karakoram Himalaya." In:
Hydrological Aspects of Alpine and High Mountain Areas , IAHS, Exeter.
xxxii. Huggel, C., Haeberli, W., Kääb, A., Hoelzle, M., Ayros, E., and Portocarrero, C.
(2002). "Assessment of glacier hazards and glacier runoff for different climate
scenarios based on remote sensing data: a case study for a hydropower plant in the
Peruvian Andes." In: EARSeL-LISSIG-Workshop Observing our Cryosphere from
Space Bern.
xxxiii. Huggel, C., Kääb, A., Haeberli, W., and Krummenacher, B. (2003). "Regional-scale
GIS-models for assessment of hazards from glacier lake outbursts: evaluation and
application in the Swiss Alps." Nat. Hazards Earth Syst. Sci , 3, 647-662.
xxxiv. Hydrometeorological Advisory Service, The Estimation of Probable Maximum
Precipitation in Australia Commonwealth Bureau of Meteorology
xxxv. ICE. (1996). "Floods and reservoir safety." Institution of Civil Engineers.
xxxvi. IH. (2000). "Flood Estimation Handbook." Institute of Hydrology.
xxxvii. IPCC. (2007). "Climate Change 2007: The Physical Science Basis - Summary for
xxxviii. Policymakers." Word Meteorological Organisation.
xxxix. Ives, J. D. (1986). "Glacial lake outburst floods and risk engineering in the Himalaya."
ICIMOD.
xl. Kjeldsen, T. R. (2007). "The revitalised FSR/FEH rainfall-runoff method." Centre for
Ecology and Hydrology.
xli. Li-Chuan Chen and A. Allen Bradley The Effects of Atmospheric Moisture
Availability for the North Eastern Illinois Storm of 17 – 18 July 1996 Tenth Penn
State NCAR MM 5 User’s Workshop 21-23 June 2000 USA
xlii. Liu, J. (2002). "Selection of Design Floods in Southeast Asia." In: 5th International
Conference on Hydro -Science & -Engineering (ICHE-2002) , Warsaw.
Project: Development of Hydrological Design Aids (Surface Water) under HP-II
Document: 2009097/WR/REP-02 July 2010
State of the Art Report Revision: R0
2.2-38 WATER RESOURCES
xliii. Margoum, M., Oberlin, G., Lang, M., and Weingartner, R. (1994). "Estimation des
crues rares et extrêmes: Principes du modèle Agregee." Hydrol. Continent , 9(1), 85-
100.
xliv. Meigh, J. (1995). "Regional flood estimation methods for developing countries."
Instiuite of Hydrology.
xlv. Meigh, J., and Farquharson, F. (1985). "World Flood Study." Institute of Hydrology.
xlvi. Nathan, R. J., Hill, P., and Griffith, H. (2001). "Risk implications of the PMF and the
PMP design flood." In: NZCOLD and ANCOLD Conference on Dams .
xlvii. NERC. (1975). "Flood Studies report." Natural Environment Research Council.
xlviii. Radzicki, K., Szczesny, J., and Tourment, R. (2005). "Comparison of laws,
procedures, organisations and technical rules for dams and dikes safety in Poland and
France." Cemagef.
xlix. Rakesh Kumar., Chandranath Chatterjee 2005 Regional Flood Frequency analysis
using L-moments for North Brahmaputra Region of India, Journal of Hydrologic
Engineering, Vol. 10, No. 1, January 1, 2005.
l. R. Kumar., C. Chatterjee., S. Kumar 2003 Regional Flood Frequency analysis using
L-moments for Sone Subzone of India, Applied engineering in Agriculture, Vol.
19(1)
li. Roohi, R., Ashraf, A., Mustafa, N., and Mustafa, T. (2008). "Preparatory assessment
report on Community Based Survey for Assessment of Glacial Lake Outburst Flood
Hazards (GLOFs) in Hunza River Basin." UNDP, Pakistan, Islamabad.
lii. Ruttan, J. A. (2004). "GUIDELINES ON EXTREME FLOOD ANALYSIS." Alberta
Transportation, Transportation and Civil Engineering Division, Civil Projects Branch.
liii. Saelthun, N. R., and Andersen, J. H. (1986). "New procedures for flood esimation in
Norway." Nordic Hydrology , 17, 217-228.
liv. Sakai, A., and Fujita, K. (2010). "Formation conditions of supraglacial lakes on
debriscovered glaciers in the Himalaya." Journal of Glaciology , 56(195), 177-181.
lv. Soong, D. T., Straub, T. D., and Murphy, E. A. (2005). "Continuous Hydrologic
Simulation and Flood-Frequency, Hydraulic, and Flood-Hazard Analysis of the
Blackberry Creek Watershed, Kane County, Illinois." U.S. Geological Survey.
lvi. Tshering, N. (2008). "An analysis of socio-economic impact and risk mitigation and
preparedness measures of GLOF events in Bhutan - a case study of Samdingkha."
lvii. UNDP. (2009). "Capacity Building for Disaster Risk Reduction Regional Glacial Lake
lviii. Outburst Floods (GLOF) Risk Reduction in the Himalayas - Preparatory Assessment
Study Report Sutlej Basin - Himachal Pradesh India." New Delhi.
lix. UNEP. (2008). "Global Glacier Changes: facts and figures." UNEP World Glacier
Monitoring Service.
lx. USDA-NRCS. (1972). "Design Hydrographs." Chapter 21, NEH Notice 4-102 ,
Natural Resources Conservation Service.
lxi. USDA-NRCS. (2004). "Estimation of Direct Runoff from Storm Rainfall." Chapter
10, 210-VI-NEH , Natural Resources Conservation Service.
lxii. USDA-NRCS. (2007a). "Hydrographs." Chapter 16, 210-VI-NEH , Natural Resources
Conservation Service.
lxiii. USDA-NRCS. (2007b). "Selected Statistical Methods." Chapter 18, 210-VI-NEH ,
Natural Resources Conservation Service.
lxiv. USGS. (2007). "Hydrology and Glacier-Lake-Outburst Floods (1987-2004) and Water
Quality (1998-2003) of the Taku River near Juneau, Alaska."
lxv. Viviroli, D., Mittelbach, H., Gurtz, J., and Weingartner, R. (2009a). "Continuous
simulation for flood estimation in ungauged mesoscale catchments of Switzerland -
Part II: Parameter regionalisation and flood estimation results." Journal of Hydrology
, 377(1-2), 208-225.
lxvi. Viviroli, D., Zappa, M., Schwanbeck, J., Gurtz, J., and Weingartner, R. (2009b).
"Continuous simulation for flood estimation in ungauged mesoscale catchments of
Switzerland - Part I: Modelling framework and calibration results." Journal of
Hydrology , 377(1-2), 191-207.
Project: Development of Hydrological Design Aids (Surface Water) under HP-II
Document: 2009097/WR/REP-02 July 2010
State of the Art Report Revision: R0
2.2-39 WATER RESOURCES
lxvii. WMO. (1986). "Manual for Estimation of Probable Maximum Precipitation." WMO -
No. 332 , World Meteorological Organization.
lxviii. Zhao, W., J.A. Smith and A. A. Bradley 1997 Numerical simulation of a heavy
rainfall event during the PRE-STORM experiment Water Resources Research Vol. 33
No. 4 pp 783 – 799
Project: Development of Hydrological Design Aids (Surface Water) under HP-II
Document: 2009097/WR/REP-02 July 2010
State of the Art Report Revision: R0
2.3-1 WATER RESOURCES
2.3 SEDIMENTATION RATE ESTIMATION
2.3.1 Introduction:
All reservoirs formed by dams on natural water courses are subject to some degree of
sediment inflow and deposition. The deposition of sediment which takes place progressively
in time reduces the active capacity of reservoir which in turn affects the regulating capability
of reservoir to provide the outflows through passage of time. Accumulation of sediment at or
near the dam may interfere with the future functioning of water intakes and hence affects
decisions regarding location and height of various outlets. It may also result in greater inflow
of sediment into the canals / water problems of rise in flood levels in the head reaches and
unsightly deposition of sediment from recreation point of view may also crop up in course of
time.
Water resources systems operate over a long period of time and are subject to ever increasing
demand of water for various purposes. Besides, long term changes in terms of technology and
sediment production functions are also encountered. Man-made changes taking place in the
river basin and consequent changes in hydrologic regime controlling the water inputs over-
long term periods are also encountered and have to be provided for (All these factors are to be
considered and taken into account while assessing performance of any reservoir project). In
this context, sedimentation of reservoirs is to be viewed as an additional factor which has to
be considered and its effects studied and evaluated on the reservoir performance. For project
planner main issues to be addressed are:
(i) Estimation of silt rate from the catchment and how much silt will be trapped in
reservoir.
(ii) Distribution of the silt trapped in the reservoir over a period.
2.3.2 Silting Rate for Planning Indian Reservoirs:
Construction of storage reservoirs in India gained impetus immediately after independence.
At the time of starting construction of storage in India practically no sedimentation data was
available for planning the reservoirs. Hence, empirical relation developed by Khosla (1953)
between average annual silting rate and the catchment size based on data of some 200
reservoirs in Europe, India, China, Africa and USA was used to fix the sedimentation rate for
reservoirs. With a view to collect sediment data systematic and scientific survey of 12
reservoirs spread all over the country was taken up under Research Scheme applied to River
Valley Projects. The result of these surveys and analysis of data had been presented in
technical reports published by Central Board of Irrigation and Power (CBIP). Later on several
state government/ Project organisations took up the work of regular reservoir surveys. Central
Water Commission had published a report as Compendium of Silting of Reservoirs in India in
2001. Similarly for measurement of sediment in river various agencies also started sediment
measurement to cover almost all main river basins of the country.
2.3.2.1 Direct Measurement Of Sediment In River:
The sediment yield in many proposed reservoir have been assessed by using river sediment
observation data or more commonly from the experience of sedimentation of existing
reservoirs with similar characteristics. Sediment yield at a station is measured by making
suspended and bed load measurements on the river using sediment samplers. It has been
found that suspended load QS of the bed material is related to the water discharge Q by the
equation
QS = a Qb
Project: Development of Hydrological Design Aids (Surface Water) under HP-II
Document: 2009097/WR/REP-02 July 2010
State of the Art Report Revision: R0
2.3-2 WATER RESOURCES
Where ‘a’ depends on channel, flow and sediment characteristics, and ‘b’ varies between 1.5
to 2.5. For a given stream such a relation can be developed for each season in order to get
more accurate results. It is necessary to evolve proper sediment water discharge rating curve
and combine it with flow duration curve based on uniformly spaced daily or shorter time units
in case of smaller river basins.
The sediment discharge rating curves can also be prepared from hydraulic consideration using
sediment load formulae, but this has not yet become popular in India. To the suspended load
must be is added ‘Qb’ the bed load discharge at that station. Measurement of bed load in large
stations is very difficult. In the absence of detailed measurements, Qb is taken as a certain
percentage of QS depending on concentration of suspended load and size of bed material and
suspended sediment.
The present Indian Code recommends that bed load be estimated as a percentage generally
ranging from 5 to 20 percent of the suspended load. However, practical means of measuring
bed load of sediment need to be undertaken particularly in cases where high bed loads are
anticipated.
2.3.2.2 Reservoir Capacity Survey:
Measurement of the sediment accumulation in a reservoir is considered by many engineers as
the best method for determining the sediment yield. Reservoir survey data provide an
excellent source for determining sediment yield rates. While using the information for nearby
areas adjustments in the sediment yield rate will usually be necessary to account for variation
in drainage area characteristics. One of the most important variations is the size of the
drainage basin. The hydrographic capacity surveys of the reservoirs are carried out to
determine total volume occupied by sediment, the sedimentation pattern and the change in
area-capacity curves of reservoir. By converting sediment volume into mass on the basis of
estimated or measured bulk density and correcting for trap efficiency, the sediment yield of
catchment can also be estimated.
The usual methods for capacity survey are (i) Contour method and (ii) Range methods.
Recent advances in automated survey techniques now make hydrographic contour surveying
very economical requiring only a few days of field work using automated depth measurement
at positioning systems to perform data collection traverses required by contouring software.
The range line method of reservoir surveying is based on measuring depth along a pre
determined or selected range lines across the reservoir. Hydrographic survey techniques are
used for under water areas and standard land surveying techniques are used above the water
line. These have historical been the most commonly employed technique to monitor reservoir
sedimentation. In India, this has been used in all the reservoirs surveyed during last 40 years.
The range survey is conducted using the conventional equipments viz., theodolite, plane table,
sextant, range finders, sounding rods, eco-sounders and slow moving boats. The water depths
in reservoirs are recorded with the help of eco-sounders mounted on the boat moving along
the range line. The range lines are normally spaced 1 to 2 Km apart along the length of the
reservoir. Normally surveys are carried out at an interval of 5 years. But it is found that in
practice the interval between two successive surveys varies from 2 to 15 years depending on
the resources of the project authorities and State Governments. These surveys are economical
but time consuming and sometimes they take 2 to 3 years to complete a survey in a big
reservoir. This defeats the purpose of the survey and hence these are suitable for small and
medium size reservoirs. For big reservoirs this technique is being increasingly supplemented
with automated equipments.
Project: Development of Hydrological Design Aids (Surface Water) under HP-II
Document: 2009097/WR/REP-02 July 2010
State of the Art Report Revision: R0
2.3-3 WATER RESOURCES
2.3.2.2.1 Modern Techniques of Surveying: HYDAC (Hydrographic data Acquisition system)
It is an automated HITEC system in which the entire process of data collection, analysis and
presentation of results is computerised. It is quite fast and accurate with less human errors and
has been used in reservoir sedimentation surveys in advanced countries. This has been used in
some reservoirs in India (Mainly Matatila, Konar, Tilaiya, Idukki, Kakki, Balimala,
Linganamakki and Jayakwadi) in the last decade by Reservoir Sedimentation Directorate of
CWC. The system has accuracy, precision and speed. The big reservoirs which used to take
several years to complete a survey can be completed by this system in 2 to 3 months. The
limitations of the system faced in India are prohibitive cost and requirement of trained staff.
2.3.2.2.2 Remote Sensing:
Several reservoirs in India have been surveyed for capacity loss using satellite imageries in
the last two decades. The example are of Tungabhadra, Govindsagar (Bhakra), Hirakund,
Urai, Matatila, Sriram Sagar, Nagarjuna Sagar, Srisailam. The capacity loss through the use of
satellite imageries in the reservoirs has been compared with the survey results by
conventional methods. The results have generally compared well within 10 percent. The
difference is because of the accuracy in measuring the water spread area from the imageries
which is of order of about one acre. Therefore, in reservoirs with large area, greater accuracy
is expected. The main advantage of the method is the saving in time and cost. The capacity
assessment does not need great expertise. The only constraint in this technique is that it is not
possible to measure the loss in capacity below minimum water level due to sediment
deposition through imageries. For this the remote sensing technique has to be supplemented
with the conventional method of hydrographic survey.
2.3.2.3 Results from River/Reservoir Sediment Data:
The reservoir survey data collected and analysed in India reveals that sedimentation rate in
some of the reservoirs has been more than the rate assumed at the design and planning stage.
It could be attributed to the lack of reliable data at that stage. These survey have also
confirmed the fact that substantial amount of sediment deposits in the live storage also, which
upto 1965 was assumed to get deposited only in the dead storage. After 1965 distribution of
sediment throughout the reservoir was considered necessary. Based on the inference from the
survey data the planning practices for the sedimentation in reservoir have been modified. The
modified practice of CWC is incorporated in IS 12182-1987(Guidelines for Determination of
effect of sedimentation in Planning and Performance of Reservoirs). The feature of the
present sediment practice is to decide the sedimentation rate on the basis of observed river
sediment flow data and the reservoir surveys and the distribution of sediment in the
reservoir should be estimated.
As indicated earlier, measurement of sediment in rivers is being carried out by various
agencies such as CWC, Soil and Water Conservation Division of Ministry of Agriculture,
various State Governments and considerable data has been collected and analysed. The CWC
sites for sediment measurement cover almost all main river basins of the country. The CWC
has collected data through observations at 466 sites. For some sites the period for which data
is available is quite large say 40 to 45 years. CWC also publishes annually “Sediment Year
Book” for all river basins. The sediment data is also stored in National Hydrological Data
Bank computers to enable easy access to users. It is referred prior to planning a new reservoir.
The sediment rate in the river Ganga is found to vary from 1000-3000 tonnes/sq.km in upper
reaches to about 400 tonnes/sq.km near Farraka. The southern rivers have a sediment flow
rate of about 400-500 tonnes/sq.km. However, on the basis of observations CWC
(Compendium of Silting of Reservoirs in India CWC Publication) New Delhi has classified
the country in seven regions and specified range of the sedimentation rate in each region. It is
reproduced in the Table 2.10
Project: Development of Hydrological Design Aids (Surface Water) under HP-II
Document: 2009097/WR/REP-02 July 2010
State of the Art Report Revision: R0
2.3-4 WATER RESOURCES
Table – 2.13: Region wise Sedimentation Rate in India
Sl.
No.
Region
Average
Sedimentation
Rate(ham/100sqk
m/yr)
Median values of
Sedimentation
Rate(ham/100sqkm
/yr)
1 Himalayan region (Indus,Ganga,
Brahmaputra basin)
17.65 21.1
2 Indo-Gangetic plain 10.45 8.9
3 East flowing rivers(excluding Ganga) up
to Godavari
6.35 6.35
4 Deccan peninsular east flowing rivers
including Godavari and South Indian
rivers
(a) Excluding Western Ghat
reservoirs
(b) Reservoirs in Western Ghats
7.43
135.3
4.65
-
5 West flowing rivers upto Narmada 10.93 8.4
6 Narmada Tapi basin 7.29 7.5
7 West flowing rivers 35.33 17.9
Project: Development of Hydrological Design Aids (Surface Water) under HP-II
Document: 2009097/WR/REP-02 July 2010
State of the Art Report Revision: R0
2.3-5 WATER RESOURCES
Fig. – 2.4 : Map of India showing zone wise sedimentation rate
Figure 2.4 shows wide variability in sedimentation rate. It is because the sedimentation rate is
affected by a number of factors responsible for sediment erosion in the catchment and
transport through river channels. However, median values appear to be more representative.
These regional values are used as a first guide while deciding on the sedimentation rate.
Legends
Project: Development of Hydrological Design Aids (Surface Water) under HP-II
Document: 2009097/WR/REP-02 July 2010
State of the Art Report Revision: R0
2.3-6 WATER RESOURCES
2.3.2.4 Prediction of Rate of Reservoir Sedimentation
Based on the observation and field measurement and survey made on many reservoirs in India
and abroad attempt has been made by many investigators to develop empirical relations to
predict the rate of sediment deposition in a reservoir. These relations relate the sediment
volume with catchment area. These are regional and cannot be universally applied. These
should be used with care for planning a reservoir when no other data is available. A few
relations developed for Indian conditions are presented below:
1) CBIP Research Committee Technique: The Research Committee of the Central Board of
Irrigation & Power has suggested two methods for estimating sediment deposition in
reservoirs in absence of long term records.
(i) S = K A ¾
Where, S = Sediment volume in acre-ft/100 sq.mile/year
A = Catchment area in sq. Mile
K is the Coefficient of proportionality depending on type of catchment
K = 0.5 for rocky catchment
= 1.7 for normal catchment
= 5.5 for alluvial catchment
The data used for working out K is from the reservoirs of USA, India, and Burma
(ii) For catchment more than 2600 sq.km. in area the maximum rate proposed is 3.57 ha
m/100sqkm/year.
2) Khosla’s Method: The following empirical relation is suggested by Khosla for catchments
of area less than 2600 sq.km. ( 1000 sq. Miles)
Y = 5.19/A 0.28
Where, Y = annual sediment deposition in acre ft per 100 sq miles of catchment
A = catchment area in sq.miles
For catchment bigger than 2600 sq.km the range of annual sedimentation rate suggested
is 75 to 90 acre ft/100 sq.km. (3.75 to 4.3 ha m/100sq.km.)
3) CWPRS, Pune Method: The CWPRS, Pune has suggested the following relation which is
similar to Khosla
S = 10/A 0.24
Where, S = Sedimentation rate in acre-ft/sq.miles/year
A = Catchment area in sq.miles
For catchment area upto 10 sq.miles, S = 0.2743 ha m/sq.km (5.7acre ft/sq.mile) and for
catchment upto 1000 sq.miles, S= 0.03 ha m/sq.km (0.63 acre ft/sq. Miles)
4) Raichur Method: He analysed the data of Indian reservoirs and divided it for Himalayan
and non-Himalayan regions based on catchment area and suggested following relations:
(i) Catchment area upto 130 sq.km
Y = 0.395/ A 0.311
for Himalayan rivers in mountains
Y = 0.392/ A 0.202
for Himalayan rivers in trough and plains
Y = 0.460/ A 0.468
for non- Himalayan rivers
(ii) Catchment area bigger than 130 sq.km.
Y = 1.534/A 0.311
for Himalayan rivers
Y = 0.159/A 0.01 for non-Himalayan rivers
Where, Y = Annual rate of silting in Mm3
/100 sq.km
A = Catchment area in sq.km.
Project: Development of Hydrological Design Aids (Surface Water) under HP-II
Document: 2009097/WR/REP-02 July 2010
State of the Art Report Revision: R0
2.3-7 WATER RESOURCES
5) Varshney’s Method: He has analysed data of Indian reservoirs and suggested the relation,
S = 141/A 0.264
(for Himalayan catchment greater than 5000 sq.km. in area)
6) Joglekar’s Equation : Joglekar gave an equation of an enveloping curve to the observed data
as
Qs = 0.597/ A 0.24
Where, Qs = annual silting rate from 100 sq.km. of watershed area (Mm3
/100sq.km.)
7) Lal’s Equation: Lal et al gave an equation of estimating the sediment yield per unit area of
the basin by studying data obtained from five north Indian reservoirs. The equation is given
below:
S = 1/100(C/I) 0.22
(I/A) 2
Where,
S = annual sediment yield per unit area
C/I = capacity inflow ratio
C = original capacity of reservoir
I = average annual inflow volume into reservoir
A = catchment area
8) Garde and Kothyari (1987) analyzed data from 50 catchments from different parts of India
covering a wide range of pertinent variables. The relationship for average annual sediment
yield Sy expressed in cm was proposed by them as
19.0
max10.025.070.160.0
02.0 ⎟
⎠
⎞
⎜
⎝
⎛
=
P
P
DSFPS dcy
where, the erosion factor Fc is
)(
10.030.060.08.0
4321
4321
AAAA
AAAA
Fc
+++
+++
=
Here A1 is the arable area in the catchment, A2 is grass and scrub area, A3 is forest land area
and A4 is the waste land area. Values of A1, A2, A3, A4 for different catchments were obtained
by Garde and Kothyari (1987) from maps given in the National Atlas of India to a scale of
1:6000000, while the drainage density was obtained from maps to scale of 1:1000000.
9) Garde and Kothyari (1987) have also prepared a map of India, (see Fig. 2.5), on which
contours of constant sediment yield expressed in Tonnes/km2
-yr are shown. This figure has
been used by practitioners to obtain a rapid assessment of the sediment yield in such
geographical locations of India for which little or no data on sediment yield were available.
Project: Development of Hydrological Design Aids (Surface Water) under HP-II
Document: 2009097/WR/REP-02 July 2010
State of the Art Report Revision: R0
2.3-8 WATER RESOURCES
2.3.2.5 GIS Applications for Determination of Sediment Yeild
In modern days, a geographic information system (GIS) is very popular and offers a data
management facility that is useful in distributed modelling of sedimentological and
hydrological processes and is best suited for quantification of heteorogeneity in rainfall, the
topographical and drainage feature of a catchment. Therefore, a GIS can be utilized for
determination of physical parameters affecting soil erosion in different sub-areas of the
catchment. Recently, GIS techniques have been interfaced with some standard hydrological
models (both distributed and empirical) to capture the spatial variation in computed
quantities.
In India, Kothyari & Jain (1997) and Jain & Kothyari (2000) used a GIS technique for
estimation of sediment yield resulting from isolated storm events. Manoj K. Jain, et. al (2010)
conducted a study in Himalayan watershed using GIS technique and found a reasonable
results. Simple methods such as universal soil loss equation (USLE), modified universal soil
loss equation (MUSLE) or revised universal soil loss equation (RUSLE) are frequently used
for the estimation of surface erosion and then sediment yield in the catchment, because of
their simplicity which makes them applicable even if only a limited amount of input data is
available.
Kothyari & Jain(1997) proposed a grid or cell based approach with a GIS for the
determination of the sediment yield from the Karso catchment in Bihar. The GIS technique
was used for discretization of the catchment into a network of cell which possess unique
drainage directions. Surface erosion in the individual cells was determined using the USLE
and reasonable results were obtained. The method depends on calibration against a record of
existing conditions and can be used for estimation of sediment yield in ungauged catchments
which have homogeneous hydrometeorological and land use conditions.
Fig. 2.5- Iso-erosion rate (in Tonnes km-2
yr-1
) map of India (Garde and Kothyari, 1987)
Project: Development of Hydrological Design Aids (Surface Water) under HP-II
Document: 2009097/WR/REP-02 July 2010
State of the Art Report Revision: R0
2.3-9 WATER RESOURCES
2.3.3 Trap Efficiency:
Once the sediment likely to enter in a reservoir is known, the next important aspect is to find
out how much of the silt will be trapped in the reservoir. The trap efficiency of a reservoir is
defined as the ratio of the quantity of deposited sediment to the total sediment inflow and is
dependent primarily upon the sediment particle fall velocity and the rate of flow through the
reservoir. Particle fall velocity may be influenced by size and shape of the particle, viscosity
of the water, and chemical composition of the water. The rate of flow through the reservoir is
determined by the volume of inflow with respect to available storage and the rate of outflow.
Methods for estimating reservoir trap efficiency are empirically based upon measured
sediment deposits in a large number of reservoirs. Gunnar Brune (1953) has presented a set of
envelope curves for use with normal ponded reservoirs using the capacity-inflow relationship
of the reservoirs. Similarly using data from Tennessee Valley Authority reservoirs, M. A.
Churchill (1948) developed a relationship between the percent of incoming sediment passing
through a reservoir and the sedimentation index of the reservoir. The sedimentation index is
defined as the ratio of the period of retention to the mean velocity through the reservoir. The
Churchill curve has been converted to a truly dimensionless expression by multiplying the
sedimentation index by g, acceleration due to gravity. Empirical relation like the one’s
developed by Brune or Churchill have not been developed for Indian reservoirs data but these
relation have been used in India. Some studies in Indian reservoirs have confirmed the trend
of Brune’s curve of trap efficiency. These curves are also recommended by Indian standards.
2.3.4 Predicting Sediment Distribution in Reservoir:
For various aspect of reservoir planning the designer/planner needs the knowledge of pattern
and distribution of sediment deposition in the reservoir. Borland and Miller (1960) of USBR
suggested two methods for predicting the deposition pattern. The first is purely mathematical
and is called Area Increment Method. The second is a mathematical procedure based on
observation of sediment distribution pattern in large number of reservoir in USA and is
known as Empirical-Area-Reduction method, which has been modified from time to time.
Area-Increment Method: It is based on the assumption that reservoir area at each elevation
is reduced by a constant value which is termed as area correction factor and is equal to the
original area at the elevation upto which the reservoir is completely filled with sediment. The
following is the basic equation to determine area correction factor.
Vs = Ao (H-ho) + Vo
Where, Vs = total volume of sediment to be distributed
Ao = reservoir area at new zero elevation
H = reservoir depth at dam
ho= depth upto which the reservoir will be filled with sediment
Vo = volume below new zero elevation
Due to simplified assumption that the surface area at all elevations is reduced by the same
amount, this method predicts the distribution pattern only approximately. It is also seen that
applicability of this method reduces with an increase in the ratio of volume of sediment to the
original capacity of reservoir. Borland and Miller have limited this ratio as 15% for 100 years
sediment load and recommended that if the sediment load exceeds this limit other more exact
methods such as Empirical-Area Reduction method be used. Empirical –Area method has
been widely used in India and its use for planning purposes is also recommended in
BIS(12182-1987) and CBIP (Murthy,1995) Publication No. 89.
Empirical – Area – Reduction Method: In this method the distribution of sediment is
worked out in two steps.
Project: Development of Hydrological Design Aids (Surface Water) under HP-II
Document: 2009097/WR/REP-02 July 2010
State of the Art Report Revision: R0
2.3-10 WATER RESOURCES
(a) Classify the reservoirs into one of the four standard types depending on the geometry of
reservoir and use corresponding area design curve.
(b) Make trial and error computation, till the capacity computed equals the predetermined
capacity.
The four standard type sediment versus depth curves have been converted into area design
curve for computation purpose. This conversion has been made by Moody using the
equation.
Ap = Cp m
(1-p) n
Where, Ap represent a dimensionless relative area at a relative depth “p” above the river bed
and C, m, n are dimensionless constants.
2.3.5 Life of Reservoirs:
After considerable discussions and deliberations, the water planners in India have agreed that
the reservoirs do not have a single well defined life. According to the Compendium on silting
of reservoirs in India (1991), reservoirs do not have, strictly speaking, a defined life which
denotes two functional states ‘ON’ and ‘OFF’. They show a gradual degradation of
performance without any sudden non-functional stage. Sedimentation and consequent
reduction of capacity is a gradual process, which can be classified in following phases:
Phase – I: The reservoir shows no adverse effects and is able to deliver the full planned
benefits.
Phase – II: The reservoir delivers progressively smaller benefits, but its continued
operation for the reduced benefits is economically beneficial.
Phase – III: The sedimentation causes difficulties in operation such as jamming the
passage of flow in canals or through turbines.
Phase – IV: The Phase-III difficulties become so serious that the operation becomes
impossible.
Phase – V: The benefits reduce to such an extent that it is no longer beneficial to operate
the reservoir.
A similar approach has been incorporated in the Indian Standard IS:12182(1987). In this
approach the end of Phase-I will depict the end of the period in which the reservoir is capable
of yielding the full planned benefits. The Phase-II would depict a period when the operation
of the reservoir is also trouble free, in regard to sedimentation, although the efficiency of the
reservoir is gradually reducing, and management measures to adjust to the reduction are
required. The Phase-III would be a period of troubled operation, and unless some new
engineering solutions are implemented, the project may have to be given up in Phase – IV or
Phase – V.
2.3.6 Planning Practices for Reservoir Sedimentation in India:
Dr. A N Khosla, the then Chairman, Central Water Commission (CWC) had in the fifties
reviewed the work of reservoir sedimentation based on data available for 200 reservoirs all
over the world including USA, China and Africa and developed enveloping curves for annual
sedimentation rate for major and minor catchments above and below 1000 sq.miles (2600
sq.km.) respectively. He concluded that the sediment rate for measure catchments varies from
0.357 to 0.476 mm/year (3.57 to 4.76 ha.m./100 sq.km./yr) and for minor catchments from
0.38 to 1.28 mm/year (3.80 to 12.8 ha.m/100 sq.km/yr). Upto 1965, the above
recommendations were adopted in the design of reservoirs and the sediment was assumed to
get deposited at the lowest level and ‘life’ was taken as the period required for complete
sedimentation of the dead storage. Thus, in this old practice;
Project: Development of Hydrological Design Aids (Surface Water) under HP-II
Document: 2009097/WR/REP-02 July 2010
State of the Art Report Revision: R0
2.3-11 WATER RESOURCES
Life in years = Dead storage capacity / average annual sediment yield
The normal planning practice was to have this ‘life’ of atleast 100 years.
The assumption that sediment would settle within the dead storage was not supported by the
experience in other countries or in India. The experience of USA was that sedimentation takes
place throughout the reservoir and the development of methods for sediment distribution were
published around early fifties. It was also proposed that the sediment inflow rates need to be
checked up through reservoir resurveys. Hence resurveys in a number of projects were taken
up through research schemes. The results, indicating a considerable difference from the initial
assumption, started becoming available by 1965. After 1965, Central Water Commission
(CWC) started insisting that the sediment inflow rates be based on the basis of reservoir
survey data. It also brought out the need for distributing the sediment throughout the
reservoir. For this purpose, the empirical area reduction method was preferred in general.
Atleast the more important major projects had to adopt this new approach. However, no
guidance was given until then about which stage of sedimentation should be used for the
working table studies.
Around 1974, it was decided that the 50 year sediment position of the reservoir should be
used in the simulation or working table studies for the project. Also by this time the observed
suspended sediment data from the key hydrologic network of CWC had become available in
considerable volume. CWC therefore started insisting on the use of this measured sediment
transport data also to firm up the assumption of the inflow rates of sediment, in addition to the
reservoir re-survey information. In 1980, the report of the working group on the guidelines for
the preparation of detailed project report of major and medium irrigation projects was
published. In this report, CWC had incorporated the above mentioned practices to make these
mandatory on the State Governments. Also in this report the detailing of the sediment studies
was linked with the expected seriousness of the sediment problem. For very serious cases,
redistribution and re-estimation of trapping efficiency in 10 year block was indicated.
In 1987, CWC got this practice incorporated in the IS:12182(1987) “Guidelines for
Determination of Effects of Sedimentation in Planning and Performance of Reservoirs” to
make this the national practice. In these guidelines the general philosophy and the concept of
multiple life related terms was also spelt out. Also these guidelines indicated that the full
service time for hydroelectric projects can be reduced to 25 years against 50 years of
irrigation projects. The IS guidelines also include notes on the need for periodic resurveys and
give guidance to determine their frequency.
The present practice as incorporated in IS: 12182(1987) has following main features:
a) The sedimentation rate is to be decided on the basis of observations of river sediment
flow and reservoir surveys
b) Methodologies for trapping efficiency and sediment distribution have been specified.
For trapping efficiency determination, both the Brune’s Curves or the Churchills
method are advocated. For distribution of sediment within the reservoir depths,
empirical area reduction method is preferred.
c) The live storage is to be so planned that the benefits do not reduce for a period of 50
years (full service time) for irrigation or 25 years for hydropower projects connected
to a grid on account of sedimentation.
d) The live storage is to be so planned that sedimentation beyond the outlet, causing
operational problems, would not occur for 100 years for irrigation projects and 75
years for hydropower projects in a grid.
Project: Development of Hydrological Design Aids (Surface Water) under HP-II
Document: 2009097/WR/REP-02 July 2010
State of the Art Report Revision: R0
2.3-12 WATER RESOURCES
e) For simulation, if sedimentation is not serious, the conditions obtained at the end of
full service period are to be used throughout the simulation period. If the problem is
serious, studies are to be done by redistributing sediment and recomputing trap
efficiency in 10 year blocks.
The extent of studies to be done themselves are linked to the seriousness of the
problem, as assessed in a preliminary study. For this purpose, the problem is
categorised in three classes:
Insignificant - If the annual loss of capacity is less than 0.1 percent, the
problem is taken as insignificant. “No check on Full Service
Time” needs to be made. The availability of adequate
Feasible Service Time however have to be ensured.
Significant - If the annual loss of capacity is less than 0.1 percent to 0.5
percent, the simulation or working table studies may be done
for the reservoir geometry as obtained at the end of the “Full
Service Time”. This would simplify the simulation study,
and would also ensure that the planned benefits are available
for this period.
The availability of adequate “Feasible Service Time” is also
to be checked.
Serious - If the annual loss of capacity is beyond 0.5 percent, the
recompilation of trapping efficiency and reservoir geometry
for every 10 in the simulation studies is preferred.
While deciding this practice, a thought had to be given to various issues, some of which are
discussed below:
The projects, in India, are subject to economic analysis and a benefit cost ratio of more than
1.5 is generally required to prove the success of the project and for this purpose interest rate
of 10 percent is assumed. At this rate of interest, the present value of the benefit stream hardly
reduces. If the benefits reduce fast say after 30 years. (For example the present value of
perpetual benefit stream of Rs. 1/yr would be Rs. 10, whereas that of stream of Rs. 1/yr for
next 30 years alone would be about 9.50. Thus, economic analysis, would favour projects
with relativity small “full” and “feasible” service times. There were however two strong extra
economic considerations explained below:
1. The availability of “good” reservoir sites constitutes a significant natural resources.
Unlike water resource, this resource is not renewable, since dredging is, in general,
impracticable. Any policy requiring a “short run” use of this important resource could
jeopardise the future of mankind.
2. The irrigation benefits are site specific. To reap these benefits, the farmers have to be
organised to change their lifestyle to shift from the traditional rainfed agriculture to
irrigated agriculture. Such adoption is not free from social stress and problems. If,
soon after such a change, the farmers are to face inadequate availability or non-
availability of water, there could be even more serious social and economic problems
in the region. Atleast a couple of generation of farmers should not face endemic water
shortages in the post project conditions.
Against these two strong extra economic considerations which would favour long full and
feasible service times, the planners had to weigh the economic considerations, and the
practicability of locking up capital sums for additional storages without planned use. The
Project: Development of Hydrological Design Aids (Surface Water) under HP-II
Document: 2009097/WR/REP-02 July 2010
State of the Art Report Revision: R0
2.3-13 WATER RESOURCES
current decisions explained above are somewhat adhoc decisions reached in these
circumstances.
Indian practice as incorporated in the guidelines of 1987 has been evolved from 1974
onwards. Some of the difficulties experienced as per this practice are described below:
(a) For many Himalayan Streams which carry very heavy loads of sediments, planning of
the project with a feasible service time of 75 or 100 years becomes difficult. For
hydroelectric projects in particular, it is possible to repay the development costs in a
few years, and a project can be planned effectively for a shorter period. In Pakistan,
for example, the Tarbela project has perhaps been planned to use most of its capacity
in about 50 years. This brings us to the extra-economic considerations discussed
earlier. A periodical thinking of this aspect is perhaps necessary.
(b) A large number of hydro-electric and even irrigation Projects are planned as pondages
where the capacity: inflow ratio or the detention period can be of the order of a few
days to a month. For many such projects, most of the capacity is against crest gates.
There is a belief amongst planning engineers that for such structures, where the gates
would open during high inflow period, no sedimentation would occur above the crest
of the gates. Although there is enough empirical evidence to indicate that
sedimentation does occur above crest level, simple methods to indicate the new
regime of the river upstream of the dam, and the ‘ultimate’ pondage available for re-
regulation in spite of sedimentation, are not available.
2.3.7 Practices Adopted By State Governments
In general the state water resource departments follow the reservoir sedimentation practices as
recommended by Central Water Commission and incorporated in the Indian standards. In
certain cases for small/medium projects certain guidelines used by the water resource
departments based on empirical relations and guideline available in published material on the
subject are used.
The West Bengal Water Resource Department has reported that the sediment rate data
observed at nearest hydrological observation station is used. Sedimentation estimation studies
are done following BIS codes.
In Rajasthan state, for storage project sedimentation studies based on IS 5477 Part-II 1994
(reaffirmed 2004) and IS 12182:1987(reaffirmed 2002) are carried out. Rate of sedimentation
is assumed based on available sediment observation data.
The gauging station network in Himachal Pradesh is being upgraded under the HP-II. The data
from existing network is being used for design of proposed projects. Many smaller irrigation
and hydropower projects are being developed. The hydropower projects are generally runoff
the river schemes and as such the large sedimentation loads in the rivers are kept in view while
designing the structures. No studies are done for sedimentation of diversion structures as only
the limited capacities are required for runoff the river schemes. Small rainwater
harvesting/irrigation structures are planned so as to provide the capacity as required for
conservation storages plus the sediment volume in 25 years period. In the absence of data silt
rate adopted is 0.0357/ha m/ sq km/ year based on Dr. Khosla’s recommendation.
The Water Resource Department of Maharashtra recommends sedimentation rate for minor
irrigation projects as 1.67 ha m/ 100sqkm/year (MI Manual 1987). For major projects rate of
sedimentation is being adopted as 6.0 ha m/100sqkm/ year (Circular 1992). It is assumed that
50% volume of sediment gets settled in dead storage. Life of reservoirs is taken as 100 years
for major and 75 years for medium projects and silt storage is provided equal to estimated
Project: Development of Hydrological Design Aids (Surface Water) under HP-II
Document: 2009097/WR/REP-02 July 2010
State of the Art Report Revision: R0
2.3-14 WATER RESOURCES
volume of silt deposition during its entire life. Accordingly MDDL and New Zero Elevation
are fixed as per IS Code 5477 part (2) -1994.
The silted reservoir capacities using remote sensing technique have been studied in
Maharashtra for live storage of the reservoir. The study group of Maharashtra Engineering
Research Institute, Nasik conducted a analysis based on the available data of 28 reservoirs
from different basins in Maharashtra. The live storages of these 28 reservoirs range from
27.476 Mm3
to 2677 Mm3
. The sedimentation rate assumed for projects varies from 3.57 to
7.15 ha m/100 sq.km/year based on earlier recommendation of CWC whereas the observed
sedimentation rate in live storage of reservoir varies from 0.90 to 38.33 ha m/100sqkm/year.
(Mundhe et al. 2009). This large variation between sedimentation rates assumed at planning
stage and as observed on reservoir shows that the studies need improvements.
Gujarat government uses the observed data of nearly reservoirs for assessment of
sedimentation rate and the procedures given in BIS Codes are followed for assessment of New
Zero Elevation and Revised Area Capacity Curves.
2.3.8 Conclusion:
The sedimentation rate in India is carried out using empirical formulae, actual observed data
and reservoir sedimentation survey. The recommended BIS (12182-1987) and CBIP
(Murthy,1995) Publication No. 89 have been widely used for reservoir planning.
The GIS based methods using USLE, MUSLE and RUSLE have been used by many
academic/research organizations and professional consulting firms to identify the soil erosion
in various spatial units of the catchment.
References:
Kothyari, Tiwari A K and Singh R, 1996, Temporal variation of sediment yield, J. Hydr.
Engeg. Vol 122, No4, pp169-176
Murthy B N, 1977, Life of reservoir, Central Board of Irrigation and Power, New Delhi, India
Tejwani KG, 1984, Reservoir sedimentation in India: Its causes, control and future course of
action, Water International, Volume9, No4, pp 150-154
Kothyari U C, Jain M K and Rangaraju K G, 2002, Estimation of temporal variation of
sediment yield using GIS, J. Hydrological Sciences, 47(5)
Kothyari U C, Jain S K, 1997, Sediment yield estimation using GIS, J. Hydrological Sciences,
42(6)
Kothyari U C, 1996, Erosion and Sedimentation problems in India, IAHS Publ. no. 236
Jain M K, Kothyari U C,2000, Estimation of soil erosion and sediment yield using GIS, J.
Hydrological Sciences, 45(5)
Jain M K, et al., 2010, Estimation of sediment yield and areas vulnerable to soil erosion and
deposition in a Himalayan watershed using GIS, Current Science, Vol. 98, No. 2
Compendium on silting of reservoirs in India, Central Water Commission, New Delhi, India
Mundhe et al., 2009, Analysis of remote sensing based sedimentation surveys in Maharashtra,
Water & Energy International, Vol.66, No. 4
Mutreja, K.N., (1986), Applied Hydrology, Tata McGraw-Hill, New Delhi, India
Asthana, B.N., (2007), Sediment management in water resource projects, CBIP, Publication
no.301
Subramanya, K., (2008), Engineering hydrology, Tata McGraw-Hill, New Delhi, India
 
 
 
 
                      
 
ANNEXURES 
 
Annex 2.1
WATER RESOURCESA2.1-1
Classification of Projects based the Type of Structure and on the
Contemplated Use of Water
Classification of projects
Classification by Storage Behind the
Structures
Classification by use of Project
A-1 Diversion projects without pondage B-1 Irrigation
A-2 Diversion projects with pondage B-2 Hydropower
A-3 Within the year storage projects B-3 Water supply and industrial use
A-4 ‘Over the year’ storage projects B-4 Navitation
A-5 Complex systems involving
combination of 1 to 4 above mentioned
B-5 Salinity control
B-6 Water Quality Control
B-7 Recreation, fish and wild life
B-8 Flood Control
B-9 Drainage
B-10 Surface to ground water recharge
B-11 Multipurpose
1. Minimum length of data
For planning of any project, the first step requires a correct assessment of water availability at
the site of interest. This requires a sufficiently long sequence of data at the specific location.
The length of data depends on the type of storage, type of development and variability of
inputs.
In general, a longer period of simulation will give more confidence about the overall
performance of the project. However, comparatively shorter length will suffice for within the
year storage where the spill occurs almost every year and the critical period is of the duration
of few months. A longer period would be required for over the year storages.
In Indian context, brief Guidelines for fixing the minimum length of data required are as
under:
Type of Project Minimum length of data for use in simulation
1. Diversion projects 10 years
2. Within the year storage projects 25 years
3. Over the year storage projects 40 years
4. Complex systems involving
combination of above
Depending upon the predominant element
2. Time unit of Simulation
The flow sequences required for planning of projects need to be prepared for an appropriate
time unit so that the simulation studies are accurate and have desired resolution. As the time
unit becomes shorter, resolution becomes more but this increases the computational work.
Thus a time unit, as large as possible, which still gives a good resolution and accuracy is
required. The general criteria/guidelines in this regard as prevalent in India are given in Table
3.1.
Annex 2.1
WATER RESOURCESA2.1-2
Table 3.1
Time Units Required for Simulation
(Classified as per Storage Type and Use)
Type of
Storage
Type of use Time unit required for simulation studies (except for studies of
sediment inflow and deposition)
A1 B2 to B7 & B10 Instantaneous discharges every day, or at smaller units.
A2 B2 to B7 1 day to 10 days depending on the extent of pondage
A2 B1 3 days for upland crops, 10 days for paddies. If extra pondage at
headworks in addition to natural storage on field is provided, larger
units can be used.
A3/A2 B8 1 hour to 24 hours depending on the damping provided by the
drainage basin to the storage.
A2 B10 1 day to 10 days depending on the pondage.
A2 B11 Minimum of individual time units required by each type of use. If
flood control is involved much shorter interval (1 hr. to 24 hrs.)
operation is required only for critical flood periods.
A3 B1 to B3 Monthly. However, it may be sufficient to divide the year in 4 to 8
blocks by grouping together periods of definite storage
accumulation and storage depletion type, and the periods which can
not be classified as such being kept as separate blocks.
A3 B4 to B7 Same as above, but during critical low flows, shorter time unit of
about 10 days to 1 month may be required to simulate droughts and
extra releases for control of water quality, salinity etc.
A3 B10 Same as A3 – B1 to B3 discussed above, in dry season, but in rainy
season where extra recharge will be affected by rainfall, 1 day to 10
day working will be necessary.
A3 B11 Minimum of individual time units for classification by use.
Annex 2.2
WATER RESOURCESA2.1-3
Commonly Used Methods for Consistency Tests
1. Graphical plot of discharge / gauge with time
A graphical plot of discharge shows the variation among the discharge values with
respect to time. The highs and lows of the plot reflect the trend in the discharge series on
visual inspection.
Fig.1 Graphical plot of discharge with time
2. Stage discharge relation at various observation points
Measurements of flow are often required for hydrological analysis. Continuous
measurement of flow is often impractical and expensive. Stage observations are
comparatively easy and economical. Relationship between stage and discharge can be
established which is known as the discharge rating curve.
3. Plot of absolute limits
Hydrological time series data can be numerically checked against absolute and relative
limits and individual values in the time series can be flagged for inspection.
4. Absolute limits:
Values which exceed a maximum specified value or fall below a specified minimum may
be the absolute values of the historic series. The object is to screen out spurious extremes,
but care must be taken not to remove or correct true extreme values as these may be the
most important values in the series.
5. Residual series plot
A residual series is a series plotted relative to the mean value of the series. The residual
series gives a quick insight in wet and dry periods. A residual series plot allows visual
assessment of the distance of each observation from the mean. The residuals should be
randomly scattered in a constant width band about the mean. Runs of residuals above or
below the zero line may indicate a non-linear relationship. If the residuals are
standardized they should lie within roughly ±2 to 3 SDs of zero. Standardized residuals
of +/- 4 or more SDs should be investigated as possible outliers.
A histogram of the residuals allows visual assessment of the assumption that the
measurement errors in the response variable are normally distributed.
Annex 2.2
WATER RESOURCESA2.1-4
Fig. 2 Residual Series Plot
6. Residual mass curve
It is a graph of the cumulative departures from a given reference such as the arithmetic
average, generally as ordinate, plotted against time or date, as abscissa. A residual mass
curve represents accumulative departures from the mean. It is an efficient tool to detect
climatic variability or other inhomogeneity. The residual mass curve Yi is derived as
follows:
Y i = Y i+1 + (X i -mx ) = −∑=
i
J
jX
1
( )
1
1
∑=
N
K
kX
N
Where,
N = number of elements in the series
mx = mean value of Xi, i=1,N
Fig.3 Residual Mass Curve
7. Moving Average
A moving average is a type of finite impulse response filter used to analyze a set of data
points by creating a series of averages of different subsets of the full data set.
Given a series of numbers, and a fixed subset size, the moving average can be obtained.
The average of the first subset of numbers is calculated. The fixed subset is moved
forward to the new subset of numbers, and its average is calculated. The process is
repeated over the entire data series. The plot line connecting all the (fixed) averages is the
moving average. Thus, a moving average is not a single number, but it is a set of
numbers, each of which is the average of the corresponding subset of a larger set of data
Annex 2.2
WATER RESOURCESA2.1-5
points. A moving average may also use unequal weights for each data value in the subset
to emphasize particular values in the subset.
A moving average is commonly used with time series data to smooth out short-term
fluctuations and highlight longer-term trends or cycles. The threshold between short-term
and long-term depends on the application, and the parameters of the moving average will
be set accordingly. Mathematically, a moving average is a type of convolution and so it is
also similar to the low-pass filter used in signal processing. When used with non-time
series data, a moving average simply acts as a generic smoothing operation without any
specific connection to time, although typically some kind of ordering is implied.
Moving Average series Yi of series Xi is derived as follows:
∑
+=
−=+
=
mij
miJ
ji X
m
Y
12
1
Where, averaging takes place over 2M+1 elements
Fig. 4 Moving Average of Rainfall
8. Double Mass Curve
Double mass analysis is a commonly used data analysis approach for investigating the
behavior of records made of hydrological or meteorological data at a number of locations.
It is used to determine whether there is a need for corrections to the data to account for
changes in data collection procedures or other local conditions. Such changes may result
from a variety of things including changes in instrumentation, changes in observation
procedures, or changes in gauge location or surrounding conditions. Double mass
analysis for checking consistency of a hydrological or meteorological record is
considered to be an essential tool before taking it for analysis purpose.
If both stations are affected to the same extent by the same trends then a double mass
curve should follow a straight line. A break in the slope of the curve would indicate that
conditions have changed at one location but not at another.
Double mass analysis is a technique to detect possible inhomogeneities in series, like
jumps, trends, etc. by investigating the ratio of accumulated values of two series, viz:
• The series to be tested, and
• The base series.
Annex 2.2
WATER RESOURCESA2.1-6
The base series is the average of reliable series of nearby stations, which is assumed to
be homogeneous. The double mass curve will show a straight line if the test-series is
homogeneous. A jump in the test-series will create a break in the double mass curve,
whereas a trend will create a curved line.
Let Yi,(i=1,N) be the test series and Xi,(i=1,N) the base series. The double mass analysis
then considers the following ratio:
∑
∑
=
=
= i
j
j
i
j
j
i
X
Y
rc
1
1
If the curve shows a distinct break with curve slopes α before and β after the break,
adjustments may take place in two ways:
• either the data before the break are adjusted to the present conditions by
multiplication by the ratio β / α
• the data after the break are adjusted to the pre-break conditions; in that case the
recent data are multiplied by a factor α / β
As per Guide to Hydrological Practices, WMO No. 168 recommendations, changes in
slope of a double-mass curve may be caused by changes in exposure or location of gauge,
changes of procedure in collecting and processing data, etc. When double-mass analysis
discloses a change in slope, some purposes are served by making the adjustment
indicated by the ratio of the two slopes of the double mass curve. For other purposes, this
disclosure is the beginning of an investigation to determine the reason for the change in
slope. Plotted points in double-mass analysis usually deviate about the straight lines
drawn through the points. The points can be fitted more closely by changes in slope at
intervals of only a few years. However, it must be recognized that such brief changes in
slope could arise from chance, and no segment of less than about five points should be
accepted as valid. In general, a change in slope is accepted as real only if it is
substantiated by other evidence or is well defined for a long period
Fig.5 Double Mass Curve
Annex 2.2
WATER RESOURCESA2.1-7
9. Student’s t-test
Student’s t-test of difference of means is used to test the significance of the difference
between two sample means. Student’s t-Test of Difference of Means can be used to
compare the sample means between two independent samples or two dependent samples.
Student’s t-Test of Difference of Means is a parametric test which assumes a normal
distribution.
Steps in calculation of t-test:
1. In a t-test, two hypotheses are set. The first is null hypothesis, which assumes
that the mean of two paired samples are equal. The second hypothesis in the
paired sample t-test is an alternative hypothesis, which assumes that the means of
two paired samples are not equal.
2. Select the level of significance: In most of the cases in the paired sample t-test,
significance level is set to 5%.
3. Calculate the parameter: The following formula is used for the paired sample t-
test:
Where, d bar is the mean difference between two samples, s2
is the sample
variance, n is the sample size and t is the sample t-test with n-1 degrees of
freedom.
4. Testing of hypothesis or decision making: If the calculated value is greater than
the table value, then the null hypothesis for the sample t-test is rejected. If the
calculated value is less than the table value,the null hypothesis in the paired
sample t-test is accepted and there is no significant mean difference between the
two paired samples in the paired sample t-test.
10. F-test
An F-test is any statistical test in which the test statistic has an F-distribution under the
null hypothesis. It is most often used when comparing statistical models that have been fit
to a data set, in order to identify the model that best fits the population from which the
data were sampled.
The F test is used to compare the variances of two populations of data:
is the variance of the first group and is the variance of the second group.
Steps in calculation of F-test:
1. Calculate and .
2. Calculate the F statistic: .
3. Testing of hypothesis or decision making: If the calculated value is greater than
the table value, then the null hypothesis for the F-test is rejected.
11. Linear Trendline
A trend line represents a trend, the long-term movement in time series data after other
components have been accounted for. It tells whether a particular data set have increased
or decreased over the period of time. A trend line could simply be drawn by eye through
a set of data points, but more properly their position and slope is calculated using
Annex 2.2
WATER RESOURCESA2.1-8
statistical techniques like linear regression. Trend lines typically are straight lines,
although some variations use higher degree polynomials depending on the degree of
curvature desired in the line.
Fig.6 Linear Trend Line
Annex 2.3
WATER RESOURCESA2.1-9
Yield Estimation - Guideline for the Preparation of Preliminary Water
Balance Reports, NWDA, GOI, Nov 1991
1 Surface water resources assessment
i) Past Studies conducted by other agencies
Past studies conducted by other agencies for assessment of surface water resources shall
be briefly described indicating their assessment at various dependabilities.
ii) Availability of rainfall data
The availability of rainfall data of various raingauge stations in or around the basin/ sub-
basin which are considered for working out weighted average rainfall of the basin/ sub-
basin shall be indicated. Missing data of the raingauge station, if any, shall be estimated
using standard statistical methods.
Weighted average monsoon rainfall of the entire basin/ sub-basin for the longterm period
(at least 35 years) for which data is available and also of the basin/ sub-basin upto the
selected G&D site for the period of availability of runoff data shall be computed by
Theissen polygon method.
iii) Availability of Observed Discharge Data
Gauge and Discharge sites maintained by different Agencies/ States and Central Water
Commission shall be indicated. The period of availability of data and drainage area
covered in respect of each site shall also be shown. The consistency of observed
discharge data shall be checked thoroughly. If observed discharge data for particular
years is found to be inconsistent, it should be rejected and reasons thereof shall be
explicitly indicated.
iv). Upstream utilization
Details of year wise existing utilization in the basin/ sub-basin upstream of the G&D site
shall be collected from state Government sources. In the absence of data, appropriate
values of delta may be assumed for estimating utilization.
Storage effect on account of hydel project be considered to arrive at virgin yield. In case
of irrigation projects, the storage effect need not be considered, as storages filled during
monsoon period are fully utilized during non-monsoon period.
While working out virgin yield, regeneration at the rate of 10% if not utilization from
existing major, medium projects and also from imported water upstream of G&D site
shall be considered. Virgin monsoon yield upto the selected G&D site shall then be
worked out adding upstream utilization from existing major, medium and minor projects
(excluding utilization from imports) to the observed monsoon yield and deducting
regeneration.
v). Computation of Yield
Rainfall-runoff relationship for monsoon period shall be developed by regression analysis
both for linear and non-linear form of equations.
The forms of equation to be used shall be as follow:
(i) Y = a + bx
(ii) Y = b + ax
Best fit regression equation shall be selected on the basis of least standard error of
estimate and co-efficient of correlation not below 0.70. Weighted average monsoon
rainfall of each year shall be substituted in the selected regression equation to develop
long term monsoon yield series of the basin/sub-basin. The monsoon yield shall be
worked out as a percentage of net non-monsoon yield to virgin monsoon yield from the
observed set of run-off data and corresponding utilization. The annual yield series shall
be arrived at by adding both the monsoon yield and the non-monsoon yield. The yield
Annex 2.3
WATER RESOURCESA2.1-10
shall be arranged in descending order and annual yield at 75% and 50% dependabilities
shall be computed therefrom.
When the catchment of a basin/sub-basin is sub divided for estimation of dependable
yields, using observed flow data of more than one G&D site, the long term annual yields
series for each part catchment shall be estimated. The annual yields of each year of such
part catchments shall be added to arrive at annual yield series for the whole basin/ sub-
basin. Thereafter dependable yields of whole catchment shall be estimated.
vi) Import/ Export
Details of import from existing, ongoing and future identified projects located outside the
basin/ sub-basin shall be collected from State Government sources. Similarly, details of
export, outside basin/ sub-basin from existing, ongoing and proposed projects located
within the basin/ sub-basin shall also be collected from State Government. The details of
import and export should give details of annual irrigation and annual utilization in respect
of each of the project.
2 Groundwater Assessment
i) Ground Water Availability based on CWGB estimates
Ground water potential and existing draft of the basin/ sub-basin shall be computed on
proportionate area basis from the latest data collected from Central Ground Water Board,
in absence of which from statistics of State Ground Water Boards
ii) Additional ground water availability on account of introduction of irrigation
Additional ground water available on account of introduction of irrigation in the basin/
sub-basin shall be estimated. This shall comprise (i) recharge due to seepage from canals
and (ii) return seepage from irrigated field and shall be estimated as under:
(i) Recharge due to seepage from canals
The following norms recommended by Ground Water Over Exploitation Committee may
be adopted in most of the areas except where project studies undertaken have indicated
different norms.
a) For unlined canals in normal type of soil with some clay content alongwith sand.
15 to 20 ha m/day/10 sq.m. wetted area of canal.
b) For unlined canals in sandy soils
25 to 30 ha.m/day/10 sq.m. of wetted area.
c) For lined canals the seepage losses may be taken as 20% of the above values.
(ii) Return seepage from irrigation fields
For irrigation by surface water sources, this shall be taken as 35% of water delivered at
the outlet for application in the field and 40% of water delivered at outlets for paddy
irrigation only.
In the above case return seepage figures include losses in field channel and these should
not be accounted for separately.
3 Allocation of water as per Tribunal Award
In case any Tribunal Award is existing for any basin/ sub-basin, the same shall be briefly
described with allocation to each State presented in tabular form giving reference to
Tribunal Award, in respect of the particular project.
Annex 2.4
WATER RESOURCESA2.1-11
Yield Assessment - Manual on Planning and Design of Small
Hydroelectric Schemes, CBIP, India, 2001
1. Long term measured river flows
When river flows are available for a period of 20 years or more, the power potential may
be assessed considering the entire flow series. No special hydrological series are required.
The necessary working table may be prepared on the basis of selected time units.
2. Short term (5-10 years) measured river flow and long term rainfall records
Rainfall-Runoff correlation
In this data position, short-term runoff data is extended backwards for the desired length
of time, say 20-25 years, provided the long term rainfall records are available for that
length of time. The statistical approach of rainfall-runoff modelling is adopted for data
extension. In this model, rainfall-runoff data of concurrent period are correlated and
suitable regression equations are developed. If the correlation coefficient is about 0.8 or
more, , the corresponding rainfall-runoff correlation may be considered reasonable and
adopted for further analysis.
Following regression models can be adopted :
a) Bivariate Linear
b) Bivariate curvilinear
c) Multivariate linear
d) Multivariate curvilinear
In the above relationships random component are not considered.
In case of run-of-the-river small hydroelectric schemes, small catchments are generally
involved.
For such catchments, antecedent rainfall P t-1 may not significantly affect the runoff when
a month is considered as a unit period of study. Hence, only bivariate regression equation
may be considered. However, if a reasonable correlation coefficient is not obtained with a
bivariate form of equation, the multivariate form may be adopted.
3. Short term measure river flows but no rainfall records
a) Data available for a period of 5-10 years
For this type of data position, the catchment rainfall are estimated from the rainfall
records of raingauges in the neighbouring catchments having similar hydro meterological
characteristics.
b) Discharge - Discharge correlation
If there are long term gauged river flows in an adjoining catchment having similar
hydrometerological and catchment characteristics like soil type, topography, orographic
features, land slope, forest area and vegetative cover, discharge-discharge correlation is
recommended.
The equation is in the form
R1 = a + b R2
Annex 2.4
WATER RESOURCESA2.1-12
Where R1 = Runoff at site with short term record
R2 = Runoff at site with long term record
a and b are constants
c) Records are available for two lean seasons and one flood season
i) When regional discharge data are available
In this case the discharge data being too scanty instead of developing only one
correlation of each month, only one correlationship can be developed grouping all twelve
month records.
ii) When regional discharge data are not available
In order to utilise the site specific short term discharges when regional discharges is not
available is to develop an annual rainfall duration (ARD) curve for the catchment at the
project site. The mean annual catchment rainfall for the observed period of discharges is
estimated and its percent availability is read from ARD curve. The ratios of annual
rainfalls at 50%, 75% and 90% dependabilities as read from ARD curve to the mean
annual is computed as Y50, Y75 and Y90. Assuming these rainfall ratios to be applicable to
discharge also, the mean monthly discharge for 50%, 75% and 90% are computed by
multiplying the mean monthly discharges of observed periods by Y50, Y75 and Y90
respectively.
4) Regional Specific Discharge Approach
The specific discharge is defined as the discharge per unit catchment area. Regional
monthly specific discharge is computed for the river basins where discharges have been
observed. The hydrographs of monthly specific discharge for a particular dependability
for different river basins having similar hydrometeorological and catchment
characteristics are developed. If there is a good comparison, a mean hydrograph may be
considered as the regional hydrograph of specific discharges which may be considered
for an ungauged river basin in the same basin.
a) Flows are available for two lean and one flood season
In case where two lean and one flood season records are available, the specific discharge
hydrograph for this period is plotted on the regional specific discharge hydrographs for
50%, 75% and 90% dependabilities. A comparison would reveal whether the observed
specific discharges compare closely with the regional discharges. In that case, regional
specific discharge hydrographs may be assumed to be applicable at the project site.
5. Estimate of Post-monsoon flow
During the monsoon rainfall, ground water storage is augmented due to infiltration of rain
water into the ground. The ground water table rises. On the withdrawl of the monsoon
rainfall, the water in the river goes down and the perennial river receives water due to
release of water from the ground water storage. The post-monsoon flows are thus
indirectly dependant on monsoon rainfall. However, in case of snowfed catchment, post
monsoon flows are also contributed by snow-melt water.
Annex 2.4
WATER RESOURCESA2.1-13
i) Short term records available
Unlike rainfall runoff regression for the monsoon months, rainfall versus runoff of post
monsoon months does not give any reliable correlation because even with zero rainfall,
there will be some flow in the river due to groundwater regeneration.
One commonly used method is to express total post monsoon runoff as a ratio of total
monsoon runoff to the period for which observed data are available and a plot is
developed. Once a long term monsoon runoff is computed, the corresponding post
monsoon runoff can be estimated from this plot.
ii) No record available
When the observed data is not available or very scanty, the regional approach is adopted.
The regional approach computes both monsoon and post-monsoon flows.
6. Snow covered catchment
In winter, the snow coverage comes down temporarily below the permanent line. When
snow melt starts, the aerial distribution of snowcover will change. In absence of these
data, snowmelt assessment at different elevations is not feasible. A convenient approach
for snow covered catchments is to correlate the available observed flows per unit area at
the project site with those of other rivers in the region where discharge observations have
been made.
7. Regulated Structure
Type 2 - Scheme on canal falls and Type 3 – Power house located downstream of
existing dam / barrage’ the canal discharges / releases at dams / barrages are utilized for
water availability studies.
Annex 2.5
WATER RESOURCESA2.1-14
Yield Assessment - Hydrological Aspects in Project Planning and
Preparation of DPR, Training Directorate, CWC
1 Rainfall-Runoff correlation
After validation and processing of available rainfall-runoff data, flow series of desired
length can be derived through rainfall-runoff correlation. The hydrological model like
Sacremento can be used in case catchment is having hydrometeorological and watershed
information required for calibration and validation of such model.
A rainfall-runoff is a very common technique for extending data of short duration.
Flow series of desired length can be derived through rainfall-runoff correlation. This
relation depends on the hydro-meteorological characteristics of the project catchment.
The year can be broken into various seasons depending on the hydro-meteorological
properties of catchment as follows :
Monsoon season (June – September)
Non-monsoon season (January-May & October-December)
Post-monsoon period (October – November)
Snow accumulation period (December – February)
Snow melt period (March - May)
i) Stationarity and Homogeneity check
In order to apply the correlation technique, flow series should satisfy the conditions of
stationarity and homogeneity. When a series is divided into several segments and a
statistical parameter such as mean value is used to characterise the data of each segment,
expected value of the statistical parameter is practically the same for each segment in a
stationary series.
The temporal homogeneity check is performed to detect any sudden changes or
inconsistency in the data at any time in the period of record. A double mass curve can be
used for this purpose.
For low rainfall amount, the relation is highly non-linear in view of the strong varying
rainfall abstractions due to evaporation. For very high rainfall, the abstraction is constant
as it has reached its potential level; Then the rainfall-runoff relation is linear. As long as
the application of the relation remains within the observed range, linaer relation can be
adopted so long as the residuals distribute randomly about the regression equation over
the range considered. Another important aspect of judging the regression model is to look
carefully at the behaviour of the residuals, not only about the regression line as a function
of rainfall but also as a function of time.
ii) Simple Linear Regression
This is the most common model in hydrology which have the following general form :
Ŷ = α + βX
Where:
Ŷ = dependent variable, also called response variable (produced by the regression model)
X = independent variable or explanatory variable, also called input, regressor, or
predictor variable
α, β = regression coefficients
Annex 2.5
WATER RESOURCESA2.1-15
The actual observations on Y do not perfectly match with the regression equation and a
residual ε is observed,
Y = α + βX + ε
The regression line will be established such that E[ Y – Ŷ ] = E [ ε ] = 0 i.e. that it
produces unbiased results and further that the variance of the residual σε
2
is minimum.
The following steps for developing regression model are :
Estimation of regression coefficients
Measure for the goodness of fit
Confidence limits for the regression coefficients
Confidence limits for the regression equations
Confidence limits for the predicted values
Application of regression to rainfall-runoff analysis
a) Estimation of regression coefficients
The estimators for the regression coefficients α and β, denoted by a and b respectively are
determined by minimising Σε2
Denoting the observations on X and Y by x i and y i this
implies, that for:
to be minimum, the first derivatives of M with respect to a and b be set equal to zero:
From this it follows for a and b:
b) Measure for Goodness of fit
The error variance can be given by :
σε
2
=σY
2
(1 - r2
)
The closer r2
is to 1, the smaller the error variance will be and the better the regression
equation is in making predictions of Y given X. Therefore r2
is an appropriate measure
for the quality of regression fit to the observations, and is called the coefficient of
determination.
c) Confidence limits for the regression coefficients
Based on the sampling distributions of the regression parameters, the following estimates
and confidence limits hold :
A (100-α) percent confidence interval for b is found from the following confidence limits
:
222
)()ˆ( iiiii bxayyyM −−∑=−∑=∑= ε
0)(2 =−−∑−=
∂
∂
ii bxay
a
M
0)(2 =−−∑−=
∂
∂
iii bxayx
b
M
xbyaand
S
S
xxxx
yyxx
b
XX
XY
n
i
ii
n
i
ii
−==
−−
−−
=
∑
∑
=
=
:
))((
))((
1
1
XX
n
S
tbCL
1
ˆ2/1,2 εα σ−−± ±=
Annex 2.5
WATER RESOURCESA2.1-16
A (100-α) percent confidence interval for a is found from the following confidence limits
:
d) Confidence limits for the regression equation
A (100-α) percent confidence interval for the mean response to some input value x0 of X
is given by:
Note that the farther away x0 is away from its mean, the wider the confidence interval will
be.
e) Prediction
A (100-α) percent confidence interval for a predicted value Y when X is x0, follows that
It is observed that the confidence limits will be substantially wider than those for the
mean regression line.
f) Extrapolation
Extrapolation of a regression equation beyond the range of X to obtain a value of Y not
recommended due to the following reasons :
confidence intervals become large as X increases
Relation Y = f(X) may be non-linear for full range of X and only approximately linear for
the range of X investigated.
iii) Multiple linear Regression
Sometimes, a dependant variable is modelled as a function of several other quantities. For
example, monthly runoff is likely to be dependant on the rainfall on the same month and
in the previous months. The regression equation would be :
R(t) = α + β1 P(t) + β2 P(t-1) +… (1)
A general linear model is of the form
Y = β 1X1 + β 2X2 +…….. β pXp + ε (2)
Where Y is a dependant variable, X1 , X2 , …Xp are independent variables and β1, β 2
,….. β p are unknown parameters.
Multiple linear regression involves solving n equations for the p unknown parameters.
The n equations are given as:
Y = Xβ+ε (3)
Where,
Y = (n x 1) – data column vector of the centred dependent variable (yi-y)
X = (n x p) – data matrix of the centred independent variables (xi1-x1),…….,(xip-xp)
β = (p x 1) - column vector, containing the regression coefficients
ε = (n x 1) – column vector of residuals
The residuals are conditioned by :
E[e]=0 and (4)
Cov(e)= I2
εσ (5)
XX
n
S
xx
n
tbxaCL
2
0
2/1,20
)(1
ˆ
−
+±+= −−± εα σ
XX
n
S
xx
n
taCL
2
0
2/1,2
)(1
ˆ
−
+±= −−± εα σ
XX
n
S
xx
n
tbxaCL
2
0
2/1,20
)(1
1ˆ
−
++±+= −−± εα σ
Annex 2.5
WATER RESOURCESA2.1-17
Where,
I = (n x n) diagonal matrix with diagonal elements = 1 and off-diagonal elements = 0
2
εσ = variance of (Y/X)
According to the least square principle the estimates b of β are those which minimize the
residual sum of squares ε T
ε . Hence
( ) ( )ββεε XYXY
TT
−−= (6)
is differentiated with respected to b, and the resulting expression is set equal to zero. This
gives
XT
Xb =XT
Y (7)
called the normal equations, where β is replaced by its estimator b. Multiplying both
sides with (XT
X) leads to an explicit expression for b :
b = (XT
X)-1
XT
Y (8)
The properties of the estimator b of β are :
E(b)= β and (9)
Cov (b) = ( ) 12 −
XX T
εσ (10)
From equations (6) and (7) the total adjusted sum of squares YT
Y can be portioned into
an explained part due to regression and an unexplained part about regression as follows:
YT
Y=bT
XT
Y + eT
e (11)
Where
(Xb)T
Y = sum of squares due to regression
eT
e = sum of squares about regression with ε by e due the replacement of β with b.
i.e. Total sum of squares about the mean = regression sum of squares + residual sum of
squares
The mean squares values of the right hand side terms in () are obtained by dividing the
sum of squares by their corresponding degrees of freedom. If b is a ( p x 1)-column
vector, i.e. there are p-independent variables in regression, then the regression sum of
squares has p-degrees of freedom. Since the total sum of squares has (n -1) degrees of
freedom, it follows by subtraction that the residual sum of squares has (n-1-p) degrees of
freedom. The residual mean squares 2
eS is an unbiased estimate of 2
εσ and is given by:
pn
ee
S
T
e
−−
=
1
2
(12)
The analysis of variance table (ANOVA) summarizes the sum of square quantities as:
Source Sum of Squares Degrees of
freedom
Mean Squares
Regression
(b1,………bp)
Residual
(e1,………ep)
SR = bT
XT
Y
Se=eT
e=YT
Y-
bT
XT
Y
P
n-1-p
MSR=bT
XT
Y/p
MSe=se
2
=eT
e/(n-1-p)
Total
(adjusted for y)
SY=YT
Y n-1 MSY = SY
2
=YT
Y/(n-1)
Annex 2.5
WATER RESOURCESA2.1-18
A measure of quality of regression equation is coefficient of determination (Rm) which is
defined as the ratio of the explained or regression sum of squares and the total adjusted
sum of squares:
YY
YXb
R T
TT
m =2
(13)
For a perfect model Rm=1
Confidence Intervals on the Regression Line:
To place confidence limits on Y0 where Y0=X0b it is necessary to have an estimate for the
variance of 0Y
)
. Considering Cov(b) as given in eq(10) the variance Var ( 0Y
)
) is given as :
T
o
T
e XXXXsYVar 1
0
2
0 )()ˆ( −
= (14)
The confidence limits for the mean regression equation are given by :
)ˆ(
,
2
1 oao YVartbXCL
pn −−± ±= (15)
A common situation in which multiple regression is used is when one dependent variable
and several independent variables are available and it is desired to find a linear model
that is developed does not necessarily have to contain all of the independent variables.
Thus the points of concern are: (1) can a linear model be used and (2) what independent
variable should be included?
A factor complicating the selection of the model is that in most cases the independent
variables are not statistically independent at all but are correlated. One of the first steps
that should be done in a regression analysis is to compute the correlation matrix.
Retaining variables in a regression equation that are highly correlated makes the
interpretation of the regression coefficients difficult. Many times the sign of the
regression coefficient may be the opposite of what is expected if the corresponding
variable is highly correlated with another independent variable in the equation.
One of the most commonly used procedures for selecting the “best” regression equations
is stepwise regression. This procedure consists of building the regression equation one
variable at a time by adding at each step the variable that explains the largest amount of
the remaining unexplained variation. After each step all the variables in the equation are
examined for significance and discarded if they are no longer explaining a significant
variation. Thus the first variable added is the one with the highest simple correlation with
the dependent variable. The second variable added is the one explaining the largest
variation in the dependent variable that remains unexplained by the first variable added.
At this point the first variable is tested for significance and retained or discarded
depending on the results of this test. The third variable added is the one that explains the
largest portion of the variation that is not explained by the two variables already in the
equation. The variables in the equation are then tested for significance. This procedure is
continued until all of the variables not in the equation are found to be insignificant and all
of the variables in the equation are significant. This is a very good procedure to use but
care must be exercised to see that the resulting equation is rational.
The real test of how good is the resulting regression model, depends on the ability of the
model to predict the dependent variable for observations on the independent variables
Annex 2.5
WATER RESOURCESA2.1-19
that were not used in estimating the regression coefficients. To make a comparison of this
nature, it is necessary to randomly divide the data into two parts. One part of the data is
then used to develop the model and the other part to test the model. Unfortunately, many
times in hydrologic applications, there are not enough observations to carry out this
procedures.
Monthly runoff is likely to be dependent on the rainfall in the same month and in the
previous month(s) Then the regression equation would read:
R(t) = α + β1P(t) + β2P(t-1) + ….
2 Discharge-Discharge correlation
This is another most commonly faced situation in evaluating the water availability aspect
for Water Resource projects. Correlation technique is used to develop relation between
stream gaging records of concurrent period between two or more stations, one with short
term data and other with long term records.
The relation between the flows can be based on concurrent daily, 10-daily, monthly,
seasonal or annual discharges. In a numerical procedure, a linear or power equation is
used to extend the short length of flow data. The equation takes the following form :
Y i = mx i + C
Where m and c are estimated by standard procedure.
The estimated values of flows at project site tend to yield a smaller variance than the real
observations. To preserve the variance inherited in the observed values, a random
component is added to the regression estimates (Matalas and Jacobs, 1964). This
component is referred to as noise, which is normally distributed with zero mean and
variance proportional to the variance of the short term series.
Therefore, equation for streamflow estimates are :
Y i = mx i + C + Sy ei √ 1-r 2
Where,
2
2
1
y
yx
S
S
r −=
2
2
2
−
−−
=
∑ ∑ ∑
N
xymyCy
Syx
1
/)( 22
2
−
−
= ∑ ∑
N
Nyy
S y
S y = standard deviation of y from smaller length of record
e i = random normal variable with zero mean and unit variance
If the correlation coefficient exceeds 0.8, the noise component need not be added to get a
reliable estimate of variance from the extended series. Although the above equation can
be used to estimate streamflows, the use of pseudorandom numbers is not appealing, with
every investigator deriving different values of streamflows, although within the limits
expected by chance.
Annex 2.5
WATER RESOURCESA2.1-20
3 Estimation of flow at ungauged site
Often a site for which a stream data are needed is not gauged, but a gauging station exists
on the same river upstream or downstream, or both. The interpolation of the record
provides a means of estimating the flow in such cases. Consider that the gauging station
record is available at site X having a drainage area Ax, and an estimate has to be made
for another site Y on the same river with drainage area Ay. The flow will be distributed in
direct proportion of the drainage area.
x
y
xy
A
A
QQ =
A better estimate is made when records at two gauging sites exist, preferably one
upstream and one downstream of the ungauged site because between a gaugd site and the
ungauged site, there might be some changes in the drainage pattern, such as the meeting
of a tributary or extraction of water. The variation in flow between the two gauged sites is
adjusted either on the basis of drainage area as under,
xz
xy
x
x
z
z
x
x
y
y
AA
AA
A
Q
A
Q
A
Q
A
Q
−
−
⎟⎟
⎠
⎞
⎜⎜
⎝
⎛
−+=
Qx = Flow at gauged site X of drainage area Ax
Qy = Flow at gauged site Y of drainage area Aya
Qz = Flow at gauged site Z of drainage area Az
zQ and xQ are average of discharge series at Z and X respectively
Or on the basis of the distance between the sites as follows
z
y
x
x
z
z
x
x
y
y
L
L
A
Q
A
Q
A
Q
A
Q
⎟⎟
⎠
⎞
⎜⎜
⎝
⎛
−+=
Ly = Distance between stations X and Y
Lz = Distance between stations X and Z
4 Synthetic Technique
The available streamflow, known as historical records, are often quite short, generally
less than 25 years in length. These do not cover the economic life of a project of 50 to
100 years. A system designed on the basis of historical record only faces a chance of
being inadequate for the unknown flow sequence that the system might experience.
Further, the historical record comprising a single short series does not cover a sequence
of low flows as well as high flows.
In statistical sense, the historical record is a sample out of a population of natural
streamflow process. If this process is considered stationary, many series representing
such samples can be formulated that will be similar to the historical record. The purpose
of streamflow synthesis, however, is not to analyse a time series but to generate the data
based on the series. The statistical properties are used to reproduce the series of similar
characteristics. Various stochastic processes are used for generating the hydrologic data
as given below :
Markov Process or Autoregressive (AR) model
Autoregressive-Moving Average model
Disaggregation model
Autorun model
Annex 2.5
WATER RESOURCESA2.1-21
5 Models of the Hydrologic cycle
Many models have been formulated incorporating elements of the hydrologic cycle. The
depression storage and evaporation are reasonably fixed parameters during a specific
period. The infiltration rate is thus a very important component of these models which
relates the precipitation to the runoff. The infiltration depends on the moisture conditions
of the drainage basin at the tiem of precipitation.
i) Streamflow from drainage basin characteristics
The US Geological Survey conducted statistical multiple regression analysis to derive the
generalised relations for the natural streamflows in four regions of the eastern, central,
southern and western United States. The long term stream flow records were used in
regression and a large number of topographic and climatic indices were included in
drainage basin characteristics. The regression considered various categories of flows. The
multiple regression analysis defined the relation between each category of flow and the
drainage basin characteristics.
The regression relationship has the following form in which the constant a and
coefficients b1, b2,…. have different values for different regions and different categories
of flows.
Q = a Abi
S b2
Lb3
St
b4
Eb5
I24,2
b6
Pb7
Sn
b8
Fb9
Si
b10
t1
b11
t7
b12
Ev
b13
Aa
b14
Where,
Q = discharge
A = Drainage area
S = Channel slope
L = Channel length
St = percent of total drainage area occupied by lakes lakes, swamps, ponds
E = mean elevation of the basin abvove msl
I24,2 = maximum 24 – hour precipitation expected to be exceeded once every 2 years
P = Mean annual precipitation
Sn = mean annual snowfall
F = % of total area under forest cover
Si = soil index for infiltration
t1 = mean of minimum January temperatures
t2 = mean of minimum July temperatures
Ev = annual evaporation
Aa = alluvial area in the basin
For each category of flow characteristics, all of the indices above need to be included.
The indices most highly related to streamflow are drainage basin size and mean annual
precipitation.
Annex 2.5
WATER RESOURCESA2.1-22
ii) Streamflow related to channel geometry
For estimating streamflow characteristics for ungauged stream quickly and inexpensively,
the channel geometry relations are derived by USGS as an alternative approach which
eliminates the need for extensive input data required in other methods. The equations
have been developed from the data collected at numerous stream gauging sites in the arid
to semi arid parts of western USA to assess the mean annual flow and flood discharges at
selected recurrence intervals from channel geometry and channel material data.
In these relations, the discharge is directly related to the active channel width, which is
indicative of relatively recent conditions of water and sediment discharge. It is subject to
change by prevailing discharges. Its upper limit is defined by a break in the relatively
steep bank slope of active channel to a more gently sloping surface beyond the channel
edge, the nature of the stream, affected the relations. The characteristics of the areas such
as mountains, plains and desert also influence the discharge. The studies indicated that
width-discharge relations vary measurably with the channel material characteristics.
Separate relations have been developed accordingly for each channel characteristics.
Annex 2.6
WATER RESOURCESA2.1-23
Model Structure of Water Yield Model ( WYM)
The operation of the model consists in updating soil moisture S and ground water storage
G continuously at the end of each month. S is augmented by precipitation P and depleted
by evapotranspiration E. Similarly, ground water storage G is augmented by percolated
moisture and depleted by base flow, supplementary base flow and deep ground water
storage.
St = St-1 + Pt – Et
Gt = Gt-1 + PM-SBF
The monthly evapotranspiration is calculated by Modified Penman’s method. The runoff
comprises of three components : Surface runoff (RSR), supplementary base flow (RSBF)
and base flow (RBF) which are defined as :
RSR = (1-b) . {a(St – Smin) + (St – Smax) }
RSBF = Gt - Gmax
RBF = c. Gt
Where,
Smin = Minimum soil moisture storage
Smax = Maximum Soil moisture storage
Gmax = Maximum ground water storage
a, b, and c are infiltration, percolation and baseflow coefficients.
WYM is simple and adaptable model. It has only nine parameters and need much less
input information which in turn require less time for data collection compilation and
processing. The coefficients b and c are approximated using observed runoff data. SMAX
and SMIN are approximated by physiographic, soil and land use characteristics and the
rest of parameters are manually adjusted during calibration stage. The best match of the
output to the observed data is judged by the R2
criterion and visual judgement of
comparison of
• Continous flow plot
• Plot of flow duration curves
Annex 2.6
WATER RESOURCESA2.1-24
Fig. 7 Flow Chart for WYM
Fig. 7 Schematic diagram of Water Yield Model ( WYM)
Ct
GMAX
St
GROUND WATER
SUB-SYSTEM
CHANNEL
SUB-SYSTEM
SURFACE AND SOIL
MOISTURE
SUB-SYSTEM
INPUT
RAINFALL
pt
SMAX
ACTUAL
EVAPOTRANSPIRAT
ION
K = PET
RUNOFF
α FILTRA
=
INFILTRATI
ON
2(St-SMIN)
OVERLAND FLOW
FLOW= (St-SMAX)
SURFACE RUNOFF
RSR=(1-
b).(a.FILTRA+OFLOW)
PERCOLATION
PERCO=b(α.FILTRA+OFL
OW)
BASEFLO
W
RBF=C Gt
SUPPLEMENTAR
Y BASEFLOW
RSBF=Gt-
G
RIVER
FLOW
TO DEEP
GROUNDWATERS
DGM= ex
Gt
SMIN
Annex 2.7
WATER RESOURCESA2.1-25
SHE Model
The ‘Systeme Hydrologique Europeen’ SHE modeling system has been applied to six
subcatchments covering about 15000 km2
of the Narmada basin in Madhya Pradesh,
Central India. The following approach was used in processing and model set-up for the
six basins.
• Data on topography, river network, soil type and land use were computed on grid
network of 1km X 1 km to 4 km X 4 km with SHE microprocessor programs.
• Landcover in the catchment were identified as agriculture, open forest, dense forest and
waste land, further subdivided into lowland, hillslope and upland area.
The assumptions made in fixing the physical parameters are
Soil depth were assumed to vary between 7-15 m in lowland area and 0-0.6 m
elsewhere.
Initial estimates of soil parameters were the same for all the basins except Hiran
where specific field measurements were available.
Soil retention curve of black cotton clays was used.
The overland flow resistance coefficient was evaluated as spatially uniform in each
basin.
The channel flow resistance coefficient was evaluated using measured flow and
channel data at the basin flow outlets.
The channel flow resistance coefficient was assumed to be evaluated using measured
flow and channel data at the basin outlets.
• Spatial variation in channel geometry for Ganjal, Hiran and Narmada subbasins were
evaluated from brief field survey.
• For modeling of basin response mechanisms,
•
For lowland agricultural area with deep soil, the initial monsoon rains are absorbed
by the soil moisture reservoir, with cracks playing role in enhancing infiltration.
Once the rainfall is lost and cracks have sealed, further rainfall is lost as surface
runoff, interflow in the upper layers of profile or evaporation.
During the dry season, moisture in the root zone is lost through evapotranspiration
while the deeper groundwater reservoir drains slowly, contributing to deep storage or
river baseflow.
In upland area, runoff is likely to be rapid because of thin soil, steep slope and
prevalence of small channels.
In flat agricultural area, the field bunds impound the surface runoff, impeding its
progress to the main river channels.
The calibration was made on monthly outlet hydrograph volumes, outlet peak discharge
and outlet baseflow discharge. The adjustment to parameters were kept within physically
realistic limits.
Reference
J.C.Refsgaard, S. M. Seth, J.C.Bathurst, M. Erlich, B. Storm, G. H. Jorgensen and S.
Chandra, “
Application of the SHE to catchments in India Part 1. General results”, Journal of
Hydrology, 140(1992) 1-23
Annex 2.8
WATER RESOURCESA2.1-26
SCS – CN Based Hydrological Model
Concept of SCS-CN model:
The SCS-CN method is based on the water balance equation and two fundamental
hypothesis. The first hypothesis states that the ratio of actual amount of direct surface
runoff to the maximum potential runoff is equal to the ratio of the amount of actual
infiltration to the amount of potential maximum retention. The second hypothesis states
that that the amount of initial abstraction is some fraction of potential maximum
retention. Mathematically, SCS-CN equations can be expressed as :
QFIP a ++= ; SFIPQ a /)/( =− ; SIa λ=
Where P is total rainfall, aI is initial abstraction, F is cumulative infiltration excluding
aI , Q is direct runoff and S is potential maximum retention.
Combination above equations leads to
)/()( 2
SIPIPQ aa +−−= if aIP ≥ otherwise 0=Q
Relation between S and CN is expressed as 10)/1000( −= CNS
Model Applications
SCS-CN based long term hydrologic model was developed by Mishra (1998). The model
formulation is based on conversion of precipitation to rainfall excess using SCS-CN
method and its routing by single linear reservoir and linear regression techniques with
following assumptions :
• The variation of parameter S was governed by antecedent moisture condition.
• The baseflow was assumed to be a fraction of the infiltration amount.
• The baseflow was routed to the outflow of the basin using lag and route method.
• The parameters of the model was computed using non-linear Marquardt algorithm.
The model was applied to daily rainfall-runoff data of Hemvati catchment and upper
Ramganga catchment of 600 sq km and 3134 sq km area respectively. In the 5 year daily
data of Hemvati, the results show efficiency of 75.31 % in calibration and 82.03 % in
validation. The 7 year daily data of Ramganga show the efficiency 58.34 % in calibration
and 67.2 % in validation.
By study under various cases of calibration and validation data pattern , the author has
concluded that data length of higher magnitude is required for stability of model
parameters.
Reference
Dr. S. K. Mishra, “A Modified SCS-CN Based Hydrologic Model”, TR(BR) – 2 / 1999-
2000, National Institute of Hydrology
-----------------------------------------------------------------------------------------------------------
The SCS-CN method is widely used methodology for continuous modeling for volume
of surface runoff for small agriculture watersheds. It is based on water balance equation
Annex 2.8
WATER RESOURCESA2.1-27
and two fundamental hypothesis. The first hypothesis states that the ratio of actual
amount of direct surface runoff to the maximum potential runoff is equal to the ratio of
the amount of actual infiltration to the amount of potential maximum retention. The
second hypothesis states that that the amount of initial abstraction is some fraction of
potential maximum retention.
The main objective of the paper is to revisit the SCS-CN method, analyse its basis in
Mockus method and to assess the performance of various models which are modified
versions of the same as stated below :
Model 1 – SCS-CN method with varying l
Q/(P-Ia) = (P-Ia)/(S+P-Ia), Ia = l S, S = 25400 / CN - 254
Model 2 – Existing SCS-CN method with l = 0.2
Q/(P-Ia) = (P-Ia)/(S+P-Ia), Ia = l S, S = 25400 / CN – 254
Model 3 – Modified model
Q/(P-Ia) = P / (S+0.5 (P-Ia)), Ia = l S, S = 25400 / CN - 254
Model 4 – Modified Model in general form
Q/(P-Ia) = (P-Ia) / (S+a(P-Ia)), Ia = l S, S = 25400 / CN - 254
Model 5 – Mockus method
Q/(P-Ia) = 1-10 –bP
, b ln(10) = 1/ S, Ia = l S, S = 25400 / CN - 254
Model 6 – Fogel and Duckstein (1970) model
Q = c (P-Ia) , Ia = l S, S = 25400 / CN - 254
Where,
P = Total precipitation, Ia = Initial abstraction, F = cumulative infiltration excluding Ia,
Q = direct runoff, S = potential maximum retention or infiltration.
The current version of SCS-CN method assumes l = 0.2 for usual practical applications.
As the initial abstraction component accounts for surface storage, interception and
infiltration before runoff begins, l can take any value from 0 to ∞.
The above models were applied to the above rainfall-runoff events of catchments WS-1,
WC-2 and 3-Bar D of United States and Ramganga and Hemvati catchments of India.
The performance evaluation criterion adopted are standard error and coefficient of
determination. Based on ‘Standard criterion’, used in assigning ranks to each model in
application to the data set, models 3,1,4,2 and 5 can be ranked as I, II, III, IV and V
respectively. Similarly, based on ‘coefficient of determination criterion’, order of
performance ranking of the models is 4,3,1,2,5.
The authors therefore conclude that the modified version of SCS-CN method is more
accurate than the existing SCS-CN method.
Reference
S.K.Mishra, V. P. Singh, “Another Look at SCS-CN Method”, Journal of Hydrologic
Engineering, July (1999) 257-264
------------------------------------------------------------------------------------------------------------
In this report, a time distributed spatially lumped SCS-CN based runoff method is
developed and applied to seventeen events of Jhandoo Nala watershed in Himalaya
affected by mining activities, and seven events of 3F subzone watershed of river
Godavary.
Annex 2.8
WATER RESOURCESA2.1-28
The procedure of model application involved averaging of actual rainfall for each time
step for the reason of uniform storm rainfall intensity ( ei ) used in the SCS-CN based
infiltration model (parameters: cf , k ). The computed rainfall excess (Q ) is routed
through a single reservoir of K storage coefficient to obtain q , which when added to
baseflow ( baseflowq ) leads to total flow ( totalq ) at the outlet of the basin.
The parameters were computed employing the Marquardt algorithm of least squares
using the standard error and coefficient of determination criterion of minimizing errors.
Remarks:
The results show that out of 17 events, 13 events were simulated with r2
greater than 0.7
in case of Jhandoo Nala. Similarly, out of 7 events of 3F sub-zone, 5 events yielded r2
>
0.6. The authors therefore, conclude that peak discharges and time to peak simulate
reasonably well as written in the report. The volumetric analysis show encouraging
results.
Reference
S.M. Seth, S. K. Mishra, “Application of SCnceS-CN based Runoff Model”, Technical
Report No TR (BR)-3/1999-2000, National Institute of Hydrology
Annex 2.9
WATER RESOURCESA2.1-29
Tank Model
A deterministic conceptual rainfall-runoff model has been developed by Sugawara (1967)
in Japan as Tank Model. The model performs daily analysis of rainfall-runoff data from
daily precipitation and evaporation inputs.
I). Concept of Tank Model:
The tank model is a very simple model. Initially tank model was made to use it for humid
region (like Japan). It composed of four tanks laid vertically in series. Precipitation is put
into the top tank, and evaporation is subtracted from the top tank. If there is no water in
the top tank, evaporation is subtracted from the second tank; if there is no water in both
the top and the second tank, evaporation is subtracted from the third tank; and so on. The
outputs from the side outlets are the calculated runoffs. The output from the top tank is
considered as surface runoff, output from the second tank as intermediate runoff, from
the third tank as sub-base runoff and output from the fourth tank as baseflow. This may
be considered to correspond to the zonal structure of underground water.
Fig.8 Concept of Tank Model
In spite of its simple outlook, the behavior of the tank model is not so simple. If there is
no precipitation for a long time, the top and the second tans will empty. Under such
conditions, runoff is stable. In such case, the discharge will decrease very slowly. If there
is a comparatively heavy rain of short duration under these conditions, a high discharge
of short duration will occur before the model returns to the stable state as before. In these
Annex 2.9
WATER RESOURCESA2.1-30
cases, most of the discharge is surface runoff from the top tank and there is little or no
runoff from the second tank. If heavy precipitation occurs over a longer period, the water
in the top tank will run off quickly and then, the output from the second tank will
decrease slowly, forming the typical downward slope of the hydro graph following a
large discharge. However, 4×4 tank model has been developed for non-humid basins by
dividing them into four zones depending on soil moisture content. Tank model for daily
runoff analysis can also be used with snowmelt component.
The tank model can represent many types of hydrograph because of its non-linear
structure caused by setting the side outlets somewhat above the bottom of each tank
(except for the lowest tank). The concept of initial loss of precipitation is not necessary,
because its effect is included in the nonlinear structure of the tank model.
ii) Initial Tank Model Parameters:
Decreasing ratio α is calculated as 1/TC, where TC is a rough estimation of time
constant of runoff, made from recession slope of the flow hydrographs. From the value of
α , the discharge coefficients and initial losses are calculated for top tank, second tank
and third tank using following equations:
A0 = A1 = A2 = …. = α /2 [A0, A1, A2 are discharge coefficients]
B0 = B1 = α /10 [B0, B1 are discharge coefficients]
C0 = C1 = α /50 [C0, C1 are discharge coefficients]
The values of initial losses are selected from the following ranges.
HA1 = 0 ~ 15 (mm), HA2 = 15 ~ 40 (mm)
HA3 = 40 ~ 60 (mm), HB = 5 ~ 15 (mm)
HC = 5 ~ 15 (mm)
Where HA1, HA2 are heads (threshold levels) of two side outlets of top tank and are
measures of initial losses. Similarly, HB and HC are heads (threshold levels) of side
outlets of second and third tanks respectively.
iii) Calibration of Tank Model Parameters:
The only difficult problem is the calibration of the model, partly because of its nonlinear
structure and partly because its structure is very difficult for input/output analysis. In this
report, calibration of the parameter has been performed by trial and error. However,
Sugawara (1979) developed autocalibration technique to resolve this problem.
iv). Snow melt component of Tank Model:
In winter, snow begins to deposit on high elevation area and then spreads to lower areas.
In spring, the snow deposit begins to melt first in low elevation areas and then moves up
the elevation range of the basin. Therefore, it is necessary to divide the basin into
elevation zones in order to calculate snow deposit and melt. The number of zones need
not be too large; usually, it is sufficient to divide the basin into a few zones with equal
elevation interval. Snow deposit and melt are governed by air temperature, and so the rate
of temperature decrease with elevation is one of the most important factors in the snow
model.
v). Tank Model for non-humid/arid condition (Indian scenario):
As discussed above, 4×4 tank model has been developed for non-humid basins.
Following additional points have been considered for this case.
(i) different values of primary and secondary soil moisture may be considered for each
zone depending on the situation.
(ii) Aerial ratio of zone S1:S2:S3:S4 is an important parameter in this model. These
ratios can be determined from drainage area, topography, landuse and soil structure of the
basin.
Annex 2.9
WATER RESOURCESA2.1-31
Remarks:
It can represent non-linear structure of surface runoff, even several component of runoff.
Runoff components from the lower tanks are smoothened in shape and the time lags are
given automatically. This model is applicable to snowmelt runoff. The model simulated
high flows better than the flow flows.
vi) Feedbacks of Tank Model in other Literatures:
Application of tank model for hydrological studies in India has been limited. 4×4 tank
model for daily analysis was used by Datta (1984) for simulating daily streamflows in
two sub-basins in Central India. Kandaswamy et al (1989) applied tank model for
simulation of daily stream flows in two mountainous rivers in Southern India. Ramasastri
(1990) applied of tank model for a mountainous river in western India. The performance
of the model was better due to the fact that the model is a continuous model and the
antecedent conditions were well represented in the dataset. There was appreciable
variation in surface flow and comparatively less variation in the interflow and sub-
baseflow. MIAO-MIAO et al., (2009) stated that the parameter calibration of the Tank
Model is the difficult most and very time consuming task.
References
Satish Chandra, S M Seth, R D Singh M K Santoshi, “Application of Tank Model for
Daily Runoff Analysis, User’s Manual, Report No UM-14, National Institute of
Hydrology, 1985-86.
Sugawara,M (1967) On the analysis of runoff structure about several Japanese rivers.
Japanese Journal of Geophysics 2 (4).
Sugawara, M., (1979) Automatic calibration of the tank model, Hydrological Sciences-
Bulletin-des Sciences Hydrologiques, 24 (3), 9, 375-388
Datta, B (1984) Runoff analysis of two Indian basins using tank model. Research note 55,
National Research Center for Disaster Prevention, Japan.
K. S. Ramasastri (1990)Simulation of daily runoff in a mountainous catchment using the
Tank model, Hydrology in Mountainous Regans. I - Hydrological Measurements; the
Water Cycle (Proceedings of two Lausanne Symposia, August. IAHS Publ. no. 193,1990.
MIAO-MIAO MA, WEI-MIN BAO & XI-FENG LI (2009) Combining an improved
harmony search algorithm with the One Tank Model calibration, Hydroinformatics in
Hydrology, Hydrogeology and Water Resources (Proc. of Symposium JS.4 at the Joint
IAHS & IAH Convention, Hyderabad, India, September. IAHS Publ. 331, 206-212
Annex 2-10
WATER RESOURCESA2.1-32
Lumped Basin scale Water Balance Model
A lumped basin-scale water balance model (named KREC v.2 ) based on Thornthwaite-
Mather water balance accounting procedure (Dunne & Leopold, 1978) was developed by
Nandagiri (2002). The model utilizes inputs of rainfall and potential evapotranspiration
and gives continous output of direct runoff, subsurface runoff, groundwater recharge,
baseflow, actual evapotranspiration and total runoff. The model has three unknown
parameters: S, awc, and blag, which need to be determined by calibration with measured
streamflow data. While CN (Curve Number), based on land use/land cover, hydrological
soil type and antecedent wetness conditions, can be readily obtained from standard tables
published in the literature, awc (available water capacity of the soil profile calculated as
the difference in profile water storage at field capacity and permanent wilting point) may
be derived from published data on soil hydraulic properties for various soil textural types.
The parameter blag was estimated using relationships presented by Ram Mohan & Nair
(1984) using information on basin slope, soil type and extent and type of forest cover
The algorithm of the model is given below:
1. Direct Runoff from precipitation is computed using SCS-CN approach ( for Indian
conditions) as :
( )
)7.0(
3.0
2
SP
SP
DR
+
−
= when P = 0.3 S
= 0 otherwise
Where, DR = Direct Runoff, P = Precipitation, S = maximum possible Retention
2. Evaporation is computed as the difference between precipitation and direct Runoff :
DRPEP −=
3. APWL= ∑( EP- PET) for EP<PET
APWL= 0 EP > PET
4. Soil Moisture Content (ST) is given by
( )
0APWLfor ≠×=
−
awc
APWL
eawcST
( )[ ]{ } 0APWLfor,min 1 =+−= − awcSTPETEPST t
Where:
ST = Soil Moisture Storage
awc = available water capacity
PET = Potential Evapotransipiration
STt-1 = Soil moisture storage at time t -1
5. Actual Evapotranspiration (AET) is computed using the following equations:
AET = PET for EP > PET
= EP + DST for EP < PET
Where, AET = Actual Evapotranspiration
PET = Potential Evapotranspiration
DST = Direct Canopy Storage
6. Ground Water Recharge (GWR) :
( )
otherwise0
awcSTfor1
=
=−+−= − awcSTPETEPGWR t
7. Base flow (BF) :
BF = (1-blag)(TAR + GWR)
Annex 2-10
WATER RESOURCESA2.1-33
Where, TAR = Total Aquifer Retention
8. Computation of total Runoff (TR):
TR = DR + BF
The KREC model Version 2 was applied to the gauged Gurpur River basin (841 km
2
)
located in the Dakshina Kannada district. separately to each land-use class under each
soil group and streamflow was simulated for the period 1976–1986. An area-weighted
streamflow was then computed by summing the model simulated stream-flows from each
category. With a Nash-Sutcliffe coefficient of 0.92 and correlation coefficient of 0.96
between simulated and observed flows during the entire period, the model indicates
fairly good performance.
Reference
Dunne, T. & Leopold, L. B. (1978) Water in Environmental Planning. W. H. Freeman &
Co., San Francisco, USA.
Lakshman nandagiri, Department of Applied Mechanics & Hydraulics, National Institute
of Technology Karnataka,” Calibrating hydrological models in ungauged basins: possible
use of areal evapotranspiration instead of streamflows”.
Predictions in Ungauged Basins: PUB Kick-off (Proceedings of the PUB Kick-off
meeting held in Brasilia, 20–22 November 2002). IAHS Publ. 309, 2007.
Ram Mohan, H. S. & Nair, K. S. (1986) Hydroclimatic studies of the Western Ghats.
Mausam 37(3), 329–331.
Annex 2.11
WATER RESOURCESA2.1-34
Artificial Neural Networks in Rainfall – Runoff Modeling
1. Introduction
An artificial neural network (ANN), usually called "neural network" (NN), is a
mathematical model or computational model that tries to simulate the structure and/or
functional aspects of biological neural networks. It consists of an interconnected group of
artificial neurons and processes information using a connectionist approach to
computation. In most cases an ANN is an adaptive system that changes its structure based
on external or internal information that flows through the network during the learning
phase. Modern neural networks are non-linear statistical data modeling tools. They are
usually used to model complex relationships between inputs and outputs or to find
patterns in data.
A neural network consists of many elements or ‘neurons’ that are connected by
communication channels or ‘connectors’. These connectors carry numeric data arranged
by a variety of means and organized into layers. The neural networks can perform a
particular function when certain values are assigned to the connections or ‘weights’
between elements. To describe a system, there is no assumed structure of the model,
instead the networks are adjusted or ‘trained’ so that a particular input leads to a specific
target output. The mathematical model of a neural network comprises of a set of simple
functions linked together by weights.
A typical neural network consists of an input layer, a hidden layer and an output layer.
The number of neurons in the input layer and output layer correspond to the number of
inputs and outputs respectively. The number of neurons in the hidden layer is usually
determined by trial and error procedure. The hidden neurons extract useful information
from inputs and use them to predict the outputs.
2. Mathematical Representation of ANN
The mathematical model of a neural network comprises of a set of simple functions
linked together by weights. Fig. 11 shows the schematic representation of the architecture
of ANN’s. The type of ANN described in the figure is called the multilayer perceptron
Fig.11 Schematic diagram of ANN
The network consists of a set of input units x, output units y, and hidden units z, which
link the inputs to outputs. Input vector of elements xl (l = 1…., Nl) is transmitted through
network connections that is multiplied by weights Wjl of each connection to give the
internal activity of each hidden neuron as zj (j = 1,…,Nh) :
Annex 2.11
WATER RESOURCESA2.1-35
0
1
wxwz l
N
l
jlj
l
+= ∑= (1)
Where, Nh is the number of hidden neurons and Nl is the number of input source nodes.
The hidden units consist of the weighted input (wjl) and the bias (w0). A bias (w0) of input
equal to 1 that serves as a constant added to the weight. These inputs are passed through a
layer of activation function f which produces:
⎟⎟
⎠
⎞
⎜⎜
⎝
⎛
+= ∑=
iN
l
jljlj wxwfr
1
0
(2)
The activation functions are designed to accommodate the nonlinearity in the input-
output relationships. The function usually used in ANN is the hyperbolic tangent
sigmoid:
)2exp(1
2
1)tanh()(
z
zzf
+
−==
(3)
The outputs from hidden units pass another layer of filters:
0
1
0
11
k
N
l
jljl
N
j
kjko
N
j
jkjk uwxwfuuruv
ihh
+⎟⎟
⎠
⎞
⎜⎜
⎝
⎛
+=+= ∑∑∑ ===
(4)
and fed into another activation function (F) to produce output yk (k = 1,….N0)
( ) ⎟
⎟
⎠
⎞
⎜
⎜
⎝
⎛
+⎟⎟
⎠
⎞
⎜⎜
⎝
⎛
+== ∑ ∑= =
h iN
j
k
N
l
jljlkjkk uwxwfuFvFy
1
0
1
0
(5)
The weights are adjustable parameters of the network and are determined from a set of
data though the process of training. Different training algorithms are developed such as
feed forward back propagation algorithm, Conjugate Gradient Algorithms, Radial Basis
Function and Cascade Correlation Algorithm. The objective of training algorithm is to
minimize the sum of squares of the residuals between the measured and predicted
outputs.
2
1 1
))(ˆ(),(
0
ik
N
i
N
k
iik PXPUWO
s
−∑ ∑=
= = (6)
Where Ns is the number of datasets, N0 is the number of outputs, W and U are weights of
the hidden and output layer, respectively, Pik is the measured output and ikPˆ is the
predicted output from the input vector X.
Annex 2.11
WATER RESOURCESA2.1-36
3. Applications of ANN in Hydrology
The simplicity in application of artificial neural networks in predictor approximation
brought it a widespread interest in hydrology-related areas. These include rainfall
forecasting (French et al. ,1992; Navone and Ceccatto, 1994; Hsu et al., 1997), reservoir
inflow time series (Raman and Sunilkumar, 1995) and estimation of rainfall-runoff
processes (Hall and Minns, 1993; Hsu et al. 1995; Smith and Eli, 1995; Mason et al.,
1996; Minns and Hall, 1996; Shamseldin, 1997; Tokar and Johnson, 1999; Sajikumar and
Thandaveswara, 1999; Gautam et al., 2000; Chang and Chen, 2001; Zhang and
Govindaraju, 2003) and river salinity (Maier and Dandy, 1996).
ANNs have also been used for representing soil and water processes including soil
moisture fluctuation (Altenford, 1992), groundwater cleanup strategies (Ranjithan et al.
1993), water table fluctuations (Shukla et al., 1996; Yang et al., 1996), pesticide
movement in soils, (Yang et al., 1997), drainage pattern determination from a digital
elevation model (Kao, 1996) and water table management (Yang et al., 1998).
Applications of ANNs were widely reported in the hydrological literature (French et al.,
1992; Raman & Sunilkumar, 1995; Maier & Dandy, 1996; Coulibaly et al., 2000; Persson
et al., 2001).
An exhaustive review investigating the role of ANNs in various branches of hydrology
and a comparison of the ANN and other modeling philosophies in hydrology is reported
in a two-part publication by the American Society of Civil Engineers (ASCE) Task
Committee on the Application of Artificial Neural Networks in Hydrology (ASCE,
2000a,b) and by Dawson and Wilby (2001).
4. Applications of ANN in Rainfall – Runoff Modeling
The rainfall-runoff process is an extremely complex, dynamic, non-linear, and
fragmented physical process that is not clearly understood and is very difficult to model.
A number of researchers have investigated the potential of neural networks in modeling
watershed runoff based on rainfall inputs. The problem of rainfall-runoff modeling lends
itself admirably to ANN applications. The nonlinear nature of the relationship,
availability of long historical records, and the complexity of physically-based models in
this regard, are some of the factors that have caused researchers to look at alternative
models and ANNs have been found to be a logical choice.
Majority of studies have proven that ANNs are able to outperform traditional statistical
techniques to model rainfall-runoff relationships (e.g., Hsu et al., 1995; Shamseldin,
1997; Sajikumar and Thandaveswara, 1999; Tokar and Johnson, 1999; Thirumalaiah and
Deo, 2000; Toth et al., 2000) and to produce comparable results to conceptual rainfall-
runoff models (e.g., Hsu et al., 1995; Tokar and Markus, 2000; Dibike and Solomatine,
2001). The field of rainfall-runoff modeling using ANNs is nevertheless is still in an
early stage of development and remains a topic of ongoing research (e.g., Jain and
Srinivasulu, 2004; Rajurkar et al., 2004 Thirumalaiah, 2000; Xu, 2002; Shivakumar,
2002; Cigizoglu, 2003; and Xiong, 2002).
Annex 2.11
WATER RESOURCESA2.1-37
References:
ASCE Task Committee on Application of Artificial Neural Networks in Hydrology,
2000a. Artificial neural networks in hydrology. I: Preliminary concepts. Journal of
Hydrologic Engineering., 5 (2), 115-123.
ASCE Task Committee on Application of Artificial Neural Networks in Hydrology,
2000b. Artificial neural networks in hydrology. II: Hydrologic applications. Journal of
Hydrologic Engineering., 5 (2), 124–137.
Dawson, C. W. and Wilby, R. 1998. An artificial neural network approach to rainfall-
runoff modeling. Journal of Hydrological Sciences., 43 (1), 47–66.
Dibike, Y. B. and Solomatine, D. P. 2001. River flow forecasting using artificial neural
networks. Journal of Physical Chemistry., Earth, Part B: Hydrol. Oceans Atmos. 26 (1),
1–8.
Gautam, M. R., Watanabe, K. and Saegusa, H. 2000. Runoff analysis in humid forest
catchment with artificial neural network. Journal of Hydrology., 235, 117–136.
Raghuwanshi, N. S., Singh, R. and Reddy, L. S. 2006. Runoff and sediment yield
modeling using artificial neural networks: upper Siwane River, India. Journal of
Hydrologic Engineering., 11(1), 71-79.
Rajurkar, M. P., Kothyari, U. C. and Chaube, U. C. 2004. Modeling of the daily rainfall–
runoff relationship with artificial neural network. Journal of Hydrology., 285, 96–113
Raman, H. and Sunilkumar, N. 1995. Multivariate modelling of water resources time
series using artificial neural networks. Hydrological Sciences Journal., 40, 145–163.
Sharma, S. K. and Tiwari, K. N. 2009. Bootstrap based artificial neural network (BANN)
analysis for hierarchical prediction of monthly runoff in Upper Damodar Valley
Catchment. Journal of Hydrology. 374, 209-222.
Shamseldin, A. Y. 1997. Application of a neural network technique to rainfall–runoff
modelling. Journal of Hydrology., 199, 272–294.
Sudheer, K. P., Gosain, A. K. and Ramasastri, K. S. 2002. A data-driven algorithm for
constructing artificial neural network rainfallerunoff models. Hydrological Processes., 16,
1325-1330.
Tokar, A. S. and Markus, M. 1997. Artificial neural networks and conceptual models in
water management of small basins in the central United States. Proc., 3rd Int. Conf. on
FRIEND, International Association of Hydrological Sciences, Wallingford, U.K.
Project: Development of Hydrological Design Aids (Surface Water) under HP-II
Document: 2009097/WR/REP-02 July 2010
State of the Art Report Revision: R0
Annexure 2.2-1
A2.2‐1 
 
1. PRACTICES BY STATE GOVERNMENTS
So far the states of West Bengal, Himachal Pradesh and Rajasthan have provided inputs for
the practices prevalent in their respective States. Following is very brief methodology being
practiced in respect of assessment of design flood for their projects.
i. Himachal Pradesh: - In Himachal Pradesh the design flood is generally obtained by
empirical formulae/rational formula. The full channel capacity is also worked out from river
sections approval from Central Water Commission is obtained for major projects for which
the assessment is made by various standard methods as feasible on case to case basis.
ii. Rajasthan: - The design flood for major projects is estimated using hydrometerological
approach and got approved from Central Water Commission. The categorization of projects is
done as per classification given in BIS specification IS-11223-1985.The 1day, 2day, 3day
SPS storms and PMP and their temporal distribution are obtained from India Meteorological
Department. The infiltration losses and baseflow are generally based on Sub-Zonal reports of
Central Water Commission as under.
Sl.No Sub-Zobe Name Loss rate in C.m/hr Base flow in C.m/hr
1 Chambal 1(b) 0.17 0.207/A0.290
2 Luni 1(a) 0.50 0.05
3 Upper Ganga 1(e) 0.30 0.05
4 Mahi & Sabarmati 3(a) 0.45 0.108xA-0.126
For small projects having catchments less than 25 sq.km design flood is computed using
publication “Flood estimation methods for catchments less than 25 sq.km”.
Reservoir routing is done by Modified Pulse method for determining spillway capacity.
iii. West Bengal: - For large catchments PMP atlas prepared by IITM is used. The methodology
followed is generally as given in the publication of Mutreja and Pidmont and CWC manual
for large projects.
Project: Development of Hydrological Design Aids (Surface Water) under HP-II
Document: 2009097/WR/REP-02 July 2010
State of the Art Report Revision: R0
Annexure 2.2-2
A2.2‐2 
 
1 FLOOD FORMULAE
1.1 Commonly used Formulae
1. Dicken’s Q = C. A 3/4
Where, Q = discharge m3
/s
A = Area in sq.km
C = 6 for North-Indian Plains
= 11-14 North-Indian Plains
= 14-28 Central India
= 22–28 Coastal Andhra & Orisa
Also there is UPIRI Formulae to find C (Developed by Irrigation
Research Institute, Roorkee based on frequency studies on Himalayan
Rivers)
C =2.342 log (0.6T) X log (1185/P) + 4
Where P = [(a+b)/(A+a)] X 100
a = perpetual snow area(sq.km)
A+a = Total catchment area (sq.km)
2. Ryve’s Q = C. A 2/3
Where, Q = discharge m3
/s
A = Area in sq.km
C = 6.8 for areas within 80 km from east coast
= 8.3 for areas 80-2400 km from coast
= 10.2 limited areas near hills
3. Graig Q = 10 c.v. I x ln (4.97 L)
Where, C = Coefficient of discharge
V = Velocity in m/sec
I = rainfall in cm
C = 0.12 to 0.18
Project: Development of Hydrological Design Aids (Surface Water) under HP-II
Document: 2009097/WR/REP-02 July 2010
State of the Art Report Revision: R0
Annexure 2.2-2
A2.2‐3 
 
4. Ingis Q = 124 A/(A+10.4)
Where, Q in cumec & A in sq.km.
Derived on the basis of rivers in Maharashtra
5. Ali Nawarjung Q = C (0.386x 0.95-(1/14)logA)
Where C value varies from 49 to 60, Lower value for South
India and higher values for North India
6. Creager formula Q = C (0.386 A)0.804 (0.0386 A) -0.048
Where, Q in cumec & A in sq.km.
For North/South India
7. G.C. Khanna Q = 0.42 A
Where, Q in cumec & A in sq.km.
Used for Hilly Areas > 1600 sq.km.
8. Boston Society Q = C.R.A
Where, Q in cumec
A in sq.km.
R = average runoff for catchment from worst storm(cm/day)
C = 0.20 TO 50
Project: Development of Hydrological Design Aids (Surface Water) under HP-II
Document: 2009097/WR/REP-02 July 2010
State of the Art Report Revision: R0
Annexure 2.2-3
 
A2.2‐4 
 
1 PROBABILISTIC APPROACH FOR ESTIMATION OF DESIGN FLOOD
1.1 General:
Generally flood frequency approach is adopted in case data of peak floods are available for large
of period of record. Sometimes if it is not possible to undertake hydro meteorological study for
estimation of design flood/PMF or even structures of comparatively lesser important/damage
potential and when discharge data of a gauging station in upstream, downstream or adjacent basin
are not available, this out annual peak discharges or partial duration series. The frequency
analysis approach is resorted.
Following steps/methods are proposed based on prevailing practices in India and other developed
countries including USA, UK with Wallingford.
1.2 Steps for probabilistic approach/ flood frequency analysis:
The different steps involved in probabilistic approach of flood estimation are given below and
presented in flow diagram.
i. Data Processing
ii. Parameter Estimation for different distributions (Normal, Lognormal, Pearson III, Log
Pearson III, Gumbel and GEV) using Method of moments, method of maximum
likelihood, Probability weighted moments and L-moments approach
iii. Goodness of fit tests to find the best fit distribution
iv. T-year flood calculation using the selected best fit distribution
v. Graphic representation of original series and selected distribution with its confidence
bands
Project: Development of Hydrological Design Aids (Surface Water) under HP-II
Document: 2009097/WR/REP-02 July 2010
State of the Art Report Revision: R0
Annexure 2.2-3
 
A2.2‐5 
 
Flow chart for steps involved in flood frequency analysis.
Project: Development of Hydrological Design Aids (Surface Water) under HP-II
Document: 2009097/WR/REP-02 July 2010
State of the Art Report Revision: R0
Annexure 2.2-3
 
A2.2‐6 
 
1.3 Data Input Requirement
(a) Data are characteristic of the sample population.
(b) The data represents random events.
(c) The natural process of the variable to be stationary with respect to time
(d) Events in the given sample belong to a homogeneous population.
Two types of data are generally available for flood frequency analysis like: (i) annual peak flood
series and (ii) partial duration series in case of limited years of data.
Generally a length of 30-35 years is considered adequate for flood frequency analysis. But, the
data used for analysis should not have any effect of man made changes like deforestation,
urbanization, flood control works, earthquakes etc.
1.4 Probabilistic Distributions Recommended to be included in Hydrological Aids
The following distribution will be considered in Hydrological Aids as per the literature review
conducted and the recommendations made.
Project: Development of Hydrological Design Aids (Surface Water) under HP-II
Document: 2009097/WR/REP-02 July 2010
State of the Art Report Revision: R0
Annexure 2.2-3
 
A2.2‐7 
 
Below Table provides the probability density function (pdf) and Cumulative distribution function
(cdf) of all the above mentioned distributions with their parameters involved. In India log normal
distribution with two and three parameters, Pearson type III, log Pearson type III, and Gumbel
distribution are being generally used. However the General Extreme Value (GEV) planned to be
included along with the CWC specified distributions in Hydrological Aids.
Sl
Probability
distribution
Probability density function(pdf) and cumulative
distribution function (cdf)
Parameters of
the distribution
1.
General
Extreme
Value
(GEV)
The Probability density function of GEV Distribution
:
Probability Distribution Function of GEV distribution:
u, α and k are the
location, scale
and shape
parameters
respectively.
2.
Pearson
Type-III
The pdf of Pearson type III distribution:
( )
⎟
⎠
⎞
⎜
⎝
⎛ −
−
−
⎟
⎠
⎞
⎜
⎝
⎛ −
Γ
= α
γβ
α
γ
βα
x
e
x
xf
1
1
)(
CDF of P-III distribution:
( )
⎟
⎠
⎞
⎜
⎝
⎛ −
−
−
∫ ⎟
⎠
⎞
⎜
⎝
⎛ −
Γ
= α
γβ
γ α
γ
βα
xx
e
x
xF
1
1
)(
γ, α and β
location, scale
and shape
parameters
respectively
3.
Log Pearson
Type-III
The pdf of a log Pearson type III distribution is given
by
( )
⎭
⎬
⎫
⎩
⎨
⎧ −
−
−
⎥⎦
⎤
⎢⎣
⎡ −
Γ
= α
γβ
α
γ
βα
x
e
x
x
xf
log1
log1
)(
The distribution function of the log-Pearson
distribution is given below:
( )∫ ⎭
⎬
⎫
⎩
⎨
⎧ −
−
−
⎥⎦
⎤
⎢⎣
⎡ −
Γ
=
x x
dxe
x
x
xF
0
log1
log11
)( α
γβ
α
γ
βα
Project: Development of Hydrological Design Aids (Surface Water) under HP-II
Document: 2009097/WR/REP-02 July 2010
State of the Art Report Revision: R0
Annexure 2.2-3
 
A2.2‐8 
 
Sl
Probability
distribution
Probability density function(pdf) and cumulative
distribution function (cdf)
Parameters of
the distribution
4. Log Normal
The pdf of a LN2 distribution is given by
[ ]
⎪⎭
⎪
⎬
⎫
⎪⎩
⎪
⎨
⎧ −−
=
y
y
y
x
x
xf
σ
μ
πσ 2
log
exp
2
1
)(
2
The normally distributed variable becomes log(x-a)
with the pdf of LN 3 distribution
( )
( )[
⎪⎩
⎪
⎨
⎧
−−−
−
= 2
log
2
1
exp
2
1
)(
yy
ax
ax
xf μ
σπσ
µy and σy are the
mean and
standard
deviation of the
natural
logarithms of x.
µy and σy are the
location and
scale parameters
of
5.
Normal
The pdf of Normal distribution is given by
( )2
2
2
1
2
1
)(
μ
σ
πσ
−−
=
x
exf
The variable x can take any value in the range (-∞,
+∞).
The CDF of this distribution is:
∫∞− ⎥
⎥
⎦
⎤
⎢
⎢
⎣
⎡
⎟
⎠
⎞
⎜
⎝
⎛ −
−=
x
x
xF
2
2
1
exp
2
1
)(
σ
μ
πσ
µ and σ are the
location and
scale parameters
of the
distribution.
6. Gumbel
The probability density function (pdf) of this
distribution:
⎥
⎥
⎦
⎤
⎢
⎢
⎣
⎡
−⎟
⎠
⎞
⎜
⎝
⎛ −
−=
⎟
⎠
⎞
⎜
⎝
⎛ −
−
α
αα
ux
e
ux
xf exp
1
)(
The variable x takes values in the
range <∝∝<− x . The distribution function of x is
⎥
⎥
⎦
⎤
⎢
⎢
⎣
⎡
−=
⎟
⎠
⎞
⎜
⎝
⎛ −
−
α
βx
exF exp)(
Project: Development of Hydrological Design Aids (Surface Water) under HP-II
Document: 2009097/WR/REP-02 July 2010
State of the Art Report Revision: R0
Annexure 2.2-3
 
A2.2‐9 
 
1.5 CHARACTERISTICS OF SOME DISTRIBUTIONS
The basic characteristics of the commonly used probability distributions in India are summarized
below, which may help in choice of appropriate probability distribution.
• Normal distribution:
i. skew should be close to zero
ii. Kurtosis should be close to 3
• Log Normal with 2-parameters:
i. Skew of original data must be positive
ii. Skew of logs should be close to zero
iii. Kurtosis of logs of (xi –x0) should be close to 3
• Gumbel distribution:
i. Skew should preferably be around 1.139
ii. Kurtosis should be close to 5.4
1.6. Parameter Estimation Techniques
A number of methods can be used for parameter estimation. These include the method of
moments (MOM), the maximum likelihood method (MLM), the probability weighted moments
method (PWM), the least squares method (LS), maximum entropy (ENT), mixed moments
(MIX), the generalized method of moments (GMM), and incomplete means method (ICM). Three
of the more commonly used methods are considered here, namely, the method of moments
(MOM), the maximum likelihood method (MLM), L-moments Approach and the probability
weighted moments method (PWM).
The maximum likelihood method (MLM) is considered the most efficient method since it
provides the smallest sampling variance of the estimated parameters, and hence of the estimated
quantiles, compared to other methods. However, for some particular cases, such as the Pearson
type III distribution, the optimality of the ML method is only asymptotic and small sample
estimates may lead to estimates of inferior quality (Bobee and Ashkar, 1991). Also the ML
method has the disadvantage of frequently giving biased estimates but these biases can be
corrected. Furthermore, it may not be possible to get ML estimates with small samples, especially
if the number of parameters is large. The ML method requires higher computational efforts, but
with the increased use of high speed personal computers, this is no longer a significant problem.
The method of moments (MOM) is a natural and relatively easy parameter estimation method.
However, MOM estimates are usually inferior in quality and generally are not as efficient as the
ML estimates, especially for distributions with large number of parameters (three or more),
because higher order moments are more likely to be highly biased in relatively small samples.
The PWM method (Greenwood et al., 1979; Hosking, 1986a) gives parameter estimates
comparable to the ML estimates, yet in some cases the estimation procedures are much less
complicated and the computations are simpler. Parameter estimates from small samples using
PWM are sometimes more accurate than the ML estimates (Landwehr et al., 1979c). Also, In
Project: Development of Hydrological Design Aids (Surface Water) under HP-II
Document: 2009097/WR/REP-02 July 2010
State of the Art Report Revision: R0
Annexure 2.2-3
 
A2.2‐10 
 
some cases, such as the symmetric lambda and Weibull distributions, explicit expressions for the
parameters can be obtained by using PWM, which is not the case with the ML or MOM methods.
Kebaili- Bergaoui (1994) showed that the ML and ME methods of parameter estimation for
Weibull, P(3), Galton, and Gumbel distributions are a particular case of generalized method of
moments.
1. Method of Moments (MOM)
Estimates of the parameters of a probability distribution function are obtained in the MOM by
equating the moments of the sample with the moments of the probability distribution function.
For a distribution with k parameters, α1, α2, ….., αk which are to be estimated, the first k sample
moments are set equal to the corresponding population moments that are given in terms of
unknown parameters. These k equations are then solved simultaneously for the unknown
parameters, α1, α2, ….., αk .
2. Method of Maximum Likelihood (MLM)
Estimation by the ML method involves the choice of parameter estimates that produce a
maximum probability of occurrence of the observations. For a distribution with a probability
density function (pdf) given by f(x) and parameters α1, α2, ….., αk, the likelihood function is
defined as the joint pdf of the observations conditional on given values of the parameters α1, α2,
….., αk in the form:
The values of α1, α2, ….., αk that maximize the likelihood function are computed by partial
differentiation with respect to α1, α2, ….., αk and setting these partial derivatives equal to zero as
in Eq. 4.2.2. The resulting set of equations are then solved simultaneously to obtain the values of
α1, α2, ….., αk,
= 0; i = 1, 2, …, k
In many cases it is easier to maximize the natural logarithm of the likelihood function by using
3. Method of Probability Weighted Moments (PWM)
Parameter estimates are obtained in this method, as in the case of MOM, by equating moments of
the distributions with the corresponding sample moments. For a distribution with k parameters,
φ1, φ2, ... , φk, which are to be estimated, the first k sample moments are set equal to the
corresponding population moments. The resulting equations are then solved simultaneously for
the unknown parameters φ1, φ2, ... , φk.
4. L-Moments Approach
Hosking and Walls (1997) state that L-moments are an alternative system of describing the
shapes of probability distributions. Historically they arose as modifications of the probability
Project: Development of Hydrological Design Aids (Surface Water) under HP-II
Document: 2009097/WR/REP-02 July 2010
State of the Art Report Revision: R0
Annexure 2.2-3
 
A2.2‐11 
 
weighted moments (PWMs) of Greenwood et al. (1979). Probability weighted moments are
defined as:
Which can be rewritten as:
Where F= F (x) is the cumulative distribution function (CDF) for x, x(F) is the inverse CDF of x
evaluated at the probability F, and r = 0, 1, 2, …, is a nonnegative integer. When r = 0, β0 is equal
to the mean of the distribution π = E [x].
For any distribution the rth
L-moment λ0 is related to the rth
PWM (Hosking, 1990) through
For example, the first four L-moments are related to the PWMs using:
λ1= β0
λ2= 2β1- β0
λ3= 6β2- 6β1+β0
λ4= 20β3- 30β2+12β1+β0
Hosking (1990) defined L-moment ratios as:
L-coefficient of variation, L-CV (τ2) = λ2/ λ1
L-coefficient of skewness, L-skew (τ3) = λ3/ λ2
L-coefficient of kurtosis, L- kurtosis (τ4) = λ4/ λ2
Zafirakou- Koulouris et al. (1998) mention that like ordinary product moments, L-moments
summarize the characteristics or shapes of theoretical probability distributions and observed
samples. Both moment types offer measures of distributional location (mean), scale (variance),
skewness (shape), and kurtosis (peakedness). The authors further mention that L-moments offer
significant advantages over ordinary product moments, especially for environmental data sets,
because of the following:
• L-moment ratio estimators of location, scale and shape are nearly unbiased, regardless of the
probability distribution from which the observation arise (Hosking, 1990).
• L-moment ratio estimators suh as L-Cv L-skewness, and L-kurtosis can exibit lower bias than
conventional product moment ratios, especially for high skewed samples.
• The L-moment ratio estimators of L-Cv L-skewness do not have bounds which depend on
sample size as do the ordinary product moment ratio estimators of Cv and skewness.
• L-moment estimators are linear combinations of the observations and thus are less sensitive
to the largest observations in a sample then product moment estimators, which square or cube
the observations
• L- moment ratio diagrams are particularly good at identifying the dicributional properties of
highly skewed data, whereas ordinary product moment diagrams are almost useless for this
task (Vogel and Fennessey, 1993). 
Project: Development of Hydrological Design Aids (Surface Water) under HP-II
Document: 2009097/WR/REP-02 July 2010
State of the Art Report Revision: R0
Annexure 2.2-3
 
A2.2‐12 
 
1.7 GOODNESS OF FIT TESTS:
For understanding the applicability of the particular distribution the following methods are
commonly used.
1. Chi-square test
Chi-square test is a goodness of fit test to decide about the applicability of a particular distribution
and calculated as
Where,
K = number of class intervals for sample N; Oi = sample absolute frequency in the ith
class
interval; Ei = Expected value of absolute frequency in the ith
class interval.
The number of classes are selected in such a way as there are at least 4-6 observations in each
class. The number of classes should not be more than 20 and lesser than 5. The classes can be
divided in two ways. (i) equal probability and (ii) equal interval.
2
cχ is compared with 2
criticalχ .
( ) ( )
2
1,1
2
−−−= kLcritical αχχ
where, L=Length of Data, K = Degree of Freedom, α = significant level
22
criticalc χχ < , the Hypothesis that the distribution fits the data at 90% confidence level is
accepted. For 2
criticalχ standard tables are available.
2. Kolmogorov-Smirnov test
The test statistic D is defined as:
Where, Fe(yi) : Empirical CDF of yi.
FD(yi): Computed CDF from distribution
If D<Dα
t
, then particular distribution is accepted.
Where, α: significance level
( )
i
ii
K
ii E
EO
c
2
2 −
=∑=
χ
( ) ( )( )iDie
N
i
yFyFD Max −=
−1
Project: Development of Hydrological Design Aids (Surface Water) under HP-II
Document: 2009097/WR/REP-02 July 2010
State of the Art Report Revision: R0
Annexure 2.2-3
 
A2.2‐13 
 
3. Cramer Von Mises (CvM)
The test derives from Kolmogorov statistics and its applicability rules are based on Kolmogorov
theorem. The Cramer-von Mises test is an EDF omnibus test for the composite hypothesis of
normality. The test statistic is
W = frac{1}{12 n} + sum_{i=1}^{n} (p_{(i)} - frac{2i-1}{2n}),
Where, p_{(i)} = Phi([x_{(i)} - overline{x}]/s).
Here, Phi is the cumulative distribution function of the standard normal distribution, and
overline{x} and s are mean and standard deviation of the data values. The p-value is computed
from the modified statistic Z=W (1.0 + 0.5/n) according to Table 4.9 in Stephens (1986).
4. Anderson-Darling Criterion (ADC)
The Anderson-Darling criterion has the form (see Laio et al., 2008; Di Baldassarre et al., 2008):
if 1:2_j _ _AD;j , where _AD;j is the discrepancy measure characterizing the criterion, the
Anderson-Darling statistic:
and _j , _j and _j are distribution-dependent coe_cients that are tabled by Laio (2004, Tables 3
and 5) for a set of seven distributions commonly employed for the frequency analysis of extreme
events. In practice, after the computation of the ADCj , for all of the operating models, one
selects the model with the minimum ADC value, ADCmin.
The above model selection technique has been developed by Alberto Viglione and presented in
his paper Model selection techniques for the frequency analysis of hydrological extremes in 2008.
This appears to be an important study which will assist in verifying whether AIC and BIC work
correctly when they are applied for identifying probability distributions of hydrological extremes
ie., when the available samples are small and the parent distribution is highly asymmetric and
additional model selection criteria based on ADC goodness of fit test statistic has also been
proposed and the performance of the three models are compared and found very highly
promising. These methods will also be attempted while preparing hydrological aids.
Project: Development of Hydrological Design Aids (Surface Water) under HP-II
Document: 2009097/WR/REP-02 July 2010
State of the Art Report Revision: R0
Annexure 2.2-4
A2.2‐14 
 
1 DETERMINISTIC OR HYDROMETEOROLOGICAL APPROACH FOR ESTIMATION
OF DESIGN FLOOD
1.1 General:
The concept of Unit Hydrograph was first proposed by Sherman (1932). In this hydro
meteorological approach the design storm rainfall runoff relation is developed through response
function of the catchment of basin. This may be represented either in a comprehensive way by
catchment module or simple form by UH. This has come to be most commonly used tool for
estimation of design flood hydrograph.
1.2 Flow Chart of Deterministic/Hydrometeorological Approach for Estimation of Design Flood
1.3 Methodology for Deterministic Approach
Different steps involved are,
1) Determination of response function of the Basins/Sub-basins
2) Storm analysis of extreme storms to determine PMP and SPS
Project: Development of Hydrological Design Aids (Surface Water) under HP-II
Document: 2009097/WR/REP-02 July 2010
State of the Art Report Revision: R0
Annexure 2.2-4
A2.2‐15 
 
3) Computation of flood hydrograph
i. Direct Runoff Hydrograph by Convolution of Unit Hydrograph and Design Rainfall
ii. Calculation of Baseflow Hydrograph
iii. Flood Routing
iv. Final Design Flood Hydrograph by adding Direct runoff hydrograph and Baseflow
Hydrograph
1.3.1 Determination of response function of the Basins/Sub-basins
Different procedures are proposed for derivation of response function under different conditions
of data availability. There can be mainly two types of catchments
i. Gauged Catchments
ii. Ungauged Catchments
1.3.1.1 Gauged Catchments
There can be two types of storm data available
i) Storms with an Isolated Peak
ii) Complex Flood Hydrograph
i) Unit Hydrograph Derivation from a hydrograph with isolated peak
Steps involved are,
i) Inspection of discharge record and identification of events with isolated well defined and
single peak with considerable runoff volume
ii) Processing of hourly gauge data and converting them in discharge with the help of rating
curve corresponding to each of the identified flood hydrograph
iii) Separation of baseflow and computation of direct runoff hydrograph ordinates by deducting
baseflow ordinates from the corresponding observed flood hydrograph ordinates
iv) Determination of the volume of the direct runoff and hence the effective rainfall depth
v) Scanning and analysis of the rainfall data of all the raingauge station in and around the basin
with a view to:
a. ensure that uniform rain has occurred over the entire basin; and
b. estimate the duration of the effective rainfall
vi) Estimation of the ordinates of the unit hydrograph by dividing the ordinates of the direct
runoff hydrograph by effective rainfall.
The unit duration of the unit hydrograph will be of the duration of the effective rainfall as worked
out in step: (v).
ii) Derivation of UH from complex hydrograph
Generally single sharp peak hydrograph resulting from intense and uniform rainfall in a very
short interval of time are rarely available. In most of the cases the effective rainfall duration is
relatively large with varying intensity of rainfall and time. In such cases most commonly used
methods for analysis are:
• Instantaneous Unit Hydrograph (Nash Model)
• Collins Method
• Clark’s Method
Project: Development of Hydrological Design Aids (Surface Water) under HP-II
Document: 2009097/WR/REP-02 July 2010
State of the Art Report Revision: R0
Annexure 2.2-4
A2.2‐16 
 
Instantaneous Unit Hydrograph (IUH)
Derivation of IUH (Nash Model)
There are various methods for the determination of an IUH from the given effective rainfall
hyetograph and direct runoff hydrograph. But the most commonly used is the Nash model (1957).
Nash proposed a conceptual model by considering a drainage basin as ‘n’ identical linear
reservoirs in series. By routing a unit inflow through the reservoirs a mathematical equation for
IUH can be derived.
The ordinate of the IUH at time t is given by,
U(t) = (1/K(n-1) ) (t/K)n-1
e-t/k
Where, n = no. of reservoir; and
K = a reservoir constant, called storage coefficient
The values of ‘K’ and ‘n’ in Nash Model can be evaluated by the method of moments using the
following relations:
MDRH1-MERH1 = nK
MDRH2-MERH2 = n(n+1)K2
+ 2nK MERH1
where, n = no. of reservoir; and
K = a reservoir constant, called storage coefficient
The values of ‘K’ and ‘n’ in Nash Model can be evaluated by the method of moments using the
following relations:
MDRH1-MERH1 = nK
MDRH2-MERH2 = n(n+1)K2
+ 2nK MERH1
where,
MDRH1 = first moment arm of DRH
MERH1 = first moment arm of ERH
MDRH2 = second moment arm of DRH
MERH2 = second moment arm of ERH
The unit of the ordinate of IUH is per sec. (sec.-1
). When the ordinates are multiplied by the total
volume of runoff (in cubic meters) resulting from 1mm of rainfall over the catchment area, the
unit will be cumec.
Derivation of Unit Hydrograph from IUH
For finding the unit hydrograph from IUH the area under the IUH is plotted with respect to time
at the point. Thus line XY in Fig.7.8 represents the area ABB’C in Fig. 7.7. This will give an S-
Curve. If a unit hydrograph of T hour duration is required, the S-Curve is shifted by T-hour and
the difference in the ordinates of the two S-curves is found and divided by T. The resulting curve
forms the unit hydrograph of T-hour duration
Unit Hydrograph Determination by Collins method
The basic steps of this method are:
i) Assure a unit hydrograph and apply it to all the effective rainfall blocks of the ERH excepting
the largest block.
ii) Find out the resulting hydrograph and subtract ordinates from the corresponding ordinates of
the actual direct runoff hydrograph.
iii) Divide the ordinates of the residual hydrograph by the largest block of effective rainfall to get
the unit hydrograph
Project: Development of Hydrological Design Aids (Surface Water) under HP-II
Document: 2009097/WR/REP-02 July 2010
State of the Art Report Revision: R0
Annexure 2.2-4
A2.2‐17 
 
iv) Compute the weighted average of the assumed unit hydrograph and the residual unit
hydrograph and use it as the revised approximation for the next trial.
v) Repeat all the previous steps until the residual unit graph does not differ by more than a
permissible amount from assumed unit hydrograph.
Clark’s Unit Hydrograph Method
Time-area unit hydrograph theory establishes a relationship between the travel time and a portion
of a basin that may contribute runoff during that travel time. Clark (1945) is one of early
examples of this method. The U. S. Army Corps of Engineers at the Hydrologic Engineering
Centre (HEC 1996) provide a description of a modified time-area approach, known as the
ModClark method, which is part of the recently released HEC-HMS computer model (HEC
199x).
In a time-area approach, the watershed is traditionally broken into areas of approximately travel
time. These lines of equal travel time are known as isochrones. The mean travel time of each sub-
area is calculated and the resulting time-area curve is produced. Most of the "time-area" methods
utilize a common, basic approach in determining the final unit hydrograph. Summing the
incremental areas and corresponding travel times enables the formation of a cumulative time-area
curves. Thus, the total time can be thought of as the time of concentration of the watershed with
100% of the basin area being accounted for at the time of concentration.
Each of the partial areas (between isochrones) responds in the time associated with that area.
Therefore, the cumulative time-area curve is a summation of the individual areas. The
contributions of the individual areas can be illustrated with a histogram. One can visualize a
uniform depth of water (1" for a unit hydrograph) on each of the zones within the isochrones. The
volume of water of each area reaches the outlet at the travel time associated with that area. This is
effectively a volume over a time period, which is a flow.
The time-area histogram is really a translation hydrograph because the volume of water on each
area within the basin is simply "translated" to the outlet using the associated travel time for the
translation time. A this point, a unit hydrograph (in discrete form) exists. This "instantaneous"
unit hydrograph is the result of 1-inch of instantaneous excess precipitation being placed on the
individual areas and then translated to the outlet of the basin, arriving at the time associated with
the travel time of area.
Watersheds also have the ability to store and delay the flow that passes through. This storage
effect is seen in reservoirs as they attenuate a hydrograph. The instantaneous unit hydrograph
(IUH) is then calculated by routing the translation unit hydrograph the linear reservoir, having a
routing coefficient, R. This is accomplished by the following equation :
Where:
IUHi = ordinate of the instantaneous unit hydrograph
Project: Development of Hydrological Design Aids (Surface Water) under HP-II
Document: 2009097/WR/REP-02 July 2010
State of the Art Report Revision: R0
Annexure 2.2-4
A2.2‐18 
 
Ii = Value at time I of the translation unit hydrograph
and
Where ∆t = the time step used in the calculation of the translation unit hydrograph. The routed
unit hydrograph is still considered to be an instantaneous unit hydrograph. A final unit
hydrograph of a given duration can be found by lagging the instantaneous unit hydrograph by the
desired duration and averaging the ordinates. The desired duration must be a multiple of the
original time step employed in the computations
Linear Reservoir Coefficient Estimation
The linear reservoir coefficient is very difficult to estimate. The most appropriate and desirable
method of estimation is to utilize stream flow data and estimate the parameter as previously
discussed. Clark (1945) provided a means of estimating R by considering a measured hydrograph
and calculating R by :
  
Where: Q, dQ, and dt are measured at the inflection point on the recession limb of a hydrograph
at the gauge site. The routing coefficient, R, may also be estimated by dividing the volume under
the recession limb by the flow at the inflection point on the recession limb (HEC 1982). In
ungauged basins, it is possible to estimate the reservoir routing coefficient from a nearby basin
(or a nested basin) and apply it to the ungauged basin.
In case of ungauged basin it is necessary to estimate the coefficient from a number of nearby
basins and perform a linear regression analysis including such parameters as area, slope, channel
information, etc.. With this in mind, it is obviously preferred that the user performs some type of
analysis to estimate the linear storage parameter in some a priori manner for the basin or a nearby
basin. In the absence of all other inputs, the longest travel time from the any cell to the basin
outlet may be used to estimate the routing coefficient (Wanielista, Kerten, & Eaglin 1997). From
experience and personal contact with other researchers and engineers, a value of 0.7 times the
longest travel time may be used for the value of the linear routing coefficient.
The optimization technique available in HEC-HMS can be used to obtain the parameters of Clark
model.
1.3.1.2 Ungauged Catchments
In this case derivation of Unit Hydrograph is carried out synthetically using the Catchment
characteristics
Synthetic Unit Hydrograph
Commonly used methods for derivation of Synthetic unit hydrograph are
Project: Development of Hydrological Design Aids (Surface Water) under HP-II
Document: 2009097/WR/REP-02 July 2010
State of the Art Report Revision: R0
Annexure 2.2-4
A2.2‐19 
 
i) Snyder’s Method
ii) Transposition of Unit Hydrograph Method
iii) Using Formulae developed by CWC as adopted in the Flood Estimation Reports of various
sub-zones of India
iv) GIUH
i) Snyder’s synthetic unit hydrograph
A standard unit hydrograph is associated with a specific effective rainfall duration, tr, defined by
the following relationship with basin lag, tl,
.......................(1)
For a standard unit hydrograph the basin lag, tl, and the peak discharge, qp, are given by,
.............................(2)
..........................................(3)
The basin lag time of the standard unit hydrograph (equation 2) is in hours, L is the length of the
main stream in kilometers (miles) from the outlet to the upstream divide, Lc is the distance in
kilometers (miles) from the outlet to a point on the stream nearest the centroid of the watershed
area, and C1 = 0.75 (1.0 for English units). The product LLc is a measure of watershed shape. Ct is
a coefficient derived from gauged watersheds in the same region, and represents variations in
watershed slopes and storage characteristics. The peak discharge of the standard unit hydrograph
(equation 3) is in m3
/s (cfs), A is the basin area in km2 (mi2
), and C2 = 2.75 (640 for English
units). As Ct, Cp is a coefficient derived from gauged watersheds in the area, and represents the
effects of retention and storage.
Estimation of Model Parameters Cp and Ct:
As in any model parameter estimation problem, observations of the input (i.e., effective
precipitation) and the output (i.e., direct runoff hydrograph) must be available. In addition, the
values of L and Lc must also be available (e.g., from surveys, maps, etc.). From the concurrent
input-output observations, a unit hydrograph for the basin in question, a so-called derived unit
hydrograph, can be developed. From the derived unit hydrograph of the watershed, values of its
associated effective duration tR in hours, its basin lag tlR in hours, and its peak discharge qpR in
m3/s are obtained. If tlR = 5.5tR, then the derived unit hydrograph is a standard unit hydrograph
and tr = tR, tl = tlR, and qp = qpR, and Ct and Cp are computed by the equations for tl and qp
given above (equations 2 and 3), corresponding to the standard unit hydrograph.
Project: Development of Hydrological Design Aids (Surface Water) under HP-II
Document: 2009097/WR/REP-02 July 2010
State of the Art Report Revision: R0
Annexure 2.2-4
A2.2‐20 
 
If tlR is quite different from 5.5tR , the basin lag of the standard unit hydrograph for the basin is
computed using:
...................................(4)
This equation must be solved simultaneously with the equation for the standard unit hydrograph
lag time, tl = 5.5tr, in order to obtain tr and tl. With these values of tr and tl. the value of Ct is
obtained using equation (2) for tl corresponding to the standard unit hydrograph; the value of Cp
is obtained using the expression for qp corresponding to the standard unit hydrograph, but using
qp = qpR and tl = tlR.
When an ungauged watershed appears to be similar to a gauged watershed, the coefficients Ct and
Cp for the gauged watershed are used in homogeneous for the ungauged basin sto derive the
required synthetic unit hydrograph for the ungauged watershed.
As per CWC Manual Estimation of Design Flood, 2001 Snyder’s Method is not used in India
now. So this is not necessary to include it in Hydrology Design Aids.
ii) Transposition of Unit Hydrograph
If unit hydrographs are available for several areas adjacent to a basin for which a unit hydrograph
is required but for which necessary data are lacking then transposition of available unit
hydrograph will give better results than Synthetic generation. Commonly used procedure is to
derive a Dimensionless Unit Hydrograph and use it for the ungauged catchment.
Dimensionless Unit Hydrograph
Commonly used steps for generation of a dimensionless unit hydrograph are,
i. Reduce the time(hours) scale of the unit hydrograph by dividing by a factor equal to “lag plus
semi duration “ and then multiply by 100
ii. Reduce the discharges(cumecs) of unit hydrograph by multiplying them with a factor equal
to “ lag plus semi duration” divided by the total direct runoff of the graph in cumec-hours
iii) Flood Estimation Reports of CWC
As per the CWC sub zonal reports the synthetic unit hydrographs can be calculated. It can be used
for small and medium catchments. CWC report Estimation of design Flood,2001 says that these
Reports are finding use even for large catchments.
Project: Development of Hydrological Design Aids (Surface Water) under HP-II
Document: 2009097/WR/REP-02 July 2010
State of the Art Report Revision: R0
Annexure 2.2-4
A2.2‐21 
 
iv) Geomorphological Instantaneous Unit Hydrograph (GIUH)
The GIUH theory was introduced by Rodriguez-Iturbe and Valdes (1979) by relating the peak
discharge and time to peak discharge with the geomorphologic characteristics of the catchment
and a dynamic velocity parameter. This method can be used as a transfer function for modeling
transformation of excess rainfall into surface runoff, in which excess rainfall is a production
function in the hydrologic system. They can also be used to predict / forecast the temporal
variation of the surface runoff at the outlet of ungauged basin. Since at many points of interest, the
gauge/discharge data may not necessarily available, for such ungauged basins or partially gauged
basins this methodology is being used by some agencies/researchers for obtaining the unit
hydrograph for ungauged catchments/regionalization.
GIS techniques are used for determining the stream ordering and for calculation of the various
geomorphologic characteristics like lengths, area of each order stream, etc. Different researchers
have used different models to derive the Unit hydrograph from geomorphologic characteristics as
given in the following table.
Sl No Paper Name Author
Model Used for
GIUH Derivation
1 Design Flood Estimation Using GIS
Supported GIUH Approach
Jain et al., (2000) Clark
2 Sensitivity Analysis of the GIUH based
Clark Model for a Catchment
Kumar et al.,
(2004)
Clark
3 GIUH Based Transfer Function for Gomti
River Basin of India
Rai et al (2009) Nash
4 Flood Estimation for Ungauged
Catchments Using the GIUH
Bhasker et al
(1997)
Nash
5 Runoff estimation for an ungauged
catchment using geomorphological
instantaneous unit hydrograph (GIUH)
models
Kumar et al.,
(2007)
Clark, Nash
6 Flood Estimation by GIUH-Based Clark
and Nash Models
Sahoo et al
(2006)
Clark, Nash
The steps involved in derivation of GIUH are,
1. Determination of Geomorphologic Parameters
i. Physical Characteristics of the drainage basin
a. Drainage Area
b. Basin Shape
Project: Development of Hydrological Design Aids (Surface Water) under HP-II
Document: 2009097/WR/REP-02 July 2010
State of the Art Report Revision: R0
Annexure 2.2-4
A2.2‐22 
 
• Form Factor
• Shape factor
• Elongation ratio
• Circularity ratio
• Compactness Coefficient
c. Ground Slope
d. Centroid
ii. Channel Characteristics
a. Channel order
b. Channel length
c. Channel Slope
d. Channel Profile
e. Drainage Density
• Determination of Horton’s Ratio
Bifurication Ratio
Stream Length Ratio
Stream Area Ratio
2. Derivation Of GIUH
i. Nash Model
ii. Clark Model
1.3.1.3 Derivation of Unit hydrograph of various unit durations
There may be two types of cases.
i) When unit hydrograph of shorter unit duration “t” is known and a unit hydrograph of longer
duration T is to derived where T is a multiple of t i.e., T=nt such that n – 1,2,3……. This can
be achieved simply by the principle of supper-imposition.
ii) The unit hydrograph can be derived of fractional duration by S-Curve.
1.3.1.4 S-Curve or S-Hydrograph
The S-hydrograph is a hydrograph produced by a continuous effective rainfall at a constant rate
for an indefinite period.
The S-hydrograph can be constructed by summing up a series of identical unit hydrographs
spaced at intervals equal to the unit duration of the unit hydrograph. After the S-hydrograph is
constructed, the unit hydrograph of a given duration can be derived as follows:
Assume that the S-hydrograph is derived which is due to effective rainfall of 1 mm/hour (Fig.
7.10a). Then advance or offset the position of S-hydrographs for a period equal to the desired
duration of t hours (Fig.7.10b) and find out the difference between the ordinates of the original
S-hydrographs and the offset S-hydrograph (Fig. 7.10c).
Generally derivation of UH from various storms may have different unit durations. It is a practice
to bring the desired UH to single durations UH. This is done by S-Hydrograph approach. The
methodology will be illustrated in HDA program. Normally an average unit hydrograph is
obtained and consider for further analysis.
Project: Development of Hydrological Design Aids (Surface Water) under HP-II
Document: 2009097/WR/REP-02 July 2010
State of the Art Report Revision: R0
Annexure 2.2-4
A2.2‐23 
 
1.3.2 Storm analysis of extreme storms to determine PMP and SPS
1.3.2.1 Design Storm Derivation
The design storm is the magnitude of rainfall and its distribution which is used to estimate the
desired level of design flood. The design storm has three components namely:
(i) The rainfall amount
(ii) The areal distribution of rainfall and
(iii) The time distribution of rainfall
In India generally guide to Hydro-Meteorological practices of WMO is being followed. The
analysis of storms tracks is being done by Indian Meteorological Department. For tropical areas
the storm analysis is also being done by Indian Institute of Tropical management Pune. The IMD
has come out 1 day PMP atlas with the assistance of WAPCOS. There is a proposal by CWC to
update the 1 day PMP atlas in GIS along with 2 day and 3 day values.
Steps involved
Design storm determination is the most important part of the Hydrometeorological approach. The
brief procedure for deriving design storm is indicated below.
i. Identification, selection and processing of heaviest storms including cloud burst:
From the heavy storms data available including data of cloud burst the selection of few candidate
storm will be met which could be potentially used for development of design storm parameters.
After processing of the storm data, selection of appropriate storms will be made.
Project: Development of Hydrological Design Aids (Surface Water) under HP-II
Document: 2009097/WR/REP-02 July 2010
State of the Art Report Revision: R0
Annexure 2.2-4
A2.2‐24 
 
Cloud burst:
Cloud burst is caused by intense short duration heavy and sudden storm, resulting in heavy
flooding of the area, loss of life and damage to the properties. However this effect has to be taken
into consideration while preparing IDF curves for design storm analysis and the flood potential of
these are therefore accounted automatically.
ii. Duration of design storm:
Considering past historical storm, size of catchment, orography etc. The tentative duration of
design storm shall be fixed.
iii. Selection of candidate storms
Selection of candidate storms will be made in a appropriate manner the idle candidate storm
could be heavy single peak storm alternately multiple peak storms can be considered.
iv. Depth-duration (DD)
In this method, the catchment is considered as a unit of study. All the heaviest rain spells (severe
rainstorms) experienced by a basin over a long period of time are extracted and then analysed for
different
Durations in order to obtain average maximum basin rain depths. The maximum rain depths thus
obtained are plotted as DD curves and the highest rain depths are determined from the envelope
curves. The envelope of all the rain depths, which is referred to as the design rain depth or
standard project storm (SPS), is then determined for different durations. This method is normally
used when daily rainfall data for a good network of stations are available for a sufficiently long
period of years. The method is most suitable for the estimation of design rain depths over
catchments located in mountainous regions or orographically influenced regions and also near
coastal regions.
v. Depth-area-duration (DAD)
Normally, the depth-area-duration (DAD) method is applied to those river basins whose
boundaries are regular and smooth, but in many basins these conditions are not met. In this
method of rainstorm analysis, the rainstorm is considered as a unit of study. The analysis is
carried out to determine the highest precipitation amounts experienced over various size areas and
durations in the rainstorm period. For each rainstorm, the area enclosed by the peripheral isohyets
of the rainstorm is considered.
The rainstorms to be analysed by the DAD method are first determined by adding together the
rainfall data of all the stations in the area affected by the rainstorm. The day with the highest total
rainfall is considered as the maximum I-day, the consecutive two days with the highest total
rainfall is the maximum 2-day interval and so on. In this way, the maximum I-day, 2-day and 3-
day, etc., durations of the rainstorm are identified.
Project: Development of Hydrological Design Aids (Surface Water) under HP-II
Document: 2009097/WR/REP-02 July 2010
State of the Art Report Revision: R0
Annexure 2.2-4
A2.2‐25 
 
The rainfall values for different durations are then used to draw isolines at suitable intervals. A
geographic information system (GIS) technique using the inverse-distance weighted method was
used to measure the area bounded by each isoline. This method gives due consideration to the
orientation of the topography of the region.
The average rain depths thus obtained are plotted against the accumulated area and a smooth
envelope curve is drawn. The starting point is taken to be the central value of the rainstorm. The
enveloping curve is known as the DAD curve of the rainstorm. Such DAD curves are plotted for
all the severe rainstorms of different durations, separately. From these DAD curves the rainfall
depth values are picked out for standard areas, such as 100, 300, 500, 1000, 2000, 5000, , 50 000
km2
, for different durations. These values give the average rain depths over standard size areas
measured outwards from the rainstorm centre. Such rain depths are used by design engineers to
calculate unit hydrographs when constructing any hydraulic structure connected with irrigation,
hydropower generation and flood control in the homogeneous region of the basin.
vi. Storm Transposition (ST)
The main purpose of rainstorm transposition is to increase the rainstorm experience of a basin by
considering not only the rainstorms that have occurred over and near the basin in the past, but
also those rainstorms which have resulted in heavy rainfall on adjacent areas that are
meteorologically homogeneous. By using this technique, the historical rainstorms of the
surrounding homogeneous regions are moved over the problem basin. The following minimum
meteorological conditions for transposition need to be taken into account when transposing severe
rainstorms over a problem basin:
a.The inflow direction of storms crossing the area should not vary excessively;
b.The air mass characteristics should be reasonably matching;
c.The area under consideration should be small enough that variation in latitude of storms
tracks does not affect the distribution within the zone; and
d.The combination of rain producing mechanisms and associated synoptic situations should
be the same.
The rainstorm transposition technique is generally applied to areas or basins which have a
markedly irregular shape or peculiar orientation. Therefore, the following corrections need to be
undertaken before applying this technique.
vii. Barrier Adjustment
In addition to the general decrease in rainfall with distance, an adjustment is required when there
is a barrier or mountain range in the path of moist air being fed into the storm area. This is
because the mountain range blocks off a certain fraction of the moist inflow into the storm area.
The usual method (WMO, 1969) of allowing for the effect of a barrier is to reduce the rainfall
value by the ratio of the precipitable water in a column of air above the height of the barrier to the
total precipitable water extending to ground level on the windward side of the barrier, i.e.:
R1 = R x W2/ W1
Project: Development of Hydrological Design Aids (Surface Water) under HP-II
Document: 2009097/WR/REP-02 July 2010
State of the Art Report Revision: R0
Annexure 2.2-4
A2.2‐26 
 
Where R ( is the adjusted rainfall value behind a barrier; R is the rainfall value not behind a
barrier; W1 is the precipitable water in a saturated pseudo-adiabatic atmosphere from the ground
to a height corresponding to maximum surface dew point at the location of the storm; and W2 is
the precipitable water in a saturated pseudo-adiabatic atmosphere from the top of the barrier to
the same height.
viii.Topography adjustment
An adjustment of rainfall over a basin is necessary because of the presence of the topography.
The orographic adjustment guidelines are given by WMO (1986) as: no change in rainfall for
elevations up to 300 m; increase the rainfall by 10% per 300 m of ascent above 300 m for the first
upslope; and in lee-side areas decrease the rainfall by 5% per 300 m of descent to the bottom of
the valley.
ix. Limits of transposition
Fixing limits to rainstorms for their transposition is one of the most important aspects in a design
storm study. The following factors for determining the areal limits of transposition were
suggested by WMO (1970):
a.Moisture source and barrier to moisture inflow for the rainstorm in situ;
b.Accessibility to rainstorm moisture source and relative height of barrier to moisture inflow
of other locations in the transposed zone; and
c.Past occurrence of synoptic patterns similar to that of candidate rainstorms in features such
as atmospheric moisture content and stability, wind direction and speed at surface and at
higher levels, duration of pattern intensity, direction and speed of movement of low
pressure centres at surface and higher level, etc.
As per WMO (1986), transposition of a rainstorm is considered in 2° lat. x 2° long. grid cells over
a study area located mainly in a plain region. The WMO recommends a coarse grid (depending
upon topography) over flat areas and a fine one over the less flat areas.
x. Storm Maximization
Maximization will be made to get the probable maximum storm value.
xi. Time distribution of storm
The time distribution of PMP design rain depths of 1-, 2-, 3-day duration over different, shorter
intervals is required by the design engineers to compute probable maximum floods (PMF).
Therefore, breaking down design storm rain depths into smaller intervals (e.g. 3, 6, 9, 12 h)
specifies how the rainfall is distributed over successive shorter time intervals. Hourly (short
interval) rainfall data of surrounding stations are required for the time distribution analysis of the
basin.
Project: Development of Hydrological Design Aids (Surface Water) under HP-II
Document: 2009097/WR/REP-02 July 2010
State of the Art Report Revision: R0
Annexure 2.2-4
A2.2‐27 
 
xii. Envelopment of heaviest storm:
From the historical data sharp interval break up of one day, two day, three day, storm as required
shall be obtained by developing enveloping curve of maximum storms experienced in the
catchment for various durations. For larger catchments area reduction factor will thus be
evaluated.
xiii.Probable Maximum Precipitation (PMP)
Design storm after accounting for transposition, Barrier adjustment and moisture maximization
gives probable maximum precipitation. These assessments in conjunction with short interval
break-up of 1 day, 2 day, 3 day (after enveloping) is split into intervals of unit hydrograph as per
procedure explained in the computation of probable maximum flood.
The detailed methodology and design aids will be prepared in subsequent stage outputs.
1.3.2.2 Loss Rate
Initial loss rate and infiltration index values are to be derived on basis of available hydrologic
records and minimum values adopted for maximum runoff production and minimum losses
expected in the basin where sufficient data are not available, CWC manual recommended 1-2
mm/hr loss rate depending upon the catchment characteristic, natural vegetation, topography
conditions and antecedent soil conditions.
1.3.2.3 Critical Arrangement of Rainfall
Ordinate of the rainfall excess arranged in critical sequence considering peak with peak and the
sequence reversed. Thus the design flood hydrograph is obtained by convolution of unit
hydrograph ordinates Sand adding base flow to the same. In case of PMF the latest practice is to
consider to bells within each 24 hour period. The above practice is generally adopted in India and
other countries with small procedural variation and appears quite reasonable as for now. The
details will be indicated in subsequent phases of Hydrology Project-II.
1.3.3 Computation of Flood hydrograph
1.3.3.1 Direct Runoff Hydrograph by Convolution
Direct surface runoff ordinates are obtained by following the principle of linearity and
superposition to UH ordinates. The procedure will be illustrated in HDA programme.
1.3.3.2 Calculation of Baseflow
Gauged Catchments:
The base flow should be based on observed flood hydrograph trends. The separation of baseflow
should be done on the basis of few past heavy rainfall events in the same catchment or in the
absence of that in the upper or lower or adjacent catchments. The methods of separating baseflow
have been dealt with in CWC manual, 1972 and 2001.
Project: Development of Hydrological Design Aids (Surface Water) under HP-II
Document: 2009097/WR/REP-02 July 2010
State of the Art Report Revision: R0
Annexure 2.2-4
A2.2‐28 
 
Ungauged Catchments:
If observed data is not available, baseflow for adjacent basins converted to flow rate per unit area
of catchment may be used In case the data are not available, flat rate of 0.5 cumec/sq.km is
recommended by CWC manual.
1.3.3.3 Flood Routing
The recognized types of flood routing are: (i) reservoir routing and (ii) stream flow/ channel
routing. The reservoir routing is generally used for fixing flood storage capacities in reservoirs,
and spillway capacities for large dams. The stream flow routing is needed for designing flood
protection works, real-time flood forecasting, etc. Normally, the hydrologic routing procedure its
adopted, ready made software likes, HEC, MIKE 11, etc. are available out flood routing by this
approach.
Reservoir Routing
i. Storage-Indication Method
This method also known as the modified Puls method was developed by Mr. L G Puls when he
was in the United States Army Corps of Engineers. Although applicable both for reservoir and
open-channel routing it is used quite satisfactorily for reservoir routing; it gives a poor
approximation for open-channel routing. The method has been included in CWC Manual 2001.
Thus if I1, O2 and S1 are respectively the inflow, outflow and storage or the beginning of the time
interval t, and I2, O2 and S2 are the corresponding figures and the end of the time interval, the
continuity equation can be written as
( )12
2121
22
SSt
OO
t
II
−=⎟
⎠
⎞
⎜
⎝
⎛ +
−⎟
⎠
⎞
⎜
⎝
⎛ +
In the typical flood routing problem, the initial values of the outflow and storage are known. Thus
the unknowns in the equation before are O2 and S2. Placing the knowns on the left side and the
unknowns on the right side, the equation can be rewritten as:
⎟
⎠
⎞
⎜
⎝
⎛
+=⎟
⎠
⎞
⎜
⎝
⎛
−+⎟
⎠
⎞
⎜
⎝
⎛ +
222
222121 O
t
SO
t
SII
Since this equation contains two unknowns it cannot be solved unless a second independent
function is available. In the modified Puls method, a storage-indication curve viz. outflow O
versus the quantity (S/t+O/2) is constructed for the purpose.
This is adopted in India also and illustrated in CWC Manual 2001.
Stream-Flow Routing
When the storage computed from the inflow and outflow hydrographs for a reach of the river is
plotted against simultaneous outflow; the resulting curve is usually a wide loop indicating greater
storage for a given outflow during rising stages than during falling. Because during the advance
Project: Development of Hydrological Design Aids (Surface Water) under HP-II
Document: 2009097/WR/REP-02 July 2010
State of the Art Report Revision: R0
Annexure 2.2-4
A2.2‐29 
 
of a wave, inflow always exceeds outflow thus producing a wedge of storage called ‘wedge
storage’ and during the recession outflow exceeds inflow resulting in a negative wedge storage.
The storage beneath a line parallel to the stream bed is called ‘prism storage’; between this line
and the actual profile, ‘wedge storage’. During rising stages a considerable volume of wedge
storage may exist before any large increase in outflow occurs. During falling stages inflow drops
more rapidly than outflow and the wedge-storage volume becomes negative. Routing in streams
requires a storage relationship which adequately represents the wedge storage. This is usually
done by including inflow as a parameter in the storage equation.
i. Muskingum Method
McCarthy of the United States Corps of Engineers developed what is known as the Muskingum
Method, for use in studies for the Muskingum flood control project in 1934-35. The method
involves the concept of wedge and prism storage’s. The prism storage is represented as KO where
K known as the ‘storage constant’ is the ratio of storage to discharge and has the dimension of
time. The wedge storage is represented as K X(I-O) where X is a parameter, which expresses the
relative importance (weightage) of inflow and outflow in determining storage.
The total storage is
S=KO+KX(I-O)=K[XI+(1-X)O]
which is known as the Muskingum equation.
The constant X expresses the relative importance of inflow & outflow in determining storage. If
storage is entirely a function of outflow, as in a reservoir, then X=0; but if the wedge storage is
significant, then X will be greater than Zero, with a limiting value of 0.5 when inflow and outflow
have equal weight as in uniform channels. For most streams, X is between 0 and 0.3 with a mean
value near 0.2.
The storage constant K which expresses the ratio between storage and discharge, in fact is a
measure of the lag or travel time through the reach and is the slope of the storage-discharge curve.
K may be determined by finding the lag, or time interval, between the occurrences of the centre
of mass of inflow and centre of mass of outflow over the reach. It may also be approximated by
determining the time of travel of critical points on the hydrograph, such as the peak. The
Muskingum equation may be rewritten as,
S2-S1 = K[X(I2 – I1) + (1 – X) (O2 – O1)]
Where the subscripts 1, 2 indicate the routing periods and I, O and S are instantaneous values of
inflow, outflow and storage respectively at the beginning of the routing periods indicated. The
basic equation for change in storage in a time interval t is
( )12
2121
22
SSt
OO
t
II
−=⎟
⎠
⎞
⎜
⎝
⎛ +
−⎟
⎠
⎞
⎜
⎝
⎛ +
Combining the equations and simplifying we get,
O2 = C1I + C2I1 + C2I1 + C3O1
Project: Development of Hydrological Design Aids (Surface Water) under HP-II
Document: 2009097/WR/REP-02 July 2010
State of the Art Report Revision: R0
Annexure 2.2-4
A2.2‐30 
 
Where, C2 =
( ) ( )
( )
( ) ⎟⎟
⎠
⎞
⎜⎜
⎝
⎛
+−
−−
=⎟⎟
⎠
⎞
⎜⎜
⎝
⎛
+−
+
=⎟⎟
⎠
⎞
⎜⎜
⎝
⎛
+−
−
txK
txK
C
txK
Kxt
C
txK
Kxt
12
12
&
12
2
;
12
2
32
and C1 = C2 + C3 = 1.0
By an algebraic modification, this equation can also be written as
O2 = O1 + C1 (I1 + O1) + C2 (I2 - I1)
Where, C1 =
( ) ( ) ⎟⎟
⎠
⎞
⎜⎜
⎝
⎛
+−
−
=⎟⎟
⎠
⎞
⎜⎜
⎝
⎛
+− txK
Kxt
C
txK
t
5.01
5.0
&
5.01
2
In these equations it is important that the routing period t is in the same time units as K. The
routing period t is selected to fit the needs of the problem; it must be sufficiently short that points
t-hour apart adequately define the hydrograph shape. This means that t must be equal to or shorter
than the time of travel through the reach, since if it were longer than the travel time a major
change in the flow could traverse the reach within a routing period.
The values of K and x are simultaneously determined as follows. Combining equations solving
for K,
( ) ( )
( ) ( )( )⎟⎟
⎠
⎞
⎜⎜
⎝
⎛
−−+−
+−−
=
1212
2121
1
5.0
OOxIIx
OOIIt
K
Successive values of the numerator (representing storage increment) and the denominator
(representing weighted flow increment) are computed for a flood with known values of inflow
and outflow and assuming various parametric values (0.1 to 0.5) of x. The computed values of the
accumulated numerator and denominator are then plotted, usually producing curves in the form of
loops. The assumed value of x that resulted in a loop closet to a single line is accepted as the
correct value. The reciprocal of the slope of the single line gives the value of K. The units of K
depend on the units of flow and storage. If storage is in cumec-days and flow in cumecs, K is in
days
Graphical methods are the basis for a number of mechanical routing devices. Now, with the easy
availability of computers, and several user-friendly computer programs, the analytical methods
have become more convenient to adopt. Thus the graphical methods are no longer popular.
1.3.3.4 Final Design Flood Hydrograph by adding direct runoff hydrograph and Baseflow
The final design flood hydrograph will be obtained after adding the direct runoff hydrograph and
the baseflow hydrograph. The flood peak and volume of the final design hydrograph will be used
as design peak and design volume.
Project: Development of Hydrological Design Aids (Surface Water) under HP-II
Document: 2009097/WR/REP-02 July 2010
State of the Art Report Revision: R0
Annexure 2.2-5
A2.2‐31 
 
1 REGIONAL FLOOD FREQUENCY ANALYSIS (UNGAUGED CATCHMENTS)
When the annual flood peak discharge series of a site is not available, annual peak values of
different sites in the region for which data are available are considered as per recommendation of
the CWC
The following three methods are specified for regional flood frequency analysis:
1. Pooled curve method
2. USGS method
3. Analytical method
4. L-moment Approach
1.1 Pooled Curve method :
The annual flood peak discharge series are made dimensionless by dividing each peak flood
values with the sample average (Q
−
) of annual peak value of that site. These values are then
assigned plotting position by using Gringorten’s formula as given below:
44.0
12.0
−
+
=
M
N
T
Where, T is the return period
N is number of years of data
M is merit order of array consisting of QiQ
−
/
The reduced variate Yi was estimated for each annual peak flood value using following relation
⎟
⎟
⎠
⎞
⎜
⎜
⎝
⎛
+−=−−=
−
σ
σ
45.0
281.1
)/11ln(ln Qii QTY
Where, σ = standard deviation of the annual flood peak series.
The values of reduced variate yi, Qi/Q
−
for all the sites are pooled together and arranged in
classified ranges of yi of width 0.5 units i.e., (-) 1.5 to (-) 1.0, (-) 1.0 to (-) 0.5, (-) 0.5 to 0.0, 0.0
to 0.5, 0.5 to 1.0, 1.0 to 1.5, 1.5 to 2.0, 2.0 to 2.5, 2.5 to 0.3, 3.0 to 3.5, 3.5 to 4.0, 4.0 to 4.5 and
4.5 to 5.0. The mean value of Qi/Q
−
and yi for every range was worked out.
Regional frequency curve are then drawn by plotted mean reduced variate yi for each range as
abscissa and mean Qi/Q
−
as ordinate. But best fit line are drawn, the values of growth factor QT/Q
−
are read to different values of T and used as regional parameter.
1.2 US Geological survey Method
Qi/Q
−
values for each individual site as computed in the pooled curve method are plotted on
Gumbel’s probability paper against their corresponding return period (T) values based on
Gringerton’s plotting position formulae. From the curves for each site QT/Q
−
values for T =5, 10,
25, 50 years are read. The median value of these QT/Q
−
values from all the sites are worked out.
Project: Development of Hydrological Design Aids (Surface Water) under HP-II
Document: 2009097/WR/REP-02 July 2010
State of the Art Report Revision: R0
Annexure 2.2-5
A2.2‐32 
 
Regional frequency curve is then plotted by plotting these median values against “T” on
Gumbel’s probability.
1.3 Analytical method
It is known that there is reasonable mathematical basis for the annual flood series to follow the
Gumbel’s extreme value distribution. In the analytical approach EV-I distribution is fitted to the
data. Two methods of analysis based on this distribution are:
i. Method using frequency factors
ii. Mathematical curve fitting method
i. Method using frequency factors:
This method employs the general equation for frequency analysis, which may be expressed as
TT kQ ×+= σμ
Where,
µ = mean of the annual peak series
σ = standard deviation of the annual peak series
KT = frequency factor for any distribution
ii. Mathematical Curve fitting method
In this method, the best fit curve is fitted to the observed data at determined plotting position on
Gumbel’s probability paper.
To avoid subjective errors in graphing fitting, curve fitting is done mathematically. Of the three
methods possible, viz., method of moments, method of maximum likelihood and the method of
lest squares, the last method was adopted as it gives better overall fit than the method of moments
and involves relatively less computations.
Gumbel’s law (as adopted by Vent e Chow) is expressed as
BXAQT +=
Where,
QT = the flood with a return period T
X = log10log10
(T/T-1)
A & B are regression constants.
1.4 L-moments Approach
Firstly, screened the data using the discordancy measure (Di) in terms of the L–moments
(Kumar et al, 2003, 2005).
The discordancy measure for site i is defined as:
⎟
⎠
⎞
⎜
⎝
⎛
−⎟
⎠
⎞
⎜
⎝
⎛
−=
−
−
−
uuAuuND im
T
ii
1
3
1
T
i
N
i
im uuuuA ⎟
⎠
⎞
⎜
⎝
⎛
−⎟
⎠
⎞
⎜
⎝
⎛
−=
−
=
−
∑1
Project: Development of Hydrological Design Aids (Surface Water) under HP-II
Document: 2009097/WR/REP-02 July 2010
State of the Art Report Revision: R0
Annexure 2.2-5
A2.2‐33 
 
Where, ui = vector of L-moment ratios for station i.
K= covariance matrix of ui,
−
u = mean of vector ui.
The station i is declared to be discordant, if Di is greater than the critical value of the discordance
statistic given in a tabular form by [Hosking and Wallis, 1993].
Homogeneity of the region to be tested using the L–moments based heterogeneity measure,
H. For computing the heterogeneity measure H, 500 simulations we perform using the four
parameter Kappa distribution.
Hence, heterogeneity measure is obtained as:
( )
v
vV
H
σ
μ−
=
Where, V = weighted standard deviation of L-coefficient of variation values,
μV, σV = the mean and standard deviation of number of simulations of V.
The criteria for deciding heterogeneity of a region is as:
if H < 1, region is acceptably homogeneous,
if 1 ≤ H < 2, region is possibly heterogeneous,
if H ≥ 2, region is definitely heterogeneous.
perform a comparative regional flood frequency analysis studies using the L–moments based
frequency distributions: viz. Extreme value, General extreme value, Logistic, Generalized
logistic, Normal, Generalized normal, Uniform, Pearson Type–III, Exponential, Generalized
Pareto, Kappa, and five parameter statistic criteria, the GEV distribution was identified as the
robust distribution for the study area. For estimation of floods of various return periods for
gauged watersheds of the study area, a regional flood formula was developed using the L–
moments based GEV distribution.
The L–moment ratio diagram and | Zi
dist
| _statistic are used as the best fit criteria for
identifying the regional distribution.
For estimation of floods of desired return periods for ungauged watersheds, a regional flood
formula was developed by coupling the regional flood formula with the regional relationship
between mean annual peak flood and watershed area.
This practice is prevalent in Sone subzone region 1(d) and North Brahmaputra region of India by
R. Kumar and C. Chatterjee in 2003 and 2005.
1.5 Determining Homogeneous Regions
Present practice of determining homogeneity of basins in India is a two step method as under
1. To determine ratio of 10 yr flood to mean annual flood (Which has a return period of 2.33
years) from the frequency curve of each station. Averaging of ratios for a number of
stations in the region to obtain mean 10 yr ratio for the region
2. The return period corresponding to mean annual flood times the mean 10 yr ratio is
determined from frequency curve of each station and plotted against the number of years
Project: Development of Hydrological Design Aids (Surface Water) under HP-II
Document: 2009097/WR/REP-02 July 2010
State of the Art Report Revision: R0
Annexure 2.2-5
A2.2‐34 
 
of record for that station on the Darlymple test graph. If the points for all of these stations
lie between 95% confidence limits the region was considered homogeneous.
There are different practices in different countries. Some countries use a common distribution to
achieve uniformity and others use different distributions. USA and Australia use LPIII. Other
distributions in use are EVI, II and III, GEV, Wakeby etc.
There have been many techniques developed which attempt to establish homogeneity of the
regions. PRM uses geographical contiguity. Two catchments may be treated as homogeneous if
they both satisfy input criteria like rainfall etc.
Homogeneous regions for use in RFFA should include more sites for increased information and
maintaining acceptable level of homogeneity. The degree of homogeneity is judged on the basis
of dimensionless coefficient of annual maximum flood series such as coefficient of variation,
coefficient of skewness etc like the example of Darlymple test graph.
Further studies on regional flood methods
There are a number of statistical techniques for regionalization like,
1. PRM (Probabilistic Rational method
2. Quantile regression technique
3. Generalized Least square regression
4. Parameter Regression technique etc
In RFFA the regions have been often defined by state/political boundaries. In 1987 regional
flood estimation methods were developed based on fixed regions. Two different methods often
provided different frequency estimates. To avoid this problem the regions were identified in
catchment characteristics/space using cluster analysis and other multivariate statistical techniques.
Still it was difficult to analyze homogeneity to an ungauged region, recently a concept of region
of influence has been developed. Since hydrological characteristics do not do not change abruptly
across state/political boundaries regionalization without fixed boundaries by Acreman and
Wiltshire (1987) based on this have been introduced in 1990’s a concept of region of influence
where each site of interest has its own region. Thus the regions can be overlapped and gauged
sites can be part of more than one region of interest. This method/concept shall be dealt with in
more detail and methodology developed by Burn proposed.
 
 
 
 
 
 
CHAPTER 3:  
PREVALENT DESIGN CRITERIA AND 
PRACTICES: THE INTERNATIONAL 
PERSPECTIVE 
Project: Development of Hydrological Design Aids (Surface Water) under HP-II
Document: 2009097/WR/REP-02 July 2010
State of the Art Report Revision: R0
3-1 WATER RESOURCES
3. PREVALENT DESIGN CRITERIA AND PRACTICES: THE
INTERNATIONAL PERSPECTIVE
3.1 ASSESSMENT OF WATER RESOURCES POTENTIAL - AVAILABILITY/YIELD
ASSESSMENT
This review of internationally used techniques for the assessment of water resources potential
focuses on techniques used internationally and in the following specific countries: Australia,
China, Hong Kong, India, Malaysia, UK and the US. UK-based techniques are similar to those
used in Northern Europe and many of the tools used are based on Dutch, Danish and UK
software developed in research laboratories and university sectors. US techniques have
developed to deal with a wider range of climate conditions with a greater emphasis in snow
melt, for northern states, and arid zone hydrology in south-western states.
3.1.1 Approach to the assessment of Water Resources Potential
In its broadest sense, the assessment of water resources potential, availability and yield
assessment, includes a range of techniques such as rainfall-runoff modelling, calculation of
water demands and reservoir water balance modelling aimed at estimating resource yields,
understanding the behaviour of water supply systems and optimising water use to reduce costs
or risks of water supply failure. The largest use of water in most developing countries is for
irrigation, but this resource is under increasing pressure to meet the needs of urban areas and
industry. In the more developed countries, environmental considerations are becoming
increasingly important. With all of the often conflicting demands for available water resources,
an integrated approach to water resources management becomes essential.
The precise choice of water resources assessment technique is, to some extent, dictated by an
understanding of the purpose of the assessment, the stage of the project at which the
assessment is taking place, and the amount and quality of data available to carry out the
assessment. Water resources assessment is sensibly applied to a unit such as a river catchment,
sub-catchment or groundwater reservoir. It is part of the Integrated Water Resources
Management (IWRM) approach, linking social and economic factors to the sustainability of
water resources and associated ecosystems. Depending on the objective of the assessment,
water resources assessment may look at a range of physical, chemical and biological features
in assessing the resource.
Traditional water resource assessment aimed to provide the basis for the supply of
infrastructure to meet projected needs. Assessments have a much wider remit in an IWRM
perspective, incorporating cross-sectoral tools such as (Global Water Partnership website,
2010):
Demand assessment which examines the competing uses of water with the physical resource
base and assesses demand for water (at a given price), thus helping to determine the financial
resources available for water resource management.
Environmental impact assessment and Strategic impact assessment collect data on the
social and environmental implications of development programmes and projects. EIA is an
important tool for cross-sectoral integration involving project developers, water managers,
decision-makers and the public. It can be seen as a special form of water resources assessment.
Social impact assessment, which examines how social and institutional structures affect water
use and management, or how a specific project might affect social structures.
Project: Development of Hydrological Design Aids (Surface Water) under HP-II
Document: 2009097/WR/REP-02 July 2010
State of the Art Report Revision: R0
3-2 WATER RESOURCES
Risk or vulnerability assessment, looking at the likelihood of extreme events, such as flood
and droughts, and the vulnerability of society to them.
Water resources assessment is a basic input to the planning process. Demand forecasting
should use techniques that uncover, for instance, willingness to pay for water at given prices,
and further economic analysis will help reveal the true nature of competing water uses.
Demand management issues will also influence the outcome of water resource assessment.
A water resources assessment often needs to be carried out in several steps of increasing
complexity. A rapid water resources assessment may help identify and list the most important
issues and identify priority areas. On the basis of this early assessment, more detailed
investigations may be required.
Assessments for large or long-term projects, with infrastructure that will be in place for 50
years or more, should also include examination of future changes in land use and possible soil
degradation as well as climate variability and change. Hydrological Design Aids are required
that include methods for taking account of the uncertainty related to future climate change as
well as make the best use of existing historical hydrological data.
Linking water resources assessment to Environmental Impact Assessment (EIA) has been
shown to build cross-sectoral linkages and heighten awareness of key issues.
Strategic impact assessment can help in the analysis of change capacity of a river basin, to
protect both quantity and quality.
The various techniques used internationally for different purposes, project stages and with
different data availabilities are described in this Section of the report.
Terminology
It is useful to begin by defining some of the key terminology widely used in water resources
assessment. The following terms are widely adopted in the description of drought and water
resources assessment:
• Deployable Output (DO) - the output of a source or group of sources as constrained by
environment, licence conditions, pump capacities, raw water losses, works capacity and
water quality considerations. In the specific UK context, DO is normally reported as the
Average and Peak Period Deployable Output.
• Hydrological drought – changes in the catchment water balance (precipitation,
evaporation and storage) leading to deficit of runoff, recharge or low groundwater levels
over a specific period. Severity can be classified in a similar way to Rainfall Drought.
• Hydrological Yield - The unrestricted output of a source (ignoring licence conditions)
and other constraints.
• Levels of Service (LoS) – the standard and reliability of water supply expressed in terms
of the frequency of specific drought management measures such as restrictions to
irrigation or public water supply. In water resources modelling, a LoS run simulates the
behaviour of a system operating according to specific LoS and other system constraints
to meet demand.
• Water resources drought – a shortage of water available to meet ‘normal’ demands (for
water supply, industry or the environment) due to a combination of hydrological drought
and the socio-economic factors affecting the water resources systems.
• Worst Historic Drought (WHD) – the most severe drought on record in terms of its
impact on the water resources system. Drought and water resource plans in the UK have
typically considered the WHD based on a period from around 1920 so approximately 90
Project: Development of Hydrological Design Aids (Surface Water) under HP-II
Document: 2009097/WR/REP-02 July 2010
State of the Art Report Revision: R0
3-3 WATER RESOURCES
years of data are used to estimate DO. In some cases only the period of observed
hydrological records, i.e. from the 1950s or 1960s for most UK catchments, is
considered.
• Yield – the reliable output of a water source considering (current) licence and other
specified constraints.
• Assessment of Hydrological Yield – a calculation that finds the maximum average annual
demand that can be met by the source subject to specific constraints. Depending on the
methodology, yield searches provide a demand that can be met in the Worst Historic
Drought or alternatively for a specific return period drought, e.g. 1 in 50 years. In
Scotland, the latter method is used to assess hydrological yields on reservoir sources.
International approach guidelines
Approaches to the assessment of water resources in various countries vary greatly. In
considering which of those approaches is applicable for use in India, the differences between
India and the country of current application need to be considered carefully. Because of
varying technical, socio-economic and political circumstances, the derivation of standard
methodologies that can be universally applied is a difficult task. There follows a review of the
approaches taken to water resources assessment in various countries, and internationally.
World Meteorological Organisation
The WMO produces various guideline manuals, one of which, the Manual on Water Resources
Assessment (WMO, 1997) is intended as a ‘practical tool for operational staff in agencies
responsible for quantifying natural water resources at the national, basin or regional (both sub-
national and supra-national) scale'. It is intended for application to any country, but has
particular relevance to developing countries. The guidelines cover three main components:
collection of hydrological and hydro-meteorological data; collection of physiographic data;
and techniques for areal assessment of water resources.
UNESCO
UNESCO produces a range of tools for water resources assessment. The publication Managing
Water Resources (UNESCO, 2009) describes the ‘systems approach’ and its application to
contemporary water resources management, focusing on three main sets of tools: simulation,
optimisation and multi-objective analysis. The publication’s accompanying CD-ROM includes
software program tools.
FAO
The Food and Agriculture Organisation (FAO) produces CROPWAT. CROPWAT is a
computer program for the calculation of crop water requirements and irrigation requirements
based on soil, climate and crop data. In addition, the program allows the development of
irrigation schedules for different management conditions and the calculation of scheme water
supply for varying crop patterns. CROPWAT can also be used to evaluate farmers’ irrigation
practices and to estimate crop performance under both rain-fed and irrigated conditions.
IWMI
The International Water Management Institute (IWMI) produces a range of tools for water
practitioners. The Global Environmental Flow Calculator (GEFC) is a freely available
software tool for rapid assessment of Environmental Flows, which aim to maintain a river in a
prescribed condition. The GEFC uses monthly time-series of data to create a Flow Duration
Curve. Details of the tool are given in Smakhtin & Anputhas (2006).
Project: Development of Hydrological Design Aids (Surface Water) under HP-II
Document: 2009097/WR/REP-02 July 2010
State of the Art Report Revision: R0
3-4 WATER RESOURCES
The WATERSIM model is an integrated hydrologic and economic model. Water demand for
irrigation, domestic purposes, industrial sectors, livestock and the environment are estimated at
the basin scale.
OASIS (Options AnalysiS in Irrigation Systems) is a planning model for medium to large-
scale canal irrigation systems (typically several thousand hectares). It specifically takes
account of surface-groundwater interactions to assess the impacts on water use, depletion and
productivity of a broad range of interventions in irrigated agriculture.
Australia
The Australian Government National Land and Water Resources Audit produces the ‘The
Australian Natural Resources Atlas’. The Atlas is an internet-based tool for information on
Australia’s natural resources. The Atlas provides information at national, state and regional
scales. One of the many themes offered by the Atlas is ‘water availability’. This covers dams,
various groundwater components, surface water gauging stations, surface water developed
yield, and surface water resource commitment.
China
The Ministry of Water Resources (MWR) is the Chinese government department responsible
for water administration. MWR ensures that water resources are rationally developed and
utilised, formulates water resources development strategies, and makes integrated river basin
management plans. The State formulates strategic plans for water resources throughout China
(PRC, 2002). Unified plans, on the basis of river basins and regions, are made for the
development, utilisation, conservation and protection of water resources for prevention and
control of ‘water disasters’. Formulation of these plans is preceded by comprehensive
scientific survey, investigation and assessment. The law states that ‘the administrative
departments for water resources under such governments and the river basin authorities shall
pay special attention to dynamic monitoring of water resources. The basic hydrological data
shall be made public in accordance with the relevant regulations of the State.’ This recognises
the need for sharing of hydrological data across river basins and regions for the effective
assessment and monitoring of water resources.
Hong Kong
In Hong Kong, the Water Supplies Department (WSD) is responsible for all water
management activities including resources and distribution infrastructure. As Hong Kong has a
limited area, it contains no natural rivers or lakes, although 20-30% of its water is obtained
from local water gathering grounds. The remainder of the freshwater supply comes via an
80km pipeline from Dongliang Water on the Chinese mainland, while partially processed
seawater is used for toilet flushing in 80% of homes. The WSD is responsible for increasing
efficiency of usage and is making substantial efforts to raise awareness of this issue among
residents. The government is committed to sustainable use of water resources and estimates
that needs can be met by the current arrangements up until 2030. There is an awareness of
Hong Kong’s vulnerability to climate change impacts however and there are few options for
increasing raw water supplies. The government, through WSD has formulated a Total Water
Management (TWM) plan for the period up to 2030 to deal with all aspects of water
management in an integrated manner.
Malaysia
In terms of urban water management, the Urban Storm Water Management manual (MSMA)
(JPS, 2000) contains detailed information on hydrology and hydraulics, runoff quantity control
and conveyance, structural and non-structural water quality control, vegetation and water
course management, and special stormwater applications. It is used throughout Malaysia by
Project: Development of Hydrological Design Aids (Surface Water) under HP-II
Document: 2009097/WR/REP-02 July 2010
State of the Art Report Revision: R0
3-5 WATER RESOURCES
the whole water industry, including government and consulting engineers for urban drainage
control and water resources assessment in urban areas.
United States
The US government produces a range of national maps, such as the availability of runoff and
the usable capacity of reservoirs for the whole of the United States. See Figure 3.1 below.
Figure 3.1 Map of US average annual runoff and large surface reservoirs
Since 1950, the U.S. Geological Survey (USGS) has compiled data on amounts of water used
in homes, businesses, industries, and on farms throughout the United States, and has described
how that use has changed with time. Water-use data are collected at five-year intervals. These
data, combined with other USGS information, have facilitated a unique understanding of the
effects of human activity on the US’s water resources. The USGS produces a national
groundwater availability atlas, which describes the location, extent, and the geologic and
hydrologic characteristics of the important aquifers of the US.
The American Society of Civil Engineers (ASCE) is in the process of reviewing the US Army
Corps of Engineers (US ACE) Water Resources Guidelines. The Water Resources
Development Act of 2007 demanded the review of the Guidelines, which is the principal
planning document for water resources projects, designed to make them more environmentally
focussed and to emphasise the importance of public safety.
Specific states in the US have developed bespoke tools for water resources assessment and
management. For example, the state of Florida developed the Surface Water Improvement and
Management Program (SWIM). SWIM plans are used to guide water protection activities and
help state and local agencies make land use management and acquisition decisions. Irrigation
Project: Development of Hydrological Design Aids (Surface Water) under HP-II
Document: 2009097/WR/REP-02 July 2010
State of the Art Report Revision: R0
3-6 WATER RESOURCES
is the largest user of water in the US. The University of Idaho and the Idaho Water Resources
Research Institute developed an irrigation demand calculator. It is a spreadsheet tool for
estimating the economic demand for irrigation water (Contor et al., 2008). The tool is
designed for economic practitioners who need to obtain an equation for aggregate demand for
irrigation water, under conditions of limited time and/or data and resources. The tool finds a
middle ground between approaches that require large amounts of data and approaches that
have restrictive assumptions.
The US Environmental Protection Agency (US EPA) produces a handbook for developing
watershed plans (EPA, 2008). It concentrates on water quality aspects from both point and
non-point sources.
3.1.2 Climate change impacts on river flows
The increased energy in the atmosphere as a result of rising greenhouse gas concentrations is
believed to be intensifying the hydrological cycle. More energy as heat causes increased
evaporation and allows the atmosphere to hold greater quantities of water vapour, leading to
more intense rainfall events. Intensification of the hydrological cycle, although having
different impacts in different places, is likely to lead to more severe floods and droughts when
they occur (Bates et al.(eds), 2008).
The IPCC (Bates et al.(eds), 2008) states:
“By the middle of the 21st century, annual average river runoff
and water availability are projected to increase as a result of
climate change* at high latitudes and in some wet tropical
areas, and decrease over some dry regions at mid-latitudes
and in the dry tropics.**”
* This statement excludes changes in non-climatic factors, such as irrigation.
** These projections are based on an ensemble of climate models using the mid-range SRES
A1B non-mitigation emissions scenario. Consideration of the range of climate responses
across SRES scenarios in the mid-21st century suggests that this conclusion is applicable
across a wider range of scenarios.
In water resources modelling, adjustments to expected rainfall depths and timings, as well as
changes in evapotranspiration rates need to be taken from the latest climate model simulations
for the area of interest, choosing appropriate future scenarios for the purposes of the study.
This allows a range of possible futures to be considered in terms of water resources
availability and a suitable management strategy to be formulated on the basis of the best
possible information.
3.1.3 Data requirements & data management
There are a number of different data requirements for water resources modelling which can be
split into two main categories: hydrological data, and asset/structural data. This Section
describes the types of data required, and presents tools for infilling, extending and naturalising
time series data for use in water resources assessment.
Hydrological data for water resources assessment
The following hydrological data are traditionally required for water resources assessment
studies:
Project: Development of Hydrological Design Aids (Surface Water) under HP-II
Document: 2009097/WR/REP-02 July 2010
State of the Art Report Revision: R0
3-7 WATER RESOURCES
• Precipitation
• Potential evapotranspiration (PET)
• Temperature
• Snow melt
• Observed flows
• Observed reservoir levels
• Groundwater yields
• Catchment hydrological parameters
Hydrological data need to be managed carefully to ensure high quality and reliable inputs to
water resources models. To use the data in the model often requires detailed preparation to
ensure that data are of good quality, there are no gaps in the record and that all the data types
cover the same period of record. Water resources models typically use long term daily data for
periods of between 30 and 100 years. There are a range of techniques for data checking, such
as the use of double mass plots and simple statistical analyses that should be used. There
follows a description of each of the key data types for input to water resources assessment
studies.
Rainfall data
Rainfall data can be obtained by either physical measurement using gauges or by remote
sensing. Remote sensing most commonly employs radar to detect rainfall intensities in real
time over a wide area. The resolution of these measurements depends on the system being
used. Both types of measurement have potential for errors associated with them – for example,
gauges can under measure by up to 30% (WMO, 2008) and radar can be affected by various
climatic conditions as well as natural and constructed topography, requiring complex data
processing. Satellite remote sensing has also begun to be used in rainfall detection and
measurement, but radar remains the most commonly used technology for accurate and
localised rainfall measurement. Gauges remain a useful and low-cost tool, both for
measurement in remote areas which are not covered by a radar system, and for verification of
remotely sensed rainfall data. Gauges necessarily measure at only a single point however.
Point rainfall at gauging stations needs to be converted to an areal rainfall covering the
catchment. Typically areal rainfall estimates are calculated using one of the following
methods:
• Simple averaging (Shaw, 1983). The mean rainfall is calculated from the measured
rainfall at all gauging stations in the catchment, although Shaw (1983) notes that this
average is only representative if there are many uniformly spaced gauging stations and
the range in altitude is small.
∑=
N
r
R n
Where:
R = Average rainfall (mm)
rn = Rainfall (mm) at gauge n
N = Number of gauges
• Weighted averaging methods where each gauge is weighted to reflect how representative
it is of the catchment. The weighting is calculated by dividing the SAAR(1961-1991) for the
catchment by the AAR for the gauge, this is then multiplied by the gauged rainfall. The
sum of the weighted rainfalls is then divided by the number of gauges to give the areal
rainfall:
Project: Development of Hydrological Design Aids (Surface Water) under HP-II
Document: 2009097/WR/REP-02 July 2010
State of the Art Report Revision: R0
3-8 WATER RESOURCES
∑
⎟⎟
⎠
⎞
⎜⎜
⎝
⎛
=
−
N
r
AAR
SAAR
R
n
n
9061
Where:
R = Catchment average rainfall (mm)
SAAR61-90 = Average annual rainfall (mm) in the period 1961 to 1991 for the catchment
AARn = Annual average rainfall (mm) for rain gauge n
Rn = Rainfall (mm) at gauge n
N = Number of rain gauges
• Thiessen polygons (Shaw, 1983). The catchment is divided in to polygons by lines that
are equidistant between gauging stations, the rainfall at each gauging station is multiplied
by the area of its polygon divided by the total catchment area. The sum of this value for
all the gauging stations is the catchment rainfall:
n
n
r
A
a
R ∑ ⎟
⎠
⎞
⎜
⎝
⎛
=
Where:
R = Catchment average rainfall (mm)
rn = Rainfall (mm) for gauge n
an = Polygon area (m2
) for gauge n
A = Catchment area (m2
)
• Isohyetal method (Shaw, 1983). This method involves deriving lines of equal rainfall
(isohyets) from the gauging stations, and the areal rainfall calculated from the product of
the area between the isohyets and the corresponding mean rainfall divided by the
catchment area (Shaw, 1983):
n
n
r
A
a
R ∑ ⎟
⎠
⎞
⎜
⎝
⎛
=
Where:
R = Catchment average rainfall (mm)
nr = Average rainfall (mm) for isohyetal area, n
an = Isohyetal area (m2
) for isohyetal area, n
A = Catchment area (m2
)
• Hypsometric method (Shaw, 1983). This method accounts for topographical variation in
the catchment. The method involves plotting the rainfall against gauge elevation, then
plotting elevation against the catchment area to that elevation. The rainfall is then plotted
against the area to the gauge (from the elevation of gauge) and the total volume of
rainfall calculated (area under the curve), the volume is then divided by the total
catchment area to give the catchment areal rainfall.
The hypsometric method is likely to be a time consuming process, even for a short
rainfall event, because it involves a separate calculation of catchment average rainfall at
each time interval. This would only be worthwhile for a detailed study. The method
would not be viable for continuous records of over 30 years of daily rainfall. However,
the hypsometric method could be used to improve the calculation of the catchment
average annual rainfall for use in the UKWIR equation. The average annual rainfall
rather than the instantaneous rainfall for each gauge would be used in the hypsometric
calculation.
Project: Development of Hydrological Design Aids (Surface Water) under HP-II
Document: 2009097/WR/REP-02 July 2010
State of the Art Report Revision: R0
3-9 WATER RESOURCES
• Inverse distance weighting (Shaw, 1983; Beven, 2001). This method involves deriving a
rainfall surface or grid covering the catchment from the gauged data by fitting
polynomials or Fourier series. Shaw (1983) details a third method using multiquadratics
to create the rainfall surface. The areal rainfall is then calculated in a similar way to the
isohyetal method, where the rainfall volume in each grid cell is calculated by integration
of rainfall depth with the cell area, and the total volume divided by the catchment area.
• These spatial interpolation techniques are likely to be a time consuming process for a
short rainfall event because it involves an interpolation at each time interval. This would
only be worthwhile for a detailed study using a distributed rainfall-runoff model where
this type of spatial input is required. The method would not be viable for continuous
records of over 30 years of daily rainfall. However, the spatial interpolation method could
be used to improve the calculation of the catchment average annual rainfall for use in the
UKWIR equation. The average annual rainfall rather than the instantaneous rainfall for
each gauge would be used in the interpolation.
• Areal rainfall from rainfall radar data. The rainfall radar data shows rainfall depths on a
grid which can be used to calculate the areal rainfall as in the IDW method. However
Beven (2001) notes a number of limitations with radar data and that it is often necessary
to correct or calibrate the radar with rain gauge data. For long term continuous simulation
the same limitations apply as in the IDW approach in addition to the cost and availability
of radar data.
PET and Temperature Data
Evaporation and transpiration (collectively known as evapotranspiration) can be important
processes where precipitation is limited. It is difficult to measure these two processes over
large areas, but indirect measurements using climatic and radiation variables can be used to
provide estimates of Potential Evapotranspiration (PET) for an area assuming unlimited
availability of water – this is only reasonable over an open water surface or where soil
moisture is not limiting. Actual evapotranspiration can be estimated from PET by relating to
soil moisture availability restrictions or can be measured at a point by using tools such as
evaporation pans or lysimeters.
PET data are required for rainfall-runoff modelling and, in some cases, to estimate open water
evaporation. Where detailed data are not available or in cases when data are too costly, PET
can be estimated using a sine curve (Beven, 2001) and average annual PET from climate data
sets (e.g. UKCIP02 data). The following seasonal sine curve has been taken from Beven
(2001):
⎥
⎦
⎤
⎢
⎣
⎡
⎟
⎠
⎞
⎜
⎝
⎛
−+= 90
365
360
sin1
i
EE pp
Where:
Ep = Potential evapotranspiration (mm/day)
Ep = Climatological mean daily potential evapotranspiration (mm/day)
i = Day of the year
In most cases Actual Evaporation (AET) is calculated by the hydrological model and depends
upon the soil moisture content and soil characteristics (typically the moisture contents at ‘field
capacity’ and ‘wilting point’).
Temperature is sometimes required as a surrogate for PET. There are several formulae
available for estimating PET based on temperature alone, including:
Project: Development of Hydrological Design Aids (Surface Water) under HP-II
Document: 2009097/WR/REP-02 July 2010
State of the Art Report Revision: R0
3-10 WATER RESOURCES
• Blaney Criddle. The Blaney Criddle method estimates potential evapotranspiration from
temperature. The following equation is taken from Maidment (1993):
fbaE BCBC +=
With:
( )
d
dBC
BC
URH
N
n
RH
U
N
n
RHb
N
n
RHa
Tpf
minmin
min
min
0006.0006.0
066.007.10041.082.0
41.10043.0
13.846.0
−⎟
⎠
⎞
⎜
⎝
⎛
−
+⎟
⎠
⎞
⎜
⎝
⎛
+−=
−⎟
⎠
⎞
⎜
⎝
⎛
−=
+=
Where:
E = Potential evapotranspiration
p = Ratio of actual daily daytime hours to annual mean daily daytime hours (%)
T = Mean air temperature (o
C)
n/N = Ratio of actual to possible sunshine hours
RHmin= Minimum daily relative humidity (%)
Ud = Daytime wind at 2 m height (m/s)
• Thornthwaite. The Thornthwaite equation estimates monthly potential evapotranspiration
based on temperature with an adjustment for the number of daylight hours. The following
equation has been taken from Shaw (1983):
( ) ( ) ( ) 49.0108.1107.7107.6
12....1
5
10
16
22537
5.1
+×+×−×=
=⎟⎟
⎠
⎞
⎜⎜
⎝
⎛
=
⎟⎟
⎠
⎞
⎜⎜
⎝
⎛
=
−−−
∑
IIIa
mfor
T
I
I
T
NPE
m
a
m
mm
Where:
PEm = Monthly potential evapotranspiration (mm)
m = Month (1, 2, 3….12)
Nm = Monthly adjustment factor related to hours of daylight
Tm = Monthly mean temperature (o
C)
I = Heat index for the year
• Turc. The Turc method calculates potential evapotranspiration over a 10 day period
assuming non-limiting water. The following equation has been taken from Shaw (1983):
Project: Development of Hydrological Design Aids (Surface Water) under HP-II
Document: 2009097/WR/REP-02 July 2010
State of the Art Report Revision: R0
3-11 WATER RESOURCES
( )
16
2
2
70
1
70
2
1
2
1
2
sQT
L
with
LL
aP
aP
PE
+
=
⎥
⎥
⎦
⎤
⎢
⎢
⎣
⎡
⎟
⎠
⎞
⎜
⎝
⎛
+
+
+
++
=
Where:
PE = 10 day potential evapotranspiration (mm)
a = Estimated evaporation in the 10 day period from bare soil when there has been
no rain (1 mm < a < 10 mm)
L = The evaporation capacity of the air
T = Mean air temperature (o
C) over the 10 days
Qs = Mean short wave radiation (cal/cm2
/day)
70 = A crop factor reflecting growth with unlimited water
• Oudin. Oudin et al., (2005b) proposed the following simple calculation of PET from
observed temperature which was found to compare well with the more detailed
approaches:
otherwisePE
Tif
TR
PE a
ae
0
05
100
5
=
>+
+
=
λρ
Where:
PE = Potential evapotranspiration (mm/day)
Re = Extraterrestrial radiation (MJ/m2
/day)
λ = Latent heat flux (MJ/kg)
ρ = Density of water (kg/m3
)
Ta = Mean daily air temperature (o
C) derived from long term average
In the UK the Met Office is responsible for managing operational evapotranspiration
calculation systems including MORECS and MOSES that can provide daily or monthly
PET for any point in the UK. Where there is a full meteorological station the original
Penman equation or Penman-Monteith equation is often used and this is the standard
approach promoted by FAO in their guidance for estimating crop water requirements.
The Penman equation for potential evapotranspiration is described in detail in Shaw
(1983) and Beven (2001). The following equation has been taken from Oudin et al.,
(2005a):
( ) ( )
( )
( ) ( )UUf
with
UfeeR
PE san
536.0163.2 +=
+∆
−+∆
=
γλρ
γ
Where:
PE= Potential evapotranspiration (mm/day)
U = Wind speed (m/s)
Rn= Net radiation (MJ/m2
/day)
Project: Development of Hydrological Design Aids (Surface Water) under HP-II
Document: 2009097/WR/REP-02 July 2010
State of the Art Report Revision: R0
3-12 WATER RESOURCES
λ = Latent heat of vaporisation (taken equal to 2.45 MJ/kg)
ρ = Density of water (1000 kg/m3
)
∆ = Slope of vapour pressure/temperature curve at equilibrium
temperature (kPa/o
C)
γ = Psychrometric constant (taken equal to 6.6x10-2
kPa/o
C)
ea = Saturation vapour pressure (kPa)
es = Actual vapour pressure (kPa)
For further information see Shaw (1983) and Beven (2001). Beven (2001) identifies the
Penman – Monteith equation as the best simple physics-based calculation of PET available.
However the data requirements of net radiation, temperature, humidity and wind-speed are a
problem with the physics-based equations (Beven, 2001).
Snow Data
Snow is assessed for the extent and depth of its cover of a catchment, usually in order to
estimate its melt runoff potential. Snow depth was traditionally measured using stakes along a
snow course which was regularly monitored. Pits could be dug along this course to estimate
snowpack density and a calculation carried out to measure the water equivalent of the pack.
The extent of the cover could be assessed by either a ground or aerial survey to provide an
estimate of the total seasonal melt water runoff potential. A range of satellites are now in
common usage particularly for estimating snow cover extent, although technological
developments may allow accurate information about snow water equivalent to be gathered in
this way too.
Snowmelt models also require meteorological data. The degree-day method is the simplest and
most commonly used snowmelt model, relating snow melt to the difference between air
temperature and a critical temperature for melting (Beven, 2001). The following equation for
the daily snow melt rate by the degree-day method has been taken from Beven (2001):
( )FTTFM −= ,0max
Where:
M = Melt rate as a water equivalent per unit area (L/T)
F = Degree-day factor (L/T/K)
T = Mean daily air temperature (K)
TF = Threshold parameter (K) close to freezing point of water
Snowmelt models are available that attempt to include temperature of the snow pack, impact
of precipitation, variations in local radiation balance and changing snow pack area, although
these models have large data requirements (Beven, 2001). Further detailed information on
snowmelt modelling is provided in Section 3.1.6.
Observed Flow Data
Observed flow data from gauging stations in the catchment are required to calibrate rainfall-
runoff models. For water resources rainfall-runoff modelling, daily average flows are required
covering a long time period, for example, in the UKWIR study, flow data covering the period
1961 to 1991 were required. This is to enable assessment of long term trends, for example
number and severity of droughts and then to model changes under climate change. Where
catchments are ungauged river flows can be estimated empirically or based on modelling in a
similar catchment.
Project: Development of Hydrological Design Aids (Surface Water) under HP-II
Document: 2009097/WR/REP-02 July 2010
State of the Art Report Revision: R0
3-13 WATER RESOURCES
Catchment physiographic characteristics
The physiographic characteristics of a catchment dictate its hydrological processes to a large
extent. The characteristics which play the most important roles are:
• Area
• Shape
• Orientation
• Slope
• Relief
• Stream Morphology
Data relating to these topographic factors are often used to derive further indicators of a
catchment’s physical nature, for example:
• Maximum, minimum and mean elevations are often used in hydrological studies.
• Catchment length, defined as the distance along the main channel from the catchment
outlet to the topographic divide.
• The slope of the main channel defined by the difference in elevation between two points,
perhaps at 10 and 90 percent of the main stream’s length.
• Drainage density, being the ratio of the total length of steams to the catchment area.
Catchment hydrological parameters
Catchment hydrological parameters include the following:
• Landuse / vegetation classes
• Soil types
• Geology
These data can be used in the estimation of soil moisture parameters, porosity and interception
capacity in the modelling.
There follows a table (3.1) summarising the main data types used in water resources
assessments in the UK, along with information on the type of data, the required time intervals,
and any perceived data management issues.
Table 3.1 Main data types used in water resources assessment
Data Required
time
interval
Type Data management issues
Rainfall Daily Point Obtaining data from enough gauges to give a good
representation of spatial variability within the
catchment.
Combining data from different gauges in to a series
of continuous records.
Removing gaps or poor data before any calculation
of areal rainfall.
Rainfall Daily Radar areal
rainfall
Post processing of radar data.
Calibration of radar rainfall against ground level
gauges.
Temperature Daily Point or areal
PET Daily Point or areal PET data from observations over a single year,
Project: Development of Hydrological Design Aids (Surface Water) under HP-II
Document: 2009097/WR/REP-02 July 2010
State of the Art Report Revision: R0
3-14 WATER RESOURCES
repeated for the entire record length.
PET calculated from the observed temperature.
Flow Daily Actual or
naturalised
Post processing to fill any gaps in the data.
Calculation of flows based on donor gauging stations
if part of the flow record is missing or the catchment
is ungauged.
Issues with measurement in remote and mountainous areas
The technology exists to make measurements of all the environmental variables described
above to a satisfactory level of accuracy for modelling and reliable forecasting. However, in a
country such as India which covers an extremely large area and encompasses a vast range of
different environments, it is not practical to provide the best available technology for
measurement at every point. It is not economically efficient to spend limited funds on
providing climatic measurements in areas where weather does not directly affect significant
numbers of people or economic activity.
Remote mountainous areas are excellent examples of those where it is rather impractical to
install and maintain equipment to measure precipitation or evapotranspiration. Furthermore,
the heterogeneity of mountainous environments mean that even where it is logistically feasible
to make some point measurements, interpolations between them are far less meaningful than in
flatter more homogeneous environments. Even where measurement equipment can be installed
in mountainous areas, the harsh environment often leads to damage or malfunction, causing
gaps in records or periods of poor data quality before repairs or replacements can be carried
out.
In contrast with normal rainfall-runoff modelling which requires only precipitation data,
modelling of mountain hydrology requires a secondary input of energy. This relates both to the
initial form of precipitation as solid or liquid (leading to vastly different runoff times from
minutes to tens of years if becoming part of a glacier), and to the melting of accumulated snow
and ice and the resulting runoff.
These constraints make it necessary to interpolate measurements from gauging stations which
already exist and ideally have long-term records – to facilitate model calibrations. This
constitutes another aspect of hydrological modelling in mountainous areas - the need to
effectively model the input data themselves. Rather than simply processing data for use in a
model, the data for use in mountain hydrological models must be modelled from the data
available. These stations generating data are often not only long distances from the site of
interest for hydrological investigation, but have significantly different characteristics, not least
in terms of elevation. Precipitation, air temperature, vapour pressure, incoming radiation and
wind speeds are all variables which change with altitude, requiring not only interpolation
between stations but adjustment to account for altitudinal and orographic effects.
Lapse rates are most often used to account for change in temperature with altitude and a rate of
temperature decrease of 6.49°C/1000m being the standard described by the International Civil
Aviation Authority between sea level and 11,000mASL.
Adjusting other environmental variables for altitude is more complex. Precipitation for
example, is more likely to occur as snow at higher altitudes due to lower temperatures.
Orographic effects can also increase the amount of precipitation occurring however, as moist
air masses are forced upwards into the atmosphere by the terrain, causing cooling,
condensation and precipitation. These effects in themselves are not usually uniform, across a
mountain range, leading to vastly greater precipitation on one side of a range to the other.
Project: Development of Hydrological Design Aids (Surface Water) under HP-II
Document: 2009097/WR/REP-02 July 2010
State of the Art Report Revision: R0
3-15 WATER RESOURCES
Gathering of clouds unevenly due to orographic effects will also lead to an uneven distribution
of radiation inputs from sunlight of course.
Other variables are difficult to interpolate as well as to adjust for altitude, which makes
modelling and forecasting systems which use a small number of easily obtainable input
variables (such as temperature and precipitation) most attractive.
Asset data and hydraulic modelling data
For water resources system and hydraulic modelling the following asset data are required to
represent the water storage reservoir in the model:
• Abstracted flows
• Discharges in to the river
• Historical reservoir levels
• Reservoir operating rules
• Reservoir outlet structures
Reservoir outlets are used to release water to the river downstream. These spillways are used
to allow floods to pass over the dam without damage to the structure, and can have crest gates
or other structures to control the rate of outflow (Wurbs, 2005). Reservoirs also have smaller
outlets such as culverts below the spillway level to allow releases for navigation, hydro-power,
or environmental reasons (Wurbs, 2005). Rating curves are used to relate release rates to the
water level in the reservoir, these data are required if the operation of the reservoir is to be
modelled.
Wurbs (2005) indicates that the reservoir storage capacity is divided into vertical zones for
different uses at critical water levels. These water levels are required in the model so that rules
can be set for different water uses such as conservation, flood control or inactive.
Historical reservoir levels are required for calibration of the model.
Observed river flows upstream of the reservoir are required to provide inflows to the model. If
water can bypass the reservoir then this flow is required for the model. In the case where the
reservoir is connected to the river by an intake structure the operating rules or flow record of
the intake is required. If gauged flows are not available rainfall-runoff modelling is used to
provide the flow at the upstream end of the hydraulic model.
Water demand or the rate of water extracted from the reservoir is required for calibration of
the model. For scenario modelling this may become a parameter which is varied to reflect
future changes in water demand.
The various data required for a range of hydraulic models are described in Table 3.2.
Table 3.2 Hydraulic models and their data requirements
Model type Hydraulic data required Use of data
Natural lake empirical
equations
Observed flow
Stage – Area – Volume relationship
for the reservoir
Derive an empirical relationship
between inflow, outflow and
storage in the lake
Reservoir mass balance
model
Observed flow
Stage – Area – Volume relationship
for the reservoir
Water demand
Used for inflow to the reservoir and
calibration downstream
Used to calculate reservoir storage
and outflow
Project: Development of Hydrological Design Aids (Surface Water) under HP-II
Document: 2009097/WR/REP-02 July 2010
State of the Art Report Revision: R0
3-16 WATER RESOURCES
Model type Hydraulic data required Use of data
Evaporation
Muskingham routing and
reservoir model
Observed flow hydrographs
Data as in reservoir mass balance
model
Used to calculate the k and x
parameters
Used for inflow to the river and
calibration downstream
Used to calculate reservoir storage
and outflow
Muskingham VPMC
routing and reservoir
model
Flow – velocity – stage rating
curves for model nodes
Data as in reservoir mass balance
model
Used to calculate the routing
parameters
Used for inflow to the river and
calibration downstream
Used to calculate reservoir storage
and outflow
Muskingham Cross
section routing and
reservoir model
Cross section survey data
Estimates of Mannings ‘n’
Data as in reservoir mass balance
model
Manning or normal depth
calculation used to calculate the
routing parameters
Used for inflow to the river and
calibration downstream
Used to calculate reservoir storage
and outflow
Hydrodynamic model Flow – level rating curve at
downstream end of model
Data as in Muskingham cross
section routing model
Downstream boundary of the
hydraulic model
To solve the hydrodynamic
equations
Used for inflow to the river and
calibration downstream
Used to calculate reservoir storage
and outflow
Data consistency checks
The UK Environment Agency defines quality assurance as: ‘the process of confirming that the
data held is a reliable depiction of the variable being measured’. In the UK, all surface water
monitoring sites are assigned a Quality Assurance Standard (QAS). The standard defines the
level to which data from the site should be quality assured. Table 3.3 shows the types of data
to which this applies. There are five levels of quality assurance as shown in Table 3.4. Data
should not be quality assured to a higher standard than prescribed.
Table 3.3 Types of data to which QAS apply
Data type Examples
River levels From gauging stations
From level recorders (permanent/temporary)
Derived flows From ratings and power-law equations
From theoretical weir equations
From other formulae
Directly measured flows From ultrasonic gauges
From electromagnetic gauges
From dopplers and other meters
Summary flow data Daily mean, monthly mean etc
Annual maxima
Peaks over threshold
Project: Development of Hydrological Design Aids (Surface Water) under HP-II
Document: 2009097/WR/REP-02 July 2010
State of the Art Report Revision: R0
3-17 WATER RESOURCES
Data type Examples
Gate position data Gate open/closed
Gate angles
Naturalised and other modelled data Naturalised river flows
Modelled daily mean flows
Reservoir/Lake levels Percentage of live reservoir capacity
Table 3.4 Description of the steps taken for each level of quality assurance
Quality Assurance Standard Definition
Level 1 No quality assurance • No Environment Agency quality
assurance (data loaded only). Only
automatic flags applied
Level 2 Basic quality
assurance
• data that area present are checked;
• errors are removed;
• data are flagged and commented;
• no infilling, quality data are not
assured, no long term checks on data are
carried out and no intersite comparisons
made.
Level 3 Standard quality
assurance
• erroneous data are removed and
corrected;
• missing data are infilled where
sensible to do so;
• summary data are quality assured;
• data flagged and commented.
Level 4a Full quality
assurance
• errors are removed and corrected;
• missing data infilled where sensible
to do so;
• corrections made where sensible to
do so;
• summary data are quality assured;
• inter site comparisons;
• long term consistency checks;
• data are flagged and commented.
Level 4b 3-Yearly quality
assurance
• assess river flows against areal
rainfall;
• check catchment water balances;
• convert annual mean flows to runoff;
• update gauging station Data Quality
Measure;
• review the method of deriving flows.
Where modelled or naturalised data have been produced from time series data, the product
data should be quality assured to the same standard as the time series from which they were
produced. This will be a minimum of Level 4a but perhaps even Level 4b. Unless the time
series is subsequently changed, this quality assurance only needs to be carried out the first time
the time series is used.
Project: Development of Hydrological Design Aids (Surface Water) under HP-II
Document: 2009097/WR/REP-02 July 2010
State of the Art Report Revision: R0
3-18 WATER RESOURCES
Techniques for filling of gaps
Before data can be considered to be of suitable quality and quantity to be used in water
resources assessments, those data may need to be improved; such ‘improvement’ might
involve:
• replacing those data with data from a backup instrument;
• modifying what was recorded;
• modelling a new series to replace what was recorded;
• adding factual comments and making full use of the information contained in the field
log sheets;
• using appropriate quality flags.
This section reviews the techniques widely used for infilling gaps in data. Choice of infilling
technique should depend on the duration of the gap in the data and the supporting evidence
available for infilling. All decisions on which infilling technique to use should be based on
judgement of experienced staff who are familiar with the characteristics of the water body. The
standard guidelines for infilling of data are as follows:
• backup data from the same site should be used wherever possible for infilling;
• where suitable backup data are not available, Table 3.5 gives guidelines for limits of how
much sequential data to infill at a 15-minute data time step;
• limits given in Table 3.5 can be exceeded after consultation with experienced
hydrologists;
• where the gap in 15-minute data exceeds the limits given in the table and supporting
information only enables infilling at a daily time step, then inflow the daily mean flows
instead.
Table 3.5 Guidelines for limits of infilling data where gaps or errors exist
Scenario River type Good comparative
site
(should be flagged as
‘estimated’)
No comparative site
and no knowledge
(should be flagged as
‘suspect’)
Stable conditions (no
recent rainfall)
Unresponsive flow
regime
Up to five days Up to six hours
Responsive flow
regime
Up to two days (192
15-minute values)
Up to two hours
Rising limb/falling
limb
Unresponsive flow
regime
Up to six hours Do not infill at 15-min
time step
Responsive flow
regime
Up to two hours Do not infill at 15-min
time step
Peak flows Unresponsive flow
regime
Do not infill unless
wrack marks, gaugings
or other hydrological
info is available.
Set rating limit in
rating curve
management tool to
ensure data exceeding
these limits are flagged
as ‘beyond limit’
Do not infill at 15-min
time step
Responsive flow
regime
Do not infill unless
very good supporting
Do not infill at 15-min
time step
Project: Development of Hydrological Design Aids (Surface Water) under HP-II
Document: 2009097/WR/REP-02 July 2010
State of the Art Report Revision: R0
3-19 WATER RESOURCES
Scenario River type Good comparative
site
(should be flagged as
‘estimated’)
No comparative site
and no knowledge
(should be flagged as
‘suspect’)
info is available (that is
wrack marks, gaugings
or other hydrological
info is available).
Set rating limits in
rating curve
management tool to
ensure data that
exceeds these limits are
flagged as ‘beyond
limit’.
Table 3.6 gives examples of some techniques which might be used under various
circumstances. More specifically, when infilling consecutive 15-minute measured data there
are guidelines that should be followed:
• if it is not sensible to flag erroneous data as suspect and there are no reliable means of
infilling or correcting, then data should be removed and the gap treated as missing data;
• only correct source data if they are erroneous;
• consider whether it is more appropriate to make changes to the rating rather than the
recorded data;
• apply corrections to data as close to measured source as possible as long as it is realistic
to do so;
• where levels have been affected by plant growth or other obstruction to flow, there are a
number of options to be considered. Adopt a risk based approach, considering the
consequences of the changes made and elect from the following:
− where impacts on flows are minimal, apply drift correction and flag the data as
‘estimated’ or ‘suspect’ with additional comments if impact is increased.
− where impacts are greater, or it is important to provide accurate flows, it may be
necessary to develop a new rating for the erroneous data period. If this is not
possible and levels are significantly raised, then it may be preferable to modify
levels to better estimate the flow.
If it becomes necessary to use data from a ‘partner site’ for comparison or infilling of data,
then sites on the same river are generally more closely related than sites in adjacent
catchments. Where a suitable site on the same river is not available, then a nearby site in a
catchment with the same or similar following characteristics should be used:
• climate
• geology
• soil types
• catchment area
• land-use
• artificial influences
A comparison of the flow-duration curves between two gauging stations provides a simple
way of judging their similarity.
Project: Development of Hydrological Design Aids (Surface Water) under HP-II
Document: 2009097/WR/REP-02 July 2010
State of the Art Report Revision: R0
3-20 WATER RESOURCES
Techniques for extension of time series – general
River flow records need to be extended to produce longer records than those of empirical data
for various purposes. This has become especially pertinent in the UK, with the need to assess
drought resilience in the face of multi-season droughts. When considering the design capacity
of reservoirs and contemplating the resilience of the water supply to drought, it is necessary to
analyse the ‘worst case’ extent of droughts which are likely to impact upon a system with a
given frequency. Definitions of drought can be complex, but at its most basic, an extended
period of low flows into a reservoir which is drawn down at a higher rate than the combined
inflows, will eventually lead to an exhaustion of the resource. As always it is desirable to
strike a balance between the costs and benefits of different management approaches and
excessive caution will lead to a non-optimal solution. It is therefore prudent to carry out an
assessment of the realistic ‘worst case’ drought scenario as would be for probable maximum
flooding. The most reliable way to assess what is possible/probable is to base estimates to a
greater or lesser extent, on historical data.
The systematic recording of river flows is a relatively recent development worldwide, as a
detailed understanding of flow processes is required to link stage to discharge through a
suitable river section. In the UK, apart from a number of exceptions, the river flow records do
not extend back further than 1950 or 1960. It is difficult to place the lower flow periods
observed since the start of these records into a long-term historical context – there is no direct
record of the natural variability of the systems over a longer period.
The approach usually taken in the UK is to extend the river flow data back by developing a
relationship with rainfall records, which are much more extensive. Rainfall records as monthly
totals often stretch as far back as 17th
century in the UK. Due to the timescales of the
hydrological processes linking rainfall to river flows, monthly totals are still within the bounds
of suitable resolution for use in this context.
Project: Development of Hydrological Design Aids (Surface Water) under HP-II
Document: 2009097/WR/REP-02 July 2010
State of the Art Report Revision: R0
3-21 WATER RESOURCES
Table 3.6 Example methods of correcting or infilling gaps in data, their suitability and application
Method Comments Suitability Application: 15
minute data
Application: daily
mean data
Back up data Usually the most accurate means for
infilling gaps.
Back up data are the best sources of
data to replace poor quality data from
the primary instrument.
Use as necessary -
should be flagged as
‘good’
N/A
Arithmetic
corrections
A reliable means of correcting a
systematic error.
Use to correct instrument drift,
‘stretching’ or ‘compressing’ of data.
Can be very accurate especially when
combined with inference.
Use as necessary –
should be flagged as
‘good’
N/A
Inference This is an intuitive estimate – akin to a
hand drawn line of ‘best fit’ in a data
series.
Base the infill on supporting evidence
at the site or at a partner site.
Use for relatively minor and usually
short gaps in the record.
Can be used to correct displacements
caused by work at a site, or instrument
problems such as blockages, weed
growth clearance, obstructions or
lightning strikes.
Where there is a good
comparative site, up to
one day.
Up to three hours
where there is no
comparative site.
Should be flagged as
‘estimated’.
Where there is a good
comparative site,
seven days.
Where no comparative
site, two days.
Should be flagged as
‘estimated’.
Interpolation Interpolation closes a gap in a time
series by:
• Extending a trend between the
recorded data points either side of the
gap (for example an exponential decay
during low flows)
• Simple bridging using a straight
line (as with auto-interpolation)
• Using the spline technique to insert
a non-linear/curved line that can be
used for inserting peaks or troughs,
Use to fill a very short gap when it can
be confirmed by backup data but is
quicker than actually using backup
data.
The data series can be expected to
behave in a steady way over the gap. It
must not be used for highly variant
time series.
Do not use if it causes a sudden step in
the data that is untypical for the site.
Where there is a good
comparative site, up to
one day.
Where no comparative
site is available, up to
three hours
Should be flagged as
estimated
Where there is a good
comparative site, two
days.
Where no comparative
site is available, one
day.
Should be flagged as
estimated.
Project: Development of Hydrological Design Aids (Surface Water) under HP-II
Document: 2009097/WR/REP-02 July 2010
State of the Art Report Revision: R0
3-22 WATER RESOURCES
Method Comments Suitability Application: 15
minute data
Application: daily
mean data
especially where additional
information is available. Do not remove the steps by re-
profiling the observed data
Auto-
Interpolation
Fills a gap by bridging the two points
at either side of the gap with a straight
line.
Do not use this technique as it does not
use any hydrometric or hydrological
knowledge.
N/A N/A
Modelling Use to estimate data using
relationships between site data and
that at other sites.
Modelling may involve statistical,
analytical and numerical techniques,
ranging from transposing or scaling
data form nearby sites to complex
process representations. It includes
hydraulic and hydrological models.
Hydrological and hydraulic models:
• Accuracy, and the resolution of the
model result, is very dependent on the
model used;
• Hydrological and hydraulic
modelling can be an expensive way to
fill gaps;
• Modelled data contains errors
arising from both measurement and
model performance.
Statistical models:
• It is rarely appropriate to develop a
hydrological model specifically for
infilling missing data.
Where models already exist, for
example a flood or water resources
model, they can be used to infill
production, derived or summary time
series
• Proportionally fitting data from a
neighbouring site can be carried out
within the Environment Agency’s data
management software
It is subject to the same requirements
as the development of other models
and must not be used at 15-minute
resolution
N/A Up to six months of
daily mean flow data
Modelling can be used
to infill a larger gap in
a summary time series
where there is a break
in a valuable long
record.
Should be flagged as
‘estimated’
Project: Development of Hydrological Design Aids (Surface Water) under HP-II
Document: 2009097/WR/REP-02 July 2010
State of the Art Report Revision: R0
3-23 WATER RESOURCES
Method Comments Suitability Application: 15
minute data
Application: daily
mean data
• Accuracy is dependent on the
model fit;
• Cheap and reliable techniques
where there is a good comparative site
Project: Development of Hydrological Design Aids (Surface Water) under HP-II
Document: 2009097/WR/REP-02 July 2010
State of the Art Report Revision: R0
3-24 WATER RESOURCES
One simple approach is a basic regression analysis and this has proved successful in the UK in
conjunction with long term average potential evapotranspiration data to extend a series of
reference catchments back to the 1850s (Jones, 1984, Jones and Lister, 1998). However, more
complex statistical, conceptual rainfall-runoff and stochastic methods can be used to refine the
predictions.
Similar methods are used in India, for exampe, Raman et al. (1995) compared five different
approaches to extending streamflow data for a case study catchment (Site A) with only limited
rainfall and streamflow data but a longer rainfall record in a neighbouring catchment (Site B).
No other meteorological data were available for either catchment. These five methods
illustrated well the range of complexity available even among the most basic, which lie on the
boundary of being classed as ‘models’:
1. Runoff coefficient model (RCM);
2. Single regression model (SRM) between Site B rainfall and Site A runoff;
3. Monthly linear regression model (MLM) between Site B rainfall and Site A flows;
4. Monthly linear regression model with stochastic modelling of residuals (MLS);
5. Double regressed monthly model (DRM).
This work demonstrated the Monthly linear regression with stochastic modelling of residuals
to be the most effective approach as judged by the minimum errors criteria when judged
against the other models. The approach performed well for the monsoon season, although it
predicted high flows more accurately than low flows for the non-monsoon periods.
As mentioned above, flow records are extended for various reasons and as the specific needs
of a dataset extension vary, the methods used tend to be tailored to these needs. The most
standardised data set produced in the UK was carried out by the Climatic Research Unit at the
University of East Anglia, originally for the UK Environment Agency but updated more
recently to include the low flow periods in the first decade of this century. The idea behind this
work was to select a number of catchments across the UK which were representative of the
various characteristics such as climate and geology. The 15 catchments selected were also
geographically distributed across the UK, providing a national dataset of reference monthly
mean flow records extrapolated back to the 1850s. The intention was that basic flow data
could be ‘transferred’ to other ‘similar’ catchments on a regional basis (Jones and Lister,
1998).
The reconstructions were carried out using a statistical catchment model developed by Wright
(1978) and based on catchment areal rainfall. The catchment rainfall data required were
averaged from a number of homogeneous records across each catchment. Jones (1984) and
Wigley et al. (1984a) estimated that five or six records were needed in a catchment of up to
1500 km2
to give a specified level of accuracy. These records had to be manually selected
from UK Meteorological Office and National Rivers Authority (now the Environment
Agency) records, assessing the quality as well as the location and the length of the record. On
occasion it was necessary to use a raingauge a short distance outside of the study catchment.
Where ‘homogeneity standards’ are to be applied, it is necessary to use one long and
sufficiently ‘local’ rainfall record which is known to be homogeneous (Craddock, 1977, Jones,
1980, 1981). Correction factors were applied to create homogeneous gauge records from the
six or seven sites prior to the averaging calculation to produce a catchment rainfall series.
The averaging process used the following equation:
∑=
=
N
i
i
i
g
AAR
AAAR
ACC
1
Project: Development of Hydrological Design Aids (Surface Water) under HP-II
Document: 2009097/WR/REP-02 July 2010
State of the Art Report Revision: R0
3-25 WATER RESOURCES
Where:
gi = the monthly total at gauge i of N gauges
AARi = the 1961-90 annual average rainfall at gauge i*
AAAR = the 1961-90 areal annual average rainfall for a catchment**
ACC = the monthly average catchment rainfall
* if 1961-90 standard-period values not available, 1941-70 values used
** 1961-90 standard-period values not commonly available so other reference periods used
It was noted that for this work, no correction was made for snowfall, although it could be a
significant factor in some of the catchments chosen. Correction for snowfall could become
necessary due to the non-standard pathways of transition from precipitation to measured river
flows.
Production of these homogeneous rainfall records was by no means a simple or
straightforward task even using UK rainfall records which are relatively good by international
standards. Flows on most of the rivers were significantly modified, requiring a naturalisation
of the flow data available for them. Similar to the rainfall processing, this was a complex
process requiring significant investment of resources, especially where the primary mode of
abstractions was from groundwater. Defining the timing of groundwater influences on
streamflow was particularly challenging.
Calibration of the statistical models of each catchment was carried out independently and did
not necessarily use the same data periods due to variations in the period of data availability.
Monthly flow reconstructions were however, produced for the period 1850-2002. The most
obvious source of uncertainty is in the catchment rainfall records generated, but the
naturalisation of flows is also problematic. The models were assessed for modelled flows
against observed flows over the period 1980-2002, which showed that 11 of the 15 catchment
flows were within 8% for mean annual flows. For the Q95 statistic which is often quoted for
low flows (the monthly flow which is equalled or exceeded 95% of the time), all but one of the
catchment values were within 15% - the one catchment not within 15% was over 50% out
however (Jones, 2006).
The following sources of error are noted for further consideration due to the relatively simple
current methodology (Jones, 2006):
• The use of constant monthly values for evapotranspiration losses;
• The potential for snow packs to build up in winter periods, particularly in colder winters,
on the catchments having significant areas at high elevation;
• Possible modification of the regression relationships through time due to factors such as
changes in land management and/or use;
• Changes in the locations and numbers of rain gauges in the catchments;
• Errors in flow measurement and naturalisation.
Guidelines for hind-casting river flow and other climate records were developed in a project
by HR Wallingford (2009) for the UK Environment Agency on the impacts of long droughts
on water resources. Although these guidelines are relevant specifically to data available in the
UK, they demonstrate the benefits of carrying out the earlier work on catchment standard flow
hind-casting which provided these datasets. The guidelines are included in the following
section of this report.
Where data are particularly limited there are alternative methods that are based on using
historical evidence of high or low flows to estimate the probability of floods or droughts. For
Project: Development of Hydrological Design Aids (Surface Water) under HP-II
Document: 2009097/WR/REP-02 July 2010
State of the Art Report Revision: R0
3-26 WATER RESOURCES
example MacDonald (2007) used of epigraphic evidence for high flows. These consist largely
of unofficial markings (often engraved in stone) on bridges and walls showing historical
maximum flood depths. These tend to be floods which were considered at the time of the event
to be so rare that it probably had not occurred in living memory and was therefore worth
preserving as a warning to future generations.
Guidelines for hind-casting river flow and other climate records
There follows as an overview of available data in the UK and a description of guidelines for
different methods for using those data to extend hydrological data series. This is accompanied
in Appendix A, by a step-by-step guide to extending and using river flow series for water
resource and drought planning as used in the UK. This is included because a similar approach
for reconstructing the flows of major Indian rivers may contribute to the development of water
resources HDA.
Rainfall records
The UK is fortunate to have the most extensive network of rainfall recording anywhere in the
world. A digital network is maintained by the UK Meteorological Office, and all the available
daily data have been digitized since 1961. Earlier daily data have been digitized as a result of
exercises such as the Flood Studies Report in 1975. A cursory look through the rainfall
archives held at the Meteorological Office and a study of the annual volumes of British
Rainfall (a publication of contributions by privately maintained rainfall recording stations;
available from 1865 until publication ceased in 1991), however, indicates that before 1961
only a small subset of the potential data has been digitized. The paper rainfall archives (held at
the Meteorological Office) also contain the “10-year books”. These comprise monthly totals
for each decade up to the 1980s. Each decade was produced in real time from the 1850s, but
earlier decades back to the 1670s have been developed between the 1860s and the 1970s.
These records can be consulted, and have been used by many to develop long monthly records
for individual locations or for large regions and the country as a whole (Jones, 1977, 1981,
1983, Tabony, 1980 and Wigley et al. 1984b). It is these data sources that were used by Jones
(1984) and Jones and Lister (1998) to develop rainfall series necessary for river flow
reconstruction.
This work was labour intensive as there is no index of the lengths of records across the various
decades. The volumes of British Rainfall can be used to determine the longer and more
continuous series, but the volumes themselves only give annual totals for years before about
1940. The data then need to be digitized and subsequently assessed for long-term homogeneity
(consistency of the series through time). This latter aspect is helped by the sheets containing
details of irregular site inspections from around 1900.
Recently, the UK Meteorological Office has developed daily and monthly gridded datasets (at
5km by 5km resolution) from the available digitized data (Perry and Hollis, 2005a, b). The
grids for monthly precipitation extend back to 1914 (Perry, 2006) and are freely available for
academic research use (downloadable through the British Atmospheric Data Centre). The grids
for daily precipitation extend back to 1958, but are only available for use if purchased.
Interpolation uses eastings, northings, elevation and distance from coast (see details in Perry
and Hollis, 2005a, b). The daily and monthly grids have been produced independently, so in
upland regions the sum of the daily grids is always less than that derived from the monthly
interpolation. This arises as orographic effects are better incorporated in the monthly gridding
than at the daily timescale.
Study of the number of stations used by Perry (2006) indicates that no extensive digitization
exercises have been recently undertaken, and considerably more data are available in the “10-
year books”. Despite this, the simplest way to derive monthly areal-average series for any
Project: Development of Hydrological Design Aids (Surface Water) under HP-II
Document: 2009097/WR/REP-02 July 2010
State of the Art Report Revision: R0
3-27 WATER RESOURCES
catchment in the country would be to use this digital archive for 1914 to the current final year
of 2007. Catchment boundaries are digitally available and these have been mapped onto the
5km by 5km grids in the software package EARWIG, developed for the Environment Agency
by Kilsby et al. (2007). One advantage of using the Perry (2006) source is that the gridding
uses elevation, so should provide the true average rainfall for the catchment to be studied. This
might be particularly important in upland regions where many of the gauges are likely to be
located in the valleys.
Another possibility for extending areal rainfall series to earlier dates would be to use the
nearest of the 15 long areal rainfall series developed by Jones et al. (2006) for application in
runoff data hind-casting. These all extend back to 1865, and considerably earlier for some of
the catchments. The extension could use regression (separately for each month) between the
two rainfall series over the period from 1914-2007 or even application of monthly anomalies
(percent changes, st-dev or z scores) from a donor site to a target catchment.
Runoff records
As described above, runoff records have been reconstructed back to 1865 by Jones et al.
(2006) for 15 catchments across England and Wales. A list of the catchments is given in Table
3.7 (which has been modified from Jones et al., 2006). Their locations are shown in Figure
3.1.
Project: Development of Hydrological Design Aids (Surface Water) under HP-II
Document: 2009097/WR/REP-02 July 2010
State of the Art Report Revision: R0
3-28 WATER RESOURCES
Figure 3.1 Locations of the 15 catchments used in Jones et al. (2006)
Project: Development of Hydrological Design Aids (Surface Water) under HP-II
Document: 2009097/WR/REP-02 July 2010
State of the Art Report Revision: R0
3-29 WATER RESOURCES
Table 3.7 Details relating to catchments, catchment observed-flow series (gauged and naturalised) and model calibration periods
Catchment Flow gauge NGR of gauge Area
(km2
)
1961-90
precip.
(mm)
Ave.
Flow
(m3
s-1
)
Observed flows
(NRA) used in
earlier work
Observed flows
(EA) used for
the updating
Naturalised
flows used in
the updating
Parameter
calibration
periods
Tyne Bywell 45 (NZ) 038
617
2176 1015 45.2 1956-93 1956-2003 1956-1993 1962-1977
Tees Broken Scar 45 (NZ) 259
137
818 1141 16.9 1956-93 1956-2003 1956-1993 1957-1971
Wharfe Addingham 44 (SE) 092 494 427 1383 14.1 1962-93 1973-2003 1995-2000 1964-1977
Derwent St.Mary’s Bridge 43 (SK) 356
363
1054 1012 17.8 1977-93 1935-2003 1977-1997 1977-1993
Ely Ouse Denver Complex 53 (TF) 588 010 3430 587 11.8 1926-93 1950-2003 1980-2002 1962-1977
Wensum Costessey Mill 63 (TG) 177
128
571 672 4.0 1960-93 1960-2003 1964-1974
Thames Eynsham 42 (SP) 445 087 1616 730 13.8 1954-93 1951-2003 1955-2003 1964-1976
Medway Teston 51 (TQ) 708
530
1256 744 11.2 1957-94 1956-2003 1920-1996 1970-1993
Itchen H.bridge+A.brook 41 (SU) 467
213
360 833 5.4 1959-88 1958-2003 1970-2000 1969-1988
Exe Thorverton 21 (SS) 936 016 601 1248 16.3 1956-93 1956-2003 1958-1977
Wye Redbrook 32 (SO) 528
110
4010 1011 74.3 1937-93 1936-2003 1956-1975
Teifi Glan Teifi 22 (SN) 244
416
894 1382 28.9 1959-95 1959-2003 1971-1994
Dee Manley Hall 33 (SJ) 348 415 1019 1369 31.2 1970-89 1937-2003 1969-2002 1970-1989
Eden1 Temple Sowerby 35 (NY) 605
283
616 1272 14.4 1965-93 1964-2003 1965-1977
Eden2 Great Corby 35 (NY) 470
567
1367 1146 34.0 1967-93 1959-2002 1967-1977
Project: Development of Hydrological Design Aids (Surface Water) under HP-II
Document: 2009097/WR/REP-02 July 2010
State of the Art Report Revision: R0
3-30 WATER RESOURCES
• All catchment data in Table 3.7 originate from the Concise Register of Gauging stations (see www.nwl.ac.uk/ih/nrfa/station_summaries/crg.html)
• Some values are period specific and will differ slightly from statistics given elsewhere
• Flow data (for updating) originate from Environment Agency (EA) and Centre for Ecology and Hydrology (CEH) sources
• There are known problems with the gauging of high flows on the Thames, Dee and Eden1
• Rating changes will/have affect(ed) observed flow series on the Wharfe, Wye, Eden1 and Eden2
• Naturalisation methods have changed with potentially adverse consequences for reconstructions using original model parameters on the Medway
and Itchen
• There are doubts as to the homogeneity of observed flow series for the Ely Ouse
• The gauged flows for the Wensum have been affected by significant abstractions, just upstream of the flow gauge, since 1988
• Naturalised flows were used for original model calibrations and (where possible) validations on the Derwent, Wensum, Medway, Itchen, and Dee
• There are significant periods of missing data within the naturalised flow series for the Tyne and Tees
Further details of catchment characteristics, observed and naturalised flow series and calibration/validation exercises can be found in Jones and Lister
(1997 and 1998) and Jones et al. (2006).
Project: Development of Hydrological Design Aids (Surface Water) under HP-II
Document: 2009097/WR/REP-02 July 2010
State of the Art Report Revision: R0
3-31 WATER RESOURCES
The reconstructions use the long monthly rainfall records discussed in the previous section and a
statistical rainfall-runoff model developed by Wright (1978). The model is calibrated using values
of the logarithms of mean monthly river flow. These are related by regression to linear
combinations of data on soil moisture (estimated from precipitation and actual evaporation) and
effective precipitation (precipitation minus actual evaporation) and a number of constants (see
Wright, 1978, for full details). The empirical nature of the statistical model requires that
homogeneous input data for rainfall and flows are sufficiently long for both calibration and
validation exercises. For catchments with significant artificial influences (e.g.
abstractions/discharges), it is essential that naturalised flow series are used for
calibrations/validations. In addition, it is important that calibration periods contain a wide range
of climatic conditions for optimal results when reconstructing flows outside of the calibration
period. Extensions further back to 1800 have been developed for a smaller number of catchments
(Jones et al., 2006).
Reconstruction of flows requires both homogeneous series of areal rainfall and monthly estimates
of catchment-average actual evaporation, average values of the latter (which are unvarying from
year to year) having been derived by Wright (1978), based on simple water balance assumptions.
The use of the same twelve monthly estimates of actual evaporation was argued by Wright (1978)
to produce more reliable estimates of monthly flows and the resulting validation statistics bear
this out (see e.g. Jones et al., 2006). It also saves considerable effort in developing long series of
potential evapotranspiration for each catchment. Figure 3.2 shows the reconstructions of flows for
the 1907-11 period compared to observations taken at the time (Strahan et al., 1916). With future
climate change, it is unlikely that the assumption of constant actual evaporation will hold into the
future but it has been shown to be adequate for the validation periods used in the 20th century.
The goodness of fits of the results also imply that changes in land use across the 15 catchments
have had a negligible effect on long-term flow statistics.
Figure 3.2 Reconstructed and measured river flow on the River Exe from 1907-11
Extensions with neighbouring catchments
The 15 catchments where reconstructions have been developed can be used with regression to
provide extensions for neighbouring catchments. Care should be taken in the choice of which of
Project: Development of Hydrological Design Aids (Surface Water) under HP-II
Document: 2009097/WR/REP-02 July 2010
State of the Art Report Revision: R0
3-32 WATER RESOURCES
the 15 to use, selecting not just the nearest or just one, but bearing in mind the geology of the
catchment particularly with respect to the contribution from groundwater to surface flow.
Previous work on changes in monthly and seasonal flow from the 1961-90 average has shown
that the baseflow index and seasonal climate data provide the best basis for selecting donor
catchments rather than distance (Wade and Vidal, 2007).
Extensions with neighbouring catchments could be developed directly with the reconstructed flow
series, but the areal rainfall series could also be used together with the rainfall-runoff model that
works best for the catchment where extensions are needed.
Extensions to the daily timescale
Almost all UK water companies have complex models of their river and water resource systems,
which have been calibrated with observational values of rainfall, river flow and other series.
These are generally run at the daily timescale. In order to take advantage of the long
reconstructions of monthly flows, an earlier EA-funded study (Jones et al., 2006 and Wade et al.,
2006) used regression and a re-sampling technique to derive all the necessary daily input data to
drive two water resources models.
In these studies, monthly historic observed data were used with regression analysis to derive all
the necessary monthly timescale inputs. The re-sampling technique then selected daily sequences
appropriate to the estimated monthly average flows from the measured data. This approach would
be inadequate for flood-related studies, but is very suitable for water resource studies where low
flows are of primary importance and particularly for lowland pumped storage schemes. The
resource model can then be used with 150-200 years of reconstructed flow sequences to
determine how recent observed droughts compare, with respect to measures such as levels of
service with recent demand levels, to earlier droughts. Jones et al. (2006) provides a step-by-step
guide of the process to develop the necessary input data for a resource model.
Other climate variables
The only other potential variable that might be needed would be air temperature. For anywhere in
England and Wales, the Central England Temperature (CET) developed by Manley (1974) and
updated in Parker et al. (1992) can be used again using the differences in temperature measured
locally and that from CET (which extends back to 1659/1772 on monthly/daily timescales). Local
temperatures can be extracted from the 5km by 5km gridded sources discussed earlier (Perry and
Hollis, 2005a, b and Perry, 2006). Examples of the approach are given in Jones et al. (2006) and
Wade et al. (2006).
Techniques for naturalisation of time series data
For hydrological design purposes it is important to understand the natural flows in a basin, which
requires a range of time series analysis techniques. This allows an assessment of whether
observed variability in flows is due to natural processes or changes in the anthropogenic
influence.
Natural flow in a watercourse can be considered to be that which would occur if no anthropogenic
influences were occurring. In practice this is unlikely, so the concept of a ‘fundamentally
unaffected’ flow has developed:
"For a catchment upstream of your gauging station, small volume artificial influences may be
present, but will not have a significant effect either on water level, volume or flow."
Project: Development of Hydrological Design Aids (Surface Water) under HP-II
Document: 2009097/WR/REP-02 July 2010
State of the Art Report Revision: R0
3-33 WATER RESOURCES
In their Hydrological Yearbooks however, the UK Centre for Ecology and Hydrology (CEH)
defines a natural flow regime as one where:
“….there are no abstractions and discharges, or the variation due to them is so limited that the
gauged flow is within 10% of the natural flow at, or in excess of, the 95%ile exceedence flow"
But this raises issues about abstractions and discharges cancelling each other out to produce a
combined flow within the stated limits. It is difficult to decide whether the anthropogenic
influences on a catchment are significant until their impact is assessed, and thereby the current
‘naturalness’ of the catchment. The key action is to assess whether naturalisation is actually
necessary for the flow data. The main stages in this are described below as recommended by the
UK Environment Agency (2001):
1. Identifying the purpose of the naturalisation. This will ensure that the naturalisation
achieves the desired goals. The appropriate accuracy for the flow series and the detail
required in its end use should be clarified at this stage. Other possible future uses of the
naturalised flow series should be considered or opportunities for use and all intended uses
should be clarified in writing at the beginning of the process. The level of detail required in
the naturalised data will dictate how many influences are included in analysis and how data
synthesis should be carried out.
2. Knowledge of the catchment. Information about the character of the catchment should be
collated, possibly with the use of a form such as that shown in Table 3.8. This will help to
develop a conceptual understanding of the processes occurring.
Table 3.8 Form for identification of character of a catchment (Environment Agency, 2001)
Project: Development of Hydrological Design Aids (Surface Water) under HP-II
Document: 2009097/WR/REP-02 July 2010
State of the Art Report Revision: R0
3-34 WATER RESOURCES
In situations where there is significant interaction between surface and groundwater, it is
important that hydrologists and hydrogeologists who have knowledge of the catchment work
together to develop a robust conceptual model of these interactions. A schematic diagram and
cross-sections of the conceptual model may help to record this understanding.
Areas of concern with the flow data for the catchment include:
• The location of the flow gauging station in relation to the area or catchment of interest;
• The length of the continuous record and the extent to which infilling is necessary. The
method of infilling and the length of the gap will directly impact flow record accuracy and
the naturalised sequence;
• The suitability of the site for deriving accurate statistics across the full flow range;
• The location of the flow gauging station in relation to the significant artificial influences.
This is especially the case where a significant artificial influence which has a local impact is
situated a long way upstream from the flow gauging station.
Flow data quality must also be assessed, as erroneous data can cause problems with naturalisation
data which are difficult to trace back. The Environment Agency guidance only considers
abstractions, discharges and impoundments as the anthropogenic influences on a catchment. It is
important to consider:
• Quality of artificial influence data;
• Effect of uncertainties in the data on the overall naturalisation;
• Availability of artificial influence data;
• How artificial influences operate within the catchment;
• The balance of the influences (i.e. net effect).
Further questions which need to be asked in order to ascertain the scale of the naturalisation work
in terms of data gathering, processing and validating, are:
• How many influences are there?
• Are there many large non-consumptive abstractions?
• Are there any authorisation conditions affecting the flow regime such as prescribed flows?
• Are there any unconsented abstractions or discharges?
• Are there deprived reaches that are impacted by surface water diversions such as leats?
• Are there any inter-catchment transfers?
• How far are the major influences from the gauging station?
• Are there any impoundments/reservoirs/large lakes?
• Are the impoundments for direct supply, river regulation, or flow compensation?
• Are there any large groundwater abstractions?
• Are there any canals and how do they impact the hydrology of the catchment?
The point of impact of each artificial influence on the river’s flow needs to be defined, although
this can prove challenging particularly when considering groundwater abstractions which often
impact over a wide area. Further complications arise where the impacts of a groundwater
abstraction are spread not only over the catchment of interest but one or more other catchments.
This kind of situation requires the assistance of an experienced hydrogeologist to define.
Project: Development of Hydrological Design Aids (Surface Water) under HP-II
Document: 2009097/WR/REP-02 July 2010
State of the Art Report Revision: R0
3-35 WATER RESOURCES
The following considerations should be taken into account when identifying and describing
artificial influences:
• Changes in influences over time;
• Out of catchment surface water influences – transfers into or out of the catchment, etc;
• Differences between surface water and groundwater catchment boundaries but interactions
between them – this should be part of conceptual model definition involving hydrologists
and hydrogeologists;
• Permanent influences of longer history than the flow records may not need accounting for if
generally stable and expected to continue to be so. Decisions to omit influences should be
clearly recorded however;
• Care should be taken to define whether reservoirs are on-line or off-line as this changes
significantly how they should be represented in naturalisation calculations.
Once the need to naturalise flows by decomposition has been confirmed by the considerations
above, the expensive and time consuming work of assessing the positive and negative impacts on
flows from all sources can begin in earnest. It should also be noted that uncertainties in
estimations of artificial influences can be much greater than uncertainties associated with flow
measurement – where flows might have an uncertainty of +/-5%, artificial influences could be out
by as much as +/-40% (WMO, 2008).
Should the process of assessment decide that naturalisation by decomposition is not the best
option, then other options should be considered such as rainfall-runoff modelling. A wide range
of other techniques are available to obtain naturalised flow regime estimates. Most are based on
modelled rainfall runoff approaches using computer models such as HYSIM (Manley, 1994),
models which use catchment characteristics to generate a natural flow sequence such as Low
Flows 2000 (CEH, 2000) and numerical groundwater models such as MODFLOW (McDonald &
Harbaugh, 1988).
One of the keys to assessing the impacts of artificial influences on flows is the improvement of
data relating to those influences. Effort should be made to improve the availability of these data
both through requirements for monitoring of abstractions and discharges and dissemination to
users through media such as the internet. Development of national digital databases of catchment
characteristics and flow data can also be of great benefit in using analogous catchments to
estimate flows in ungauged catchments (WMO,2008).
Estimation of flows at ungauged sites
The WMO manual on low flow estimation (WMO, 2008) presents state-of-the-art procedures for
estimating low river flows at all sites, regardless of the availability of observed data. It classifies
estimation methods into three groups:
• Empirical methods: these aim to account for the primary influences on streamflow in order
to graphically or analytically estimate low-flow indices. Methods use analogue catchments
which have a similar hydrological response to precipitation and evaporation demand, and
which have synchronous flows. Such transposing of stream-flow data is a widely used
technique whose accuracy can be increased if there is a short period of record at the target
site. An operational example of this is the LowFlows 2000 software from CEH UK (Young
et al., 2003), which is used for estimating natural and artificial low-flow statistics at
ungauged sites in the UK. In the case that a short record is not available, an assessment must
Project: Development of Hydrological Design Aids (Surface Water) under HP-II
Document: 2009097/WR/REP-02 July 2010
State of the Art Report Revision: R0
3-36 WATER RESOURCES
be carried out of whether it is worthwhile carrying out a short period of monitoring of the
catchment in order to provide this short record.
• Statistical methods. Flow estimation at ungauged sites with the aid of multiple regression
techniques has gained wide use in applied hydrology. Although this approach is direct,
objective and easy to handle, it has the disadvantage that the methods estimate specific low-
flow indices rather than the full time series of river flows.
• Rainfall-runoff models: these are used to simulate the evolution of the time series of river
flows within a catchment. These describe the interaction between catchment structure,
rainfall, evaporation and streamflow by representing hydrological processes by
mathematical equations. Details are given in Section 3.1.3.
3.1.4 Rainfall-runoff modelling
Rainfall-runoff modelling represents the processes involved in converting the total rainfall falling
on a catchment into runoff, and as such models are typically used in water resource assessments.
Rainfall-runoff models can be:
• black box empirical equations based on observed data (Beven, 2001);
• lumped conceptual models that attempt to replicate the physical processes (Beven, 2001);
• hybrid metric-conceptual models that use a combination of empirical equations and
conceptual models (Young, 2001b); or
• distributed models that include a spatial component (Beven, 2001).
For water resource assessment applications, empirical and conceptual models are most commonly
used. The following are well known and widely used models:
• Probability Distributed Model (PDM);
• CatchMOD;
• Data-based mechanistic modelling of environmental systems (DBM);
• HEC-HMS;
• IHACRES;
• HYSIM;
• NAM;
• SHE.
Appendix D presents descriptions of these models.
3.1.5 Water resources system modelling
Water resources modelling for water resources assessment generally involves the modelling of
water storage systems such as reservoirs and the behaviour of a system, including irrigation areas
and major public water supplies. The models include the river system, and the storage reservoir
including the intake and outlet structures. These models are applied to the following types of
water resource systems:
• Single pumped reservoirs
• Natural lakes
• Multiple reservoirs
• Conjunctive use – linked to groundwater
Project: Development of Hydrological Design Aids (Surface Water) under HP-II
Document: 2009097/WR/REP-02 July 2010
State of the Art Report Revision: R0
3-37 WATER RESOURCES
The models are used to simulate the following types of scenario:
• Yield search to estimate the reliable yield of the system
• Behavioural – to investigate how the system operates under different design conditions or
operational rules. Including sensitivity or scenario tests for; environmental releases, climate
change, and changing regulations.
• Allocating storage capacity between different types of use
• Optimisation – or reservoir control curves to meet multiple objectives (water supply, flood
control etc…) and often to reduce pumping costs
There are number of water allocation, water resources system and hydraulic models that can be
used in water resources modelling, the following are well known and widely used models:
• InfoWorks RS
• InfoWorks ICM
• HEC-ResSim
• MIKE 11
• SOBEK
• MISER
• AQUATOR
• Spreadsheet models
• Integrated Source Management Model (ISMM)
Appendix E provides details of these models.
3.1.6 River basin modelling
The river basin has long been acknowledged as the most sensible level for assessing and
managing water resources. Integrated management of all the conflicting demands upon the
resource is essential for the sustainability of the resource, on both national and international
scales. However, river basins are complex systems containing many interdependent components.
A detailed description of the range of river basin modelling techniques used internationally is
presented in McKinney et al (1999) Efficient and comprehensive modelling tools are required to
enable assessment and management of the resource. There follows a summary of some of the
main river basin models used around the world.
The Interactive River-Aquifer Simulation model (IRAS) is used in the US for river basin
simulation. It simulates flows, storage, water quality, hydropower and energy for pumping in an
interdependent surface water – ground water system. It has been applied in India, Canada, the US,
Russia and Portugal. IRAS is an open source code, which can be used under a General Public
License (GPL).
MIKE BASIN (from the Danish Hydraulic Institute) is a quasi-steady state mass balance model
that includes flood routing. The user interface is based upon ArcView-GIS. In terms of the
suitability of MIKE BASIN for water resources modelling, it contains a number of useful
features, such as: two flow routing options for sparse models (spatial and temporal); two types of
reservoir (standard or allocation. The allocation reservoir sets a storage right for different uses:
water quality and water supply); reservoirs operated to maintain minimum or maximum flows at
downstream locations; allows water users to be defined and can set priority rules for particular
Project: Development of Hydrological Design Aids (Surface Water) under HP-II
Document: 2009097/WR/REP-02 July 2010
State of the Art Report Revision: R0
3-38 WATER RESOURCES
water users; it can perform both simulation and optimisation modelling. MIKE BASIN is one of
the most widely applied river basin models. MIKE BASIN is proprietary software that requires
licensing and also a licence for ArcView GIS.
The TERRA model (the Tennessee Valley Authority’s Environment and River Resource Aid) is
applied to the Tennessee Valley Authority’s complex river basin system, and is not really
designed to be transferable to other river basins. It models reservoir operation and power
generation operation and can operate in real-time. Similar bespoke models have been developed
in the UK, such as MOSPA that is used to model a complex network of resources in the north-
west of England and can integrate water and power distribution in a single model.
WaterWare was developed by a consortium of EU countries. It has components for demand
forecasting, water resources planning, and ground water and surface water pollution. WaterWare
has been applied to river basins in the UK, Mexico and Palestine. Again this is proprietary
software, which is expensive to license. Lower cost alternatives include WEAP, developed by the
Stockholm Environment Institute.
3.1.7 Snow melt runoff modelling
Introduction to snow melt runoff modelling
Similarly to rainfall-runoff modelling, snow melt models can take various forms in their spatial
distribution (from lumped to fully distributed) and in their structure (from empirical to physically-
based). Runoff from snow may occur days, months or even years after the initial precipitation
event, in the case of snow falling above the permanent snow line which can be converted first to
‘firn’ (old snow that has become granular and compacted as a result of melting and refreezing)
and then glacier ice.
Snow melt runoff is not only of operational interest in countries with significant snow fall, but in
some river basins, for example the Mekong in Southeast Asia, the flow hundreds or thousands of
kilometres downstream is dependent to some extent upon snow melt at its mountain source.
The countries most directly affected by runoff from snow are those with mountainous areas which
experience winter temperatures low enough to accumulate snowpack through the winter. These
mountainous areas often form the bulk of river catchments and the runoff from snow melt can
provide a second non-groundwater type of base flow during months of low precipitation.
A wide variety of snow melt models has been developed at institutions around the world. As
would be expected, a number of these models have become more widely used due to their success
in predicting runoff at appropriate levels of accuracy. There are two basic types of snow melt
model: those based on temperature-related snow melt rates, and those based on an energy budget
approach for the snowpack (which are more physically-based). For detailed descriptions of each
of the main snow melt models, as well as a comparative table of their input data requirements and
general features, see Appendix B: Snow melt model summaries, and for case studies of snow melt
applications and use, please see Appendix C: Case studies of snow melt model application and
use. The US Army Corps of Engineers (USACE, 1998) suggest that Temperature Index-based
models are best suited to normal circumstances, while energy budget models are better at
predicting extreme events.
Models require input data to run, and the amount of data and the way they are collected can have
a significant impact on the suitability of a model for application in any given context.
Project: Development of Hydrological Design Aids (Surface Water) under HP-II
Document: 2009097/WR/REP-02 July 2010
State of the Art Report Revision: R0
3-39 WATER RESOURCES
Temperature index methods generally require much less data to generate flow predictions than do
energy budget approaches.
Similarly, the time taken to process data, run the model and interpret results can help decide
whether a particular model is likely to satisfy resource constraints of various kinds, be they
computing power or the number of hours and skills which operational staff have to effectively set
up and run models. In an Indian context, these resource constraints are likely to be particularly
limiting.
As a large number of Indian catchments, particularly in the north of the country, are affected by
seasonal snow accumulation and ablation, it is important that snow and glacier melt runoff can be
accounted for in water resources assessments. This Section therefore addresses the models used
most successfully internationally in environments similar to those found in the Indian Himalaya,
or indeed models which have been tested in those same mountains.
Despite the fact that a large number of snow melt models have been developed over the years for
application in both operational and research contexts, there are a number of overriding principles
which need to be addressed by these models. Addressing an issue may mean neglecting it as a
significant factor in the runoff estimation, but may also mean it is included either physically or
conceptually, or accounted for by some kind of lumped parameter.
There follows a summary of the issues based on a paper by Ferguson (1999) drawing on a
literature review and model inter-comparison done as part of the EU-funded HYDALP project.
The primary difference between the hydrological processes affecting water which falls as snow
rather than rain, is that where rainfall-runoff depends primarily on intensity of precipitation, snow
melt runoff is primarily concerned with the availability of heat energy to cause melting of the
accumulated snowpack.
Once melted, the water from snow follows many of the same pathways as does rainfall, so many
snow melt models are developed from rainfall-runoff models with added routines for simulating
snow accumulation and depletion. Some models however, are developed specially for snow-
covered catchments, normally in high mountain regions.
Whatever the origins of a model, the snow representation must deal in some way or another with
the following three operations at each time step (Figure 3.3):
• extrapolate available meteorological data to the snowpack, in order to
• calculate rates of snowmelt at different points, then
• integrate snowmelt over the current area of the snowpack in order to estimate the total
volume of new melt water.
Project: Development of Hydrological Design Aids (Surface Water) under HP-II
Document: 2009097/WR/REP-02 July 2010
State of the Art Report Revision: R0
3-40 WATER RESOURCES
Figure 3.3 Fundamental operations involved in modelling snowmelt (Ferguson, 1999)
The combination of melt water and any rainfall which has fallen on the catchment must then be
routed to a selected outflow point where a modelled hydrograph may be needed, either for
comparison/calibration with observed data or for some practical use (where
calibration/verification is not possible).
The model then has to deal with the change in the snowpack as a result of the estimated melt at
the last time step, as well as any new snow which may have fallen.
The US National Weather Service (NWS) (2002) notes that uncertainties in the estimates of
modelled snow states build up during the course of a snow season as a result of both model and
data errors:
• Model error is introduced because of an inability to perfectly represent the physical
processes integrated over a basin.
• Data errors are introduced due to measurement errors and the inability to adequately
estimate meteorological inputs on an areal basis.
• In summary, the issues which must be addressed by a snowmelt model are the following:
• Extrapolation of meteorological data
• Snowpack heat energy balance
• Snow cover and its depletion (one of two methods)
− Snowpack modelling
− Snow-cover observation and depletion curves
Project: Development of Hydrological Design Aids (Surface Water) under HP-II
Document: 2009097/WR/REP-02 July 2010
State of the Art Report Revision: R0
3-41 WATER RESOURCES
• Runoff routing and losses
• Model calibration and validation.
On the basis of investigations as part of this work, Ferguson (1999) concludes that in melt water
hydrology, unlike rainfall-runoff modelling, models with a physical or conceptual basis are
dominant over regression equations and time-series models. It is suggested that the main reason
for this is the influence of elevation on both snow cover and melt rates, by way of the temperature
factor. The most fundamental difference between melt water models is whether they use a method
of simulating snowpack accumulation and depletion, or rely on Earth Observation (EO) data in
conjunction with depletion curves to model snowpack evolution. It is convenient to avoid reliance
on EO data, but explicitly modelling both positive and negative changes in the snowpack
introduces greater potential for error in runoff calculation.
Ferguson (1999) goes on to predict that demands for real-time forecasting of melt water runoff
are likely to increase, suggesting the increasing use of EO data in forecasting, whether as an input
in itself or for updating models which accumulate as well as depleting snowpacks. Climate
change studies are also likely to increase demand for hypothetical scenario modelling to which
physical modelling is better suited – expected future physical characteristics of the environment
can be used directly as inputs. As there is no one level of optimum complexity for all types of
snow melt modelling, it is highly likely that different types of models will continue to be used
where their strengths lie.
Snow melt runoff modelling has generally been carried out operationally by a small number of
models, used in a wide range of contexts. Probably the most used models in the international
research arena are HBV and SRM – the two models which were the focus of Ferguson’s (1999)
comparison of snowmelt runoff models. SRM is often considered the only model suitable for
sparse data environments such as is often found in mountainous areas, but more particularly in
remote mountainous areas. Although these remote areas are not usually inhabited, the impacts of
melting there impacts on populations downstream. However, their remoteness does not lend itself
to installation and maintenance of weather monitoring equipment. The Himalaya are a prime
example of this kind of environment. As the SRM model relies only on temperature, precipitation
and snow cover extent data, it is relatively easy to set it up for use where little data are available.
Snow cover extent data can usually be obtained from satellite imagery, although various systems
can be selected, using different satellites, different resolutions and different spectra for imaging.
The NOAA-AVHRR satellite data have been used in numerous studies (Ramamoorthi, 1986;
Lavallée et al., 2006; Landesa, 2002; Udnæs et al., 2002) as has Landsat-TM data, and MODIS
(Georgievsky, 2009).
Ramamoorthi (1987) declared snow covered area to be the main factor in forecasting snowmelt
runoff from major river basins, and while this might not be disputable in some respects, attempts
have been made unsuccessfully to forecast runoff directly from snow covered extent for a large
rain on snow melt event and more normal melt conditions (Georgievsky, 2009). It is generally
considered then, necessary to relate snow cover extent, or snow water equivalent (SWE) as an
alternative, to runoff using some kind of model. A notable exception to this is the VIPER system
developed at the Natural Resources Conservation Service (NRCS, formerly SCS) in the western
US (Pagano et al., 2009, Perkins et al., 2009). This is a statistical regression based snow melt
forecasting system which selects predictors based on best-fitting historical datasets. Essentially,
the system finds the best predictors based on R2
scores and uses these to forecast the April-July
melt period runoff. The forecast begins in January and runs automatically on a daily basis. This is
an unofficial service which runs alongside the more traditional SNOW-17 model run as a
Project: Development of Hydrological Design Aids (Surface Water) under HP-II
Document: 2009097/WR/REP-02 July 2010
State of the Art Report Revision: R0
3-42 WATER RESOURCES
collaboration between the National Weather Service (NWS) and the NRCS. Melt season total
predictions increase in accuracy as the year progresses and at best can achieve R2
of over 0.90.
Something of a dichotomy has established itself in snowmelt forecasting models, between those
which use a temperature index, or ‘degree-day’ method of predicting melt rates (e.g. HBV, SRM,
SNOW-17) and those which use a more or less simplified approach to the calculating the total
energy balance of the snowpack (e.g. PRMS, SSARR- energy budget method). A description of
the two approaches is given below, followed by discussion of combined approaches.
Temperature-Index method
The temperature-index method assumes an empirical relationship between air temperatures and
melt rates and was first used in 1887 for an Alpine glacier (Finsterwalder and Schunk, 1887).
This is now the most common approach to melt modelling for the reasons outlined in Table 3.9.
The temperature-index method often matches the full energy balance approach on a catchment
scale (WMO, 1986) and this has been shown to be because of the physical basis of energy
supplied to a snowpack or ice for melting. The longwave atmospheric radiation in combination
with sensible heat flux were shown by Ohmura (2001) to provide about ¾ of the energy source
for melting, and both these are highly affected by air temperature. Furthermore, global radiation
as the second largest source of heat for melting, affects air temperature thereby providing a
connection to melt rates.
In essence, the temperature-index approach uses a critical temperature threshold below which no
melting occurs (often, but not always 0°C). Above this temperature, melting occurs at a rate
defined by a degree-day factor (DDF) or melt-rate expressed as millimetres of meltwater, per
degree of temperature above the threshold, per day (mm/°C/day). The general form of a model is:
( )
⎩
⎨
⎧
≤
>−
=
0
00
,0
,
TT
TTTTf
M
d
ddm
KKKKKK
K
Where M is the daily melt, Td is the daily mean temperature, T0 is the threshold temperature for
melting and fm is a melt factor. It should be noted that this melt factor is not the same as the
degree day factor (DDF), which is used to calculate melt. Some models use a fixed DDF while
some vary the DDF spatially and/or temporally. It is recognised that DDFs usually function as an
average for a catchment and are often a calibration parameter (Hock, 2003). Some research has
shown melt rate to vary non-linearly with temperature (Braithwaite, 1995) but this is generally
ignored in favour of the simplistic approach.
Degree-day factors can be calculated from physical lysimeter experiments (e.g. Kustas and
Rango, 1994), from monitoring ablation stakes along a snow course (e.g. Braithwaite et al., 1998)
or from energy balance computations (e.g. Arendt and Sharp, 1999). The period over which the
assessment of an appropriate degree-day factor is conducted can vary from days to years (Hock,
2003).
Energy-balance approach
The net energy flux QM to the surface of a snowpack or glacier has five components (Morris,
1985):
QM = QNR + QS + QL + QP + QG
Project: Development of Hydrological Design Aids (Surface Water) under HP-II
Document: 2009097/WR/REP-02 July 2010
State of the Art Report Revision: R0
3-43 WATER RESOURCES
Where the subscript NR refers to net short- and long-wave radiation, S to sensible heat transfer to
the surface by turbulent exchange from the atmosphere, L to latent heat of condensation (+) or
evaporation (-), P to heat added by precipitation at a higher temperature than the surface and G to
heat conducted from the ground through the snowpack.
The relative impact of each of the terms varies spatially and temporally and an energy balance
approach must either account for or ignore each term in calculating the energy change in the
snowpack and any resulting melt water production. The energy influx either goes towards raising
the temperature of the snowpack (which can involve melting and refreezing) or generating runoff
after the snowpack is ‘ripe’ (the liquid water capacity of the snowpack has been satisfied).
Microclimatic measurements on alpine snowpacks show QNR is usually the dominant source of
heat, especially on clear days (Kuusisto, 1986; Paterson, 1994). This contrasts with more
maritime climates such as that in the UK, where snowmelt is more likely to be generated by
sensible heat transfer to the surface by turbulent exchange from the atmosphere as warmer air
moves in after a cold spell (Bell and Moore, 1999).
The biggest challenge with the energy-balance approach is the variability of all the terms above,
both in space and time. Measurements necessarily taken at points can be extrapolated, but this
immediately introduces uncertainties into the modelling process. It is common to ignore the terms
which have least effect as the proportional uncertainties can outweigh the benefits of including
them (Ferguson, 1999).
Table 3.9 Advantages and disadvantages of the two main approaches to melt modelling
Approach: Temperature Index Energy Balance
Advantages • Simple data requirements –
often only temperature and
precipitation
• Wide availability of
temperature data
• Temperature is common factor
in most energy balance components
• Temperature most easily
forecast and spatially extrapolated
meteorological variable
• Generally good model
performance despite simplicity
• Computational simplicity
• Distributed – takes account of spatial
and temporal variability
• Theoretically more accurate – accounts
for all physical processes relating to energy
balance of snowpack
Disadvantages • Generalised over large areas –
doesn’t represent spatial variability
which is pronounced in mountainous
areas
• Limited temporal resolution –
usually modelled on daily basis
assuming constant melt factor
• Complexity of data requirements –
unrealistic to collect for remote mountain
areas
• Time variability of input variables
requires high resolution data without
corresponding measurements
• Increased potential for uncertainty due
to estimation/approximation/extrapolation
Project: Development of Hydrological Design Aids (Surface Water) under HP-II
Document: 2009097/WR/REP-02 July 2010
State of the Art Report Revision: R0
3-44 WATER RESOURCES
Approach: Temperature Index Energy Balance
of input values
Combining modelling approaches
Some models use a combined approach (Anderson, 1973), for example the National Weather
Service River Forecasting System which uses a degree-day method when there is no precipitation,
but uses an energy budget approach to account for the energy input to the snowpack of rain on
snow events or other precipitation. This type of combined approach is in the minority however.
Due to the drawbacks of each modelling approach outline above, attempts have been made to
improve on the simplicity of the Temperature-Index by adding more physical variables. Early
studies using multiple regression techniques showed that inclusion of radiation and vapour
pressure terms (Lang, 1968) could improve runoff computations at hourly and daily time steps
respectively. In similar work, Zuzel and Cox (1975) showed that radiation, vapour pressure and
wind speed could improve daily snow melt estimates.
Other work has been done to investigate the advantages associated with adding a radiation term to
the normal degree-day method with the general form (Hock, 2003):
aRTfM m +=
where a is a coefficient and R is the shortwave radiation balance (Martinec, 1989; Kane and
Gieck, 1997) or net radiation (Martinec and de Quervain, 1975; Kustas and Rango, 1994). Results
have proved to be better than gained by using a temperature-only approach at the site scale – in
the case of Kustas and Rango (1994) by nearly 40% in terms of r2
(model efficiency) value.
A method of approximating this energy input variation without introducing excessive increased
data requirements is to use a standard dataset such as that for clear sky solar radiation levels
(Hock, 1999; Kustas and Rango, 1994). These data can be used to add a radiation factor to the
standard degree-day factor. Where the SRM model would normally have a variable input of
degree-day factor over the course of a melt season, a more stable degree-day factor can be used
with a variable radiation factor. This radiation factor can be estimated based on clear sky radiation
incident on a flat open surface. Kustas and Rango (1994) estimated this factor to amount to 0.2-
0.25cm/°C/day as compared to 0.35-0.6cm/°C/day for a normal degree-day factor not accounting
for radiation. Diffuse radiation is also accounted for in this way and the factor can be reduced
proportionally to account for cloud cover blocking sunlight where appropriate. Kustas and Rango
(1994) were able to demonstrate that the net radiation factor accounted for most of the difference
between the standard degree-day model and reality, but they were unable to demonstrate simple
proportionality between the two. The effects of cloud cover on incident radiation were considered
difficult to account for in an operational model as it is very difficult to forecast. Similarly,
changes in surface albedo throughout a melt season were recognised as having a significant
impact on melt rates, but were difficult to forecast for operational purposes.
A more complex approach to employing clear sky radiation data was taken by Hock (1999),
demonstrating the advantages of pre-processing using GIS techniques. Using a 30m resolution
DEM, every cell was analysed for its slope and aspect as well as hourly topographic shading
taking into account the position of the sun. This required the DEM to be of sufficient extent to
take in all possible influences on shading for every cell within the model boundaries. The analysis
Project: Development of Hydrological Design Aids (Surface Water) under HP-II
Document: 2009097/WR/REP-02 July 2010
State of the Art Report Revision: R0
3-45 WATER RESOURCES
caused variations in incident radiation between 50W/m2
and >250W/m2
averaged over 3 months,
confirming the inappropriateness of applying constant or spatially lumped degree-day factors for
more detailed modelling. Inclusion of global radiation with direct radiation did not improve
runoff simulation results.
Operational model use
There exists little information relating directly to operational model use for snowmelt forecasting
in the international arena. A limited amount of information has been obtained by investigating
and contacting the agencies responsible for this work in a number of countries with significant
snow and glacier melt water resource issues: U.S.A., Canada, New Zealand, Switzerland,
Australia, and Turkey. The information available is summarised by country below.
USA
In the USA, the National Weather Service (NWS) is responsible for river flow forecasting and
this includes a significant proportion of snow and glacier melt in certain mountainous states or
those downstream – generally in the Western US and Alaska. Different offices have traditionally
relied on a variety of forecasting methods to varying degrees (Pagano, pers. comm.) but over the
last two decades practices have become more standardised, with use of SSARR (Rockwood,
1981), SNOW-17 (Anderson, 1973) and Sacramento (Burnach et al, 1973) derivative models
being widespread. The National Resources Conservation Service (NRCS) has also been
forecasting snowpack and runoff since the 1940’s and it was only in the 1980’s that it became a
statutory requirement for the NWS and NRCS to harmonise their forecasts to prevent confusion.
Originally both organisations used statistical regression methods, and while the NWS still use
these methods for confirmation and reality checking of model outputs the NRCS has continued to
develop these methods. This development has recently resulted in the VIPER system (Pagano et
al., 2009, Perkins et al., 2009). The coordinated forecasting by the NWS and NRCS runs from
January to June each year to produce April-July and June-July monthly forecasts for runoff.
Switzerland
The hydrology division of the Swiss Federal Office for Environment (FOEN) makes operational
river and lake forecasts, which naturally include a large amount of snowmelt runoff from the
Swiss Alps. The model currently in use is HBV consisting amongst others, of a subroutine for
snow accumulation and snow melt. There are also plans in the near future (Helbling, pers. comm.)
to use the two more recently developed hydrological models PREVAH (Viviroli et al., 2009) and
WaSiM-ETH (http://www.wasim.ch/en/index.html). Both models are widely used at Swiss
Universities and benefits are to be gained by maintaining close relationships with such research
establishments providing potential model improvements.
During the snow-season FOEN regularly receives the following data from the Swiss Institute for
Snow and Avalanche Research (SLF):
• the current snow water equivalent (SWE),
• the current SWE in comparison to the mean of 1999-2010,
• the mean current SWE for different catchments and
• the snow state (dry, partly wet, wet) in different regions.
These data are used for the interpretation of hydrological forecasts and for the evaluation of the
potential for snow-melt floods. In the case of a high potential for such flooding occurring, special
lake management measures can be put in place. The intention for the future is to begin to
incorporate these data provided by the SLF directly in the forecasting system.
Project: Development of Hydrological Design Aids (Surface Water) under HP-II
Document: 2009097/WR/REP-02 July 2010
State of the Art Report Revision: R0
3-46 WATER RESOURCES
New Zealand
The main approach in New Zealand for operational snow melt runoff forecasting, is the use of a
temperature index snow model called SnowSim-NZ (Fitzharris and Garr, 1995; Fitzharris, 2004)
which has been used for a number of years. This has recently been updated and improved on with
new a parameterization for melt and incorporating spatial variability at sub-grid scale (Clark et
al., 2009).
Recent work (e.g. Sirguey et al., 2009) has started to use the MODIS platform for a remote
sensing approach; these methods are not currently operational, but may be in the future.
Satellite observation for snowmelt forecasting
Aerial photography was the first technology to be used for mapping, and while this is still a
common method of obtaining data by various scanning methods, the use of satellite based sensors
is becoming more common. Airborne investigation can provide more detailed data, especially
considering terrain scanning with LiDAR or LASER technology, but satellites provide a regularly
updated data source at low cost and at ease for remote areas.
Different sensors have different strengths in detecting snow cover (Table 3.10). Fresh snow is
easily identified in the visible spectrum as long as cloud cover is minimal, but as it ages and
becomes dirtier or during seasons with extensive cloud cover, different technology is required.
Sensors in the visible and near infrared spectral ranges are useful for snow albedo and snow-cover
area measurements, while thermal infrared sensors are more able to identify snowpack conditions.
Table 3.10 Application of various sensors for particular snow properties
Sensors Snow properties
Gamma ray sensors Snow depth,
Background radiation
Visible, near-infrared sensors Crystal size,
Contaminants,
Shallow snow depth (up to a few cms),
Liquid water,
Surface roughness
Thermal infrared sensors Temperature,
Grain size,
Liquid water
Microwave sensors Liquid water,
Crystal size,
Water equivalent depth,
Stratification,
Snow surface roughness,
Density,
Temperature,
Soil conditions
Visible and near infrared sensors
These sensors have been used for mapping the areal extent of snow since the early 1960’s with a
gradual improvement in spectral and spatial resolution over the years. Examples include:
Project: Development of Hydrological Design Aids (Surface Water) under HP-II
Document: 2009097/WR/REP-02 July 2010
State of the Art Report Revision: R0
3-47 WATER RESOURCES
• Red band (0.6-0.7µm) of Landsat MSS
• Band (0.62-0.68 µm) of Indian Remote Sensing (IRS) satellite
• Visible channel of NOAA-AVHRR
The drawback of these kinds of sensors is that they are only able to penetrate the surface to very
shallow depths, providing information on areal extent but not water equivalent, liquid water
content or other snowpack properties.
There are two main techniques for processing data from these kinds of satellites: visual photo-
interpretation and digital image processing. In visual photo-interpretation, the image obtained is
scaled to match a map and the overlaid to show the snow covered extent. This can then be
manually or digitally planimetered to assess the area. This method can work well, particularly in
small basins where the snow retreat is regular and contiguous, although potential exists for human
error.
Digital image processing involves the automated assessment of a digital image to assign normally
one of three states to each pixel – snow-covered, partially snow-covered or snow-free. By
counting the numbers of each pixel in the image, a rapid and accurate assessment can be made of
snow covered area. This method can be used on an operational basis to provide regular updates of
basin snow covered areas.
Limitations
Cloud cover is the best example of a limitation with the visible and near infrared bands for snow
cover analysis. The problems are:
1. snow has a very similar reflectance to cloud in the visible spectrum, which causes
differentiation difficult,
2. cloud which obscures the boundary of a snow field makes it very difficult to judge the
position of this boundary, and
3. cloud casts shadows on snow cover changing its appearance.
The third point can actually help identify the presence of clouds, dependent on the density of
cloud cover.
Fortunately, snow’s reflectance above 1.4 µm reduces considerably where that of clouds remains
high. This physical feature helps to differentiate the two. Two examples of sources for this data
are:
• Landsat TM-band 5 (1.55-1.75 µm)
• IRS-1C LISS-III band 4 (1.55-1.70 µm)
Although this is a very useful development, there are still problems with completely cloud
covered basins.
Forest cover can obscure snow cover on the ground and can also hold snow in its canopy.
Identification of snow covered extent can therefore be particularly difficult, needing expert
interpretation.
Similar to the effects of clouds, complex local topography in the mountains can cause shadows to
be cast across a snowpack. This leads to uncertainties about snow-covered extent, as the shaded
Project: Development of Hydrological Design Aids (Surface Water) under HP-II
Document: 2009097/WR/REP-02 July 2010
State of the Art Report Revision: R0
3-48 WATER RESOURCES
snow has a reflectance similar to sunlit snow-free areas. While a digital terrain model can be
useful in defining the snow extent when combined with visible spectrum images, a better solution
is to use images from thermal infrared wavelength bands.
Bare rock can have a similar reflectance to partially snow-covered terrain during late spring and
early summer, making differentiation challenging. The best way to overcome this problem is to
compare images of the same area under snow-free conditions.
The spatial resolution of a satellite image needs to be suited to the size of the catchment under
investigation. When studying large catchments of several thousand square kilometres, a resolution
of 4km may be perfectly reasonable. This same resolution would be of little use in a small local
watershed of a few tens of square kilometres however.
Microwave sensors
Microwaves are affected very little by the presence of cloud cover and precipitation below clouds
does not absorb much of the signal, making microwaves ideal for studying snow either day or
night in almost all weather conditions. Unlike the visible spectrum, microwaves are able to
penetrate snow cover to provide information about depth and water equivalence.
There are two types of microwave sensors – active and passive. An active system provides its
own input of energy to a scene and senses reflections, while a passive system detects naturally
occurring radiation. Passive microwaves have been used to investigate snow cover from ground-
based, airborne and space-borne platforms and in large uniform snow-covered areas the systems
perform well. It is more difficult to use passive microwaves to investigate snow cover in complex
mountainous terrain due to data analysis problems.
Passive microwave systems have problems differentiating between wet snow and snow-free
ground due to their similar emissivity across the microwave frequency range. These problems can
be overcome by the use of Synthetic Aperture Radar (SAR), which is an active microwave system
which also has the advantage of increased spatial resolution.
The penetration of microwaves into the snowpack depends on wavelength and for wavelengths
larger than snow grain size; the amount of penetration can be described by the bulk dielectric
constant (Stiles and Ulaby, 1981). The large difference between the dielectric constant of liquid
and frozen water can be used to investigate the free water content of a snow pack. The brightness
temperature increases with wetting of the snowpack, so microwave sensors can be used to show
the onset of melting.
Microwaves have a great potential for providing valuable information on snow depth and liquid
water content, but their low spatial resolution and problems with analysing data from rugged or
vegetated terrain have limited their use.
Project: Development of Hydrological Design Aids (Surface Water) under HP-II
Document: 2009097/WR/REP-02 July 2010
State of the Art Report Revision: R0
3-49 WATER RESOURCES
Examples of satellite data in use
Spanish Pyrenees
In the Spanish Pyrenees, NOAA-AVHRR channels 1 (visible) and 2 (near infrared) were used in
linear combination to obtain the percentage of snow covered area in each pixel (Landesa and
Rango, 2002). NOAA satellites can provide three or four images a day of the same area, allowing
regular monitoring of snow-covered area. Where an area is cloud covered during one pass, then
there are more opportunities to get an image for that same day during another pass. NOAA 14 has
a midday pass over the Pyrenees making this the preferred of the four NOAA platforms for this
study – slight differences were observed between images from the platforms. Landsat TM data of
the same area were used to verify the linear combination method and the correlations were always
greater than 0.9. Spatial resolution of AVHRR is around 1.1 km2
which is not fine enough for
some of the small basins being studied which were around 10 km2
. This required working at the
sub-pixel level. A digital elevation model was used in combination with the snow cover images to
define a hypsometric table of snow covered area in each 100m elevation band of the SRM model
being used.
Upper Rhine Basin, Switzerland
Landsat-TM and SPOT-XS data were used to update snow cover extent and Modified Depletion
Curves for an SRM model. Satellite data proved to be more reliable than point measurements in a
normal snow gauging network (Seidel et al., 1994).
Zillertal, Austria
Real-time forecasts of snowmelt runoff up to six days in advance were produced using ERS SAR
PRI satellite data (Nagler et al., 2000). These data were obtained in real time or near real time
through the internet making satellite data available for SRM model input only a matter of hours
after their receipt. The satellite data were acquired around every two weeks over the Zillertal,
while the temperature and precipitation forecasts were updated daily. The raw ERS SAR data
were processed by the German Aerospace Centre into ERS SAR PRI products which could then
be used to generate snow maps. An accumulated melt day model, based on temperature and
precipitation data, was used to extrapolate snow cover extent on days without a new satellite snow
cover map. It is noted that C-Band SAR has problems with detecting dry snow, although this is
less of a problem as the snowpack ages and becomes wetter, especially around the time of
melting. It is expected that better snow mapping capabilities will be available from ENVISAT
ASAR and MERIS satellite instruments.
Quebec, Canada
Data from three of the five AVHRR spectral bands on the satellite NOAA-14 were used for a case
study on a catchment largely controlled by an aluminium processing company for water supply to
its hydropower plant (Lavallée et al., 2006). The images were available daily and the bands used
were:
• Band 1 – Visible (0.58-0.68 µm)
• Band 2 – Near Infrared (0.72-1.1 µm)
• Band 3 – Thermal Infrared (3.55-3.93 µm)
The ground resolution of 1.1 km was sufficient for this study but might be too large for smaller
basins (<20 km2
). The use of three bands helped with the differentiation of clouds and snow. This
study used a maximum likelihood method approach to this differentiation: the decision of whether
areas shrouded by cloud were snow-covered or snow-free was based on analysis of other un-
shrouded pixels of similar elevation, latitude and orientation. A resulting binary map is produced
Project: Development of Hydrological Design Aids (Surface Water) under HP-II
Document: 2009097/WR/REP-02 July 2010
State of the Art Report Revision: R0
3-50 WATER RESOURCES
of snow/no snow pixels. When satellite data become available to compare with model
simulations, the model is updated if the snow cover distribution is significantly different. This is
done by running the model iteratively from its initial point with different snow melt factors k.
until the model matches the new snow extent data in terms of snow cover percentage sufficiently
well. The model is then validated by comparing snow distribution by latitude and elevation. If
necessary, the model is again run from its initial state with the initial distribution adjusted
iteratively until there is agreement between simulation and observation. The model then continues
in forecasting mode with the updated k value.
Kuban river basin, Russia
Eight-day composite MOD10A2 snow cover data from the MODIS satellite were used to test the
Snowmelt Runoff Model (SRM) as a short-term forecasting tool for inflow to the Krasnodar
reservoir (Georgievsky, 2009). These data were chosen from the wide range of options available
in accordance with the following criteria:
• Easy and, if possible free, access to the information through the internet;
• High-resolution considering the size of the Kuban river basin;
• Ability to regularly update the database being formed – desirable that the data come from
satellites which are still active
The database was able to provide 430 processed images at the time of the study, with a spatial
resolution of 450 metres, completely covering the Kuban river basin. The images were taken from
2000 – 2008. A technique was developed to make use of these images by monitoring the maximal
snow covered area of the basins flowing into the reservoir. The data were shown to be useful for
monitoring maximal snow covered area in non-snow dominated southern regions of Russia. In
combination with the SRM model, these data would also be sufficient to provide a reasonable 1-7
day forecast of runoff in this context.
3.1.8 Glacier melt runoff modelling
Glaciers constitute a much greater store of water than seasonal snow pack, forming above the
permanent snow line, where compaction over time turns snow first into firn and then into glacier
ice. The evolution from snow to glacier ice is considered to be complete when there are no longer
connections between air bubbles trapped in the ice (Singh and Singh, 2001).
Glacier melt is a seasonal process and more complex than snow melt. In studies to develop
statistical runoff equations for glaciers, it is sometimes possible to draw negative correlations
between precipitation rates and runoff over glaciers (Pagano, pers.comm.). This is thought to be
due to an increased snow cover raising the albedo of an area and therefore reducing the solar
radiation input available for melting snow and ice. The internal processes operating in glaciers are
also complex and largely go unseen.
Calculations of water stored in glaciers is often made difficult by their remote location, lack of
data about the terrain which they are overlying and therefore their physical dimensions.
Regression analysis
Early models of glacier melt runoff were developed on the basis of relating it to meteorological
variables by multiple regression techniques (Lang, 1968; Jensen and Lang, 1973). Similarly to
snow melt, it was shown by systematic analysis that air temperature, precipitation and wind speed
were the variables most closely correlated to runoff (Østrem, 1973) and incorporation of other
variables did not improve this correlation further. Results were often enhanced by using products
Project: Development of Hydrological Design Aids (Surface Water) under HP-II
Document: 2009097/WR/REP-02 July 2010
State of the Art Report Revision: R0
3-51 WATER RESOURCES
of variables rather than individual variables and sets of multiple regression equations were able to
be developed to forecast daily and hourly discharge for a number of glaciers in the Swiss Alps
(Lang, 1968; Jensen and Lang, 1973). The development of these equations showed vapour
pressure to be a more important variable than wind speed leading to its incorporation in equations
along with antecedent runoff which proved to be a powerful predictor.
As with all regression based solutions, these equations were specific to the glaciers they were
developed to forecast for, rather than being generally applicable. Over time, models with a more
conceptual basis and requiring less input data were developed.
Linear Reservoirs
The most common approach to conceptual models of glaciers was to combine between one and
three linear reservoirs (Chow et al., 1988) in one of various configurations in parallel or in
sequence (Hock and Jansson, 2005). This allows the different storages, notionally snow, firm and
ice to be represented in terms of their respective volumes, melt rates and through-flow times.
Definition of storage constants for the linear reservoirs used is usually achieved either by ‘tuning’
modelled runoff to observed runoff, or by recession analysis. Ranges of storage constant values
given by Hock and Jansson (2005) from four different studies are:
• Firn – 350 to 430 hours
• Snow – 30 to 120 hours
• Ice – 4 to 45 hours
Model validation is generally carried out as a comparison of modelled and observed runoff
assessed by the Nash-Sutcliffe efficiency criterion R2
(Nash and Sutcliffe, 1970). Values in
excess of R2
=0.8 are often achieved, although it is perfectly possible to achieve a high model
efficiency with an ‘incorrect’ combination of flows from the model linear reservoirs used. For
example, an excess of runoff from one will be compensated by a lack of runoff from another – it
might just so happen that the combination is similar to observed flows. Disagreements between
modelled and observed runoff most often occur at the beginning and end of the melt season as
well as during high flows. Problems at either end of the melt season tend to be connected with the
difficulties in partitioning of model precipitation between snow and rain. Problems during high
flows are more complex, with potential impacts from precipitation data uncertainties, discharge
measurement errors or ignoring variations in a glacier’s internal drainage system (Moore, 1993;
Hock and Noetzli, 1997; Escher-Vetter, 2000).
Recession analysis
Recession analysis can be a useful tool in assessing the number of reservoirs operating in a glacier
system, by plotting natural logarithms of the runoff discharge against time on a semi-log graph.
Each gradient which can be drawn from linear recession limbs can be assumed to represent the
storage constant of a separate reservoir. Gurnell (1993) questions this assumption where the
reservoirs are partly or wholly linked in series.
The main issue with recession analysis is that the values obtained can vary with respect to
discharge and point in the melt season. While this could suggest that a single non-linear reservoir
might represent runoff processes sufficiently well for operational purposes, use of multiple linear
reservoirs has generally proved successful. It could be that the drawbacks of assuming linear
reservoirs are more than compensated for by accurate estimation of melt water inputs including
modelling the aggregational state of precipitation. It is likely that differences in hydraulic
properties between the ice reservoir and snow/firn reservoirs are pronounced enough that seasonal
changes in drainage efficiency become insignificant (Hock and Jansson, 2005).
Project: Development of Hydrological Design Aids (Surface Water) under HP-II
Document: 2009097/WR/REP-02 July 2010
State of the Art Report Revision: R0
3-52 WATER RESOURCES
Physical modelling
Physical modelling is by far the most complex option for glacier modelling. The physical
processes at work in glaciers are dynamic at all temporal and spatial scales due to interactions
between water in solid and liquid phases at its melting point. Flow pathways through the ice can
evolve in size and shape much more quickly than would occur in other media such as rock or
sediment.
Physical models of glaciers are still relatively basic, although they model melt water production
well (Hock, 2005), as it depends largely on meteorological factors. The system of internal
drainage in glaciers is more difficult to model physically due to the sparsity of data relating to it
and its dynamic nature. Similarly the system of flow underneath glaciers, for which there are a
number of possibilities, but no certainty is difficult to get right. It would not be a simple model
which took all possibilities into account (Hock and Jansson, 2005).
The best potential solution for physically modelling the sub-glacial drainage may be automatic
switching between different systems, prompted by the fast changes such as increases and
decreases of inflow which are likely to be the trigger for flowpath evolution in reality (Hock and
Jansson, 2005).
Impacts on runoff production
Attempts have been made to assess the contribution of glaciers to streamflow in mountainous
areas. Fountain and Tangborn (1985) chose a range of catchments in Washington State which
were either glaciated or un-glaciated but otherwise had similar physical and climatic
characteristics. By comparing runoff between the catchments they were able to estimate the
proportion of flows which were due to glacier melt. The timing of the peak runoff in the melt
season was shown to depend primarily but non-linearly on the percentage of basin glacier cover.
For example, the peak runoff for catchments 7% glaciated was almost a month after those with
0% glaciation. By contrast a catchment 100% glaciated reached peak runoff only two weeks after
a catchment which was 50% glaciated.
Schaper et al. (2001) used the SRM-ETH model to investigate differences between modelling
glaciers combined with snow cover or as separate features of the model. SRM-ETH is a model
based on the SRM model but further developed by the Swiss Federal Institute of Technology
(ETH). Landsat-TM satellite images at 30m resolution were used to differentiate between
glaciated and non-glaciated snow cover areas and different depletion curves were developed for
each. The two were considered separately at each elevation where investigated separately. The
two areas were further differentiated by assignment of different degree-day factors as a
representation of the lower albedo of glacier ice (0.17-0.22) even as compared to old wet snow
(0.35). Winter and summer temperature lapse rates were 0.5°C/100m and 0.65°C/100m
respectively and the runoff coefficients were also varied seasonally.
The success of the model in improving runoff predictions from snow covered and glaciated areas
was attributed to:
• the separate computation of runoff from snow and ice
• high resolution of satellite images
• taking daily temperature into account when deriving depletion curves
• Updating satellite images when cloud cover interfered
Project: Development of Hydrological Design Aids (Surface Water) under HP-II
Document: 2009097/WR/REP-02 July 2010
State of the Art Report Revision: R0
3-53 WATER RESOURCES
Another model developed at the Swiss Federal Institute of Technology (ETH) – WaSiM-ETH
was used alongside PREVAH to conduct distributed hydrological modelling of a heavily
glaciated Alpine river basin (Klok et al., 2001). Snow, firn and ice are represented separately by
three parallel linear reservoirs with different storage constants to represent their different
hydraulic properties and spatial variation in melt rate.
The availability of meteorological data for this study was as good as could be hoped for in a
mountain environment, as was the geo-physical information about the catchment including
topography and land use. Even so, interpolation of precipitation rates was required and this was
carried out on the basis of 75% inverse distance weighting between stations and 25% altitude
dependent regression. After Hock (1999), an allowance was made for incident radiation in
addition to degree-day factors for melt calculation – this increased the model efficiency from 0.79
to 0.92.
Although the runoff predictions were very good, it was considered that both models
overestimated flows in the autumn. The factors likely to be causing this were those not accounted
for in the model – most significantly changing albedo. Albedo is likely to be increasing
significantly through the autumn as fresh snow falls on top of glacier ice, thereby decreasing the
radiation absorbed by the snow and ice for generating runoff. Other suggestions to account for
lower runoff than modelled include the closing up of flowpaths through the ice due to decreasing
temperatures. This is a good example of the complexity of glacier modelling.
3.1.9 Recommendations
Data availability will necessarily dictate the type of model used for the estimation of snow and
glacier melt in catchments where these are significant components of the annual available water
resources. It is clear that Temperature Index models are likely to be best suited to almost all
Indian contexts, requiring less data to run and having few disadvantages as compared to energy
budget models in terms of results. There are a large number of models which have been applied
around the world, but using those most widely tested and if possible successfully applied to an
Indian context is desirable. Recommendations therefore come with under data availability
classifications, and are made as follows:
No/Low data availability
This can mean no data in terms of river flow gauging from a snow covered catchment, or could
mean also no data in terms of snow covered area. The latter is considered to be less likely with the
advent of extensive satellite imagery availability with global coverage. India itself has a National
Remote Sensing Agency and a number of operational satellites providing geographical data.
Where no flow data exist but snow cover extent is available, then the Snowmelt Runoff Model
(SRM) which only requires snow extent, temperature and precipitation data to be run would be
the best option in most circumstances. The system does require depletion curves for snow cover
to be generated, and in this respect, a number of years of snow cover data would be beneficial for
accuracy. It would also be necessary to generate precipitation and temperature data for the
catchment in question, based on the most locally recorded data available. It is appreciated that this
may be extremely remote from the area of interest in the case of many Himalayan or other
mountainous catchments, but working in this type of environment is always going to involve a
high degree of estimation.
Project: Development of Hydrological Design Aids (Surface Water) under HP-II
Document: 2009097/WR/REP-02 July 2010
State of the Art Report Revision: R0
3-54 WATER RESOURCES
Moderate data availability
In this case, a relatively simple model such as SRM would still prove to be the best option for
estimation of snow and glacier melt runoff. Where glaciers are present in a catchment, results are
likely to be improved by considering glaciated snow cover zones separately from snow cover
directly on the ground (Schaper et al., 2001). Licensing the use of this software need not be
problematic as the SRM is freely available from the US Agricultural Research Service
Full data availability
These catchments are less likely to be in mountainous areas due to the inherent difficulties in
gathering data in mountainous and remote areas described in section 3.1.3.8 above. The HBV
model has been applied widely around the world as a general water resources model and is
recognised as having a strong snow and glacier modelling component, should this be required.
Licensing could prove more complex with this software than with SRM as it is free for research
use, but not for commercial use. Negotiations with the Swedish Meteorology and Hydrology
Institute (SMHI), developers of the HBV software would be necessary to procure the software
and arrange training in its application by staff with basic hydrological use. The SRM could also
be successfully applied in these catchments as long as snow and glacier melt is a significant
component of runoff. Where extensive data are available, it would be desirable to make best use
of them.
3.1.10 References
Abbott, M.B., Bathurst, J.C., Cunge, J.A., O’Connell, P.E., and Rasmussen, J. (1986) An
introduction to the European Hydrological System – Systeme Hydrologique Europeen, ‘SHE’, 2:
Structure of a physically-based, distributed modelling system. Journal of Hydrology, 87, 61-77.
Anderson, E.A. (1973) National Weather Service River Forecast System - Snow Accumulation
and Ablation Model. NOAA Technical Memorandum NWS HYDRO-17, 217 pp.
Arendt, A. and Sharp, M. (1999) Energy balance measurements on a Canadian high arctic glacier
and their implications for mass balance modelling. In: Tranter, M. et al. (Eds.), Interactions
Between Cryosphere, Climate and Greenhouse gases, Proceedings of the IUGG Symposium,
Birmingham 1999: IAHS Publ. no. 256, pp. 165-172
Bates, B.C., Z.W. Kundzewicz, S. Wu and J.P. Palutikof, Eds., 2008: Climate Change and Water.
Technical Paper of the Intergovernmental Panel on Climate Change, IPCC Secretariat, Geneva,
210 pp.
Bell, V.A., Moore, R.J. (1999) An elevation-dependent snowmelt model for upland Britain.
Hydrological Processes 13, 1887-1903.
Beven, K.J. (2001). Rainfall-runoff modelling: The primer. John Wiley and Sons, Chichester.
Bloomfield, J. P., Gaus, I., and Wade, S. D. (2001) A Method for Investigating the Potential
Impacts of Climate Change Scenarios on Annual Minimum Groundwater Levels. Journal of
CIWEM 17, 86-91.
Braithwaite, R.J. (1995) Positive degree-day factors for ablation on the Greenland ice sheet
studied by energy-balance modelling. Journal of Glaciology 41 (137), 153-160.
Project: Development of Hydrological Design Aids (Surface Water) under HP-II
Document: 2009097/WR/REP-02 July 2010
State of the Art Report Revision: R0
3-55 WATER RESOURCES
Braithwaite, R.J., Konzelmann, T., Marty, C., and Olesen, O.B. (1998) Errors in daily ablation
measurements in northern Greenland, 1993-94, and their implications for glacier climate studies,
J. Glaciol. 44 (148), 583-588
Burnach, R.J.C., Ferral, R.L., and McGuire, R.M. (1973) A Generalised Streamflow simulation
system – conceptual modelling for digital computers. Sacramento, California.
Centre for Ecology & Hydrology (2000). Low Flows 2000 - Quick Reference Guide to
Incorporation of Artificial Influences. CEH. Wallingford, UK.
Chow, V., Maidment, D.R. and Mays, L.W. (1988) Applied Hydrology. McGraw-Hill
International Editions, Civil Engineering Series, New York, 572 pp.
Clark, M., Örn Hreinsson, E., Martinez, G., Tait, A., Slater, A., Hendrikx, J., Owens, I., Gupta,
H., Schmidt, J. and Woods, R. (2009) Simulations of seasonal snow for the South Island, New
Zealand. Journal of Hydrology (NZ), 48(2), 41-58.
Contor, B.A., Taylor, G. and Moore, G.L. (2008) Irrigation demand calculator: Spreadsheet tool
for estimating economic demand for irrigation water. Idaho Water Resources Research Institute
Technical Report 200803.
Craddock, J.M. (1977): A homogeneous record of monthly rainfall totals for Norwich for the
years 1836-1976. Meteorol. Mag., 106, 267.
Environment Agency (2001) Good practice in flow naturalisation by decomposition, National
Hydrology Group, v2.0
Environmental Protection Agency (2008) Handbook for developing watershed plans to restore
and protect our waters. United States Environmental Protection Agency, EPA 841-B-08-002..
Escher-Vetter, H. (2000) Modelling meltwater production with a distributed energy balance
method and runoff using a linear reservoir approach – results ffrom Vernagtferner, Oetztal Alps,
for the ablation seasons 1992 to 1995. Zeitschift fuer Gletscherkunde and Glazialgeologie, 36,
119-150
Fitzharris, B.B. (2004), Snow Accounts for New Zealand, Report prepared for NIWA, Ministry
for the Environment, and Statistics New Zealand, Climate Management Centre, Department of
Geography, University of Otago.
Fitzharris, B.B.; Garr, C.E. (1995) Simulation of past variability in seasonal snow in the Southern
Alps, New Zealand. Annals of Glaciology 21: 377-382.
Georgievsky, M.V. (2009) Application of the Snowmelt Runoff Model in the Kuban river basin
using MODIS satellite images. Environ. Res. Lett. 4 (2009) 045017.
Gomez-Landesa, E. and Rango, A. (2002) Operational snowmelt runoff forecasting in the
Spanish Pyrenees using the Snowmelt Runoff Model. Hydrological Processes 16, 1583-1591.
Gurnell, A.M. (1993) How many reservoirs? An analysis of flow recessions from a glacier basin.
Journal of Glaciology, 39, 409-414
Project: Development of Hydrological Design Aids (Surface Water) under HP-II
Document: 2009097/WR/REP-02 July 2010
State of the Art Report Revision: R0
3-56 WATER RESOURCES
Hock, R. (2005) Glacier melt: A review on processes and their modelling. Progress in Physical
Geography 29(4).
Hock, R. and Jansson, P. (2005) Modelling Glacier Hydrology. In: Encyclopedia of Hydrological
Sciences, Edited by Malcolm G. Anderson and J. McDonnell, J. Wiley & Sons, Lt, Chichester.
Hock, R. and Noetzli, C. (1997) Areal mass balance and discharge modelling of Storglaciären,
Sweden. Annals of Glaciology, 24, 211-217.
Hock, R. (1999) A distributed temperature-index ice- and snowmelt model including potential
direct solar radiation. Journal of Glaciology, Vol. 45, No.149, pp101-111.
Hock, R. (2003) Temperature index melt modelling in mountain areas. Journal of Hydrology 282
(2003) 104-115.
Jensen, H. and Lang, H. (1973) Forecasting discharge from a glaciated basin in the Swiss Alps.
In: Role of snow and ice in hydrology, IAHS Publ. no. 107(2), 1047-1054.
Jones, P.D. and Lister, D.H. (1998) Riverflow reconstructions and their analysis on 15 catchments
over England and Wales. International Journal of Climatology 18, 999-1013.
Jones, P.D. (1980) An homogeneous rainfall record for the Cirencester area 1844-1977. Meteorol.
Mag. 109, 249.
Jones, P.D. (1981) A survey of rainfall recording in two regions of the northern Pennines.
Meteorol. Mag. 110, 239.
Jones, P.D. (1983) Further composite rainfall records for the United Kingdom. Meteorological
Magazine 112, 19-27.
Jones, P.D. (1984) Riverflow reconstruction from rainfall data. Journal of Climatology 4, 171-
186.
Jones, P.D., Lister, D.H., Wilby, R.L. and Kostopoulou, E., 2006, Extended riverflow
reconstructions for England and Wales, 1865 – 2002, International Journal of Climatology, 26:
219-231
JPS (2000) Manual Saliran Mesra Alam (MASMA). Department of Irrigation and Drainage
(JPS), Malaysia.
Kilsby, C.G., Jones, P.D., Burton, A., Ford, A.C., Fowler, H.J., Harpham, C., James, P., Smith, A.
and Wilby, R.L., 2007: A daily weather generator for use in climate change studies.
Environmental Modelling and Software 22, 1705-1719.
Kustas, W.P., Rango, A., 1994, A simple energy budget algorithm for the snowmelt runoff model,
Water resources research, Vol. 30, No. 5, Pages 1515-1527
Kuusisto, E., 1986, The energy balance of a melting snow cover in different environments.
International Association of Hydrological Sciences, Publication 155, 37-45
Project: Development of Hydrological Design Aids (Surface Water) under HP-II
Document: 2009097/WR/REP-02 July 2010
State of the Art Report Revision: R0
3-57 WATER RESOURCES
Lang, H. (1968) Relations between glacier runoff and meteorological factors observed on and
outside the glacier. In Snow and Ice. Reports and Discussions. IAHS Publ. no. 79, 429-439.
Lavallée, S., Brissette, F.P., Leconte, R. and Larouche, B. (2006) Monitoring Snow-Cover
Depletion by Coupling Satellite Imagery with a Distributed Snowmelt Model. Journal of Water
Resources Planning and Management, March/April, pages 71-78
Littlewood, I.G., Croke, B.F.W., Jakeman, A.J., Sivapalan, M. (2003). The role of ‘top-down’
modelling for Prediction in Ungauged Basins (PUB). Hydrological Processes 17, 1673-1679.
Maidment, D.R. (1993) Handbook of hydrology. McGraw-Hill, New York.
Manley, G., 1974: Central England temperatures: monthly means 1659 to 1973, Quart. J. Roy.
Meteorol. Soc., 100, 389-405.
Manley R.E. 1994. HYSIM -then and now. In: British Hydrological Society National Meeting:
Flow Naturalisation using hydrological models. British Hydrological Society. London.
Martinec, J., Rango, A. and Roberts, R. (2008) Snowmelt Runoff Model, User’s Manual, Updated
Edition for Windows, WinSRM v1.11, Edited by Enrique Gómez-Landesa & Max P. Bleiweiss,
Agricultural Experiment Station, Special Report 100, College of Agriculture and Home
Economics, NM State University
McDonald M.G. & Harbaugh A.W. 1988. A Modular Three-Dimensional Finite-Difference
Groundwater Flow Model. Chapter A1, Book 6, Modelling Techniques. Techniques of Water
Resources Investigations of the United States Geological Survey.. US Department of Interior.
Washington. USA.
McKinney, D.C., Cai, X., Rosegrant, M.W., Ringler, C., and Scott, C.A. (1999) Modeling water
resources management at the basin level: review and future directions. SWIM Paper 6, IWMI,
Colombo, Sri Lanka.
Moore, R.D. (1993) Application of a conceptual streamflow model in a glacierized drainage
basin. Journal of Hydrology, 150, 151-168
Moore, R.J. (2007) The PDM rainfall-runoff model. Journal of Hydrology & Earth System
Sciences 11(1), 483-499.
Moore, R.J., Bell, V.A., Cole, S.J. and Jones, D.A., 2007: Rainfall-runoff and other modelling for
ungauged/low-benefit locations: Operational Guidelines. Research Contractor: CEH Wallingford,
Environment Agency, Bristol, UK, 37pp. (Science Report – SC030227/SR2)
Morris, E.M., 1985, Snow and ice. In Anderson, M.G. and Burt, T.P., editors, Hydrological
forecasting, Chichester: Wiley, 153-182
Nagler T., S. Quegan and H. Rott, (2000) Real time snowmelt runoff forecasting using ERS SAR
PRI data. Proc. of ERS-ENVISAT Symposium, Gothenburg, Sweden, 16-20 Oct 2000. ESA SP-
461, CD-ROM, ISBN 92-9092-685-6, Paper ID: 247, 9 pp.
Nash, J.E., and Sutcliffe, J.V. (1970) River flow forecasting through conceptual models. Part I –
A discussion of principles. Journal of Hydrology, 10(3), 282-290
Project: Development of Hydrological Design Aids (Surface Water) under HP-II
Document: 2009097/WR/REP-02 July 2010
State of the Art Report Revision: R0
3-58 WATER RESOURCES
Pagano, T.C., Garen, D.C., Perkins, T.R. and Pasteris, P.A., 2009, Daily updating of operational
statistical seasonal water supply forecasts for the Western U.S., Journal of the American Water
Resources Association, 45, 3, pp767-778
Parker, D.E., Legg, T.P and Folland, C.K., 1992: A new daily Central England temperature series,
Int. J. Climatol., 12, 317-342.
Paterson, W.S.B., 1994, The physics of glaciers (3rd
edn.), Oxford, Pergamon
Perkins, T.R., Pagano, T.C., Garen, D.C., 2009, Innovative operational seasonal water supply
forecasting technologies, Journal of Soil and Water Conservation, 64(1):15A-17A
Perry, M. and Hollis D., 2005a: The development of a new set of long-term climate averages for
the UK, Int. J. Climatol., 25, 1023-1039, DOI: 10.1002/joc.1160.
Perry, M. and Hollis D., 2005b: The generation of monthly gridded datasets for a range of
climatic variables over the UK, Int. J. Climatol., 25, 1041-1054, DOI: 10.1002/joc.1161.
Perry, M., 2006: A spatial analysis of trends in the UK climate since 1914 using gridded datasets.
National Climate Information Centre, Climate Memorandum No. 21, 29pp.
PRC (2002) Water law of the People’s Republic of China.
Ramamoorthi, A.S. (1986) Forecasting snowmelt runoff of Himalayan rivers using NOAA
AVHRR imageries since 1980. Hydrologic Applications of Space Technology (Proceedings of
the Cocoa Beach Workshop, Florida, August 1985) IAHS Publ. no. 160
Ramamoorthi, A.S., 1987, Snow cover area (SCA) is the main factor in forecasting snowmelt
runoff from major river basins, Large Scale Effects of Seasonal Snow Cover (Proceedings of the
Vancouver Symposium, August 1987), IAHS Publ. no. 166
Raman, H., Mohan, S. and Padalinathan, P., 1995, Models for extending streamflow data: a case
study, Hydrological Sciences, 40, 3, 381–393
Rockwood, D.M., 1981, Theory and practice of the SSARR model as related to analyzing and
forecasting response of hydrologic system. Water Resources Publication, Proc. International
Symposium on Rainfall-Runoff Modelling, Mississippi State University, USA.
Seidel, K., Bruesch, W., Steinmeier, C., Martinec, J. and Wiedemeier, J. (1994) Real Time
Runoff Forecasts for Two Hydroelectric Stations Based on Satellite Snow Cover Monitoring.
Shaw, E.M. (1983). Hydrology in practice (Eds). Van Nostrand Reinhold, UK.
Simulation System - Conceptual Modelling for Digital Computers. Sacramento, California.
Singh, P. and Singh, V.P. (2001) Snow and Glacier Hydrology. Water Science and Technology
Library, Kluwer Academic Publishers, Netherlands
Sirguey, P.; Mathieu, R.; Arnaud, Y. 2009: Subpixel monitoring of the seasonal snow cover with
MODIS at 250~m spatial resolution in the Southern Alps of New Zealand: methodology and
accuracy assessment. Remote Sensing of Environment 113: 160-181
Project: Development of Hydrological Design Aids (Surface Water) under HP-II
Document: 2009097/WR/REP-02 July 2010
State of the Art Report Revision: R0
3-59 WATER RESOURCES
Smakhtin, V.; Anputhas, M., 2006. An assessment of environmental flow requirements of Indian
river basins. Colombo, Sri Lanka: International Water Management Institute. 42p. (IWMI
Research Report 107)
Stiles, W.H., and Ulaby, F.T. (1980) The active and passive microwave response of snow
parameters – I: Wetness. Journal of Geophysical Research, Vol. 85, pp. 1037-1044.
Strahan, A., MacKenzie, N.F., Mill, H.R. and Owens, J.S., 1916: The Investigation of Rivers:
Final Report. Royal Geographical Society.
Tabony, R.C., 1980: A set of homogeneous European rainfall series. Met. O 13 Branch
Memorandum No. 104, Meteorological Office, Bracknell.
The Environment Agency, 2001, Good Practice in Flow Naturalisation by Decomposition,
National Hydrology Group, v2.0
Udnæs, H-C., Engeset, R.V. and Andreassen, L.M. (2002) Use of Satellite-derived Snow Data in
a HBV-type Model, proceedings of EARSeL-LISSIG-Workshop Observing our Cryosphere from
Space, Bern, March 11 – 13, 2002
UKWIR, 1997: Effects of Climate Change on River Flows and Groundwater Recharge:
Guidelines for Resource Assessment. UKWIR Report 97/CL/04/1. ISBN 1 84057 010 5.
UNESCO, 2009. Managing Water Reources – Methods and tools for a systems approach.
UNESCO Studies and Reports in Hydrology Series. Written by Slobodan P. Simonović.
U.S. Army Corps of Engineers (1998) Engineering and Design RUNOFF FROM SNOWMELT,
EM 1110-2-1406
Viviroli, D., Zappa, M., Gurtz, J. and Weingartner, R., 2009, An introduction to the hydrological
modelling system PREVAH and its pre- and post-processing tools, Environmental Modelling and
Software 24 (2009) 1209-1222
Wade, S.D. and Vidal, J.P., 2007: The effects of climate change on river flows and groundwater
recharge. Synthesis Report. UKWIR/EA R&D.
Wade, S.D., Jones, P.D. and Osborn, T., 2006. The impacts of climate change on severe droughts:
implications for decision making. Environment Agency Science report: SC030298/SR.
Wigley, T.M.L., Briffa, K.R. and Jones, P.D., 1984a, On the average value of correlated time
series, with applications in Dendrochronology and Hydrometeorology, Journal of Climate and
Applied Meteorology 23, 201–213
Wigley, T.M.L., Lough, J.M. and Jones, P.D., 1984b: Spatial patterns of precipitation in England
and Wales and a revised, homogeneous England and Wales precipitation series. Journal of
Climatology 4, 1-25.
World Meteorological Organisation, 1986, Intercomparison of models for snowmelt runoff,
Operational Hydrology Report 23 (WMO No. 646).
Project: Development of Hydrological Design Aids (Surface Water) under HP-II
Document: 2009097/WR/REP-02 July 2010
State of the Art Report Revision: R0
3-60 WATER RESOURCES
World Meteorological Organisation, 1988, Guide to Meteorological Instruments and Methods of
Observation, Seventh Edition (WMO-No. 8), Geneva
World Meteorological Organisation (1997) Water Resources Assessment. Handbook for review
of national capabilities. WMO & UNESCO, June 1997.
World Meteorological Organisation, 2008, Manual on Low-flow Estimation and Prediction,
Operation Hydrology Report No. 50 (WMO-No. 1029), Koblenz
Wright, C.E., 1978 Synthesis of river flows from weather data, Technical Note No. 26, Central
Water Planning Unit, Reading, UK
Young, P.C. (2001) Data-based Mechanistic Modelling of Environmental Systems. Keynote
paper presented at the International Federation on Automatic Control (IFAC) Workshop on
Environmental Systems, Tokyo, Japan, August 21st
, 2001
Young, A.R., Grew, R. and Holmes, M.G.R., 2003. LowFlows 2000: A national water resources
assessment and decision support tool. Water Science and Technology 48(10): 119-126.
Project: Development of Hydrological Design Aids (Surface Water) under HP-II
Document: 2009097/WR/REP-02 July 2010
State of the Art Report Revision: R0
3-61 WATER RESOURCES
3.2 ESTIMATION OF DESIGN FLOOD
This review of internationally used techniques for the estimation of the design flood covers those
techniques used in the following countries: Australia, China, France, Germany, Malaysia,
Norway, Poland, Sweden, UK, and the USA.
3.2.1 Approach to Design Flood Estimation (hydro-meteorological; statistical; regional)
The World Bank has published a comparative analysis of the regulation of dam safety by
considering legislation in 22 countries including India (Bradlow et al. 2002). This review
concentrates on the regulatory framework and responsibilities given to the parties involved, rather
than detailing the technical content of the assessments involved.
There is no single internationally accepted approach to the hydrological assessment of the design
flood at all sites. The choice of approach in practice will be determined by a combination of
factors including:
• The scale of the catchment involved
• The catchment topography, geology, land-use and climatology
• The intended use of the information
• The tolerance or robustness of decisions to uncertainties in the assessment
• The availability of data
• The resource available for the assessment
• Any applicable legislation and standards
A key issue for the estimation of a design flood is that the design case is often an extreme event
which is not represented well in the local information and knowledge. The greater the design
standard (measured in Years of Return Period) then the more acute this issue becomes and the
greater the potential for uncertainty in the estimates. Internationally it is becoming recognised that
understanding the uncertainty and its potential impact is an important part of the design process.
The objectives of flood estimation may be to provide:
• The flood peak discharge
• The flood volume over specific time period
• The flooding arising from a combination of sources
• Flooding from a combination of processes
• The assessment of flood frequency may be required for:
• Meeting a statutory design standard
• Meeting non-statutory, institutional design standards and practice
• Use in investment appraisal for major expenditure on new capital works or asset renewal
• Simulation of system risk
ICOLD recommended approach
The ICOLD categorisation of a Large Dam is any dam over 15m high or between 5 m and 15 m
high and with a capacity of impounded water of over 3,000,000 m3
stored volume (Asmal, 2000).
In general the PMF should be taken as the design standard for a Large Dam.
Project: Development of Hydrological Design Aids (Surface Water) under HP-II
Document: 2009097/WR/REP-02 July 2010
State of the Art Report Revision: R0
3-62 WATER RESOURCES
Australia
Australia has a highly developed infrastructure for water resources, leading to one of the largest
amounts of storage per capita (4717 m3
in 2003). The approach to flood design for dams in
Australia is based upon the PMF and the PMP. The PMP-DF (Probable Maximum Precipitation
Design Flood) has been proposed to be the design flood for which the probability of the flood is
the same as the probability of the rainfall (Nathan et al. 2001)
Canada
PMP is considered for design of large dams in Canada. WMO Procedure as per Operational
Hydrology Report No. 1, as practiced in the United States of America is adopted for Canada Also.
Recently use of data from automated weather stations to augment data from conventional
Climatological stations.
China
The Chinese design standards are set according to the purpose and design of the structure and the
potential consequences of failure. The water conservancy and hydropower projects in China are
classified into five different ranks in accordance with their scales, benefits and importance in
national economy. The criteria for classifying project functions are specified in Chinese design
codes. The following six tables (3.11-3.16) for the design standards (Liu 2002), provide
conditions not only for the principal structure, but for the associated works (e.g. access roads) and
temporary works (e.g. a coffer dam).
Table 3.11 Classification of Water Conservancy and Hydropower Projects in China
Rank of
project
Storage
capacity of
reservoir
(106
m3
)
Flood Prevention Water
Logging
Control
Irrigation Water
Supply
Water
Power
Cities &
industrial
regions
Farmland
(10³ ha)
Draining
Water
logged area
(10³ ha)
Irrigation
area (10³
ha)
Cities &
Mines
Installed
capacity
(MW)
I > 1,000 Very
important
> 333 > 133.3 > 100 Very
important
> 750
II 1,000 – 100 Important 333 – 67 133.3 – 40 100 – 33.3 Important 750 – 250
III 100 – 10 Moderately
important
67 – 20 40 – 10 33.3 – 3.3 Moderatel
y
important
250 – 25
IV 10 – 1.0 Less
important
< 3.3 < 2.0 < 0.3 < 0.5
V < 1.0 < 3.3 < 2.0 < 0.3 < 0.5
Notes:
• The storage capacity of reservoir means the storage of reservoir below check flood level.
• The irrigation and waterlogged areas refer to design areas
• The rank of tide prevention projects may be defined referring to the stipulations for flood
prevention. Where disasters of tide are very serious, the rank may be raised properly
• The importance of water supply works are defined according to their scale, economic and social
benefits
Project: Development of Hydrological Design Aids (Surface Water) under HP-II
Document: 2009097/WR/REP-02 July 2010
State of the Art Report Revision: R0
3-63 WATER RESOURCES
Table 3.12 Classification of hydraulic structures in China
Rank of Projects Grade of Permanent Structures Grade of temporary
structuresMain structures Less important one
I 1 3 4
II 2 3 4
III 3 4 5
IV 4 5 5
V 5 5 -
Notes:
1. Permanent structures are the structures used for operation of the project, and are divided into two
categories in accordance with their importance : Main structures that will cause a catastrophe in
downstream areas in case of failure or seriously damage the function of project, such as dams, sluices,
pump station and hydropower houses. Less important structures that will not cause a catastrophe in
downstream areas in case of failure and not cause serious influent to project benefits, such as retaining
walls, diversion walls, and bank-protection works.
2. The temporary structures are the structures using during constructions, such as diversion structures,
cofferdams etc.
3. For projects of Rank II to V and temporary structures, the grade of their structures may be raised or
lowered in the following situations through evaluation :
a. The location of projects is of vital importance and failure of structures may cause a serous
catastrophe. The grade of the structures may be raised by one grade.
b. Where the engineering geological conditions of the hydraulic structure are very complicated, or
new type of structures are used. The grade of the structures may be raised by one grade.
c. The grade of temporary hydraulic structures, if their failure will cause serious catastrophe, or
influence seriously the construction program the grade may be raised by one or two.
d. For the projects which will not cause considerable influence after failure, the grade of their
structures may be lowered properly through elevation.
Table 3.13 Design flood criteria for permanent structures in China
Class 1 2 3 4 5
Return period of flood 500 100 50 30 20
Table 3.14 Check design flood criteria for permanent structures in China
Class 1 2 3 4 5
Embankment Dams 10,000
or PMF
2,000 1,000 500 200 Return period in
years
Concrete Dams, etc 5,000 1,000 500 200 100
Notes:
• The standards of powerhouse and irrigation structures (Classes 4 and 5) may be lowered according to
actual situations
• For Class 1 embankment dam, PMF should be considered if its failure will cause catastrophe in
downstream area, and for Classes 2 to 4 embankment dams, the check design floods may be raised by
one grade
• For concrete dams that cause serious damage in case of overtopping, 1000-yr flood may be adopted as
check design flood after examination and approval by competent authorities
• For low water head structures and the structures that do not cause serious damage, check design flood
may be lowered by one grade after examination and approval by competent authorities
Project: Development of Hydrological Design Aids (Surface Water) under HP-II
Document: 2009097/WR/REP-02 July 2010
State of the Art Report Revision: R0
3-64 WATER RESOURCES
Table 3.15 Design flood and Check design flood criteria for powerhouse and non-damming
structures in China
Class 1 2 3 4 5
Design flood 100 50 30 20 10 Return period
in yearsCheck design flood 1,000 500 200 100 50
Table 3.16 Design flood criteria for temporary structures in China
Type of structure 1 2 3 4 5
Embankment - >50 50-30 30-20 20-10 Return period in
yearsConcrete and Masonry - >20 20-10 10-5 5-3
France
In France all dams over 20 m are regulated for public safety, together with lower ones whose
failure could cause hazard to public safety or communication (Radzicki et al. 2005). The design
flood standard is set according to the factor H2
√V where H (m) is the height of the dam and V
(hm3
) is its storage capacity. The parameter H2
√V does not appear to have any particular
theoretical basis but expresses the need to consider store volume as well as impounded water
depth as a contributor to the overall hazard posed by the dam. Table 3.17 shows the assessment
criteria relating to the height-volume parameter.
Table 3.17 French dam safety assessment criteria
H2
√V <5 5 to 30 30 to 100 100 to 700 >700
Probability of the design
flood %
1 0.5 0.1 0.05 0.01
Flood return period in years 100 200 1,000 2,000 10,000
Germany
For Large Dams (> 15 m high or 106 m3
storage), the spillway capacity is to be the 0.1%
probability (1,000 year) flood and the dam should survive a 0.01% (10,000 year) flood without
failure, but some damage may be experienced. For medium and small dams lower standards
prevail with spillway capacity of between 1% and 0.2% annual flood capacity and safety to 0.1%
to 0.02% annual flood capacity. The German standard is DIN 19700 (DIN 1986).
Iran
As a Standard Procedure 24 hr PMP estimates are derived using statistical analysis with a
frequency factor of 9.63. In Iran both statistical and physical methods are used for derivation of
PMP. Statistical analysis is carried out using the Hershfield’s Technique while in the physical
method the DAD analysis of historical storms is carried out and moisture maximization and wind
maximization applied for deriving PMP. The maximum values of dew point temperature for
moisture maximization and maximum wind speeds for wind maximization are derived from long
period data and 50 yr return period values are considered. For basins of 1000 sq km and less the
statistical estimates are used while for larger basins the estimated derived on physical basis are
used.
Project: Development of Hydrological Design Aids (Surface Water) under HP-II
Document: 2009097/WR/REP-02 July 2010
State of the Art Report Revision: R0
3-65 WATER RESOURCES
Japan
In Japan, the inflow design floods for dams are stipulated in the Structural Standards for River
Protective Facilities (Cabinet Order), which was drawn up on the basis of River Law. According
to the standards, when the dam is constructed or reconstructed, the inflow design floods for a
concrete dam must be taken on the largest value among the following three discharges:
• 200-year flood at the dam site;
• Maximum experienced flood discharge at the dam site and
• Maximum flood discharge that can be expected at the dam site based on the
maximum experienced flood discharge in the basins with similar hydrological
conditions or climate.
• For an embankment dam, the design flood should be specified to be 1.2 times of the
relevant values for a concrete dam (JICE, 2000). The return period of the design
flood for an embankment dam is actually equivalent to 1000 years or more.
In case PMP estimation is required, it is estimated using the DAD analysis. However, in some
areas where the rain gauge network is not adequate, rainfall estimates from radar are used for
DAD analysis.
Kenya
The procedures recommended by the World Meteorological Organization Depth Area Duration
and Storm transposition techniques are used. The storms are adjusted for transposition and
maximized for moisture. The maximum perceptible water for maximization are derived from a
100 yr return period Dew Point Temperature estimated based on long period Climatological data.
Malaysia
The design standard for dams is for the PMF derived from PMP. NAHRIM produced local
guidelines on PMP estimation in 2005.
Norway
In Norway, dams which are over 4 m high or impound over 0.5 hm3
of water are subject to the
dam safety regulations (Saelthun and Andersen 1986). The design flow for the spillway capacity
assessment is the 1000 year flood and the dam safety assessment is undertaken for the PMF. The
approach for the PMF is to use hydrological modelling based on pessimistic assumptions of
extreme precipitation, heavy snowmelt and saturated soils to generate the PMF. The calculation
of the PMP is described by Foerland and Kristoffersen (1989).
Poland
Polish dams and flood protection dykes are classified according to foundation and potential
consequences in to 4 categories (Radzicki et al. 2005) shown in Table 3.18. The design standards
are set by law as a base flood which is used to set the spillway capacity for normal operation
without damage and a control flood which must be passed without failure but some damage may
be experienced.
Project: Development of Hydrological Design Aids (Surface Water) under HP-II
Document: 2009097/WR/REP-02 July 2010
State of the Art Report Revision: R0
3-66 WATER RESOURCES
Table 3.18 Polish dam safety assessment criteria
Type of hydraulic structure Flood flow Occurrence probability of flood p% / flood
return period in years for different structure’s
class:
I II III IV
Dams which will be destroyed
in case of overflowing (for
example earth dam) but not dike
Base flow QM 0.1/1000 0.3/333 0.5/200 1.0/100
Control flow
QK
0.02/5000 0.05/2000 0.2/500 0.5/200
a)Dam which will not be
destroyed in case of
overflowing
b)Dike
Base flow QM 0.5/200 1.0/100 2.0/50 3.0/33
Control flow
QK
0.1/1000 0.3/333 0.5/200 1.0/100
Sweden
In the review by (Bergström et al. 2008) the following standards are identified. Category I dams
are those whose failure could cause loss of life or personal injury or considerable damage. The
approach is to use hydrological modelling based on pessimistic assumptions of extreme
precipitation, heavy snowmelt and saturated soils. Simulations should last 10 days. Dams in
Category I should pass this extreme flood without damage. Category II dams are all those which
are not in Category I and have limited damage potential. The design standard is for Category II
dams is the 1% probability (100 year) flood.
UK
All dams with normal impounded volume exceeding 25,000 m3
are regulated under the 1975
Reservoirs Act, although there are proposals to reduce this limit before Parliament in the Floods
and Water Bill of 2009.
Dams are classified into one of four categories A, B, C or D according to the potential
consequences in the event of a failure (A high hazard to D no hazard). The design conditions vary
according to the dam category; the current standards are tabulated below (Table 3.19)
(Summarised from (ICE 1996)).
Project: Development of Hydrological Design Aids (Surface Water) under HP-II
Document: 2009097/WR/REP-02 July 2010
State of the Art Report Revision: R0
3-67 WATER RESOURCES
Table 3.19 UK dam safety assessment criteria
Category Consequence of
dam breach
Normal
design
standard
Minimum
standard if
overtopping
tolerable
Initial
Reservoir
condition
Wind speed and
minimum wave
surcharge
A Endangers lives in
a community
PMF 10000 year
flood
Spilling
long-term
average
inflow
• Mean annual maximum
wind speed
• Minimum 0.6 m wave
surcharge
B • Endangers lives
of individuals or
• Causes extensive
damage
10000 year
flood
1000 year
flood
Full to
spillway
crest
As Category A
C Negligible risk to
life and limited
damage
1000 year
flood
150 year
flood
Full to
spillway
crest
• Mean annual maximum
wind speed
• Minimum 0.4 m wave
surcharge
D No risk to life and
very limited
additional flood
damage
150 year
flood
150 year
flood
Spilling
long-term
average
inflow
• Average annual
maximum wind speed
• Minimum 0.3 m wave
surcharge
USA
FEMA (the Federal Emergency Management Agency) republished four documents on the federal
guidelines for dam safety in 2004. One document (FEMA 2004b) covers selecting and
accommodating inflow Design Floods (IDF) for dams, this states on page 19:
“Ideally, dams should be able to safely accommodate flood flows in a manner that will not
increase the danger to life and property downstream. However, this situation is not always
the case, and may not always be achievable.
A dam is assigned only one IDF, and it is determined based on the consequences of failure
of the section of the dam that creates the greatest hazard potential downstream. This should
not, however, be confused with the design criteria for different sections of a dam which may
be based on the effect of their failure on downstream areas.
The PMF should be adopted as the IDF in those situations where consequences attributable
to dam failure for flood conditions less than the PMF are unacceptable.
A flood less than the PMF may be adopted as the IDF in those situations where the
consequences of dam failure at flood flows larger than the selected IDF are acceptable. In
other words, where detailed studies conclude that the risk is only to the dam owners'
facilities and no increased damage to downstream areas is created by failure, a risk-based
approach is acceptable”.
The Federal design code 7509.11_0_code for dam spillways provides the following design floods
in Table 3.20 (available from:
http://gis.fs.fed.us/im/directives/field/r3/fsh/7509.11/7509.11_0_code.dot) using the hazard
potential from FEMA (2004a).
Project: Development of Hydrological Design Aids (Surface Water) under HP-II
Document: 2009097/WR/REP-02 July 2010
State of the Art Report Revision: R0
3-68 WATER RESOURCES
Table 3.20 US Federal recommended spillway design floods
Hazard potential Size class Spillway design flood
High
• Loss of life probable
• Environmental, economic and lifeline losses expected
A PMF
B PMF
C 1/2 PMF to PMF
D 100 yr. to 1/2 PMF
Moderate
• No loss of life expected
• Environmental, economic and lifeline losses expected
A PMF
B 1/2 PMF to PMF
C 100 yr. to 1/2 PMF
Low
• No loss of life expected
• Low or limited environmental, economic and lifeline
losses
A 1/2 PMF to PMF
B 100 yr. to 1/2 PMF
C 50 yr. to 100 yr.
Conclusion
The widespread practice internationally is to associate the design inflow for dam safety
assessment with the potential consequences downstream of the structure in the event of its failure.
The classification may also depend upon the height of the dam and the stored volume. In most
countries the design inflow for a safety assessment which should be passed without failure of the
dam is related to the probable maximum flood (PMF), but the spillway capacity may be set for a
lower inflow.
The PMF will be produced from the probable maximum precipitation (PMP), together with a set
of pessimistic assumptions on the hydrological response of the catchment. In Norway and
Sweden additional runoff under the PMF conditions is assessed from snowmelt, again with
pessimistic assumptions on volume of snow water and the melting rate. For dams which pose
little or no risk (few or zero fatalities) then less demanding standards apply, with the design flood
probability being set at no greater than 1% (i.e. a minimum standard of the 1 in 100 year flood).
CWC may also wish to consider the World Bank review of dam safety regulation (Bradlow et al.
2002), to identify any areas where international experience and practice might be appropriate for
inclusion in the national procedures in India.
3.2.2 Overview of Methods for Estimation of the Design Flood
The main approaches to design flood estimation are:
• Hydrological simulation of runoff generation and propagation from precipitation;
• Frequency analysis based upon local site records, site records coupled with data from other
sites;
• Regional frequency analysis based on the Index Flood methodology.
These approaches are covered in more detail in the sections below. The methods may be applied
to gauged, partially gauged and ungauged catchments, but in all cases the maximum use should
be made of any local information that is available.
Project: Development of Hydrological Design Aids (Surface Water) under HP-II
Document: 2009097/WR/REP-02 July 2010
State of the Art Report Revision: R0
3-69 WATER RESOURCES
Section 3.2.3 below discusses the hydrological simulation of hypothetical design floods, either in
the context of a specific probability of occurrence or for the probable maximum flood (PMF). In
evaluating the performance and safety of a dam, the volume characteristics of the flood as well as
its peak inflow need to be assessed carefully when the storage within the reservoir impounded by
the dam is significant in comparison with the flood volume. Catchment-based hydrological
simulation will require estimation of precipitation over the basin concerned but a uniform design
storm methodology has limitations in terms of catchment scale.
The probabilistic estimation of floods in Section 3.2.4 below covers methods of assessing flood
frequency from local records of flood flow and related issues where flooding may be caused by
the combination of two or more factors in combination. Joint probability methods are available
for factors which are statistically independent of each other or show a degree of correlation.
The regional frequency analysis of Section 3.2.5 provides an alternative to probabilistic
estimation of floods from site records, by introducing information from elsewhere in the basin
concerned. The principal concept is the introduction of an Index Flood and a standardised Growth
Curve that is applicable to a region or basin. The index flood may be estimated from flow data at
the site using the probabilistic methods, from characteristic data of the catchment or by
hydrological modelling.
For large basins some form of catchment flood modelling may be required. These methods are
discussed in Section 3.2.6 and also in Section 3.2.7 for including the effects of glacial lake
outburst floods.
3.2.3 Estimation of Hypothetical Floods
The estimation of hypothetical floods covers the traditional unit hydrograph approach to the
simulation of the basin response to a hypothetical rainfall event and the more recent development
of continuous simulation of catchment response.
In the first approach the flood conditions for specific annual probabilities or as a “probable
maximum” will be developed from simulating the runoff generated from hypothetical storm
events over the basin concerned. The steps in the procedure are:
• Delineation of the catchment boundaries and significant sub-catchment units;
• Assessment of the precipitation depth and profile in the appropriate design storms;
• Assessment of appropriate pre-event catchment conditions such as soil moisture and base
flow;
• Estimation of the catchment response to rainfall taking account of various “losses”.
Event-based Runoff Models
The Unit Hydrograph (UH) approach is commonly used for the estimation of the design flood
from rainfall. The UH is the hypothetical response of the catchment to a “unit” volume of rainfall
(e.g. 10mm or 1 inch) spread uniformly over a specified time period (e.g. 1 hour, 3 hours, 1 day).
The Instantaneous Unit Hydrograph (IUH) is the theoretical catchment response to the unit for
rain falling in an instant (and so with infinite intensity). The UH method has underpinned
hydrological design for generations and is in widespread current practice internationally, two
examples are the SCS method from the USDA and the revitalised FEH method in the UK
(Kjeldsen 2007).
Project: Development of Hydrological Design Aids (Surface Water) under HP-II
Document: 2009097/WR/REP-02 July 2010
State of the Art Report Revision: R0
3-70 WATER RESOURCES
The SCS method (USDA-NRCS 2007a) uses a Dimensionless Unit Hydrograph (DUH) to
determine the variation of the basin response in time; the parameter called the “peak rate factor”
determines the sharpness of the peak and the central tendency (or conversely the skewness) of the
hydrograph. Although the DUH is a smooth curve a procedure to determine an appropriate
triangular from is included.
Probable Maximum Flood
The Probable Maximum Flood (PMF) is a theoretical design flood that is the largest credible
flood that will be experienced from meteorological conditions at a site. The PMF is calculated
using an event-based runoff model from the PMP and other assumptions about the basin response
which provide a credible maximum for the flood peak at the site. Typical assumptions for the
basin parameters include reducing the time to peak of the unit hydrograph and a high value of the
percentage runoff from the peak of the storm (NERC 1975). Where appropriate the PMF will
include assumptions on the contribution from snowmelt, these assumptions will depend upon
national practice, see (Bergström et al. 1992; Bergström et al. 2008) for the practice in Sweden,
(Saelthun and Andersen 1986) for the Norwegian practice and (Ruttan 2004) for the practice in
Alberta in Canada.
Probable Maximum Precipitation
Probable Maximum Precipitation (PMP) is defined by the Manual for Estimation of Probable
Maximum Precipitation (WMO 1986) as:
"...the greatest depth of precipitation for a given duration meteorologically possible for a given
size storm area at a particular location at a particular time of the year, with no allowance made
for long-term climatic trends."
The application of the method requires detailed meteorological understanding as it is estimated by
analysing the meteorology of historic storms and maximizing the key causative factors. The idea
is that at a given location with a given climate, the PMP is an upper bound to precipitation; for
cases where snowmelt is important to generate a PMF then the PMP may be calculated for the
appropriate season and an allowance made for severe snowmelt to generate a PMF (Ruttan 2004;
Saelthun and Andersen 1986).
Continuous Simulation
Continuous simulation requires a continuous estimated rainfall series, which poses some
important challenges, principally in terms of the computational resource required for the
generation of long time series of stochastic rainfall and analysis of response over the catchment.
The steps in the approach are typically:
• Delineation of the catchment boundaries and significant sub-catchment units;
• Establishing an appropriate runoff model (e.g. HBV, HSPF, PDM etc) for continuous
simulation;
• Generation of a long time series of rainfall using a stochastic rainfall generator;
• Simulation of the corresponding flow time-series;
• Frequency analysis of the flow time series.
Some examples of the approach are in Australia (Droop and Boughton 2003), Switzerland
(Viviroli et al. 2009a; Viviroli et al. 2009b), the US (Soong et al. 2005) and in the UK (Faulkner
and Wass 2005). These examples all use different hydrological process models to simulate the
Project: Development of Hydrological Design Aids (Surface Water) under HP-II
Document: 2009097/WR/REP-02 July 2010
State of the Art Report Revision: R0
3-71 WATER RESOURCES
runoff. Faulkner and Wass provide short-cut to the generation of the flood flow sequences for
analysis from a 1000 year time series of synthetic rainfall, by selecting only the largest
precipitation events for full simulation and so concentrating the analysis on the more extreme
events. Continuous simulation provides a means of assessing the flood frequency in complex
catchments and in ungauged catchments provided that the parameters for the runoff model can be
transposed from experience elsewhere. An important part of the verification of the continuous
simulation approach is the ability to replicate observed flood frequency relationships (Calver et al.
1999). Although it is the subject of much current hydrological research continuous simulation is
still not widespread in routine design practice probably because of the greater time and resources
required for the complexity of this approach. With suitable length of synthetic (or observed)
rainfall series continuous simulation is a practical means of assessing the design floods up to
about the 1% flood on modest sized catchments (say 5,000 km2
or less). It does, however,
provide an approach to estimate the change of flood frequency in response to the effects of
climate change on the type, amount and seasonality of precipitation and assessment of the effects
of changes in other land surface conditions (Feyen et al. 2006). Freyen et al present an application
of the European LISFLOOD hydrological model of the whole of Europe as part of a study to
understand the potential impacts of climate change at the scale of the EU.
Distributed catchment modelling
There are many distributed catchment models in use for flood estimation including HSPF, HBV,
HYSIM, LISFLOOD,NAM, PDM and CATCHMOD. These distributed catchment models may
be either stand-alone applications or integrated into larger modelling systems such as the
InfoWorks suite from MWH Soft and the MIKE suite from DHI. These are reviewed for water
resource application in Section 3.1 above and Appendix D.
The same models can in principle be use for all flow conditions, provided that they include the
key processes that operate under intense rainfall (e.g. a limit on infiltration rate and surface flow
routing). The models will need to be operated at a timescale appropriate for the scale of the
catchment and the time to peak of the runoff. Thus flood modelling may require a finer temporal
resolution that the daily time interval common for uses in water resource applications. The use of
distributed modelling is essential for catchments where the hydrological response is not
homogeneous because of spatial variation in soils, geology, land-use and topography.
Where the scale of the catchment is large compared with the typical storm scale, distributed
catchment models should be considered if spatial variation of the precipitation can be realistically
estimated for design purposes.
Distributed catchment models provide a means of undertaking continuous simulation of flow
generation form precipitation in the context of exploring climate change impacts on flooding by
coupling with appropriately downscaled spatial rainfall fields from climate scenarios.
Recommendations and Conclusions
International practice for flood design from rainfall most commonly is to assess the flood
hydrograph arising from the appropriate design storm precipitation, whether this is for a specific
annual probability or for the probable maximum flood. However there is a move to the use of
continuous simulation of catchment runoff as this enables the effects of climate and other
environmental changes to be included within future flood scenarios. The science of continuous
simulation has been developed within the research community, but can require more
computational resource than the traditional approach of using event-based design. Continuous
simulation however, provides a means of assessing the impact of climate change on the frequency
Project: Development of Hydrological Design Aids (Surface Water) under HP-II
Document: 2009097/WR/REP-02 July 2010
State of the Art Report Revision: R0
3-72 WATER RESOURCES
of moderate (rather than extreme) floods through the use of downscaled precipitation from GCM
simulations of future climate scenarios.
Where there is no standardised national methodology (such as the FEH in the UK), then the
methods of the SCS in the Chapter 630 of the National Engineering Handbook on Hydrology
(USDA-NRCS 1972; 2004; 2007a) may be used as having wide international application for
event-based flood design. For any application, the most critical features to establish are the shape
of the dimensionless unit hydrograph and the curve number CN to use for the infiltration in the
calculation of the storm event runoff. Event-based design procedures with suitable maximising
assumptions on hydrological response may be used to generate the PMF from estimates of the
PMP.
3.2.4 Estimation of Probabilistic floods
Probabilistic flood estimation in this context is the procedure used to estimate the flood discharge
which has a particular probability of occurrence, using records for the site in question. The
procedures are based on the analysis of hydro-meteorological records and contain a variety of
assumptions. Normally the approaches assume that the observations are representative of the
long-term behaviour of the river system, that there is no trend in the frequency of occurrence and
that the future flooding probabilities can thus be assessed from a frequency analysis of the past
regime. In the context of large scale environmental and climate change, all of these assumptions
can be open to challenge.
Probabilistic information may be used within the water resources management in at least three
main ways:
• To meet regulatory requirements for floods of specific probabilities;
• To assist in decision-making in a benefit-cost analysis;
• To use in a probabilistic risk assessment of the safety of the system.
In the first and second of these situations, probabilistic assessment may be used to determine the
design standard for floods relevant for the structure or situation concerned, where the standard is
set for example as the 1% (100-year) flood or the 0.1% (1000 year) flood etc. In all cases it is
unlikely that the frequencies assessed for past events from the dataset available for analysis will
cover the duration of the desired flood probabilities. Thus the probabilities will be estimated by
extrapolation outside the range of observations. In this case the use of non-local data though
Index Methods (see below) and incorporation of theoretical physical limits (e.g. the PMP) may be
desirable. Whatever methods are chosen the assessments will be subject to uncertainty and
current international practice is to acknowledge uncertainty exists and to take account of this in
the decisions made in the design procedures.
The key steps in the probabilistic estimation procedure are:
• Choice of the statistic
• Selection of distribution
• Assigning estimates frequency to observations
• Parameter fitting
Project: Development of Hydrological Design Aids (Surface Water) under HP-II
Document: 2009097/WR/REP-02 July 2010
State of the Art Report Revision: R0
3-73 WATER RESOURCES
Choice of statistic
The choice of the statistic for assessment of a probabilistic measure of floods depends upon the
use of the end information. This issue is of particular importance where the decision criteria
include loss assessment for damage which has seasonal variability, depends upon duration of the
event rather than just the maximum intensity. Statistics should be collected according to water
years – choosing the start and end of the year so that a characteristic season (e.g. flood season or
dry season) does not cross the division between the years. The data which may be extracted from
the flow records for analysis include:
• Annual maximum (AM) discharge for instantaneous peak
• Peak-over-threshold (POT) instantaneous peak discharge
• Mean Flow for specified durations (1-Day, 3-Day, 10-Day, 1-Month etc)
• Annual maximum water level (stage)
• AM or POT rainfall depth for a specific duration (e.g. 15 mins, 1 hr, 12 hrs, 1-day, 5-days
etc)
The difference between the AM and POT data is in the number of events that are recorded for
analysis in any water year, with the POT statistic extracting more values from the raw dataset.
The AM series records a single event in each year, whereas a POT data set typically record three
peaks in a year but in very dry years may record none. The events in an AM series can reasonably
be assumed to be statistically independent of each other, whereas other selection criteria may be
needed to assure no serial dependence in a POT series. The appropriate statistical distributions
will differ for AM and POT data, but the frequencies assessed from both types of data set should
converge for extreme (rare) flood events. AM data are not appropriate for joint probability
analysis where the data needs to be analysed for correlation between different flood sources, in
these cases a full time history will be required.
Safety assessments and design capacity calculations for dams, however, normally consider only
extreme events and so either POT or AM data should provide a suitable approach.
Selection of distribution
There are several statistical models for the estimation of the probability of extreme floods from
data at a particular site. The USDA discuss several possible distributions for US practice
(USDA-NRCS 2007b): normal, Pearson III, two-parameter gamma, extreme value and binomial.
The discussion of the Pearson III distribution is
“The type III (negative exponential) is the distribution frequently used in hydrologic analysis. It
is non-symmetrical and is used with continuous random variables. The probability density
function can take on many shapes. Depending on the shape parameter, the random variable
range can be limited on the lower end, the upper end, or both. Three parameters are required to
fit the Pearson type III distribution. The location and scale parameters (mean and standard
deviation) are the same as those for the normal distribution. The shape (or third) parameter is
approximated by the sample skew. When a logarithmic transformation is used, a lower bound of
zero exists for all shape parameters. The log- Pearson type III is used to fit high and low
discharge values, snow, and volume duration data”.
A logarithmic distribution has the advantage that it includes a constraint that the flow statistic
should be positive (a desirable feature for analysis of annual maximum discharges).
Project: Development of Hydrological Design Aids (Surface Water) under HP-II
Document: 2009097/WR/REP-02 July 2010
State of the Art Report Revision: R0
3-74 WATER RESOURCES
The UK practice from 1975 to 2000 was covered by the work of the Flood Studies Report (NERC
1975) which recommended the use of the Extreme Value family of distributions (GEV-1, GEV-2
and GEV-3). This recommendation arose from theoretical considerations on the behaviour of the
frequency of extreme floods in an annual maximum series. The GEV-1 is a two parameter
distribution and is also known as the Gumbel Distribution, this distribution is fitted to site value
of the first and second moments of the data and has a fixed skewness (0.17). The GEV-2 and
GEV-3 distributions allow for different values of skewness to be represented giving convex or
concave upwards plots for the growth curve respectively. The use of the GEV distribution was
carried forward into the World Flood Study (Meigh 1995; Meigh and Farquharson 1985).
For extreme flood analysis for dam safety, the extrapolation of the growth curve to large return
periods should probably not be asymptotic to a maximum value (IH 2000) although an argument
for such behaviour might come from postulating a PMF generated from PMP. This will restrict
the choice of distribution (e.g. GEV-2 will be excluded but GEV-3 and GEV-1 (Gumbel) will be
acceptable).
In the UK the Flood Estimation Handbook (IH 2000) also identifies several distributions
(Generalised Logistic, Extreme Value, Log Pearson, Log Normal). For analysis of AM flow
records there is a national preference for use of the Generalised Logistic distribution. The choice
of distribution is made from an assessment of its ability to fit a wide range of flood data series. If
the L-skewness distribution parameter is zero or negative the growth curve is unbounded for large
return periods.
The UK practice is now to use the General Logistic distribution, which has three parameters, in an
index method to define a growth curve with all floods normalised by the site value of the median
flood QMED and data drawn from other hydrologically similar sites into a pooling group for
analysis. The need for and size of the pooling group will depend upon the maximum return
period that is required from the analysis, to avoid the unacceptable uncertainty in fitting three
distribution parameters to short data sets. The QMED value may be estimated from the annual
maximum series if there are sufficient years of record (say 14 or more) or from an analysis of the
POT data series (2 to 13 years data) through a weighted average of selected peaks (IH 2000)
which has been derived from an appropriate statistical model. Where there are under 2 years of
data, the FEH procedures require catchment characteristics to define QMED, this method is
specific to the UK.
Plotting rules for observations
The “plotting position” for observations in an annual maximum series associates an exceedance
frequency Fi with the i-th observation of a record of length N years. There are statistical
arguments that the “best” plotting rule (unbiased) is linked to the distribution (Meigh 1995).
Meigh observes that for the GEV distribution when fitting with PWM that the probability of non-
exceedance which gave least bias was:
Fi = (i-0.35)/ N
whereas for plotting the data Meigh recommends that the Gringorten rule should be used
Fi = (i-0.44)/ (N + 0.12)
The US practice (USDA-NRCS 2007b) is to use the Weibull plotting rule to associate a frequency
assessment to ranked observations using the Log Pearson III or Log-Normal distributions. Here:
Project: Development of Hydrological Design Aids (Surface Water) under HP-II
Document: 2009097/WR/REP-02 July 2010
State of the Art Report Revision: R0
3-75 WATER RESOURCES
Fi = i/(N+1)
The same rules can be used on “censored” records where annual maxima are available from one
source (commonly an instrumental record) and some historic peaks are known as the greatest
events above some threshold in a much longer series, using information from archives, local
history, paleo flood reconstruction etc.
The AGREGEE approach
The French GRADEX approach to the assessment of the frequency an magnitude of rare floods
for the design of dams was developed by Duband in the 1960’s (Guillot and Duband 1967). The
fundamental concept of the method is that for large return periods (low probabilities) the
frequency distribution for flood volume should have the same gradient in the frequency domain as
the causative rainfall. The upper tail of the rainfall distribution is assumed to be exponential:
1-F(x) = k exp(-x/g)
Where F is the probability of non-exceedance, k a coefficient and g the “Gradex” gradient. The
method is described by Guillot (Guillot 1993) who gives an argument for how to include the
physical limit of the PMP in the Gradex method. The assumption is that the influence of
infiltration and other catchment storage becomes less important in controlling the rainfall-runoff
process as the magnitude of the flood increases and the gradient of the flood frequency curve for
rare flood volumes (1000 year and greater) can be derived from the observed rainfall frequency
for lower return periods.
The AGREGEE model develops this method further through the use of site records and historic
flood peaks as well as the GRADEX assumptions (Margoum et al. 1994). The lower (more
frequent) part of the distribution of flood discharge is derived from site data, historic information
being used for medium floods and the upper tail blended on at some suitable value of F (typically
the 10 to 100 year floods). Thus the AGREGEE approach provides a means of constructing the
flood frequency curve for dam design for rare floods which can incorporate physical limits on the
volume of rainfall and the maximum precipitation into assessment made on site data.
The QDF methodology
The QdF methodology was developed in France and has found application elsewhere in Europe.
The method provides a means of combining information from several sources in a basin and its
sub components. The AGREGEE approach allows systematic extension from local gauged
records to extreme flows through the incorporation of climatically driven probability relationships
on extreme rainfall. The QdF methodology allows the extension of this approach to build up an
assessment of the flood frequency for a reach based upon records of sub-basins with differing
characteristics and sizes. The output of the method is a set of inputs to a reach which produce a
hypothetical flood with uniform frequency characteristics of flood volume across a range of flood
durations – from the instantaneous peak to many days (Galea and Prudhomme 1997).
Recommendations
There is no one statistical distribution that applies internationally to all floods, hence the CWC
needs to adopt some national guidelines. The national standards need to cover the choice of
distribution, the estimation of parameters, the amount of data required for the fitting procedure
and guidance on extrapolation beyond the range of data.
Project: Development of Hydrological Design Aids (Surface Water) under HP-II
Document: 2009097/WR/REP-02 July 2010
State of the Art Report Revision: R0
3-76 WATER RESOURCES
The fitting procedures for distribution parameters to data need not be restricted to methods that
are amenable to hand application, but can assume computational resource is available. Hence L-
moments may be considered for national application to a single distribution type, or a number of
methods supported (as in the FEH in the UK) if the CWC wish to provide the hydrologists with
scope for exercising professional judgement on which fitting and distribution should be adopted.
For development of flood design over a larger area, with consistency of flood volume
characteristics over a variety of durations the QDF approach provides an alternative which
combines information from gauging stations, estimated runoff from ungauged portions of the
catchment, regionalised.
A key issue for the safety assessment of hydraulic structures is the extrapolation of flood
frequency curves to large return period floods (low probability events) which are appropriate for
safety assessments. Rarely will there be sufficient information at a gauged site to generate
reliable estimates of the 100-year flood or greater from an analysis of the site record alone. There
are two main approaches:
• Regionalisation of flood data for hydrologically similar basins such as in the World Flood
Study or in the pooling group method of the FEH
• The use of the AGREGEE (or GRADEX) method which ties the flood growth curve to
growth curves for extreme precipitation for rare floods. The advantage of using the
AGREGEE method for extrapolation of frequency estimates to extreme floods is that it does
not imply any limit to discharge below that which is generated by the PMP.
3.2.5 Regional Flood Frequency Analysis
Index flood methods provide a means of estimating extreme floods from “regionalisation”, this is
by using information from a number of gauges within a catchment or in hydrologically similar
catchments to provide a greater body of data for analysis. The approach was outlined about 50
years ago (Darlrymple 1960), and the method provides the conceptual basis of the regional flood
estimation in many countries. The method has two fundamental steps.
• First a homogeneous region is identified where a common probability model of
(standardised) annual maximum floods can be reasonably developed taking account of
climatology and catchment characteristics;
• Secondly an index flood estimator is needed at the particular river site concerned.
Index flood methods are the basis of one of the approaches in current UK hydrological design
practice as the statistical approach of the Flood Estimation Handbook (IH 2000) and the former
Flood Studies Report (NERC 1975). Software implementations of both of these procedures
promoted their widespread national implementation in the UK and Ireland.
There has been much effort devoted to the development of the regionalised flood growth curves
for the first of these steps; one example relevant for the current project is the World Flood Study
(Meigh 1995; Meigh and Farquharson 1985) which includes as an example the Kerala region on
the southern tip of India. In this work the mean annual flood (that is the arithmetic mean of the
annual maximum series) is used as the index flood.
Project: Development of Hydrological Design Aids (Surface Water) under HP-II
Document: 2009097/WR/REP-02 July 2010
State of the Art Report Revision: R0
3-77 WATER RESOURCES
More recently a European funded research project, FRAMEWORK, has addressed methods for
estimation of the index flood (Bocchiola et al. 2003). In their paper Bocchiola et al provide a
framework for estimation of the index flood in five different scenarios:
• River sites with a flow gauging station
• River sites lying in a gauged catchment
• River sites located in an ungauged basin which is located in a hydrologically homogeneous
region
• River sites close to an impounding structure (e.g. a dam) which alters the natural flow series
• River sites located at historical sites in urbanised ungauged basins.
For each of these cases Bocchiola et al present one or more methods of index flood assessment,
depending upon the data available and with differing degrees of complexity. The methods to
obtain the index flood that are summarised in this paper are:
• Analysis of the AM series
• Analysis of a POT series
• Use of scale invariance
• Estimation from historical flood marks
• Fluvial morphological assessment of bankfull discharge
• Derived distribution using the modified Geomorpho-climatic method
• Hydrological simulation based on rainfall-runoff modelling either with observed rainfall or
on hypothetical precipitation characteristics
The hydrological modelling methods are in essence the methods discussed in Section 3.2.3 above.
Recommendation
Consider developing a series of regional growth curves based on gauged data in each major basin
in India. The curves will vary with basin characteristics (e.g. area, maximum elevation) and
climate as show by (Meigh 1995). The extension of the frequency curves to extreme floods could
be based upon the AGREGEE / GRADEX methods.
The methods of identifying the index flood from (Bocchiola et al. 2003) should be implemented.
3.2.6 Flood Wave Propagation
Recommendation
There are many modelling packages available for 1-D and 2-D flood simulation, ranging from
unsupported codes from universities, public domain software especially from the US and
commercial packages from other providers. The quality of the simulation result will depend more
upon the experience and expertise of the modellers than on the simulation package chosen. One
approach will be to provide support to a small number of preferred packages for application on all
studies with a GIS framework to support the model building, data transfer and presentation of the
results. There is currently a move in the modelling industry to develop interoperability of models
through Open MI interfacing. The CWC should consider adopting Open MI compliance as one of
its principles of development.
Project: Development of Hydrological Design Aids (Surface Water) under HP-II
Document: 2009097/WR/REP-02 July 2010
State of the Art Report Revision: R0
3-78 WATER RESOURCES
3.2.7 Impact of snow melt contribution on Design Flood (includes GLOF and cloud burst flood)
Glacial Lake Outburst Floods
A Glacial Lake Outburst Flood (GLOF) occurs when glacial melt water trapped in a glacial lake
is released into the valley downstream in a comparatively short period of time. The areas most
exposed to hazards from GLOF are in those parts of India which receive flow from the Himalayan
glaciers. The nature of a GLOF has similarities with a dam-break flood from an embankment dam
when a defined volume of water is flows out of a reservoir in an uncontrolled manner. Typically
the outflow occurs through a breach in the dam which enlarges rapidly through the erosive force
of the flow. However, there are important differences between a GLOF and a dambreak, the
glacial lake will not be impounded by an engineered structure; rather the lake will form behind
either ice or moraine. The physical properties moraine material will differ from dam
embankments, probably being less able to withstand erosive forces; the moraine may be partially
frozen and lose strength on thawing. The dimensions of a moraine dam, however, also differ from
the dimensions of an engineered embankment dam, with the moraine dam typically being much
broader relative to the depth of the lake impounded.
The recent World Glacier Monitoring Service (WGMS) report (UNEP 2008) identifies that
globally glacial ice volumes are in decline at the centennial time scale although there are dome
decadal scale increases in volume of some reference glaciers monitored. This is true more
specifically in the central Asia region which includes the glaciers of the Himalaya. The WGMS
report records that the rate of formation of glacial lake has increased in parallel with the retreat of
glaciers, and identifies the growth of the number of hazardous glacial lakes in the Himalaya (see
Box 5.4, p27). Glacial lakes may form under the glacier, within the body of the glacier or in front
of the glacier and may be triggered by volcanic eruptions and earthquake in addition to normal
melting. Those in front of the glacier may be trapped by moraine and debris on the glacier surface
(Sakai and Fujita 2010), by avalanche and landslide or by the encroachment of ice. The drainage
of glacial lakes can be gradual or through the catastrophic release of a GLOF. Glacial lake water
is both a hazard (from the potential of GLOF) and a resource for fresh water.
Floods from glacial lakes present a hazard in many regions, examples are in New Zealand (Allen
et al. 2009), Alaska (USGS 2007), Switzerland (Huggel et al. 2003) and Peru (Huggel et al.
2002). The UNDP in partnership with the EU Humanitarian Aid conducted a series of studies in
2007 and 2008 of GLOF risk reduction as part if the UN ISDR in India, Pakistan, Nepal and
Bhutan (Gurung and Lama 2008; Roohi et al. 2008; Tshering 2008; UNDP 2009). These reports
not only describe the GLOF hazards in selected basins draining from the Himalaya, but also
describe risk mitigation strategies.
A GLOF will have the greatest flood discharge close to the lake and will attenuate downstream.
The rate of attenuation will depend upon several factors including the shape of the outflow
hydrograph, the dimensions of the river channel and valley, the gradient of the valley and the
roughness of the channel and of the valley floor. A GLOF can present a major hazard to life and
property for large distances, in the case of the Indus valley the floods from GLOF in the C20th
extended for more than 1000 kilometres away from the lakes that generated them (Hewitt 1982).
A notable GLOF occurred in Langmoche in Nepal in August 1985 which destroyed the Namche
Small Hydel Project; the subsequent report (Ives 1986) contains a series of recommendation on
how to account for GLOF risks in the region and that this should be mandatory for hydropower
developments.
Since a GLOF does not arise directly in response to precipitation, the probability of the hazard
from GLOF should not be assessed using standard flood statistical methods (USGS 2007), rather
Project: Development of Hydrological Design Aids (Surface Water) under HP-II
Document: 2009097/WR/REP-02 July 2010
State of the Art Report Revision: R0
3-79 WATER RESOURCES
specific account should be taken of the volume, location and flood generation potential from
glacial lakes that may cause a hazard in an area. The most common form of approach is to
identify the glacial lakes that have a high chance of causing a GLOF and then to estimate the
magnitude and propagation of the hypothetical GLOF from each potential source using
techniques similar to dam break assessment. Published accounts of this type of approach have
used the widely available NWS-BREACH and DAMBRK models, however, it should be noted
that for dam break assessments these models have been superseded by more recent developments.
The action “Sentinel Asia” on natural hazards was proposed at an Asia-Pacific Regional Space
Agency Forum, or APRSAF meeting, held in Japan in 2005. There is a current (2010) Working
Group on GLOF which is using remote sensing technologies to catalogue glacial lakes in the
Himalaya, carrying out risk assessments and modelling the outburst flood scenarios. The partners
in the project include The International Centre for Integrated Mountain Development (ICIMOD)
in Nepal, which is a regional centre of expertise on Himalayan hazards and the International
Centre for Water Hazard and Risk Management (ICHARM) which is a UNESCO centre. The
GLOF project is due for completion in 2012. The contact for this project is
Hiromichi FUKUI, Faculty of Policy Management, Global Security Research Center, Keio
University; (e-mail hfukui@sfc.keio.ac.jp)
Recommendation
Use the latest information from satellite imagery and international catalogues to obtain the
location, volume and degree of hazard posed by glacial lakes in the headwaters of any rivers
draining from the Himalaya range into Sates in India, take account of the large distances that
GLOF may travel. Use standard dam break modelling to assess the rate of release of the glacial
lake in the event of an outburst, superimposed on an existing river flood. Use the current best
modelling practice available for breach formation and hydrodynamic simulation.
3.2.8 Development of Design Flood Hydrograph for Agricultural and Urban catchments
Recommendation
Where there is no standardised national methodology (such as the FEH in the UK), then the
methods of the SCS in the Chapter 630 of the National Engineering Handbook on Hydrology
(USDA-NRCS 1972; 2004; 2007a) may be used as having wide international application. For any
application, the most critical features to establish are the shape of the dimensionless unit
hydrograph and the curve number CN to use for calculation of the storm event runoff.
3.2.9 Stationarity, trend and climate change
A key simplifying assumption in much flood analysis is that of statistical stationarity, that is there
are no long term trends and changes which would alter the likely incidence or severity of floods.
Non-stationarity may be linear or non-linear trends in time (either increase or decrease) or step-
change possibly arising from an adjustment in some process or human intervention in the system
(e.g. commissioning of a major flood contraol dam). Potential sources of trend and change in a
river basin that may influence the frequency and magnitude of floods include:
• Physical development such as urbanisation which seals the land surface
• Development of flood control infrastructure
• Large scale changes in land surface cover from agricultural practice, deforestation,
afforestation, desertification etc
Project: Development of Hydrological Design Aids (Surface Water) under HP-II
Document: 2009097/WR/REP-02 July 2010
State of the Art Report Revision: R0
3-80 WATER RESOURCES
• Natural trends and cycles of precipitation from climatic variation
• Influence of anthropogenic climatic change
The methods and discussion above has concentrated on data and methods based on the
assumption of stationarity.
Trends should not be inferred from short records particularly if the local climatology has
sequences of relatively flood-free or flood-rich sequence of years. Volume 3 of the FEH (IH
2000) discusses tests that can be applied to hydrometeorological records to detect trend. Several
important issues arise:
• Methods to assess trend should be robust to the occurrence of “outliers”
• Tests for trend should be evaluated against the null hypothesis that there is no trend
• Distribution-free tests are available which do not make assumptions about the frequency
distribution underlying the population of floods.
• Tests are available for both continuous and step changes
• Some of the methods are computationally intensive.
The consensus view of the IPCC is that
“The understanding of anthropogenic warming and cooling influences on climate has improved
since the Third Assessment Report (TAR), leading to very high confidence that the globally
averaged net effect of human activities since 1750 has been one of warming…”(IPCC 2007)
An important concern in hydrological prediction is that this anthropogenic influence of the
climate, will lead to changes in flood frequency and magnitude. This subject is complex and
uncertain, but decisions on the development of major water resources infrastructure and
associated public safety issues, must be taken in the context of this scientific complexity and
uncertainty. The balance of major contributions to the uncertainty in future scenarios for climate
depends on the number of decades ahead of the predictions. In the next two to three decades the
uncertainty derives principally from the uncertainties in the state for the current climate used to
initialise the GCM climate simulations, the balance then changes to scientific uncertainty in the
GCM structure and then in the further future (say five or six decades ahead) to uncertainty in
global emissions and the choice of the SRES scenarios.
The IPCC WG1 summary for policy makers (IPCC 2007) includes commentary on the potential
influence of climate change on flood-related issues including:
• For heavy precipitation events, it is “likely” that there has been a trend for increases over
most areas in the frequency (or proportion of total rainfall from heavy falls) in the late 20th
century, it is “more likely than not” that this change has a human contribution and it is “very
likely” for this future trend based on projections for 21st
century using SRES scenarios.
• Based on a range of models, it is likely that future tropical cyclones (typhoons and
hurricanes) will become more intense, with larger peak wind speeds and more heavy
precipitation associated with ongoing increases of tropical SSTs.
• Since the TAR there is an improving understanding of projected patterns of precipitation
• A multi-model average for projected changes in precipitation patterns in June, July August
precipitation in southern India is an increase 0f 10 to 20% with over 66% of models
agreeing on the sign of the change
Project: Development of Hydrological Design Aids (Surface Water) under HP-II
Document: 2009097/WR/REP-02 July 2010
State of the Art Report Revision: R0
3-81 WATER RESOURCES
The UK has a climate impact programme which interprets the global climate predictions at the
national scale in way in which the information may be used in making policy and taking decisions
in various sectors. One response to information on changes in precipitation in the UK flooding
season is for advice to be issued on precautionary range of change for precipitation to be included
in flood risk assessments. These changes are reviewed as the climate science provides more detail
and for large catchments are typically for changes in flood peak of a similar order of magnitude to
the precipitation change in the climate scenarios.
Recommendation
Current information on the effects of climate change contains considerable complexity and
uncertainty which precludes making firm assessment of the changes in flood magnitude and
frequency. Globally, projected changes in flooding have regional and seasonal variation. In
general the trend for warming of the atmosphere leads to an increase in the moisture content of
the air and so for impacts upon the hydrological cycle. The broad synoptic-scale meteorological
causes of flood-generating precipitation may change (e.g. monsoon, cyclone) may change in
different ways and at different rates over the coming decades. Hence the CWC should consider
what adaptations should be made to standard flood design practice within its areas of operation,
which are consistent with national strategy on adaptation to climate change impacts. One
approach may be to adopt the current approach of the UK in adding a percentage change for
sensitivity testing of designs for structures and adopting a “future-proof” approach to design
which allows for some adaptation during the design life of the structure.
3.2.10 Glossary
Term Definition
AGREGEE Precipitation estimation methodology of Oberlin (1993) – development of
GRADEX
AMS Annual Maximum Series – a flow statistic, the highest value in each (water)
year
CN Curve Number – an index to specify the infiltration rate of the catchment and a
key parameter of the SCS design procedure to determine runoff
DUH Dimensionless Unit Hydrograph of the SCS methodology
FEH Flood estimation handbook (UK flood design practice since 2000)
FORGEX Focussed rainfall generation extension precipitation estimation methodology
FSR Flood Studies Report –UK flood design method from 1975 to 2000, a five
volume report of statistical and modelling methods, meteorology, flood routing,
data and maps
GCM General Circulation Model – a computational model of the global atmosphere
used to simulate future global climate based upon assumed scenarios of
atmospheric emissions
GEV Generalised Extreme Value distribution with types GEV-1, GEV-2 and GEV-3
GLOF Glacial Lake Outburst Flood
GRADEX Gradient extension precipitation estimation methodology of Guillot & Duband
Gumbel The GEV type 1 distribution; this depend on two parameters derived from flood
Project: Development of Hydrological Design Aids (Surface Water) under HP-II
Document: 2009097/WR/REP-02 July 2010
State of the Art Report Revision: R0
3-82 WATER RESOURCES
Term Definition
Distribution data
HBV A catchment hydrological model for continuous simulation developed at the
Swedish Hydro-Meteorological Institute
HEC Hydrologic Engineering Center, part of the US Army Corps of Engineers
hm3
Unit of stored volume equal to 106
m3
HSPF Hydrological Simulation Program a catchment hydrological model for
continuous simulation developed at the USGS
ICOLD International Committee on Large Dams
IDF Inflow design flood, the US safety standard flow for the dam according to
category
IPCC United Nations Inter-governmental Panel on Climate Change
IUH Instantaneous Unit Hydrograph, the theoretical response of a basin to a unit
depth of precipitation falling in an instant, used in the FEH
Kurtosis Standardised fourth moment of distribution or data
L-Moments Linear moments - a statistical method used to determine distribution parameters
from data as a variation of PWM
LISFLOOD A catchment hydrological model for continuous simulation developed by the
European Joint Research Centre
MAF Mean Annual Flood – the arithmetic average of the annual maximum flood
discharge measured at a site.
NWS US National Weather Service, originating institution for the DAMBRK model
PDM Probability Distributed Moisture – a catchment hydrological model for
continuous simulation developed at the Institute of Hydrology (now CEH
Wallingford)
PMF Probable maximum flood – usually derived from the PMP with other
assumptions designed to maximise the flood discharge
PMP Probable maximum precipitation
PMR Probable maximum rainfall (US usage for PMP)
POT Peaks over threshold – a flow statistic, the occurrence of a peak flow (or level)
that exceeds a specific threshold (with possibly other constraints to ensure
independence)
PWM Probability weighted moments – a statistical method used to determine
distribution parameters from data
QDF Flow-Duration-Frequency method
QMED Median annual maximum discharge – the value of the annual maximum flow
which is exceeded (or not exceeded) on average one year in two. QMED is the
Index Flood used in UK practice
SCS Soil Conservation Service – now the USDA Natural Resources Conservation
Service
Project: Development of Hydrological Design Aids (Surface Water) under HP-II
Document: 2009097/WR/REP-02 July 2010
State of the Art Report Revision: R0
3-83 WATER RESOURCES
Term Definition
Skewness Standardised third moment of distribution or data
SRES IPCC Special Report on Emission Scenarios which describes several possible
sets of future conditions to be included in GCM climate simulations
Standard deviation Square root of variance
TAR The IPCC Third Assessment Report
UH Unit Hydrograph, the hypothetical response of a basin to a “unit” volume of
rainfall spread uniformly over a specified time period.
UNEP United Nations Environment Programme
USDA United States Department of Agriculture
USGS United States Geological Survey
Variance Second moment of distribution or data
3.2.11 References
Allen, S. K., Schneider, D., and Owens, I. F. (2009). "First approaches towards modelling glacial
hazards in the Mount Cook region of New Zealand’s Southern Alps." Nat. Hazards Earth Syst.
Sci, 9, 481-499.
Asmal, K. (2000). Dams and Development, Earthscan.
Bergström, S., Harlin, J., and Lindström, G. (1992). "Spillway design floods in Sweden."
Hydrological Sciences Journal, 37(5), 505-519.
Bergström, S., Hellström, S.-S., Lindström, G., and Wern, L. (2008). "Follow-up of the Swedish
guidelines for the design flood determination for dams." 1:2008, BE90.
Bocchiola, D., Michele, C. D., and Rosso, R. (2003). "Review of recent advances in index flood
estimation." Hydrology and Earth System Sciences, 7(3), 283-296.
Bradlow, D. D., Palmieri, A., and Salman, S. M. A. (2002). Regulatory frameworks for dam
safety, The World Bank, Washington DC.
Calver, A., Lamb, R., and Morris, S. E. (1999). "River flood frequency estimation using
continuous runoff modelling." Proc Inst Civ Water Maritime and Energy, 136(4), 225-234.
Darlrymple, T. (1960). "Flood frequency analysis." US Geological Survey.
DIN. (1986). "Teil 10: Gemeinsame Festlegungen " In: Stauanlagen, Deutsches Institut fur
Normung eV, Berlin.
Droop, O. P., and Boughton, W. C. (2003). "Integration of WBNM into A Continuous Simulation
System for Design Flood Estimation " In: Modelling and Simulation 2003.
Project: Development of Hydrological Design Aids (Surface Water) under HP-II
Document: 2009097/WR/REP-02 July 2010
State of the Art Report Revision: R0
3-84 WATER RESOURCES
Faulkner, D., and Wass, P. (2005). "FLOOD ESTIMATION BY CONTINUOUS SIMULATION
IN THE DON CATCHMENT, SOUTH YORKSHIRE, UK." Water and Environment Journal,
19(2), 78-84.
FEMA. (2004a). "Hazard Potential Classification System for Dams ", Federal Emergency
Management Agency.
FEMA. (2004b). "Selecting and accomodating inflow design floods for dams." Federal
Emergency Management Agency.
Feyen, L., Dankers, R., Barredo, J. I., Kalas, M., Bódis, K., Roo, A. d., and Lavalle, C. (2006).
"Flood risk in Europe in a changing climate." EUR 22313 EN, European Commission Joint
Research Centre, Institute of Environment and Sustainability, Luxembourg.
Foerland, E. J., and Kristoffersen, D. (1989). "Estimation of extreme preciptitation in Norway."
Nordic Hydrology, 20, 257-276.
Galea, G., and Prudhomme, C. (1997). "Basic notions and useful concepts for understanding the
modelling of flood regimes of basins in QdF models." Revue des Sciences de l'Eau, 10(1), 83-
101.
Guillot, P. (1993). "The arguments of the gradex method: a logical support to assess extreme
floods." In: Extreme hydrological events: Precipittaion, floods and droughts, IAHS, Yokohama,
Japan, 287-298.
Guillot, P., and Duband, D. (1967). "La méthode du Gradex pour calcul de la probabilitié de crues
à partir des pluies." AISH, 84, 560-560.
Gurung, J., and Lama, L. T. (2008). "Regional GLOFs Risk Reduction Initiative in the
Himalayas: Preparatory Assessment Report, Nepal."
Hewitt, K. (1982). "Natural dams and outburst floods of the Karakoram Himalaya." In:
Hydrological Aspects of Alpine and High Mountain Areas, IAHS, Exeter.
Huggel, C., Haeberli, W., Kääb, A., Hoelzle, M., Ayros, E., and Portocarrero, C. (2002).
"Assessment of glacier hazards and glacier runoff for different climate scenarios based on remote
sensing data: a case study for a hydropower plant in the Peruvian Andes." In: EARSeL-LISSIG-
Workshop Observing our Cryosphere from Space Bern.
Huggel, C., Kääb, A., Haeberli, W., and Krummenacher, B. (2003). "Regional-scale GIS-models
for assessment of hazards from glacier lake outbursts: evaluation and application in the Swiss
Alps." Nat. Hazards Earth Syst. Sci, 3, 647-662.
ICE. (1996). "Floods and reservoir safety." Institution of Civil Engineers.
IH. (2000). "Flood Estimation Handbook." Institute of Hydrology.
IPCC. (2007). "Climate Change 2007: The Physical Science Basis - Summary for Policymakers."
Word Meteorological Organisation.
Ives, J. D. (1986). "Glacial lake outburst floods and risk engineering in the Himalaya." ICIMOD.
Project: Development of Hydrological Design Aids (Surface Water) under HP-II
Document: 2009097/WR/REP-02 July 2010
State of the Art Report Revision: R0
3-85 WATER RESOURCES
Kjeldsen, T. R. (2007). "The revitalised FSR/FEH rainfall-runoff method." Centre for Ecology
and Hydrology.
Liu, J. (2002). "Selection of Design Floods in Southeast Asia." In: 5th International Conference
on Hydro -Science & -Engineering (ICHE-2002), Warsaw.
Margoum, M., Oberlin, G., Lang, M., and Weingartner, R. (1994). "Estimation des crues rares et
extrêmes: Principes du modèle Agregee." Hydrol. Continent, 9(1), 85-100.
Meigh, J. (1995). "Regional flood estimation methods for developing countries." Instiuite of
Hydrology.
Meigh, J., and Farquharson, F. (1985). "World Flood Study." Institute of Hydrology.
Nathan, R. J., Hill, P., and Griffith, H. (2001). "Risk implications of the PMF and the PMP design
flood." In: NZCOLD and ANCOLD Conference on Dams.
NERC. (1975). "Flood Studies report." Natural Environment Research Council.
Radzicki, K., Szczesny, J., and Tourment, R. (2005). "Comparison of laws, procedures,
organisations and technical rules for dams and dikes safety in Poland and France." Cemagef.
Roohi, R., Ashraf, A., Mustafa, N., and Mustafa, T. (2008). "Preparatory assessment report on
Community Based Survey for Assessment of Glacial Lake Outburst Flood Hazards (GLOFs) in
Hunza River Basin." UNDP, Pakistan, Islamabad.
Ruttan, J. A. (2004). "GUIDELINES ON EXTREME FLOOD ANALYSIS." Alberta
Transportation, Transportation and Civil Engineering Division, Civil Projects Branch.
Saelthun, N. R., and Andersen, J. H. (1986). "New procedures for flood esimation in Norway."
Nordic Hydrology, 17, 217-228.
Sakai, A., and Fujita, K. (2010). "Formation conditions of supraglacial lakes on debriscovered
glaciers in the Himalaya." Journal of Glaciology, 56(195), 177-181.
Soong, D. T., Straub, T. D., and Murphy, E. A. (2005). "Continuous Hydrologic Simulation and
Flood-Frequency, Hydraulic, and Flood-Hazard Analysis of the Blackberry Creek Watershed,
Kane County, Illinois." U.S. Geological Survey.
Tshering, N. (2008). "An analysis of socio-economic impact and risk mitigation and preparedness
measures of GLOF events in Bhutan - a case study of Samdingkha."
UNDP. (2009). "Capacity Building for Disaster Risk Reduction Regional Glacial Lake Outburst
Floods (GLOF) Risk Reduction in the Himalayas - Preparatory Assessment Study Report Sutlej
Basin - Himachal Pradesh India." New Delhi.
UNEP. (2008). "Global Glacier Changes: facts and figures." UNEP World Glacier Monitoring
Service.
USDA-NRCS. (1972). "Design Hydrographs." Chapter 21, NEH Notice 4-102, Natural Resources
Conservation Service.
Project: Development of Hydrological Design Aids (Surface Water) under HP-II
Document: 2009097/WR/REP-02 July 2010
State of the Art Report Revision: R0
3-86 WATER RESOURCES
USDA-NRCS. (2004). "Estimation of Direct Runoff from Storm Rainfall." Chapter 10, 210-VI-
NEH, Natural Resources Conservation Service.
USDA-NRCS. (2007a). "Hydrographs." Chapter 16, 210-VI-NEH, Natural Resources
Conservation Service.
USDA-NRCS. (2007b). "Selected Statistical Methods." Chapter 18, 210-VI-NEH, Natural
Resources Conservation Service.
USGS. (2007). "Hydrology and Glacier-Lake-Outburst Floods (1987-2004) and Water Quality
(1998-2003) of the Taku River near Juneau, Alaska."
Viviroli, D., Mittelbach, H., Gurtz, J., and Weingartner, R. (2009a). "Continuous simulation for
flood estimation in ungauged mesoscale catchments of Switzerland - Part II: Parameter
regionalisation and flood estimation results." Journal of Hydrology, 377(1-2), 208-225.
Viviroli, D., Zappa, M., Schwanbeck, J., Gurtz, J., and Weingartner, R. (2009b). "Continuous
simulation for flood estimation in ungauged mesoscale catchments of Switzerland - Part I:
Modelling framework and calibration results." Journal of Hydrology, 377(1-2), 191-207.
WMO. (1986). "Manual for Estimation of Probable Maximum Precipitation." WMO - No. 332,
World Meteorological Organization.
Project: Development of Hydrological Design Aids (Surface Water) under HP-II
Document: 2009097/WR/REP-02 July 2010
State of the Art Report Revision: R0
3-87 WATER RESOURCES
3.3 SEDIMENTATION RATE ESTIMATION
This review of internationally used techniques for sedimentation rate estimation is based on a
number of publications describing best current practice around the world.
3.3.1 General concepts
The design process for reservoirs involves a number of different stages, including:
a. appraisal of different potential sites
b. option appraisal for the selected site and
c. detailed design.
At each stage in this process different methods of analysis are appropriate. During the appraisal of
different potential sites methods are required that require as little site specific data as possible and
are quick to apply but the detail of the output may be low and the uncertainty may be high. As
one approaches detailed design there is an increasing requirement for detailed outputs and
reduced uncertainty. Such methods will normally require more detailed site data and will often
take longer to apply. Thus in considering international practice one should not just consider one
method to be applied at one stage of the design process but consider a range of methods that are
appropriate to different stages in the process.
Any assessment of the sedimentation rate within a reservoir consists of a number of different
components:
a. the sediment inflow to the reservoir has to be assessed
b. the proportion of the incoming sediment load that is trapped within the reservoir must be
assessed
c. if required sediment management options must be considered and evaluated.
Initially reservoir sedimentation was considered using the concepts of ‘live’ and ‘dead’ storage.
‘Live’ storage was the storage available above the lowest intake level while ‘dead’ storage was
the storage below the lowest intake level. Erroneously the assumption was made that reservoir
sedimentation would fill the dead storage first before beginning to fill the live storage. It was later
realised that sedimentation affects both live and dead storage with often more live storage lost
than dead storage. Figure 3.4 shows schematically typical sedimentation in a reservoir, while
Figure 3.5 shows observed sedimentation in Lake Mead in the USA.
Project: Development of Hydrological Design Aids (Surface Water) under HP-II
Document: 2009097/WR/REP-02 July 2010
State of the Art Report Revision: R0
3-88 WATER RESOURCES
Figure 3.4 Generalized depositional zones in a reservoir. Extracted from Morris and Fan
1998
Figure 3.5 Formation of fluvial delta in Lake Mead, USA – Smith et al (1954). Extracted
from Garcia 2008
As storage is lost the water yield from the reservoir progressively reduces. In general, as the
reservoir storage reduces it still retains some utility. Thus it is difficult to define the end of the
useful life of the reservoir. To overcome this problem Ackers introduced the concept of the half-
life of a reservoir, which is the time required for the reservoir to lose half its storage. The duration
of the half life then provides an estimate of the likely severity of the impact of sedimentation on
the useful life of the storage.
To indicate the likely quantity of sediment that will be trapped in a reservoir the notion of
Trapping Efficiency was introduced. This is defined as the ratio of the total inflowing sediment
load that is trapped in the reservoir over a stated period of time. The trapping efficiency of a
Project: Development of Hydrological Design Aids (Surface Water) under HP-II
Document: 2009097/WR/REP-02 July 2010
State of the Art Report Revision: R0
3-89 WATER RESOURCES
reservoir will depend upon the size and shape of the reservoir, the nature of the incoming
sediment load and the sediment characteristics. The trapping efficiency of a reservoir is not
constant through time but typically reduces as sedimentation reduces the storage volume of the
reservoir.
3.3.2 Availability of Standards and Guidance
As far as the project team is aware, there is no International or National Standard on the
prediction of sedimentation rates in reservoirs. There are a number of publications, however, that
describe current practice, for example:
• Reservoir Sedimentation Handbook by Morris and Fan
• Reservoir Sedimentation by G Annandale,
• Erosion and sedimentation manual, US Bureau of Reclamation
The estimation of reservoir sedimentation now frequently relies heavily on the use of numerical
modelling and as numerical models develop in their sophistication the practice predicting
reservoir sedimentation is not constant but rapidly developing. The above references were not
produced at the same time and each reflects the current practice in the region of the world where
the works were written. In the case of the Reservoir Sedimentation Handbook the position is more
complex as there are multiple authors from different parts of the world.
The implication is that one cannot describe a coherent current practice but more a series of
separate developments in different parts of the world.
3.3.3 Current Practice is different in different parts of world
There are multiple reasons why there are widespread differences around the world and some of
these are explored below. The nature of the issues to be studied and the methods used depend
upon a number of different factors which are discussed below:
Nature of rivers and sediments: There are major differences around the world in the flow
regimes and the nature of the sediments that are relevant for reservoir sedimentation prediction. In
the mountainous areas of Europe sediment inflows may be dominated by the coarser sediment
fractions that move predominantly as bed load while in other parts of the world the dominant
sediment fractions may be sands and silts with the dominant mode of sediment movement being
as suspended load.
In addition the flow regime of rivers can be very different. In the more temperate climates water
inflows may be distributed fairly evenly throughout the year while in other regions there may be a
pronounced flood season during which most of the inflows to the reservoir take place. As
sediment transport is a non-linear function of flow the temporal distribution of sediment inflows
tends to be even more extreme than the distribution of the flows.
The nature of the sediments and the temporal distribution of sediment inflows affects the validity
of different analysis and prediction techniques. Thus an approach that might be appropriate for
bed load dominated situations might not be appropriate for cases in which the sediment input load
is dominated by fine sediment.
Project: Development of Hydrological Design Aids (Surface Water) under HP-II
Document: 2009097/WR/REP-02 July 2010
State of the Art Report Revision: R0
3-90 WATER RESOURCES
Nature of the reservoir: Reservoirs are operated in different ways depending upon the use of the
stored water. In general the water level is maintained at a high level within reservoirs used for
hydro-electric power generation while in reservoirs in which the water is used for irrigation there
may be a marked annual fluctuation in water levels. In reservoirs which provide over-year storage
such fluctuations in water level may extend over periods of years. The behaviour of the sediments
within reservoirs with these different operating regimes is different. For example, sediment that is
exposed to the air and dries out for part of the year consolidates in a different way to sediment
that is permanently submerged. This means that methods applicable to one type of reservoir may
not be appropriate for another type.
Availability of data: The analysis and modelling of sedimentation requires a range of data. Some
of the required data is specific to the site and can be collected as part of a site investigation, such
as the bathymetry of the reservoir and the physical catchment characteristics. In addition,
however, any such analysis or modelling requires data such as flow regimes and typical sediment
loads. Such variables are subject to long term fluctuations and so long time series data is required.
This is rarely available at the site and usually data has to be used from some other location where
data has been collected on a routine basis for a long time period. The routine collection of flow
and sediment data varies throughout the world both in terms of the density of data, the variables
measured, the measurement methods used and the quality of the data. Thus, analysis methods and
models that can be readily applied in some areas of the world as there is a long record of suitable
data may b inappropriate for other parts of the world due to the paucity of the necessary data.
Severity of problem: In parts of the world sedimentation is a major issue in the design of a
reservoir scheme and the whole feasibility of a proposed scheme may depend upon the
sedimentation rate and the ability to mitigate the potential loss of storage due to sedimentation. In
other parts of the world sediment yields are much lower and sedimentation may be regarded as a
minor issue as potential storage losses due to sedimentation may be insignificant. In the former
case there is pressure to use advanced methods of analysis and detailed modelling while in other
regions much simpler methods may suffice.
The above discussion illustrates some of the reasons why there is no consistent, coherent
international practice for the prediction of sedimentation.
3.3.4 Historic development of reservoir sedimentation methods
The methods that are available for the prediction of sedimentation have been subject to rapid
change and development over the recent past. This has been driven by different aspects of the
problem. Recent developments in measurement, such as the development of ADCP instruments
for the measurement of flow and sediment concentrations has led to enormous increases in the
amount of such data that can be collected and increases in the amount of data available on the
spatial and temporal distributions.
In parallel with this there have been massive increases in computer power which has allowed the
application of increasingly complex and sophisticated numerical models to predict sedimentation.
Up to the early 1980s the potential for computer modelling was limited and it was only then that
the first 1-D models of reservoir sedimentation were introduced. With developments of computer
power since then there is increasing potential for the application of 2-D and 3-D models to the
prediction of sedimentation. It seems likely that such further developments will continue so that
international practice will continue to evolve in the future.
Project: Development of Hydrological Design Aids (Surface Water) under HP-II
Document: 2009097/WR/REP-02 July 2010
State of the Art Report Revision: R0
3-91 WATER RESOURCES
3.3.5 Estimation of sediment yield
Introduction
The quantity of sediment that is transported to a specified point in a drainage basin over a
specified period of time is often referred to as the sediment yield, which is often expressed as the
number of tonnes of sediment per unit area per year. It must be appreciated that for a particular
catchment there are normally significant spatial and temporal fluctuations in the sediment yield
from year to year.
Sediment yield depends upon a range of factors including:
a) catchment area, see Figure 3.6,
b) catchment slope,
c) catchment topography,
d) rainfall amount,
e) rainfall intensity,
f) nature of sediments.
Figure 3.6 Average annual sediment yield versus drainage area for semiarid areas of the
United States (Strand and Pemberton 1987). Extracted from Garcia 2008
The term ‘erosion’ is used to describe the process of sediment particles being detached from the
soil matrix and being carried away from the point of detachment. There are a number of empirical
methods to assess sediment erosion, including the Universal Soil Loss Equation (USLE),
MUSLE, Revised Universal Soil Loss Equation (RUSLE) and RUSLE2 together with more
complex, physically based models such as AGNPS, ANSWERS, CREAMS, SEDIMONT and
WEPP.
Some of the sediment erosion models listed above are based on estimating soil erosion at a plot
scale. When these are applied to large catchments it is normally found that they significantly over
estimate the actual sediment yield. The ratio of the estimated soil erosion to the sediment yield for
the catchment as a whole is referred to as the Sediment Delivery Ratio. In general the Sediment
Delivery Ratio is significantly less than 1 (Walling, 1983). The small value of the Sediment
Project: Development of Hydrological Design Aids (Surface Water) under HP-II
Document: 2009097/WR/REP-02 July 2010
State of the Art Report Revision: R0
3-92 WATER RESOURCES
Delivery Ratio is normally attributed to the fact that following erosion much sediment is re-
deposited either within the catchment, floodplain or in the channel.
The difficulty in measuring and estimating sediment yield should not be under-estimated. There
has been a history in the past of under estimating potential sediment yields (Tejwani, 1984 and
Lagwankar et al, 1995).
Spatial variability in sediment yield: Sediment yield is often calculated by dividing the overall
sediment delivered from a catchment by the catchment area. This generates an average sediment
yield and may disguise significant spatial variations (Campbell, 1985). Methods to assess long-
term sediment yield are described in Strand and Pemberton, 1987 and MacArthur et al (1995).
Erosion may take place over wide areas of a catchment but it is only if there is a transport path
between the location of the erosion and a watercourse that the eroded sediment will enter the
fluvial system. In general, the area of the catchment which has a direct transport link to a
watercourse is only a small proportion of the total catchment area. This means that, in general, the
sediment that enters the fluvial system only comes from a small proportion of the overall
catchment area.
The spatial pattern of sediment yield is not constant. Factors which can significantly affect
sediment yield include:
a. changes in land-use
b. changes in vegetation cover
c. developments within the catchment, such as construction
d. incidence of disturbances such as land-slides following major earthquakes
e. spatial variations in extreme rainfall within the catchment.
Analysis of Indian data of annual sediment loads from different sub-catchments showed that in
any one year there could be significant differences in the average sediment yield from each sub-
catchment.
The potential spatial variability in sediment yield becomes important if there is a desire to manage
the quantity of sediment entering the fluvial system. Catchment conservation techniques are likely
to be more effective if they are targeted at areas which directly contribute sediment to the
watercourses within the catchment rather than if they are just applied widely.
Temporal variations in sediment yield: In general, sediment transport in channels is a highly
non-linear function of the discharge with the sediment transport rate increasing rapidly as the
discharge increases. In many cases this results in the bulk of the sediment being moved in a
relatively few major flood events in a year.
Analysis of Indian data on annual sediment loads from different sub-catchments showed that
there could be significant variations in sediment yield from a particular sub-catchment from one
year to another year.
Influence of climate change: There is increasing interest in the potential impact of climate
change on sediment yield in the future. Climate change by changing rainfall intensity and land use
in a catchment may mean that sediment yields may change in the future. As suspended sediment
concentration typically increases as a function of discharge, extreme storms or cycles of wet and
Project: Development of Hydrological Design Aids (Surface Water) under HP-II
Document: 2009097/WR/REP-02 July 2010
State of the Art Report Revision: R0
3-93 WATER RESOURCES
dry years due to climate change can dramatically influence annual yield. In the same way, land
use changes by climatic variation such as deforestation or reforestation, changes in grazing
intensity and urbanization have a big impact on sediment yield. Therefore, past data on sediment
yield may not indicate long-term future sediment yields.
In estimating reservoir sedimentation it may be important to take into account the temporal
variability and climate change in sediment yield rather than just using long-term average values.
Approaches to estimate the sediment yield
There are a number of different approaches to estimating sediment yield which have different
degrees of complexity and different levels of uncertainty. The appropriate approach depends upon
the available data and the level of uncertainty that is acceptable. At the simplest there are global
maps of sediment yield which show broad ranges of sediment yield in different continents, see for
example, Figure 3.7. The most complex approaches involve the application of physically-based,
numerical models to simulate the movement of water and sediment within individual catchments.
Figure 3.7 Sediment yield map for India (Shangle, 1991). Extracted from Morris and Fan
1998
Some approaches are based on the assumption that there is a relationship between fluvial
discharge and sediment concentration. Such a relationship is referred to as a sediment rating
curve. For advice relating to the estimation of sediment rating curves see Cohn (1995). Sediment
yield may be estimated using long-term discharge records and a measured sediment rating curve.
Measuring sediment concentrations can be subject to large uncertainty. In addition, such
measurements are rarely available for the extreme discharges so frequently some form of
extrapolation is required which adds to the uncertainty.
With the development of GISs and increased computer power, it has been possible to develop
spatially distributed models of soil erosion that can predict sediment yield. The GIS component of
such a model can contain information on soil, land use and hydrological parameters. By applying
assumed rainfall within the model one can calculate the resulting runoff and sediment load. Once
the sediment has entered the river system it can be routed down the channel system. An example
of such a model incorporating empirical erosion models with a sediment delivery module is
described by Kothyari et al (1996). Arnold et al (1995) describe a physically based model that
simulates both sediment detachment and transport processes coupled with fluvial routing
Project: Development of Hydrological Design Aids (Surface Water) under HP-II
Document: 2009097/WR/REP-02 July 2010
State of the Art Report Revision: R0
3-94 WATER RESOURCES
methods. Such models require extensive spatial input data and data for calibration. This means
that the application of such models cannot yet be regarded as simple or routine.
The use of such spatial models holds out the best hope of taking account of the spatial variability
in sediment yield described above and of improving the prediction of sediment yield in
catchments. At present, however, there are significant constraints on the accuracy of such models.
Just considering one component of such a model, the routing of sediment down a channel, the
best sediment transport estimators are within a factor of two of the observed value approximately
70% of the time. Putting together all the other uncertainties in our descriptions of the processes
involved it is clear that in the short-term such models can only provide an order of magnitude
assessment of sediment yield.
Soil Loss equations
Soil loss equations such as the USLE and RUSLE can be used to predict soil loss due to sheet and
rill erosion from roughly planar hill-slope areas. The rate of erosion is assumed to depend upon:
a) rainfall-runoff erosion factor,
b) soil erodibility factor,
c) slope-length factor,
d) slope steepness factor,
e) cover management factor,
f) support practice factor.
In the original development of the USLE it was assumed that the values of these factors were
independent of each other but increasingly data seems to suggest inter-relationships. In areas
which have been studied intensively, such as the USA, maps are available showing values of the
parameters. For other areas extensive field work would be required to determine the appropriate
values of the parameters.
Estimation of delivery ratio
The sediment delivery ratio depends upon:
a) drainage area of catchment,
b) catchment characteristics, such as relief and stream length,
c) nature of sediment sources and their proximity to a watercourse,
d) transport system and
e) texture of eroded material.
Though there is published data on the variation of sediment delivery ratio with catchment area
there is a significant amount of scatter within the data. The reasons for the scatter can be readily
appreciated by considering the impact of small changes to catchment topography. Consider a
catchment in which there is a small part with a high erosion rate. If the slope from this area to the
nearest watercourse is sufficient to transport this eroded sediment to the water course then there
will be a large value of the sediment delivery ratio. Minor changes to the catchment topography
between the sediment source and the water course may result in eroded sediment being re-
deposited before it reaches the watercourse. Thus catchments with similar global characteristics,
such as area, may have very different values of the sediment delivery ratio due to minor
differences in topography. This means that any estimate of sediment delivery ratio based on
catchment characteristics is subject to large uncertainties.
Project: Development of Hydrological Design Aids (Surface Water) under HP-II
Document: 2009097/WR/REP-02 July 2010
State of the Art Report Revision: R0
3-95 WATER RESOURCES
Catchment models
Rather than using lumped models of sediment yield one can use distributed models which
simulate:
a) hydrological processes
b) soil and stream erosion
c) sediment transport and deposition.
There are a number of such models whose development have been driven by the need to predict
non-point source pollution in catchments.
Commonly used models include:
a) Agricultural NonPoint Source Pollution Model (AGNPS) (Young et al, 1987)
b) Annualized Agricultural NonPoint Source model (AnnAGNPS) (Bingner and Theurer, 2001)
c) ANSWERS-Continuous (Bouraoui et al, 2002)
d) Areal Nonpoint Source Watershed Environment Response Simulation (ANSWERS) (Beasley
et al, 1980)
e) Dynamic Watershed Simulation Model (DWSM), (Borah et al, 2002)
f) European Hydrological System Model (SHE) (Refsgaard and Strom, 1995)
g) Hydrological Simulation Program – Fortran (HSPF) (Bicknell et al, 1993)
h) Soil and Water Assessment Tool (SWAT), (Arnold et al, 1998)
The models differ in their description of the processes. Some use simple empirical relationships
while others use physically-based equations. These latter models can be computationally
demanding. Borah and Bera (2003) reviewed many of the available models. It should be noted
that the different models:
a) use different representations of the dominant processes,
b) require different levels of data,
c) are applicable at different spatial and temporal scales
d) require different amounts of computing resources.
The implication is that there is no one ‘best’ model. The appropriate model depends upon the
nature of the project being considered and the stage in the project that is being considered.
In considering models there are a number of aspects that need to be considered. Many of the
models are single storm event models so that they are used only to simulate single events. In most
reservoir applications one is interested in long-term simulations and so long-term continuous
simulation models such as AnnAGPS, ANSWERS-Continuous, HSPF, MIKE-SHE and SWAT
are of greater value. ANSWERS-Continuous does not include channel erosion and sediment
transport so would not be suitable for applications to determine sediment yield.
Another major factor is the computational effort required to run the model. In the past many
models have only been applied to relatively small catchments due to the computational effort
required for the simulations. MIKE-SHE particularly is computationally demanding and so may
not be practical for long-term simulations of medium to large catchments.
Project: Development of Hydrological Design Aids (Surface Water) under HP-II
Document: 2009097/WR/REP-02 July 2010
State of the Art Report Revision: R0
3-96 WATER RESOURCES
Data availability in India
India is unusual in the availability of long-term sediment records for many of the major river
systems, collected by the Central Water Commission. At a significant number of gauging stations
routine sediment concentration measurements are taken. This means that there is enough data to
estimate annual sediment yields over many years. The data can be used to estimate both the
average annual sediment yield and to estimate the distribution of annual sediment yields. In
addition, there are situations where the gauging stations provide nested systems of catchments. In
these situations one can use the data to identify the contribution to the total sediment yield of
individual sub-catchments.
The data is very useful as, in general, it is both detailed and long records are available. In some
circumstances the data has to be interpreted with care. The sediment measurements are, in
general, based on bottle samples taken from near the water surface. In general, the suspended
sediment concentration varies with depth, with the sediment concentration being greatest at the
lower levels. This means that the measurements may under-estimate the suspended sediment
concentrations and also does not contain any bed load component. This is partly compensated by
adding a fixed percentage to the observed values to take account of the bed load component.
The data provides an excellent resource for estimating sediment yield for catchments in India. It
should be emphasised that in estimating sediment yields as long a record as possible should be
used and attention should be paid to inter-year variations. The data can be used both to estimate
sediment yield directly and also, were appropriate, to calibrate detailed catchment models.
3.3.6 Assessment of sedimentation rates
Desk assessments of reservoir sedimentation
A number of methods for the desk assessment of reservoir sedimentation were developed in the
1950s and 1960s such as those by Brune and Churchill. These estimate the trapping efficiency of
the reservoir, that is the ratio of the sediment trapped in the reservoir to the total incoming
sediment load.
Brune (1953) developed empirical relationships for the trapping efficiency as a function of the
Capacity-Inflow ratio with the trapping efficiency increasing as the Capacity-Inflow increases,
see Figure 3.8. As sedimentation takes place then the Capacity-Inflow ratio reduces and the
trapping efficiency reduces.
Project: Development of Hydrological Design Aids (Surface Water) under HP-II
Document: 2009097/WR/REP-02 July 2010
State of the Art Report Revision: R0
3-97 WATER RESOURCES
Figure 3.8 Relationship between reservoir hydrologic size (capacity:inflow ratio) and
sediment-trapping efficiency by Brune and the sedimentation index approach
by Churchill (Strand and Pemberton 1987). Extracted from Garcia 2008
Churchill developed a relationship between the sediment release efficiency, which is defined as 1
minus Trapping Efficiency, and the Sedimentation Index, which is defined as the ratio of the
retention period to the mean flow velocity through the reservoir (Churchill, 1948), see Figure 3.9.
This is an empirical relationship developed on relatively limited data and should only be used
with caution.
Figure 3.9 Churchill curve for estimating sediment release efficiency (adapted from
Churchill 1948). Extracted from Morris and Fan 1998
The Area Reduction Factor method (Strand and Pemberton, 1987; Morris and Fan, 1998)
provides a way of assessing how the deposited sediment is distributed throughout the reservoir
using empirical relations. The method is based on data from reservoirs in the USA. There is little
justification for the method and should only be used for preliminary assessments.
Project: Development of Hydrological Design Aids (Surface Water) under HP-II
Document: 2009097/WR/REP-02 July 2010
State of the Art Report Revision: R0
3-98 WATER RESOURCES
It is widely acknowledged that these methods do not take all the processes and the details of the
nature of the sediment into account and so can only provide approximate estimates of
sedimentation. At best, therefore, they can only be used to make preliminary assessments of
reservoir sedimentation, for example, at the stage of screening a large number of potential sites or
be used in cases where sedimentation rates are so low that sedimentation is insignificant. In all
other cases it is necessary to resort to mare complex methods which normally involve the
application of a numerical model.
Numerical Sedimentation Modelling
It is increasingly common to use numerical models to predict reservoir sedimentation. Frequently
the purpose of the model is to predict the long-term loss of storage. For reservoirs to be economic
the required life of the storage is often of the order of 100 years or more. In these circumstances
there is a need to run such numerical models to simulate periods of time of the order of 100 years.
Until recently this could only be achieved by the use of one-dimensional models (1-D) in which
variables depend only on the chainage along the reservoir. With the recent advances in computer
power the application of 2-D and 3-D models are becoming possible.
In order to consider the application of numerical models to reservoir sedimentation it is necessary
to consider the physics of sediment motion in greater detail than has been up till now. It is
generally assumed that sediment motion can take place in three different modes:
a) bed load, in which sediment moves on or adjacent to the bed
b) suspended load, in which sediment is transported in the bulk of the flow but sediment of that
size is represented on the bed of the channel
c) wash load, in which the sediment is transported in the bulk of the flow but the sediment is not
represented on the bed of the channel.
It is generally assumed as a first approximation that the quantity of bed load and suspended load
is hydraulically determined. It is normally assumed that the quantity of wash load is not
hydraulically determined but is supply dependent.
The division between these different modes is dependent upon the local flow conditions. This
means that sediment that is transported as wash load at one location may act of suspended load at
another location and may even act as bed load at a third location. One of the difficulties of
simulating and quantify reservoir sedimentation is that sediment that may behave as wash load in
the river upstream may behave as suspended load in the reservoir. An additional difficulty is that
as sediment is carried down the reservoir the flow conditions will vary. For fine sediments it may
take some time for the sediment concentration profile to adjust to the new flow conditions. This
means that numerical models that assume equilibrium suspended sediment concentrations may
not be appropriate for the simulation of reservoir sedimentation.
One-dimensional models can be used to predict the longitudinal variation in bed levels along the
reservoir over time, see Figure 3.10. They can also provide information on:
a) the loss of storage as a function of level,
b) the composition of the deposited sediment,
c) impact on water levels in the river upstream,
d) the effectiveness of sediment flushing, if applicable
Project: Development of Hydrological Design Aids (Surface Water) under HP-II
Document: 2009097/WR/REP-02 July 2010
State of the Art Report Revision: R0
3-99 WATER RESOURCES
500
450
400
Elevation
Figure 3.10 Temporal development of delta growth upstream of Bakra Dam, India. The
rate of delta advance slows with time because of the reservoir geometry, which
depends and broadens in the downstream direction. Extracted from Morris and
Fan 1998
There are now a number of general 1-D river models that can simulate sediment movement and
deposition, for example, Mike 11, InfoWorks and HEC-RAS. Such models can be used to
simulate reservoir sedimentation. All these models suffer from the disadvantage that they are
general river models and it may not always be easy to apply them to reservoirs. In addition to
obtain relevant output may require significant post-processing of the results.
The RESSASS software was produced specifically to simulate reservoir sedimentation and so is
easier to use for applications to reservoirs but the software was produced in the 1990s and the
data input and output and graphics are not of the standard expected today.
2-D and 3-D numerical models have been used to simulate aspects of reservoir sedimentation but
problems of grid size and time steps mean that at present, in most cases, it is still difficult to use
them to simulate a complete reservoir for the potential life of the reservoir.
Modelling of density currents
In some reservoirs density currents may develop which can transport significant quantities of
sediment to the lower parts of the reservoir. There are a limited range of physical conditions in
which density currents will develop so that significant density currents only develop in a minority
of reservoirs though in these reservoirs they can have a significant impact on the distribution of
sedimentation throughout the reservoir. Though numerical models exist which can simulate such
density currents most have been used in a research environment and have not been applied widely
in consultancy.
Density of deposited sediment and consolidation through time
To estimate the loss of storage volume resulting from the inflow of a particular weight of
sediment requires an estimate of the density of the deposited sediment. This density depends upon
the nature of the sediment and the operation of the reservoir (Geiger, 1963and Lara and
Pemberton, 1963). If the fine deposited sediment dries as a result of the operation of the reservoir
then the density tends to be greater than sediment that is permanently under water. This difference
only applies for fine sediments so that there is no difference in the deposited density for sand and
gravels.
Project: Development of Hydrological Design Aids (Surface Water) under HP-II
Document: 2009097/WR/REP-02 July 2010
State of the Art Report Revision: R0
3-100 WATER RESOURCES
Fine sediment that is deposited in a reservoir compacts through time so that the deposited density
gradually increases. This process has been described by Lane and Koelzer (1943) assuming that
the increase in sediment density is proportional to log t, where t is the age of the deposit in years.
The assumption of a log t dependence implies that the sediment density can increase without limit
so that the equation must become invalid for large values of t.
Specification of boundary conditions within a numerical model
Any numerical model needs the incoming discharge, sediment load and sediment sizes to be
specified for the duration of the simulation, which may be of the order of 100 years. It is
extremely unlikely that suitable historic data would be available so it is normally necessary to
generate suitable time-series data. The generation of suitable time-series is difficult but becomes
particularly problematic at a time of suspected significant climate change.
Physical modelling
In physical models reduced scale models are used to simulate physical systems. The aim of the
physical model is to reproduce the dominant forces while minimising scale effects introduced by
the reduction in size of the model. In many reservoirs the major component of the incoming
sediment load is fine sediments in the silts and clay range. Even with the use of light-weight
sediments in the model, it is frequently impossible to reproduce the movement of such fine
sediment fractions at a practical model scale. It is thus only in rare cases that physical modelling
of reservoir sedimentation can be realistically applied. Thus, though physical models of reservoir
sedimentation have been used in the past, they have rarely proved successful.
3.3.7 Increasing emphasis on mitigation methods
Alongside the technical developments in the understanding of sediment transport and the
developments of measurement techniques and numerical models, there have also been
developments in both the opportunities for reservoirs and societies attitudes to reservoir
management. Earlier generations have already constructed reservoirs in the easier locations. This
means that increasingly attention is turning to less favourable sites. One aspect of this is that sites
which had been avoided in the part due to potential sediment issues are now being re-examined.
This means that sedimentation and its prediction is becoming increasingly important.
Allied to this societies attitude to reservoir management is changing. In the past reservoirs were
constructed with little attention to sedimentation other than the provision of sufficient ‘dead’
storage to ensure a reasonable useful life for the storage. With concepts of sustainability
becoming increasingly important society is less prepared to accept schemes which have a limited
life and so there is an increasing emphasis on the mitigation of storage loss, by, for example, the
use of sediment flushing. This interest in mitigation is increased as increasingly more difficult
reservoir locations are considered.
This interest in methods of mitigation of sedimentation has driven the development of methods to
assess mitigation methods and to assess the economics of such methods. This is best exemplified
by RESCON, a programme to assess the severity of reservoir sedimentation and to investigate the
economics of various mitigation strategies. The RESCON (REServoir CONservation)
methodology consists of three stages:
1) determine which methods of sediment management are technically feasible,
2) determine which alternatives perform better in an economic analysis
Project: Development of Hydrological Design Aids (Surface Water) under HP-II
Document: 2009097/WR/REP-02 July 2010
State of the Art Report Revision: R0
3-101 WATER RESOURCES
3) incorporate environmental and social factors to select the optimum sediment management
strategy (Palmieri et al, 2003) and Kawashima et al, 2003)
The RESCON approach accounts for all the major benefits and costs over the complete project
life-cycle.
3.3.8 References:
Annandale G W, 1987, Reservoir sedimentation, Elsevier Science
Arnold J G, Williams J R and Maidment D R, 1995, Continuous-time water and sediment-routing
model for large basins, J Hydr Engrg, Volume 121, No 2, pp171-183
Arnold J G, Srinivasan R, Muttiah R S and Williams J R, 1998, Large-area hydrologic modelling
and assessment I: Model development, J of the American Water Resources Association, Volume
34, No 1, pp73-89.
Beasley D B, Huggins L F and Monke, E J, 1080, ANSWERS: a model for watershed planning,
Trans. of the ASAE, Volume 23, No 4, pp938-944.
Bicknell B R, Imhoff J C, Kittle J L, Donigian A S and Johanson, R C, 1993, Hydrological
Simulation Program – FORTRAN (HSPF): User’s manual for Release 10, Report EPA/600/R-
93/174, US EPA Environmental Research Lab., Athens, Ga, USA
Bingner R L and Theurer F D, 2001, AnnAGNPS Technical Processes: Documentation Version 2,
(www.sedlab.olemiss.edu/AGNPS.html)
Borah D K, Xia R and Bera M, 2002, Chapter 5: DWSM – a dynamic watershed simulation
model, in Mathematical Models of Small Watershed Hydrology and Applications edited by V P
Singh and D K Frevert, Water Resources Publications, USA.
Borah D K and Bera, M, 2003, Watershed-scale hydrologic and nonpoint-source pollution
models: Review of mathematical bases, Trans of the ASAE, Vol 46, No 6, pp1553-1566
Bouraoui F, Braud I and Dillaha T A, 2002, Chapetr 22: ANSWERS A nonpoint-source pollution
model for water, sediment and nutrient losses, pp 113-166, in Mathematical Models of Small
Watershed Hydrology and Applications edited by V P Singh and D K Frevert, Water Resources
Publications, USA
Brune G M, 1953, Trap efficiency of reservoirs, Trans. Am. Geophys. Union, Vol 34 No 3,
pp407-418.
Campbell I A, 1985, The partial area concept and its application to the problem of sediment
source areas, Soil Erosion and Conservation edited by M El-Swaify and A Lo, Soil Conservation
Society of America, Ankeny , Iowa, USA, pp 128-138
Churchill M A, 1948, Discussion of ‘Analysis and use of reservoir sedimentation data’ by L C
Gottschalk, Proc Federal Interagency Sedimentation Conference, Denver, pp139-140
Cohn T A, 1995, Recent advances in statistical methods for the estimation of sediment and
nutrient transport in rivers, Rev. Geophys. Volume 33 (Supplement)
Project: Development of Hydrological Design Aids (Surface Water) under HP-II
Document: 2009097/WR/REP-02 July 2010
State of the Art Report Revision: R0
3-102 WATER RESOURCES
Dendy F E, Champion W A and Wilson R B, 1973, Reservoir sedimentation surveys in the
United States in Man-made lakes: Their problems and environmental effects edited by W C
Ackermann, G F White and E B Worthington, Geophysical Monograph No 17, American
geophysical Union, Washington DC USA
Garcia, M.H. (editor), 2008, Sedimentation Engineering, ASCE
Geiger A F, 1963, Developing sediment storage requirements for upstream retarding reservoirs in
Proc Federal Interagency Sedimentation Conf, USDA-ARS, Misc Publ 970, USDA, Washington
DC USA
Kawashima S, Johndrow T B, Annandale G W and Shah F, 2003, Reservoir conservation: The
RESCON approach, Volume 1, The World Bank, Washington DC, USA
Kothyari, Tiwari A K and Singh R, 1996, Temporal variation of sediment yield, J Hydr. Engrg.
Vol 122, No4, pp169-176
Lagwaker V G, Gorde A K, Barikar D A and Patil K D, 1995, Trends in reservoir sedimentation
in India, 6th
Intl. Symp. River Sedimentation and management of sediment, Central Board of
irrigation and power, New Delhi, India, pp91-111
Lane E W and Koelzer V A, 1943, Density of sediments deposited in reservoirs, Report No 9: A
study of methods used in measurement and analysis of sediment loads in streams. Hydraulic Lab.
University of Iowa.
Lara J M and Pemberton E L, 1963, Initial unit weight of deposited sediments, Proc Federal Inter-
agency Sedimentation Conf, USDA-ARS Misc Publ 970, pp818-845
MacArthur R C, Hamilton D and Gee D M, 1995, Application of methods and models of
prediction of land surface erosion and yield, Training Document No 36, US Army Corps of
Engineers, Hydrologic Engineering Center, Sacramento, California, USA.
Morris G L and Fan Jiahua, 1998, Reservoir sedimentation handbook, McGraw-Hill
Murthy B N, 1977, Life of reservoir, Central Board of Irrigation and Power, New Delhi, India
Palmieri A, Farhed S, Annandale G W and Dinar A, 2003, The RESCON approach: Economic
and engineering alternative strategies for managing sedimentation in storage reservoirs, The
World Bank, Washington DC USA
Refsgaard J C and Storm B, 1995, Chapter 23: Mike SHE in Computer Models of Watershed
Hydrology edited by V P Singh, Water Resources Publications, USA
Strand R L and pemberton E L, 1987, Reservoir sedimentation in Design of Small Dams, US
Bureau of Reclamation, Denver, USA
Tejwani K G, 1984, Reservoir sedimentation in India: Its causes, control and future course of
action, Water International, Volume 9, No 4, pp150-154
Walling D E, 1983, The sediment delivery problem, J Hydrology, Vol 65, pp209-237
Project: Development of Hydrological Design Aids (Surface Water) under HP-II
Document: 2009097/WR/REP-02 July 2010
State of the Art Report Revision: R0
3-103 WATER RESOURCES
Young R A, Onstad C A, Bosch D D and Anderson W P, 1989, AGNPS: a nonpoint-source
pollution model for evaluating agricultural watersheds, J of Soil and Water Conservation, Volume
44, No 2, pp168-173.
 
 
 
 
 
 
APPENDICES  
 
                      
 
 
 
 
Project: Development of Hydrological Design Aids (Surface Water) under HP-II
Document: 2009097/WR/REP-02 July 2010
State of the Art Report Revision: R0
1 WATER RESOURCES
Appendix A Step-by-step guide to extending
hydrological data
There follows a step-by-step guide that has been produced in the UK based on the available data and
methods described above. Two methods, which could be used for extending hydrological data series
using the reconstructed data series and undertaking water resource modelling, are described below:
• Method 1: River flow reconstruction from climate time series. Where hydrological models are
already available it may be desirable to use these for producing simulated river flows and use as
input for water resource modelling. Where hydrological models are not readily available new
rainfall-runoff models could be set up using for example the statistical rainfall-runoff model used
by Jones (Wright 1978) or other models such as Catchmod. This will however require model
calibration/validation that must pay particular attention to both the model fit for low flows and
also model behaviour during extended dry periods. Developing such models for complex
catchments affected by artificial influences can be labour intensive and may only be warranted in
systems that are shown to vulnerable to extended droughts.
• Method 2: River flow reconstructions from other river flow series. A simpler approach is to
develop river flows series for use in water resource models directly from other reconstructed
monthly river flow records where available, using regression methods. River flows from the
nearest gauge with similar hydrological and hydro-geological settings can be used along with
factors or regressions to hind-cast monthly flow records.
Both methods may require conversion from the monthly to daily time scale for use in water resource
models. However, it has been shown (Wade et al., 2006) that simple monthly water resources models
can mimic system behaviour and use of these models may be favourable for drought sensitivity or
vulnerability analysis as opposed to the more labour intensive route of statistical re-sampling methods
to derive daily data.
The two methods are described in a step-by-step manner below.
Method 1: River flow reconstruction from climate time series
Method 1 assumes the use of reconstructed climate series (areal rainfall and ET) for the 15 catchments
in Figure 3.1 and #table 3.5 and rainfall-runoff models. The method involves the following steps:
1. Identify the nearest donor catchment with similar climatic conditions from Table 3.5. Areal
rainfall records can be checked against the donor site using cumulative mass plots and double-
mass plots for the overlapping period with a view to developing regressions. The baseflow index
is an appropriate indicator of catchment similarity along with comparison of catchment climate
data.
2. Calculate monthly rainfall back in time based on regression relationship (or anomaly
approach) between existing and donor catchment areal rainfall. The development of reliable
regressions requires a fairly large overlap between data series but as most existing rainfall-runoff
models cover the period from around 1920-2007 this includes a sufficiently wide range of
climatic conditions to provide reliable relationships. An alternative method to using a set of
monthly flow regressions (as described above) is using monthly factors that describe the
anomalies or deviations away from average rainfall (e.g. 1961-1990). This could potentially
provide more accurate hind-casting in situations where the overall monthly correlations and
regressions are weak. An appropriate assessment of goodness of fit is required to demonstrate the
validity of which ever method is used.
3. Select modelling approach: i) conceptual (monthly or daily); or, ii) statistical (monthly or
daily with flow re-sampling) and prepare rainfall and PET series.
Project: Development of Hydrological Design Aids (Surface Water) under HP-II
Document: 2009097/WR/REP-02 July 2010
State of the Art Report Revision: R0
2 WATER RESOURCES
a. Produce rainfall time series. Depending on the overall aims and objectives of individual
projects conceptual or statistical models may be used. A range of conceptual models exist from
daily rainfall-runoff models to simple monthly recharge models (e.g. Wade and Vidal, 2007;
Moore et al., 2007; Jones et al., 2006; UKWIR, 1997; Bloomfield et al., 1997).
b. If a daily model is selected convert monthly rainfall to the daily timescale using a re-
sampling technique. Daily rainfall sequences are selected from either the donor record or
existing record by identifying the month with the closest total rainfall and taking the daily
values for this month. A daily time series is then constructed which uses daily values from
different months and years. A simpler method would be to do the re-sampling based on
seasonal or annual rather than monthly totals. Particular care must be taken using such
techniques as the re-sampling procedure may have a large impact on results, introducing bias
(for example if the same daily pattern was selected repeatedly) and additional uncertainties.
With a sufficient number of years, repeated re-sampling of the same data is unlikely.
c. Produce monthly potential evaporation time series. Monthly potential evaporation has not
previously been extended back in time due to very limited data availability; average monthly
long term average (LTA) values have been used instead which has been shown to be adequate
for the 19th
and 20th
century. Alternatively PE can be calculated from air temperature using
different methods, the most commonly used being the Oudin formula or Penman equation.
Monthly temperature data before 1914 are available from the Met Office at Southampton,
Oxford, Bradford, Sheffield and Ross-on-Wye and the use of the widely researched CET record
is appropriate for most applications.
4. Use reconstructed rainfall and monthly evaporation in rainfall-runoff models for producing
modelled river flows. Extend input data series for existing (or new rainfall-runoff models) in
order to produce river flow series. Calibration and validation will be necessary if new rainfall-
runoff models need to be developed. The modelled river flows are then naturalised for use in
water resource modelling.
A monthly conceptual or statistical model may be appropriate for many applications, e.g.
estimating changes in recharge. As noted in Jones et al. (2006), a re-sampling technique can be
used to estimate daily flows for the purposes of water resources modelling. In some cases, such as
upland reservoirs or natural lakes the daily re-sampling procedure may have a significant impact
on results, in a similar way to rainfall re-sampling procedures.
5. Use modelled monthly or daily river flows in water resource modelling (DO assessments and
Levels of Service). Re-constructed naturalised monthly or daily flow series are prepared from the
rainfall-runoff model results and used as input for water resource models.
Method 2: River flow constructions from other river flow series
Method 2 makes direct use of the reconstructed river flow series for the 15 catchments in Figure
3.1 and Table 3.5 and includes the following steps:
1. Identify the nearest donor catchment with similar hydrological properties from Table 3.5.
Simple checks on soil properties and base flow component can initially be performed using the
National Soil Resources Institute web-site (Landis web-site http://www.landis.org.uk/gateway)
and the Hydrometric Register and Statistics 1996-2000 (CEH, 2003). Comparisons of flow
duration curves and cumulative flows for existing records and the donor site for the overlapping
time period are also useful for establishing similarities.
2. Calculate monthly river flows back in time based on regression relationship (or anomaly
approach) between existing and donor river flows. The development of reliable regressions
(based on the full log-transformed flow series, monthly series or flow duration curves) requires a
fairly large overlap between data series but as most existing water resource models cover the
period from around 1920-2007 this includes a sufficiently wide range of hydrological conditions
to provide reliable relationships. An alternative to using regression is to develop monthly factors
or anomalies expressed as a percent change, stdev or z score deviation from the 1961-1990
Project: Development of Hydrological Design Aids (Surface Water) under HP-II
Document: 2009097/WR/REP-02 July 2010
State of the Art Report Revision: R0
3 WATER RESOURCES
average. This may be more reliable for hind-casting in situations where the overall flow
correlations are weak.
3. Convert monthly flows to the daily timescale using re-sampling if daily flows are required
for water resource modelling. Daily flow sequences are selected from either the donor record or
existing record by identifying the month with the closest total river flow and picking the daily
values for the month. A daily time series is then constructed which uses daily values from
different months and years. A simpler method would be to do the re-sampling based on seasonal
or annual rather than monthly totals which could potentially produce a more consistent flow
records. Care needs to be taken as noted above.
Use reconstructed monthly or daily river flows in water resource modelling (DO assessments and
Levels of Service). Reconstructed naturalised monthly or daily flow series are prepared and used as
input for water resource models.
Project: Development of Hydrological Design Aids (Surface Water) under HP-II
Document: 2009097/WR/REP-02 July 2010
State of the Art Report Revision: R0
4 WATER RESOURCES
Appendix B Snow melt model summaries
This section contains detailed descriptions of the main snow melt models and a comparative table of
their input data requirements and other general features.
B1 SSARR – STREAMFLOW SYNTHESIS AND RESERVOIR REGULATION
MODEL
This model was first developed in 1956 to meet the particular conditions of the mountainous Pacific
Northwest of the United States of America. The model produces streamflow, snowline elevation and
soil moisture status information.
Snowmelt is calculated using either (i) the temperature index method, or (ii) the generalized snowmelt
equations for partly forested areas. As the generalized equations require more data, they are unlikely
to be appropriate for the regions of India with restricted data availability. The temperature index
method is often used for daily forecast operations however and could be used in a wide range of
Indian contexts.
Temperature Index Method
Temperature station data for the watershed under consideration are weighted according to their
location and then averaged for the time period. The average elevation of the stations is also calculated
and the average weighted temperature is then lapsed from this elevation to provide a temperature for
each snowmelt zone. The snowmelt zone is defined by its mean elevation and is the vertical region
below the melting elevation and above the snowline.
Melt rates can be specified for each day of the simulation as this best represents variation throughout
the snowmelt season. Alternatively, melt rates can be specified at key points in the season and
interpolated for the periods in between.
Generalized snowmelt equations
The equations are based on an energy budget approach. The precise equation to be used depends on
the percentage of forest cover in the watershed, and further takes in to account:
• Wind velocity
• Snow surface albedo
• Proportional cloud cover
• Exposure to shortwave radiation
• Convection-condensation melt factor
• Solar radiation
• Difference between air temperatures at 3m and snow surface
• Difference between dew point temperatures at cloud base and snow surface
Model options
The model includes two options for representing the snowpack characteristics in a catchment.
Snow cover depletion option
Snow cover (as a percentage of the watershed’s total) is expressed as the percentage of total seasonal
runoff already generated. This relationship is found to be reasonably uniform for both different
watersheds and different years.
This option offers the possibility of two approaches: single watershed or split-watershed. The single-
watershed approach is usually best for early melt-season calculations where high proportional rainfall
runoffs are generated due to ground saturation. The split-watershed approach can be useful for
representing differences in runoff processes between snow-covered and snow-free areas as the melt
season progresses and some of the watershed’s ground begins to dry.
Project: Development of Hydrological Design Aids (Surface Water) under HP-II
Document: 2009097/WR/REP-02 July 2010
State of the Art Report Revision: R0
5 WATER RESOURCES
Snow band option
This option involves subdividing the watershed into elevation bands to allow for a better quantitative
appraisal of a snowpack. This is particularly suitable where snow depth increases with elevation.
Each band is effectively treated as a separate watershed which is either 100% snow-covered or free of
snow. As each watershed has different characteristics, rainfall may occur over one band while snow
simultaneously accumulates on another and melts on yet another.
Snowpack condition
A snowpack conditioning routine computes the cold content and the liquid water deficiency of the
snowpack. While the snowpack remains deficient of liquid water, runoff cannot occur to the soil
system.
Cold content accumulates while the air temperature is below zero degrees and depletes in the presence
of liquid water from snow melt or rainfall. The liquid water deficiency is specified as a percentage of
the water equivalent of the snowpack of the order of 2-5 percent.
The SSARR model is used in the Columbia River basin for operational forecasts, and studies of
various rivers around the world, including the Mekong (Rockwood, 1968).
B2 SNOWMELT RUNOFF MODEL (SRM)
The SRM model simulates or forecasts daily streamflow and seasonal runoff volume in basins where
snowmelt is a major runoff contributor, although it has been shown that the dominance of snow melt
is not the most important factor. It was developed by Martinec (1975) for small European basins, but
has since been tested in a wide range of basins, including larger basins. Recently the model was used
to simulate runoff in the Ganges basin, demonstrating the model’s applicability to large basins with
extreme elevation ranges (Martinec et al., 2008). A table is shown by Martinec et al. (2008) listing
over 100 basins internationally where the model has been independently tested, including details of
the model efficiency and volume balance achieved. The model requires division of the watershed into
elevation zones with specific model variables and parameters applied to each one to calculate runoff.
It is now possible to employ up to 16 elevation zones.
SRM makes use of remote sensing satellite data and digital terrain models. Snowmelt and rainfall
runoff from the model is added to the recession curve of streamflows to give the combined flow
prediction. The recession curve is unique to a particular basin and is derived from historical periods
when snowmelt and precipitation can be neglected
SRM uses degree-days as an index of the complex energy balance which dictates snow melt rates. The
base temperature above which melting at degree-day rates is assumed to occur is 0°C. Where hourly
temperature data are available, then the degree days for the 24-hour period are calculated by summing
hourly temperatures and dividing by 24. Degree days are further extrapolated to each elevation zone
using an appropriate lapse rate – these can be adjusted for monthly variations throughout the year and
specific to the region being studied.
Whether precipitation falls as rain or snow is decided on the basis of a critical temperature, which can
vary between watersheds. It is important to differentiate between the two because runoff from rainfall
occurs immediately, whereas snowfall leads to a delayed runoff response as the degree-days
accumulate.
Daily snow cover values are taken from depletion curves compiled preferably from satellite imagery,
but otherwise from ground observations and aerial photography. The snow cover values derived from
satellite or other remote sensing data replace the need to model snowpack development explicitly –
accumulation and depletion in terms of SWE for example.
Actual discharge data can be used to update the model every 1-9 days in its forecasting mode. Runoff
coefficients can also be changed every 15 days in the model and are usually higher for snowmelt than
for rainfall due to the assumption that ground below snowpack is saturated. Changes in the vegetation
Project: Development of Hydrological Design Aids (Surface Water) under HP-II
Document: 2009097/WR/REP-02 July 2010
State of the Art Report Revision: R0
6 WATER RESOURCES
cover and soil moisture are generally the factors which would cause changes in runoff coefficients
throughout the year.
Time lag correction factors are used to account for the fact that different elevation zones vary in their
distance from the watershed outlet and in how they change through the snowmelt season in terms of
snow distribution
Model inputs
Basically, SRM requires temperature, precipitation and snow covered area data as inputs, which are
relatively simple. The challenge for using SRM as a forecasting tool is the forecasting of these input
variables for the model.
The development of a model is made much more efficient by the availability of a digital terrain model
(DTM) which facilitates delineation of elevation zones and development of elevation-area curves
(Figure 1). These curves are used to define a mean elevation for each zone as the point above and
below which the area is equal. The mean elevation is then the elevation to which temperature station
data are extrapolated using the lapse rate, to be applied in the model as representative of the whole
elevation zone.
Figure 1 Elevation-area curve used for defining the mean elevation
Temperature and precipitation can both be entered either on a basin-wide or a zone specific basis.
Where zone specific data are to be entered but gauging stations are limited, appropriate extrapolation
should be carried out to scale the inputs. This is recommended, particularly in basins with large
altitudinal ranges.
Whether precipitation falls as snow or rain will depend on a defined critical temperature which is
compared to the temperature at the mean elevation point defined for each elevation zone at the time of
Project: Development of Hydrological Design Aids (Surface Water) under HP-II
Document: 2009097/WR/REP-02 July 2010
State of the Art Report Revision: R0
7 WATER RESOURCES
precipitation. The model treats precipitation falling as snow differently from that falling as rain,
producing runoff immediately or delayed by the degree day melt factor.
Temperature lapse rates and critical temperatures can also be defined by whole basin or elevation
zones.
Depletion curves must also be developed to define continuing snow covered area as the model
proceeds.
Model outputs
The model can be run in simulation or forecasting modes. The simulation mode can be used to
establish discharge series in ungauged basins or to predict the accuracy of forecasts.
The model is reported to work well for mountainous basins up to 4000km2
in area, but accuracy
decreases where large amounts of rainfall occur during the snowmelt season.
Automatic adjustment of parameters is carried out even without updating with actual streamflow
measurements
The SRM has been used in many studies world-wide - Martinec et al. (2008) gives associated Nash-
Sutcliffe model efficiency and runoff volume prediction success as a percentage.
B3 UNIVERSITY OF BRITISH COLUMBIA (UBC) WATERSHED MODEL
This model was developed to be applied to data scarce mountainous regions and therefore
theoretically appropriate for those watersheds in India where data is limited. In addition to calculating
the total runoff from rainfall and snowmelt, it is possible to run a separate calculation for runoff from
glaciated areas.
This model requires the watershed to be divided into elevation bands of equal interval but which can
have different areas assigned.
Data from a maximum of three stations can be used and must be distributed from point sources to the
mid-elevation of the elevation bands. A lapse rate approach is employed for temperature assignment
whereas precipitation is distributed using an orographic factor.
The form which precipitation takes in each elevation band is controlled by three logical statements
based on temperature, which is usually the mean daily temperature for the band.
The UBC model similar to the SSARR model, has two options for snowmelt calculation:
1) Energy budget approaches which can be used either when only temperature data is available, or
when more detailed radiation, albedo and wind data are available.
2) Degree-day approach, specifying snowmelt for forested and open areas.
In the simplified energy budget approach, the cloud cover and wind values are estimated with
reference to temperature while the albedo is estimated by a simple decay equation taking into account
the time since the last fresh snowfall. These relationships were developed using Snow and Ice
Hydrology Project (SIHP) data gathered in the Himalaya and USACE data from Central Sierra
studies. This simplified approach is likely to be useful in a restricted data Indian context as long as
parameter estimates prove to give reasonable discharge estimates.
There are two ways of snow budgeting in the UBC model:
1) block budgeting,
2) wedge budgeting
The difference between the two budgeting methods is where the snow is assumed to accumulate. For
block budgeting it is assumed to accumulate at the mid-elevation of each band, where all calculations
Project: Development of Hydrological Design Aids (Surface Water) under HP-II
Document: 2009097/WR/REP-02 July 2010
State of the Art Report Revision: R0
8 WATER RESOURCES
are carried out. For wedge budgeting the snow depletion is represented as a gradual snowline
recession from the bottom to the top of the elevation band.
Snowpack conditioning and evaporation routines are included in the model.
Distribution of snowmelt and rainfall runoff
A priority system is used to subdivide the total runoff input to each elevation band. Each component
of runoff is delayed by a certain amount before reaching the outlet of the watershed.
First priority is a rapid runoff component, which is generated from areas assumed to be impermeable.
The proportion of the watershed which is considered impermeable can be varied according to soil
moisture deficit.
For any runoff to occur other than the rapid runoff component, the soil moisture storage must be full.
Second priority is given to soil moisture and actual evapotranspiration calculation.
Ground water percolation is third priority and this water is divided between upper ground water and
deep zone ground water in specified proportions. A limit is also specified on the amount of water
which can be accepted by the ground water. Any water beyond this limit is fed into the fourth priority
– interflow.
Interflow is represented as a storage reservoir in the model, receiving excess flows and releasing a
certain proportion every day. A convolution is applied to the water leaving the reservoir so that it does
not appear immediately at the watershed outlet.
The UBS Watershed model has been applied to catchments ranging in size from a few hundred square
kilometres up to several thousand square kilometres, including mountainous and plateau regions.
Significantly for the Indian context, the model has also been tested for a few Himalayan watersheds –
specifically the Saltuj watershed, which is a main tributary of the Indus (Quick & Singh 1992).
The high variability in the precipitation, which is one of the characteristics of Himalayan watersheds,
makes watershed modelling complex. The snowmelt estimates and observed streamflow are used in
combination to determine precipitation gradients and representative factors. These analyses indicate
large variation in precipitation at high elevations and emphasized the hydrological importance of these
high mountain regions which play a significant role in snowmelt and glacier melt runoff.
The flow estimates for the watershed when split into sub-basins are compared with the results
calculated for the same total area treated as single watershed, and this comparison indicates that better
results are obtained by calculating and optimizing each sub-basin separately and then combining the
results. This conclusion will be true for simulation of forecasting of streamflows when the individual
sub-basins have a different hydrological behaviour and when the difference in the behaviour can be
adequately described by the available meteorological data base. It is suggested that sub-basins having
different precipitation distribution must be optimized individually and then results should be
combined for better accuracy of runoff simulation.
B4 PRMS – PRECIPITATION-RUNOFF MODELLING SYSTEM
This model was developed by the US Geological Survey for the Rocky Mountain region using a
32km2
forested watershed in Colorado (Leavesley, 1973). It has been applied as a short- and long-
term forecasting tool. It does not require extensive data inputs, so could be readily used in a wide
range of Indian contexts.
The model uses ‘homogeneous response units’ (HRU) to represent spatial and temporal variations in
the watershed in terms of physical attributes, hydrology, climate and system response. HRU’s are
defined on the basis of slope, aspect, elevation, vegetation type, soil type and snow distribution. It also
splits the snowpack into two layers for snowmelt calculation – the near surface few centimetres, and
the remainder of the snowpack below.
Temperature distribution
Project: Development of Hydrological Design Aids (Surface Water) under HP-II
Document: 2009097/WR/REP-02 July 2010
State of the Art Report Revision: R0
9 WATER RESOURCES
Maximum and minimum daily temperatures are adjusted using a monthly lapse rate and the difference
in elevation between the meteorological station and each HRU.
Precipitation distribution
The calculation of precipitation distribution is somewhat complex. At its simplest, the minimum and
maximum temperatures are referenced to a critical temperature, so that:
If Tmax < Tcrit, then all precipitation is snow
If Tmin ≥ Tcrit, then all precipitation is rain
A more complex algorithm is used to calculate the percentage of rain where a mix of rain and snow is
indicated.
The algorithms above can be overridden if the maximum temperature exceeds a user-determined
value for the corresponding month, making all precipitation rain. Alternatively, if the actual form of
precipitation is known to be predominantly rain or snow, then the date of this event can be used as an
input to the model.
Where gauge data are available for an HRU, correction factors (specifically for rain or snow and the
particular HRU) will be applied. These correction factors will be determined from multiple
precipitation stations within a watershed or region. Snow course data can be used once a year to
update accumulated snowpack depth for each HRU.
Snow melt computation
An energy balance approach is utilised, which requires a range of data inputs:
• Shortwave radiation on an HRU
• Vegetation transmission coefficient
• Albedo of snow surface
• Observed shortwave solar radiation on horizontal surface
• Potential solar radiation for slope and aspect of the HRU
• Potential solar radiation for horizontal surface
• Net precipitation
• Precipitation temperature
The energy exchange is calculated twice daily – once for 12 hours of day time and once for 112 hours
of night time.
Snowpack conditioning
When the energy balance of the snowpack is calculated to be negative and the surface temperature of
the snowpack is 0°C, then a conduction equation is used to compute the change in temperature of the
bulk of the snowpack. Where the surface temperature is 0°C and the energy balance is positive, then
the excess energy is used to melt snow and infiltrate the snowpack, first satisfying cold content, and
then liquid water holding capacity. Any excess water after this stage is routed as runoff.
Runoff generation
Runoff calculation is based on ratios of soil water stored to the maximum soil storage available and
the area contributing to surface runoff, for each HRU. These are all defined by the user.
All snow melt is assumed to infiltrate, filling a soil storage reservoir. When this reservoir becomes
full, infiltration capacity is limited and the excess water becomes surface runoff. Additional water in
the soil storage reservoir moves to subsurface and groundwater reservoirs.
No channel routing component is included in this model, which could limit its applicability to larger
watersheds like many of those found in India. The maximum size of watershed to which this model
has been applied is a few hundred square kilometres. The model is able to provide information for the
entire watershed under consideration or for individual HRUs within the model.
Project: Development of Hydrological Design Aids (Surface Water) under HP-II
Document: 2009097/WR/REP-02 July 2010
State of the Art Report Revision: R0
10 WATER RESOURCES
The PRMS has been used in the US in Rocky Mountains watersheds with an area of 10 square
kilometres up to several hundred square kilometres.
B5 HBV MODEL
This model was first developed by the Swedish Meteorological and Hydrological Institute for
Scandinavian catchments. It has since been developed for application to glacierized catchments. It
started out as a simplified and lumped hydrological model but due to various developments can now
be considered a distributed model.
The model has three main components:
1) A degree-day approach to snow accumulation and melting in discrete elevation zones
2) A soil moisture accounting routine
3) A runoff generation routine
Two simple equations are used to calculate snow melt and refreezing of liquid water in the snowpack.
When applying the model to large watersheds, it is normal to divide the watersheds into smaller sub-
basins by geographical and physiographical characteristics. Each submodel is then divided into
elevation bands with its own weightings for precipitation and temperature readings from the gauging
stations available. These submodels can be used to separate areas above and below the tree line or to
isolate a lake.
Runoff from the snowpack cannot occur until the liquid water holding capacity is satisfied. All the
subsequent runoff enters the soil moisture accounting routine. Rain falling on the snowpack is treated
the same way as melt water from the snowpack, and the energy contribution of the rain is neglected.
Heat sources such as the ground and frozen soil are also not modelled explicitly.
The distribution of precipitation and temperature is very simple by comparison with the PRMS
Model. A standard lapse rate is used for variations with altitude and a critical temperature separates
areas of snow or rain. A precipitation lapse rate (in percentage increase /100m) is used below the tree
line, as defined by the best available evidence. Above the timberline this precipitation lapse rate isn’t
used, but precipitation is distributed statistically as snow drifts and non-snow drifts, using a variable
snowfall correction factor. Below the tree line, areas which are forested or open are assigned different
snowfall correction factors and degree-day factors, which produces a variable snowpack.
The ease of use of this model has increased with the introduction of more reliable routines for
automatic model calibration (Lindström, 1997).
HBV has been used frequently for free simulations of ungauged catchments and up to 400 catchments
in Sweden are currently modelled in this way. It is clear after years of experience that
modelling/forecasting without calibration is better than no modelling at all.
The HBV is used in Norway by hydropower companies, in Finland by water authorities, and
reportedly in over 200 basins internationally (Ferguson, 1999).
B6 PREVAH – PRECIPITATION-RUNOFF-EVAPOTRANSPIRATION-HRU
MODEL
The PREVAH model is a recent development based on the HBV model and is specifically designed
for mountainous basins with complex topography. It comprises a number of component software
programmes for various pre-processing tasks, running the model and interpreting results. It has been
tested in a small number of basins (Switzerland, Austria, China, Russia and Sweden) and although it
has not yet been used operationally, it is widely used at Swiss universities and soon to be used
operationally in addition to HBV and WaSIM by the Federal Office for Environment (FOEN)
(Helbling, pers. comm.)
Project: Development of Hydrological Design Aids (Surface Water) under HP-II
Document: 2009097/WR/REP-02 July 2010
State of the Art Report Revision: R0
11 WATER RESOURCES
Like HBV, PREVAH splits the catchment of interest into Hydrological Response Units (HRU)
consisting of areas with similar characteristics of elevation, aspect, soil type. In addition, the
PREVAH model contains improvements to the soil moisture accounting and evapotranspiration
scheme, the interception module, the combined temperature-radiation modules for snow- and ice-
melt, distinct glacier storage modules for firn-, snow- and ice-melt as well as a three-compartment
groundwater module.
The model is able to discriminate not only between rain and snow, but between mixed events, dictated
proportionally across a range which is defined about the critical temperature for precipitation.
The optional glacier module allows the analysis of runoff from three stages of glacier formation –
snow, firn and glacier – each with its own storage.
Three types of input data are required to run PREVAH:
1) Physiographical information about the basin to facilitate definition of Hydrological Response Units
(HRU) This information is pre-processed by one of the software components
2) Meteorological inputs: these will be much more complex if the Penman-Monteith method of
calculating evapotranspiration is used. If another method is selected, then the data inputs will be
significantly reduced in both quantity and temporal resolution.
3) A control file is produced containing the configuration of PREVAH’s ‘tuneable’ model parameters
which control the various sub-models. This also contains details about the range of HRUs and model
settings.
An automatic calibration tool is included of the interactive global search algorithm type. This has
been shown to produce a high degree of stability and representativity for catchments with widely
varying characteristics.
Limitations exist for small catchments (<10km2
) because of runoff process description, direct routing
of flows from HRUs to catchment outlet and hourly time-step. For catchments of large size
(>1000km2
), the model should be composed of sub-units linked by a routing scheme and thereby
adding to the complexity somewhat. Arid and semi-arid areas are also not very well catered for as
there are no specific process descriptions in the model.
Project: Development of Hydrological Design Aids (Surface Water) under HP-II
Document: 2009097/WR/REP-02 July 2010
State of the Art Report Revision: R0
12 WATER RESOURCES
Table 1Comparative table of Snowmelt models
Model
SSARR -
Temp
Index
method
SSARR -
Energy
Budget
method
SRM UBC PRMS HBV SnowSim PREVAH HEC-1F SLURP SNOW-17
Spatial type
(Dist/Semi-
Dist/Lumped)
Lumped OR
Semi-Dist
Lumped OR
Semi-Dist
Semi-Dist Semi_Dist Lumped OR
Dist
Dist Semi-Dist Semi-Dist Semi-Dist
Model type
(Emp/Con/Phys)
Con Con Phys Con Con Con Con Con
Model elevation
bands
Y Y Y Hydrologica
l Response
Units
Hydrologica
l Response
Units
100m Hydrologica
l Response
Units
10 per sub-
basin
Aggregated
Simulation
Areas &
land classes
Typically 2
or 3
elevation
zones
Temperature-
index / Energy
budget
Temp Energy Temp Temp Energy Temp Temp Temp Temp/Energ
y (rain-on-
snow)
Temp or
combined
Temp-
Energy
Temp
Accounting for
glaciers
Not
explicitly
but possible
to adapt
model use
for this
Y (optional) Y Y -
separates
firn/ snow/
ice into
separate
reservoirs
Snow/Rain
partitioning
Threshold
temperature
All snow <
0°C, All rain
> 2°C and
linear
interpolation
between
Y - using a
boundary
temperature
and a range
where
proportional
mixing
occurs
3 methods -
critical
temp, rain-
snow
elevation
time series
(requires
elevation-
area
relationship)
, decimal
fraction time
series
Project: Development of Hydrological Design Aids (Surface Water) under HP-II
Document: 2009097/WR/REP-02 July 2010
State of the Art Report Revision: R0
13 WATER RESOURCES
Model
SSARR -
Temp
Index
method
SSARR -
Energy
Budget
method
SRM UBC PRMS HBV SnowSim PREVAH HEC-1F SLURP SNOW-17
Strengths Suitable to a
wide range
of basins,
Flexible in
time step
and basin
size
Suitable to a
wide range
of basins,
Flexible in
time step
and basin
size
Primary
requirement
is snow-
covered area
data - can be
satellite,
aerial or
ground
survey -
well suited
to situation
where this is
only
available
data,
Temperature
lapse rate is
input as
variable
time series,
Degree-day
factor input
as variable
time series
HRU
disaggregati
on by GIS
more
practical,
Multipurpos
e model for
stormflow
hydrographs
and long
term
simulations
of mean
daily runoff
from snow
melt, Well
suited to
short-term
forecasts (3-
5 days) of
mean daily
discharge
Applied to
seasonal
snow zone
(900-
2000m)
above is
perennial,
below is
temporary
snow
Follows
HBV model
structure - is
process
oriented,
Developed
specifically
for
mountainous
areas with
complex
topography
No limit to
number of
sub-basins,
can be
applied to
any kind of
basin,
specialised
for
forecasting
More
complex
than most
degree-day
methods,
Uses
precipitation
catch factor
to account
for gauge
deficiencies,
Uses more
energy
based
approach
but with
assumed
variable
values/para
meters for
rain-on-
snow
melting,
Uses
seasonal
melt factor
adjustment
to account
for solar
radiation
and albedo
fluctuations
- old/dirty
snow
Project: Development of Hydrological Design Aids (Surface Water) under HP-II
Document: 2009097/WR/REP-02 July 2010
State of the Art Report Revision: R0
14 WATER RESOURCES
Model
SSARR -
Temp
Index
method
SSARR -
Energy
Budget
method
SRM UBC PRMS HBV SnowSim PREVAH HEC-1F SLURP SNOW-17
Free water
capacity
calculation
Snowpack
'ripeness'
date to be
set by user
Y
Cold content
calculation
Y Y N N Y Y
(Refreezing
factor)
N N Y
Weaknesses Does not
deal directly
with
occurrence
of frozen
ground
Does not
deal directly
with
occurrence
of frozen
ground,
Limited to
daily
discharge
calculations,
No soil
moisture
accounting
No soil
moisture or
frozen
ground
accounting
Snow
storage set
to zero at
end of melt
season,
Lowland
weather
station data
extrapolated
to
mountains,
1km2
resolution
grid
calculates
results for
broad area -
average
elevation
could
represent
peaks and
valleys and
different
snow
depths,
seasonal
melt factor
variability in
steps not
Not suitable
for small
catchments
(<10km2),
Not suitable
for
arid/semi-
arid areas,
Little
operational
use -
proposed for
Switzerland,
Complex
pre-
processsing
and data
inputs for
Pen-
Monteith
Evapotran#
No soil or
snowpack
moisture
acounting
routine, no
accounting
for frozen
ground
Seems to
require a lot
of data
inputs and
pre-
processing
to achieve
estimates -
probably not
worth the
effort, Land
classes
require
parameters
such as
mannings n,
infiltration,
soil type,
hydraulic
conductivity
- may need
calibrating
Model must
be properly
calibrated,
underestimat
es major
melt events
due to
abnormal
conditions
which aren't
captured by
model
simplificatio
ns
Project: Development of Hydrological Design Aids (Surface Water) under HP-II
Document: 2009097/WR/REP-02 July 2010
State of the Art Report Revision: R0
15 WATER RESOURCES
Model
SSARR -
Temp
Index
method
SSARR -
Energy
Budget
method
SRM UBC PRMS HBV SnowSim PREVAH HEC-1F SLURP SNOW-17
smooth
Input
s
Physical
data
X X X X X X X X X DEM - lots
of pre-
processing
for ASA
location and
charactersiti
cs
X
Max &
Min Air
Temp
X X X X X X X X X
Precipita
tion
X X X X X X X X X X
Area of
watershe
d
X X X X
Snowlin
e
elevation
X X X X
Discharg
e data
for
results
comparis
on
X X X X X X
Solar
radiation
X X X (for
Penman
Monteith ET
option)
X
Wind
velocity
X X (for
Penman
Monteith ET
option)
Project: Development of Hydrological Design Aids (Surface Water) under HP-II
Document: 2009097/WR/REP-02 July 2010
State of the Art Report Revision: R0
16 WATER RESOURCES
Model
SSARR -
Temp
Index
method
SSARR -
Energy
Budget
method
SRM UBC PRMS HBV SnowSim PREVAH HEC-1F SLURP SNOW-17
Dew
point
temp
above
snow
X X
Dew
point
temp on
snow
X X
Average
snow
surface
albedo
X
Forest
cover
area
X
Snow
water
equivale
nt at
starting
date
X
Glaciate
d area
X
Reservoi
r or lake
area
X
Project: Development of Hydrological Design Aids (Surface Water) under HP-II
Document: 2009097/WR/REP-02 July 2010
State of the Art Report Revision: R0
17 WATER RESOURCES
Model
SSARR -
Temp
Index
method
SSARR -
Energy
Budget
method
SRM UBC PRMS HBV SnowSim PREVAH HEC-1F SLURP SNOW-17
Imperme
able area
in
watershe
d
X
Mean
elevation
X
HRU
slope
X
HRU
aspect
X
Daily
mean
temp
X
Monthly
potential
evaporati
on
X
Soil
water
capacity
X
Runoff
coefficie
nt
X
Relative
humidity
X (for
Penman
Monteith ET
option)
Sunshine
duration
X (for
Penman
Monteith ET
option)
Project: Development of Hydrological Design Aids (Surface Water) under HP-II
Document: 2009097/WR/REP-02 July 2010
State of the Art Report Revision: R0
18 WATER RESOURCES
Model
SSARR -
Temp
Index
method
SSARR -
Energy
Budget
method
SRM UBC PRMS HBV SnowSim PREVAH HEC-1F SLURP SNOW-17
Incomin
g
longwav
e
radiation
Incomin
g and
reflected
shortwav
e
radiation
X
Project: Development of Hydrological Design Aids (Surface Water) under HP-II
Document: 2009097/WR/REP-02 July 2010
State of the Art Report Revision: R0
19 WATER RESOURCES
Appendix C Case studies of snow melt model
application and use
C1 SRM USING MODIS SATELLITE DATA FOR KUBAN RIVER BASIN IN
RUSSIA
Case Study from Georgievsky (2009).
The Kuban River drainage basin amounts to 57,900km2
of which approximately half is relatively flat
lowlands and the other half highlands, up to 5500m. The majority of the basin’s runoff originates in
these highlands. The river itself is 875km long.
This study was prompted by a devastating flood in June 2002 caused by the sudden melting of snow-
cover which had been maintained by a particularly cold spring. The melt was caused by a heavy rain
on snow event.
MODIS data were chosen as the best snow product satellite data based on the following selection
criteria:
• easy and, if possible free, access to the information through the internet;
• high-resolution considering the Kuban river basin size;
• ability to regularly update the database being formed, it is desirable that the remote sensing
information would come from active satellites.
The MOD10A2 product selected provides information on snow covered area every eight days.
It proved possible to identify the unusual snow extent conditions (for the time of year) preceding the
flood of 2002, but this link could not be extended to prediction of more regular flow rates. Attempts
made to correlate the satellite snow cover data directly with inflows to the Krasnodar reservoir proved
unsuccessful – the method was grossly insufficient as a forecasting tool.
The Snowmelt Runoff Model (SRM) was chosen for forecasting in conjunction with the MODIS
satellite data on the basis of its previous widespread global application, proven testing by WMO in its
comparison of snowmelt models, and requirement for snow extent data as a primary input.
The limited period for which MODIS data are available (from 2000 onwards) did not facilitate an
accuracy analysis of longer term forecasting, but SRM proved itself a valuable tool for forecasting
basin discharge 1-7 days in advance. It is also suggested that SRM could be used in this basin for
evaluation of snow water equivalent estimations before the melt period begins. The successful
application of the model to sub-basins with differing characteristics also showed its flexibility.
C2 HBV-TYPE MODEL USING SATELLITE DERIVED SNOW COVERED
AREA (SCA) DATA
Case study from Hans-Christian Udnæs, Rune V. Engeset and Liss M. Andreassen (2002).
HBV is widely used for estimating runoff in Scandinavian catchments, from both snow-covered and
snow-free basins. It is a more general purpose model than SRM in this sense.
Previous work had suggested that incorporation of satellite derived Snow Covered Area (SCA) data in
HBV models led to a decrease in discharge estimation accuracy, although this only applied where
satellite data were used post-calibration. This study aimed to assess whether performance might
increase by using the satellite SCA data at the calibration stage. The HBV model is normally
calibrated against flow data alone.
SCA is predicted by the HBV model as standard, although when calibrated against runoff alone, it is
known to over-predict SCA. This study was an attempt to assess whether the national flood warning
Project: Development of Hydrological Design Aids (Surface Water) under HP-II
Document: 2009097/WR/REP-02 July 2010
State of the Art Report Revision: R0
20 WATER RESOURCES
system for Norway could be improved using Advanced Very High Resolution Radiometer (AVHRR)
satellite data. The SCA data were derived from optical band satellite imagery.
Three catchment areas were selected as test sites, ranging from 268 – 791 km2
. Catchments had
different elevation ranges, mainly located above the tree line, and contained varying percentages of
glaciated area.
The largest floods, which were the focus of this study, normally occur later in the snow melt season in
one of the test catchments because lakes exist which fill with melt water, thereby attenuating early
season flows. Floods generally occur at different times for different elevations and therefore not
simultaneously across the three test catchments. The largest floods in two of the catchments are
usually the result of rain on snow events, whereas in another they seem to result purely from snow
melt.
Model runs using runoff alone for calibration showed large discrepancies between modelled and
satellite observed SCA. This was the case even where runoff was accurately modelled. However,
when SCA and runoff were initially used to calibrate the model, runs showed a better correlation for
SCA but a reduction in the accuracy of runoff predictions. These reductions in accuracy were able to
be overcome by further calibration, leading to a similar performance for runoff but better for SCA.
Inaccuracies in the assessment of SCA from AVHRR optical satellite imagery introduce uncertainty
about the correlation between modelled and imaged SCA. The study suggests that the method used for
deriving SCA is not good enough for most catchments, making use of SCA to update simulations only
worthwhile when there are clearly errors occurring.
C3 LIARD BASIN IN CANADA USING SLURP MODEL
Case study from Ming-Ko Woo and Robin Thorne (2006).
Reanalysis climatic data were used to model snow melt runoff for the Liard basin – a mountainous
basin of 275,000km2
in the Western Cordillera of Canada. The flows of this river were unmodified by
human activities at the time of the study. The results of the study are considered to be relevant to other
large mountainous basins where snowmelt is a major contributor to runoff.
The following data sources were employed for the model simulations:
1) ERA40 – hindcast temperature and precipitation data at 6 hour intervals for 250km grid squares.
2) North American Regional Reanalysis (NARR) – 32km resolution assimilations of observational
data
3) NCEP – National Center for Atmospheric Research (NCAR) global reanalysis data of temperature
and precipitation at 6 hour intervals for 250km grid squares.
Although the were a number of discrepancies between the datasets, these were exploited in order to
investigate uncertainties in snowmelt simulation.
The Liard basin was subdivided into 35 aggregated simulation areas (ASAs) containing a composition
of five land use types: 1) deciduous forest, 2) evergreen forest, 3) mixed forest, 4) water and 5)
tundra.
A simple degree-day method for melt estimation was used rather than the SLURP option of
combining degree-days with radiation. This combination had been shown to only marginally improve
flow simulations (Pietroniro et al., 1997) and over such a large basin the wide variations in radiation
levels would only have introduced increased uncertainty.
Satellite derived snow covered area (SCA) data became available during this study and facilitated
comparison between model outputs and satellite imagery. The functioning of SLURP, based on ASAs
which are either snow-covered or snow-free on a particular day allowed only a very coarse
comparison of snow cover.
Project: Development of Hydrological Design Aids (Surface Water) under HP-II
Document: 2009097/WR/REP-02 July 2010
State of the Art Report Revision: R0
21 WATER RESOURCES
Nash-Sutcliffe efficiencies for prediction of streamflow at the gauged outlet from the River Liard
were 0.6 or higher. Four other gauging stations allowed comparison of streamflow hydrographs at
various points along the river and so with varying drainage areas, from 33,400 – 275,000km2. In
terms of flow timing, the ERA data produced the most satisfactory results. However, volumetrically
this data overestimated from the central basin and underestimated from the lower basin by 12% and
18% respectively. NCEP data underestimated upstream but was compensated for downstream and by
only 8% in each case. From these results the model was clearly demonstrated to be sensitive to input
data.
The reanalysis data are not able to provide detail to the hydrographs produced by the hydrological
model, but do give a good general representation of the pattern of snowmelt generation. This can be
valuable in the context of large basins with sparse data availability.
The authors stated that “Despite several restrictions imposed by the hydrological model and reanalysis
data, together they allow representation of snowmelt sequences on a macro-scale and provide an
approximate delineation of runoff contribution areas in a mountainous complex. When simulated
results are verified by indirect evidence, such as satellite imagery of the changing snow cover and
flow measurements from sub-basins, modelling with reanalysis data offers a viable approach to
estimate discharge from large mountainous catchments in high latitudes.”
C4 COMPARISON OF SNOW-17 CONCEPTUAL INDEX BASED MODEL
WITH SAST ENERGY BASED MODEL
Case study from Kristie J. Franz, Terri S. Hogue, & Soroosh Sorooshian (2008).
SNOW-17 has long been the operational snowmelt model of the US National Weather Service. It is a
conceptual model which employs a temperature index method and requires only temperature and
precipitation data inputs. The Snow-Atmosphere-Soil Transfer (SAST) model uses an energy balance
method and was proposed as a more technologically advanced and up-to-date alternative model.
SAST was chosen as it was easily available and had shown comparable performance to other energy
balance models in previous comparative studies.
The models were assessed for their ability to simulate snow water equivalent (SWE) at a point, basin
average melt and discharge in a set of nested watersheds within the Reynolds Creek Experimental
Watershed (RCEW) in Idaho. The RCEW is characterized as having a semi-arid climate where 75%
of the annual precipitation occurs as snow in the catchment’s higher elevations. The RCEW was
chosen for having a good length of data records (1984-1996) available for all the necessary variables.
Compared to SNOW-17, the SAST model had a tendency to overestimate snow water equivalent to a
greater degree, to begin the melt season at a later date but also to melt the accumulated snowpack
more quickly in spring.
Based on the 13 years of data available for the study, SNOW-17 performed better than SAST for both
the test basins used. Differences in melt patterns and rates accounted for most of the variation in
results.
Significantly large differences in daily and seasonal peak SWE errors occurred where the SAST
model produced minimal melt during the winter and delayed melt in the spring. These were in 4 out of
the 13 years in the East basin and occurred in years classed as both wet and dry in terms of
precipitation. In the same basin SAST predicted faster melt rates and therefore an earlier exhaustion
of snow melt than in SNOW-17.
SAST performed better in the Tollgate basin, but in 8 years of 13 had lower Nash-Sutcliffe Efficiency
scores and larger errors in peak discharge than SNOW-17. In the other five years, the opposite was
true – with SAST achieving equal or higher NSE scores and lower errors in peak discharge.
Project: Development of Hydrological Design Aids (Surface Water) under HP-II
Document: 2009097/WR/REP-02 July 2010
State of the Art Report Revision: R0
22 WATER RESOURCES
Parameters for SNOW-17 which had been calibrated to a nearby basin required little adjustment for
use in this study. The simulations have generally shown that a well calibrated SNOW-17 model is
highly accurate in dry and wet years for both point and watershed scale simulations.
The greater requirement for data in SAST increases the propagation of input uncertainties through to
simulation results. Where biases were applied to input data, the biggest impact was on SWE in late
winter and spring and may well have contributed to faster spring melt rates. Energy balance models
are noted to suffer from feedbacks between errors in SWE and subsequently albedo and the radiation
balance in the model. This will exaggerate either under- or over-accumulation of the snowpack.
SNOW-17 proved slightly more sensitive to biases in temperature data, although this contrasted with
an earlier study which found to the contrary. Both this study and the previous one found wind speed
and radiation forcing to have least impact on the energy balance model.
Complex Interactions between energy balance models and data errors mean that better data are
required to run the energy balance models satisfactorily for operational purposes.
A common trend evident between the two models was the over-accumulation of snow early in the
deposition season. This indicates that errors in temperature and precipitation – the common inputs –
are contributing to the uncertainty in the model predictions. The temperature boundary which defines
whether precipitation falls as rain or snow may also need adjusting in some years where both models
over-predict SWE.
In summary, while the SAST model predicted point- and basin-scale processes as accurately as
SNOW-17 for most years, there is still relatively large uncertainty in the predictive skill of energy
balance models compared to current temperature-index approaches. The remaining challenges to be
addressed before energy balance models could be used operationally include:
• Difficult data error estimation and bias correction due to feedbacks within the models
• Challenging calibration where parameter ranges and sensitivities are not as well understood as
for temperature based approaches
• Inadequate basin-scale hydrological monitoring to provide data sources
C5 COMPARISON OF SRM AND HBV
Case study from Ferguson (1999).
Both HBV and SRM are semi-distributed conceptual models data back to the 1970s, but having been
developed considerably in the light of operational experience in a wide range of contexts since. Both
run at a daily time-step and compute snowmelt individually for different elevation bands. HBV also
allows the division of large basins into split basins either in parallel or in series.
While HBV is a general catchment-scale hydrological model which has been developed to include a
glacier runoff component, SRM includes no explicit accounting for glaciers. SRM was developed
especially as a snowmelt model for Switzerland and has been used successfully in a number of basins
internationally where glaciers are a significant proportion of the total area.
Below are some general features of snowmelt models for which the two models are compared.
Extrapolation of meteorological data
HBV can read data from several meteorological stations and weight them differently for each sub-
basin. SRM would normally use a single station, but can use separate stations for each elevation zone,
and a station may be a previously generated composite of records from several points, possibly to
include a weighting similar to that used by HBV.
Temperature is usually the most important input data for snowmelt models as it is used to dictate both
when melting occurs and in the case of new precipitation, whether it falls as snow or rain. Lapse rates
are usually employed to extrapolate air temperatures in mountainous areas from measurements,
usually at lower elevations. In HBV this lapse rate is fixed during calibration, but the model allows a
Project: Development of Hydrological Design Aids (Surface Water) under HP-II
Document: 2009097/WR/REP-02 July 2010
State of the Art Report Revision: R0
23 WATER RESOURCES
mix of rain and snow fall between defined temperature limits. SRM uses a time variable lapse rate
input, which enables seasonal changes in melt rates to be accounted for.
Precipitation rates must also be extrapolated from measurements at lower elevations, although innate
problems exist with the tendency of gauges to under-measure precipitation as snow. Models such as
HBV which explicitly model the accumulation of snow as well as depletion are especially sensitive to
inaccuracies in precipitation data. This is usually accounted for by a correction factor. SRM
incorporates this factor in its runoff coefficient along with evapotranspiration losses.
Snowpack heat energy balance
AS both HBV and SRM are conceptual- rather than energy balance-type models, they rely on air
temperature to index the energy content of the snowpack as it relates to melting. SRM uses the
degree-day method as a time variable input, whereas HBV uses a fixed value, but can use a different
fixed value for forested areas and glaciers.
Snow cover and depletion
HBV uses an explicit representation of snow cover accumulation and depletion, by taking a snowpack
modelling approach. This originally led to all the snow cover in an elevation band melting at the same
time, but has since been improved to allow for some spatial variation. In contrast SRM relies on snow
extent data, usually obtained by satellite to support its observation and depletion curve method. As
long as snow extent data are available, the crucial data are depletion curves to estimate the evolution
of the snow pack as extent changes. SRM uses modified depletion curves (MDC) in terms of degree
days rather than simply days and this avoids problems with inter-annual variation in melt rates.
Runoff Routing
HBV is characterised as the upper limit of complexity for a conceptual runoff routing model, while
SRM is described as having started life as an extremely simple single linear store with no losses. SRM
has since evolved to include greater complexity including a non-linear store, and runoff coefficients
applied to snowmelt and rainfall volumes which can be varied every 15 simulation days to account for
variation in evapotranspiration losses.
Model calibration and validation
HBV is generally considered to be a model which needs careful calibration due to its relatively
complex processes. A standard procedure can be followed for which parameters to calibrate in which
sequence, although a semi-automated calibration processes is now available. This has proved very
successful so that SHMI which first developed the model now uses it as standard.
SRM is quite different in that it includes far fewer parameters and is more flexible in terms of the
number which are time variable, meaning they don’t need to be fixed by a calibration procedure. The
suggestion is that physically based parameters are used when applying the model to a new catchment,
but it is often necessary to fine tune from default values.
With snowpack modelling such as with HBV, it is useful to employ independent evidence for snow
accumulation and depletion due to issues with precipitation measurements as well as model
calibration, particularly for the critical temperature dividing snow and rain over large areas. Satellite
observation data can be useful in this sense, and although the real issue is assessing snow water
equivalent rather than extent, the former can be derived from the latter effectively.
C6 UBC MODEL IN SATLUJ RIVER IN WESTERN HIMALAYAS
Case study from Singh, P. and Quick, M.C. (1993).
The Satluj River basin is an Indian basin which had recently (at the time of the study) been the subject
of hydrological monitoring improvement. The intention of the study was to assess the performance of
the UBC watershed model for predicting daily streamflow in a basin with very uneven precipitation
distribution, extreme variation in topography and with significant snowmelt runoff in summer. The
Project: Development of Hydrological Design Aids (Surface Water) under HP-II
Document: 2009097/WR/REP-02 July 2010
State of the Art Report Revision: R0
24 WATER RESOURCES
study focussed on the middle part of the basin, being the major contributor of snowmelt runoff. The
elevation range of this area is 1500 – 7026m.Daily simulations were carried out both with the
watershed considered to be a single unit and splitting it into two sub-basins.
UBC is designed for mountainous watersheds and calculates the combined runoff from rainfall and
snowmelt, as well as separately calculating glacier melt runoff.
This study was carried out using three years of daily streamflow data from Nimgia and Rampur
gauging stations. All model parameters were held constant and snowpacks were accumulated and
depleted on a daily basis. The model was then split into two sub-basins, facilitated by a streamflow
gauging station at Spiti which allowed checking of data for this lower part of the watershed. Outflow
for the whole basin was calculated by simply adding the flows from the two sub-basins as the channel
routing time was estimated to be 8 – 10 hours.
A comparison of the results from the two approaches indicated that flows in April and May were
underestimated by considering the basin as a single unit. Predictions were better when the basin was
split into two sub-basins. This pattern was repeated for both an unusually low flow period in June of
model year 1988/89 and a peak the following year at the end of June and beginning of July. The
apparent superiority of graphical fits was confirmed by model efficiency as judged by the Nash-
Sutcliffe measure, being 0.06 – 0.09 points higher for all years with the split basin model. The
individual calibration of the sub-basins is thought to account for the improvements due to different
precipitation distributions.
Project: Development of Hydrological Design Aids (Surface Water) under HP-II
Document: 2009097/WR/REP-02 July 2010
State of the Art Report Revision: R0
25 WATER RESOURCES
Appendix D Rainfall-runoff model summaries
D1 PROBABILITY DISTRIBUTED MODEL (PDM)
The Probability Distributed Model or PDM is a fairly general conceptual rainfall-runoff model which
transforms rainfall and evaporation data to flow at the catchment outlet (Moore, 2007). It was
developed by the UK Centre for Ecology and Hydrology.
Figure 1 illustrates the general form of the model. Runoff production at a point in the catchment is
controlled by the absorption capacity of the soil to take up water: this can be conceptualised as a
simple store with a given storage capacity. By considering that different points in a catchment have
differing storage capacities and that the spatial variation of capacity can be described by a probability
distribution, it is possible to formulate a simple runoff production model which integrates the point
runoffs to yield the catchment surface runoff into surface storage. Groundwater recharge from the soil
moisture store passes into subsurface storage. The outflow from surface and subsurface storages,
together with any fixed flow representing, say, compensation releases from reservoirs or constant
abstractions, forms the model output.
Figure 1 The PDM rainfall-runoff model (Moore, 2007)
D2 CATCHMOD
The CatchMOD rainfall-runoff model (Figure 2) consists of a soil moisture and a storage component.
The soil moisture component of the model is a two-store structure based on the Penman empirical
drying curve. This determines how much rainfall becomes direct runoff and how much enters the
storage routing component. The storage routing component determines the nature of the hydrological
response to the effective rainfall with the linear (recharge) store and the non-linear (groundwater)
store.
Project: Development of Hydrological Design Aids (Surface Water) under HP-II
Document: 2009097/WR/REP-02 July 2010
State of the Art Report Revision: R0
26 WATER RESOURCES
Figure 2 The CatchMOD rainfall-runoff model
The CatchMOD rainfall runoff model is well suited to water resources modelling as it can cope with
lengthy records (~50 years) of daily rainfall, PET and flow data. The response of different geological
areas within the catchment is modelled directly, which should enable sensible calibration e.g. slow
response for chalk areas and fast from clay or urban areas. Other data relevant to water resources such
as soil moisture deficit and recharge are calculated by the model and output into the spreadsheet as
tabular data and graphs. It should also be possible to change the code to allow MonteCarlo
simulations for calibration.
The following figures are produced from the CatchMOD model which aid the task of calibration, the
tabular data behind each figure is also output from the model.
Model Fit
0.10
1.00
10.00
100.00
1000.00
Jan70
Jan71
Jan72
Jan73
Jan74
Jan75
Jan76
Jan77
Jan78
Jan79
Jan80
Jan81
Jan82
Jan83
Jan84
Jan85
Jan86
Jan87
Jan88
Jan89
Jan90
Date
Flow(cumecs)
0
20
40
60
80
100
120
140
160
180
200
Rainfall(mm)
Observed (cumecs) Rainfall Series4 Simulated Flow (cumecs)
Figure 3 Simulated flow compared to observed flow over the calibration period
Project: Development of Hydrological Design Aids (Surface Water) under HP-II
Document: 2009097/WR/REP-02 July 2010
State of the Art Report Revision: R0
27 WATER RESOURCES
Observed / Calculated Flow Duration Curves
0.1
1.0
10.0
100.0
0 0.1 0.2 0.3 0.4 0.5 0.6 0.7 0.8 0.9 1
Percentile
Flow(cumecs)
Observed Calculated
Figure 4 Simulated and observed flow duration curves over the calibration period
Volumetric Fit
0
5000
10000
15000
20000
25000
Jan71
Jul71
Jan72
Jul72
Jan73
Jul73
Jan74
Jul74
Jan75
Jul75
Jan76
Jul76
Jan77
Jul77
Jan78
Jul78
Jan79
Jul79
Jan80
Jul80
Jan81
Jul81
Jan82
Jul82
Jan83
Jul83
Jan84
Jul84
Jan85
Jul85
Jan86
Jul86
Jan87
Jul87
Jan88
Jul88
Jan89
Jul89
Jan90
Jul90
Date
Flow(cumecs)
Calculated Observed
Figure 5 Simulated and observed cumulative flows over the calibration period
Project: Development of Hydrological Design Aids (Surface Water) under HP-II
Document: 2009097/WR/REP-02 July 2010
State of the Art Report Revision: R0
28 WATER RESOURCES
These figures enable the simulated flow to be quickly compared to the observed flow in terms of low
and high flows, overall flows and the total flow volume, when calibrating the model. These indicate
whether it is the high or the low flows which need to be changed in calibration. The model also
outputs the flow from each geological area so it is possible to identify the fast and slow responding
areas, which aids the calibration of the baseflow and high flow components of the simulated
hydrograph.
The model also produces an audit trail which displays the objective function values for each
simulation along with the input parameters used in that simulation. This provides a simple method of
tracking the impact of varying input parameters on the goodness of fit to the observed flow, which is
extremely useful when calibrating the model.
Goodness-of-fit Objective Functions Area 1: 0
Slope Pdc Dp D1 D2
Simulation Run Date / Time R2
R2
(Ln) (∑Calc/∑Obs) mm % mm mm
1 28/10/2003 14:20 0.702 #NUM 0.729 0.575 0.3 50 15 0.0000 0.0000
2 28/10/2003 14:26 0.703 #NUM 1.214 0.613 0.3 50 15 0.0000 0.0000
3 28/10/2003 14:43 0.703 #NUM 1.104 0.659 0.3 50 15 0 0
4 28/10/2003 14:47 0.702 #NUM 0.841 0.639 0.3 50 15 0 0
5 28/10/2003 14:51 0.703 #NUM 0.953 0.670 0.3 50 15 0 0
6 05/04/2005 16:16 0.703 #NUM 0.953 0.670 0.3 50 15 0 0
7 05/04/2005 16:33 0.684 #NUM 0.952 0.680 0.3 50 15 0 0
8 05/04/2005 16:36 0.706 #NUM 0.953 0.644 0.3 50 15 0 0
9 05/04/2005 16:38 0.614 #NUM 0.952 0.611 0.3 50 15 0 0
10 05/04/2005 16:39 0.722 #NUM 0.952 0.718 0.3 50 15 0 0
11 05/04/2005 16:43 0.673 #NUM 0.952 0.669 0.3 50 15 0 0
12 05/04/2005 16:45 0.682 #NUM 0.952 0.678 0.3 50 15 0 0
13 05/04/2005 16:45 0.729 #NUM 0.952 0.725 0.3 50 15 0 0
14 05/04/2005 16:47 0.737 #NUM 0.901 0.720 0.3 50 15 0 0
15 05/04/2005 16:48 0.721 #NUM 1.002 0.719 0.3 50 15 0 0
16 05/04/2005 16:54 0.727 #NUM 1.002 0.724 0.3 50 15 0 0
17 05/04/2005 16:56 0.717 #NUM 1.002 0.715 0.3 50 15 0 0
18 05/04/2005 16:58 0.722 #NUM 1.003 0.720 0.3 50 15 0 0
19 05/04/2005 16:59 0.721 #NUM 1.002 0.719 0.3 50 15 0 0
20 05/04/2005 17:02 0.716 #NUM 0.995 0.711 0.3 50 10 0 0
21 05/04/2005 17:03 0.727 #NUM 1.010 0.726 0.3 50 20 0 0
22 05/04/2005 17:05 0.722 #NUM 1.063 0.712 0.3 25 20 0 0
23 05/04/2005 17:12 0.730 #NUM 0.969 0.727 0.3 75 20 0 0
24 05/04/2005 17:13 0.744 #NUM 0.986 0.742 0.3 75 20 0 0
25 05/04/2005 17:14 0.721 #NUM 0.961 0.718 0.3 75 20 0 0
26 05/04/2005 17:15 0.730 #NUM 0.969 0.727 0.3 75 20 0 0
Soilmoisture store parameters
Nash-Sutcliffe
Efficiency
Figure 6 Example of the CatchMOD audit trail
The underlying code is available for the Excel version of the model and in MatLAB.
D3 DATA-BASED MECHANISTIC MODELLING OF ENVIRONMENTAL
SYSTEMS (DBM)
The DBM model involves statistical analysis of the observed data (rainfall and flow) to determine
whether the relationship is linear or non-linear. In this way, the structure of the model is not
predetermined, potentially on subjective judgments made by a modeller but is data-driven. Model
parameters are then estimated using statistical analysis (linear) or numerical optimisation (non-linear).
The model is checked to have a relevance to the physical processes and verified. Because observed
flows are required DBM is most suited to flood forecasting applications. An in depth description of
the model and the process of applying it is available in Young (2001).
D4 HEC-HMS
The HEC-HMS software package, developed by US ACE contains a number of soil moisture models
and a number of routing models for direct runoff and baseflow. The most suitable model is the
continuous Soil Moisture Accounting (SMA) model which is a conceptual model. The other models
are empirical event based models. The SMA model is similar to CatchMOD as it treats the catchment
as a number of storage layers, although it has more layers than CatchMOD. The surface runoff is
calculated using a Unit Hydrograph and the baseflow from two linear stores representing the outflow
from the two groundwater layers (Figure 7).
Project: Development of Hydrological Design Aids (Surface Water) under HP-II
Document: 2009097/WR/REP-02 July 2010
State of the Art Report Revision: R0
29 WATER RESOURCES
Figure 7 Schematic diagram of HEC-HMS
According to the technical manual (USACE, 2000), HEC-HMS provides the following components:
• Precipitation-specification options which can describe an observed (historical) precipitation
event, a frequency-based hypothetical precipitation event, or an event that represents the upper
limit of precipitation possible at a given location.
• Loss models which can estimate the volume of runoff, given the precipitation and properties of
the watershed.
• Direct runoff models that can account for overland flow, storage and energy losses as water runs
off a watershed and into the stream channels.
• Hydrologic routing models that account for storage and energy flux as water moves through
stream channels.
• Models of naturally occurring confluences and bifurcations.
• Models of water-control measures, including diversions and storage facilities.
These models are similar to those included in HEC-1. In addition to these, HEC-HMS includes:
• A distributed runoff model for use with distributed precipitation data, such as the data available
from weather radar.
• A continuous soil-moisture-accounting model used to simulate the long-term response of a
watershed to wetting and drying.
HEC-HMS also includes:
• An automatic calibration package that can estimate certain model parameters and initial
conditions, given observations of hydrometeorological conditions.
• Links to a database management system that permits data storage, retrieval and connectivity
with other analysis tools available from HEC and other sources.
Project: Development of Hydrological Design Aids (Surface Water) under HP-II
Document: 2009097/WR/REP-02 July 2010
State of the Art Report Revision: R0
30 WATER RESOURCES
D5 IHACRES
The IHACRES model (from UK CEH, formerly known as the Institute of Hydrology) is a hybrid
conceptual-metric model, which uses the simplicity of the metric model to reduce the parameter
uncertainty inherent in hydrological models while representing more detail than usual for a metric
model. The model often only requires six parameters, making it easy to apply. It has been used
extensively around the world and is one of the models being used in the Prediction in Ungauged
basins initiative (Littlewood et al., 2003)
IHACRES has a set of functions (soil moisture and temperature for PET) to produce an effective
rainfall that is related to total flow using a general transfer function (Beven, 2001). The effective
rainfall is used as input to transfer function analysis to calibrate the parameters of the complete model.
The transfer function in the IHACRES model is two linear stores in parallel (Beven, 2001). The
model coefficients are the two time constants for the fast and slow stores, the split of effective rainfall
between these stores and the three parameters used to filter the effective rainfall (Beven, 2001).
D6 HYSIM
HYSIM (from the UK’s Water Resource Associates Ltd) is a seven-store conceptual rainfall-runoff
model that can be coupled to a simple hydraulic routing model. Model parameters are related to
physical catchment characteristics, although there are 23 parameters.
HYSIM uses rainfall and potential evaporation data to simulate the hydrological cycle (surface runoff,
percolation to groundwater and river flow) on a continuous basis. Its parameters realistically define
the hydrology and hydraulics of a whole river basin. Such a model is likely to perform well in climatic
conditions more extreme than those in its calibration period
HYSIM can use data on rainfall, potential evaporation (PET), snow melt and abstractions from, or
discharges to, both groundwater and surface water, although only rainfall and PET are essential. Data
can be input at a daily time step or any time step less than a day. Simulations can be run similarly at
any time step up to a day.
The model is flexible in terms of the catchment definition it requires: a river basin can be defined as a
number of sub-catchments and reaches for flow routing can be either channels or reservoirs. Complex
rivers basins (catchments, watersheds) can be simulated as a series of linked sub-basins. To represent
hydrological or climatic variations within a sub-catchment, up to three zones, each with its own
parameters and data, can be defined. Flow routing uses the kinematic method.
Typical uses of HYSIM include:
• Using long-term rainfall and PET data to produce long-term flow records.
• Flow naturalisation.
• Studying the effects of climate change.
• Flood studies.
• Effects of improved drainage.
• Groundwater recharge.
The output from the model includes: overland flow, impermeable area runoff, snow storage, soil
moisture storage, interflow, groundwater recharge, groundwater storage, total surface runoff, routed
flow and actual evapotranspiration. Outputs can be transferred directly into Modflow (as groundwater
recharge) or Isis (as either runoff to channels or routed flow at the upstream boundary).
D7 NAM
NAM (from DHI, the Danish Hydraulic Institute) is a lumped, conceptual rainfall-runoff model for
simulating overland flow, interflow and baseflow as a function of the water storage in each of four
mutually interrelated storages representing the storage capacity of the catchment. NAM allows man-
Project: Development of Hydrological Design Aids (Surface Water) under HP-II
Document: 2009097/WR/REP-02 July 2010
State of the Art Report Revision: R0
31 WATER RESOURCES
made interventions in the hydrological cycle such as irrigation and groundwater pumping to be
investigated.
An auto-calibration tool is available for the NAM to speed up the calibration of a model. The user can
select up to nine different parameters to be included in the auto- calibration and can define
permissible minimum and maximum values for each parameter. Based on up to four objectives (water
balance, overall hydrograph shape, peak flows and low flows), the auto-calibration tool will find the
best fit between simulated and observed hydrographs. A global optimisation routine called the
Shuffled Complex Evolution (SCE) algorithm takes care of the actual parameter optimization.
Typically up to 2000 model evaluations are required to reach a good calibration, and this is usually
accomplished within few minutes.
Figure 8 Schematic representation of processes represented within NAM
The main areas of application of NAM are:
• General hydrological analysis
o runoff distribution
o estimates of infiltration / evaporation
• Flood forecasting
o subcatchment inflow to river model
o links to meteorological models
• Extension of streamflow records
o advanced gap-filling
o improved basis for extreme value analysis etc.
• Prediction of low flow
o for irrigation management
o for water quality control
Project: Development of Hydrological Design Aids (Surface Water) under HP-II
Document: 2009097/WR/REP-02 July 2010
State of the Art Report Revision: R0
32 WATER RESOURCES
D8 SHE
The SHE model was jointly developed by the UK CEH, the Danish Hydraulic Institute, and
SOGREAH (France). SHE is a physically-based, distributed catchment modelling system (Figure 9).
The SHE model splits the catchment into a series of grids that link to river channels. Each grid has a
surface elevation and model components for interception, evapotranspiration, snowmelt and 1D
vertical unsaturated zone flow (Beven, 2001). The grids are linked by 2D surface and groundwater
flow, and flow between the zone components is controlled by internal model boundaries (Beven,
2001).
Figure 9 Schematic representation of the structure of SHE (Abbott et al., 1986)
D9 SWAT
The Soil and Water Assessment Tool (SWAT) model (Arnold et al., 1998) developed by Agricultural
Research Service, Blackland, Texas, USA is a river basin or watershed scale distributed parameter
and continuous time simulation model. SWAT is a distributed parameter model with an Arc View
GIS interface (AVSWAT) / Map Window interface for the pre and post processing of data The
SWAT model has been developed to predict the response to natural inputs as well as the manmade
interventions on water and sediment yields. Rather than incorporating regression equation to describe
the relationship between input and output variables, SWAT requires specific information about
weather, soil properties, topography, vegetation and land management practices in the watershed.
The model can be described as (a) physically based ; (b) uses readily available inputs; (c) is
computationally efficient to operate and (d) is continuous time and capable of simulating long periods
for computing the effects of management changes.
The model has the capability of being used for watersheds as well as major river systems. The
reliable estimates of runoff from ungauged catchments can be made by linking parameter values to
catchment characteristics. The major advantage of the SWAT model is that unlike the other
conventional conceptual simulation models it does not require much calibration and therefore can be
used on ungauged watersheds.
Project: Development of Hydrological Design Aids (Surface Water) under HP-II
Document: 2009097/WR/REP-02 July 2010
State of the Art Report Revision: R0
33 WATER RESOURCES
Appendix E Hydraulic model summaries
E1 INFOWORKS RS
InfoWorks RS (developed by UK’s Wallingford Software, now MWHSoft) combines the ISIS Flow
simulation engine, GIS functionality and database storage within a single environment, bringing
together source data and hydraulic modelling into a single product. InfoWorks allows planners and
engineers to carry out fast, accurate 1D and 2D modelling of the key elements of river and channel
systems, and to view the model data and results in new ways. InfoWorks RS also enables model
management, allowing a full audit trail to be maintained of the modelling process from source data to
final outputs. Data from a wide range of sources can be brought together within the software.
InfoWorks RS includes full solution modelling of open channels, floodplains, embankments and
hydraulic structures. Rainfall-runoff simulation is available using both event based and conceptual
hydrological methods.
Full interactive views of data are available using geographical plan views, sectional view, long
sections, spreadsheet and time varying graphical data. The underlying data can be accessed from any
graphical or geographical view.
Animated presentation of results in geographical plan, long section and cross section views is
standard, including fully dynamic flood mapping, as well as results reporting and analysis using tables
and graphs. The software contains comprehensive diagnostic error checking and warning.
With regards to application of InfoWorks RS to water resources modelling, it has a number of features
that can be used, such as: flow routing components (multiple options) for sparse models (spatial and
temporal); it is able to model looped and branched networks and reservoirs; it has a range of ‘logically
controlled’ objects (such as abstractions, sluice gates, gated weirs) that enable modelling of common
water resource system components.
E2 INFOWORKS ICM
InfoWorks ICM (developed by UK’s Wallingford Software, now MWHSoft) is the latest member of
the InfoWorks family, and is designed as a tool for integrated catchment modelling.
InfoWorks ICM is able to integrate hydrodynamic and hydrological models within its workgroup
management platform to enable completely coupled drainage systems and receiving environments
analysis. InfoWorks ICM provides a new single simulation engine that fully integrates 1D and 2D
simulation of above- and below-ground manmade drainage, open channels, rivers and floodplains.
InfoWorks ICM is able to model manholes, pipes, inlets, natural channels and man-made channels.
The resulting model contains common hydrology and can include both catchment and floodplain data.
This holistic approach to catchment modelling is especially important in the United Kingdom and
across Europe, where legislation and future asset management planning requirements mandate that
planners use an integrated model when considering how to assess the more complex elements of
flooding across an entire catchment.
E3 HEC-RESSIM
HEC-ResSim (from the US Army Corps of Engineers) is a one-dimensional flow routing model
designed for modelling reservoir systems. The model is constructed against a geo-referenced map
background.
In terms of the suitability of HEC-ResSim for water resources modelling, it contains a number of
useful features, such as: flow routing (multiple options) for sparse models (spatial and temporal); it is
able to model seepage losses; it is able to model looped and branched networks and reservoirs; it
Project: Development of Hydrological Design Aids (Surface Water) under HP-II
Document: 2009097/WR/REP-02 July 2010
State of the Art Report Revision: R0
34 WATER RESOURCES
offers monthly and seasonal variation options for modelling flow diverted to reservoirs; the reservoir
unit includes geometric data, outlet structures, evaporation losses and operational rules.
E4 MIKE 11
MIKE 11 is produced by the Danish Hydraulic Institute (DHI). It is widely used around the world for
simulating flow and water level, water quality and sediment transport in rivers, flood plains, irrigation
canals, reservoirs and other inland water bodies. It contains in-built parameter optimization tools
facilitate efficient model calibration and provide uncertainty assessment of results.
MIKE 11 can be linked to other modelling software packages to integrate river and floodplain
modelling with models for watershed processes, detailed floodplain representation, sewer systems and
coastal processes. MIKE 11 offers also links to external groundwater, and is OpenMI compliant.
E5 SOBEK
SOBEK is produced by Delft Hydraulics of Deltares, Holland. SOBEK is a general software package
for the integral simulation of processes in one dimension, i.e. in a river, an estuary, a canal or in a
sewer network. It is used for flood forecasting, optimisation of drainage systems, control of irrigation
systems, sewer overflow design, ground-water level control, river morphology, salt intrusion and
surface water quality. It has been developed jointly with Dutch public institutes and private
consultants.
E6 MISER
MISER (from Tynemarch Systems Engineering) is a decision-support tool for optimal water
management and resource planning. It is able to carry out behavioural simulations, yield searches, it
can use optimisation to maximise yield, and it can generate operational control curves using
optimisation to find minimum sustainable water levels.
E7 AQUATOR
AQUATOR (from the UK’s Oxford Scientific Software Ltd) is a powerful application for developing
and running conjunctive use water resource system models. It can model simple models having just a
few components as well as large, detailed, models comprising many hundreds of components. The
largest river basins in the United Kingdom are modelled using AQUATOR.
Both the natural river system and the water supply network can be modelled. River regulation,
forecasting, travel times, the ability to include catchment (hydrological) models and the differentiation
of river flow at any point into its 'natural', 'cumulative abstraction' and 'release' components are some
of the features available on river networks. On the supply side, water is used to meet demand using an
algorithm that seeks to minimise cost, but preserve the state of resources.
AQUATOR includes the language VBA, which permits the user to make bespoke customisation as
required, or to build AQUATOR into other applications as the water resources input.
E8 SPREADSHEET RESERVOIR MASS BALANCE MODEL
The spreadsheet reservoir mass balance model (from UK’s HR Wallingford Ltd) was designed for
modelling the water balance of reservoirs. It takes into account inputs from rivers, pumped inflows,
losses due to evaporation, water demands, compensation flows, and natural overflows. It is a simple
behavioural model that can also be used for optimisation.
Project: Development of Hydrological Design Aids (Surface Water) under HP-II
Document: 2009097/WR/REP-02 July 2010
State of the Art Report Revision: R0
35 WATER RESOURCES
E9 INTEGRATED SOURCE MANAGEMENT MODEL (ISMM)
The Integrated Source Management Model (ISMM) creates and uses tables of risk and shortfall given
the system status, demand and time of year. ISMM contains a rainfall-runoff model, aquifer model,
catchment land-use change module, climate change module, and an operational cost tracking module.
It is designed for modelling headwater storage systems. The model has four modes: real-time mode
(for short-term forecasts); operational planning mode (for medium to long term implications of
operational and climate change); demand management mode; and yield evaluation mode (to calculate
the system safe yield).
E10 INTEGRATED SOURCE MANAGEMENT MODEL (ISMM)
The Integrated Source Management Model (ISMM) creates and uses tables of risk and shortfall given
the system status, demand and time of year. ISMM contains a rainfall-runoff model, aquifer model,
catchment
 
 
 
 
 
 
CHAPTER 4:  
PROPOSED HYDROLOGICAL DESIGN 
PRACTICES 
Project: Development of Hydrological Design Aids (Surface Water) under HP-II
Document: 2009097/WR/REP-02 July 2010
State of the Art Report Revision: R0
4-1 WATER RESOURCES
4. PROPOSED HYDROLOGICAL DESIGN PRACTICES
4.1 General
Planning, design, operation, maintenance and management of water resource system in a
scientific and effective manner can be achieved only through accurate estimation of water
availability and demand. The volume of data required to be handled and analysed for
planning of water resources development is high since a number of hydrological and
hydro-meteorological parameters are involved. In the Indian context, the information
through data support is quite uneven on both temporal and spatial scale and therefore,
poses difficulty in proposing a uniform and standard hydrological practice for assessment
of water resource. Continous and long series of flow is essential for proper planning and
design of projects on irrigation, hydropower, flood control, water supply, navigation etc.
4.2 Assessment of water resources potential – availability (HDA1)
The proposed model structure for HDA1 will take into consideration the fact that the
methodologies respond to the various data availability scenarios in the Indian context
which are described below:
1. Project site location may be on a first order or higher order catchment. There is
likelihood that the water availability estimation may be partially from gauged
catchment and partially from ungauged catchment.
2. A river basin of interest will be characterized by regulation / pondage structures
located in series or parallel for which an integrated effect of regulation in flow ,
upstream abstraction, irrigation release, return flow, flow diversion, non-consumptive
use, municipal and industrial supply, loss to/contribution from ground water
information are required for developing a discharge series for any new development
work.
3. A gauge data will comprise of either regulated discharge information or unregulated
discharge information or mixed at different time horizon. For any rainfall-runoff
simulation, conversion of regulated flow to virgin flow is required. Similarly, for
simulation of effect of dam / reservoir already in place, transformation of virgin flow
series to regulated flow series is required.
4. Multiple gauge installed on a river at various reaches at different time will have
discharge informations available at different time scale and duration.
5. Effect of rainfall-runoff modeling incorporating catchment landuse factor will pose a
challenge of calibrating with the parameter which is dynamic.
6. Since Geographical Information System (GIS) has become an integral part of any
water resource distribution and management process, the importance of a distributed
model has assumed great importance. Recently CWC has initiated a project on Water
Resource Information System WRIS within the National Water Policy of India, the
details of which are available on website. It is clear from this website that DEM’s and
thematic layers on landuse would be available for watersheds, sub basins and basins. The
other products available are landcover, snow coverage area, surface water bodies. Since
the information system would be available to CWC and states, it is important that the
HDA1 is also designed to use the data available through WRIS in developing design aids.
Project: Development of Hydrological Design Aids (Surface Water) under HP-II
Document: 2009097/WR/REP-02 July 2010
State of the Art Report Revision: R0
4-2 WATER RESOURCES
4.2.1 Criteria with checklist for choosing an established tool
Chapter 2 and 3 provides a comprehensive overview of Hydrological practices and
models in all the three key areas of hydrology. A checklist has been developed to provide
a comparative evaluation of various models discussed under the categories of rainfall-
runoff, system and basin modelling.
Table 4.1 : Checklist Matrix for Rainfall – Runoff Models
PDM
CATCHMOD
DBM
HEC-HMS
IHACRES
HYSIM
NAM
SHE
MWSWAT
ModelE
Water resource agency
similar to CWC which has
adopted the model for
planning and management of
water resource in their
region/country
Y N N Y Y N Y Y Y Y
User friendly preprocessing
and post processing
capability.
N N N Y Y Y N N Y *
An established group
providing technical backup.
N Y N Y N N Y Y Y *
Both the software and
platform in public domain.
N N N Y Y N N N Y -
Widely tested across the
world in semiarid and arid
regions
N Y N Y N Y Y Y Y N
Has the ability to simulate
the desired land use,
disturbance or a climate
change scenario
N Y N N N N N N Y N
Technical documentation,
user manual, input/output
files
Y Y Y Y Y Y Y Y Y Y
Used by government
agencies
N N N Y Y N Y Y Y Y
Widely applied by Indian
research and academic
establishments
N N N Y N N Y Y Y N
* indicate will be developed
Recommended Model – MWSWAT, Hec HMS - SMA and Model E
Project: Development of Hydrological Design Aids (Surface Water) under HP-II
Document: 2009097/WR/REP-02 July 2010
State of the Art Report Revision: R0
4-3 WATER RESOURCES
Table 4.2 : Checklist Matrix for Water Resource System Models
INFOWORKS
RS
INFOWORKS
ICM
HECRESSIM
MIKE11
SOBEK
MISER
AQUATOR
MBModel
ISMM
Water resource agency
similar to CWC which has
adopted the model for
planning and management of
water resource in their
region/country
Y N Y Y N N N N N
User friendly preprocessing
and post processing
capability.
Y Y Y Y N N N N N
An established group
providing technical backup.
N N Y Y N N N N N
Both the software and
platform in public domain.
Y N Y N N N N N N
Widely tested across the
world in semiarid and arid
regions
N N Y Y N N N N N
Technical documentation,
user manual, input/output
files
Y Y Y Y Y Y Y Y Y
Used by government
agencies
Y X Y Y N N N N N
Recommended Model – HEC RESSIM
Project: Development of Hydrological Design Aids (Surface Water) under HP-II
Document: 2009097/WR/REP-02 July 2010
State of the Art Report Revision: R0
4-4 WATER RESOURCES
Table 4.3 : Checklist Matrix for River Basin Models
IRAS
MIKEBASIN
TERRA
WATERWARE
WRAP
Water resource agency similar to
CWC which has adopted the
model for planning and
management of water resource in
their region/country
Y Y Y Y Y
User friendly preprocessing and
post processing capability.
Y Y Y Y *
An established group providing
technical backup.
Y Y Y Y Y
Both the software and platform in
public domain.
Y N Y N Y
Widely tested across the world in
semiarid and arid regions
Y Y N Y Y
Technical documentation, user
manual, input/output files
Y Y Y Y Y
Specific Requirements
Designed for
interdependant
surface
ground water
system
Expensive
licensing
requirement
Applied to
Tennessee river
basin system and
is not designed to
be transferable to
other basins
Expensive
licensing
requirement
Used by government agencies Y Y Y Y Y
* indicate will be developed
Recommended Model – Water Rights Analysis Package WRAP
4.2.2 Recommended Procedures
4.2.2.1 Pre-processing functions
• Aggregation / Disaggregation of Flow Series
• Transformation of non-equidistant to equidistant series
4.2.2.2 Techniques for Filling in Missing data
It is assumed that the data will have undergone the following checks
• Check with respect to recording error (human/instrument) and systematic error
which may come from instrument drift.
• Infill by hand drawn line ‘best fit line’ based on supporting evidence at the site or
a partner site
Project: Development of Hydrological Design Aids (Surface Water) under HP-II
Document: 2009097/WR/REP-02 July 2010
State of the Art Report Revision: R0
4-5 WATER RESOURCES
The following functionalities will be provided for infilling gaps and will be flagged as
‘estimated’
Method Suitability
Interpolation by extending a trend between the
recorded data points either side of the gap e.g.
exponential decay during low flows
Can be used to fill a very shortgap
when a comparative site is available
Simple bridging using a straight line The data series can be expected to behave in a
steady way over the gap. It must not be used
for highly variant time series
Using spline technique to insert a curved line
that can be used for inserting peaks / troughs
Should not be used if it causes a sudden step in
the data which is not typical for the site.
Modeling by precipitation can be used to fill in large gaps where there is a break in a long
record. This will be considered and dealt in a partial data scenario of modeling. Fill in of
short data gap by modeling is not feasible.
4.2.2.3 Consistency Test functions
Precipitation
• Graphical Plot of Data for multiple stations for checking spatial variability
• Double Mass Curve
Discharge
• Graphical Plot of Discharge with time
• Graphical Plot of discharge with respect to any adjacent basin upstream or
downstream (if homogenous) / rainfall
• Residual series plot
• Trend line Plot
• Moving Average
• Flow Mass curve
• Student t – test and f – test
4.2.2.4 Hind-casting of streamflow records where precipitation data is available
Two methods will be used for hind casting
a) River flow reconstruction from climate time series
i. Monthly water balance models using climatic data (monthly precipitation and potential
evaporation) and conceptually describing land phase of hydrological processes.
ii. Calibrating the parameters of these models using short term naturalized flow data and
using these parameters to hind cast the naturalized flow data knowing the climatic
parameters.
Recommended Model – Model E
iii. GIS based semidistributed rainfall-runoff models calibrated using short record and used
to hind cast flows for the period for which hydrometerological data is available for the
given land use pattern.
Recommended Model – MWSWAT
Project: Development of Hydrological Design Aids (Surface Water) under HP-II
Document: 2009097/WR/REP-02 July 2010
State of the Art Report Revision: R0
4-6 WATER RESOURCES
iv. Regression models for developing monthly/ seasonal/ annual relationship between the
concurrent rainfall and naturalized flows and using these models to hind cast flows
knowing earlier rainfall data.
Recommended Model – In-house
b) River flow reconstructions from other river flow series
i. Identify the nearest donor catchment with similar hydrological properties Measures of
comparisons are Common meteorological event, similar catchment area, soil, base flow
etc. for existing records for the sites for the overlapping time period.
ii. Calculate monthly river flows back in time based on regression relationship between
existing and donor river flows. The development of reliable regressions requires a fairly
large overlap between data series.
Recommended Model – In-house
4.2.2.5 Synthetic flow generation
• ACF and PACF Analysis to suggest Parsimonious model using AIC criteria.
• Use the model to generate equally likely sets of data for a duration equal to
minimum length of data acceptable
Candidate models – AR, MA, ARMA, Seasonal
Recommended Model – In-house
4.2.2.6 Naturalisation of flow
i. A database of naturalised flow estimation based on Water Balance Study undertaken by
NWDA will be provided as Design Aid. The results will be used for parameter estimation
during study of four identified regional ungauged catchments.
The following equation describes the computation of natural flow from observed runoff,
utilizations for different uses, effect of storage, evaporation loss and return flows from
different uses.
R(N) = R(O) + R(IR) + R(D) + R(GW) – R(RI) – R(RD)- R(RG) + S + E (5)
Where
R(N) – Natural flow,
R(O) – Observed flow,
R(IR) – Withdrawal for irrigation
R(D)- Withdrawal for domestic and industrial requirements
R(GW) – Groundwater withdrawal
S- Increase in storage of the reservoirs in the basin,
E-Net evaporation from the reservoirs
R(RI)- Return flow from irrigated areas,
R(RD)- Return flow from domestic and industrial withdrawal,
R(RG) – Return flow from ground water withdrawal.
ii. Assessments of water availability involve simulation of satisfying requirements for water
supply diversions, irrigation, and hydroelectric energy generation with respect to other
established users in the basin. Basin-wide impacts of water resources development
Project: Development of Hydrological Design Aids (Surface Water) under HP-II
Document: 2009097/WR/REP-02 July 2010
State of the Art Report Revision: R0
4-7 WATER RESOURCES
projects and management practices will be modeled. The procedure of naturalization will
comprise simulating a river/reservoir/use system involving essentially any stream
tributary configuration ; Inter basin transfers of water ; Closed loops such as conveying
water by pipeline from a downstream location to an upstream location on the same stream
or from one tributary to another tributary ;. Water management/use involving reservoir
storage, water supply diversions, return flows, environmental instream flow
requirements, hydroelectric power generation, and flood control; Multiple-reservoir
system operations and off-channel storage.
Recommended Model – WRAP
Environmental / Residual Flow
In 2001, the Government of India constituted the Water Quality Assessment Authority
(WQAA) which in turn constituted, in 2003, a Working Group (WG) to advise the
WQAA on ‘minimum flows in rivers to conserve the ecosystem’. Despite the continuous
use of the term ‘minimum flow’, the committee made the following recommendations;
Himalayan Rivers
1. Minimum flow to be not less than 2.5% of 75% dependable Annual flow expressed in
cubic meters per second.
2. One flushing flow during monsoon with a peak not less than 250% of 75% dependable
annual flow expressed in cubic meters per second.
Other Rivers
1. Minimum flow in any ten daily periods to be not less than observed ten daily flow with
99% exceedance. Where ten daily flow data is not available this may be taken as 0.5% of
75% dependable flow expressed in cubic meters per second.
2. One flushing flow during monsoon with a peak not less than 600% of 75% dependable
flow expressed in cubic meters per second.
A tool in HDA 1 will be provided to compute the minimum and flushing flows on the
basis of the committee’s recommendations.
A CD containing the Global Environmental Flow Calculator (GEFC) will be obtained
from International Water Management Institute (IWMI) and will be made available to
CWC.
4.2.2.7 Rainfall-Runoff modelling
With the current trend of advancement in technology, distributed data availability will
increase with time. SWAT data requirement is in line with this trend. Therefore, in case
of partially gauged and ungauged catchment, MWSWAT is recommended as a
distributed rainfall-runoff technique with suitable calibration procedure. MWSWAT will
also be used for snowmelt runoff model in conjunction with WINSRM.
A monthly lumped Rainfall-Runoff model based on precipitation, soil, evapotranspiration
parameters Model E is proposed as a lumped alternate model.
HEC-HMS-SMA is recommended as a continuous simulation model
Project: Development of Hydrological Design Aids (Surface Water) under HP-II
Document: 2009097/WR/REP-02 July 2010
State of the Art Report Revision: R0
4-8 WATER RESOURCES
Tools for the various processes of HDA-1
Processes Tools suggested
Flow naturalisation WRAP,
NWDA Water Balance method (in
house)
Synthetic Flow Generation In house
Data validation In house
Data gap infilling Inhouse
Hind-casting of flow data with
Rainfall-Runoff modelling
MWSWAT,
Model E
HEC-HMS
Regression Techniques (Inhouse)
P-Q and Q-Q (linear,non-linear,
multi-linear)
Water resources system modelling Hec ResSim
River basin modelling WRAP
Snowmelt runoff modelling (including
segregation into rainfed and snowfed,
seasonal and permanent snowline, rainfall
and snowfall characteristics)
WINSRM
Glacier melt runoff modelling WINSRM
Technique for assessing the potential
impact of climate change
MWSWAT
Road Map of HDA1 is provided in the next section. The proposed Models description
and data requirements are provided as Annexures:
SWAT (Annex 4.1)
WRAP (Annex 4.2)
HEC-HMS SMA (Annex 4.3)
Model E (Annex 4.4)
HEC ResSim (Annex 4.5)
WINSRM Model (Annex 4.6)
Project: Development of Hydrological Design Aids (Surface Water) under HP-II
Document: 2009097/WR/REP-02 July 2010
State of the Art Report Revision: R0
4-9 WATER RESOURCES
Development of Flow Series for a Given Basin –
HDA1 – ROAD MAP
Preprocessing (In-house)
Aggregation – Disaggregation
Transformation
Consistency Tests of discharge and
precipitation (In-house)
Modeling using precipitation
Record Extension by correlation Technique (In-
house)
Hind casting with precipitation (MWSWAT/HEC-
HMS/Monthly Model E / Regression Technique)
Flow Series
Generation HEC-RESSIM /
WRAP (Gauged +Augmented)
Fully Gauged
Fill in missing data (In-house)
Synthetic Flow
Analysis (optional) (In-house)
Flow Series
Generation (Gauged
+Augmented +Synthetic)
Flow naturalization (WRAP / NWDA (In-house))
Calibration with
available
discharge data
Project: Development of Hydrological Design Aids (Surface Water) under HP-II
Document: 2009097/WR/REP-02 July 2010
State of the Art Report Revision: R0
4-10 WATER RESOURCES
Development of Flow Series for a Given Basin –
HDA1 – ROAD MAP
Partially Gauged
If Long Term
Precipitation
Record
Calibration with
available discharge
in the basin for all
models or
adjacent
homogenous basin
/ U/S or D/S basin
If Short Term
Precipitation
Record
Preprocessing (In-house)
Aggregation – Disaggregation
Consistency tests (In-house)
Modeling
Record Extension by correlation Technique (In-house) or
Hind casting with precipitation (MWSWAT/HEC-HMS/
Model E / Regression Technique)
Flow Series
Generation HEC-RESSIM / WRAP
Fill in missing data (In-house)
If Flow in Adjacent
homogenous
Basin is Available
If Flow in U/S or
D/S
Basin Available
If no Precipitation
Record
Flow naturalization (WRAP / NWDA (In-house))
Flow Series
Generation (Gauged
+Augmented +Synthetic)
Synthetic Flow
Analysis (optional) (In-
house)
Rainfall
Generator
(MWSWAT
Reconstruction of Flow
Project: Development of Hydrological Design Aids (Surface Water) under HP-II
Document: 2009097/WR/REP-02 July 2010
State of the Art Report Revision: R0
4-11 WATER RESOURCES
Development of Flow Series for a Given Basin –
HDA1 - ROAD MAP
UnGauged
If Long Term
Precipitation
Record
is Available
Calibration with
naturalized
available
discharge in the
adjacent
homogenous
If Short Term
Precipitation
Record
Is Available
Preprocessing (In-house)
Aggregation – Disaggregation
Consistency tests (In-house)
Modeling
Hind casting with precipitation using regional
catchment parameters (MWSWAT)
Flow Series
Generation HEC-RESSIM / WRAP
Fill in missing data (In-house)
If no Precipitation
Record
Is Available
Flow naturalization (WRAP / NWDA (In-house))
Flow Series
Generation (Gauged
+Augmented +Synthetic)
Synthetic Flow
Analysis (optional) (In-
house)
Rainfall Generator
(MWSWAT
Project: Development of Hydrological Design Aids (Surface Water) under HP-II
Document: 2009097/WR/REP-02 July 2010
State of the Art Report Revision: R0
4-12 WATER RESOURCES
4.2.3 Proposed Models- Description and data requirements
The most rational approach in finalization of flow series for a water resource project is
based on site specific data. In such a case, final yield series can be recommended after
validation and processing of flow data. But this is a rare case and most of the time,
methods involving regional data in the absence of site-specific data are used.
SWAT (Annex 4.1)
WRAP (Annex 4.2)
HEC-HMS SMA (Annex 4.3)
Model E (Annex 4.4)
WINSRM Model (Annex 4.5)
HEC ResSim (Annex 4.6)
Project: Development of Hydrological Design Aids (Surface Water) under HP-II
Document: 2009097/WR/REP-02 July 2010
State of the Art Report Revision: R0
 
  4‐13      WATER RESOURCES 
4.3 Design Flood Estimation (HDA2)
4.3.1 General
The present practices in fixing the design flood and approach adopted have been presented
for India and many other developed countries in Chapter 2 and 3 along with conclusions.
The procedures adopted are based on Hydrometeorological approach and probabilistic
approach depending upon the objective of the study, the type of the structure whether large,
medium or small dams, Barrage, Weir, C.D works, Bridges etc. and data availability.
Regional Flood Frequency Analysis and Hydrometeorological approach using Synthetic
Unit Hydrograph are used for estimating design flood for ungauged and partially gauged
catchment.
4.3.2 Estimation of PMF and SPF and T year Flood
1. Hydrometeorological Approach
The three main steps in determining PMF and SPF as described in clause 2.2.2.4.3
i. Determination of response function of the Basins/Sub-basins
ii. Storm analysis of extreme storms to determine PMP and SPS
iii. Computation of flood hydrograph
Tools will be developed/identified for,
i. Development of response function for basins of size less than 5000 km2 which will
include determination of T-hour unit hydrograph using storm event and concurrent
discharge values, Collin’s method, Nash model, Clark model will form part of tool
Data Requirement:
a. Catchment plan showing network of meteorological and hydrological
stations in and around the catchment
b. Data of heavy storms on record
c. Concurrent discharge data at or near point of interest
d. Short interval automatic recording data of the concurrent storm and flood
period.
ii. Determination of response function for basins of size less than 5000 km2 using
Snyder’s method, Dimensionless unit hydrograph and GIUH where concurrent
rainfall and discharge data are not available.
Data Requirement:
a. Topographic map showing the catchment characteristics and watershed
boundaries
b. DEM data of the basins for GIUH
c. Hydrologic data of adjacent homogeneous basins for dimensionless unit
hydrograph
iii. Tools for implementation of CWC sub zonal reports.
Data Requirement:
a. Sub-zonal reports of CWC sub basins
Project: Development of Hydrological Design Aids (Surface Water) under HP-II
Document: 2009097/WR/REP-02 July 2010
State of the Art Report Revision: R0
 
  4‐14      WATER RESOURCES 
iv. For storm analysis which includes determination of depth area duration curves,
guidelines for storm transposition, storm maximization, barrier adjustment and
development of storm hyetograph.
Data Requirement:
a. Hyetographs for identified recorded rain gauges
b. Time distribution of heaviest rain gauge records
c. Storm data of about 50 to 100 years for analysis as available
d. Coverage area of storm
e. Dew point temperature for moisture maximization
f. Topographical maps and wind direction maps for barrier adjustment
g. Data of snowmelt and temperature
v. Tools for IDF curve analysis.
Data Requirement:
a. Self recording data of station in and around the catchment for various
durations and frequencies over the region
vi. For determination of Parameters of Muskingum Cunge method of channel routing
Data Requirement:
a. Discharge (Rating curve)
b. Bed slope
c. Cross sections
d. Roughness coefficient
vii. SRM model for snowmelt contribution
Data Requirement:
a. Daily Temperature
b. Daily Precipitation
c. Snow cover
d. Temperature lapse rate
e. Runoff coefficient for snow and rain
f. Recession coefficient
viii. HEC-RAS model for GLOF routing. Separate tool will be developed for routing in
steep slopes.
Data Requirement:
a. River cross sections
b. Longitudinal slope of river
c. Rating Curve
d. Roughness Coefficient
ix. Tool for integrating GLOF with the intermediate catchment runoff.
x. For computation of flood hydrograph HEC-HMS model have been identified
From this model the following available features will be used in HDA2,
Project: Development of Hydrological Design Aids (Surface Water) under HP-II
Document: 2009097/WR/REP-02 July 2010
State of the Art Report Revision: R0
 
  4‐15      WATER RESOURCES 
Loss models
a. Deficit and Constant
b. Exponential
c. Green and Ampt
d. Gridded deficit Constant
e. Gridded SCS curve number
f. Gridded soil moisture accounting
g. Initial and constant
h. SCS curve number
i. Soil moisture accounting
Data Requirement:
i. Flood flow volumes of heavy floods with duration of flood
ii. Soil type
iii. Catchment characteristics
iv. Slope
Transform methods
a. Clark Unit Hydrograph
b. Kinematic Wave
c. ModClark
d. SCS Unit Hydrograph
e. Snyder Unit Hydrograph
f. User specified S-graph
g. User specified Unit Hydrograph
Data Requirement:
i. Hourly concurrent hyetograph of recording stations
ii. Discharge data
Assessment of Baseflow
a. Bounded recession
b. Constant monthly
c. Linear reservoir
d. Nonlinear Boussinesq
e. Recession
Data Requirement:
i. Discharge data preceding and succeeding the flood periods
Routing Models
a. Kinematic wave
b. Lag method
c. Modified Puls
d. Muskingum
e. Muskingum-Cunge
Data Requirement:
i. River cross sections upto high banks on both sides
Project: Development of Hydrological Design Aids (Surface Water) under HP-II
Document: 2009097/WR/REP-02 July 2010
State of the Art Report Revision: R0
 
  4‐16      WATER RESOURCES 
ii. Roughness coefficient
iii. River bed slope
iv. Historic high flood levels and discharges
2. Probabilistic Approach
The different steps involved as shown in clause 2.2.2.4.2 are,
i. Data Processing
ii. Parameter Estimation for different distributions (Normal, Lognormal 2 and 3,
Pearson III, Log Pearson III, Gumbel and GEV) using Method of moments, method
of maximum likelihood, Probability weighted moments and L-moments approach
iii. Goodness of fit tests to find the best fit distribution
iv. T-year flood calculation using the selected best fit distribution
v. Graphic representation of original series and selected distribution with its
confidence bands
Tools will be developed/identified for,
i. Tools for data mean, SD, skewness, kurtosis and detection of outliers.
ii. Tools will be developed for parameter estimation of four identified parameter
estimation techniques (Method of moments, method of maximum likelihood,
Probability weighted moments and L-moments approach) for Normal, Lognormal,
Pearson III, Log Pearson III, Gumbel and GEV distributions.
iii. Tools for 4 (Chi-square, KS test, Cramer Von Mises and ADC) Goodness of fit
tests
iv. Interface will be developed for graphic representation of best fit distribution and
original series with confidence band
Data Requirement:
a. Annual peak discharge series of not less than 15 years, 30-50 years
desirable
3. Regional Flood frequency Analysis
The identified commonly used RFFA methods as given in clause 2.2.2.4.4 are,
1. USGS Method
2. Pooled Curve Method
3. Analytical Method
4. L-moments Approach
Tools will be developed/identified for,
i. Tools to implement L-moment approach of RFFA analysis
ii. Tools for USGS method and Pooled curve method
iii. Tools for identification of region of influence (ROI) of the Ungauged basins as
shown in Annexure 2.2-5
Project: Development of Hydrological Design Aids (Surface Water) under HP-II
Document: 2009097/WR/REP-02 July 2010
State of the Art Report Revision: R0
 
  4‐17      WATER RESOURCES 
Data Requirement:
a. Annual peak discharge series of the region of not less than 15 years, 30-50
years desirable
b. Rainfall pattern in different regions
4. Design Flood using Empirical Formula and Envelope Curves
i. Tools for all empirical formulae mentioned in Annexure 2.2-2
ii. Tools for estimation of design flood from updated CWC envelope curves as
mentioned in clause 2.2.2.4.1
Data Requirement:
a. Catchment area and rainfall of the catchment
4.3.3 Urban and Agricultural Catchments
• Urban Catchment
Tool for Rational method
Kinematic wave model of HEC-HMS
Data Requirement:
a. Catchment characteristics, roughness coefficient, slopes and rainfall
• Agricultural Catchment
SCS Curve number method of HEC-HMS
Tool for rational method
Data Requirement:
a. Catchment characteristics, landuse, slopes and rainfall
Project: Development of Hydrological Design Aids (Surface Water) under HP-II
Document: 2009097/WR/REP-02 July 2010
State of the Art Report Revision: R0
 
  4‐18      WATER RESOURCES 
4.3.4 Road Map for Design Flood Estimation (HDA2)
 
 
 
Project: Development of Hydrological Design Aids (Surface Water) under HP-II
Document: 2009097/WR/REP-02 July 2010
State of the Art Report Revision: R0
 
  4‐19      WATER RESOURCES 
 
 
 
Project: Development of Hydrological Design Aids (Surface Water) under HP-II
Document: 2009097/WR/REP-02 July 2010
State of the Art Report Revision: R0
 
  4‐20      WATER RESOURCES 
 
 
Project: Development of Hydrological Design Aids (Surface Water) under HP-II
Document: 2009097/WR/REP-02 July 2010
State of the Art Report Revision: R0
 
  4‐21      WATER RESOURCES 
 
 
 
Project: Development of Hydrological Design Aids (Surface Water) under HP-II
Document: 2009097/WR/REP-02 July 2010
State of the Art Report Revision: R0
  4-22 WATER RESOURCES
 
4.4 Sediment Rate Estimation (HDA3)
The reservoir sedimentation practices followed in India and other countries around the world have
been highlighted in chapters 2 and 3. As indicated earlier, the analysis and modelling of sedimentation
requires a range of data. Some of the required data is specific to the site and is collected as part of a
site investigation, such as the bathymetry of the reservoir and the physical catchment characteristics.
In addition, however, any analysis or modelling requires data such as flow regimes and typical
sediment loads. Such variables are subject to long term fluctuations and so long time series data is
required. This is rarely available at the site and usually data has to be used from some other location
where data has been collected on a routine basis for a long time period. The routine collection of flow
and sediment data varies throughout the world both in terms of the density of data, the variables
measured, the measurement methods used and the quality of the data. Thus, analysis methods and
models that can be readily applied in some areas of the world as there is a long record of suitable data
may be inappropriate for other parts of the world due to the paucity of the necessary data.
4.4.1 Estimation of Sediment Yield:
The sedimentation rate in India is estimated using empirical formula, actual observed data and
reservoir sedimentation survey. The recommended BIS (12182-1987) and CBIP (Murthy, 1995)
Publication No.89 have been widely used for reservoir planning.
In India, Central Water Commission collects sediment data covering almost all main river basins of
the country. The CWC has collected data through observations at 466 sites. For some sites the period
for which data is available is quite large say 40 to 50 years. In addition the sediment data is also
collected by the state governments on river systems in their respective territories. Thus there is
enough data to estimate both the average annual sediment yield and also the distribution of annual
sediment yields. There are also situations where the gauging stations provide nested systems of
catchments. In these situations data can be used to identify the contribution to the total sediment yield
from individual sub-catchments. Though this data is extremely useful and is recommended to be fully
used for estimation of sediment rate, the data need to be interpreted with care. The sediment
measurements are, in general, based on bottle sample taken from near the water surface. In general,
the suspended sediment concentration varies with depth, with the sediment concentration being
greatest at the lower levels. This means that the measurement may under estimate the suspended
sediment concentrations. The data provides an excellent resource for estimating sediment yield
directly. It is emphasized that in estimating sediment yields as long a record as possible should be
used.
In addition to the sediment observations, Reservoir resurvey data also provides an excellent source for
determining sediment yield rates. Central Water Commission has compiled the resurvey results of 144
reservoirs in the country. The reservoir resurvey data helps to access the annual or seasonal rate and
dividing it by the trap efficiency gives the sediment yield. These results are then extrapolated
judiciously to the case of reservoir under design.
The sediment yield depends on catchment area, the average catchment slope, the lithology of the
catchment, the land use, the drainage density, the annual/seasonal precipitation and storm events etc.
There are a number of empirical methods developed in USA and still used worldwide to assess
sediment erosion, including the Universal Soil Loss Equation (USLE), MUSLE, Revised Universal
Soil Loss Equation (RUSLE). Some work has been done in India and certain empirical relations have
Project: Development of Hydrological Design Aids (Surface Water) under HP-II
Document: 2009097/WR/REP-02 July 2010
State of the Art Report Revision: R0
  4-23 WATER RESOURCES
 
been developed linking annual sediment yield with some of these parameters. Garde and Kothyari
(1987) developed a relationship(as discussed in chapter 2) for average annual sediment yield
from 50 catchments from different parts of India covering a wide range of pertinent variables.
Such relations can be developed for different regions of the country and used for sediment yield
assessment in geographical locations for which no data is available. GIS technique will be used
for assessment of physiographic parameters and land use pattern.
With the increase in computer power, it has been possible to develop spatially distributed models of
soil erosion that can predict sediment yield. Physically based models that simulated both sediment
detachment and transport processes coupled with fluvial routing methods have been developed. Such
models require extensive spatial input data and as such their use is still limited. Commonly used
physically based models such as AGNPS, ANSWERS, CREAMS, SEDIMONT and WEPP estimate
soil erosion at a plot scale. When these are applied to large catchments it is normally found that they
significantly over estimate the actual sediment yield. In most reservoir applications one is interested
in long-term simulations and so long-term continuous simulation models such as AnnAGPS,
ANSWERS-Continuous, HSPF, MIKE-SHE and SWAT are of greater value. ANSWERS-Continuous
does not include channel erosion and sediment transport so would not be suitable for applications to
determine sediment yield. MIKE-SHE particularly is computationally demanding and so may not be
practical for long-term simulations of medium to large catchments. However, models like
MWSWAT which are freely available can be used where required data is available. Such
models will need to be used in GIS platform and with the data available in WRIS, such
technique are proposed to be used.
4.4.2 Distribution of Sediment in Reservoirs:
The portion of the sediment yield that will be trapped in a proposed reservoir and its likely
distribution in the reservoir is worked out, at present, using empirical methods developed in USA
during 1950’s and 1960’s. These methods do not take all the processes and details of the nature of
sediment into account and should be used to make preliminary assessment of reservoir sedimentation.
It is increasingly common to use numerical models to predict reservoir sedimentation. Frequently the
purpose of the model is to predict the long-term loss of storage. For reservoirs to be economic the
required life of the storage is often of the order of 100 years or more. In these circumstances there is a
need to run such numerical models to simulate periods of time of the order of 100 years. Until
recently this could only be achieved by the use of one-dimensional models (1-D) in which variables
depend only on the chainage along the reservoir. With the recent advances in computer power the
application of 2-D and 3-D models are becoming possible.
There are now a number of general 1-D river models that can simulate sediment movement and
deposition, for example, Mike 11, InfoWorks and HEC-RAS. Such models can be used to simulate
reservoir sedimentation.
Numerical models are becoming a useful tool to predict sediment transport and deposition. Numerical
models solve the mass transport equation for transported sediment and the mass conservation equation
for bed sediment for which the hydraulic field is solved first. One-dimensional mathematical models
like HEC-RAS which are widely used and are freely available could be used to analyze sediment
transport along reaches of rivers or in reservoirs where the essential transport processes can be
simulated with a one-dimensional flow field. They are applied to problem of sediment accumulation
in reservoirs as a function of the operating regime and sediment passing through and over the dams.
Project: Development of Hydrological Design Aids (Surface Water) under HP-II
Document: 2009097/WR/REP-02 July 2010
State of the Art Report Revision: R0
  4-24 WATER RESOURCES
 
One-dimensional models solve the unsteady, cross-sectionally averaged equation for the mass balance
of transported sediment.
4.4.3 Proposed Road Map - HDA 3:
The detail road map for estimation of reservoir sedimentation rate and distribution is presented
below:
Project: Development of Hydrological Design Aids (Surface Water) under HP-II
Document: 2009097/WR/REP-02 July 2010
State of the Art Report Revision: R0
  4-25 WATER RESOURCES
 
The tools to be developed for the proposed HDA-3 are discussed below:
1. Tool will be developed in-house for covering procedures for assessing silt rate using observed
data
(a) Observed silt data- Development of sediment rating curves and flow duration curves
(b) Resurvey data- Assessment of rate using appropriate trap efficiencies.
2. Developing regional empirical models like Garde & Kothyari (1987) as discussed in
chapter-2
For estimation of the sediment yield using the empirical relationship, various geographical
parameters such as land use, topographical factors, drainage density etc. will be generated
using Geographic Information System (GIS) technique. Available discharge, sediment and
rainfall data will be used for analysis. Such relations will be developed for four identified
river systems. Tools will be developed in house to use such relations in ungauged catchments.
.
3. Tool for determination of sediment yield from various sub-basins using MWSWAT
The development of procedures for assessing sediment yield from various sub-basins is not
explicitly mentioned in the Road Map. However, attempt will also be made to use spatially
distributed model MWSWAT which could be calibrated with observe data downstream of the
point of interest and used for assessing sediment yield at the project site and in various sub-
areas using spatial nature of the analysis.
MWSWAT is graphical user interface for the SWAT (Soil and Water Assessment Tool)
model. SWAT is a semi-distributed model that operates on a daily time step. In order to
adequately simulate hydrologic processes in a basin, the basin is divided into sub-basins
through which streams are routed. The subunits of the sub-basins are referred to as hydrologic
response units (HRU’s) which are the unique combination of soil and land use characteristics
and are considered to be hydrologically homogeneous. The model calculations are performed
on a HRU basis and flow and water quality variables are routed from HRU to sub-basin and
subsequently to the watershed outlet. The SWAT model simulates hydrology as a two-
component system, comprised of land hydrology and channel hydrology. The land portion of
the hydrologic cycle is based on a water mass balance. Soil water balance is the primary
considerations by the model in each HRU, which is represented as (Arnold et al., 1998)
The SWAT watershed model also contains algorithms for simulating erosion from the
watershed. Erosion is estimated using the Modified Universal Soil Loss Equation (MUSLE).
MUSLE estimates sediment yield from the surface runoff volume, the peak runoff rate, the
area of the HRU, the Universal Soil Loss Equation (USLE) soil erodibility factor, the USLE
cover and management factor, the USLE support practice factor, the USLE topographic
factor, and a coarse fragment factor.
After the sediment yield is evaluated using the MUSLE equation, the SWAT model further
corrects this value considering snow cover effect and sediment lag in surface runoff. The
SWAT model also calculates the contribution of sediment to channel flow from lateral and
groundwater sources. Eroded sediment that enters channel flow is simulated in the SWAT
model to move downstream by deposition and degradation (Neitsch et al., 2001a).
Large-area simulations are possible due to the advances in computer software and hardware,
including speed and storage, GIS/spatial analysis and debugging tool software. In the Indian
Project: Development of Hydrological Design Aids (Surface Water) under HP-II
Document: 2009097/WR/REP-02 July 2010
State of the Art Report Revision: R0
  4-26 WATER RESOURCES
 
data scenario, the sources of various parameters that are required for Modelling by SWAT
are described below :
The SWAT model requires the data on terrain, landuse, soil and weather for assessment of
sediment yield at desired locations of the drainage basin. The data includes both, the static
data and the dynamic data.
Spatial Data
Spatial data required for modeling include:
Contours - 1:50,000 (or as appropriate) scale contour data is available from the Survey of
India (toposheets) which can be processed, digitized and georeferenced.
Drainage Network (Same manner as above). Open Source software can be applied to
transform the contour data into a DEM. This DEM can be used to determine general patterns
of drainage and demarcating watersheds. SRTM data available on internet can also be used
for this purpose.
D.E.M could be directly obtained from WRIS
Land Cover/Land Use Data
The suggested sources of Land use data can be:
Classified land cover using remote sensing
Classified land cover data produced by the University of Maryland Global Landcover Facility
using remote sensing with resolution of 1 km grid cell.
Soil Map
The data for soil can be obtained from:
FAO Digital Soil Map of the World and Derived Soil properties with a resolution of
1:5,000,000
Soil map from National Bureau of Soil Survey and Land Use Planning (NBSS&LUP)
Climate
The climate variables required by SWAT consist of daily precipitation, maximum / minimum
air temperature, solar radiation, wind speed and relative humidity. The sources of
information are:
Quantitative daily data from Weather Observatory of IMD
High resolution daily gridded (1 X 1 degree Lat Long ) interpolated rainfall data of India are
available from National Climate Centre (NCC), IMD Pune.
4. Estimation of Trap Efficiency : Trap efficiency is generally estimated using empirical relation
(Brune curve) based on data collected in USA. Attempt will be made to revised these
relations using Indian data.
Project: Development of Hydrological Design Aids (Surface Water) under HP-II
Document: 2009097/WR/REP-02 July 2010
State of the Art Report Revision: R0
  4-27 WATER RESOURCES
 
Sediment inflow & reservoir resurvey data will be used to revised empirical relation (Brune
curve)
5. Sediment Distribution in Reservoir: Attempt will be made for developing empirical methods
for sediment distribution based on Indian reservoir data and tool will be developed for using
such relation
Reservoir resurvey data will be used to develop empirical relationships for predicting
sediment distribution pattern in reservoirs.
6. Sediment Transport and Deposition: Identified 1-D numerical tool e.g. HEC-RAS for
assessing sediment transport & deposition in rivers where cross section data is available.
HEC-RAS now has basic sediment transport capabilities. RAS utilizes quasi-steady
hydrodynamics and one of several transport equations to solve the sediment continuity
equation. Sediment surpluses and deficits are modified with temporal and physical constraints
and translated into bed aggradation and degradation. After each computational time step the
RAS geometry file is updated based on bed elevation changes for the hydrodynamics and
sediment potential computations to use during the next time step. The model has generally
performed well in testing against HEC-6 and flume data, but can differ slightly from HEC-6
in certain conditions due to minor differences in hydraulics. RAS includes a convenient user
interface to specify the necessary data for a sediment analysis and a wide range of available
outputs for analyzing a simulation.
 
 
 
 
                      
 
ANNEXURES 
 
Annex 4.1
A4-1 WATER RESOURCES
SWAT Model
The Soil and Water Assessment Tool (SWAT) model (Arnold et al., 1998) developed by
Agricultural Research Service, Blackland, Texas, USA is a river basin or watershed scale
distributed parameter and continuous time simulation model. SWAT is a distributed
parameter model with an Arc View GIS interface (AVSWAT) / Map Window interface
for the pre and post processing of data The SWAT model has been developed to predict
the response to natural inputs as well as the manmade interventions on water and
sediment yields. Rather than incorporating regression equation to describe the
relationship between input and output variables, SWAT requires specific information
about weather, soil properties, topography, vegetation and land management practices in
the watershed.
The model can be described as (a) physically based ; (b) uses readily available inputs; (c)
is computationally efficient to operate and (d) is continuous time and capable of
simulating long periods for computing the effects of management changes.
The model has the capability of being used for watersheds as well as major river systems.
The reliable estimates of runoff from ungauged catchments can be made by linking
parameter values to catchment characteristics. The major advantage of the SWAT model
is that unlike the other conventional conceptual simulation models it does not require
much calibration and therefore can be used on ungauged watersheds.
For modeling purposes, a macro-watershed or catchment is considered to be made up of a
number of watersheds. The use of a number of discrete watersheds in a simulation is
particularly beneficial when different areas of the macro-watershed are dominated by
land uses or soils different enough in properties to have different impacts on the
hydrological response. Within SWAT input information for each watershed is grouped
with respect to weather, unique areas of land cover, soil, and management, and each of
this unique combination is called a hydrologic response unit or HRU (the basic modeling
unit).
The main components of SWAT are :
CREAMS (Chemicals, runoff and erosion from Agricultural management system) is a
field scale model designed to simulate the impact of land management on water,
sediment, nutrients and pesticides.
GLEAMS (Groundwater loading effects on Agricultural management system) is a non-
point source model which focuses on pesticide and nutrient groundwater loadings.
EPIC (Erosion Productivity Impact calculator) is an agricultural management, field scale
non-point source loading model.
The SWAT has the following functionalties:
• Simultaneous computation on several subbasins to predict basin water yield.
• Ground water or return flow component
• Reservoir storage component to calculate the effect of farm, ponds and reservoirs on
water and sediment yield.
• Weather simulation model incorporating data from rainfall, solar radiation and
temperature to facilitate long term simulations and provide temporally and spatially
representative weather.
• Flow routing component
• Sediment transport component to simulate sediment movement through ponds, reservoirs,
streams and valleys.
Annex 4.1
A4-2 WATER RESOURCES
• Calculation of transmission losses
• Routing multiple output through channels and reservoirs
Brief Theoretical Basis of the SWAT model
In the SWAT model, simulation of the hydrology of a watershed can be separated into
two major segments. The first segment is the land phase of the hydrologic cycle. The land
phase of the hydrologic cycle controls the amount of water, sediment, nutrient and
pesticide loadings to the main channel in each sub-watershed. The second segment is the
routing phase of the hydrologic cycle which can be defined as the movement of water,
sediments, etc. through the channel network of the watershed to the outlet.
Simulation of hydrology is split into two major divisions. The first division is the land
phase of the hydrologic cycle and the second division is the water or routing phase
though the canal network of the watershed.
Fig.9 HRU/Subbasin Command Loop
Landphase of the Hydrologic Cycle
As precipitation descends, it may be intercepted and held in the vegetation canopy or fall
on the soil surface. Water on the soil surface will infiltrate into the soil profile or flow
overland as runoff. Runoff moves relatively quickly toward a stream channel and
contributes to short-term stream response. Infiltrated water may be held in the soil and
later evapotranspired or it may slowly make its way to the surface-water system via
underground paths.
The hydrologic cycle as simulated by SWAT
Annex 4.1
A4-3 WATER RESOURCES
SWt = SW0 + ∑ Rday – Q surf – Ea – wseep – Qgw
Where, SWt = final soil water content, SW0 = initial soil water content on day i, Rday =
amount of precipitation on day I, Q surf = amount of surface runoff on day I, Ea = amount
of evapotranspiration on day i, wseep = amount of water entering the vadose zone, from
the soil profile on day i, Qgw = amount of return flow on day i.
The potential pathways of water simulated by SWAT in HRU are illustrated in Fig.9
Fig.10 Schematic of pathways available for water movement in SWAT
Canopy Storage Canopy storage is the water intercepted by vegetative surfaces (the
canopy) where it is held and made available for evaporation. When using the curve
number method to compute surface runoff, canopy storage is defined in terms of initial
abstraction. This variable also includes surface storage and infiltration prior to runoff and
is estimated as 20% of retention parameter value for a given day. However, if Green &
Ampt are used to model infiltration and runoff, canopy storage must be modeled
separately. SWAT allows the user to input the maximum amount of water which can be
stored in the canopy at the maximum leaf area index for the land cover. This value and
the leaf area index are used by the model to compute the maximum storage at any time in
the growth cycle of the land cover/crop. When evaporation is computed, water is first
removed from canopy storage.
Redistribution: Redistribution refers to the continued movement of water through a soil
profile after input of water (via precipitation or irrigation) has ceased at the soil surface.
Redistribution is caused by differences in water content in the profile. Once the water
content throughout the entire profile is uniform, redistribution will cease. The
Annex 4.1
A4-4 WATER RESOURCES
redistribution component of SWAT uses a storage routing technique to predict flow
through each soil layer in the root zone. Downward flow, or percolation, occurs when
field capacity of a soil layer is exceeded and the layer below is not saturated. The flow
rate is governed by the saturated conductivity of the soil layer. Movement of water from a
subsurface layer to an adjoining upper layer may occur when the water content of the
lower layer exceeds field capacity. The soil water to field capacity ratios of the two layers
regulates the upward movement of water. Redistribution is also affected by soil
temperature. If the temperature in a particular layer is 0C or lower, no redistribution is
allowed from that layer.
Potential Evapotranspiration: Potential evapotranspiration is the rate at which
evapotranspiration would occur from a large area completely and uniformly covered with
growing vegetation which has access to an unlimited supply of soil water. This rate is
assumed to be unaffected by micro-climatic processes such as advection or heat-storage
effects. The model offers three options for estimating potential evapotranspiration
besided the user defined option of providing PET applying any other method :
Hargreaves (Hargreaves and Samani5, 1985),
Priestley-Taylor (Priestley and Taylor6,1972),
and Penman-Monteith (Monteith7, 1965).
The Hargreaves method requires air temperature, while Priestley-Taylor method solar
radiation, air temperature and relative humidity and Penman-Monteith requires solar
radiation, air temperature, relative humidity and wind speed.
Actual Evapotranspiration: SWAT evaporates any rainfall intercepted by the plant
canopy. Next, it calculates the maximum amount of transpiration and maximum amount
of sublimation/soil evaporation. The actual amount of sublimation/evaporation from the
soil is then calculated. If snow is present in the HRU, sublimation will occur. Only when
snow is not present, evaporation from the soil will take place.
Subsurface Flow: Lateral subsurface flow, or interflow, is streamflow contribution which
originates below the surface but emerges above the zone where rocks are saturated with
water. Lateral subsurface flow in the soil profile (0-2m) is calculated simultaneously with
redistribution. A kinematic storage model is used to predict lateral flow in each soil layer.
The model accounts for variation in conductivity, slope and soil water content. It also
allows for flow upward to an adjacent layer or to the surface.
Surface Runoff: Surface runoff, or overland flow, is flow that occurs along a sloping
surface. Using daily rainfall amounts, SWAT simulates surface runoff volumes and peak
runoff rates for each HRU. Surface runoff volume is computed using a modification of
the SCS curve number method. (USDA Soil Conservation Service, 1972). The curve
number varies non-linearly with the moisture content of the soil. The curve number drops
as the soil approaches the wilting point and increases to near 100 as the soil approaches
saturation. SWAT includes a provision for estimating runoff from frozen soil where a soil
is defined as frozen if the temperature in the second soil layer is less than 0°C. The model
increases runoff for frozen soils but still allows significant infiltration when the frozen
soils dry up.
Peak runoff rate: predictions are made with a modification of the rational method. In
brief, the rational method is based on the idea that if a rainfall of intensity i begins
instantaneously and continues indefinitely, the rate of runoff will increase until the time
Annex 4.1
A4-5 WATER RESOURCES
of concentration, tc, when all of the sub-basin is contributing to flow at the outlet. In the
modified Rational Formula, the peak runoff rate is a function of the proportion of daily
precipitation that falls during the time of concentration of the subbasin tc, and the daily
surface runoff volume. The proportion of rainfall occurring during the subbasin tc is
estimated as a function of total daily rainfall using a stochastic technique. The subbasin
time of concentration is estimated using Manning’s Formula considering both overland
and channel flow.
Ponds/Tanks: Ponds/Tanks are water storage structures located within a subbasin which
intercept surface runoff. The catchment area of a pond is defined as a fraction of the total
area of the subbasin. When the catchment area fraction is equal to 1.00, the pond is
assumed to be located at the outlet of the subbasin on the main channel. If the catchment
area fraction is less than 1.00, the pond is assumed to be located on a minor tributary
within the subbasin. Pond water storage is a function of pond capacity, daily inflows and
outflows, seepage and evaporation. Ponds are assumed to have only emergency
spillways. Required inputs are the storage capacity and surface area of the pond when
filled to capacity. Surface area below capacity is estimated as a non-linear function of
storage.
Tributary Channels: Two types of channels are defined within a subbasin: the main
channel and tributary channels. Tributary channels are minor or lower order channels
branching off the main channel within the subbasin. Each tributary channel within a
subbasin drains only a portion of the subbasin and does not receive groundwater
contribution to its flow. All flow in the tributary channels is released and routed through
the main channel of the subbasin.
Transmission Losses: Transmission losses are losses of surface flow via leaching
through the streambed. This type of loss occurs in ephemeral or intermittent streams
where groundwater contribution occurs only at certain times of the year, or not at all.
SWAT uses Lane’s method (USDA Soil Conservation Service9, 1983) to estimate
transmission losses. Water losses from the channel are a function of channel width and
length and flow duration. Both runoff volume and peak rate are adjusted when
transmission losses occur in tributary channels. Return Flow Return flow, or base flow, is
the volume of streamflow originating from groundwater. SWAT partitions groundwater
into two aquifer systems: a shallow, unconfined aquifer which contributes return flow to
streams within the watershed and a deep, confined aquifer which contributes return flow
to streams outside the watershed (Arnold et al.10, 1993). Water percolating past the
bottom of the root zone is partitioned into two fractions—each fraction becomes recharge
for one of the aquifers. In addition to return flow, water stored in the shallow aquifer may
replenish moisture in the soil profile in very dry conditions or be directly removed by
plant uptake (only trees may uptake water from the shallow aquifer). Water in the
shallow aquifer may also seep into the deep aquifer or be removed by pumping. Water in
the deep aquifer may be removed by pumping.
Management Practices: SWAT model allows the user to define management practices
taking place in every HRU. The user may define the beginning and the ending of the
growing season, specify timing and amounts of fertilizer, pesticide and irrigation
applications as well as timing of tillage operations. At the end of the growing season, the
biomass may be removed from the HRU as yield or placed on the surface as residue. In
addition to these basic management practices, operations such as grazing, automated
fertilizer and water applications, and incorporation of every conceivable management
Annex 4.1
A4-6 WATER RESOURCES
option for water use are available. The latest improvement to land management is the
incorporation of routines to calculate sediment and nutrient loadings from urban areas.
Crop Rotations: The dictionary defines a rotation as the growing of different crops in
succession in one field, usually in a regular sequence. A rotation in SWAT refers to a
change in management practices from one year to the next. There is no limit to the
number of years of different management operations specified in a rotation. SWAT also
does not limit the number of land cover/crops grown within one year in the HRU.
However, only one land cover can be growing at any one time.
Water Use: The two most typical uses of water are for application to agricultural lands or
use as a town's water supply. SWAT allows water to be applied on an HRU from any
water source within or outside the watershed. Water may also be transferred between
reservoirs, reaches and subbasins as well as exported from the watershed.
Return Flow: Return flow or base flow is the volume of streamflow originating from
groundwater. SWAT partitions groundwater into two aquifer systems : a shallow
unconfined aquifer which contributes return flow to streams within the watershed and a
deep confined aquifer which contributes return flow to streams outside the watershed.
Water percolating past the bottom of the root zone is partitioned into two fractions – each
fraction becomes recharge for one of the aquifers. In addition to return flow, water stored
in the shallow aquifer may replenish moisture in the soil profile in very dry condition or
directly removed by plant. Water in the shallow or deep aquifer may be removed by
pumping.
Routing Phase of the Hydrologic Cycle
Flood Routing As water flows downstream, a portion may be lost due to evaporation and
transmission through the bed of the channel. Another potential loss is removal of water
from the channel for agricultural or human use. Flow may be supplemented by the fall of
rain directly on the channel or addition of water from point source discharges. Flow is
routed through the channel using a variable storage coefficient method developed by
Williams (1969) or Muskingum routing method.
Reservoir routing The water balance for reservoirs include inflow, outflow, rainfall on
the surface, evaporation, seepage from the reservoir bottom and diversions. The model
provides three alternatives for estimating outflow from the reservoir.
The first method simply reads in measured outflow and allows the model to simulate the
other components of the water balance. The second method is for small uncontrolled
reservoirs, and outflow occurs at a specified release rate when volume exceeds the
principle storage. Volume exceeding the emergency spillway is released within one day.
For larger managed reservoirs, a monthly target volume approach is used.
Water transfer and management For large basins it may be necessary to simulate water
transfer. The transfer algorithm allows water to be transferred from any reach or reservoir
to any other reach or reservoir in the watershed. It will also allow water to be diverted
and applied directly to irrigate a subwatershed. There are four main steps to the
algorithm:
1. Compute the maximum amount of water that can be transferred. This is the volume of
water in the reservoir or the daily flow in the channel reach.
Annex 4.1
A4-7 WATER RESOURCES
2. Compute the amount that is actually transferred.There are currently three options for
determining the actual transfer amount: (a) specify the fraction of flow or volume to
divert (0-1); (b) specify the minimum flow or volume remaining in the channel or
reservoir after the water has been transferred;and (c) specify a daily amount to be
diverted. More complex rules could be incorporated such as multiple destinations from
multiple sources. An expert system may be appropriate for complex systems regarding
order and amount to multiple destinations based on land use, previous weather
conditions, soil water contents, reservoir levels, legal flow limits, etc.
3. Transfer the water to the destination. If the destination is a reach or reservoir, the actual
transfer amount is added to the current storage in the reach or reservoir. If the destination
is a subwatershed, a threshold must be reached before water is transferred and irrigation
begins. If soil water content or crop stress drops below the input threshold, irrigation
occurs.
4. Remove the water from the departure channel or reservoir. This is done by simply
subtracting the actual transfer amount, or AIR, from the volume of water in the reservoir
or the daily flow in the reach.
5. Once SWAT determines the loadings of water, sediment, nutrients and pesticides to the
main channel, the loadings are routed through the stream network of the watershed using
a command structure similar to that of HYMO (Williams and Hann13, 1972
SWAT is a long term water and sediment yield model that operates on a daily time step.
Daily precipitation is input to the model and an empirical (curve number) equation is
applied to daily rainfall without accounting for intensity. Some of the advantages of the
choice of curve number approach are :
• Breakpoint rainfall (less than one day increments) is not readily available and is difficult
to process, Storm disaggregation models have been developed (Obeysekera et at., 1987);
however, they are stochastic with respect to intensities and often require inputs that are
not readily available.
• Subbasins are often relatively large (several km2) when simulating large river basins. It is
relatively easy to obtain a weighted curve number and realistically simulate runoff.
However, it is more difficult to "lump" saturated conductivity (a critical soil property for
infiltration equations) since it can vary spatially by o;-ders of magnitude over relatively
short distances.
• Soils data is often not available with sufficient spatial detail for large basins to justify
using an infiltration equation.
• It relates runoff to soil type, land use, and management practices.
Some of the limitations of SWAT are :
• It is computationally difficult.
• One of the major limitations to large area hydrologic modeling is the spatial variability
associated with precipitation.
• SWAT does not simulate detailed event-based flood and sediment routing. It was
developed to predict agricultural management impacts on long-term (hundreds of years)
erosion and sedimentation rates. The model operates on a daily time step, although a
shorter and more flexible time increment would be a major enhancement to the model.
Annex 4.1
A4-8 WATER RESOURCES
• Reservoir routing was originally developed for small reservoirs and assumes well-mixed
conditions. The reservoir outflow calculations are simplistic and do not account for
controlled operation.
SWAT is currently being utilized in several large area projects. SWAT provides the
modeling capabilities of the HUMUS (Hydrologic Unit Model of the United States)
project (Srinivasan et at., 1993). The HUMUS project simulates the hydrologic budget
(Arnold et at., 1996) and sediment movement for approximately 2,100 8-digit hydrologic
unit areas that have been delineated by the USGS.
SWAT software and MWSWAT interface are public domain softwares with support
provided through the SWAT user web site and several user groups.
Data Requirement - MWSWAT
In the Indian data scenario, the sources of various parameters that are required for
Modelling by SWAT are described below :
The SWAT model requires the data on terrain, landuse, soil and weather for assessment
of water resources availability at desired locations of the drainage basin. The data
includes both, the static data and the dynamic data which are:
Contours - 1:50,000 (or as appropriate) scale contour data is available from the Survey of
India (toposheets) which can be processed, digitized and georeferenced.
Drainage Network (Same manner as above). Open Source software can be applied to
transform the contour data into a DEM. This DEM can be used to determine general
patterns of drainage and demarcating watersheds. SRTM data available on internet can
also be used for this purpose.
Land Cover/Land Use Data
The suggested sources of Land use data can be:
Classified land cover using remote sensing
Classified land cover data produced by the University of Maryland Global Landcover
Facility using remote sensing with resolution of 1 km grid cell.
Soil Map
The data for soil can be obtained from:
FAO Digital Soil Map of the World and Derived Soil properties with a resolution of
1:5,000,000
Soil map from National Bureau of Soil Survey and Land Use Planning (NBSS&LUP)
Climate
The climate variables required by SWAT consist of daily precipitation, maximum /
minimum air temperature, solar radiation, wind speed and relative humidity. The sources
of information are:
Quantitative daily data from Weather Observatory of IMD
High resolution daily gridded (1 X 1 degree Lat Long ) interpolated rainfall data of India
are available from National Climate centre (NCC), IMD Pune.
SWAT snowmelt Model
SWAT classifies precipitation as rain or snow by daily air temperature. If the mean daily
air temperature is less than the boundary temperature, the precipitation within the HRU is
classified as snow and the water equivalent of snow precipitation is added to the snow
pack. The input variables for snow cover are Mean air temperature at which precipitation
Annex 4.1
A4-9 WATER RESOURCES
is equally likely to be as rain or snow, threshold depth above which there is 100% cover,
Initial snow content.
Snowmelt is controlled by air and snow pack temperature, the melting rate and the areal
coverage of snow. The input parameters are snow temperature lag factor, threshold
temperature for snowmelt and melt factors.
Annex 4.2
A4-10 WATER RESOURCES
Water Rights Analysis Package (WRAP)
The original Water Rights Analysis Package WRAP, initially called TAMUWRAP,
stemmed from a 1986-1988 research project at Texas A&M University, entitled
Optimizing Reservoir System Operations, which was sponsored by a federal/state
cooperative research program administered by the U.S. Geological Survey and Texas
Water Resources Institute. Major improvements in the model were accomplished since
1990 and WRAP continued to be expanded and improved till 2009 under Texas Natural
Resource Conservation Commission TNRCC/ Texas Commission on Environmental
Quality TCEQ and U.S. Army Corps of Engineers Fort Worth District sponsorships .
The Water Rights Analysis Package (WRAP) modeling system simulates management of
the water resources of a river basin or multiple-basin region under priority-based water
allocation systems. In WRAP terminology, river/reservoir system water management
requirements and capabilities are called water rights. The model facilitates assessments of
hydrologic and institutional water availability/reliability in satisfying requirements for
instream flows, water supply diversions, hydroelectric energy generation, and reservoir
storage. Reservoir system operations for flood control can be simulated. Capabilities are
also provided for tracking salinity loads and concentrations. Basin-wide impacts of water
resources development projects and management practices are modeled. The modeling
system is generalized for application anywhere, with input datasets being developed for
the particular river basins of concern.
WRAP simulation studies combine a specified scenario of river/reservoir system
management and water use with river basin hydrology represented by sequences of
naturalized stream flows and reservoir evaporation-precipitation rates at pertinent
locations for each monthly or sub-monthly interval of a hydrologic period-of-analysis.
Model application consists of:
1. compiling water management and hydrology input data for the river system
2. simulating alternative water resources development, management, and use scenarios
3. developing water supply reliability and stream flow and storage volume frequency
relationships and otherwise organizing and analyzing simulation results.
WRAP is a set of computer programs. The public domain executable programs and
documentation may be freely copied. The function of each program is summarizes as :
WinWRAP facilitates execution of the WRAP programs within the Microsoft Windows
environment along with Microsoft programs and HEC-DSSVue.
SIM simulates the river/reservoir water allocation/management/use system for input
sequences of monthly naturalized flows and net evaporation rates.
TABLES develops frequency relationships, reliability indices, and various userspecified
tables for organizing, summarizing, and displaying simulation results.
HYD assists in developing monthly naturalized stream flow and reservoir net
evaporation-precipitation depth data for the SIM hydrology input files.
WRAP incorporates priority-based water allocation schemes in modeling river regulation
and water management. Stream flow and reservoir storage are allocated among water
users based on specified priorities. WRAP was motivated by and developed within the
framework of the Texas water rights permit system. However, the flexible generalized
model is applicable to essentially any water allocation systems and also to situations
where water is managed without a structured water rights system. WRAP is applied to
river basins that have hundreds of reservoirs, thousands of water supply diversions,
complex water use requirements, and complex water management practices.
Annex 4.2
A4-11 WATER RESOURCES
However, it is also applicable to simple systems with one, several, or no reservoirs. The
generalized computer model provides capabilities for simulating a river/reservoir/use
system involving essentially any stream tributary configuration. Interbasin transfers of
water can be included in the simulation. Closed loops such as conveying water by
pipeline from a downstream location to an upstream location on the same stream or from
one tributary to another tributary can be modeled. Water management/use may involve
reservoir storage, water supply diversions, return flows, environmental instream flow
requirements, hydroelectric power generation, and flood control. Multiple-reservoir
system operations and off-channel storage may be simulated. Flexibility is provided for
modeling the various rules specified in water rights permits and/or other institutional
arrangements governing water allocation and management. There are no limits on the
number of water rights, control point locations, reservoirs, and other system components
included in the model. There is no limit on the number of years included in the
hydrologic period-of-analysis.
The SIM model is an accounting system for tracking stream flow sequences, subject to
reservoir storage capacities and operating rules and water supply diversion, hydroelectric
power, and instream flow requirements. Water balance computations are performed in
each time step of the simulation. Typically, a simulation will be based on combining (1) a
repetition of historical hydrology with (2) a specified scenario of river basin
development, water use requirements, and reservoir system operating rules. A broad
spectrum of hydrologic and water management scenarios may be simulated. Numerous
optional features have been incorporated into the generalized modeling system to address
complexities in the variety of ways that people manage and use water. The Fortran
programs are designed to facilitate adding new features and options as needs arise.
Water Availability Modeling Process
The conventional water availability modeling process consists of two phases:
1 Developing sequences of monthly naturalized stream flows covering the hydrologic
period-of-analysis at all pertinent locations
a. Developing sequences of naturalized flows at stream gaging stations
b. Extending record lengths and filling in gaps to develop complete sequences at all
selected gages covering the specified period-of-analysis
c. Distributing naturalized flows from gaged to ungaged locations
2 Simulating the rights/reservoir/river system, given the input sequences of naturalized
flows, to determine regulated and unappropriated flows, storage, reliability indices, flow-
frequency relationships and related information regarding water supply capabilities
a. Simulating the rights/reservoir/river system
b. Computing water supply reliability and stream flow frequency indices and
otherwise organizing/summarizing/displaying simulation results
Naturalized or unregulated stream flows represent historical hydrology without the
effects of reservoirs and human water management/use. Naturalized flows at gauging
stations are determined by adjusting gaged flows to remove the historical effects of
human activities. Various gaging stations in a river basin are installed at different times
and have different periods of record. Gaps with missing data may occur. Record lengths
are extended and missing data reconstituted by regression techniques using data from
other gages and other months at the same gage. Naturalized flows at ungaged sites are
Annex 4.2
A4-12 WATER RESOURCES
synthesized based upon the naturalized flows at gauged sites and watershed
characteristics.
HYD includes options to assist in adjusting gauged flows to obtain naturalized flows.
Naturalized flows may be distributed from gaged (or known-flow) locations to ungaged
locations within either HYD or SIM. WRAP does not include regression methods to
extend records or reconstitute missing data.
A WRAP-SIM simulation starts with known naturalized flows provided in the hydrology
input file and computes regulated flows and unappropriated flows at all pertinent
locations. Regulated and unappropriated flows computed within SIM reflect the effects of
reservoir storage and water use associated with the water rights included in the input.
Regulated flows represent physical flows at a location, some or all of which may be
committed to meet water rights requirements. Unappropriated flows are the stream flows
remaining after all water rights have received their allocated share of the flow to refill
reservoir storage and meet diversion and instream flow requirements. Unappropriated
flows represent uncommitted water still available for additional water right permit
applicants.
Water is allocated to meet diversion, instream flow, hydroelectric energy, and reservoir
storage requirements based on water right priorities. Various other schemes for
establishing relative priorities may be adopted as well. Water availability is evaluated in
simulation studies from the perspectives of (1) reliabilities in satisfying existing and
proposed water use requirements, (2) effects on the reliabilities of other water rights in
the river basin, (3) regulated instream flows, and (4) unappropriated flows available for
additional water right applicants. Reservoir storage and stream flows are simulated.
WRAP may be used to evaluate water supply capabilities associated with alternative
water resources development projects, water management plans, water use scenarios,
demand management strategies, regulatory requirements, and reservoir system operating
procedures.
SIM input
Hydrological features
naturalized stream flows
net reservoir evaporation-precipitation
net evaporation-precipitation adjustment
stream flow distribution to ungaged sites
stream flow adjustments
channel losses
watershed flow option
negative incremental stream flow options
Water Management Features
water supply diversions and return flows
instream flow requirements
hydroelectric power
setting water use targets
drought index
water right priorities
flow allocation for rights with same priority
circumvention of priority sequence
reservoir storage
Annex 4.2
A4-13 WATER RESOURCES
reservoir system operating rules
monthly varying limits on storage capacity
multiple owners of reservoir storage
limits on stream flow depletions
limits on withdrawals from reservoir storage
stream flow depletions from multiple locations
constant inflows and outflows
HYD input
For describing storage-volume relationship for a reservoir
Storage Volumes corresponding to areas
Surface Area corresponding to volumes
Coefficients for storage-area equation
Hydrology
Inflows to the system (inflow stream flow volume/month)
Evaporation (reservoir net evaporation-precipitation depth/month)
Flow Distribution
Flow Distribution specifications for transferring flows from gaged to ungaged sites
Flow distribution Coefficients for certain flow distribution options
Watershed Parameters used in the flow distribution computations
Records for Adjusting Stream Flows
Adjustment Specifications for adjusting stream flows
Flow Adjustments
Reservoir Specifications for developing stream flow adjustments
Storage Contents of a reservoir
coefficients for adjustment
Annex 4.3
A4-14 WATER RESOURCES
HEC – HMS Soil Moisture Accounting (SMA) Model
The HEC-HMS software package, developed by US ACE contains a number of soil
moisture models and a number of routing models for direct runoff and baseflow. The
most suitable model is the continuous Soil Moisture Accounting (SMA) model which is a
conceptual model. The other models are empirical event based models.
According to the technical manual (USACE, 2000), HEC-HMS provides the following
components:
• Precipitation-specification options which can describe an observed (historical)
precipitation event, a frequency-based hypothetical precipitation event, or an event that
represents the upper limit of precipitation possible at a given location.
• Loss models which can estimate the volume of runoff, given the precipitation and
properties of the watershed.
• Direct runoff models that can account for overland flow, storage and energy
losses as water runs off a watershed and into the stream channels.
• Hydrologic routing models that account for storage and energy flux as water
moves through stream channels.
• Models of naturally occurring confluences and bifurcations.
• Models of water-control measures, including diversions and storage facilities.
These models are similar to those included in HEC-1. In addition to these, HEC-HMS
includes:
• A distributed runoff model for use with distributed precipitation data, such as the
data available from weather radar.
• A continuous soil-moisture-accounting model used to simulate the long-term
response of a watershed to wetting and drying.
HEC-HMS also includes:
• An automatic calibration package that can estimate certain model parameters and
initial conditions, given observations of hydrometeorological conditions.
• Links to a database management system that permits data storage, retrieval and
connectivity with other analysis tools available from HEC and other sources.
Basic Concepts and Equations
The SMA model is patterned after Leavesley's Precipitation-Runoff Modeling System
(1983) and is described in detail in Bennett (1998). The model simulates the movement
of water through and storage of water on vegetation, on the soil surface, in the soil
profile, and in groundwater layers. Given precipitation and potential evapotranspiration
(ET), the model computes basin surface runoff, groundwater flow, losses due to ET, and
deep percolation over the entire basin.
Annex 4.3
A4-15 WATER RESOURCES
Figure 1. Conceptual schematic of the continuous soil moisture accounting algorithm
(Bennett, 1998)
Storage Component
The SMA model represents the watershed with a series of storage layers, as illustrated by
Figure . Rates of inflow to, outflow from, and capacities of the layers control the
volume of water lost or added to each of these storage components. Current storage
contents are calculated during the simulation and vary continuously both during and
between storms. The different storage layers in the SMA model are:
Canopy-interception storage. Canopy interception represents precipitation that is
captured on trees, shrubs, and grasses, and does not reach the soil surface. Precipitation
is the only inflow into this layer. When precipitation occurs, it first fills canopy storage.
Only after this storage is filled does precipitation become available for filling other
storage volumes. Water in canopy interception storage is held until it is removed by
evaporation.
Surface-interception storage. Surface depression storage is the volume of water held in
shallow surface depressions. Inflows to this storage come from precipitation not captured
by canopy interception and in excess of the infiltration rate. Outflows from this storage
can be due to infiltration and to ET. Any contents in surface depression storage at the
beginning of the time step are available for infiltration. If the water available for
infiltration exceeds the infiltration rate, surface interception storage is filled. Once the
volume of surface interception is exceeded, this excess water contributes to surface
runoff.
Annex 4.3
A4-16 WATER RESOURCES
Soil-profile storage. The soil profile storage represents water stored in the top layer of
the soil. Inflow is infiltration from the surface. Outflows include percolation to a
groundwater layer and ET. The soil profile zone is divided into two regions, the upper
zone and the tension zone. The upper zone is defined as the portion of the soil profile that
will lose water to ET and/or percolation. The tension zone is defined as the area that will
lose water to ET only. The upper zone represents water held in the pores of the soil. The
tension zone represents water attached to soil particles. ET occurs from the upper zone
first and tension zone last. Furthermore, ET is reduced below the potential rate occurring
from the tension zone, as shown in Figure 15. This represents the natural increasing
resistance in removing water attached to soil particles. ET can also be limited to the
volume available in the upper zone during specified winter months, depicting the end of
Groundwater storage. Groundwater layers in the SMA represent horizontal interflow
processes. The SMA model can include either one or two such layers. Water percolates
into groundwater storage from the soil profile. The percolation rate is a function of a
user-specified maximum percolation rate and the current storage in the layers between
which the water flows. Losses from a groundwater storage layer are due to groundwater
flow or to percolation from one layer to another. Percolation from the soil profile enters
the first layer. Stored water can then percolate from layer 1 to groundwater layer 2 or
from groundwater layer 2 to deep percolation. In the latter case, this water is considered
lost from the system; aquifer flow is not modeled in the SMA.Flow Component
Flow Component
The SMA model computes flow into, out of, and between the storage volumes. This flow
can take the form of Precipitation, Infiltration, Percolation, Surface runoff and
groundwater flow and Evapotranspiration (ET).
Order of Model Computations
Flow into and out of storage layers is computed for each time step in the SMA model.
The order of computations in each time step depends upon occurrence of precipitation or
ET, as follows:
If precipitation occurs during the interval, ET is not modeled. Precipitation contributes
first to canopy-interception storage. Precipitation in excess of canopy-interception
storage, combined with water already in surface storage, is available for infiltration. If
the volume available is greater than the available soil storage, or if the calculated
potential infiltration rate is not sufficient to deplete this volume in the determined time
step, the excess goes to surface-depression storage. When surface-depression storage is
full, any excess is surface runoff.
Infiltrated water enters soil storage, with the tension zone filling first. Water in the soil
profile, but not in the tension zone, percolates to the first groundwater layer.
Groundwater flow is routed from the groundwater layer 1, and then any remaining water
may percolate to the groundwater layer 2. Percolation from layer 2 is to a deep aquifer
and is lost to the model.
If no precipitation occurs, ET is modeled. Potential ET is satisfied first from canopy
storage, then from surface storage. Finally, if the potential ET is still not satisfied from
Annex 4.3
A4-17 WATER RESOURCES
surface sources, water is removed from the upper-soil profile storage. The model then
continues as described above for the precipitation periods.
Estimating Model Parameters
SMA model parameters must be determined by calibration with observed data. In this
iterative process, candidate parameter values are proposed, the model is exercised with
these parameters and precipitation and evapotranspiration inputs. The resulting
computed hydrograph is compared with an observed hydrograph for the same period. If
the match is not satisfactory, the parameters are adjusted, and the search continues.
Input Parameters for soil moisture accounting are Canopy storage , Surface storage,
Tension storage, Soil storage, % impervious, Ground Water layer 1 and 2 and Maximum
infiltration rate.
The above module of Hec HMS is integrated with basin parameters and Transformation
method such as Kinematic flow routing and meteolorological models involving basin
average/gridded precipitation and evapotranspiration.
Reference
Bennett, T.H. (1998). Development and application of a continuous soil moisture
accounting algorithm for the Hydrologic Engineering Center Hydrologic Modeling
System (HEC-HMS). MS thesis, Dept. of Civil and Environmental Engineering,
University of California, Davis.
Leavesley, G. H., Lichty, R.W., Troutman, B.M., and Saindon, L.G. (1983).
Precipitation-runoff modeling system user's manual, Water-Resources Investigations 83-
4238. United States Department of the Interior, Geological Survey, Denver, CO.
Loague, K.M., and Freeze, R.A. (1985). "A comparison of rainfall-runoff modeling
techniques on small upland catchments." Water Resources Research, AGU, 21(2), 229-
248.
McFadden, Dudley E. (1994). Soil moisture accounting in continuous simulation
watershed models. Project report, Dept. of Civil and Environmental Engineering,
University of California, Davis.
Ponce, V.M., and Hawkins, R.H. (1996). "Runoff curve number: Has it reached
maturity?" Journal of Hydrologic Engineering, ASCE, 1(1), 11-19.
Rawls, W.J., and Brakensiek, D.L. (1982). "Estimating soil water retention from soil
properties." Journal of the Irrigation and Drainage Division, ASCE, 108(IR2), 166-171.
Rawls, W.J., Brakensiek, D.L., and Saxton, K.E. (1982). "Estimation of soil water
properties." Transactions American Society of Agricultural Engineers, St. Joseph, MI,
25(5), 1316-2320.
Annex 4.3
A4-18 WATER RESOURCES
Skaggs, R.W., and Khaleel, R. (1982). Infiltration, Hydrologic modeling of small
watersheds. American Society of Agricultural Engineers, St. Joseph, MI.
Soil Conservation Service (1971). National engineering handbook, Section 4: Hydrology.
USDA, Springfield, VA.
Soil Conservation Service (1986). Urban hydrology for small watersheds, Technical
Release 55. USDA, Springfield, VA.
USACE (1992). HEC-IFH user's manual. Hydrologic Engineering Center, Davis, CA.
USACE (1994). Flood-runoff analysis, EM 1110-2-1417. Office of Chief of Engineers,
Washington, DC.
Annex 4.4
A4-19 WATER RESOURCES
Model E
A conceptual rainfall-runoff model (named Model E ) developed by R. Khosa in his
research thesis “Long term spatial analysis of Hydrology of a river basin” consists of five
parameters namely; Evapo-transpirative loss parameter for irrigated areas, evapo-
transpirative loss parameter for non-irrigated areas, maximum soil moisture capacity,
parameter for partitioning flow into quick and slow release components and parameter for
slow release from ground water storage.
The total water drained from soil pores, which would be available as runoff is also
assumed to be partitioned into two components namely, quick flow component (QIF) and
percolation to ground water store component (PGW) in this model. The quick flow
component is assumed to be the basin’s immediate response to water application and the
percolation component is assumed to add to the ground water store, from which water is
released to the river in proportion to the available ground water storage. The input
parameters are Volumetric Water Application depth, Initial soil moisture, observed Class
A pan evaporation, Maximum soil moisture capacity and Initial groundwater storage.
Model E was applied to sixteen subbasins of Cauvery river basin to simulate runoff on
the river at the outfall. The five parameter model was found suitable for rainfall-runoff
modeling on a monthly basis.
Annex 4.5
A4-20 WATER RESOURCES
HEC-RESSIM
HEC-ResSim (from the US Army Corps of Engineers) is a one-dimensional flow routing model
designed for modelling reservoir systems. The model is constructed against a geo-referenced map
background.
In terms of the suitability of HEC-ResSim for water resources modelling, it contains a number of
useful features, such as: Defining watershed, stream alignments, working with watershed
elements like reservoir, levees, diversions, channel modifications, off-channel storage, defining
physical components of reservoirs like reservoir pool losses, dam features like controlled and
uncontrolled outlets, power plants , pumps, diversion outlet, flow routing (multiple options) for
sparse models (spatial and temporal); it is able to model seepage losses; it is able to model looped
and branched networks and reservoirs; it offers monthly and seasonal variation options for
modelling flow diverted to reservoirs; the reservoir unit includes geometric data, outlet structures,
evaporation losses and operational rules.
Annex 4.6
A4-21 WATER RESOURCES
Snowmelt Runoff Model WINSRM
The SRM model simulates or forecasts daily streamflow and seasonal runoff volume in basins
where snowmelt is a major runoff contributor, although it has been shown that the dominance of
snow melt is not the most important factor. It was developed by Martinec (1975) for small
European basins, but has since been tested in a wide range of basins, including larger basins.
Recently the model was used to simulate runoff in the Ganges basin, demonstrating the model’s
applicability to large basins with extreme elevation ranges (Martinec et al., 2008). A table is
shown by Martinec et al. (2008) listing over 100 basins internationally where the model has been
independently tested, including details of the model efficiency and volume balance achieved. The
model requires division of the watershed into elevation zones with specific model variables and
parameters applied to each one to calculate runoff. It is now possible to employ up to 16 elevation
zones.
SRM makes use of remote sensing satellite data and digital terrain models. Snowmelt and rainfall
runoff from the model is added to the recession curve of streamflows to give the combined flow
prediction. The recession curve is unique to a particular basin and is derived from historical
periods when snowmelt and precipitation can be neglected
SRM uses degree-days as an index of the complex energy balance which dictates snow melt rates.
The base temperature above which melting at degree-day rates is assumed to occur is 0°C. Where
hourly temperature data are available, then the degree days for the 24-hour period are calculated
by summing hourly temperatures and dividing by 24. Degree days are further extrapolated to each
elevation zone using an appropriate lapse rate – these can be adjusted for monthly variations
throughout the year and specific to the region being studied.
Whether precipitation falls as rain or snow is decided on the basis of a critical temperature, which
can vary between watersheds. It is important to differentiate between the two because runoff from
rainfall occurs immediately, whereas snowfall leads to a delayed runoff response as the degree-
days accumulate.
Daily snow cover values are taken from depletion curves compiled preferably from satellite
imagery, but otherwise from ground observations and aerial photography. The snow cover values
derived from satellite or other remote sensing data replace the need to model snowpack
development explicitly – accumulation and depletion in terms of SWE for example.
Actual discharge data can be used to update the model every 1-9 days in its forecasting mode.
Runoff coefficients can also be changed every 15 days in the model and are usually higher for
snowmelt than for rainfall due to the assumption that ground below snowpack is saturated.
Changes in the vegetation cover and soil moisture are generally the factors which would cause
changes in runoff coefficients throughout the year.
Time lag correction factors are used to account for the fact that different elevation zones vary in
their distance from the watershed outlet and in how they change through the snowmelt season in
terms of snow distribution
Model inputs
Basically, SRM requires temperature, precipitation and snow covered area data as inputs, which
are relatively simple. The challenge for using SRM as a forecasting tool is the forecasting of these
input variables for the model.
The development of a model is made much more efficient by the availability of a digital terrain
model (DTM) which facilitates delineation of elevation zones and development of elevation-area
curves (Figure 1). These curves are used to define a mean elevation for each zone as the point
Annex 4.6
A4-22 WATER RESOURCES
above and below which the area is equal. The mean elevation is then the elevation to which
temperature station data are extrapolated using the lapse rate, to be applied in the model as
representative of the whole elevation zone.
Figure 1 Elevation-area curve used for defining the mean elevation
Temperature and precipitation can both be entered either on a basin-wide or a zone specific basis.
Where zone specific data are to be entered but gauging stations are limited, appropriate
extrapolation should be carried out to scale the inputs. This is recommended, particularly in
basins with large altitudinal ranges.
Whether precipitation falls as snow or rain will depend on a defined critical temperature which is
compared to the temperature at the mean elevation point defined for each elevation zone at the
time of precipitation. The model treats precipitation falling as snow differently from that falling
as rain, producing runoff immediately or delayed by the degree day melt factor.
Temperature lapse rates and critical temperatures can also be defined by whole basin or elevation
zones.
Depletion curves must also be developed to define continuing snow covered area as the model
proceeds.
Model outputs
The model can be run in simulation or forecasting modes. The simulation mode can be used to
establish discharge series in ungauged basins or to predict the accuracy of forecasts.
Annex 4.6
A4-23 WATER RESOURCES
The model is reported to work well for mountainous basins up to 4000km2
in area, but accuracy
decreases where large amounts of rainfall occur during the snowmelt season.
Automatic adjustment of parameters is carried out even without updating with actual streamflow
measurements
The SRM has been used in many studies world-wide - Martinec et al. (2008) gives associated
Nash-Sutcliffe model efficiency and runoff volume prediction success as a percentage.

Central Water Commission Ministry Of Water Resources ,Govt. of India

  • 2.
    Project: Development ofHydrological Design Aids (Surface Water) under HP-II Document: 2009097/WR/REP-02 July 2010 State of the Art Report Revision: R0   i  WATER RESOURCES   Contents EXECUTIVE SUMMARY..................................................................................................... ES-i to x CHAPTERS 1. INTRODUCTION 1-1 1.1 Background of the Project................................................................................. 1-1 1.2 Need for Development of HDAs....................................................................... 1-1 1.3 Hydrological Studies Required for a Water Resources Project......................... 1-2 1.4 Design Parameters for Development of HDA................................................... 1-3 1.5 Scope and Methodology for the Consultancy.................................................... 1-5 2. PREVALENT DESIGN CRITERIA AND PRACTICES: THE INDIAN PERSPECTIVE......................................................................................................... 2.1-1 2.1 Assessment of Water Resources Potential – Availability / Yield Assessment.. 2.1-1 2.1.1 Approach…………………………………………………………. 2.1-1 2.1.2 Hydrological data type and extent of hydrological inputs………... 2.1-1 2.1.3 Compilation and Hydrological Data Processing…………………. 2.1-2 2.1.3.1 Filling of short data gaps…………………………………………. 2.1‐2 2.1.3.2 Adjustment of records……………………………………………. 2.1-3 2.1.3.3 Consistency of data………………………………………………. 2.1-5 2.1.3.4 Data Extension…………………………………………………… 2.1-6 2.1.3.5 Data Generation…………………………………………………... 2.1-7 2.1.4 Water Availability Assessment…………………………………... 2.1-7 2.1.5 Continuous simulation Models / related data processing model developed in India……………………………………………….. 2.1-8 2.1.5.1 HYPRO package………………………………………………….. 2.1-8 2.1.5.2 Water Yield Model (WYM)……………………………………… 2.1-8 2.1.6 Rainfall-Runoff Models developed for some regions in India…… 2.1-9 2.1.7 Design Practices adopted by State Government for yield estimation in India……………………………………………….. 2.1-11 2.1.8 State-of-the-Art technology developed in various parts of the world and applied in Indian catchments by various Premier Research Institutes of India……………………………………… 2.1-13 2.1.9 Snowmelt Hydrology…………………………………………….. 2.1-16 2.1.9.1 Introduction………………………………………………………. 2.1-16 2.1.9.2 Snowmelt Modelling……………………………………………... 2.1-16 2.1.9.3 SWAT snowmelt hydrology……………………………………… 2.1-19 2.2 Estimation of Design Flood…………………………………………………… 2.2-1 2.2.1 General……………………………………………………………. 2.2-1 2.2.1.1 Objectives of Design Flood Estimation…………………………... 2.2-1 2.2.2 Literature Review………………………………………………… 2.2-1 2.2.2.1 General……………………………………………………………. 2.2-1 2.2.2.2 Previous Practices in India……………………………………….. 2.2-2 2.2.2.2.1 Project Categorization……………………………………………. 2.2-2 2.2.2.2.2 Empirical Formulae………………………………………………. 2.2-2 2.2.2.2.3 Rational Formula…………………………………………………. 2.2-3 2.2.2.3 Current Design Flood Estimation Criteria/Practices……………... 2.2-3 2.2.2.3.1 General……………………………………………………………. 2.2-3 2.2.2.3.2 Central Water Commission (CWC)………………………………. 2.2-3 2.2.2.3.3 Bureau of Indian Standards (BIS)………………………………... 2.2-17 2.2.2.4 Design Flood Estimation Approaches……………………………. 2.2-18 2.2.2.4.1 Flood Formulae…………………………………………………… 2.2-18
  • 3.
    Project: Development ofHydrological Design Aids (Surface Water) under HP-II Document: 2009097/WR/REP-02 July 2010 State of the Art Report Revision: R0   ii  WATER RESOURCES   2.2.2.4.2 Probabilistic/Statistical Approach (Index Flood Method)………... 2.2-19 2.2.2.4.3 Hydrometeorological Approach………………………………….. 2.2-21 2.2.2.4.4 Regional Flood Frequency Analysis……………………………… 2.2-22 2.2.2.5 Estimation of Snowmelt Contribution……………………………. 2.2-23 2.2.2.5.1 GLOF……………………………………………………………... 2.2-26 2.2.2.6 Design Flood for Urban and Agricultural Catchments…………… 2.2-30 2.2.2.6.1 Urban Catchments………………………………………………... 2.2-30 2.2.2.6.2 Agricultural Catchments………………………………………….. 2.2-30 2.2.2.7 Climate Change Effects…………………………………………... 2.2-32 2.2.3 Reviews and Recommendations………………………………….. 2.2-32 2.2.3.1 Suggested Design Flood Estimation Criteria…………………….. 2.2-32 2.2.3.2 Procedures for determining PMF………………………………… 2.2-33 2.2.3.3 Procedures for determining T-Year Flood………………………... 2.2-33 2.2.4 Conclusions………………………………………………………. 2.2-34 2.3 Sedimentation Rate Estimation………………………………………………... 2.3-1 2.3.1 Introduction………………………………………………………. 2.3-1 2.3.2 Silting Rate for Planning Indian Reservoirs……………………… 2.3-1 2.3.2.1 Direct Measurement of Sediment in River……………………….. 2.3-1 2.3.2.2 Reservoir Capacity Survey……………………………………….. 2.3-2 2.3.2.2.1 Modern Techniques of Surveying: HYDAC 3 (Hydrographic data Acquisition system)……………………………………………… 2.3-3 2.3.2.2.2 Remote Sensing…………………………………………………... 2.3-3 2.3.2.3 Results from River/Reservoir Sediment Data……………………. 2.3-3 2.3.2.4 Prediction of Rate of Reservoir Sedimentation………………….. 2.3-6 2.3.2.5 GIS Applications for Determination of Sediment Yeild…………. 2.3-8 2.3.3 Trap Efficiency…………………………………………………… 2.3-9 2.3.4 Predicting Sediment Distribution in Reservoir…………………… 2.3-9 2.3.5 Life of Reservoirs………………………………………………… 2.3-10 2.3.6 Planning Practices for Reservoir Sedimentation in India………… 2.3-10 2.3.7 Practices Adopted By State Governments………………………... 2.3-13 2.3.8 Conclusion……………………………………………………….. 2.3-14   3. PREVALENT DESIGN CRITERIA AND PRACTICES: THE INTERNATIONAL PERSPECTIVE……………………………………… 3-1 3.1 Assessment of Water Resources Potential – Availability / Yield Assessment.. 3-1 3.1.1 Approach to the assessment of Water Resources Potential………. 3-1 3.1.2 Climate change impacts on river flows…………………………... 3-6 3.1.3 Data requirements & data management…………………………... 3-6 3.1.4 Rainfall-runoff modelling………………………………………… 3-36 3.1.5 Water resources system modelling……………………………….. 3-36 3.1.6 River basin modelling……………………………………………. 3-37 3.1.7 Snow melt runoff modelling……………………………………… 3-38 3.1.8 Glacier melt runoff modelling……………………………………. 3-50 3.1.9 Recommendations………………………………………………... 3-53 3.1.10 References………………………………………………………... 3-54 3.2 Estimation of Design Flood………………………………………………….. 3-61 3.2.1 Approach to Design Flood Estimation (hydro-meteorological; statistical; regional)……………………………………………… 3-61 3.2.2 Overview of Methods for Estimation of the Design Flood………. 3-68 3.2.3 Estimation of Hypothetical Floods……………………………….. 3-69 3.2.4 Estimation of Probabilistic Floods……………………………….. 3-72 3.2.5 Regional Flood Frequency Analysis……………………………… 3-76 3.2.6 Flood Wave Propagation…………………………………………. 3-77 3.2.7 Impact of snow melt contribution on Design Flood (Includes GLOF and cloud burst flood)………………………….. 3-78
  • 4.
    Project: Development ofHydrological Design Aids (Surface Water) under HP-II Document: 2009097/WR/REP-02 July 2010 State of the Art Report Revision: R0   iii  WATER RESOURCES   3.2.8 Development of Design Flood Hydrograph for Agricultural and Urban catchments……………………………………………. 3-79 3.2.9 Stationarity, trend and climate change…………………………… 3-79 3.2.10 Glossary…………………………………………………………... 3-81 3.2.11 References………………………………………………………... 3-83 3.3 Sedimentation Rate Estimation……………………………………………….. 3-87 3.3.1 General Concepts…………………………………………………. 3-87 3.3.2 Availability of Standards and Guidance………………………….. 3-89 3.3.3 Current Practice is different in different parts of world………….. 3-89 3.3.4 Historic development of reservoir sedimentation methods………. 3-90 3.3.5 Estimation of sediment yield……………………………………... 3-91 3.3.6 Assessment of sedimentation rates………………………………. 3-96 3.3.7 Increasing emphasis on mitigation methods……………………… 3-100 3.3.8 References………………………………………………………... 3-101 4. PROPOSED HYDROLOGICAL DESIGN PRACTICES……………………… 4-1 4.1 General……………………………………………………………………….. 4-1 4.2 Assessment of water resources potential – availability (HDA1)…………….. 4-1 4.2.1 Criteria With Checklist for choosing an established tool………… 4-2 4.2.2 Recommended Procedure………………………………………… 4-4 4.2.2.1 Pre-processing Functions………………………………………… 4-4 4.2.2.2 Techniques for Filling in Missing data…………………………… 4-4 4.2.2.3 Consistency test functions………………………………………... 4-5 4.2.2.4 Hind-casting of stream flow records where Precipitation data is Available…………………………………………………………. 4-5 4.2.2.5 Synthetic flow Generation………………………………………... 4-6 4.2.2.6 Naturalisation of Flow……………………………………………. 4-6 4.2.2.7 Rainfall Runoff Modelling……………………………………….. 4-7 4.2.3 Proposed Models-Description & Data Requirements……………. 4-12 4.3 Design flood Estimation (HDA2)…………………………………………….. 4-13 4.3.1 General……………………………………………………………. 4-13 4.3.2 Estimation of PMF & SPF & T-year Flood………………………. 4-13 4.3.3 Urban & Agriculture Catchments………………………………… 4-17 4.3.4 Road Map for Design Flood Estimation (HDA-2)……………….. 4-18 4.4 Sediment Rate Estimation (HDA-3)………………………………………….. 4-22 4.4.1 Estimation of Sediment Yield…………………………………….. 4-22 4.4.2 Distribution of Sediment in reservoir…………………………….. 4-23 4.4.3 Proposed Road Map (HDA-3)……………………………………. 4-24 TABLES Table 2.1 Rainfall runoff ratios for different surface conditions…………………….. 2.1-9 Table 2.2 Commonly used formulae………………………………………………… 2.2-2 Table 2.3 Decisive Parameters for Various purposes………………………………... 2.2-4 Table 2.4 Design Flood Values……………………………………………………… 2.2-6 Table 2.5 Comparison of Design Criteria……………………………………………. 2.2-8 Table 2.6 Comparison of Procedures for Design Flood Estimation…………………. 2.2-9 Table 2.7 Consequence Classification of Dams……………………………………... 2.2-12 Table 2.8 Synthetic UG Relations for Small/Medium Catchments………………….. 2.2-14 Table 2.9 Regional Flood Formulae for Small/Medium Catchment………………… 2.2-15 Table 2.10 Comparison of Goodness of fit Tests……………………………………... 2.2-20 Table 2.11 Comparison of Snowmelt Runoff…………………………………………. 2.2-25 Table 2.12 Characteristics of identified urban runoff models………………………… 2.2-31 Table 2.13 Region wise Sedimentation Rate in India…………………………………. 2.3-4 Table 3.1 Main data types used in water resources assessment……………………… 3-13
  • 5.
    Project: Development ofHydrological Design Aids (Surface Water) under HP-II Document: 2009097/WR/REP-02 July 2010 State of the Art Report Revision: R0   iv  WATER RESOURCES   Table 3.2 Hydraulic models and their data requirements……………………………. 3-15 Table 3.3 Types of data to which QAS apply………………………………………... 3-16 Table 3.4 Description of the steps taken for each level of quality assurance………... 3-17 Table 3.5 Guidelines for limits of infilling data where gaps or errors exist…………. 3-19 Table 3.6 Example methods of correcting or infilling gaps in data, their suitability and application……………………………………………………………. 3-21 Table 3.7 Details relating to catchments, catchment observed-flow series (gauged and naturalised) and model calibration periods…………………………... 3-29 Table 3.8 Form for identification of character of a catchment (Environment Agency, 2001)……………………………………………………………. 3-33 Table 3.9 Advantages and disadvantages of the two main approaches to melt Modelling…………………………………………………………………. 3-43 Table 3.10 Application of various sensors for particular snow properties……………. 3-46 Table 3.11 Classification of Water Conservancy and Hydropower Projects in China... 3-62 Table 3.12 Classification of hydraulic structures in China……………………………. 3-63 Table 3.13 Design flood criteria for permanent structures in China………………….. 3-63 Table 3.14 Check design flood criteria for permanent structures in China…………… 3-63 Table 3.15 Design flood and Check design flood criteria for powerhouse and non-damming structures in China………………………………………… 3-64 Table 3.16 Design flood criteria for temporary structures in China…………………... 3-64 Table 3.17 French dam safety assessment criteria……………………………………. 3-64 Table 3.18 Polish dam safety assessment criteria…………………………………….. 3-66 Table 3.19 UK dam safety assessment criteria………………………………………... 3-67 Table 3.20 US Federal recommended spillway design floods………………………… 3-68 Table 4.1 Checklist Matrix for Rainfall –Runoff models…………………………… 4-2 Table 4.2 Checklist Matrix for Water resources system models…………………….. 4-3 Table 4.3 Checklist matrix for River Basin models…………………………………. 4-4 FIGURES Figure 2.1 Schematic diagram of monthly runoff model……………………………... 2.1-17 Figure 2.2 Simplified flow chart of vertical balance within each ASA………………. 2.1-19 Figure 2.3 Sub-Zonal Map of India for Small/Medium Catchments flood studies…... 2.2-16 Figure 2.4 Map of India showing zone wise sedimentation rate……………………… 2.3-5 Figure 2.5 Iso-erosion rate (in Tonnes km-2yr-1) map of India (Garde and Kothyari,1987)…………………………………………………………… 2.3-8 Figure 3.1 Locations of the 15 catchments used in Jones et al. (2006)……………… 3-28 Figure 3.2 Reconstructed and measured river flow on the River Exe from 1907-11… 3-31 Figure 3.3 fundamental operations involved in modelling snowmelt………………... 3-40 Figure 3.4 Generalized depositional zones in a reservoir…………………………….. 3-88 Figure 3.5 Formation of fluvial delta in Lake Mead, USA – Smith et al (1954)……... 3-88 Figure 3.6 Average annual sediment yield versus drainage area for semiarid areas of the United States (Strand and Pemberton 1987)…………………………. 3-90 Figure 3.7 Sediment yield map for India (Shangle, 1991)……………………………. 3-93 Figure 3.8 Relationship between reservoir hydrologic size (capacity: inflow ratio) and sediment-trapping efficiency by Brune and the Sedimentation index approach by Churchill (Strand and Pemberton 1987)………………….. 3-97 Figure 3.9 Churchill curve for estimating sediment release efficiency (adapted from Churchill 1948)…………………………………………… 3-97 Figure 3.10 Temporal development of delta growth upstream of Bakra Dam, India. The rate of delta advance slows with time because Of the reservoir geometry, which depends and broadens in the downstream direction…… 3-99
  • 6.
    Project: Development ofHydrological Design Aids (Surface Water) under HP-II Document: 2009097/WR/REP-02 July 2010 State of the Art Report Revision: R0   v  WATER RESOURCES   ANNEXURES Annexure 2.1: Classification of Projects based the Type of Structure and on the Contemplated Use of Water Annexure 2.2: Commonly Used Methods for Consistency Tests Annexure 2.3: Yield Estimation - Guideline for the Preparation of Preliminary Water Balance Reports, NWDA, GOI, Nov 1991 Annexure 2.4: Yield Assessment - Manual on Planning and Design of Small Hydroelectric Schemes, CBIP, India, 2001 Annexure 2.5: Yield Assessment - Hydrological Aspects in Project Planning and Preparation of DPR, Training Directorate, CWC Annexure 2.6: Model Structure of Water Yield Model (WYM) Annexure 2.7: SHE Model Annexure 2.8: SCS – CN Based Hydrological Model Annexure 2.9: Tank Model Annexure 2.10: Lumped Basin scale Water Balance Model Annexure 2.11: SWAT Model Annexure 2.12: Artificial Neural Networks in Rainfall – Runoff Modelling Annexure 2.2-1: Practices by State Governments Annexure 2.2-2: Flood Formulae Annexure 2.2-3: Probabilistic approach for estimation of design flood Annexure 2.2-4: Deterministic or Hydrometeorological approach for estimation of design flood Annexure 2.2-5: Regional flood frequency analysis (Ungauged Catchments) Annexure 4.1: SWAT Model Annexure 4.2: Water Rights Analysis Package (WRAP) Annexure 4.3: HEC-HMS Soil Moisture Accounting (SMA) Model Annexure 4.4: Model E Annexure 4.5: HEC-RESSIM Annexure 4.6: Snowmelt Runoff Model WINSRM APPENDICES Appendix A Step-by-step guide to extending hydrological data Appendix B Snow melt model summaries Appendix C Case studies of snow melt model application and use Appendix D Rainfall-runoff model summaries Appendix E Hydraulic model summaries
  • 7.
  • 8.
    Project: Development ofHydrological Design Aids (Surface Water) under HP-II Document: 2009097/WR/REP-02 July 2010 State of the Art Report Revision: R0 ES - i WATER RESOURCES Executive Summary Hydrology Projects I and II aim to ‘support major aspects of India’s National Water Policy, particularly with regard to water allocation, and the planning and management of water resources development at the national, state, basin, and individual project levels. Hydrology Project-II is a sequel to its predecessor, Hydrology Project-I, which aimed to improve hydrometeorological data collection procedures in nine states and six central agencies. Hydrology Project-II builds upon the earlier project’s Hydrological Information System, through broadening the area of application to thirteen states and eight central agencies, and through various ‘vertical extension’ activities such as the current project. This project aims to develop Hydrological Design Aids to improve upon current design practices and to standardise those practices for uniform use all over the country. One of the first steps in enabling the development of such Hydrological Design Aids is to assess the current, relevant, state-of-the-art in tools and techniques used in India and around the world, and to review the international state-of-the-art with a view to transferring those tools and techniques for use in India. This report reviews the state of the art in the three key study areas: assessing water resource availability; estimating the design flood; and sedimentation rate estimation. The assessment is undertaken for the international context with reference to applicability in India. The main purpose of this review of the state-of-the-art in the three key study areas is to inform the process of development of three Hydrological Design Aids, one for each of those key study areas. The international state of the art is reviewed to enable a comparison with the procedures currently being carried out in India, and to help identify those techniques which would offer an improvement over current methods and that could sensibly be transferred for use in India. The report makes specific recommendations of those internationally employed tools and techniques that the authors believe to be suitable for use in India. The three matrices below (Tables 0.1-0.3) summarise the findings of the report. There is one matrix per Hydrological Design Aid. Each matrix presents the tools and techniques for the Indian and international contexts, grouped according to their areas of application. Each matrix, and each area of application, also presents a priority for those tools and techniques that could sensibly and usefully be employed as part of each Hydrological Design Aid under this project. Table 0.1:Summary of state of the art techniques & tools used in assessment of water resources potential Area of application of techniques & tools Techniques & tools used in Indian context Examples of techniques & tools used in international context Priority areas for further work (High to Low) (Low means that Indian methods are ‘state of the art’) Project pre-feasibility stage Strange’s Table Observed flow Empirical formulae ICAR formula for small watersheds Thorrnthwaite Mather’s formula Empirical calculations to estimate seasonal flows, mean flow and low flows Rainfall-runoff models, HYSIM Water resource systems models High
  • 9.
    Project: Development ofHydrological Design Aids (Surface Water) under HP-II Document: 2009097/WR/REP-02 July 2010 State of the Art Report Revision: R0 ES - ii WATER RESOURCES Area of application of techniques & tools Techniques & tools used in Indian context Examples of techniques & tools used in international context Priority areas for further work (High to Low) (Low means that Indian methods are ‘state of the art’) AQUATOR HEC-ResSim River basin models, e.g. MIKE BASIN WRAP IRAS Project design stage Observed flows Rainfall Runoff models Regression relationship Snowmelt model Simple conceptual model - Degree day method SLURP model Rainfall-runoff models PDM CatchMOD HEC-HMS IHACRES HYSIM NAM SHE SWAT Hydraulic models InfoWorks RS InfoWorks ICM Mike 11 SOBEK Snow melt runoff models Temperature-index models HBV SRM SNOW-17 Energy balance approach PRMS SSARR- energy budget method Combined approach NWS RFS UBC Watershed model; PREVAH. Glacier melt runoff models SRM-ETH; WaSiM-ETH HBV (glacier module) High
  • 10.
    Project: Development ofHydrological Design Aids (Surface Water) under HP-II Document: 2009097/WR/REP-02 July 2010 State of the Art Report Revision: R0 ES - iii WATER RESOURCES Table 0.2:Summary of state of the art techniques used in the estimation of design flood Area of application of techniques and tools Techniques and tools used in Indian context Techniques and tools used in international context Priority areas for further work ( High to Low) (Low means that Indian are ‘state of the art’) Recommended Approach Spillways of major and medium dams: maximum probable flood as derived using unit hydrograph and maximum probable storm. Where Annual Maximum flood series is available, Probability distribution methods like Log Normal(2 and 3 parameters), Pearson, Log Pearson and Gumbel for 10000 year flood are used. Barrages and minor dams: standard project flood (SPF)/500 yr flood for free board, 50 yr flood for remaining aspects Miscellaneous hydraulic structures: 50-100 year flood to be used ICOLD: PMF as design standard for large dams; Australia: PMF-DF is design flood for which probability of flood=probability of rainfall; Canada: PMP for large dams, WMO procedures as per Operational Hydrology Report No. 1 China: 5 project ranks based on scale, benefit & importance to economy; France: H√V (H= dam height, V = storage capacity); Germany: Spillway capacity fro large dams=1000 yr flood; Iran: 24 hr PMP estimates are derived using statistical analysis with a frequency factor of 9.63. For basins of 1000 sq km and less the statistical estimates are used while for larger basins the estimated derived on physical basis are used. Japan: For concrete dams larger of, 200 yr flood at site Maximum experienced at site Maximum that can be expected 1000 yr flood for embankment dams Kenya: WMO recommended procedures Malaysia: PMF derived from PMP; Norway: Spillway capacity for Low Low Low
  • 11.
    Project: Development ofHydrological Design Aids (Surface Water) under HP-II Document: 2009097/WR/REP-02 July 2010 State of the Art Report Revision: R0 ES - iv WATER RESOURCES Area of application of techniques and tools Techniques and tools used in Indian context Techniques and tools used in international context Priority areas for further work ( High to Low) (Low means that Indian are ‘state of the art’) large dams=1000 yr flood; Poland: Dams classified according to foundation & potential consequences; Sweden: Large dams designed according to pessimistic assumptions about precipitation, snow-melt & soils; UK: Dams in 4 categories with various design standards; USA: Spillway design according to hazard and size class Estimation of hypothetical floods Determination by Empirical formulae 1. Formulae involving drainage area only: i. Dicken’s Formula ii. Ryve’s Formula iii. Ingis iv. G.C. Khanna v. Nawab Jung Bahadur Formula vi. W P Creager’s Formula 2. Formulae involving total runoff and drainage area: i. Boston Society of Civil Engineers Formula 3. Formulae involving rainfall intensity and drainage area: i.Rational Formula 4. Formulae involving rainfall and drainage area: Unit Hydrograph; SCS method; Probable Maximum Flood; Probable Maximum Precipitation; Continuous Simulation;; Distributed catchment modeling (Topmodel, HBV, Lisflood, PDM, Catchmod) High
  • 12.
    Project: Development ofHydrological Design Aids (Surface Water) under HP-II Document: 2009097/WR/REP-02 July 2010 State of the Art Report Revision: R0 ES - v WATER RESOURCES Area of application of techniques and tools Techniques and tools used in Indian context Techniques and tools used in international context Priority areas for further work ( High to Low) (Low means that Indian are ‘state of the art’) i. Graig’s Formula Determination using envelope curves – one for south India, another for Central/North India. Upper curves corresponds to world records, average line and lower envelope curves for PMF peaks developed by CWC and other organizations PMP, SPS, PMF Hydrometeorological approach Estimation of Probabilistic Floods Gumbel’s Method Selection of frequency distribution (Log Normal(2 and 3 parameters), Pearson, Log Pearson and Gumbel); Plotting rules for observations; Parameter fitting (Graphical, Least squares, Max likelihood, PWM, L-moments); Goodness of fit tests Choice of statistic (AM, POT) Selection of distribution (Normal, Lognormal, Gumbel, GEV, Log- Pearson III); Plotting rules for observations; Parameter fitting (Graphical, Least squares, Min variance, Max likelihood, PWM, L-moments); QdF methodology; High Regional Flood frequency analysis CWC analysis of small catchments for various hydro meteorological zones of India Use of L-moments for RFFA based on available data. Index flood method Index flood methods based on data availability and complexity; Regional growth curves. Determination of homogeneous regions High
  • 13.
    Project: Development ofHydrological Design Aids (Surface Water) under HP-II Document: 2009097/WR/REP-02 July 2010 State of the Art Report Revision: R0 ES - vi WATER RESOURCES Area of application of techniques and tools Techniques and tools used in Indian context Techniques and tools used in international context Priority areas for further work ( High to Low) (Low means that Indian are ‘state of the art’) Assessing the impact of snowmelt contribution GLOF by CWC Empirical Relationship GLOF: use techniques similar to dam break assessment for high risk glacial lakes SRM model for snowmelt contribution High Development of design flood hydrograph for agricultural & urban catchments No standardized methodology exists. Rational Formula Use SCS Where no standardized methodology exists (e.g. FEH in UK), use SCS HEC-HMS kinematic wave model High Table 0.3:Summary of state of the art techniques used in sedimentation rate estimation Area of application of techniques & tools Techniques & tools used in Indian context Techniques & tools used in international context Priority areas for further work (High to Low) (Low means that Indian methods are ‘state of the art’) Estimation of sediment yield Maps of sediment yield in various regions of India. Sediment rating curves Universal soil loss equation Delivery ratio Reservoir surveys SWAT (used by researchers) Global maps of sediment yield Sediment rating curves Soil Loss Equations: USLE, MUSLE, RUSLE Delivery Ratio Spatially distributed models: AnnAGNPS, HSPF, MIKE-SHE, SWAT High Assessment of sedimentation rates Churchill / Brune curves Empirical relations for trapping efficiency (Churchill/Brune curves) Numerical sedimentation modelling: 1D (RESSASS , Mike 11, InfoWorks, HEC-RAS) and 2D & 3D models High
  • 14.
    Project: Development ofHydrological Design Aids (Surface Water) under HP-II Document: 2009097/WR/REP-02 July 2010 State of the Art Report Revision: R0 ES - vii WATER RESOURCES The tables given above present specific tools for use at particular points in a typical project. Figure 0.1 presents a typical engineering project cycle, such as for reservoir design, for example. It shows the main stages of the project, from concept through pre-feasibility and feasibility studies, on to detailed design and engineering, then operational monitoring and finally evaluation. The figure shows the main stages of the project cycle which would use the types of tools and techniques presented in this state of the art report. Figure 0.1 Project cycle diagram showing types of tools and techniques used at each stage of a typical project This report considers the data necessary for hydrological assessment of water resources availability and yield and methods of adjusting these data, including gap-filling and extending of time series. It goes on to describe the various options available for modelling and forecasting of water resources including in those areas affected by flows from snow and glaciers – there are clearly large and important basins in India to which this applies. The report does not claim to be comprehensive in terms of considering all options available worldwide, as there are an extremely large number of tools which have been developed while only a small number are in widespread use. Rather, the report is intended to give a summary of the major tools in use and in some cases relating to data management, examples of standard practice from the UK as an example of best practice internationally. The sections on design flood estimation and estimation of sedimentation rate are less extensive, being smaller areas of research internationally and depending to some extent on the water resources data and data management techniques described in the first section. The review of Indian practices being followed at present vis-à-vis International practices as summarised in the three matrices above indicates that a large number of models / practices could be attempted in Indian scenario if the information base was available. Keeping in view the available data in India through the Water Resources Information System (WRIS) being developed by CWC, HIS system developed under HP-I, Survey of India topographical sheets, Thematic maps of soils from National Bureau of Soil Survey, Agricultural Report from All India Soil and Land Use Survey and other data from Directorate of Land Use and Land Records, National Thematic Mapping Organisation
  • 15.
    Project: Development ofHydrological Design Aids (Surface Water) under HP-II Document: 2009097/WR/REP-02 July 2010 State of the Art Report Revision: R0 ES - viii WATER RESOURCES and Indian Meteorological Department, the following techniques are recommended in the three study areas. A. Assessment of Water resources potential – availability (HDA-1) Processes Tools suggested Flow naturalisation WRAP, NWDA Water Balance method (in house) Synthetic Flow Generation AR, MA, ARMA, Seasonal ACF and PACF Analysis Data validation Precipitation Graphical Plot of Data for multiple stations for checking spatial variability Double Mass Curve Discharge Graphical Plot of Discharge with time Graphical Plot of discharge with respect to any adjacent basin upstream or downstream (if homogenous) / rainfall Residual series plot Trend line Plot Moving Average Flow Mass curve Student t – test and f – test Data gap infilling Interpolation by extending a trend between the recorded data points either side of the gap e.g. exponential decay during low flows Simple bridging using a straight line Using spline technique to insert a curved line that can be used for inserting peaks / troughs Hind-casting of flow data with Rainfall-Runoff modelling MWSWAT, Thornthwaite-Mather model HEC-HMS Regression Techniques Water resources system modelling Hec ResSim River basin modelling WRAP Snowmelt runoff modelling (including segregation into rainfed and snowfed, seasonal and permanent snowline, rainfall and snowfall characteristics) WINSRM / MWSWAT Glacier melt runoff modelling SRM Technique for assessing the potential impact of climate change MWSWAT
  • 16.
    Project: Development ofHydrological Design Aids (Surface Water) under HP-II Document: 2009097/WR/REP-02 July 2010 State of the Art Report Revision: R0 ES - ix WATER RESOURCES B. Assessment of Design Flood (HDA-2) Type of Basin Approach suggested Tools/Models suggested Gauged Basins Hydrometeo rological approach i. Tool for development of response function for basins of size less than 5000 km2 which will include determination of T-hour unit hydrograph using storm event and concurrent discharge values, Collin’s method, Nash model, Clark model. ii. Tool for storm analysis which includes determination of depth area duration curves, guidelines for storm transposition, storm maximization, barrier adjustment and development of storm hyetograph. iii. Tools for IDF curve analysis. iv. Tool for determination of Parameters of Muskingum Cunge method of channel routing v. SRM model for snowmelt contribution vi. HEC-RAS model for GLOF routing. Separate tool will be developed for routing in steep slopes. vii. Tool for integrating GLOF with the intermediate catchment runoff. viii. For computation of flood hydrograph HEC-HMS model have been identified Probabilisti c Approach i. Tools for data mean, SD, skewness, kurtosis and detection of outliers. ii. Tools will be developed for parameter estimation of four identified parameter estimation techniques (Method of moments, method of maximum likelihood, Probability weighted moments and L-moments approach) for Normal, Lognormal, Pearson III, Log Pearson III, Gumbel and GEV distributions. iii. Tools for 4 (Chi-square, KS test, Cramer Von Mises and ADC) Goodness of fit tests iv. Interface will be developed for graphic representation of best fit distribution and original series with confidence band
  • 17.
    Project: Development ofHydrological Design Aids (Surface Water) under HP-II Document: 2009097/WR/REP-02 July 2010 State of the Art Report Revision: R0 ES - x WATER RESOURCES Ungauged/ Partially gauged Basins Hydrometeo rological approach (synthetic Unit Hydrograph) i. Determination of response function for basins of size less than 5000 km2 using Snyder’s method, Dimensionless unit hydrograph and GIUH where concurrent rainfall and discharge data are not available. ii. Tools for implementation of CWC sub zonal reports. iii. SRM model for snowmelt contribution iv. HEC-RAS model for GLOF routing. Separate tool will be developed for routing in steep slopes. v. Tool for integrating GLOF with the intermediate catchment runoff. vi. For computation of flood hydrograph HEC-HMS model have been identified Regional Flood frequency Approach i. Tools to implement L-moment approach of RFFA analysis ii. Tools for USGS method and Pooled curve method iii. Tools for identification of region of influence (ROI) of the Ungauged basins Urban and Agricultural catchments Hydrometeo rological Approach i. Tool for Rational method for both urban and agricultural catchments ii. Kinematic wave model of HEC-HMS for Urban catchments iii. SCS Curve number method of HEC-HMS C. Sediment Rate Estimation (HDA-3) Processes /Study areas Tools suggested Estimation of sedimentation yield Reservoir Trap Efficiency Distribution of Sedimentation in Reservoirs 1. Use of actual observed data (a) Development of sediment rating curves and flow duration curves and their use for assessing sediment yield/rates (b) Use of reservoir resurvey data and trap efficiencies for assessing sedimentation yield/rates 2. Development of GIS based regional relations for four identified river systems based on observed data and for use in ungauged areas. 3. Use of MWSWAT model 1. Revision of empirical Brune’s curves using reservoir resurvey data from Indian reservoirs 1. Revision of empirical sedimentation distribution procedures using reservoir resurvey data from Indain reservoirs. 2. Use of one dimensional model like HEC-RAS
  • 18.
  • 19.
    Project: Development ofHydrological Design Aids (Surface Water) under HP-II Document: 2009097/WR/REP-02 July 2010 State of the Art Report Revision: R0 1-1 WATER RESOURCES 1. INTRODUCTION 1.1 BACKGROUND OF THE PROJECT Environmentally, socially and financially sound management of water resources requires long-term, reliable hydrologic information. Poor availability of comprehensive and good quality hydrologic data leads to unsound planning and inadequate design and operation of water resources projects. The National water policy emphasis that a well developed information system, for water related data in its entirely, at the national / state level is a prime requisite for resources planning. In this background, Ministry of Water Resources, Government of India had earlier executed a World Bank assisted Hydrology Project – I (HP- I) for improvement of hydrometeorological data collection procedures. HP-I was successfully concluded in 2003 wherein 9 states and 6 central agencies including Central Water Commission (CWC) participated. The Hydrological Information System (HIS) created under Hydrology Project-I has the provision for collection, collation, and storing of Hydro-meteorological data that includes both Surface Water (SW), Ground Water (GW), Rainfall and Water Quality data. HP-I has strengthened technical capacities of all participating agencies for moving towards long term data management. This proved an important step in the direction of creating awareness about the importance of this data asset among the participating states/ central agencies for proper hydrological planning for water resources projects. Government of India is now implementing a Hydrology Project – II (HP-II) as a sequel to HP-I for building on and expanding development of a comprehensive Hydrological Information System for improving access and use by various data user departments and others in the society to boost efficient water resources planning and management. Activities under HP-II have been planned both as horizontal and vertical extension of HP-I and as horizontal extension, the project is being implemented in 13 states and 8 central agencies. As a part of vertical extension, one of the activities proposed is “Development of Hydrological Design Aids (HDAs)” with an aim to derive benefits from the works done under HP-I and to facilitate the use of HIS created under HP-I. The development of Hydrological Design Aids for use by all the States and Central Agencies is being done through a consultancy project and Central Water Commission has appointed M/s Consulting Engineering Services (India) Private Limited (CES) as the consultants for Development of Hydrological Design Aids (Surface Water). The Contract No.:4/7/2009- RDD/1 for consultant’s services for Development of Hydrological Design Aids (Surface Water) between CWC and CES was signed on November 18, 2009 and the consultants started the work from December 9, 2009. 1.2 NEED FOR DEVELOPMENT OF HDAS Water Resources projects play a major role in the development of society, and for meeting the increasing requirements of water, it is necessary that the hydraulic structures are planned after intensive and extensive investigations and studies on various aspects of Hydrology. Hydrological inputs form a basic ingredient for planning various water resources projects. As the subject of hydrology is a database science, application of its knowledge to practical problems requires a great deal of experience and sound judgement on the part of Hydrologists and investigators. Proper hydrologic design of the projects results in better overall utilization of available resources in general and needs more reliable estimates of available yield, spillway capacity, and sedimentation etc. for better management and safety of hydraulic
  • 20.
    Project: Development ofHydrological Design Aids (Surface Water) under HP-II Document: 2009097/WR/REP-02 July 2010 State of the Art Report Revision: R0 1-2 WATER RESOURCES structures. Since, a great deal of experience is required in solving practical problems the need for acceptable design criteria’s/ guidelines/ aids have always been felt by practicing engineers and hydrologists the world over including in India. Obviously the criteria’s and design practices have evolved alongwith man’s experience, understanding of the principles of hydrology and the practices being followed in different parts of the world. Centuries old local water resources systems exist in the World and also in India, to meet the basic needs for drinking water and irrigation. These works were not designed on any hydrological design practices. As the science and man’s understanding progressed the practices for the hydrological design of water resources projects improved and today the use of untested empiricism has disappeared and has given way to rational hydrologic analysis. With the developments in computer technology the techniques of hydrologic analysis have further improved and procedures/guidelines have also suitably improved and updated. Any hydrological study requires hydro-meteorological and hydrological data as a basic input and the techniques and procedures which can be used depend to a great extent on the availability of the information base. The techniques should therefore be suitably selected in different data situations. At the same time the use of standardized hydrological design practices in various organizations in the country is essential for uniformity in approach for optimal planning of any Water Resources Project. It is therefore considered very important to estimate the hydrological design parameters using standard design practices all over the country and adopting state of the art technology to the extent it is possible keeping in view the database that is available. In the above background, the HDAs are being developed so as to overcome the limitations of the current design practices and to standardize these practices for uniform use all over the country. Under the project, the existing design practices are to be taken into consideration for improvements in consultation with the states and CWC. 1.3 HYDROLOGICAL STUDIES REQUIRED FOR A WATER RESOURCES PROJECT The terms of reference of the project not only require the development of HDAs but also highlight the issue of integration of the design aids to produce a compact version and also to have a provision for preparation of the hydrology chapter of a Detailed Project Report of a water resources project. It is proposed to first prepare the configuration to produce a hydrology report and the developed system should be an interactive system to prompt the user to provide for certain information which will be necessary for producing the hydrology report. The inputs to the report would have to be provided as basic inputs such as proposed project features, general characteristics of the interest areas etc. and also the study results in a desired format that will be obtained through the developed HDA tools. The hydrology report is to be as per the latest guidelines issued by Ministry of Water Resources/ CWC. The Ministry of Water Resources guidelines for preparation of Hydrology Chapter for a detailed project report (DPR) indicate that information on following aspects should be covered in the hydrology chapter of the DPR. a) General Climate and Hydrology: This should cover general information about the region, specific information about drainage basin, command area, floods and drainage, river geometry, ground water recharge, reservoir area, other water usage, navigation and information on available meteorological and hydrological data supported by inventories. Specifications of formats and details to be provided are highlighted in the guidelines. b) Hydrological Data Requirement
  • 21.
    Project: Development ofHydrological Design Aids (Surface Water) under HP-II Document: 2009097/WR/REP-02 July 2010 State of the Art Report Revision: R0 1-3 WATER RESOURCES This section shall discuss the type and extent of Hydrological Inputs required for the proposed plan of development. The inputs required based on various developments are stipulated in the guidelines. c) Compilation and processing of Basic Hydrological Data This part shall discuss the details of the specific data collected for the purpose. The basic/ processed hydrological data should be collected, compiled and discussed. Processing of data, adjustment of records, consistency of data will be carried out and discussed. The processed data shall be compiled and furnished keeping in view the hydrological inputs required for the studies for development in question. d) Preparation of Hydrologic Inputs for Simulation This section shall cover the details and results of the analysis made for preparation of various hydrologic inputs required for simulation studies to supplement the available data. Studies completed for water inflows, lake evaporation, sedimentation studies to evaluate effect of depletion of reservoirs’ useful capacity and potential evapotranspiration and rainfall in command shall be discussed. e) Preparation of Hydrological Inputs for studies other than Simulation This part of the hydrology chapter shall include the studies and their results relating to design flood, design flood level and tail water rating curve etc. Studies required for design flood for safety of structures, flood storage and flood control works, design of drainage in command area, diversion arrangements, levels for locating structures on river banks etc. shall be discussed. f) Simulation Studies This section shall discuss the details of the simulation studies and the conclusions arrived there from. The studies carried out for the alternative under consideration shall be discussed in detail explaining all the factors and assumptions that have been made. g) Effect of Project on Hydrologic Regime The guidelines stipulate that this section shall include effect on low flows, peak flood, total runoff and sediment flows in different reaches of the river due to the project. The information on above aspects will have to be collected/ compiled through the data inputs and studies carried out through the developed HDA tools so as to produce the hydrology chapter of the DPR. 1.4 DESIGN PARAMETERS FOR DEVELOPMENT OF HDA As indicated in para 1.3 above, the hydrology report for a proposed project should cover general information, data requirements and processing, studies for preparation of hydrological inputs, conclusions through the simulation studies and effect of the project on hydrologic regime. It is seen that for any hydrological study the three main design parameters are: a) Assessment of the resource potential for sizing a water resources development project b) Estimation of design flood for the safety of any hydraulic structure c) Estimation of sediment rate so as to assess the economic life of the project
  • 22.
    Project: Development ofHydrological Design Aids (Surface Water) under HP-II Document: 2009097/WR/REP-02 July 2010 State of the Art Report Revision: R0 1-4 WATER RESOURCES In view of the above, the terms of reference of the consultancy assignment include, following areas for developing HDA tools. HDA 1: Assessment of Water Resources Potential – Availability/ Yield Assessment HDA 2: Estimation of Design Flood; and HDA 3: Sediment Rate Estimation The resource assessment study is generally required to finalize water yield series as per the requirements of a project. The finalization of yield series will deal with various data availability situations and as per TOR, all methodologies on different time steps are to be developed for different data availability scenarios. For the ungauged catchments regional water availability models based on observed hydrological and meteorological data of few selected catchments in the region will be developed. Regional models are to be developed for minimum four identified river systems of the country. The water resources potential assessment would end up with the assessment of virgin flows and procedure for estimating the uncertainties or minimizing the uncertainties. These have to be the integral part of this design aid. For a snow covered catchment, the detail for flow segregation i.e. rainfed and snowfed seasonal/ permanent snow line, rainfall and snowfall characteristics are to be defined. It would be well compatible to deal different types of inhomogeneity present in a project catchment. Snow melt estimation model under different data scenario is to be developed. The design aid would also address the issue of data requirement and make references to prevalent standard procedure for observations world wide and in India and suggestions on improvement of data collection techniques. Various sub components in the yield series estimation would be able to be used as stand alone wherever limited use is required. Under HDA 2, design flood for different purposes is to be finalized based on all practices in vogue including all standard approaches and data availability scenarios. The design flood estimation will cover hydrometeorolocial approach, statistical approach and regional approach. These approaches are used currently, as such, the basic objective is to develop standard methods in the forms of easy to use monographs and/ computer software, through critical reviews of the existing National and International practices. The method and techniques that are currently being applied in India will be improved in conjunction with the recommended methodologies used internationally as good practices, especially for ungauged or partially gauged catchments. The HDA 2 to be developed will also consider cases of unregulated and regulated natural streams having hydraulic structures upstream and downstream of the considered location. The techniques in-built in HDA 2 would thus also cater for integrated operation of reservoirs considering channel and reservoir routing as an integral part. The TOR also include development of proper methodology for snow melt contribution in case of snow fed catchments, methodology for estimation of GLOF (Glacier Lake Outburst Flood) and hydrological planning of agricultural and urban catchments. Under HDA 3 the basic objective is to determine the appropriate Dead Storage Elevation (New Zero Elevation) for storage reservoirs for different time horizons as per BIS and CBI&P guidelines. In case of gauged streams the collected/ observed sediment data will be used and for ungauged catchments, the regional sediment curves (iso-erosion lines) are required to be prepared for four different regions of the country based on observed information for rivers/ reservoirs.
  • 23.
    Project: Development ofHydrological Design Aids (Surface Water) under HP-II Document: 2009097/WR/REP-02 July 2010 State of the Art Report Revision: R0 1-5 WATER RESOURCES 1.5 SCOPE AND METHODOLOGY FOR THE CONSULTANCY The hydrological design aids are proposed to be developed after due consideration and assessment of the prevalent design practices recommended by CWC and other state water resources departments, prevailing design practices in other parts of the World and their relevance with respect to India both from techno-economic considerations and data requirements and availability. The existing BIS and national guidelines available for determination of various hydrological parameters are to be customized with modifications to make them more rational and scientific to suit the requirements both in terms of degree of accuracy and ease with which these can be used by water resources planners. The TOR of the assignment require that a state of the Art Report (SAR) on each design aid is produced which covers various National/ International practices, and recommends various practices that can be used in Indian scenario. The SAR for all the three disciplines viz. water availability, estimation of Design Floods and Sedimentation is to be prepared after review of practices followed world wide and within India and has to cover the practices that are followed globally with the information on data requirements for following such practices. The practices followed in India by various organizations have been studied through the available documents/ guidelines issued by CWC, BIS and other organizations. The practices followed world wide have been studied by the team of experts of the consultant through literature survey and various guidelines issued by important organizations working the world over in the field of hydrology and available publications of International Organizations viz. World Meteorological organizations and UNESCO etc. The outcome of these studies and review of practices followed nationally/ internationally in the three disciplines of water availability, estimation of design flood and sedimentation is elaborated in the following chapters.
  • 24.
  • 25.
    Project: Development ofHydrological Design Aids (Surface Water) under HP-II Document: 2009097/WR/REP-02 July 2010 State of the Art Report Revision: R0 2.1-1 WATER RESOURCES 2. PREVALENT DESIGN CRITERIA AND PRACTICES: THE INDIAN PERSPECTIVE Hydrology Project-I was set up to improve the Hydrological Information System (HIS) in India to arrive at comprehensive, easily accessible, and user-friendly databases covering all aspects of the hydrological cycle. Such data are a prerequisite for a rational water resources planning and management in a country facing already severe water shortages in the present, not to mention in the near future. The HIS comprises the following components: • A network of observational stations including sampling sites established to collect the basic data for different meteorological, hydrological and geohydrological variables. • A system of Water Quality Laboratories to analyze water samples on the concentration of various water quality variables. • A system of Data Processing Centres at various levels to enter the observed data on magnetic media and to subsequently process the data to arrive at reliable information for transfer to the database. • Data Storage Centres, where both field and processed data sets are stored, i.e. processed data for dissemination to the data users and field data for archiving original observation and to permit inspection and revalidation at a future date if required. The data collected range from surface water variables (including precipitation, stage, discharge, and rating equations), through water quality variables and groundwater variables. The data available through the HIS should enable more effective use of the tools developed under Hydrology Project-II. 2.1 ASSESSMENT OF WATER RESOURCES POTENTIAL – AVAILABILITY / YIELD ASSESSMENT 2.1.1 Approach While planning projects, one was accustomed to deal with availability of water in terms of annual totals, average or 75% dependable flows (annual volume). These concepts did not address the availability of water at shorter intervals and at critical times which are crucial for the planning, layout and design of hydraulic structures. With the upstream developments and storage and complexity of systems – simulation of actual operation for satisfying various demands is a necessity at the planning stage itself. For such simulation to be done, one has to have a reasonable picture of anticipated post project conditions. The objective of the current chapter is to briefly cover the design criteria/practices/guidelines as stipulated by MOWR, CWC, NWDA, BIS, State Design offices, premier research organisations and by various agencies working in the field of water availability and yield studies in India. Under HP-I project, data processing software HYMOS was developed which is being used in Central Water Commission besides nine states in India and other central agencies. The existing practices discussed also include the various processing models which are in HYMOS. 2.1.2 Hydrological data type and extent of hydrological inputs With reference to Guidelines for preparation of Detailed Project Reports of Irrigation and Multipurpose projects, Government of India, Ministry of Water Resources (MOWR) / Guidelines for Detailed Project Report by Central Water Commission (CWC), the type and extent of hydrological inputs for the proposed plan of development depends on the type of
  • 26.
    Project: Development ofHydrological Design Aids (Surface Water) under HP-II Document: 2009097/WR/REP-02 July 2010 State of the Art Report Revision: R0 2.1-2 WATER RESOURCES structure and on the contemplated use of water at storage space. The classification of alternative plans based on above inputs are indicated in Annex- 2.1. 2.1.3 Compilation and Hydrological Data Processing 2.1.3.1 Filling of short data gaps a) As per the Guidelines for preparation of Detailed Project Reports of Irrigation and Multipurpose projects, MWR / Guidelines for Detailed Project Report by CWC, the techniques which are proposed for gap filling are as follows : • Random choice from values observed for that period • Interpolation from adjoining values by plotting a smooth hydrograph • Using average production with normals for the adjoining stations • Double Mass curve techniques • Correlation with adjoining stations either of the same/different hydrologic element • Auto correlation with earlier period at the same station • Any other b) In the HYMOS software, following methods are available for filling of short data gaps. i. Linear interpolation, ii. Block type filling-in iii. Series relation iv. Spatial interpolation. i. Linear interpolation Linear interpolation is a method of curve fitting using linear polynomials. It is a simplest form of interpolation. In a number of cases gaps in series can well be filled-in by linear interpolation between the last value before the gap and the first one after, provided that the distance over which interpolation takes place is not too large. If the two known points are given by the coordinates and , the linear interpolant is the straight line between these points. For a value x in the interval , the value y along the straight line is given from the equation: (1) Solving this equation for y, which is the unknown value at x, gives (2) which is the formula for linear interpolation in the interval ii. Block type filling – in Filling-in data according to the block-type comprises the replacement of missing data by the last non-missing value before any gap. iii. Series relation Relation/regression equations can be used to fill-in missing data, provided that the standard error in the fit is small. Polynomial / simple linear / exponential equations can be used to fill- in missing data. Regression models involve the following variables: • The unknown parameters denoted as β; this may be a scalar or a vector of length k. • The independent variables, X. • The dependent variable, Y.A regression model relates Y to a function of X and β.
  • 27.
    Project: Development ofHydrological Design Aids (Surface Water) under HP-II Document: 2009097/WR/REP-02 July 2010 State of the Art Report Revision: R0 2.1-3 WATER RESOURCES The approximation is usually formalized as E(Y | X) = f(X, β). To carry out regression analysis, the form of the function f must be specified (polynomial/linear/exponential). iv. Spatial interpolation The spatial interpolation technique is applicable to quality and quantity parameters with a spatial character, like rainfall, temperature, evaporation, etc., but sampled at a number of stations (point measurements). Missing data at a test station are estimated by weighted averages of observations at neighbouring stations. The weights are inversely proportional with some power of the distance between the test station and the neighbour stations. The requirements of this method are: • series with selected data type and the same interval as the one under investigation should be available; • the distance between the test station and a neighbor should be less than a specified maximum correlation distance Rmax (km); Estimation of point rainfall The point estimate for the base station u at a given point x based on the observations uk = u(xk) for k = 0,1,...,N at N neighbour stations for the same time interval is given by equation: (3) Where, (4) x denotes an interpolated (arbitrary) point, xk is an interpolating (known) point, d is a given distance from the known point xk to the unknown point x, N is the total number of known points used in interpolation and p is a positive real number, called the power parameter. c) As stipulated in Guide to Hydrological Practices, WMO No. 168, “judgement is required in deciding how much missing data should be estimated. If too few gaps are estimated, then large quantities of nearly complete records may be ignored. If too many data are estimated, then the aggregate information content may be diluted by interpretation. It is rarely justified to estimate more than five or 10 per cent of a record.” 2.1.3.2 Adjustment of records a) The adjustment of flows to natural and virgin conditions for historical use in the upper reaches requires withdrawal data, reservoir operation data and irrigation statistics. Where adjustments due to upstream storage are made, storage changes and evaporation losses are to be accounted for. Apart from adding upstream withdrawals, return flows have to be subtracted. (Reference: Guidelines for preparation of Detailed Project Reports of Irrigation and Multipurpose projects, MWR / Guidelines for Detailed Project Report by CWC) i. The adjustment of the observed flows/sediment data may not be necessary if • Utilisation by upstream projects has been same throughout the period of observation of flows and sediment. • The pattern of usage has not changed appreciably or with a definite need ii. Adjustment with the flow and sediment records shall be required in other cases e.g. where appreciable changes in land use have taken place. iii. Adjustment of flood and low flows to remove the effect of upstream regulation may be required where this is appreciable.
  • 28.
    Project: Development ofHydrological Design Aids (Surface Water) under HP-II Document: 2009097/WR/REP-02 July 2010 State of the Art Report Revision: R0 2.1-4 WATER RESOURCES b) Natural (virgin) flow in the river basin is reckoned as water resource of a basin. The mean flow of a basin is normally obtained on pro-rata basis from the average annual flow at the terminal site for the desired period. For an overall assessment of water resource of a basin, data of runoff (i.e., discharge or flows) for about 20 years may be considered adequate, whereas for detailed project involving planning data for a much longer period is needed. In case observed data for the entire period needed are not available, the gap is filled in by interpolation or extrapolation, as needed, based on rainfall-runoff equations. (Reference: Report of the working Group on Water Availability for use, National Commission for Integrated Water Resources Development Plan, MWR, India, September, 1999)) Water resources have already been developed and utilized to a considerable extent in the river basins through construction of major or medium storage dams and development of hydropower, irrigation and other water supply systems. A large number of diversion schemes and pumped schemes have also been in operation. Assessment of natural flow has become complex in view of the upstream utilization, reservoir storages, regenerated flows and return flows, etc. The natural flow at the location of any site is total of observed flow, upstream utilization for irrigation, domestic and industrial uses both from surface and ground water sources, increase in storage of reservoirs and evaporation losses in reservoirs. Return flows from different uses from surface and ground water sources are deducted. The following equation describes the computation of natural flow from observed runoff, utilizations for different uses, effect of storage, evaporation loss and return flows from different uses. R(N) = R(O) + R(IR) + R(D) + R(GW) – R(RI) – R(RD)- R(RG) + S + E (5) Where R(N) – Natural flow, R(O) – Observed flow, R(IR) – Withdrawal for irrigation R(D)- Withdrawal for domestic and industrial requirements R(GW) – Groundwater withdrawal S- Increase in storage of the reservoirs in the basin, E-Net evaporation from the reservoirs R(RI)- Return flow from irrigated areas, R(RD)- Return flow from domestic and industrial withdrawal, R(RG) – Return flow from ground water withdrawal. The data on abstractions for irrigation are generally obtained from the records maintained by irrigation project authorities. Where such records are not available, the abstractions are estimated from information on area irrigated and the delta. Data on withdrawals for the purposes of domestic and industrial uses are not generally available. Hence, only rough estimates are made on the basis of population and available information on per capita for domestic use and industrial uses. The total ground water draft for the country as a whole is estimated by Central Ground Water Board. Ground water utilization for different years is estimated based on ground water draft. For some of the existing reservoirs, records of evaporation losses are maintained by project authorities. Where such data are available, they are used to estimate evaporation losses. In case of projects, where such data are not available, generally 20 percent of annual utilization is taken as evaporation loss. Return flows from irrigation use are assumed at 10 to 20 percent of the water diverted from the reservoir for irrigation. In case of localized use of ground water for irrigation, the return
  • 29.
    Project: Development ofHydrological Design Aids (Surface Water) under HP-II Document: 2009097/WR/REP-02 July 2010 State of the Art Report Revision: R0 2.1-5 WATER RESOURCES flow is assumed to be negligible. The return flows from domestic and industrial uses either from ground water or surface water source are assumed to be 70 to 80 percent. 2.1.3.3 Consistency of data a). The methods indicated for checking data consistency as per Guidelines for preparation of DPR of Irrigation and Multipurpose projects, Government of India, MWR / Guidelines for Detailed Project Report CWC are: Internal consistency The check can be done by stage discharge relationship for different periods. Large variations, if any, shall be investigated, corrected and explained suitably. External consistency The consistency of observed data shall be discussed with reference to the rainfall in the project catchment and observed data in adjacent locations / basins. The consistency can be checked by • Comparing monthly and annual rainfall with corresponding runoff • Comparing average annual specific flow with corresponding figures at other sites of the same river or adjacent basin • By comparing the hydrograph of daily discharge at the control point with adjacent sites • By use of double mass curve techniques Details of the study made for various hydrological observations at control points and sites maintained by CWC/states and other agencies shall be summarised and presented as: • Average annual/monthly/seasonal flow volumes expressed as depth of water over drainage area • Average maximum/minimum discharge (cumec/sq km for concurrent period) b) The methods discussed in Hydrological aspects in Project Planning and Preparation of Detailed Project Report by Training Directorate, Central Water Commission are: Internal consistency • Absolute limits • Rate of change • Graphical plot • Time series analysis External consistency • Comparison plots • Residual series • Double mass curve • Rainfall-Runoff comparison • Regression Technique c) Some of the methods for consistency tests for validation of series available in HYMOS are : Listing of series Table of time series, with marking of the origin of the series, (i.e. original, completed or corrected) or the quality of the series (i.e. reliable, doubtful or unreliable). Screening of series Table of time series, with basic statistics and marking of outliers. Comparison of series For pairs of series all elements are shown at the times they differ. Tabulation of series Column-wise presentation of up to 6 series side by side. Less/greater than Only data less than or greater than a specified value are tabulated.
  • 30.
    Project: Development ofHydrological Design Aids (Surface Water) under HP-II Document: 2009097/WR/REP-02 July 2010 State of the Art Report Revision: R0 2.1-6 WATER RESOURCES Same readings Table of time series, with marking if consecutive value is same for specified number of time steps. The Time series graphs options are meant for data validation purposes and/or reporting. This option include graphs of: • Time series, i.e. plot of an infinite number of series for the same time period, plotted as lines and/or as bars. • Residual series, i.e. a time series plotted relative to its mean as a function of time. • Residual mass curves, i.e. a time series plot of accumulated differences from the mean. • Moving averages, i.e. plot of time series with its moving average over a specified period. • Water balances, i.e. plot of a computed sum or difference of time series. • Data Availability, i.e. plot of time periods where data is non-missing. • Derivative, i.e. a time series plot of the difference between each time step. • Log-Log, i.e. a plot of two series on a double logarithmic scale. • Combined series, i.e. a time series plot of a series with the stage discharge data of the same time period. • Series with limits, i.e. a time series plot of a series with its maximum and minimum limits. The consistency tests with respect to average flow series for yield study are : Double Mass Curve Arithmetic serial correlation coefficient: a test for serial correlation; Wilcoxon-Mann-Whitney U-test Wilcoxon Wtest: a test on difference in the mean between two series Student t-test: a test on difference in the mean between two series Linear trend test: a test on significance of linear trend by statistical inference on slope of trend line; Some of the above mentioned methods which are commonly used for consistency tests are described in Annex 2.2. 2.1.3.4 Data Extension The study and methodology used (Reference : Guidelines for preparation of DPR’s of Irrigation and Multipurpose projects, Government of India, MWR / Guidelines for DPR by CWC) for extending short term runoff series to desired length of time are as follows : a. Co-relating runoff data with concurrent data on rainfall of long term stations in the same catchment or data of runoff of adjacent long term stations and applying these co-relations developed to past data of long-term stations of rainfall-runoff b. Such correlation shall be developed for each time unit selected. The following points are required to be considered • Rainfall-runoff correlation may not be feasible or necessary for non-monsoon period • Overall acceptability of correlation shall be checked • Random components may be considered where corrections are not very strong. Based on the information / inputs required, and having assessed the basic data availability, the hydrologist has to use various techniques to extend/generate long term flow sequence for proper evaluation of water availability and project planning. The observed data at a desired location is commonly not available and as such suitable techniques to extend / generate long term flow sequence is generally used in India. The methodology/models used for this purpose could be (a) Data Extension (b) Information transfer from one catchment to another (c)
  • 31.
    Project: Development ofHydrological Design Aids (Surface Water) under HP-II Document: 2009097/WR/REP-02 July 2010 State of the Art Report Revision: R0 2.1-7 WATER RESOURCES Transfer of model coupled with data extension and (d) Synthetic generation of data. In India Rainfall-Runoff or Runoff-Runoff correlations of different forms are commonly adopted. 2.1.3.5 Data generation Two approaches are recommended for data generation as per Guidelines for preparation of DPR’s of Irrigation and Multipurpose projects, Government of India, MWR / Guidelines for DPR by CWC which are : Stochastic modelling – Study of Trends and cycles in the data, justification and necessity of removal of trend and cycle, auto-correlation and possibility of smoothening auto-correlation values from regional studies, frequency distribution of random error component, generation of random numbers. Conceptual Modelling 2.1.4 Water Availability Assessment Water availability estimation is acknowledged as a central governing factor in determining the size of a project. Various approaches have been formulated by different agencies for estimation on different time scale which have been compiled in the present section. The procedure / methodology adopted for working out water balance covers type of soil, estimation of yield, ground water potential, water requirement, regeneration etc. The methodology stated in yield estimation as per Guideline for the preparation of preliminary Water Balance Reports, NWDA, GOI has been presented as Annex 2.3 The purpose of water availability assessment of any type of hydroelectric projects is to compute streamflow series over a period of time of about 20-25 years. This flow series is utilised to fix the installed capacity of power house and to evaluate energy generation. The methodology for computing flow series would depend upon the type and extent of available river flow data. The hydrologic techniques to be adopted for inflow studies would cater to the following data situations. a) Long term measurement of river flows, say 20-25 years b) Short-term measured river flows (say 5-10 years) and long term rainfall records in the relevant catchment c) Short term measured river flows but no records of rainfalls in the relevant catchment under two situations : • Data available for a period of 5-10 years • Data collected for a minimum period of two lean and one flood season The methodologies under the above data scenarios as outlined in Manual on Planning and Design of Small Hydroelectric Schemes, CBIP, India are given in Annex 2.4 . Finalisation of yield series at a given location in a catchment depends on many factors. Some of these factors are interdependent. The most rational approach in finalization of flow series for a water resource project is based on site specific data. In such a case, final yield series can be recommended after validation and processing of flow data. But this is a rare case and most of time, flow data upstream or downstream are used. However, due consideration should be given regarding the contribution of intervening catchment in case flows of nearby G&D site is being utilized. The methodologies of water availability assessment as per Hydrological Aspects in Project Planning and Preparation of DPR, Training Directorate, CWC, MWR, GOI are indicated in Annex 2.5.
  • 32.
    Project: Development ofHydrological Design Aids (Surface Water) under HP-II Document: 2009097/WR/REP-02 July 2010 State of the Art Report Revision: R0 2.1-8 WATER RESOURCES Provision of Environmental Flows National Water Policy (MOWR 2002) ranks “ecology” as the fourth item in the list of priorities for water-allocation. As the progressive degradation of the water environment became evident, environmental concerns have started to gain strength. This is, perhaps, where and when the term ‘minimum flow’ originated from. Minimum flow was understood as a flow, which is needed (to be released) downstream from the dams for environmental maintenance. The issue of minimum flow was highlighted in a judgment of the Supreme Court of India, which in 1999 directed the government to ensure a minimum flow of 10 cubic meters per second (m3/s) in the Yamuna River as it flows through New Delhi for improving its water quality. Since then the minimum flow requirement in rivers has been discussed at several forums (but primarily in the context of water quality). In 2001, the Government of India constituted the Water Quality Assessment Authority (WQAA) which in turn constituted, in 2003, a Working Group (WG) to advise the WQAA on ‘minimum flows in rivers to conserve the ecosystem’. Despite the continuous use of the term ‘minimum flow’, the committee made the following recommendations; Himalayan Rivers 1. minimum flow to be not less than 2.5% of 75% dependable Annual flow expressed in cubic meters per second. 2. one flushing flow during monsoon with a peak not less than 250% of 75% dependable annual flow expressed in cubic meters per second. Other Rivers 1. Minimum flow in any ten daily period to be not less than observed ten daily flow with 99% exceedance. Where ten daily flow data is not available this may be taken as 0.5% of 75% dependable flow expressed in cubic meters per second. 2. One flushing flow during monsoon with a peak not less than 600% of 75% dependable flow expressed in cubic meters per second. The committee also noted that this recommendation will have to be reviewed in collaboration with International Water Management Institute (IWMI) and other world bodies. The IWMI findings are documented in Report no 107 , where in a method to compute Environmental flows is proposed and these flows are computed for various ecological conditions for various Indian rivers. Further a Global Environmental Flow Calculator (GEFC) is now available fro IWMI and can be used for computing environmental flows. 2.1.5 Continuous simulation Models / related data processing model developed in India 2.1.5.1 HYPRO package HYPRO package has been developed for data storage, processing and retrieval system for hydrological data by National Institute of Hydrology (Reference : Report No UM-47 National Institute of Hydrology,1995-96). The software has been proposed to overcome inefficiencies and consequent difficulties of multi file organization in data handling. Hydrological analysis which can be performed are as follows. (i) Statistical summary (viz. mean, standard deviation, skewness, kurtosis, series correlation coefficient an maximum and minimum of data series) (ii) Time series analysis (viz. Autoregressive model for simple case of stream flow, Moving average model, Auto Regressive-Moving Average method for mixed behavior of stream flow (combination of precipitation and groundwater flow), Auto covariance and Auto correlation coefficient model) Finally an iterative approach of model building has been described (viz. Model identification, Parameter estimation Diagnostic Checking).
  • 33.
    Project: Development ofHydrological Design Aids (Surface Water) under HP-II Document: 2009097/WR/REP-02 July 2010 State of the Art Report Revision: R0 2.1-9 WATER RESOURCES (iii) Frequency analysis (fitting various probability distributions to hydrological data if stochastic component of the time series is independent. Finally, outlier/inlier analysis, check for persistence and plotting position has also been done.) 2.1.5.2 Water Yield Model (WYM) The system Engineering Unit of Central Water Commission has developed a Water Yield Model as an aid to Water Resources Planning and water management decisions. This is a lumped parameter continuous model for simulating runoff volumes on monthly basis. A comprehensive planning by system analysis involving integration of various reservoir operation require monthly flows at all key reservoir sites. Further, the location of raingauges matching the pattern of rainfall spatial variability from month to month is the limiting factor for the size of the catchment that can be modelled by their lumped approach. Due to lumping of rainfall inputs over a month, the sensitiveness of the mechanism infiltration, percolation, overland flow, interflow, baseflow and the ground water storage are reduced on account of their lumping over a month. Therefore, modelling of three main constituents namely, evapotranspiration, surface runoff and base flow by appropriate mathematical formulations is considered to be adequate rather than to model all the processes involved in the land phase of the hydrologic cycle. The model structure has been described in Annex 2.6. The model has been used in several catchments in India successfully. 2.1.6 Rainfall-Runoff Models developed for some regions in India : Strange evolved some ratios between rainfall and runoff based on data of Maharashta, India. He accounted for the geological conditions of the catchment as good, average and bad, while surface condition as dry, damp and wet prior to rain. The values recommended by him are given in Table 2.1 Table 2.1 Rainfall runoff ratios for different surface conditions Daily rainfall (mm) Runoff percentage and yield when the original stage of ground is Dry Damp Wet Percentage Yield (mm) Percentage Yield (mm) Percentage Yield (mm) 5 - - 4 0.2 7 0.35 10 1 0.10 5 0.5 10 1.00 20 2 0.40 9 1.8 15 3.00 25 3 0.75 11 2.75 18 4.50 30 4 1.20 13 3.9 20 6.00 40 7 2.80 18 7.2 28 11.20 50 10 5.00 22 11.0 34 17.00 60 14 8.46 28 16.8 41 24.60 70 18 12.61 33 25.10 48 33.60 75 20 15.00 37 27.75 52 41.25 80 22 17.6 39 31.20 55 44.00 90 25 22.5 44 39.60 62 55.80 100 30 30.00 50 50.00 70 70.00 Note : for good or bad catchment add or deduct up to 25 % yield. Inglis and De Souza’s Formula (1946) : Inglis and De Souza used data from 53 stream gauging sites in Western India. He studied catchments in western ghats and plains of Maharashtra, India and gave the following relationships
  • 34.
    Project: Development ofHydrological Design Aids (Surface Water) under HP-II Document: 2009097/WR/REP-02 July 2010 State of the Art Report Revision: R0 2.1-10 WATER RESOURCES For ghat areas R = 0.85 P – 30.5 (6) For Plains R = 254 )8.17( PP − (7) Where R = runoff (cm) P = precipitation (cm) Binnie’s percentages (1872) (taken from Hydrology Part III 1978) Sir Alexander Binnie measured the runoff from a small catchment (16 km2) near Nagpur during 1869 and 1872, developed curves of cumulative runoff against cumulative rainfall (for annual rainfall of 500 to 800 mm) and established percentages of runoff from rainfall. These percentages have been used in the Madhya Pradesh and Vidarbha regions of Maharashtra for the estimation of mean annual flow. Khosla (1949), developed a relationship for monthly runoff: Rm = Pm – Lm (8) Lm = 0.48 Tm for Tm > 4.5 0 C (9) where: Rm = Monthly runoff in cm , Pm = Monthly rainfall in centimeters (cm), Lm = Monthly losses in centimeters, Tm = Mean monthly temperature of the catchment in o C. He supplied provisional values of losses for different temperatures. Annual runoff can be estimated as a sum of monthly values. Khosla’s formula is indirectly based on the water-balance concept and the mean monthly temperature is used to reflect the losses due to evapotranspiration. The formula has been used on a number of catchments in India and is found to give fairly good results for the annual yield for use in preliminary studies. UP Irrigation Research Institute (1960) formulae: Uttar Pradesh Irrigation Research Institute, Roorkee, has developed the following relationships between runoff and precipitation: Himalayan rivers Ganga Basin at Hardwar (23,400 km2 ) R = 5.45 P0.60 (10) Yamuna Basin at Tajewala (11,150 km2 ) R = 0.354 P0.11 (11) Sharda Basin at Banbassa (14,960 sq.km) R = 2.7 P0.80 (12) Bundelkhand area rivers (in Uttar Pradesh State) Garai Basin at Husainpur (290 km2) R = 0.58 P −2.8 (13) Ghori Basin at Ghori (36 km2) R = P −62.3 (14) Ghaghar Basin at Dhandraul (285 km2) R = 0.38P (15) Sukhra Basin at Sukhra (15 km2) R = 0.47 P −2.8 (16) Karamnasa Basin at Silhat (518 km2) R = 0.49 P (17) where: R is runoff in centimeters and P is rainfall in centimeters. UPID’s formula. The Uttar Pradesh Irrigation Department (UPID) developed the following correlation between rainfall and runoff for Rihand River: R = P −1.17 P 0.86 (18) Where: R and P are runoff and rainfall in centimeters.
  • 35.
    Project: Development ofHydrological Design Aids (Surface Water) under HP-II Document: 2009097/WR/REP-02 July 2010 State of the Art Report Revision: R0 2.1-11 WATER RESOURCES A Rational relationship was developed by Narsimaiya et. Al. (!991) to derive rainfall –runoff relationship for Subernarekha river basin taking into account antecedent rainfall effect, land use, elevation and catchment slope. Kothyari (1995) used data from 31 non-snow fed catchments in India with areas less than 1,515 km2 in the Indian states of Uttar Pradesh, Madhya Pradesh, Bihar, Rajasthan, West Bengal and Tamil Nadu – to develop a simple method for the estimation of monthly runoff for the monsoon months of June to October in the following form: { }[ ] )()(/)1()1(1)(1)()( 1)( IPIPIPIKIKIKIR IN −−−+= − (19) where: R(I) = monthly runoff during the Ith month, P(I) = monthly areal rainfall during the Ith month, K(I) and n(I) are parameters for the Ith month with K(I)<1.0 and n(I)>1.0. The values of the exponent n(I) were found to vary significantly in Damodar (Bihar), Barakar (Bihar), Mayurakshi (West Bengal), Chambal (Madhya Pradesh), Lower Bhawani (Tamil Nadu) and Ram Ganga River (Uttar Pradesh) during any one month and the coefficient K was found to be related to T, FA and A according to equation given below as it represents the loss from the total rainfall. K = 260.9 T-2.02 FA -0.05 A0.05 where: T is temperature in o C, A is the catchment area in km2 and FA is the percentage of forest area. The values computed by the model were then compared with the corresponding observed values of runoff. This comparison revealed that the proposed method produces results with an error less than 25% for 90% of the data points. However, an error of less than 50% resulted for the arid catchments from the Chambal Basin (Madhya Pradesh). References Inglis, C. C and De souza, “ A critical study of runoff and floods of catchment of the Bombay Presidency with a short note on loss from lakes by evaporation”, Bombay PWD Technical paper No. 30 (1930). Dhir, R. D., P.R. Ahuja and K. C. Majumdar, “ A study on the success of reservoir based on actual and estimated runoff”, Paper presented at the Research Session of Central Board of Irrigation and Power, India (1958). Narasimaiya, M. K. , Upadhyay A, “Computer Applicartion in Hydrology for Runoff Determination – A Rational Method”, National Seminar on use of Computers in Hydrology & Water Resources, CWC, 1991. Jha R., Smakhtin V., “A review of methods for H/ydrological estimation at ungauged sites in India”, IWMI Working Paper 130 UPIRI (Uttar Pradesh Irrigation Research Institute). 1960. Rainfall-runoff studies for a few Himalayan and Bundelkhand catchments of Uttar Pradesh TM 30-RR (HY-31). Inglis, C. C. and de Souza (1946). Meanders and their bearing in river training. Maritime Paper No. 7, Institution of Civil Engineers, London. Khosla, A. E. 1949. Analysis and utilization of data for the appraisal of water resources, The Central Board of Irrigation and Power Journal. Kothyari, U. C. 1995. Estimation of Monthly Runoff from Small Catchments in India. Journal of Hydrological Sciences 40: 533-541.
  • 36.
    Project: Development ofHydrological Design Aids (Surface Water) under HP-II Document: 2009097/WR/REP-02 July 2010 State of the Art Report Revision: R0 2.1-12 WATER RESOURCES 2.1.7 Design Practices adopted by State Government for yield estimation in India, Based on the reports and informations collected from states, it has been observed that the yield estimation procedures adopted by various states are in confirmation with the Central Water Commission and Indian Standards guidelines, in general under the constraints of data availability. Maharashtra state, Water Resource Department has reported that the yield assessment are based on 1980 Working Group Recommendations, GOI. PWD Handbook, Government of Maharashtra, Chapter 19 on Hydrology describes the rainfall, evaporation, transpiration, Evapotanspiration and discharge measurement related methodologies, regression and correlation analysis techniques. Data Processing Centre at Nashik are using state of the Art methods through HYMOS, SWDES and WISDOM in data processing. The procedure of water availability study involves utilisation of observed gauge discharge / Tank gauge data. Standard procedures are used in computing basin average rainfall. Naturalization of flow is made by Water Balance method considering upstream utilizations. The yield series is developed from rainfall-runoff correlation. The practices followed by Gujarat Water Resource Department in water availability involve the following procedures - Collection and checking of data - Rainfall – Interpolation and adjustment of missing data - Naturalization considering upstream utilizations - Developing regression model for monsoon periods and non monsoon period - Net yield calculation considering all upstream existing and planned utilizations. In Himachal Pradesh, small hydroelectric projects as run of the river schemes are developed which are based on the existing gauge data. In the presence of flow informations available in the same or nearby homogenous basins, catchment area proportioning method is used. In the absence of any coefficient based on catchment characteristics is evolved. The procedure and Criteria followed by State Govt of Rajasthan are: When the observed runoff data are not available, the yield is computed using Strange’s table. The Strange’s table gives runoff for good, average and bad catchments and surface conditions ciz dry, damp and wet prior to the rain. When the observed runoff data along with the observed rainfall of any nearest G & D site is available the yield is computed using regression analysis. A relation between observed monthly rainfall and observed monthly runoff for the G & D site is generated and it is transposed over the catchment of the project using the rainfall-runoff relationship between observed rainfall of G & D site and observed rainfall for the project. The Procedure and Criteria followed by State Govt of West Bengal are : For extension of streamflow records, the following methods are used: 1. Double Mass curve method 2. Correlation with catchment areas 3. Regression analysis 4. Index-station method 5. Langbeins log deviation method. For yield assessment of Damodar river basin (19 900 km2 ) Dhir, Ahuja and Majumdar’s Relation is adopted : R = 13 400P – 5.75 x 105 Where R = Runoff (cm) and P = Precipitation (cm)
  • 37.
    Project: Development ofHydrological Design Aids (Surface Water) under HP-II Document: 2009097/WR/REP-02 July 2010 State of the Art Report Revision: R0 2.1-13 WATER RESOURCES 2.1.8 State-of-the-Art technology developed in various parts of the world and applied in Indian catchments by various Premier Research Institutes of India Several flow simulation models available internationally were applied in Indian catchments by premier research organisations. The results and conclusions are briefly mentioned as : The ‘Systeme Hydrologique Europeen’ modeling system has been applied to six subcatchments covering about 15000 km2 of the Narmada basin in Madhya Pradesh, Central India by J.C.Refsgaard, S. M. Seth, J.C.Bathurst, M. Erlich, B. Storm, G. H. Jorgensen and S. Chandra (1992) (Refer Appendix D8 for model description and Annex 2.7 for details) From the application and results obtained from six catchments in India, the authors conclude that SHE is able to reproduce the rainfall-runoff process and give a physically reasonable representation of intermediate hydrological processes for characteristic monsoon environment. The data requirement of SHE although high, can be collected from different agencies and a supplement of field data is desirable for an improved assessment of hydrological regimes. Considering the generalized structure and process description, SHE is recommended as the optical tool only for some types of hydrological problems like a) Rainfall-runoff modeling for extension of streamflow records from long historical rainfall series, simpler models will be equally accurate and easier to apply. SHE is therefore not generally recommended for tackling problems related to prediction of discharge from a catchment. b) For issues related to effects of man’s activities, land use changes, interaction between surface and ground water, water management in command area, effects of climate change etc., SHE is well suited. c) SHE is well suited for water quality and soil erosion modeling. ----------------------------------------------------------------------------------------------------------------- A Modified SCS-CN Based Hydrologic Model was applied by Dr. S. K. Mishra (Reference : TR(BR) – 2 / 1999-2000). The model formulation is based on conversion of precipitation to rainfall excess using SCS-CN method and its routing by single linear reservoir and linear regression techniques with following assumptions : • The variation of parameter S was governed by antecedent moisture condition. • The baseflow was assumed to be a fraction of the infiltration amount. • The baseflow was routed to the outflow of the basin using lag and route method. • The parameters of the model was computed using non-linear Marquardt algorithm. The model was applied to daily rainfall-runoff data of Hemvati catchment and upper Ramganga catchment of 600 sq km and 3134 sq km area respectively. By study under various cases of calibration and validation data pattern , the author has concluded that data length of higher magnitude is required for stability of model parameters. (Refer Annex 2.8 for details) ----------------------------------------------------------------------------------------------------------------- The modified SCS-CN method has been used for continous modeling for volume of surface runoff for small agriculture watersheds in Ramganga and Hemvati catchments of India by S.K.Mishra, V. P. Singh (1999). The modifies version assumes that the initial abstraction component accounts for surface storage, interception and infiltration before runoff begins. Therefore, it can take any value from 0 to ∞. The authors concluded that the modified version of SCS-CN method is more accurate than the existing SCS-CN method.(Refer Annex 2.8 for details) ----------------------------------------------------------------------------------------------------------------- A time distributed spatially lumped SCS-CN based runoff method is developed and applied to seventeen events of Jhandoo Nala watershed in Himalaya affected by mining activities, and
  • 38.
    Project: Development ofHydrological Design Aids (Surface Water) under HP-II Document: 2009097/WR/REP-02 July 2010 State of the Art Report Revision: R0 2.1-14 WATER RESOURCES seven events of 3F subzone watershed of river Godavary by S.M. Seth, S. K. Mishra (Reference : Technical Report No TR (BR)-3/1999-2000, National Institute of Hydrology) (Refer Annex 2.8) ----------------------------------------------------------------------------------------------------------------- Application of tank model for hydrological studies in India has been limited. 4×4 tank model for daily analysis was used by Datta (1984) for simulating daily streamflows in two sub- basins in Central India. Kandaswamy et al (1989) applied tank model for simulation of daily stream flows in two mountainous rivers in Southern India. Ramasastri (1990) applied of tank model for a mountainous river in western India. The performance of the model was better due to the fact that the model is a continuous model and the antecedent conditions were well represented in the dataset. There was appreciable variation in surface flow and comparatively less variation in the interflow and sub-baseflow. However, the common conclusion was that the parameter calibration of the Tank Model is difficult and a very time consuming task. (Refer Annex 2.9 ) ----------------------------------------------------------------------------------------------------------------- S. M. Seth and P. Nirpama (reference : NIH TR-42 ) developed flow series for four sites in Mahanadi basin using HEC-4 model. Single, two and three station analysis have been carried out to identify the best combination of stations for flow generation so that the historical mean, standard deviation and serial correlation co-efficients are reproduced by the generated series. It is concluded from the study that there is no difference between simulated results of two station and three station models. However, the two station model is able to reproduce better statistical characteristics of historical series than the single station analysis model. ----------------------------------------------------------------------------------------------------------------- A lumped basin-scale water balance model (named KREC v.2 ) based on Thornthwaite- Mather water balance accounting procedure was developed by Nandagiri (2002). The model utilizes inputs of rainfall and potential evapotranspiration and gives continous output of direct runoff, subsurface runoff, groundwater recharge, baseflow, actual evapotranspiration and total runoff. (Refer Annex 2.10 ) The KREC model Version 2 was applied to the gauged Gurpur River basin (841 km 2 ) located in the Dakshina Kannada district. separately to each land-use class under each soil group and streamflow was simulated for the period 1976–1986. An area-weighted streamflow was then computed by summing the model simulated stream-flows from each category. With a Nash- Sutcliffe coefficient of 0.92 and correlation coefficient of 0.96 between simulated and observed flows during the entire period, the model indicates fairly good performance. ----------------------------------------------------------------------------------------------------------------- A conceptual rainfall-runoff model (named Model E ) developed by R. Khosa in his research thesis “Long term spatial analysis of Hydrology of a river basin” consists of five parameters namely; Evapo-transpirative loss parameter for irrigated areas, evapo-transpirative loss parameter for non-irrigated areas, maximum soil moisture capacity, parameter for partitioning flow into quick and slow release components and parameter for slow release from ground water storage. The total water drained from soil pores, which would be available as runoff is also assumed to be partitioned into two components namely, quick flow component (QIF) and percolation to ground water store component (PGW) in this model. The quick flow component is assumed to be the basin’s immediate response to water application and the percolation component is assumed to add to the ground water store, from which water is released to the river in proportion to the available ground water storage. Model E was applied to sixteen subbasins of Cauvery river basin to simulate runoff on the river at the outfall. The five parameter model was found suitable for rainfall-runoff modeling on a monthly basis. ----------------------------------------------------------------------------------------------------------------- The Soil and Water Assessment Tool (SWAT) model (Arnold et al., 1998) developed by Agricultural Research Service, Blackland, Texas, USA is a distributed parameter and
  • 39.
    Project: Development ofHydrological Design Aids (Surface Water) under HP-II Document: 2009097/WR/REP-02 July 2010 State of the Art Report Revision: R0 2.1-15 WATER RESOURCES continuous time simulation model with an Arc View GIS interface (AVSWAT) for the pre and post processing of data and outputs. (Refer Appendix D and Annex 4.1 for details) A case study has been taken up in the Bolangir district of Orissa State to demonstrate the capabilities of SWAT model in generating information that is crucial for implementing integrated watershed management programme in an effective manner. The efficacy of new tools to be provided to handle the complexities of the integrated watershed management philosophy in a scientific manner has been discussed in the paper titled “Swat implementation for watershed management in india & suggested improvements” by A. K. Gosain, Sandhya Rao Under the Project “Water Resource management for Himachal Pradesh” sponsored by the Council for Science, Technology and Environment, Govt. of Himachal Pradesh undertaken by INRM Consultants and Technology House Consortium, an integrated approach was demonstrated through the strength of IT and other latest technological advancements including SWAT. The project covered two river systems: Indus and Yamuna. While Indus river system comprises of Sutlej, Beas, Ravi and Chenab, the Yamuna river system comprises Giri and Pabbar. The application of SWAT has been in developing annual and monthly water yield for the basins. Under “Impact Assessment of Climate change on water resource of two river systems in India”, Jalvigyan Sameeksha Vol 22, 2007 by Gosain, A. K. and Rao, S, a study was conducted to quantify the impact of climate change on water resources of India using a hydrological model. Simulation of 12 major river basins have been conducted with 20 years of data. The paper analyses river basins Godavari and Tapi with their sub-basins in water yield and drought analysis. ----------------------------------------------------------------------------------------------------------------- An artificial neural network (ANN), usually called "neural network" (NN), is a mathematical model that tries to simulate the structure and/or functional aspects of biological neural networks. It consists of an interconnected group of artificial neurons and processes information using a connectionist approach to computation. A typical neural network consists of an input layer, a hidden layer and an output layer. The number of neurons in the input layer and output layer correspond to the number of inputs and outputs respectively. The number of neurons in the hidden layer is usually determined by trial and error procedure. The hidden neurons extract useful information from inputs and use them to predict the outputs. The mathematical model of a neural network comprises of a set of simple functions linked together by weights. (Refer Annex 2.11 for details). ANN has been used for continous simulation of water yield, which are briefly described as follows : Raman & Sunil kumar (1995) used a feed forward back propagation type ANN to synthesize reservoir inflow series for two sites in the Bharathapuzha basin, South India. The compared the performance of ANN model with multivariate autoregressive moving average (ARMA) models. The results obtained using the neural networks compared well with those obtained using an statistical model indicating that the network exhibits a potential for a competitive alternative tool for the analysis of multivariate time series. Rajukar et al (2002) applied artificial neural network (ANN) methodology to model daily flows during monsoon flood events for a large size catchment of the Narmada River in Madhya Pradesh, India. The developed model was shown to provide a systematic approach for runoff estimation and displayed improvement in prediction accuracy over the other models. Sudheer et al (2002) presented a new approach for designing the network structure in an artificial neural network (ANN)-based rainfall-runoff model. The method utilized the statistical properties such as cross-, auto- and partial-auto-correlation of the data series in identifying a unique input vector that best represents the process for the basin, and a standard algorithm for training. The methodology was validated using data for a river basi in India. The results of the study were found to be promising and showed the potential of significantly reducing the effort and computational time required in developing an ANN model
  • 40.
    Project: Development ofHydrological Design Aids (Surface Water) under HP-II Document: 2009097/WR/REP-02 July 2010 State of the Art Report Revision: R0 2.1-16 WATER RESOURCES Rajukar et al (2004) modeled the rainfall-runoff process by coupling a simple linear model with the ANN. The study used data from two large size catchments in India and five other catchments used earlier by the World Meteorological Organization (WMO) for inter- comparison of the operational hydrological models. The study demonstrated that the adopted approach for modeling produced reasonably satisfactory results for data of catchments from different geographical locations, proving its versatility. Agarwal and Singh (2004) developed Multi layer back propagation artificial neural network (BPANN) models to simulate rainfall-runoff process for two sub-basins of Narmada river (India) viz. Banjar up to Hridaynagar and Narmada up to Manot considering three time scales viz. weekly, ten-daily and monthly with variable and uncertain data sets. The BPANN runoff models were developed using gradient descent optimization technique and were generalized through cross-validation. In almost all cases, the BPANN developed with the data having relatively high variability and uncertainty learned in less number of iterations, with high generalization. Performance of BPANN models was compared with the developed linear transfer function (LTF) model and was found superior. Raghuwanshi et al (2006) developed ANN models, to predict both runoff on a daily and weekly basis, for a Nagwan watershed of Upper damodar valley. A total of five models were developed for predicting runoff, of which three models were based on a daily interval and the other two were based on a weekly interval. All five models were developed with one and two hidden layers. Each model was developed with five different network architectures by selecting a different number of hidden neurons. The models were trained using monsoon season June to October data of five years, 1991–1995 for different sizes of architecture, and then tested with respective rainfall and temperature data of monsoon season June to October of two years 1996–1997. Sharma and Tiwari (2009) developed bootstrap based artificial neural networks using hierarchical approach of inclusion of inputs for prediction of monthly runoff from upper damodar valley catchments, India. Best performance was observed for ANN model with monthly rainfall, slope, coarse sand, bifurcation ratio and Normalized Difference Vegetation Index (NDVI) as inputs (r = 0.925 and COE = 0.839). The study proposed using the specific combinations of soil, topography, geomorphology and vegetation inputs for better prediction of monthly runoff. ----------------------------------------------------------------------------------------------------------------- 2.1.9 Snowmelt Hydrology 2.1.9.1 Introduction The Indus, Ganges and Brahmaputra river systems receive substantial amounts of melt water from the Himalaya and are considered as the life-line of the Indian sub-continent. The majority of rivers originating from Himalayas have their upper catchments in the snow- covered area and flow through steep mountains. Estimation of the volume of water draining from the snow and glaciers is needed for effective management of water resources. Despite their well recognized importance and potential, very few attempts have been made to assess the contributions in these rivers. Lack of data is a major restriction in categorizing the rivers which contribute greater proportions of snow and glacier melt runoff. 2.1.9.2 Snowmelt Modeling Several snowmelt forecasting models have been developed internationally to suit specific needs and hydrologic conditions. These are either data intensive and / or complex to handle. Very few models can handle varied hydrologic conditions in general. The popular ones include SSAR (US Army 1972), SRM (Martinec, 1975), PRMS (Leavesly, 1983), UBC (Quick et al. 1977) etc.
  • 41.
    Project: Development ofHydrological Design Aids (Surface Water) under HP-II Document: 2009097/WR/REP-02 July 2010 State of the Art Report Revision: R0 2.1-17 WATER RESOURCES In India some efforts have been made for modeling rainfall-runoff in Himalayan catchments. Roohani (1986) carried out a detained study for modeling runoff from several subcatchments in Chenab basin. His model was based on split watershed approach by subdividing it into permenant snow covered, temporary snow covered and snow free zones. Runoff coefficient from the above three zones along with two routing coefficients were optimized using least- square criterion for computing daily flows. Seth (1983) developed a model for Sutlej basin using pattern search optimization. Singh and Quick (1993) have applied the UBC model for simulation of flows in Sutluj river. Kumar et al (1991) applied SRM model to river Beas in Himalayas. Rao et al. (1991) also used SRM model with some modifications for its application to river Beas. A regression model using percentage snow covered area of Satluj basin abov Bhakra and seasonal snowmelt runoff was developed by Ramamorthi (1983; 1987). Ferguson (1985) made a study of Indus rivers in Himalayas and developed a model using glaciological and climatological factors besides snow cover area on annual basis. Some of the important findings include: i) The melt season commences around March in Himalayas and contributions from snowmelt continue upto September ii) Simple degree day approach is well suited for typical conditions of data availability and physical processes in Himalayan basins. iii) There is a good correlation between snowmelt runoff and snowcover area for Himalayan basins. Keeping in view of the data constraints, Rao et al (1996) proposed a simple conceptual monthly runoff model with relatively few parameters for snow dominated catchments in Western Himalayas, using the degree day method. The model used monthly rain, snow (snow water equivalent), mean air temperature and snowline elevation as primary inputs. Conceptually the model divided the catchment into 3 zones. These include permanent snow covered zone, temporary snow covered zone and the snow free zone. Each zone is further subdivided into several elevation bands through the area elevation curve. Flows from the three zones are integrated (area convolution) and routed through a linear reservoir (Chow 1991) with an optimal storage coefficient K using least square criterion (Rosenbrock technique) to obtain computed flows. The schematic representation of the model is shown in Figure 2.1 . Figure 2.1: Schematic diagram of monthly runoff model.
  • 42.
    Project: Development ofHydrological Design Aids (Surface Water) under HP-II Document: 2009097/WR/REP-02 July 2010 State of the Art Report Revision: R0 2.1-18 WATER RESOURCES Where, k = number of elev. bands in perm. snow zone connected in parallel (constant) (suffix indicates months starting from March to October) m = no. of elevation bands in temp. snow zone connected in parallel (variable) n = no. of elevation bands in snow free zone (variable and taken as cumulative sum each month) F1 = Flow restricted by lapsed temps. and degree day factors F2 = Flow restricted by availability of snow pack and degree day factors F3 = Flow from rainfall using runoff coefficients All other parameters are estimated through trial simulations. The model was applied to two sub-catchments of Chenab basin (of Indus river system) producing encouraging results. Singh et al (1997) estimated the annual contribution of snow and glacier-melt runoff in the annual streamflow of the Chenab River at Akhnoor for a period of 10 years using the following water balance approach Snow + glacier runoff volume = Observed flow volume – (rainfall volume – evapotranspiration) Rainfall data from 25 stations were used to compute the total rainfall input to the basin. The period of October to September were chosen so that the annual snow accumulation and snowmelt period could be taken into account. Total volume of flow was computed using discharge data at Akhnoor gauging site using daily discharge measurements. Evaporation losses were estimated using temperatures and pan evaporation measurements. Evapotranspiration losses only from the snow-free area were taken into account, considering that evaporation from rain falling on the snow-covered area and from the snow-covered area itself is negligible. The maximum and minimum snow covered area in the basin was determined using satellite imagery (Landsat and IRS) and it was found that on average 70 % of the area of the basin is covered with snow in March/April which reduced to about 24 % in September/October. The average snow and glacier runoff contribution to the annual flow of the Chenab River was estimated to be about 49 percent. The remainder is contributed by rainfall. Hydrological studies require the handling of various spatial data for computation of parameters associated with the hydrological models. Geographical Information Systems (GIS) is a powerful set of tools for collecting, storing, retrieving, integrating and displaying spatial data from the real world for a variety of purposes. Jain et al (1998) used SLURP model and GIS for estimation of runoff in a part of satluj catchment in India. The SLURP model developed at NHRI, Canada is a distributed conceptual model. The SLURP model divides a watershed into a number of hydrologically consistent sub-areas known as Aggregated Simulation Areas (ASAs). The basic requirements of an ASA are that the distribution of landcovers and elevations within the ASA are known and that the ASA contributes runoff to a definable stream channel. The SLURP model applies a vertical water balance to each element of the matrix of ASAs using the following four nonlinear reservoirs: one for the canopy, one for snowpack, one for a rapid response store (can be considered as a combined surface storage and top soil layer storage) and one for slow response store (can be considered as groundwater). The model routes the precipitation through the appropriate processes and generates outputs (evaporation, transpiration and runoff) and changes in storage (canopy interception, snowpack and soil moisture). Runoff are accumulated from each land cover within an ASA using a time/contributing area relationship for each land class and the combined runoff is converted to streamflow and routed between each ASA. A simplified flowchart of the vertical water balance applied to each land class within each ASA is shown in Figure 2.2
  • 43.
    Project: Development ofHydrological Design Aids (Surface Water) under HP-II Document: 2009097/WR/REP-02 July 2010 State of the Art Report Revision: R0 2.1-19 WATER RESOURCES The model requires three types of data: ‐ Physiographic data such as areas, distances and elevations etc; ‐ Model parameters and coefficients; and ‐ Time series of input data such as precipitation, air temperature, dew point temperature, radiation and discharge. Information from Survey of India toposheets was used to prepare a digital elevation model (DEM) in the study and landuse data were obtained from IRS satellite LISS II sensors. The simulated flows at Bhakra Dam outlet of the Satluj catchment was computed and found to compare well with the observed flows. The model results showed that local runoff from rainfall is a small proportion of the total runoff (including snowmelt) and the improved results could be expected when the upper portion of the catchment is also included. 2.1.9.3 SWAT snowmelt hydrology In SWAT, processes related to snowmelt hydrology are basically represented at the sub-basin level (Fontaine et al., 2002). Each sub-basin generated in SWAT can be divided into 10 elevation bands in order to incorporate temperature and precipitation variations with respect to altitude (Hartman et al., 1999). For each sub-basin, different lapse rates for precipitation plaps (mm H2O/km) and temperature tlaps (ºC/km) can be defined, which are then used to account for the differences in precipitation and temperature (equation (1)) between these elevation bands: (1) where P (mm H2O), T (ºC) and Z (m) are the sub-basin precipitation, temperature and recording gauge elevation, respectively; while PB, TB and ZB are the adjusted precipitation, temperature and mean elevation for each elevation band B. The variable dayspcp,yr represents Fig. 2.2 Simplified flow chart of vertical water balance within each ASA Modified Precipitation Modified Precipitation Evaporation Evaporation Evaporation Runoff T > Tc T ≤ Tc Modified with satellite cloud cover Canopy Storage Snow Rapid Storage Slow Storage Modified with Satellite or Snow Course data Snow Rapid Storage Slow Storage
  • 44.
    Project: Development ofHydrological Design Aids (Surface Water) under HP-II Document: 2009097/WR/REP-02 July 2010 State of the Art Report Revision: R0 2.1-20 WATER RESOURCES the mean annual number of days with precipitation. The snowpack is represented in SWAT by means of the variable snow water equivalent SWE (mm H2O), which increases with snowfall SF (mm H2O) (snowfall occurs if the mean daily temperature is below the critical temperature SFTMP, ºC) and decreases with snowmelt SM (mm H2O) or sublimation ES (mm H2O): (2) Snowmelt is controlled by the air and snowpack temperature, the melting rate and the areal coverage of snow. The SM release will be zero until the snowpack temperature exceeds a threshold temperature TMLT (ºC). The snowpack temperature is a function of the mean daily temperature during the preceding days and varies as a dampened function of air temperature (Anderson, 1976). The influence of the previous day’s snowpack temperature on the current day’s snowpack temperature is controlled by a lagging factor, TIMP, which intrinsically accounts for snowpack density, snowpack depth, exposure and other factors known to affect snowpack temperature: (3) where Tsnowpack(day) and Tsnowpack(day-1) are the snowpack temperature (ºC) on a given day and on the day preceding it, respectively, and Tav (ºC) is the mean air temperature for the same given day. An areal depletion curve (equation (4)) based on a natural logarithm is used in SWAT to describe the seasonal growth and recession of the snowpack (Anderson, 1976). This curve requires a threshold depth of snow SNO100 to be defined; areas with a snow depth above this threshold value will have a permanent snow cover. The threshold depth for permanent snow cover will depend on a series of factors, such as: vegetation distribution, wind loading of snow, wind scouring of snow, interception and aspect. The value will be unique to the watershed of interest: (4) where snocov is the fraction of area covered by snow, SNO is the water content of the snow pack on a given day (mm H2O), SNO100 is the threshold depth of snow at 100% coverage (mm H2O), and cov1 and cov2 are coefficients that define the shape of the curve. The values used for cov1 and cov2 are determined by solving equation (4) using two known points: 95% coverage at 95% SNO100 and 50% coverage at a user-specified fraction of SNO100. Snow depth over an elevation band is assumed to be constant when the SWE exceeds SNO100; i.e. the areal depletion curve affects snowmelt only when the snowpack water content is between zero and SNO100. Snowmelt is calculated as a linear function of the difference between the average of the snowpack temperature (Tsnowpack) and the maximum air temperature (Tmax) on a given day and the base or threshold temperature for snowmelt: (5) where bmlt (mm H2O/day-°C), is the melt factor for that day.
  • 45.
    Project: Development ofHydrological Design Aids (Surface Water) under HP-II Document: 2009097/WR/REP-02 July 2010 State of the Art Report Revision: R0 2.1-21 WATER RESOURCES References Arnold, J. G., Srinivasan, R., Muttiah, R. S. & Williams, J. R. (1998) Large area hydrologic modeling and assessment – Part I: model development. J. Am. Water Resour. Assoc. 34(1), 73–89. Jain, S.K., Kumar, N., Ahmad, T. SLURP model and GIS estimation of runoff in a part of Sataluj Catchment, India. Hydrological Sciences 43 (6), December 1998, 875 – 884. Kumar, Shashi, V., Haefner, H., and Seidel, K. (1991) Satellite snow cover mapping and snowmelt runoff modeling in Beas basin, Proceedings of Vienna Symposium, August 1991, IAHS publ, No. 205, pp. 101-109. Rao, Mohan N., Bandopadhyaya, B. K., and Vardhan, A. (1991) Snow hydrology studies in the Beas basin for developing snow melt runoff model, Paper ptd at the annual paper meeting at Lucknow Institution of Engineers, Jun 1991, UDC 551.491.6. Rao, S.V.N., Ramasastri, K.S., and Singh, R.N.P. (1996) A Simple monthly runoff model for snow dominated catchments in western Himalayas, Nordic Hydrology, 27 (4), 1996, 255- 274. Ramamoorthi, A.S. (1983) Snowmelt runoff assessment and forecasting using satellite data, Prof of first national Sym. on Seasonal snowcover, SASE, Manali, India, 28 – 30, Apr, 1983 Vol. II, pp 117. Ramamoorthi, A.S. (1987) Snow cover area (SCA) is the main factor in forecasting snow- melt runoff from major river basins, Proceedings of the Vancouver Symposium, August 1987, IAHS Publ 166, pp. 187-197. Roohani, M. S. (1986) Studies on hydromorphometery and snowmelt runoff using data of Chenab Catchment, Ph.d Thesis submitted to University of Roorkee, India, pp 21. Seth, S. M. (1983) Modelling daily snowmelt runoff during premonsoon months for Beas basin upto Manali. First national symp. on seasonal snowcover, Manali, India, 28 – 30 Apr, 1983, pp 104-115. Singh, P., Kumar, N., 1997. Impact of climate change on the hydrological response of a snow and glacier melt runoff dominated Himalayan River. J. Hydrol. .1993, 316-350. SSAR (1972) Stream flow synthesis and reservoir regulations, US Army Corps of Engineers, North Pacific, Portland, Oregon.
  • 46.
    Project: Development ofHydrological Design Aids (Surface Water) under HP-II Document: 2009097/WR/REP-02 July 2010 State of the Art Report Revision: R0 2.2-1 WATER RESOURCES 2.2 ESTIMATION OF DESIGN FLOOD 2.2.1 General Hydrological inputs play a very vital role in planning of any water resources development project. Hydrological studies are required at all the stages of project formulation, implementation and operation as follows. • Pre-feasibility stage, • Preparation of detailed project report (DPR); • Planning and design; • Execution of the project; and • Operation and maintenance of the facility. Hydrological studies are usually required to cover the following aspects: • Resource availability i.e. the assessment of quantities of available water and its time variation; • Safety of project in the event of external flood i.e., estimation of design flood • Life of the project i.e., the assessment of the incoming silt load trapped and its distribution in the reservoir for estimating the effect on the live storage and the useful life of the project. Proper selection of design flood value is of great importance. While a higher value results in increase in the cost of hydraulic structures, an under-estimated value is likely to place the structure and population involved, at risk. 2.2.1.1 Objectives of Design Flood Estimation The objectives of flood estimation may be to provide: i. The flood peak discharge ii. The flood volume over specific time period iii. The flooding arising from a combination of sources iv. Flooding from a combination of processes v. The assessment of flood frequency may be required for: a. Meeting a statutory design standard b. Meeting non-statutory, institutional design standards and practices c. Use in investment appraisal for major expenditure on new capital works or asset renewal d. Simulation of system risk 2.2.2 Literature Review 2.2.2.1 General Literature review of most the aspects related to design flood estimation such as previous practices used in India, Current design flood criteria, Current design flood estimation approaches in use and the emerging techniques are given in this chapter.
  • 47.
    Project: Development ofHydrological Design Aids (Surface Water) under HP-II Document: 2009097/WR/REP-02 July 2010 State of the Art Report Revision: R0 2.2-2 WATER RESOURCES 2.2.2.2 Previous Practices in India 2.2.2.2.1 Project Categorization The categorization of minor, medium and major projects is made as under in the country. Minor Projects Having catchment area up to 2000 ha Medium Projects Having catchment area between 2000 to 10000 ha Major Projects Having catchment more than 10000 ha 2.2.2.2.2 Empirical Formulae The science of hydrology was largely empirical as, physical basis for most quantitative hydrologic determinants was neither well known nor were data available. During the period 1900-1930, empiricism in hydrology became more evident. During this period hundreds of empirical formulae were developed in studies by deriving regional values arrived at on the basis of statistical correlation of observed flood peaks. Some of the commonly used formulae are summarized in Table 2.2 which are used for design flood of small catchments like Cross drainage works, Bridges etc. It will be seen that area of the basin is the only independent variable considered in above formulae. Also the flood estimated by these formulae does not give frequency as these formulae cannot be used with any distinction to estimate flood of various frequencies as may be required by the design criteria to be adopted for different type of structures. Further, these formulae did not consider rainfall characteristics directly, which, undoubtedly, play a very important role in any flood formation process. Thus these formulae are not useful for assessment of peak flood and its hydrograph for large/ important projects where danger to life/property may be involved. Nevertheless these formulas are generally being used by many State governments for minor/medium projects with small catchment area up to around 1500 Sq.Km Table 2.2: Commonly used formulae Sl. No. Name Formula (in metric unit) Region for which applicable Value of Co-efficient 1. Dicken Q= CA3/4 Q in cumecs A in sq.km. North Indian plains, North Indian hilly regions, Central India, Coastal Andhra, and Orissa 6 11 to 14 14 to 28 22 to 28 2. Ryves Q= CA2/3 Q in cumecs A in sq.km. Area within 80 km from east coast Area within 80-160 km from coast Limited area near hills 6.8 8.5 10.2 3. Inglis 124 A/(A+ 10.4)1/2 Q in cumecs A in sq.km. For Maharashtra region
  • 48.
    Project: Development ofHydrological Design Aids (Surface Water) under HP-II Document: 2009097/WR/REP-02 July 2010 State of the Art Report Revision: R0 2.2-3 WATER RESOURCES 2.2.2.2.3 Rational Formula Attempts were also made to estimate the design flood (which was earlier considered to be the peak rate of runoff) that would occur due to storm rainfall of a given frequency and specified duration by use of Rational Formula expressed in terms of the following equation. Q = 0.278 CIA Where, Q is the peak discharge in cumec, I is the uniform rate of rainfall intensity for a duration equal to or greater than the time of concentration in mm/hr, and A is the drainage area in Sq.Km. This formula owing to its simplicity is still widely used in many countries including USA and India especially for small bridges draining small areas and for urban drainage. Intensity of rainfall can be obtained from Rainfall-Intensity- Duration-Frequency curves, if the information is available. 2.2.2.3 Current Design Flood Estimation Criteria/Practices 2.2.2.3.1 General Considerations/practices/criteria for design flood estimation of Indian organizations are given below. Available state practices are given in Annexure 2.2-1 i. Central Water Commission (CWC) ii. Bureau of Indian Standards (BIS) 2.2.2.3.2 Central Water Commission (CWC) i) Manual on Estimation of Design Flood by CWC, 2001 The WMO decisive parameters as explained in section IV was recommended by Central Water Commission for the decisive parameters of flood estimation and suggested to follow the methods as given in IS: 11223– 1985 in the CWC manual on page 7 and 8 of “Estimation of Design Flood” published in 2001, Design Criteria As Per CWC Manual On Estimation Of Design Flood-2001. • Flood Parameters The decisive factor in the determination of a design flood is that feature or parameter of the flood that can be identified as the major cause of potential damage. The decision as to which is the most relevant flood parameter for a particular case rests with the planner and the designer and should be based on engineering analysis of the given situation. The decisive parameters (WMO 1994) as given in Table 2.3 may be used for guidance. However, it is to be noted that the decisive parameter for design of dams is decided not by the absolute magnitude of the storage involved or by the catchment size, but by the order of the effect of storage on the flood moderation when routed through the reservoir. • Storage Dams The criteria for fixing spillway capacity of storage dams, as prevalent in India are covered in IS: 11223 – 1985, “Guidelines for fixing spillway capacity”. According to these guidelines, different inflow design floods to be considered for different requirements are: a) Inflow design flood for the safety of the dam
  • 49.
    Project: Development ofHydrological Design Aids (Surface Water) under HP-II Document: 2009097/WR/REP-02 July 2010 State of the Art Report Revision: R0 2.2-4 WATER RESOURCES b) Inflow design flood for efficient operation of energy dissipation system c) Inflow design flood for checking extent of upstream submergence d) Inflow design flood for checking extent of downstream damage in the valley. Table 2.3: Decisive Parameters for Various purposes Sl. No. Structure and/ or objectives Relevant flood parameters 1. Culverts, bridges, weirs/ barrages and surplussing arrangements for small dams Peak discharge 2. Clearance under bridges/ culverts, flood embankments, road/ rail embankments/ formations. Peak stage (water level) 3. Design of flood control reservoirs, and generally for all cases where the effect of flood storage on flood moderation can be significant, e.g., for design of spillway capacities and freeboards on dams. Flood volume and flood hydrograph 4. Cases where superimposition of several floods must be considered e.g., flood protection downstream from the mouth of large tributaries or for reservoir operation during floods. Flood hydrograph shape. • Inflow Design Flood for the Safety of the Dam It is the flood for which, when used with standard specifications, the performance of the dam should be safe against overtopping, structural failure, and the spillway and its energy dissipation arrangements, if provided for a lower flood should function reasonably well. The dams are classified according to their size by using the static head (H, measured from minimum tail water level to the full reservoir level) and the gross storage (S) behind the dam as given below: Classification Gross Storage (S) (Mm3 ) Hydraulic Head (H) (m) Small Between 0.5 and 10 Between 7.5 and 12 Intermediate Between 10 and 60 Between 12 and 30 Large Greater than 60 Greater than 30 The classification adopted would be the greater of that indicated by the above two parameters. The inflow design flood for safety of the dam would be selected on the basis of the classification of the dam as follows: Small 100 year flood Intermediate SPF Large PMF Floods of larger or smaller magnitude may be used if the hazard involved in the eventuality of a failure is particularly high or low. The relevant parameters to be considered in judging the hazard in addition to the size would be: i) Distance to and location of the human habitations on the downstream after considering the likely future developments; and ii) Maximum hydraulic capacity of the downstream channel at a level at which catastrophic damage is not expected
  • 50.
    Project: Development ofHydrological Design Aids (Surface Water) under HP-II Document: 2009097/WR/REP-02 July 2010 State of the Art Report Revision: R0 2.2-5 WATER RESOURCES For more important projects, dam break studies may be done as an aid to the judgement in deciding whether PMF needs to be used or not. Where the studies or judgement indicate an imminent danger to present or future human settlements, the PMF should be used. Any departure from the general criteria as above on account of larger or smaller hazard should be clearly brought out and recorded. • Inflow design flood for efficient operation of energy dissipation system It is a flood, which may be lower than the inflow design flood for the safety of the dam. When this flood is used with standard specifications or other factors affecting the performance, the energy dissipation arrangements are expected to work most efficiently. No damage/ breaches in the breaching section, fuse plug, etc., are contemplated during this flood. • Design Flood for Upstream Submergence Consideration This depends on local conditions, type of property and effects of its submergence. For very important upstream structures like power houses, mines, etc. levels corresponding to SPF or PMF may be used; for other structures consideration of smaller design floods and corresponding levels attained may suffice. In general a 25-year flood for land acquisition and 50-year flood for built up property acquisition may be adopted. • Design Flood for Downstream Submergence Consideration This depends on local conditions, the type of property and effects of its submergence. For very important facilities like powerhouses, outflows corresponding to the inflow design flood for safety of the dam, with all spillway gates operative or of that order may be relevant. Normally damage due to physical flooding may not be allowed under this condition, but disruption of operation may be allowed. • Other aspects to be considered When a return period flood is used, it is customary to assign limits between which the estimated value can be said to lie with a certain confidence. A suitable flood value lying between the estimated value and the upper 95 percent confidence value may be chosen, depending upon the importance of the structure, reliability of the data used, etc. • Barrages and Weirs Weirs and barrages, which are diversion structures basically, have usually small storage capacities, and the risk of loss of life and property downstream would rarely be enhanced by failure of the structure. Apart from the damage/ loss of structure the failure would cause disruption of irrigation and communications that are dependent on the barrage. Existing practices for deign of barrages and weirs are based on BIS Code, IS: 6966 (Part I) – 1989, “Hydraulic Design of Barrages and Weirs – guidelines Alluvial reaches”. For purposes of design of items other than free board, a design flood of 50-year frequency may normally suffice. In such cases where risks and hazards are involved, a review of this criteria based on site conditions may be necessary. For deciding the free board, a minimum of 500-year frequency flood or the standard project flood, may be desirable. • Diversion Works – Coffer Dams The existing practice for design of waterways and canal aqueducts is based on IS: 10084 (Part I) – 1982, “Criteria for design of Diversion Works-Part I Coffer Dams”. The relevant paragraphs are reproduced below:
  • 51.
    Project: Development ofHydrological Design Aids (Surface Water) under HP-II Document: 2009097/WR/REP-02 July 2010 State of the Art Report Revision: R0 2.2-6 WATER RESOURCES “The coffer dam being a temporary structure is normally designed for a flood with frequency less than that for the design of the main structure. The choice of particular frequency shall be made on practical judgement keeping in view the construction period and the stage of construction of the main structure and its importance. Accordingly, the design flood is chosen. For seasonal coffer dams and the initial construction stages of the main structure, a flood frequency of 20 years or more can be adopted. For coffer dams to be retained for more than one season and for the advanced stage of the main structure, a flood of 100 years frequency may be adopted”. • Cross Drainage Works The existing practice for design of waterways and canal aqueducts is based on IS-7784 (Part I) – 1993, “Code of Practice for design of Cross-Drainage Works”. The relevant paragraphs are reproduced below: “Design flood for drainage channel to be adopted for cross drainage works should depend upon the size of the canal, size of the drainage channel and location of the cross drainage. A very long canal, crossing a drainage channel in the initial reach, damage to which is likely to affect the canal supplies over a large area and for a long period, should be given proper weightage Cross drainage structures are divided into four categories depending upon the canal discharge and drainage discharge. Design flood to be adopted for these four categories of cross drainage structures is given in Table 2.4. Table 2.4: Design Flood Values Category of structure Canal discharge in m3 /sec *Estimated Drainage Discharge in m3 /sec Frequency of Design Flood A 0-0.5 All discharges 1 in 25 years B 0.5-15 0-150 Above 150 1 in 50 years 1 in 100 years C 15-30 0-100 Above 100 1 in 50 years 1 in 100 years D Above 30 0-150 Above 150 1 in 100 years As per Note 2 1. The design flood to be adopted as mentioned in this table should in no case, be less than the observed flood. 2. In case of very large cross drainage structures where estimated drainage discharge is above 150 cumec and canal design discharge is more than 30 cumec, the hydrology should be examined in detail and appropriate design flood adopted, which should in no case be less than 1 in 100 years flood. Where possible, the discharges determined by different methods mentioned in IS:5477 (Part 4): 1971 should be compared to see if any large variations are exhibited and the most reasonable value, giving weightage to the one based on observed data, should be adopted. Where there are cross drainage works already existing on the same drainage channel, full data regarding the observed flood should be obtained and the new cross drainage works designed, with such modifications in the design flood as may be considered necessary.
  • 52.
    Project: Development ofHydrological Design Aids (Surface Water) under HP-II Document: 2009097/WR/REP-02 July 2010 State of the Art Report Revision: R0 2.2-7 WATER RESOURCES To safeguard against unforeseen nature of flood intensities the foundation of the cross drainage structure should be checked for a check flood discharge of value twenty percent higher than the design flood given in Table 2.4. • Road and Railway Bridges For road bridges, the Indian Road Congress IRC-5:1998, Section I applies. As per this the design discharge for which the waterway of a bridge is to be designed shall be not less than 50 year return period peak; “shall be discharge from any other recognized method applicable for that area; shall be the discharge found by the area velocity method; by unit hydrograph method; and the maximum discharge fixed by the judgement of the engineers responsible for the design with comparison of above mentioned methods is to be adopted”. For railway bridges a 50-yr flood is to be used for smaller bridges carrying railways of lesser importance like minor lines and very important rail lines a 100-yr flood is to be adopted as per the railway codes (IRS-1963). • Determination of Design Flood using Envelope Curves In early fifties, Kanwar Singh and Karpov collected data of various Indian Rivers and drew two envelope curves one to suit basins of southern India and the other for those of northern and central India. The PMF figures for a number of projects estimated by CWC and other organizations during the period 1980-91 have been utilized for developing envelope curves for PMF peaks. Three curves were developed as Upper envelope curves, Average line and lower envelope curves. The curves correspond to the following equations: Upper envelopes Qu = 1585 A0.35 Average Lne, Qav = 398 A0.425 Lower envelope, Ql = 100 A0.5 Wher Q is PMF in cumecs and A is catchment area in Sq.km. These curves have been recommended to be used for prioritising the existing large dams for further detailed investigations for dam safety assurance. ii) Second Round Table Meet for Designers : Current Design Practices and issues, Volume I, Basic Theme Paper, 1999 The criteria and procedure for estimation of design flood have undergone some changes subsequent to the publication of the recommended procedure. The important changes in respect of design criteria for various hydraulic structures are summarized in the Table-2.5. With the availability of better computing facility and development of software, the processing and analysis of data has become easier. As a result, more and more alternatives are attempted with a view to arrive at the most appropriate result. Further, a number of studies have been carried out and this has helped in adopting a more rational approach in the analysis of data. One of the important works carried out in Central Water Commission in this regard is the publication of Flood Estimation Reports for various sub-zones of the country. These reports are extensively used in design flood estimation for small and medium basins with inadequate data conditions. Further, the procedures for design flood estimation have also undergone changes in light of recommendations of various committees etc. some of the important changes (which have taken place since the publication of CWC guidelines in the year 1972) are summarized in Table 2.6.
  • 53.
    Project: Development ofHydrological Design Aids (Surface Water) under HP-II Document: 2009097/WR/REP-02 July 2010 State of the Art Report Revision: R0 2.2-8 WATER RESOURCES As can be seen from Tables 2.5 and 2.6, there have been significant changes over these years in the criteria adopted and procedure followed in arriving at the design flood values. It was felt necessary to revise the publication on the recommended procedures. It is indicated in the CWC note on current practices that every effort is made to adopt latest techniques in hydrological analysis in general and for flood estimation in particular with a view to have the most rational estimate. Access to fast computers and related software has also been instrumental in application of latest techniques in the analysis. However, a major problem related to design flood analysis is the inadequacy and/ or inconsistency of data. Many a times, this situation forces hydrologists to make appropriate assumptions and adopt a conservative attitude. Tendency for adopting a conservative attitude is more so because the results of the review studies for design flood in respect of some of the completed project, in general, indicated an upward revision of the design flood. Table – 2.5: Comparison of Design Criteria Recommended Criteria in Earlier Guidelines Existing Practice Reference for existing practices Inflow Design Flood for Safety of Dams a. PMF for major & medium dams with storage more than 6167 HA-m b. SPF or 100-year RP Flood for Minor dams with storage less than 6167 Ha-m Inflow Design Flood for Safety of Dams a) PMF for large dams (with gross storage > 60 million cubic meter or hydraulic head> 30m) b) SPF for intermediate dams (with gross storage between 10 to 60 million cubic meter or hydraulic head between 12 to 30 m) c) 100 year return period flood for small dams (with gross storage between 0.5 to 10 million cubic meter or hydraulic head between 7.5 to 12 m) Floods of larger or smaller magnitude may be used if the hazard involved in eventuality of failure is particularly high or low. The relevant parameters to be considered in judging the hazard in addition to the size would be: a) Distance to and location of the human habitations on the d/s after considering the likely future developments b) Maximum hydraulic capacity of the d/s channel at a level at which catastrophic damage is not expected. IS: 11223 Design of Barrages/ Weir a) SPF or 100-year RP flood (whichever is higher) for permanent barrages and minor dams. b) 50 to 100 year RP flood for pick-up weirs according to its importance and level conditions. Design of Barrages/ Weir a) SPF or 500-year RP flood for designing free board. b) 50-year RP flood for design of items other than free board. In such cases where risks and hazards are involved, a review of this criteria based on site condition may be necessary. IS:6966 (Part – I) Waterways and Canal Aqueducts a) 50 to 100 year RP Waterways and Canal Aqueducts a) PMF for providing passage for very large cross drainage works (damage to which is likely to affect IS: 7784 (Part – I)
  • 54.
    Project: Development ofHydrological Design Aids (Surface Water) under HP-II Document: 2009097/WR/REP-02 July 2010 State of the Art Report Revision: R0 2.2-9 WATER RESOURCES Recommended Criteria in Earlier Guidelines Existing Practice Reference for existing practices flood for providing passage in waterways and canal aqueducts. b) 100-year RP flood for design of foundation and freeboard canal supplies over a long period). b) 10 to 25 year RP flood with increased afflux for designing passage for minor cross drainage works. c) Design discharge to be increased from 10 to 30% under different conditions of catchment (percent decreasing with increase in area) for design of foundation and freeboard. Table – 2.6: Comparison of Procedures for Design Flood Estimation Recommended Procedures in Earlier Guidelines Existing Practice Reference for existing practices Use of Empirical Formulae Dicken’s, Ryves’, and Inglis Formula were recommended for use in basins where sufficient data available. Use of Empirical Formulae Empirical formulae are no more used. Enveloping curves have been developed and these are used for very limited purpose of having an overview of the results of the analysis carried out on the basis of rational approaches. Flood Frequency Analysis Only Gumbel’s method was recommended for use. Flood Frequency Analysis Detailed analysis are carried out for checking (a) consistency of the data, and (b) presence of features such as trend, jump etc. Thereafter a number of standard probability distributions (such as log-normal (2 and 3 parameters), Pearson, Log Pearson, Gumbel etc.) are applied. The distribution providing the best fit to the given set of data are identified on the basis of standard tests. Floods of specific return periods are estimated with the help of the distribution providing best fit. Hydro-meteorological Approach Design Storm a) Duration of design storm was not specifically defined and storm duration of 1-day, 2-day as well as 3-day used to be considered. b) The rainfall was increased by 15% for Clock Hour corrections to convert the 1-day rainfall to 24 hour rainfall value Hydro-meteorological Approach Design Storm a) Duration of design storm equivalent to base period of unit hydrograph (in respect of fan shaped catchment of about 5000 sq.km. and below) rounded to the next nearest value which is in multiples of 24 hours and less than and equal to 72 hours is considered adequate. For large catchments, the storm duration for causing the PMF is to be equivalent to 2.5 times the travel time from the farthest point (time of concentration) to the site of the structure. b) Clock hour correction to convert 1-day rainfall to 24 hour rainfall for point rainfall is taken as 15% subject to a maximum value of 50 mm. No clock hour correction is required for catchment above 5000 sq.km. Recommenda tions of 1993 workshop Recommenda tions of 1993 workshop
  • 55.
    Project: Development ofHydrological Design Aids (Surface Water) under HP-II Document: 2009097/WR/REP-02 July 2010 State of the Art Report Revision: R0 2.2-10 WATER RESOURCES Recommended Procedures in Earlier Guidelines Existing Practice Reference for existing practices Moisture Maximization Moisture maximization to be carried out as per the recommendations of IS:5542 Moisture Maximization Application of current computational procedures based on dew points are not fully theoretically supportable in tropical areas and alternate methods need to be evolved. Till new procedures are available and accepted, techniques using dew point data (as available in India) may continue. Where dew point data along the moisture path as reflected in WMO 332, is not available to base estimation of moisture maximization, a value of 25% for inland areas and relatively lesser values of 10% for coastal areas may be adopted. These factors may be uniformly applied for the total period of the storm. Recommenda tions of 1993 workshop Temporal Distribution and Critical Sequencing The rainfall during the entire storm period to be temporally distributed and arranged in critical sequence without any consideration for bell like arrangements. Temporal Distribution and Critical Sequencing a) It is recommended to present the design hyetograph in two bells per day. The combination of the bell arrangement and t he arrangement of the rainfall increments within each of the bell shaped spells may be representing the maximum flood producing characteristics. b) The critical arrangement of increment in each bell should minimize the sudden lull or sluggishness and maximize the flood peak. Hence, the arrangement is to be such that the time lag between peak intensities of two spells may be minimum. The cumulative pattern of all the increments in the order of their positioning should resemble the natural mass curve pattern as observed by as SRRG of the project region. c) While arranging the increments within each spell as mentioned above, care may be taken to see that the sum of the consecutive increments in any t-hour within storm duration shall not exceed the t-hour areal PMF. Recommenda tions of 1993 workshop Unit Hydrograph a) Unit hydrograph to be derived either from flood events with isolated peaks or by using Collin’s method in case of flood events with multi- peaks. b) Snyder’s method to be used for generation of synthetic unit hydrograph. Unit hydrograph a) Depending upon the data availability and characteristics of flood hydrograph etc. unit hydrograph is derived by using any of the following techniques: - simple method of UG derivation from a flood event with isolated peak - Collin’s method - Nash model - Clark model b) In case sufficient data are not available, it becomes necessary to derive synthetic unit hydrograph. In such a situation, the unit hydrograph is generally derived by using the characteristics of the unit hydrographs already
  • 56.
    Project: Development ofHydrological Design Aids (Surface Water) under HP-II Document: 2009097/WR/REP-02 July 2010 State of the Art Report Revision: R0 2.2-11 WATER RESOURCES Recommended Procedures in Earlier Guidelines Existing Practice Reference for existing practices c) The peak of the unit hydrograph to be increased by 25 to 50 percent. developed in the same sub-zone and the characteristics of the respective basins. Alternatively, the procedure given in flood. Estimation reports for various sub-zones published by Central Water Commission is used for derivation of unit hydrograph. The Snyder’s method is generally not used. c) Efforts are made to identify the flood events resulting from storms having wide spread rainfall of moderate to high intensity and use the same for derivation of unit hydrograph. Further, all other alternatives including the derivation of unit hydrograph on the basis of the Flood Estimation Reports for the concerned sub-zone etc. are attempted. A specific unit hydrograph is selected for the purpose of estimation of design flood after detailed comparison and thorough checks. In the review of the project hydrology by CWC, it is indicated that change in Design flood values result due to one or more of following reasons: a) Use of empirical methods at the time of planning. b) Revision in the value of the design storm as a result of variability of additional data/ information about severe-most storms from hydro-meteorologically homogeneous regions, c) Adoption of a different temporal distribution pattern for the standard project storm or probable maximum storm etc. d) Changes in the response function i.e., unit hydrograph as a result of analysis of more number of flood events or use of improved techniques, and e) Availability of additional data in respect of observed flood peaks to be used in flood frequency analysis. It was therefore felt that the accuracy of estimated hydrological parameters depends on the quality of hydrological and hydro-meteorological data, network density of the stations and the length of record used in the study. The quality of data is all the more important in case of design flood studies because the data observed during the highest flood are considered to be most useful. On the other hand, it is the time when there is a tendency either to skip the observations or to make observations without adhering to the standard procedures. The poor quality of data leads to inconsistency which, many a times forces the hydrologist to abandon the data. In some cases, observed data for entire period were found to be inconsistent. The BIS code IS: 11223-1985 very clearly indicates that floods of larger or smaller magnitude may be used if the hazard involved in the eventuality of a failure is particularly high or low. It can be assumed that a 10000-year return period flood may be very close to the probable maximum flood. Similarly, SPF may be considered to be equivalent to a 1000-year return period flood. As results of these, developments and further developed in other countries the CWC has brought fresh manual on Recommended Procedure for Design Flood in 2001. After deliberations in the workshop, following classification of dams was suggested:
  • 57.
    Project: Development ofHydrological Design Aids (Surface Water) under HP-II Document: 2009097/WR/REP-02 July 2010 State of the Art Report Revision: R0 2.2-12 WATER RESOURCES Table – 2.7: Consequence Classification of Dams Consequence category Potential Incremental Consequences of Failure Population at Risk Economic and Social Very high >1,00,000 Very high economic losses affecting infrastructure, public and commercial facilities in inundation area. Typically includes destruction of or extensive damage to large residential areas, concentrated commercial land uses, highways, railways, power lines and other utilities. High Between 10,000 to 1,00,000 Substantial economic losses affecting infrastructure, public and commercial facilities in inundation area. Typically includes destruction of or extensive damage to concentrated commercial land uses, highways, railways, power lines and other utilities. Scattered residences may be destroyed or severely damaged. Moderate Between 2,000 to 10,000 Moderate to low economic losses to limited infrastructure, public and commercial activities. Low >2,000 Minimal economic losses typically limited to owners property. Virtually no potential for future development of other land uses within the foreseeable future. The recommended inflow design flood for above categories of dams (based on consequence classification) is recommended as follows: a) Very high dam – PMF b) High dam – between 1000-year RP flood (or SPF) and PMF c) Low dam – between 100-year RP flood and 1000-year RP flood (or SPF) d) Very low dam – less than or equal to 100-year RP flood In the conclusion of the above important workshop it was felt that the existing practice of classifying a dam on the basis of its physical state is quite robust and practicable. The review indicated that the latest tools for processing and analysis of data for design flood estimation are available in the country but in most of the cases, the analysis is limited to the procedure recommended in guidelines. This is more so in case of most of the design offices of the State Government Departments. There is need for analysis of all the available data with a view to evaluate all possible alternatives and present various scenarios. In all ideal situation, the hydro-meteorological as well as probabilistic approach of analysis of data should be adopted and for a large dam, the probable maximum flood as well as floods of various return periods, say 10000-year, 5000-year or 1000-year etc. should be estimated. Although, the two approaches are not comparable specific observations in respect of similarity or otherwise should appropriately be recorded. Flood frequency analysis should be carried out wherever; sufficiently long series of flood peak data is available. iii) Estimation of Design Flood for Small/Medium Catchments Estimation of design flood peak is generally required for bridges/culverts. It is difficult for site engineers to wait for observation for discharge data in the river for specific projects. Recognising the need for evolving the method for estimation of design flood peak, a
  • 58.
    Project: Development ofHydrological Design Aids (Surface Water) under HP-II Document: 2009097/WR/REP-02 July 2010 State of the Art Report Revision: R0 2.2-13 WATER RESOURCES Committee of Engineers headed by Dr.A.N.Khosla recommended systematic and sustained collection of hydro meteorological data at selected catchment in different climatic zones in India. The Committee had recommended maximum flood discharge on record for period not less than 50 years. As a follow up of these recommended the Central Water Commission had taken up the project for hydrological design of railways and road bridges across small and medium streams and suggested adoption of rational formula involving use of design storm and unit hydrograph for estimation of design flood. Since then considerable data has been collection and subzone reports prepared using the result obtained by preparation of 23 sub- zonal reports. The relationship developed for each subzone, regional flow formulae developed and the schematic diagram of the different subzones are shown in Tables 2.8, 2.9 and Figure 2.3. Considerable efforts have gone in preparation of these reports and regional parameters derived. These studies are considered quite valuable for estimation of design flood peak for small structures without need for site specific data for each structures which saves time and efforts. Consultants recommended adoption of these regional equations by state governments. However care should be taken to see that these regional formulas/equation are not misused for large areas/structures for which these formulae are not meant. These studies need to be updated with availability of additional data and under Hydrology-I studies. The Ministry of Railways and Research Design Organization has also jointly prepared report on “Flood Estimation Methods for less than 25 sq.km. area.” This is a useful report containing 50 years frequency, 24 hour rainfall isohyets. It also contains 50 year one hour rainfall value for most of the subzones as also gives isohyets for 50 year 1 hour rainfall for each sub zone and ratio of 1 hr to 24 hr rainfall values. The report also gives curves for 50 yr T hour rainfall to 50 yr in respect of 4 main zones. The report was prepared in March 1990. The details of the study carried out methodology adopted and etc shall be given in inception report. Also annual peak discharge series of large number of dam sites and important gauging stations will now be available with the CWC and state governments. This could be collected, compiled and analyzed by appropriate frequency distributions as per procedure described in this chapter and 2 yr, 10 yr, 50 yr, 100 yr and 1000 yr etc frequency values obtained for various sizes of catchment. These could be utilized for development of various frequency parameters and for use in ungauged catchments.
  • 59.
    Project: Development ofHydrological Design Aids (Surface Water) under HP-II Document: 2009097/WR/REP-02 July 2010 State of the Art Report Revision: R0 2.2-14 WATER RESOURCES Table 2.8: Synthetic UG Relations for Small/Medium Catchments Sl. No. Sub Zone tr (hr) SUH Parameters tp qp TB W50 W75 WR50 WR75 1. 1(a) 1 0.257(A)0.409 (S )0 432 2.615(tp)0.893 6.299 (tp)0.612 2.654(qp)0.921 1.672 (qp)0.816 1.245(qp)0.371 0.816(qp)0.339 2. 1(b) 1 0.339 (L/√Se)0.826 1.251(tp)0.610 6.662(tp)0.613 2.215(qp)1.034 1.191 (qp)1.057 0.834(qp)1.077 0.502(qp)1.065 3. 1(c) 1 2.195/ (qp)0.944 1.331/(L/√Se)0.492 3.917(tp)0.990 2.040(qp)1.026 1.250 (qp)0.864 0.739(qp)0.968 0.500(qp)0.813 4. 1(d) 1 0.314(L/√Se)1.012 1.664(tp)0.965 5.526(tp)0.866 2.534(qp)0.976 1.478 (qp)0.860 1.091(qp)0.750 0.672(qp)0.719 5. 1(e) 2 1.858(qp)1.038 2.030(L/√Se)0.649 7.744(tp)0.779 2.217(qp)0.99 1.477 (qp)0.876 0.812(qp)0.907 0.606(qp)0.791 6. 1(f) 6 1.217(qp)1.034 0.409(L/√Se)0.456 16.432(tp)0.646 1.173(qp)1.104 0.902 (qp)1.108 0.736(qp)0.928 0.478(qp)0.902 7. 1(g) hill 1 1.180(LLc/√Se)0.285 2.097 (tp)0.927 5.583(tp)0.824 1.262(qp)0.828 0.789 (qp)0.711 0.535(qp)0.745 0.382(tp)0.647 8. 1(g) l i 1 1.883(qp)0.940 0.661 (L/√Se)0.515 12.475(tp)0.721 1.789(qp)0.9211.006 0.895 (qp)1.061 0.552(qp)1.012 0.298(qp)1.012 9. 2(a) 1 2.164(qp)0.940 2.272 (LL/√Se)0.409 5.428(tp)0.852 2.084(qp)1.065 1.028 (qp)1.071 0.856(qp)0.865 0.440(qp)0.918 10. 2(b) 1 2.870 (qp)0.839 0.905 (A) 0.758 2.447(tp)1.157 2.304(qp)1.035 1.339 (qp)0.978 0.814(qp)1.018 0.494(qp)0.966 11. 3(a) 1 0.433 (L/√Se)0.704 1.161 (tp)0.635 8.375(tp)0.512 2.284(qp)1.00 1.331 (qp)0.991 0.827(qp)1.023 0.561(qp)1.0.37 12. 3(b) 1 0.523 (LLc/√Ss)0.323 1.920 (tp)0.780 6.908(tp)0.592 1.830(qp)0.97 0.924 (qp)0.792 0.745(qp)0.725 0.434(qp)0.616 13. 3(c) 1 0.854(LLc/√Ss)0.280 2.009 (tp)0.850 4.840(tp)0.740 2.259(qp)1.080 1.519 (qp)0.990 0.844(qp)1.240 0.583(qp)0.932 14. 3(d) 1 1.757(LLc/√Ss)0.261 1.260 (tp)0.725 5.411(tp)0.826 1.974(qp)1.104 0.961 (qp)1.125 1.150(qp)0.829 0.527 (qp)0.932 15. 3(e) 1 0.727(L/√Se)0.5990 2.020 (tp)0.880 5.485(tp)0.730 2.228(qp)1.104 1.301 (qp)0.960 0.880(qp)1.01 0.540(qp)0.960 16. 3(f) 1 0.348(L/√Se)0.454 1.842(tp)0.804 4.589(tp)0.894 2.353(qp)1.005 1.351(qp)0.992 0.936(qp)1.047 0.579(qp)1.004 17. 3(g) 1 0.353(LLc/√Se)0.45 1.968 (tp)0.842 4.572(tp)0.900 2.300(qp)1.018 1.356 (qp)1.007 0.954(qp)1.078 0.581(qp)1.035 18. 3(h) 1 0.258(LLc/√Ss)0.490 1.017 (tp)0.520 7.193(tp)0.530 2.396(qp)1.080 1.427 (qp)1.08 0.750(qp)1.250 0.557(qp)1.12 19. 3(i) 1 0.553(LLc/√Ss)0.405 2.043(tp)0.872 5.083(tp)0.733 2.197(qp)1.067 1.325 (qp)1.088 0.799(qp)1.138 0.536(qp)1.109 20. 4(a,b,c) 1 0.376(LLc/√Ss)0.434 1.215(tp)0.691 7.621(tp)0.623 2.211(qp)1.07 1.312 (qp)1.003 0.808(qp)1.053 0.542(qp)0.963 21. 5(a,b) 1 1.560(qp)1.0814 0.917(L/√Se)0.4313 7.380(tp)0.7343 1.925(qp)1.0896 1.018 (qp)1.0433 0.578(qp)1.1072 0.346(qp)1.0538 22. 7 1 2.498(LLc/√Se)0.156 1.048(tp)0.178 7.845(tp)0.453 1.954(LLc/√Ss)0.099 0.97(LLc/√Ss)0.124 0.189(W50)17690 0.419(W75)1.246
  • 60.
    Project: Development ofHydrological Design Aids (Surface Water) under HP-II Document: 2009097/WR/REP-02 July 2010 State of the Art Report Revision: R0 2.2-15 WATER RESOURCES Table 2.9: Regional Flood Formulae for Small/Medium Catchments Subzone name No. Coefficients for Q25 Coefficients for Q50 Coefficients for Q100 a b c d e f a b c d e f a b c d e f Chambal 1 (b) 2.550 0.904 -0.384 0.272 0.960 2.315 0.918 -0.415 0.279 1.010 2.540 0.911 -0.391 0.271 0.964 Betwa 1(c) 0.643 0.838 -0.363 0.560 1.259 0.861 0.831 -0.357 0.520 1.160 0.962 0.868 -0.357 0.520 1.090 Sone 1 (d) 5.613 0.708 0.485 0.178 0.000 6.214 0.701 0.048 0.202 0.000 10.43 7 0.678 0.396 0.145 0.000 Upper Indo-Ganga Plain-Punjab 1(e) Not available 0.415 0.951 0.446 1.065 0.406 0.251 0.214 0.455 1.197 0.386 Middle Ganga plains – Gomti, etc. 1(f) Not available 0.559 1.085 0.357 0.789 0.495 0.217 1.049 0.333 1.043 0.424 Lower Ganga Plains 1(g) Not available Not available Not available North Brahamputra 2 (a) 0.686 0.918 0.314 1.115 0.395 0.199 0.726 0.903 0.313 1.097 0.375 0.192 0.837 0.907 0.310 1.065 0.365 0.204 South Brahamputra Basin 2(b) 1.919 0.424 0.092 0.379 0.997 0.509 1.137 0.485 0.054 0.611 0.892 0.501 0.516 0.523 0.055 0.929 0.701 0.396 Mahi & Sabarmati 3(a) 1.005 0.978 0.250 1.190 0.618 1.164 0.947 0.242 1.143 0.566 Not available Upper Narmada and Tapi 3(C) Not available 2.020 0.860 0.000 0.680 0.130 Not available Mahanadi Basin 3(d) -0.312 0.906 0.075 1.177 0.070 0.191 0.269 0.643 0.034 1.242 0.029 0.145 0.298 0.879 0.024 1.207 0.005 0.239 Upper Godavari 3(e) 2.967 0.868 0.167 0.760 0.000 0.000 3.317 0.871 0.162 0.718 0.000 0.000 3.569 0.876 0.158 0.717 0.000 0.000 Lower Godavari 3(f) 0.578 0.921 0.246 1.380 0.536 0.821 0.960 0.231 1.248 0.578 1.642 0.963 0.207 1.027 0.558 Krishna 3(h) 0.429 0.733 0.000 1.426 0.272 -0.264 1.694 0.753 0.000 0.934 0.338 -0.304 8.335 0.794 0.000 -0.422 0.313 0.416 East Coast 4(abc) 1.899 0.853 0.206 1.317 0.312 0.455 1.854 0.847 0.199 1.308 0.335 0.394 1.887 0.862 0.199 1.266 0.297 0.438 Konkan and Malabar Coast 5(a) &(b ) 0.649 0.785 0.306 0.950 0.143 0.933 0.757 0.287 0.874 0.123 0.717 0.793 0.310 0.912 0.140 Lower Narmada and Tapti 3(b) Not available 0.050 0.002 1.120 0.050 0.210 0.580 Not available
  • 61.
    Project: Development ofHydrological Design Aids (Surface Water) under HP-II Document: 2009097/WR/REP-02 July 2010 State of the Art Report Revision: R0 2.2-16 WATER RESOURCES Figure 2.3: Sub-Zonal Map of India for Small/Medium Catchments flood studies
  • 62.
    Project: Development ofHydrological Design Aids (Surface Water) under HP-II Document: 2009097/WR/REP-02 July 2010 State of the Art Report Revision: R0 2.2-17 WATER RESOURCES 2.2.2.3.3 BUREAU OF INDIAN STANDARDS (BIS) i) As per IS: 5477 (Part IV) – 1971 • Major and Medium Reservoirs In the design of spillways for major and medium reservoirs (with storage more than 6000 hectare metres) the maximum probable flood should be used. The maximum probable flood is estimated from the maximum probable storm applying the unit hydrograph principle. In such cases the design flood to be adopted for major structures should have a frequency of not less than once in 1000 years. Where annual flood values of adequate length are available, they are to be analyzed by Gumbel’s method and where the data is short, either partial duration method or regional frequency technique is to be adopted as a tentative approach and the results verified and checked by hydrological approaches. Sometimes when flood data is inadequate, frequency analysis of recorded storms is made and the storm of a particular frequency applied to the unit hydrograph to derive the flood; this flood usually has a return period greater than that of the storm. • Barrages and Minor Dams In the case of permanent barrages and minor dams with less than 6000 hectare metres storage, the standard project flood or a 100 year flood, whichever is higher is to be adopted. For pick up weirs a flood 50-100 years frequency should be adopted according to its importance, and level conditions. • Design Flood The design flood, also known as Inflow Design Flood (IDF) is the largest flood that is selected for design or safety evaluation of the structure. The value of the design flood should increase with increasing consequences of the failure of the structure. Therefore, in the simplest way, design flood may be defined as the “flood adopted for design purpose”. It may be the Probable Maximum Flood or the Standard Project Flood or a flood corresponding to some desired frequency of occurrence depending upon the standard of security that should be provided against possible failure of the structure (BIS, 1971). • Probable Maximum Flood (PMF) It is the flood resulting from the most severe combination of critical meteorological and hydrological conditions that are reasonably possible in the region, and is computed by using the maximum probable storm which is an estimate of the physical upper limit to storm rainfall over the basin. This is obtained from storm studies of all the storms that have occurred over the region and maximizing them for the most critical atmospheric conditions (BIS, 1971). • Standard Project Flood (SPF) It is the flood resulting from the most severe combination of meteorological and hydrological conditions considered reasonably characteristic of the region. The SPF is computed from the standard project rainfall over the basin in question and may be taken as the largest storm observed in the region of the basin. It is not maximized for the most critical atmospheric condition but it may be transposed from an adjacent region to the watershed under consideration (BIS, 1971). iii) As per IS: 11223– 1985
  • 63.
    Project: Development ofHydrological Design Aids (Surface Water) under HP-II Document: 2009097/WR/REP-02 July 2010 State of the Art Report Revision: R0 2.2-18 WATER RESOURCES • Storage dams The different inflow design floods to be considered for different requirements are: i. Inflow design flood for the safety of the dam ii. Inflow design flood for efficient operation of energy dissipation system iii. Inflow design flood for checking extent of upstream submergence iv. Inflow design flood for checking extent of downstream damage in the valley The dams are classified according to their size by using the static head (H), measured from minimum tail water level to the full reservoir level) and the gross storage (S) behind the dam as given below. Criterion for selection of Design Flood Classification Gross storage (S) Mm3 Hydraulic head at FRL (H) (m) Inflow design flood Small 0.5-10 Between7.5 and 12 100 year flood Intermediate 10-60 Between12 and 30 Standard Project Flood Large > 60 > 30 Probable Maximum Flood Floods of larger or smaller magnitude may be used if the hazard involved in the eventuality of a failure is particularly high or low. The relevant parameters to be considered in judging the hazard in addition to the size would be: • Distance to and location of the human habitations on the downstream after considering the likely future developments. • Maximum hydraulic capacity of the downstream channel at a level at which catastrophic damage is not expected. For more important projects, dam break studies may be done as an aid to the judgement in deciding whether PMF needs to be used or not. Where the studies or judgement indicate an imminent danger to present or future human settlements, the PMF should be used. Any departure from the general criteria as above on account of larger or smaller hazard should be clearly brought out and recorded. 2.2.2.4 DESIGN FLOOD ESTIMATION APPROACHES The commonly used design floods estimation approaches which are currently in use are i. Flood Formulae ii. Probabilistic/Statistical iii. Hydrometeorological iv. Regional Flood Frequency 2.2.2.4.1 Flood Formulae A number of empirical flood formulae have been developed by various states/scientists for local/regional use. When long term and short term rainfall and runoff records are not available the design flood is obtained using these formulae. The value obtained from these can only be used for preliminary estimates for small catchments. The formulae developed are Dicken’s, Ryve’s, Nawab Jung Bahadur , W P Creager’s, Jarvis f, Modified Myer’s,
  • 64.
    Project: Development ofHydrological Design Aids (Surface Water) under HP-II Document: 2009097/WR/REP-02 July 2010 State of the Art Report Revision: R0 2.2-19 WATER RESOURCES Dredge/bridge, Pettis, Boston society of Civil Engineers’, Rational formula etc. Some of the important formulae are given in Annexure: 2.2-2 Envelope Curves The envelope curves as shown in CWC manual 2001 may need to be revised with additional data available. The updated curves will form a part of hydrological Aids. 2.2.2.4.2 Probabilistic/Statistical Approach (Index Flood Method) Generally flood frequency approach is adopted in case data of peak floods are available for large of period of record. Sometimes if it is not possible to undertake hydro meteorological study for estimation of design flood/PMF or even structures of comparatively lesser important/damage potential and when discharge data of a gauging station in upstream, downstream or adjacent basin are not available, this out annual peak discharges or partial duration series. The frequency analysis approach is resorted. In many developed countries, and in India, this approach has been practiced for more than 40 years. The main steps involved in Probabilistic approach are, i. Data Processing ii. Parameter Estimation for different distributions (Normal, Lognormal, Pearson III, Log Pearson III, Gumbel and GEV) using Method of moments, method of maximum likelihood, Probability weighted moments and L-moments approach iii. Goodness of fit tests to find the best fit distribution iv. T-year flood calculation using the selected best fit distribution v. Graphic representation of original series and selected distribution with its confidence bands The detailed procedures are given in Annexure: 2.2-3. Parameter Estimation Techniques Four best used parameter estimation techniques were identified ie., i. Method of moments ii. Method of Maximum likelihood iii. Probability Weighted Moments iv. L-moments Method Detailed methodologies of these methods are given in Annexure 2.2-3 Goodness of fit tests Four identified goodness of fit tests are proposed to be included in the Hydrological aids. They are, i. Chi-Square ii. Kolmogorov Smirnov Test iii. Cramer Von Mises iv. Andersen Darling Criteria Detailed procedures of these methods are given in Annexure 2.2-3. And a comparative study of these models and their applicability is shown in Table 2.10
  • 65.
    Project: Development ofHydrological Design Aids (Surface Water) under HP-II Document: 2009097/WR/REP-02 July 2010 State of the Art Report Revision: R0 2.2-20 WATER RESOURCES Table: 2.10 Comparison of Goodness of fit Tests Sl No Test Name Applications Advantages Disadvantages 1 Chi- Square This test has a very general applicability. Applied to binned data It can be applied to any univariate distribution for which you can calculate the cumulative distribution function. Widely used all over the world This test is not valid for small samples, This test cannot applied if the countings per bin are lower than five It generality gives to it very little power. This test is sensitive to the choice of bins. Application in binned data requires careful treatment. There is no optimal choice for the bin width (since the optimal bin width depends on the distribution) 2 Kolmogor ov Smirnov Test((KS) The K-S test is distribution free in the sense that the critical values do not depend on the specific distribution being tested. This test can be applied in any case (binned/unbinned data). The K-S test does not require any minimum value for expected frequencies and can be used with relatively small sample sizes. This test is satisfactory in case of symmetric or right-skewed distributions. This test is one of the much powerful An attractive feature of this test is that the distribution of the K- S test statistic itself does not depend on the underlying cumulative distribution function being tested Another advantage is that it is an exact test (the chi-square goodness-of-fit test depends on an adequate sample size for the approximations to be valid) 1. It only applies to continuous distributions. 2. It tends to be more sensitive near the center of the distribution than at the tails. 3. Perhaps the most serious limitation is that the distribution must be fully specified. That is, if location, scale, and shape parameters are estimated from the data, the critical region of the K-S test is no longer valid. It typically must be determined by simulation. 3 Cramer Von Mises (CvM) The test derives from Kolmogorov statistics and its applicability rules are based on Kolmogorov theorem. Based on squared error function An alternative to KS Test This test can be applied only on unbinned data. 4 ADC The Anderson-Darling test (Stephens, 1974) is used to test if a sample of data came from a population with a specific distribution. It is basically an improved KS test. This has the advantage of allowing a more sensitive test Gives more attention to tails Restricted to continuous distributions. Critical values must be calculated for each distribution.
  • 66.
    Project: Development ofHydrological Design Aids (Surface Water) under HP-II Document: 2009097/WR/REP-02 July 2010 State of the Art Report Revision: R0 2.2-21 WATER RESOURCES 2.2.2.4.3 Hydrometeorological Approach In the Hydrometeorological Approach, attempt is made to analyze the causative factors responsible for production of severe floods. Even though many of the components elude precise physical definition, the method is found to be very convenient and sufficiently accurate for practical purposes. The design flood computation mainly involves estimation of a design storm hyetograph and derivation of catchment response function. The catchment response function used can be either a lumped system model or a distributed lumped system model. In the former, a unit hydrograph is assumed to represent the entire catchment area and in the distributed model, the catchment is divided into smaller sub-regions, and the unit hydrographs of each sub-region applied with channel and/or reservoir routing will define the catchment response. The main advantage of this method is, it gives a complete flood hydrograph and this allows making a realistic determination of the moderating effect while passing through a reservoir or a river reach. The method has certain limitations also such as requirement of long term Hydrometeorological data, knowledge of rainfall process etc. Hydrometeorological approach preferably based on site specific information is suggested for the estimation of design flood of intermediate and large dams, especially when the storage has a significant effect on modifying the design flood hydrograph as it flows through the reservoir. In this approach probable maximum storm or SPS for the same is usually given by India Meteorological Department so far. The main steps in determining PMF and SPF as described are, i. Determination of response function of the Basins/Sub-basins ii. Storm analysis of extreme storms to determine PMP and SPS iii. Computation of flood hydrograph The detailed procedures are given in Annexure: 2.2-4. Design Storm Design storm determination is the most important part of the Hydrometeorological approach. The design storm can be a SPS or PMP or a T-Year storm. The step by step procedures involved in design storm derivation are shown below.
  • 67.
    Project: Development ofHydrological Design Aids (Surface Water) under HP-II Document: 2009097/WR/REP-02 July 2010 State of the Art Report Revision: R0 2.2-22 WATER RESOURCES The detailed procedures of each step are described in Annexure 2.2-4 Routing When we apply Hydrometeorological approach for large catchments larger than 5000 Km2 . it is often necessary to subdivide the catchments suitably and route the flood through stream or through reservoir for various applications and planning. The recognized methods of flood routing are reservoir routing and streamflow routing. The reservoir routing is used for fixing flood storage capacities in reservoirs and spillway capacities for large dams. The streamflow routing is resorted to for design flood protection works and real time flood forecasting. Normally used routing methods are hydrologic routing and hydraulic routing. The hydrologic method essentially employs continuity equation. For streamflow routing the readymade softwares are available like HEC-HMS, HEC-RAS etc. 2.2.2.4.4 Regional Flood Frequency Analysis If the annual flood peak discharge series of a site is not available but annual peak values of different sites in the region are available then Regional flood frequency approach can be used for estimation of Design Flood for ungauged basins or sites. Emerging Techniques in Estimation of Design Flood by Regional Flood Frequency Analysis Using L-Moments Approach • R. Kumar et al (2003) derived Regional flood formulas using L-moments for small watersheds of Sone subzone of India. In this case study, regional flood formulae are developed based on the L–moments approach for estimation of floods of various return periods for the gauged and ungauged watersheds of Sone Subzone of India. Annual maximum peak flood data for 12 stream flow gauging sites lying in the Subzone 1(d) are available for the study. The watershed areas of these gauging sites vary from 34 to 1658 km2, and the total geographical area of the Sone Subzone 1(d) is 1,28,900 km2. Annual data records, ranging from 13 to 33 years, were available for the gauging sites.
  • 68.
    Project: Development ofHydrological Design Aids (Surface Water) under HP-II Document: 2009097/WR/REP-02 July 2010 State of the Art Report Revision: R0 2.2-23 WATER RESOURCES The various frequency distributions: viz. Extreme value (EV1), General extreme value (GEV), Logistic (LOS), Generalized logistic (GLO), Normal (NOR), Generalized normal (GNO), Uniform (UNF), Pearson Type–III (PE3), Exponential (EXP), Generalized Pareto (GPA), Kappa (KAP), and five parameter Wakeby (WAK) were used in the analysis. Parameters of the distributions were estimated using the L–moments approach. GEV distribution was identified as best fit distribution for the zone using discordancy measure. Formula relating QT with the area of the catchment was obtained. The regional formulae by GEV distribution can be considered for the sub zone region 1(d) till further data are available. • A similar study was conducted Brahmaputra sub basin by Rakesh Kumar and Chandranath Chatterjee in 2005 and found that GEV is the robust distribution for this sub zone too. The identified commonly used methods for Regional flood frequency analysis are, 1. USGS Method 2. Pooled Curve Method 3. Analytical Method 4. L-moments Approach The detailed procedures of each of these methods are given in Annexure: 2.2-5 2.2.2.5 Estimation of Snowmelt Contribution Comparison of snowmelt runoff models in Table 2.11 which indicates type of model whether lumped or distributed processes considered, no of model parameters required and minimum time step. Considering that the data availability in Indian condition is scanty, the SRM model may be considered suitable. This needs only 7 parameters. There was a proposal to consider HYSIM model also from UK Water Resources Associates Ltd. However further examination revealed that the model is useful for long term rainfall and PET data to produce long term flow records, flow naturalization, studying the effects of climate change, flood studies etc. The output can be in in the form of overland flow, impermeable area runoff, snow storage, soil moisture storage, interflow, groundwater recharge, ground water storage etc. These parameters may not be easily available. The SRM model can be applied in mountainous basins of any size upto around 10 lakh km2 at any elevation range from 0 to 8000 above MSL. The data requirement for the model is, Area-Elevation curve of the basin, Basin Characteristics, Precipitation and Runoff data Briefly SRM model can be used for, Simulation of daily flows in snowmelt season, Short term seasonal runoff forecast and Evaluation of potential effect of climate change on the seasonal snow cover and runoff. The performance studies have been conducted on the snowmelt model runoff performance wherein performance of available models in simulating seasonal or annual snowmelt runoff has been evaluated by the test conducted by WMO in 1986 using coefficient R2 and % deviation in total runoff volumes. Although the HBV, SRM, SSARR, PRMS and NWSRFS were compared and the results were generally found within acceptable range however SRM model appears to have given more results, and needs 7 parameter input, is a Degree day model and may be easily adoptable under Indian conditions.
  • 69.
    Project: Development ofHydrological Design Aids (Surface Water) under HP-II Document: 2009097/WR/REP-02 July 2010 State of the Art Report Revision: R0 2.2-24 WATER RESOURCES Hec-Hms is next generation software for precipitation runoff simulation and supersedes HEC-1 software. The capabilities include watershed runoff, routing, snow accumulation and melt flow and frequency analysis. This model can also be used to get the snowmelt contribution. The model however needs 9-13 parameters including PX temperature, Base temperature, Wet meltrate, Rain rate limit, ATI-meltrate coefficient, Cold-limit, ATI-coldrate coefficient, Water capacity, Groundmelt etc. It may be difficult to get some of these parameters under Indian conditions. As such it is considered desirable to use SRM model for the purpose as hydrological Aid. The hydrologic implications for flood due to snow are very complex and in absence of proper snow recording data it is rather difficult to evaluate the snow melt contribution to runoff. Since no detailed studies have been carried out for snowbound catchments in India, in absence of catchment specific snow melt studies, the equation recommended by WMO is used. As per WMO – No. 168, equation for heavily forested areas adapted from the U.S. Army Corps of Engineers for snow/glacier melt due to rain is given below: M = (0.3+0.012 x P) x T + 1.0 Where, M = Daily snow melt in millimeters P = Daily rain in millimeters T = Mean daily temperature in 0 C
  • 70.
    Project: Development ofHydrological Design Aids (Surface Water) under HP-II Document: 2009097/WR/REP-02 July 2010 State of the Art Report Revision: R0 2.2-25 WATER RESOURCES Table 2.11 Comparison of snowmelt Runoff models Sl No Model Data Inputs Degree day or Energy budget Lumped or distributed Process considered Model parameters Minimum Time step 1 NWSRF S Ta, P, u DD, except during rain Lumped, but with a snow-cover depletion curve Cold content, snow temp., liquid routing, rain-on-snow 13 6 hr 2 SRM Ta, P, and cloud cover for modified version DD Semi-distributed, snow-cover data by elevation zones Ripening date specified, seasonal adjustments 7 Daily 3 PRMS Ta, P, incoming solar or cloud cover; or complete meteo. data DD or EB Distributed by hydrologic response units; two snowpack layers; elevation, slope and aspect and forest effects Snow temp., cold content, Rain-on-snow 10 1 min in storm mode, daily otherwise 4 HBV- ETH Ta and P, monthly potential evapotranspiration DD Semi-distributed Parameters adjusted for slope/aspect, forest effects 11-20, varies with version Daily 5 SSARR Ta, P, evapotranspiration DD Lumped or semi distributed with elevation zones Same as NSRFS plus interception losses 15 0.1 hr 6 SHE Ta and P or complete meteorological data DD or EB Distributed grid network Interception losses, liquid routing, cold content, full forest effects >50 0.1 hr 7 HEC- HMS PX temperature, Base temperature, Wet meltrate, Rain rate limit, ATI-meltrate coefficient, Cold-limit, ATI- coldrate coefficient, Water capacity, Groundmelt etc DD or EB Lumped 9-13 1 min
  • 71.
    Project: Development ofHydrological Design Aids (Surface Water) under HP-II Document: 2009097/WR/REP-02 July 2010 State of the Art Report Revision: R0 2.2-26 WATER RESOURCES 2.2.2.5.1 GLOF In the past two decades their have been a number of glaciers like Lake Outburst floods. Increase in melting of glacier has left many glacier lakes. A GLOF is caused when the glacier lakes burst there banks and cause wide spread floods resulting in havoc to life flora and fauna of a d/s area and damage to infrastructure in the region. Himalaya regions in India have suffered many glacial lake outbursts. Factors contributing to the hazard risk of Moraine damage glacial lake include: • Large lake volume • Narrow & High Moraine dam. • Stagnant glacier ice with in the dam. • Limited free board between lake level and crest of the Moraine ridge. Potential outburst flood triggers include avalanche displacement waves from calving glaciers, hanging glaciers, rock falls, settlements, piping within the dam, melting of ice core and catastrophic glacial drainage in to the lake from sub-glacial are supra-glacial lakes. In view of above it has now been practice to consider GLOF in many countries including India, while planning designing and constructing any infrastructures special water resources projects. The process involves identification of potentially dangerous glacial lakes based on records of past events, field observation, geomorphological and geotechnical characteristics of lakes have also been used. One such study has been done by Central water Commission for Punatasangchhu Hydro-Electric Project in Bhutan. Glacial lakes are like natural water reservoirs dammed by ice or moraines. Glacier lake dams consisting of unconsolidated material are prone to failure and may cause disastrous surges of water heavily charged with debris. Sudden, large river flow caused by an outburst of a glacier lake is generally termed glacier lake outburst flood or GLOF. "Glacier floods represent in general the highest and most farreaching glacial risk with the highest potential of disaster and damages" (Richard/ Gay 2003) Many Himalayan rivers originate from glaciers. These are subject to catastrophic process GLOF. And unpredictable and may cause serious loss of life and much damage to property. They are sudden. Many countries of the Himalayan region have experienced a number of GLOF events. Consideration of potential glacier lake outburst floods (GLOF) is, therefore, of essential importance for the design of river engineering structures located downstream of hazardous glacier lakes. Causes of GLOF Causes of GLOF include ice avalanches, rock falls, melting of ice cored moraine dams. The outburst may be caused by the failure of the damming moraine due to its own instability or glacier and/or snow collapse into the lake and may lead to overtopping and eventually to failure of the damming barrier. Many a times when the glacial melt rates are high the melt water feeding the ice damned lakes may fill it upto the point of hydraulic displacement. GLOF Events Several GLOF events have been recorded in Tibet, Nepal and Bhutan and some mountain regions of India. Thirty five destructive GLOF events have been recorded in the upper Indus river system in the past 200 years. A GLOF event of August 1929 in the Indus river system
  • 72.
    Project: Development ofHydrological Design Aids (Surface Water) under HP-II Document: 2009097/WR/REP-02 July 2010 State of the Art Report Revision: R0 2.2-27 WATER RESOURCES had extended 1300 km downstream and was reported to have recorded a discharge of 15000 cumecs. Many floods in Nepal have originated in Tibet and similarly, floods from Nepal do not respect national boundaries and have the potential to run into India and even Bangladesh. Many of the rivers of the Indus and Ganga originate from Tibet and Nepal. Six GLOF events during 1935 - 1981 in Tibet were reported to have caused damages in the Koshi river basin area. Impact of Climate Change Climate change and retreating glaciers constitute a major hazard in the Himalayas. The most significant glacial hazards relate to the catastrophic drainage of glacial lakes (Richardson and Reynolds 2000). The phenomenon of GLOFs illustrates the possible impacts of global climate change on the local level. With rising temperatures, many big glaciers have melted rapidly and resulted in a large number of glacial lakes. On average, air temperatures in the Himalayas are 1°C higher now than in the 1970s, rising by 0.06 °C per year (Shrestha et al, 1999). GLOF Studies Studies by Meon and Schwahz (1993) have shown that the maximum GLOF discharge at the Upper Arun dam site in Nepal is 6300 cumecs about one and half times the PMF 4400 cumecs and three times the spillway design flood of 2100 cumecs (1000-year flood) selected for the concrete structure of the run-of-river dam. DAMBRK model has been used to simulate the GLOF Bajracharya et al ( 2007) made an attempt to use a hydrodynamic model coupled with geo- informatics for pre-processing and post-processing of data to simulate GLOF impact in Himalayan catchments. NWS-BREACH (NWS 1991) was used to simulate the outburst hydrographs. The model is based on coupling the conservation of mass of reservoir inflow, spillway outflow, and breach outflow with the sediment transport capacity of the unsteady uniform flow along erosion-formed breached channel. The results have shown that such studies can be a cost effective means of obtaining preliminary information on the extent and impact of possible GLOF events in areas like Sagarmatha, where detailed fieldwork is difficult and expensive. The model outputs also provide information on flood arrival time, discharge, and depth, which is important for devising early warning systems. Using the Dam Break and HEC Ras models possible extension of debris flow, flood depth and time travel of the debris and nature of flood propagation in the downstream was derived from the hydrodynamic modeling. The spatial distribution of the flood was analysed by preparing inundation maps for the high flood level along the river The analysis helps to estimate the arrival time of the flood, which is useful in reducing the GLOF risk. Mitigation of GLOF Damage The most permanent, safe and cheap methods for mitigation work is needed, which is possible by safe breaching moraine dams before the settlements begin with the safeguard of many check dams and an earth dam at stable and narrow river valley downstream of the lake for new reservoir This will not only reduce the GLOF risk but also can be helpful in
  • 73.
    Project: Development ofHydrological Design Aids (Surface Water) under HP-II Document: 2009097/WR/REP-02 July 2010 State of the Art Report Revision: R0 2.2-28 WATER RESOURCES managing the water resources for the hydropower, water supply for drinking and irrigation etc. which will improve the livelihood of the mountain people. Almost all of the dangerous and growing glacial lakes are situated at remote and high altitudes of rugged terrains with harsh climatic conditions. Hence to carry out the physical mitigation works on these lakes are expensive and impractical, but awareness and adaptation measures can be carried out to reduce the GLOF risk. In the Indian part of Himalayas there were no control structures on any of the glacial lakes. Also no GLOF monitoring and GLOF early warning systems exist. The risk to life and property in the event of a major GLOF is very high. Concluding Remarks The immediate impact of fast and continuous retreat of glaciers is the proliferation of moraine dammed glacial lakes. The continuous growth of the lake ultimately leads to the breaching of the moraine dam with catastrophic GLOF. The Himalayas had already experienced many GLOF events with continuous erosion and instability of slopes consequently threatening settlement. The rapid growing glacial lakes will most likely pose danger in the future and therefore it is vital that these glaciers and glacial lakes are monitored for the sound management of water resources and disaster risk reduction. Instead of constructing physical mitigation structure on the unstable moraine and earthquake prone zone, it will be more feasible to create awareness for the adaptation and safe breaching of the moraine dam. However, the phenomenon is a challenge with limits imposed by the higher altitude, rarefied atmosphere, remoteness of many of the locations and short working season due to near-freezing temperatures in the area. To forecast when and how a GLOF event will take places difficult and needs detailed and multi-disciplinary investigations of the total environment of the lakes and associated factors in the surroundings as a whole In addition to the "classical" flood flow analyses, GLOF analysis should be considered for derivation of design floods of projects in glacier dominated mountainous watersheds. Damage is likely to be caused by large boulders as parts of the GLOF bed load. Hence safety of the dam against damage will depend on a well-timed complete opening of the gates to lower the reservoir Early warning systems aim to detect impending GLOFs in sufficient time to relay a warning to people who might be affected so that they can move to safer grounds. For effective and practical use of early warning systems, an information technology (IT) based system is necessary. The use of geo-ICT tools and techniques will be a state-of-the-art in the region and the Internet connectivity will be the backbone to the overall system. It is necessary to develop awareness and capacity of the local people who now have access to wireless Internet. Dam Break Modeling The essence of dam break modeling is hydrodynamic modeling, which involves finding solution of two partial differential equations originally derived by Barre De Saint Venant in 1871.
  • 74.
    Project: Development ofHydrological Design Aids (Surface Water) under HP-II Document: 2009097/WR/REP-02 July 2010 State of the Art Report Revision: R0 2.2-29 WATER RESOURCES These equations are: (∂Q/∂X) + ∂(A + A0) / ∂t - q = 0 (continuity equation) (∂Q/∂t) + { ∂(Q2 /A)/∂X } + g A ((∂h/∂X ) + Sf + Sc ) = 0 (Momentum equation) Where, Q = discharge; A = active flow area; A0 = inactive storage area; h = water surface elevation; q= lateral flow; x = distance along waterway; t = time; Sf = friction slope; Sc = expansion contraction slope and g = gravitational acceleration Steps involved in GLOF analysis The steps involved in GLOF analysis will therefore be, i. Identification of potentially hazardous Glacial lakes ii. Location of moraine dam(Lat. Long.) with cross sections iii. Fix appropriate breach parameters iv. Conduct Dam break analysis by HEC-RAS or MIKE 11 (if available) v. Carry out critical analysis of different GLOF scenarios and prediction of outflow hydrograph due to dam breach routing of hydrograph through downstream vi. Criticality analysis vii. Simulation study of the site. The models available to conduct dam break analysis are, Sl. No Model Merits Demerits Application Freeware /License 1 HEC-RAS GIS Version HEC- GEORAS Is Available Doesn’t Suit in Steep Slopes Applied all over the world Freeware 2 MIKE 11 More Suitable At Steep Slopes Licensing problem Applied all over the world License 3 NWS- DAMBRK Simple Model user friendly interface is not available User friendly interface not available Freeware 4 NWS- FLDWAV Capability To Model Flows Through A Single Stream Or A System Of Interconnected Waterways More Complex compared to Dambrk New Version of NWS Model Which Could Also Be Considered Freeware
  • 75.
    Project: Development ofHydrological Design Aids (Surface Water) under HP-II Document: 2009097/WR/REP-02 July 2010 State of the Art Report Revision: R0 2.2-30 WATER RESOURCES Since HEC-RAS is freeware software available, the same may be adopted. At steep slopes the use of HEC-RAS is less effective and hence a separate tool will be developed for routing through steep slopes. 2.2.2.6 Design Flood for Urban and Agricultural Catchments 2.2.2.6.1 Urban Catchments Screening of available literature and models for urban nonpoint source runoff models was made. It was seen that the rational model used for considerable period in UK and USA in its original form or modified form. The SCS method also has been used for quite some time. Recently updated version of HEC model i.e., HEC-HMS has also been used for urban modeling. Brief review of the available models has been made and its simplicity methodology, parameters required for modeling has been presented in the Table 2.12 below. Considering the data requirement, simplicity of adopting under Indian conditions it is proposed to provide aids for simplest universal model already in wide use i.e., Rational method and for more accurate results use of HEC-HMS Kinematic Wave model developed by USACE. The insight available from models used in UK will also be utilized as possible 2.2.2.6.2 Agricultural Catchments i. SCS method SCS curve method can be used for agricultural design flood estimation which is commonly used method in USA. The procedure consists of computing direct runoff of a storm with runoff curve numbers which have been developed through field studies by measuring the runoff from numerous soil cover combinations. A weighted composite curve number is derived for catchments having more than one land use in area proportion. HEC-HMS software has developed a module to implement SCS method. This will be used as a Hydrologic Aid. ii. Rational Formula A rational formula is universally used and depends upon the catchment area characteristics like time of concentration and length of the main stream etc. Details are given in section 2.2.2.2.3
  • 76.
    Project: Development ofHydrological Design Aids (Surface Water) under HP-II Document: 2009097/WR/REP-02 July 2010 State of the Art Report Revision: R0 2.2-31 WATER RESOURCES Table: 2.12 Characteristics of identified urban runoff models SL No Model Application (time domain) Predictive method Independent variables Advantages Disadvantages 1 Rational method (Kuichling 1889; Lloyd- Davies, 1906) Peak Discharge Empirical. Rainfall and a loss coefficient Rainfall intensity, time of concentration, drainage area, loss coefficient • Simple and cheap to apply • Minimal data requirement • Widely used in UK sewer design • Already in wide use in USA for urban catchments • Designed to estimate peak flow not volume • Restricted to small catchments 2 RRL modified rational method (Watkins,1962; TRRL,1976) Peak Discharge, Runoff volume and hydrograph Empirical Discharge a product of a travel-contributing area relationship, and a hyetograph Specifically designed for UK urban areas Rigorously field tested Derivatio0n of time-area graph laborious ( can assume linearity) 3 Wallingford procedure (modified Rational method) (DoE, 1981) Peak discharge based on runoff volume estimate Peak discharge based on empirical method. Drawing on statistical model of runoff volume Drainage area, precipitation and runoff volume ( from soil index, impermeability and antecedent catchment wetness) Specifically designed for UK urban areas Rigorously field tested,, and based on FSR data with additional composite urban drainage database (largest in UK) More accurate than previous UK methods Most widely accepted UK runoff volume method (e.g. noted in FWR, 1994) Statistical analysis underlying runoff volume places limitations on use are variable values and catchment size (<150ha) 4 SWMM : Level I (Heaney et al., 1976) Long term average runoff volume Empirical rainfall and a loss coefficient Precipitation population (for imperviousness) Simple, cheap and easy to apply Minimal data requirement Catchment only for US urban catchments Very crude 5 TR 55 Soil Cover Complex (SCS, 1986) Runoff volume, peak discharge and hydrograph (if excess rainfall procedure used) Empirical/ graphical method. Rainfall depth/ Catchment area Precipitation (24 hr rainfall), area, losses based on curve numbers defined by hydrologic soil group and land surface cover graphs Designed to include volume estimation Universally accepted in US so well documented Applicable to larger catchments than rational method More consistent than rational method Calibrated only for US urban catchments More complex than rational method Only considers 24 hour design storm 6 Hec-Hms using Kinematic wave Approach Peak Discharge, Volume of Discharge, Runoff Hydrograph Kinematic wave Precipitation, Slope, Roughness, Length of channel and overland • Physically based model • Easily adoptable in India • Its freely available • Developed by USACE and widely used in USA • More parameters compared to Rational and SCS methods
  • 77.
    Project: Development ofHydrological Design Aids (Surface Water) under HP-II Document: 2009097/WR/REP-02 July 2010 State of the Art Report Revision: R0 2.2-32 WATER RESOURCES 2.2.2.7 Climate Change Effects Intergovernmental Panel on Climate Change (IPCC) 4th assessment report (AR4) on climate change has studied the effects of climate change on design flood in general. Their assessment is that there will be decrease in T-year flood at lower return periods but increase in T year flood at higher frequencies. It is felt that limited 2,3 studies and IPCC report do not appear to have examined the problem in greater depth considering long term data and especially lack of data for assessing effects on 1000 and 10000 year floods. Current information on the effects of climate change contains considerable complexity and uncertainty which precludes making firm assessment of the changes in flood magnitude and frequency. Globally, projected changes in flooding have regional and seasonal variation. In general the trend for warming of the atmosphere leads to an increase in the moisture content of the air and so for impacts upon the hydrological cycle. It is for consideration if these contradictory results should be taken in any cognizance and it will be preferable to wait for conclusive evidence and results. Till then it is proposed not to provide for any climate change effects for long run in our Design Aids. 2.2.3 Reviews and Recommendations 2.2.3.1 Suggested Design Flood Estimation Criteria The consultants have carefully examined the recommendations/Guidelines of BIS, CWC, United States Army Corps of Engineers, ICOLD, and Institution of Civil Engineers London- . Structural Standards for River Protection Facilities (Cabinet Order) drew on basis of River Law of Japan, Classification and criterion for Water Conservancy and Hydropower Project in China and many other agency/countries practices. Considering that most of the developed countries and India have been following adequate criteria for safety of the structures /properties and habitation downstream. The consultants feel that the classification and criteria laid down in the B.I.S. and by CWC are based on highest safety standards and considering the safety standards of various countries and consultant proposed no change in the criteria. ITEM INDIA BIS CWC Large Dam Gross storage: > 60MCM Or Hydraulic head at FRL: >30 m Inflow design Flood: PMF Gross storage: > 60MCM Or Hydraulic head at FRL: >30 m Inflow design Flood: PMF Medium dam Gross storage: 10-60MCM Or Hydraulic head at FRL: 12-30 m Inflow design Flood: SPF Gross storage: 10-60MCM Or Hydraulic head at FRL: 12-30 m Inflow design Flood: SPF Small Dam Gross storage: 0.5-1.0MCM Or Hydraulic head at FRL: 7.5-12 m Inflow design Flood: 100 yr flood Gross storage: 0.5-1.0MCM Or Hydraulic head at FRL: 7.5-12m Inflow design Flood: 100 yr flood For more important projects, dam break studies may be done as an aid to the judgement in deciding whether PMF needs to be used or not. Where the studies or judgement indicate an imminent danger to present or future human settlements, the PMF should be used. Any
  • 78.
    Project: Development ofHydrological Design Aids (Surface Water) under HP-II Document: 2009097/WR/REP-02 July 2010 State of the Art Report Revision: R0 2.2-33 WATER RESOURCES departure from the general criteria as above on account of larger or smaller hazard should be clearly brought out and recorded. Other guidelines as given in the section 2.2.2.3.2 from page 2.2-8 to 2.2-10 are also recommended for small structures. 2.2.3.2 Procedures for determining PMF After reviewing the criteria and different approaches for flood estimation the following procedure was recommended for the determination of PMF. i. Hydrometeorological Approach On basis of critical studies of all sources the consultants suggest the following design steps in brief. Steps to determine the PMF are, i. Development of DAD curves for the region ii. Estimate PMP for 1 day, 2 day and 3 day from DAD curves iii. Determination of 24 hour, 48 hour and 72 hour PMP values iv. Maximization, transposition etc considering moisture adjustment factors v. Determination of time distribution of these values vi. Development of 1 hr, 3 hr, 6 hr, 9 hr, 12 hr.... 18hr hour values vii. Determination of transfer function to convert the PMP to PMF The methodology suggested by the Organizations (BIS, CWC etc) rather use institute storms or actual storms which are transferred to the catchment in question, maximizing it by moisture adjustment factor. The PMP Atlases are prepared by IMD probably using guidelines of BIS and CWC. The standard for these Atlases are upto the year 1969, since then a number of heavy storms have been experienced. IITM used Hershfield Technique which also determines the frequency factor (k) on the basis of storms which are actually occurred in India. It has been our experience that in the progress more intense storms are experienced in India. The IPCC report in 2007 also suggests the impact of climate change to increase the intensity of storms. Therefore it is suggested that both these Atlases by IMD and IITM should be updated in light in every 5 years because they are dependent on the data around the area. For ungauged catchments the Manual on estimation of probable maximum precipitation by WMO NO. 332 has given maximum observed Depth area duration rainfall values for major storms in India which can be useful in determining the PMP. Also Publication by Mutreja has indicated PMP as the sum of mean of 24 hour annual maximum and 15 times the standard deviation of the sample which could vary from place to place also. 2.2.3.3 Procedures for determining T-Year Flood After reviewing the criteria and different approaches for flood estimation the following procedures were recommended for the determination of T-year Flood. i. Probabilistic/Statistical Approach It is seen that the Gumbel’s distribution was used upto 30-40 years back. No specific distribution was suggested by CWC in its latest manual. With the publication of Design flood estimation procedures have improved considerably. These procedures include data processing, consistency checks and flood frequency analysis using selected distribution. In India log normal distribution with two and three parameters, Pearson type III, log Pearson type III, and Gumbel distribution are being generally used. However the General Extreme Value (GEV) planned to be included along with the CWC specified distributions in Hydrological Aids.
  • 79.
    Project: Development ofHydrological Design Aids (Surface Water) under HP-II Document: 2009097/WR/REP-02 July 2010 State of the Art Report Revision: R0 2.2-34 WATER RESOURCES The main steps involved in the Probabilistic method of design flood estimation are explained in clause 2.2.2.4.2 2.2.4 Conclusions General Considering the procedures adopted in India visa viz, other developed countries the status of design flood procedures mentioned in the status of CWC procedures are almost at par with other developed countries of the world. The Chapter-2 indicates procedure being adopted based on Hydrometeorological approach and are probabilistic approach depending upon the objective of the study, the type of the structure whether large, medium or small dams, Barrage, Weir, C.D works, Bridges etc. and data available. The details of these procedures are given in clause 2.2.2.4.2 to 2.2.2.4.4. The methodology depends upon the extent and nature of data available but can broadly classify as under. (i) Gauged Basin: (i) Hydrometeorological approach (ii) Probabilistic approach (ii) Partially gauged or (i) Regional flood frequency analysis Ungauged basin: (ii) Hydrometeorological approach using Synthetic Unit Hydrograph Gauged Basins Hydrometeorological approach If sufficient precipitation and discharge data and concurrent short interval precipitation data are available this procedure is considered, it involves data processing, identification of sub basin (in case of basin larger than 5000 Km2), considering catchment characteristics, snow bound area etc. The response function is derived from observed flood hydrographs, preferably high isolated single peak hydrograph, which can be easily used for derivation of unit hydrograph. In case of single peak hydrograph is not available, complex flood hydrograph is used, using instantaneous unit hydrograph (Nash, Collins and Clark methods). Design Storm The design storm also depends upon whether probable maximum storm, standard project storm or T year storm is required, which depends upon nature of structure. This will involve identification, selection, processing of very heavy storm including cloud burst. On the basis of data available and the size of the basin, duration of design storm is decided and candidate storm identified. The study will involve, aerial distribution, DAD curve, storm transposition to get SPS storm and further applying barrier adjustment and storm maximization. The time distribution of storm by developing and enveloping curve is developed to get PMS with respect to time for the basin/sub basin. For obtaining design flood at desired location, the stream flow routing by Muskingum method or Muskingum-Cunge method will be used. For reservoir routing modified pulse method can be used. For this purpose HEC-HMS software of US army corps of engineers shall be used. For snowmelt contribution hydrologic Aid like SRM as discussed in Clause 2.2.2.5 will be used. The road map is given in Chapter 4.3
  • 80.
    Project: Development ofHydrological Design Aids (Surface Water) under HP-II Document: 2009097/WR/REP-02 July 2010 State of the Art Report Revision: R0 2.2-35 WATER RESOURCES Probabilistic Approach: The present studies and merits are discussed in clause 2.2.2.4.2. Broadly this work involves data processing, station characteristics, gap filling, consistency checks, analysis by probability distribution etc. for the parameter estimation PWM, method of moments, maximum likelihood moments and L moments are proposed. The present trends favour of use of L moments. Some various probability distribution methods give varying results it is considered important to carry out goodness of fit test by Chi-Square Test, Kolmogorov- Smirnov (K-S), Cramer Von Mises (CVM), and ADC. The above analysis will give T year flood on mean line. For more important structures the assessment and in case important properties of habitation are located in downstream. For more conservative states, assessment are made 90 or 95% upper confidence band. Ungauged/Partially Gauged Basins: Probabilistic Approach (RFFA Analysis) This methodology can be used for partially gauged and ungauged catchments also by conducting RFFA analysis. For RFFA analysis Pooled curve method, USGS method, analytical method and L moments method can be employed. The hydrologic Aid modules will be developed for these methods. Study by L-moments L moments methodology developed by Hosking and Wallis 1997. The L moments are alternative system of describing the shape of probability distribution. The approach involve screening of stream flow data, test of regional homogeneity, identification of robust RFF distribution and development of RFF relationship for the catchments. Hydrometeorological Approach (Synthetic Unit Hydrograph) For analysis by Hydrometeorological Approach for ungauged/partially gauged catchments following methods are available: i. Snyder’s method ii. Dimensionless unit hydrograph method iii. CWC sub zonal reports iv. GIUH With the successful completion of CWC WRIS web based systems by 2013, it will be possible to conduct these studies with the available basin wise GIS features. The rest of the procedure will be same as for gauged basins. Cloud Burst A large number of very heavy cloud bursts have been experienced in the parts of the country. These are intense sharp period heavy storms which cause heavy floods disruption and dislocation of communication and sometimes losses of property and life. Although these are rare events, they need to be considered while developing short interval enveloping curve for the one day, two day and three day storms so that they get accounted for automatically. Separate provision for cloud burst flood is therefore rarely made due to above consideration. GLOF There have been number of glacier lake outburst floods in the recent times. The GLOF is caused when glacier lake burst their banks and caused wide spread flood and havoc to life, flora and fauna of the downstream area, apart from heavy damage to infrastructure. The effect of GLOF is to be considered to predict the likely outflow hydrograph due to
  • 81.
    Project: Development ofHydrological Design Aids (Surface Water) under HP-II Document: 2009097/WR/REP-02 July 2010 State of the Art Report Revision: R0 2.2-36 WATER RESOURCES dam breach. The detailed methodology and step by step procedure required to be conducted are described in clause 2.2.2.5.1 Urban and Agricultural Catchments Screening of available literature on practices being adopted in advanced countries like UK and USA was made. It is seen that the rational method is still being used in many countries in original form or modified form. The HEC HMS model has provision for urban modelling also using Kinematic wave approach. Considering the data requirement, simplicity of adoption under Indian conditions, it is proposed to provide Hydrological Aid for use of Rational Formulae. HEC HMS Kinematic wave model developed by USACE will also be used for detailed studies. Rational method can also be used for Agricultural catchments. HEC-HMS module of SCS method will also become a tool for Agricultural catchments. References: i. Abbs D. J. 1999 A numerical modelling study to investigate the assumptions used in the calculation of Probable Maximum Precipitation. Water Resources Research Vol. 35 No. 3 pp 785-796 ii. Abdullah Al-Mamun and Alias Hashim Generalised long duration Probable Maximum Precipitation Isohyetal Map for Peninsular Malaysia Journal of Spatial Hydrology Vol.4, No.1 iii. Allen, S. K., Schneider, D., and Owens, I. F. (2009). "First approaches towards modelling glacial hazards in the Mount Cook region of New Zealand’s Southern Alps." Nat. Hazards Earth Syst. Sci , 9, 481-499. iv. Asmal, K. (2000). Dams and Development , Earthscan. v. Bergström, S., Harlin, J., and Lindström, G. (1992). "Spillway design floods in Sweden." Hydrological Sciences Journal , 37(5), 505-519. vi. Bergström, S., Hellström, S.-S., Lindström, G., and Wern, L. (2008). "Follow-up of the Swedish guidelines for the design flood determination for dams." 1:2008, BE90 . vii. Bocchiola, D., Michele, C. D., and Rosso, R. (2003). "Review of recent advances in index flood estimation." Hydrology and Earth System Sciences , 7(3), 283-296. viii. Bradlow, D. D., Palmieri, A., and Salman, S. M. A. (2002). Regulatory frameworks for dam safety , The World Bank, Washington DC. ix. Bruce, J. Q. And R . H. Clark 1966 Introduction to Hydrometeorology Pergamon Press London pp 180 - 183 x. Calver, A., Lamb, R., and Morris, S. E. (1999). "River flood frequency estimation using continuous runoff modelling." Proc Inst Civ Water Maritime and Energy , 136(4), 225-234. xi. Clark C 2008 New Guide to Flood Estimation in England and wales Review and Update 10th National Hydrology Symposium Exeter United Kingdom xii. CWC 2001 Estimation of Design Flood- Recommended Procedures. India xiii. CWC 1972 Estimation of Design Flood-Recommended Procedures. India xiv. Darlrymple, T. (1960). "Flood frequency analysis." US Geological Survey. xv. DIN. (1986). "Teil 10: Gemeinsame Festlegungen " In: Stauanlagen , Deutsches Institut fur Normung eV, Berlin. xvi. Droop, O. P., and Boughton, W. C. (2003). "Integration of WBNM into A Continuous Simulation System for Design Flood Estimation " In: Modelling and Simulation 2003 . xvii. Ed Tomlinson New Developments and Needs in site specific Probable Maximum Precipitation (PMP) Studies. Proc Workshop on Hydrologi Research Needs for Dam Safety Federal Emergency Management Agency USA pp. 107 – 110 xviii. Faulkner, D., and Wass, P. (2005). "FLOOD ESTIMATION BY CONTINUOUS xix. SIMULATION IN THE DON CATCHMENT, SOUTH YORKSHIRE, UK." Water and Environment Journal , 19(2), 78-84.
  • 82.
    Project: Development ofHydrological Design Aids (Surface Water) under HP-II Document: 2009097/WR/REP-02 July 2010 State of the Art Report Revision: R0 2.2-37 WATER RESOURCES xx. FEMA. (2004a). "Hazard Potential Classification System for Dams ", Federal Emergency Management Agency. xxi. FEMA. (2004b). "Selecting and accomodating inflow design floods for dams." Federal Emergency Management Agency. xxii. Fernando, W.C.D.K and S.S. Wickramasuriya 2010 The Hydrometeorological estimation of Probable Maximum Precipitation under varying scenarios in Sri Lanka International Journal of Climatology xxiii. Feyen, L., Dankers, R., Barredo, J. I., Kalas, M., Bódis, K., Roo, A. d., and Lavalle, C. (2006). "Flood risk in Europe in a changing climate." EUR 22313 EN , European Commission Joint Research Centre, Institute of Environment and Sustainability, Luxembourg. xxiv. Foerland, E. J., and Kristoffersen, D. (1989). "Estimation of extreme preciptitation in Norway." Nordic Hydrology , 20, 257-276. xxv. Galea, G., and Prudhomme, C. (1997). "Basic notions and useful concepts for understanding the modelling of flood regimes of basins in QdF models." Revue des Sciences de l'Eau , 10(1), 83-101. xxvi. Ghahraman, B., The Estimation of One Day Duration Probable Maximum Precipitation over Atrak Watershed in Iran. Iranian Journal of Science & Technology Transaction B Engineering Vol 32 No B 2 pp 175 - 179 xxvii. Guillot, P. (1993). "The arguments of the gradex method: a logical support to assess extreme floods." In: Extreme hydrological events: Precipittaion, floods and droughts , IAHS, Yokohama, Japan, 287-298. xxviii. Guillot, P., and Duband, D. (1967). "La méthode du Gradex pour calcul de la probabilitié de crues à partir des pluies." AISH , 84, 560-560. xxix. Gurung, J., and Lama, L. T. (2008). "Regional GLOFs Risk Reduction Initiative in the Himalayas: Preparatory Assessment Report, Nepal." xxx. Hart T.L. (1982) Survey of Probable Maximum Precipitation using the synoptic method of storm transposition and maximisation. Workshop on spillway design AWRC Conference Vol. 6 Canberra Australia xxxi. Hewitt, K. (1982). "Natural dams and outburst floods of the Karakoram Himalaya." In: Hydrological Aspects of Alpine and High Mountain Areas , IAHS, Exeter. xxxii. Huggel, C., Haeberli, W., Kääb, A., Hoelzle, M., Ayros, E., and Portocarrero, C. (2002). "Assessment of glacier hazards and glacier runoff for different climate scenarios based on remote sensing data: a case study for a hydropower plant in the Peruvian Andes." In: EARSeL-LISSIG-Workshop Observing our Cryosphere from Space Bern. xxxiii. Huggel, C., Kääb, A., Haeberli, W., and Krummenacher, B. (2003). "Regional-scale GIS-models for assessment of hazards from glacier lake outbursts: evaluation and application in the Swiss Alps." Nat. Hazards Earth Syst. Sci , 3, 647-662. xxxiv. Hydrometeorological Advisory Service, The Estimation of Probable Maximum Precipitation in Australia Commonwealth Bureau of Meteorology xxxv. ICE. (1996). "Floods and reservoir safety." Institution of Civil Engineers. xxxvi. IH. (2000). "Flood Estimation Handbook." Institute of Hydrology. xxxvii. IPCC. (2007). "Climate Change 2007: The Physical Science Basis - Summary for xxxviii. Policymakers." Word Meteorological Organisation. xxxix. Ives, J. D. (1986). "Glacial lake outburst floods and risk engineering in the Himalaya." ICIMOD. xl. Kjeldsen, T. R. (2007). "The revitalised FSR/FEH rainfall-runoff method." Centre for Ecology and Hydrology. xli. Li-Chuan Chen and A. Allen Bradley The Effects of Atmospheric Moisture Availability for the North Eastern Illinois Storm of 17 – 18 July 1996 Tenth Penn State NCAR MM 5 User’s Workshop 21-23 June 2000 USA xlii. Liu, J. (2002). "Selection of Design Floods in Southeast Asia." In: 5th International Conference on Hydro -Science & -Engineering (ICHE-2002) , Warsaw.
  • 83.
    Project: Development ofHydrological Design Aids (Surface Water) under HP-II Document: 2009097/WR/REP-02 July 2010 State of the Art Report Revision: R0 2.2-38 WATER RESOURCES xliii. Margoum, M., Oberlin, G., Lang, M., and Weingartner, R. (1994). "Estimation des crues rares et extrêmes: Principes du modèle Agregee." Hydrol. Continent , 9(1), 85- 100. xliv. Meigh, J. (1995). "Regional flood estimation methods for developing countries." Instiuite of Hydrology. xlv. Meigh, J., and Farquharson, F. (1985). "World Flood Study." Institute of Hydrology. xlvi. Nathan, R. J., Hill, P., and Griffith, H. (2001). "Risk implications of the PMF and the PMP design flood." In: NZCOLD and ANCOLD Conference on Dams . xlvii. NERC. (1975). "Flood Studies report." Natural Environment Research Council. xlviii. Radzicki, K., Szczesny, J., and Tourment, R. (2005). "Comparison of laws, procedures, organisations and technical rules for dams and dikes safety in Poland and France." Cemagef. xlix. Rakesh Kumar., Chandranath Chatterjee 2005 Regional Flood Frequency analysis using L-moments for North Brahmaputra Region of India, Journal of Hydrologic Engineering, Vol. 10, No. 1, January 1, 2005. l. R. Kumar., C. Chatterjee., S. Kumar 2003 Regional Flood Frequency analysis using L-moments for Sone Subzone of India, Applied engineering in Agriculture, Vol. 19(1) li. Roohi, R., Ashraf, A., Mustafa, N., and Mustafa, T. (2008). "Preparatory assessment report on Community Based Survey for Assessment of Glacial Lake Outburst Flood Hazards (GLOFs) in Hunza River Basin." UNDP, Pakistan, Islamabad. lii. Ruttan, J. A. (2004). "GUIDELINES ON EXTREME FLOOD ANALYSIS." Alberta Transportation, Transportation and Civil Engineering Division, Civil Projects Branch. liii. Saelthun, N. R., and Andersen, J. H. (1986). "New procedures for flood esimation in Norway." Nordic Hydrology , 17, 217-228. liv. Sakai, A., and Fujita, K. (2010). "Formation conditions of supraglacial lakes on debriscovered glaciers in the Himalaya." Journal of Glaciology , 56(195), 177-181. lv. Soong, D. T., Straub, T. D., and Murphy, E. A. (2005). "Continuous Hydrologic Simulation and Flood-Frequency, Hydraulic, and Flood-Hazard Analysis of the Blackberry Creek Watershed, Kane County, Illinois." U.S. Geological Survey. lvi. Tshering, N. (2008). "An analysis of socio-economic impact and risk mitigation and preparedness measures of GLOF events in Bhutan - a case study of Samdingkha." lvii. UNDP. (2009). "Capacity Building for Disaster Risk Reduction Regional Glacial Lake lviii. Outburst Floods (GLOF) Risk Reduction in the Himalayas - Preparatory Assessment Study Report Sutlej Basin - Himachal Pradesh India." New Delhi. lix. UNEP. (2008). "Global Glacier Changes: facts and figures." UNEP World Glacier Monitoring Service. lx. USDA-NRCS. (1972). "Design Hydrographs." Chapter 21, NEH Notice 4-102 , Natural Resources Conservation Service. lxi. USDA-NRCS. (2004). "Estimation of Direct Runoff from Storm Rainfall." Chapter 10, 210-VI-NEH , Natural Resources Conservation Service. lxii. USDA-NRCS. (2007a). "Hydrographs." Chapter 16, 210-VI-NEH , Natural Resources Conservation Service. lxiii. USDA-NRCS. (2007b). "Selected Statistical Methods." Chapter 18, 210-VI-NEH , Natural Resources Conservation Service. lxiv. USGS. (2007). "Hydrology and Glacier-Lake-Outburst Floods (1987-2004) and Water Quality (1998-2003) of the Taku River near Juneau, Alaska." lxv. Viviroli, D., Mittelbach, H., Gurtz, J., and Weingartner, R. (2009a). "Continuous simulation for flood estimation in ungauged mesoscale catchments of Switzerland - Part II: Parameter regionalisation and flood estimation results." Journal of Hydrology , 377(1-2), 208-225. lxvi. Viviroli, D., Zappa, M., Schwanbeck, J., Gurtz, J., and Weingartner, R. (2009b). "Continuous simulation for flood estimation in ungauged mesoscale catchments of Switzerland - Part I: Modelling framework and calibration results." Journal of Hydrology , 377(1-2), 191-207.
  • 84.
    Project: Development ofHydrological Design Aids (Surface Water) under HP-II Document: 2009097/WR/REP-02 July 2010 State of the Art Report Revision: R0 2.2-39 WATER RESOURCES lxvii. WMO. (1986). "Manual for Estimation of Probable Maximum Precipitation." WMO - No. 332 , World Meteorological Organization. lxviii. Zhao, W., J.A. Smith and A. A. Bradley 1997 Numerical simulation of a heavy rainfall event during the PRE-STORM experiment Water Resources Research Vol. 33 No. 4 pp 783 – 799
  • 85.
    Project: Development ofHydrological Design Aids (Surface Water) under HP-II Document: 2009097/WR/REP-02 July 2010 State of the Art Report Revision: R0 2.3-1 WATER RESOURCES 2.3 SEDIMENTATION RATE ESTIMATION 2.3.1 Introduction: All reservoirs formed by dams on natural water courses are subject to some degree of sediment inflow and deposition. The deposition of sediment which takes place progressively in time reduces the active capacity of reservoir which in turn affects the regulating capability of reservoir to provide the outflows through passage of time. Accumulation of sediment at or near the dam may interfere with the future functioning of water intakes and hence affects decisions regarding location and height of various outlets. It may also result in greater inflow of sediment into the canals / water problems of rise in flood levels in the head reaches and unsightly deposition of sediment from recreation point of view may also crop up in course of time. Water resources systems operate over a long period of time and are subject to ever increasing demand of water for various purposes. Besides, long term changes in terms of technology and sediment production functions are also encountered. Man-made changes taking place in the river basin and consequent changes in hydrologic regime controlling the water inputs over- long term periods are also encountered and have to be provided for (All these factors are to be considered and taken into account while assessing performance of any reservoir project). In this context, sedimentation of reservoirs is to be viewed as an additional factor which has to be considered and its effects studied and evaluated on the reservoir performance. For project planner main issues to be addressed are: (i) Estimation of silt rate from the catchment and how much silt will be trapped in reservoir. (ii) Distribution of the silt trapped in the reservoir over a period. 2.3.2 Silting Rate for Planning Indian Reservoirs: Construction of storage reservoirs in India gained impetus immediately after independence. At the time of starting construction of storage in India practically no sedimentation data was available for planning the reservoirs. Hence, empirical relation developed by Khosla (1953) between average annual silting rate and the catchment size based on data of some 200 reservoirs in Europe, India, China, Africa and USA was used to fix the sedimentation rate for reservoirs. With a view to collect sediment data systematic and scientific survey of 12 reservoirs spread all over the country was taken up under Research Scheme applied to River Valley Projects. The result of these surveys and analysis of data had been presented in technical reports published by Central Board of Irrigation and Power (CBIP). Later on several state government/ Project organisations took up the work of regular reservoir surveys. Central Water Commission had published a report as Compendium of Silting of Reservoirs in India in 2001. Similarly for measurement of sediment in river various agencies also started sediment measurement to cover almost all main river basins of the country. 2.3.2.1 Direct Measurement Of Sediment In River: The sediment yield in many proposed reservoir have been assessed by using river sediment observation data or more commonly from the experience of sedimentation of existing reservoirs with similar characteristics. Sediment yield at a station is measured by making suspended and bed load measurements on the river using sediment samplers. It has been found that suspended load QS of the bed material is related to the water discharge Q by the equation QS = a Qb
  • 86.
    Project: Development ofHydrological Design Aids (Surface Water) under HP-II Document: 2009097/WR/REP-02 July 2010 State of the Art Report Revision: R0 2.3-2 WATER RESOURCES Where ‘a’ depends on channel, flow and sediment characteristics, and ‘b’ varies between 1.5 to 2.5. For a given stream such a relation can be developed for each season in order to get more accurate results. It is necessary to evolve proper sediment water discharge rating curve and combine it with flow duration curve based on uniformly spaced daily or shorter time units in case of smaller river basins. The sediment discharge rating curves can also be prepared from hydraulic consideration using sediment load formulae, but this has not yet become popular in India. To the suspended load must be is added ‘Qb’ the bed load discharge at that station. Measurement of bed load in large stations is very difficult. In the absence of detailed measurements, Qb is taken as a certain percentage of QS depending on concentration of suspended load and size of bed material and suspended sediment. The present Indian Code recommends that bed load be estimated as a percentage generally ranging from 5 to 20 percent of the suspended load. However, practical means of measuring bed load of sediment need to be undertaken particularly in cases where high bed loads are anticipated. 2.3.2.2 Reservoir Capacity Survey: Measurement of the sediment accumulation in a reservoir is considered by many engineers as the best method for determining the sediment yield. Reservoir survey data provide an excellent source for determining sediment yield rates. While using the information for nearby areas adjustments in the sediment yield rate will usually be necessary to account for variation in drainage area characteristics. One of the most important variations is the size of the drainage basin. The hydrographic capacity surveys of the reservoirs are carried out to determine total volume occupied by sediment, the sedimentation pattern and the change in area-capacity curves of reservoir. By converting sediment volume into mass on the basis of estimated or measured bulk density and correcting for trap efficiency, the sediment yield of catchment can also be estimated. The usual methods for capacity survey are (i) Contour method and (ii) Range methods. Recent advances in automated survey techniques now make hydrographic contour surveying very economical requiring only a few days of field work using automated depth measurement at positioning systems to perform data collection traverses required by contouring software. The range line method of reservoir surveying is based on measuring depth along a pre determined or selected range lines across the reservoir. Hydrographic survey techniques are used for under water areas and standard land surveying techniques are used above the water line. These have historical been the most commonly employed technique to monitor reservoir sedimentation. In India, this has been used in all the reservoirs surveyed during last 40 years. The range survey is conducted using the conventional equipments viz., theodolite, plane table, sextant, range finders, sounding rods, eco-sounders and slow moving boats. The water depths in reservoirs are recorded with the help of eco-sounders mounted on the boat moving along the range line. The range lines are normally spaced 1 to 2 Km apart along the length of the reservoir. Normally surveys are carried out at an interval of 5 years. But it is found that in practice the interval between two successive surveys varies from 2 to 15 years depending on the resources of the project authorities and State Governments. These surveys are economical but time consuming and sometimes they take 2 to 3 years to complete a survey in a big reservoir. This defeats the purpose of the survey and hence these are suitable for small and medium size reservoirs. For big reservoirs this technique is being increasingly supplemented with automated equipments.
  • 87.
    Project: Development ofHydrological Design Aids (Surface Water) under HP-II Document: 2009097/WR/REP-02 July 2010 State of the Art Report Revision: R0 2.3-3 WATER RESOURCES 2.3.2.2.1 Modern Techniques of Surveying: HYDAC (Hydrographic data Acquisition system) It is an automated HITEC system in which the entire process of data collection, analysis and presentation of results is computerised. It is quite fast and accurate with less human errors and has been used in reservoir sedimentation surveys in advanced countries. This has been used in some reservoirs in India (Mainly Matatila, Konar, Tilaiya, Idukki, Kakki, Balimala, Linganamakki and Jayakwadi) in the last decade by Reservoir Sedimentation Directorate of CWC. The system has accuracy, precision and speed. The big reservoirs which used to take several years to complete a survey can be completed by this system in 2 to 3 months. The limitations of the system faced in India are prohibitive cost and requirement of trained staff. 2.3.2.2.2 Remote Sensing: Several reservoirs in India have been surveyed for capacity loss using satellite imageries in the last two decades. The example are of Tungabhadra, Govindsagar (Bhakra), Hirakund, Urai, Matatila, Sriram Sagar, Nagarjuna Sagar, Srisailam. The capacity loss through the use of satellite imageries in the reservoirs has been compared with the survey results by conventional methods. The results have generally compared well within 10 percent. The difference is because of the accuracy in measuring the water spread area from the imageries which is of order of about one acre. Therefore, in reservoirs with large area, greater accuracy is expected. The main advantage of the method is the saving in time and cost. The capacity assessment does not need great expertise. The only constraint in this technique is that it is not possible to measure the loss in capacity below minimum water level due to sediment deposition through imageries. For this the remote sensing technique has to be supplemented with the conventional method of hydrographic survey. 2.3.2.3 Results from River/Reservoir Sediment Data: The reservoir survey data collected and analysed in India reveals that sedimentation rate in some of the reservoirs has been more than the rate assumed at the design and planning stage. It could be attributed to the lack of reliable data at that stage. These survey have also confirmed the fact that substantial amount of sediment deposits in the live storage also, which upto 1965 was assumed to get deposited only in the dead storage. After 1965 distribution of sediment throughout the reservoir was considered necessary. Based on the inference from the survey data the planning practices for the sedimentation in reservoir have been modified. The modified practice of CWC is incorporated in IS 12182-1987(Guidelines for Determination of effect of sedimentation in Planning and Performance of Reservoirs). The feature of the present sediment practice is to decide the sedimentation rate on the basis of observed river sediment flow data and the reservoir surveys and the distribution of sediment in the reservoir should be estimated. As indicated earlier, measurement of sediment in rivers is being carried out by various agencies such as CWC, Soil and Water Conservation Division of Ministry of Agriculture, various State Governments and considerable data has been collected and analysed. The CWC sites for sediment measurement cover almost all main river basins of the country. The CWC has collected data through observations at 466 sites. For some sites the period for which data is available is quite large say 40 to 45 years. CWC also publishes annually “Sediment Year Book” for all river basins. The sediment data is also stored in National Hydrological Data Bank computers to enable easy access to users. It is referred prior to planning a new reservoir. The sediment rate in the river Ganga is found to vary from 1000-3000 tonnes/sq.km in upper reaches to about 400 tonnes/sq.km near Farraka. The southern rivers have a sediment flow rate of about 400-500 tonnes/sq.km. However, on the basis of observations CWC (Compendium of Silting of Reservoirs in India CWC Publication) New Delhi has classified the country in seven regions and specified range of the sedimentation rate in each region. It is reproduced in the Table 2.10
  • 88.
    Project: Development ofHydrological Design Aids (Surface Water) under HP-II Document: 2009097/WR/REP-02 July 2010 State of the Art Report Revision: R0 2.3-4 WATER RESOURCES Table – 2.13: Region wise Sedimentation Rate in India Sl. No. Region Average Sedimentation Rate(ham/100sqk m/yr) Median values of Sedimentation Rate(ham/100sqkm /yr) 1 Himalayan region (Indus,Ganga, Brahmaputra basin) 17.65 21.1 2 Indo-Gangetic plain 10.45 8.9 3 East flowing rivers(excluding Ganga) up to Godavari 6.35 6.35 4 Deccan peninsular east flowing rivers including Godavari and South Indian rivers (a) Excluding Western Ghat reservoirs (b) Reservoirs in Western Ghats 7.43 135.3 4.65 - 5 West flowing rivers upto Narmada 10.93 8.4 6 Narmada Tapi basin 7.29 7.5 7 West flowing rivers 35.33 17.9
  • 89.
    Project: Development ofHydrological Design Aids (Surface Water) under HP-II Document: 2009097/WR/REP-02 July 2010 State of the Art Report Revision: R0 2.3-5 WATER RESOURCES Fig. – 2.4 : Map of India showing zone wise sedimentation rate Figure 2.4 shows wide variability in sedimentation rate. It is because the sedimentation rate is affected by a number of factors responsible for sediment erosion in the catchment and transport through river channels. However, median values appear to be more representative. These regional values are used as a first guide while deciding on the sedimentation rate. Legends
  • 90.
    Project: Development ofHydrological Design Aids (Surface Water) under HP-II Document: 2009097/WR/REP-02 July 2010 State of the Art Report Revision: R0 2.3-6 WATER RESOURCES 2.3.2.4 Prediction of Rate of Reservoir Sedimentation Based on the observation and field measurement and survey made on many reservoirs in India and abroad attempt has been made by many investigators to develop empirical relations to predict the rate of sediment deposition in a reservoir. These relations relate the sediment volume with catchment area. These are regional and cannot be universally applied. These should be used with care for planning a reservoir when no other data is available. A few relations developed for Indian conditions are presented below: 1) CBIP Research Committee Technique: The Research Committee of the Central Board of Irrigation & Power has suggested two methods for estimating sediment deposition in reservoirs in absence of long term records. (i) S = K A ¾ Where, S = Sediment volume in acre-ft/100 sq.mile/year A = Catchment area in sq. Mile K is the Coefficient of proportionality depending on type of catchment K = 0.5 for rocky catchment = 1.7 for normal catchment = 5.5 for alluvial catchment The data used for working out K is from the reservoirs of USA, India, and Burma (ii) For catchment more than 2600 sq.km. in area the maximum rate proposed is 3.57 ha m/100sqkm/year. 2) Khosla’s Method: The following empirical relation is suggested by Khosla for catchments of area less than 2600 sq.km. ( 1000 sq. Miles) Y = 5.19/A 0.28 Where, Y = annual sediment deposition in acre ft per 100 sq miles of catchment A = catchment area in sq.miles For catchment bigger than 2600 sq.km the range of annual sedimentation rate suggested is 75 to 90 acre ft/100 sq.km. (3.75 to 4.3 ha m/100sq.km.) 3) CWPRS, Pune Method: The CWPRS, Pune has suggested the following relation which is similar to Khosla S = 10/A 0.24 Where, S = Sedimentation rate in acre-ft/sq.miles/year A = Catchment area in sq.miles For catchment area upto 10 sq.miles, S = 0.2743 ha m/sq.km (5.7acre ft/sq.mile) and for catchment upto 1000 sq.miles, S= 0.03 ha m/sq.km (0.63 acre ft/sq. Miles) 4) Raichur Method: He analysed the data of Indian reservoirs and divided it for Himalayan and non-Himalayan regions based on catchment area and suggested following relations: (i) Catchment area upto 130 sq.km Y = 0.395/ A 0.311 for Himalayan rivers in mountains Y = 0.392/ A 0.202 for Himalayan rivers in trough and plains Y = 0.460/ A 0.468 for non- Himalayan rivers (ii) Catchment area bigger than 130 sq.km. Y = 1.534/A 0.311 for Himalayan rivers Y = 0.159/A 0.01 for non-Himalayan rivers Where, Y = Annual rate of silting in Mm3 /100 sq.km A = Catchment area in sq.km.
  • 91.
    Project: Development ofHydrological Design Aids (Surface Water) under HP-II Document: 2009097/WR/REP-02 July 2010 State of the Art Report Revision: R0 2.3-7 WATER RESOURCES 5) Varshney’s Method: He has analysed data of Indian reservoirs and suggested the relation, S = 141/A 0.264 (for Himalayan catchment greater than 5000 sq.km. in area) 6) Joglekar’s Equation : Joglekar gave an equation of an enveloping curve to the observed data as Qs = 0.597/ A 0.24 Where, Qs = annual silting rate from 100 sq.km. of watershed area (Mm3 /100sq.km.) 7) Lal’s Equation: Lal et al gave an equation of estimating the sediment yield per unit area of the basin by studying data obtained from five north Indian reservoirs. The equation is given below: S = 1/100(C/I) 0.22 (I/A) 2 Where, S = annual sediment yield per unit area C/I = capacity inflow ratio C = original capacity of reservoir I = average annual inflow volume into reservoir A = catchment area 8) Garde and Kothyari (1987) analyzed data from 50 catchments from different parts of India covering a wide range of pertinent variables. The relationship for average annual sediment yield Sy expressed in cm was proposed by them as 19.0 max10.025.070.160.0 02.0 ⎟ ⎠ ⎞ ⎜ ⎝ ⎛ = P P DSFPS dcy where, the erosion factor Fc is )( 10.030.060.08.0 4321 4321 AAAA AAAA Fc +++ +++ = Here A1 is the arable area in the catchment, A2 is grass and scrub area, A3 is forest land area and A4 is the waste land area. Values of A1, A2, A3, A4 for different catchments were obtained by Garde and Kothyari (1987) from maps given in the National Atlas of India to a scale of 1:6000000, while the drainage density was obtained from maps to scale of 1:1000000. 9) Garde and Kothyari (1987) have also prepared a map of India, (see Fig. 2.5), on which contours of constant sediment yield expressed in Tonnes/km2 -yr are shown. This figure has been used by practitioners to obtain a rapid assessment of the sediment yield in such geographical locations of India for which little or no data on sediment yield were available.
  • 92.
    Project: Development ofHydrological Design Aids (Surface Water) under HP-II Document: 2009097/WR/REP-02 July 2010 State of the Art Report Revision: R0 2.3-8 WATER RESOURCES 2.3.2.5 GIS Applications for Determination of Sediment Yeild In modern days, a geographic information system (GIS) is very popular and offers a data management facility that is useful in distributed modelling of sedimentological and hydrological processes and is best suited for quantification of heteorogeneity in rainfall, the topographical and drainage feature of a catchment. Therefore, a GIS can be utilized for determination of physical parameters affecting soil erosion in different sub-areas of the catchment. Recently, GIS techniques have been interfaced with some standard hydrological models (both distributed and empirical) to capture the spatial variation in computed quantities. In India, Kothyari & Jain (1997) and Jain & Kothyari (2000) used a GIS technique for estimation of sediment yield resulting from isolated storm events. Manoj K. Jain, et. al (2010) conducted a study in Himalayan watershed using GIS technique and found a reasonable results. Simple methods such as universal soil loss equation (USLE), modified universal soil loss equation (MUSLE) or revised universal soil loss equation (RUSLE) are frequently used for the estimation of surface erosion and then sediment yield in the catchment, because of their simplicity which makes them applicable even if only a limited amount of input data is available. Kothyari & Jain(1997) proposed a grid or cell based approach with a GIS for the determination of the sediment yield from the Karso catchment in Bihar. The GIS technique was used for discretization of the catchment into a network of cell which possess unique drainage directions. Surface erosion in the individual cells was determined using the USLE and reasonable results were obtained. The method depends on calibration against a record of existing conditions and can be used for estimation of sediment yield in ungauged catchments which have homogeneous hydrometeorological and land use conditions. Fig. 2.5- Iso-erosion rate (in Tonnes km-2 yr-1 ) map of India (Garde and Kothyari, 1987)
  • 93.
    Project: Development ofHydrological Design Aids (Surface Water) under HP-II Document: 2009097/WR/REP-02 July 2010 State of the Art Report Revision: R0 2.3-9 WATER RESOURCES 2.3.3 Trap Efficiency: Once the sediment likely to enter in a reservoir is known, the next important aspect is to find out how much of the silt will be trapped in the reservoir. The trap efficiency of a reservoir is defined as the ratio of the quantity of deposited sediment to the total sediment inflow and is dependent primarily upon the sediment particle fall velocity and the rate of flow through the reservoir. Particle fall velocity may be influenced by size and shape of the particle, viscosity of the water, and chemical composition of the water. The rate of flow through the reservoir is determined by the volume of inflow with respect to available storage and the rate of outflow. Methods for estimating reservoir trap efficiency are empirically based upon measured sediment deposits in a large number of reservoirs. Gunnar Brune (1953) has presented a set of envelope curves for use with normal ponded reservoirs using the capacity-inflow relationship of the reservoirs. Similarly using data from Tennessee Valley Authority reservoirs, M. A. Churchill (1948) developed a relationship between the percent of incoming sediment passing through a reservoir and the sedimentation index of the reservoir. The sedimentation index is defined as the ratio of the period of retention to the mean velocity through the reservoir. The Churchill curve has been converted to a truly dimensionless expression by multiplying the sedimentation index by g, acceleration due to gravity. Empirical relation like the one’s developed by Brune or Churchill have not been developed for Indian reservoirs data but these relation have been used in India. Some studies in Indian reservoirs have confirmed the trend of Brune’s curve of trap efficiency. These curves are also recommended by Indian standards. 2.3.4 Predicting Sediment Distribution in Reservoir: For various aspect of reservoir planning the designer/planner needs the knowledge of pattern and distribution of sediment deposition in the reservoir. Borland and Miller (1960) of USBR suggested two methods for predicting the deposition pattern. The first is purely mathematical and is called Area Increment Method. The second is a mathematical procedure based on observation of sediment distribution pattern in large number of reservoir in USA and is known as Empirical-Area-Reduction method, which has been modified from time to time. Area-Increment Method: It is based on the assumption that reservoir area at each elevation is reduced by a constant value which is termed as area correction factor and is equal to the original area at the elevation upto which the reservoir is completely filled with sediment. The following is the basic equation to determine area correction factor. Vs = Ao (H-ho) + Vo Where, Vs = total volume of sediment to be distributed Ao = reservoir area at new zero elevation H = reservoir depth at dam ho= depth upto which the reservoir will be filled with sediment Vo = volume below new zero elevation Due to simplified assumption that the surface area at all elevations is reduced by the same amount, this method predicts the distribution pattern only approximately. It is also seen that applicability of this method reduces with an increase in the ratio of volume of sediment to the original capacity of reservoir. Borland and Miller have limited this ratio as 15% for 100 years sediment load and recommended that if the sediment load exceeds this limit other more exact methods such as Empirical-Area Reduction method be used. Empirical –Area method has been widely used in India and its use for planning purposes is also recommended in BIS(12182-1987) and CBIP (Murthy,1995) Publication No. 89. Empirical – Area – Reduction Method: In this method the distribution of sediment is worked out in two steps.
  • 94.
    Project: Development ofHydrological Design Aids (Surface Water) under HP-II Document: 2009097/WR/REP-02 July 2010 State of the Art Report Revision: R0 2.3-10 WATER RESOURCES (a) Classify the reservoirs into one of the four standard types depending on the geometry of reservoir and use corresponding area design curve. (b) Make trial and error computation, till the capacity computed equals the predetermined capacity. The four standard type sediment versus depth curves have been converted into area design curve for computation purpose. This conversion has been made by Moody using the equation. Ap = Cp m (1-p) n Where, Ap represent a dimensionless relative area at a relative depth “p” above the river bed and C, m, n are dimensionless constants. 2.3.5 Life of Reservoirs: After considerable discussions and deliberations, the water planners in India have agreed that the reservoirs do not have a single well defined life. According to the Compendium on silting of reservoirs in India (1991), reservoirs do not have, strictly speaking, a defined life which denotes two functional states ‘ON’ and ‘OFF’. They show a gradual degradation of performance without any sudden non-functional stage. Sedimentation and consequent reduction of capacity is a gradual process, which can be classified in following phases: Phase – I: The reservoir shows no adverse effects and is able to deliver the full planned benefits. Phase – II: The reservoir delivers progressively smaller benefits, but its continued operation for the reduced benefits is economically beneficial. Phase – III: The sedimentation causes difficulties in operation such as jamming the passage of flow in canals or through turbines. Phase – IV: The Phase-III difficulties become so serious that the operation becomes impossible. Phase – V: The benefits reduce to such an extent that it is no longer beneficial to operate the reservoir. A similar approach has been incorporated in the Indian Standard IS:12182(1987). In this approach the end of Phase-I will depict the end of the period in which the reservoir is capable of yielding the full planned benefits. The Phase-II would depict a period when the operation of the reservoir is also trouble free, in regard to sedimentation, although the efficiency of the reservoir is gradually reducing, and management measures to adjust to the reduction are required. The Phase-III would be a period of troubled operation, and unless some new engineering solutions are implemented, the project may have to be given up in Phase – IV or Phase – V. 2.3.6 Planning Practices for Reservoir Sedimentation in India: Dr. A N Khosla, the then Chairman, Central Water Commission (CWC) had in the fifties reviewed the work of reservoir sedimentation based on data available for 200 reservoirs all over the world including USA, China and Africa and developed enveloping curves for annual sedimentation rate for major and minor catchments above and below 1000 sq.miles (2600 sq.km.) respectively. He concluded that the sediment rate for measure catchments varies from 0.357 to 0.476 mm/year (3.57 to 4.76 ha.m./100 sq.km./yr) and for minor catchments from 0.38 to 1.28 mm/year (3.80 to 12.8 ha.m/100 sq.km/yr). Upto 1965, the above recommendations were adopted in the design of reservoirs and the sediment was assumed to get deposited at the lowest level and ‘life’ was taken as the period required for complete sedimentation of the dead storage. Thus, in this old practice;
  • 95.
    Project: Development ofHydrological Design Aids (Surface Water) under HP-II Document: 2009097/WR/REP-02 July 2010 State of the Art Report Revision: R0 2.3-11 WATER RESOURCES Life in years = Dead storage capacity / average annual sediment yield The normal planning practice was to have this ‘life’ of atleast 100 years. The assumption that sediment would settle within the dead storage was not supported by the experience in other countries or in India. The experience of USA was that sedimentation takes place throughout the reservoir and the development of methods for sediment distribution were published around early fifties. It was also proposed that the sediment inflow rates need to be checked up through reservoir resurveys. Hence resurveys in a number of projects were taken up through research schemes. The results, indicating a considerable difference from the initial assumption, started becoming available by 1965. After 1965, Central Water Commission (CWC) started insisting that the sediment inflow rates be based on the basis of reservoir survey data. It also brought out the need for distributing the sediment throughout the reservoir. For this purpose, the empirical area reduction method was preferred in general. Atleast the more important major projects had to adopt this new approach. However, no guidance was given until then about which stage of sedimentation should be used for the working table studies. Around 1974, it was decided that the 50 year sediment position of the reservoir should be used in the simulation or working table studies for the project. Also by this time the observed suspended sediment data from the key hydrologic network of CWC had become available in considerable volume. CWC therefore started insisting on the use of this measured sediment transport data also to firm up the assumption of the inflow rates of sediment, in addition to the reservoir re-survey information. In 1980, the report of the working group on the guidelines for the preparation of detailed project report of major and medium irrigation projects was published. In this report, CWC had incorporated the above mentioned practices to make these mandatory on the State Governments. Also in this report the detailing of the sediment studies was linked with the expected seriousness of the sediment problem. For very serious cases, redistribution and re-estimation of trapping efficiency in 10 year block was indicated. In 1987, CWC got this practice incorporated in the IS:12182(1987) “Guidelines for Determination of Effects of Sedimentation in Planning and Performance of Reservoirs” to make this the national practice. In these guidelines the general philosophy and the concept of multiple life related terms was also spelt out. Also these guidelines indicated that the full service time for hydroelectric projects can be reduced to 25 years against 50 years of irrigation projects. The IS guidelines also include notes on the need for periodic resurveys and give guidance to determine their frequency. The present practice as incorporated in IS: 12182(1987) has following main features: a) The sedimentation rate is to be decided on the basis of observations of river sediment flow and reservoir surveys b) Methodologies for trapping efficiency and sediment distribution have been specified. For trapping efficiency determination, both the Brune’s Curves or the Churchills method are advocated. For distribution of sediment within the reservoir depths, empirical area reduction method is preferred. c) The live storage is to be so planned that the benefits do not reduce for a period of 50 years (full service time) for irrigation or 25 years for hydropower projects connected to a grid on account of sedimentation. d) The live storage is to be so planned that sedimentation beyond the outlet, causing operational problems, would not occur for 100 years for irrigation projects and 75 years for hydropower projects in a grid.
  • 96.
    Project: Development ofHydrological Design Aids (Surface Water) under HP-II Document: 2009097/WR/REP-02 July 2010 State of the Art Report Revision: R0 2.3-12 WATER RESOURCES e) For simulation, if sedimentation is not serious, the conditions obtained at the end of full service period are to be used throughout the simulation period. If the problem is serious, studies are to be done by redistributing sediment and recomputing trap efficiency in 10 year blocks. The extent of studies to be done themselves are linked to the seriousness of the problem, as assessed in a preliminary study. For this purpose, the problem is categorised in three classes: Insignificant - If the annual loss of capacity is less than 0.1 percent, the problem is taken as insignificant. “No check on Full Service Time” needs to be made. The availability of adequate Feasible Service Time however have to be ensured. Significant - If the annual loss of capacity is less than 0.1 percent to 0.5 percent, the simulation or working table studies may be done for the reservoir geometry as obtained at the end of the “Full Service Time”. This would simplify the simulation study, and would also ensure that the planned benefits are available for this period. The availability of adequate “Feasible Service Time” is also to be checked. Serious - If the annual loss of capacity is beyond 0.5 percent, the recompilation of trapping efficiency and reservoir geometry for every 10 in the simulation studies is preferred. While deciding this practice, a thought had to be given to various issues, some of which are discussed below: The projects, in India, are subject to economic analysis and a benefit cost ratio of more than 1.5 is generally required to prove the success of the project and for this purpose interest rate of 10 percent is assumed. At this rate of interest, the present value of the benefit stream hardly reduces. If the benefits reduce fast say after 30 years. (For example the present value of perpetual benefit stream of Rs. 1/yr would be Rs. 10, whereas that of stream of Rs. 1/yr for next 30 years alone would be about 9.50. Thus, economic analysis, would favour projects with relativity small “full” and “feasible” service times. There were however two strong extra economic considerations explained below: 1. The availability of “good” reservoir sites constitutes a significant natural resources. Unlike water resource, this resource is not renewable, since dredging is, in general, impracticable. Any policy requiring a “short run” use of this important resource could jeopardise the future of mankind. 2. The irrigation benefits are site specific. To reap these benefits, the farmers have to be organised to change their lifestyle to shift from the traditional rainfed agriculture to irrigated agriculture. Such adoption is not free from social stress and problems. If, soon after such a change, the farmers are to face inadequate availability or non- availability of water, there could be even more serious social and economic problems in the region. Atleast a couple of generation of farmers should not face endemic water shortages in the post project conditions. Against these two strong extra economic considerations which would favour long full and feasible service times, the planners had to weigh the economic considerations, and the practicability of locking up capital sums for additional storages without planned use. The
  • 97.
    Project: Development ofHydrological Design Aids (Surface Water) under HP-II Document: 2009097/WR/REP-02 July 2010 State of the Art Report Revision: R0 2.3-13 WATER RESOURCES current decisions explained above are somewhat adhoc decisions reached in these circumstances. Indian practice as incorporated in the guidelines of 1987 has been evolved from 1974 onwards. Some of the difficulties experienced as per this practice are described below: (a) For many Himalayan Streams which carry very heavy loads of sediments, planning of the project with a feasible service time of 75 or 100 years becomes difficult. For hydroelectric projects in particular, it is possible to repay the development costs in a few years, and a project can be planned effectively for a shorter period. In Pakistan, for example, the Tarbela project has perhaps been planned to use most of its capacity in about 50 years. This brings us to the extra-economic considerations discussed earlier. A periodical thinking of this aspect is perhaps necessary. (b) A large number of hydro-electric and even irrigation Projects are planned as pondages where the capacity: inflow ratio or the detention period can be of the order of a few days to a month. For many such projects, most of the capacity is against crest gates. There is a belief amongst planning engineers that for such structures, where the gates would open during high inflow period, no sedimentation would occur above the crest of the gates. Although there is enough empirical evidence to indicate that sedimentation does occur above crest level, simple methods to indicate the new regime of the river upstream of the dam, and the ‘ultimate’ pondage available for re- regulation in spite of sedimentation, are not available. 2.3.7 Practices Adopted By State Governments In general the state water resource departments follow the reservoir sedimentation practices as recommended by Central Water Commission and incorporated in the Indian standards. In certain cases for small/medium projects certain guidelines used by the water resource departments based on empirical relations and guideline available in published material on the subject are used. The West Bengal Water Resource Department has reported that the sediment rate data observed at nearest hydrological observation station is used. Sedimentation estimation studies are done following BIS codes. In Rajasthan state, for storage project sedimentation studies based on IS 5477 Part-II 1994 (reaffirmed 2004) and IS 12182:1987(reaffirmed 2002) are carried out. Rate of sedimentation is assumed based on available sediment observation data. The gauging station network in Himachal Pradesh is being upgraded under the HP-II. The data from existing network is being used for design of proposed projects. Many smaller irrigation and hydropower projects are being developed. The hydropower projects are generally runoff the river schemes and as such the large sedimentation loads in the rivers are kept in view while designing the structures. No studies are done for sedimentation of diversion structures as only the limited capacities are required for runoff the river schemes. Small rainwater harvesting/irrigation structures are planned so as to provide the capacity as required for conservation storages plus the sediment volume in 25 years period. In the absence of data silt rate adopted is 0.0357/ha m/ sq km/ year based on Dr. Khosla’s recommendation. The Water Resource Department of Maharashtra recommends sedimentation rate for minor irrigation projects as 1.67 ha m/ 100sqkm/year (MI Manual 1987). For major projects rate of sedimentation is being adopted as 6.0 ha m/100sqkm/ year (Circular 1992). It is assumed that 50% volume of sediment gets settled in dead storage. Life of reservoirs is taken as 100 years for major and 75 years for medium projects and silt storage is provided equal to estimated
  • 98.
    Project: Development ofHydrological Design Aids (Surface Water) under HP-II Document: 2009097/WR/REP-02 July 2010 State of the Art Report Revision: R0 2.3-14 WATER RESOURCES volume of silt deposition during its entire life. Accordingly MDDL and New Zero Elevation are fixed as per IS Code 5477 part (2) -1994. The silted reservoir capacities using remote sensing technique have been studied in Maharashtra for live storage of the reservoir. The study group of Maharashtra Engineering Research Institute, Nasik conducted a analysis based on the available data of 28 reservoirs from different basins in Maharashtra. The live storages of these 28 reservoirs range from 27.476 Mm3 to 2677 Mm3 . The sedimentation rate assumed for projects varies from 3.57 to 7.15 ha m/100 sq.km/year based on earlier recommendation of CWC whereas the observed sedimentation rate in live storage of reservoir varies from 0.90 to 38.33 ha m/100sqkm/year. (Mundhe et al. 2009). This large variation between sedimentation rates assumed at planning stage and as observed on reservoir shows that the studies need improvements. Gujarat government uses the observed data of nearly reservoirs for assessment of sedimentation rate and the procedures given in BIS Codes are followed for assessment of New Zero Elevation and Revised Area Capacity Curves. 2.3.8 Conclusion: The sedimentation rate in India is carried out using empirical formulae, actual observed data and reservoir sedimentation survey. The recommended BIS (12182-1987) and CBIP (Murthy,1995) Publication No. 89 have been widely used for reservoir planning. The GIS based methods using USLE, MUSLE and RUSLE have been used by many academic/research organizations and professional consulting firms to identify the soil erosion in various spatial units of the catchment. References: Kothyari, Tiwari A K and Singh R, 1996, Temporal variation of sediment yield, J. Hydr. Engeg. Vol 122, No4, pp169-176 Murthy B N, 1977, Life of reservoir, Central Board of Irrigation and Power, New Delhi, India Tejwani KG, 1984, Reservoir sedimentation in India: Its causes, control and future course of action, Water International, Volume9, No4, pp 150-154 Kothyari U C, Jain M K and Rangaraju K G, 2002, Estimation of temporal variation of sediment yield using GIS, J. Hydrological Sciences, 47(5) Kothyari U C, Jain S K, 1997, Sediment yield estimation using GIS, J. Hydrological Sciences, 42(6) Kothyari U C, 1996, Erosion and Sedimentation problems in India, IAHS Publ. no. 236 Jain M K, Kothyari U C,2000, Estimation of soil erosion and sediment yield using GIS, J. Hydrological Sciences, 45(5) Jain M K, et al., 2010, Estimation of sediment yield and areas vulnerable to soil erosion and deposition in a Himalayan watershed using GIS, Current Science, Vol. 98, No. 2 Compendium on silting of reservoirs in India, Central Water Commission, New Delhi, India Mundhe et al., 2009, Analysis of remote sensing based sedimentation surveys in Maharashtra, Water & Energy International, Vol.66, No. 4 Mutreja, K.N., (1986), Applied Hydrology, Tata McGraw-Hill, New Delhi, India Asthana, B.N., (2007), Sediment management in water resource projects, CBIP, Publication no.301 Subramanya, K., (2008), Engineering hydrology, Tata McGraw-Hill, New Delhi, India
  • 99.
  • 100.
    Annex 2.1 WATER RESOURCESA2.1-1 Classificationof Projects based the Type of Structure and on the Contemplated Use of Water Classification of projects Classification by Storage Behind the Structures Classification by use of Project A-1 Diversion projects without pondage B-1 Irrigation A-2 Diversion projects with pondage B-2 Hydropower A-3 Within the year storage projects B-3 Water supply and industrial use A-4 ‘Over the year’ storage projects B-4 Navitation A-5 Complex systems involving combination of 1 to 4 above mentioned B-5 Salinity control B-6 Water Quality Control B-7 Recreation, fish and wild life B-8 Flood Control B-9 Drainage B-10 Surface to ground water recharge B-11 Multipurpose 1. Minimum length of data For planning of any project, the first step requires a correct assessment of water availability at the site of interest. This requires a sufficiently long sequence of data at the specific location. The length of data depends on the type of storage, type of development and variability of inputs. In general, a longer period of simulation will give more confidence about the overall performance of the project. However, comparatively shorter length will suffice for within the year storage where the spill occurs almost every year and the critical period is of the duration of few months. A longer period would be required for over the year storages. In Indian context, brief Guidelines for fixing the minimum length of data required are as under: Type of Project Minimum length of data for use in simulation 1. Diversion projects 10 years 2. Within the year storage projects 25 years 3. Over the year storage projects 40 years 4. Complex systems involving combination of above Depending upon the predominant element 2. Time unit of Simulation The flow sequences required for planning of projects need to be prepared for an appropriate time unit so that the simulation studies are accurate and have desired resolution. As the time unit becomes shorter, resolution becomes more but this increases the computational work. Thus a time unit, as large as possible, which still gives a good resolution and accuracy is required. The general criteria/guidelines in this regard as prevalent in India are given in Table 3.1.
  • 101.
    Annex 2.1 WATER RESOURCESA2.1-2 Table3.1 Time Units Required for Simulation (Classified as per Storage Type and Use) Type of Storage Type of use Time unit required for simulation studies (except for studies of sediment inflow and deposition) A1 B2 to B7 & B10 Instantaneous discharges every day, or at smaller units. A2 B2 to B7 1 day to 10 days depending on the extent of pondage A2 B1 3 days for upland crops, 10 days for paddies. If extra pondage at headworks in addition to natural storage on field is provided, larger units can be used. A3/A2 B8 1 hour to 24 hours depending on the damping provided by the drainage basin to the storage. A2 B10 1 day to 10 days depending on the pondage. A2 B11 Minimum of individual time units required by each type of use. If flood control is involved much shorter interval (1 hr. to 24 hrs.) operation is required only for critical flood periods. A3 B1 to B3 Monthly. However, it may be sufficient to divide the year in 4 to 8 blocks by grouping together periods of definite storage accumulation and storage depletion type, and the periods which can not be classified as such being kept as separate blocks. A3 B4 to B7 Same as above, but during critical low flows, shorter time unit of about 10 days to 1 month may be required to simulate droughts and extra releases for control of water quality, salinity etc. A3 B10 Same as A3 – B1 to B3 discussed above, in dry season, but in rainy season where extra recharge will be affected by rainfall, 1 day to 10 day working will be necessary. A3 B11 Minimum of individual time units for classification by use.
  • 102.
    Annex 2.2 WATER RESOURCESA2.1-3 CommonlyUsed Methods for Consistency Tests 1. Graphical plot of discharge / gauge with time A graphical plot of discharge shows the variation among the discharge values with respect to time. The highs and lows of the plot reflect the trend in the discharge series on visual inspection. Fig.1 Graphical plot of discharge with time 2. Stage discharge relation at various observation points Measurements of flow are often required for hydrological analysis. Continuous measurement of flow is often impractical and expensive. Stage observations are comparatively easy and economical. Relationship between stage and discharge can be established which is known as the discharge rating curve. 3. Plot of absolute limits Hydrological time series data can be numerically checked against absolute and relative limits and individual values in the time series can be flagged for inspection. 4. Absolute limits: Values which exceed a maximum specified value or fall below a specified minimum may be the absolute values of the historic series. The object is to screen out spurious extremes, but care must be taken not to remove or correct true extreme values as these may be the most important values in the series. 5. Residual series plot A residual series is a series plotted relative to the mean value of the series. The residual series gives a quick insight in wet and dry periods. A residual series plot allows visual assessment of the distance of each observation from the mean. The residuals should be randomly scattered in a constant width band about the mean. Runs of residuals above or below the zero line may indicate a non-linear relationship. If the residuals are standardized they should lie within roughly ±2 to 3 SDs of zero. Standardized residuals of +/- 4 or more SDs should be investigated as possible outliers. A histogram of the residuals allows visual assessment of the assumption that the measurement errors in the response variable are normally distributed.
  • 103.
    Annex 2.2 WATER RESOURCESA2.1-4 Fig.2 Residual Series Plot 6. Residual mass curve It is a graph of the cumulative departures from a given reference such as the arithmetic average, generally as ordinate, plotted against time or date, as abscissa. A residual mass curve represents accumulative departures from the mean. It is an efficient tool to detect climatic variability or other inhomogeneity. The residual mass curve Yi is derived as follows: Y i = Y i+1 + (X i -mx ) = −∑= i J jX 1 ( ) 1 1 ∑= N K kX N Where, N = number of elements in the series mx = mean value of Xi, i=1,N Fig.3 Residual Mass Curve 7. Moving Average A moving average is a type of finite impulse response filter used to analyze a set of data points by creating a series of averages of different subsets of the full data set. Given a series of numbers, and a fixed subset size, the moving average can be obtained. The average of the first subset of numbers is calculated. The fixed subset is moved forward to the new subset of numbers, and its average is calculated. The process is repeated over the entire data series. The plot line connecting all the (fixed) averages is the moving average. Thus, a moving average is not a single number, but it is a set of numbers, each of which is the average of the corresponding subset of a larger set of data
  • 104.
    Annex 2.2 WATER RESOURCESA2.1-5 points.A moving average may also use unequal weights for each data value in the subset to emphasize particular values in the subset. A moving average is commonly used with time series data to smooth out short-term fluctuations and highlight longer-term trends or cycles. The threshold between short-term and long-term depends on the application, and the parameters of the moving average will be set accordingly. Mathematically, a moving average is a type of convolution and so it is also similar to the low-pass filter used in signal processing. When used with non-time series data, a moving average simply acts as a generic smoothing operation without any specific connection to time, although typically some kind of ordering is implied. Moving Average series Yi of series Xi is derived as follows: ∑ += −=+ = mij miJ ji X m Y 12 1 Where, averaging takes place over 2M+1 elements Fig. 4 Moving Average of Rainfall 8. Double Mass Curve Double mass analysis is a commonly used data analysis approach for investigating the behavior of records made of hydrological or meteorological data at a number of locations. It is used to determine whether there is a need for corrections to the data to account for changes in data collection procedures or other local conditions. Such changes may result from a variety of things including changes in instrumentation, changes in observation procedures, or changes in gauge location or surrounding conditions. Double mass analysis for checking consistency of a hydrological or meteorological record is considered to be an essential tool before taking it for analysis purpose. If both stations are affected to the same extent by the same trends then a double mass curve should follow a straight line. A break in the slope of the curve would indicate that conditions have changed at one location but not at another. Double mass analysis is a technique to detect possible inhomogeneities in series, like jumps, trends, etc. by investigating the ratio of accumulated values of two series, viz: • The series to be tested, and • The base series.
  • 105.
    Annex 2.2 WATER RESOURCESA2.1-6 Thebase series is the average of reliable series of nearby stations, which is assumed to be homogeneous. The double mass curve will show a straight line if the test-series is homogeneous. A jump in the test-series will create a break in the double mass curve, whereas a trend will create a curved line. Let Yi,(i=1,N) be the test series and Xi,(i=1,N) the base series. The double mass analysis then considers the following ratio: ∑ ∑ = = = i j j i j j i X Y rc 1 1 If the curve shows a distinct break with curve slopes α before and β after the break, adjustments may take place in two ways: • either the data before the break are adjusted to the present conditions by multiplication by the ratio β / α • the data after the break are adjusted to the pre-break conditions; in that case the recent data are multiplied by a factor α / β As per Guide to Hydrological Practices, WMO No. 168 recommendations, changes in slope of a double-mass curve may be caused by changes in exposure or location of gauge, changes of procedure in collecting and processing data, etc. When double-mass analysis discloses a change in slope, some purposes are served by making the adjustment indicated by the ratio of the two slopes of the double mass curve. For other purposes, this disclosure is the beginning of an investigation to determine the reason for the change in slope. Plotted points in double-mass analysis usually deviate about the straight lines drawn through the points. The points can be fitted more closely by changes in slope at intervals of only a few years. However, it must be recognized that such brief changes in slope could arise from chance, and no segment of less than about five points should be accepted as valid. In general, a change in slope is accepted as real only if it is substantiated by other evidence or is well defined for a long period Fig.5 Double Mass Curve
  • 106.
    Annex 2.2 WATER RESOURCESA2.1-7 9.Student’s t-test Student’s t-test of difference of means is used to test the significance of the difference between two sample means. Student’s t-Test of Difference of Means can be used to compare the sample means between two independent samples or two dependent samples. Student’s t-Test of Difference of Means is a parametric test which assumes a normal distribution. Steps in calculation of t-test: 1. In a t-test, two hypotheses are set. The first is null hypothesis, which assumes that the mean of two paired samples are equal. The second hypothesis in the paired sample t-test is an alternative hypothesis, which assumes that the means of two paired samples are not equal. 2. Select the level of significance: In most of the cases in the paired sample t-test, significance level is set to 5%. 3. Calculate the parameter: The following formula is used for the paired sample t- test: Where, d bar is the mean difference between two samples, s2 is the sample variance, n is the sample size and t is the sample t-test with n-1 degrees of freedom. 4. Testing of hypothesis or decision making: If the calculated value is greater than the table value, then the null hypothesis for the sample t-test is rejected. If the calculated value is less than the table value,the null hypothesis in the paired sample t-test is accepted and there is no significant mean difference between the two paired samples in the paired sample t-test. 10. F-test An F-test is any statistical test in which the test statistic has an F-distribution under the null hypothesis. It is most often used when comparing statistical models that have been fit to a data set, in order to identify the model that best fits the population from which the data were sampled. The F test is used to compare the variances of two populations of data: is the variance of the first group and is the variance of the second group. Steps in calculation of F-test: 1. Calculate and . 2. Calculate the F statistic: . 3. Testing of hypothesis or decision making: If the calculated value is greater than the table value, then the null hypothesis for the F-test is rejected. 11. Linear Trendline A trend line represents a trend, the long-term movement in time series data after other components have been accounted for. It tells whether a particular data set have increased or decreased over the period of time. A trend line could simply be drawn by eye through a set of data points, but more properly their position and slope is calculated using
  • 107.
    Annex 2.2 WATER RESOURCESA2.1-8 statisticaltechniques like linear regression. Trend lines typically are straight lines, although some variations use higher degree polynomials depending on the degree of curvature desired in the line. Fig.6 Linear Trend Line
  • 108.
    Annex 2.3 WATER RESOURCESA2.1-9 YieldEstimation - Guideline for the Preparation of Preliminary Water Balance Reports, NWDA, GOI, Nov 1991 1 Surface water resources assessment i) Past Studies conducted by other agencies Past studies conducted by other agencies for assessment of surface water resources shall be briefly described indicating their assessment at various dependabilities. ii) Availability of rainfall data The availability of rainfall data of various raingauge stations in or around the basin/ sub- basin which are considered for working out weighted average rainfall of the basin/ sub- basin shall be indicated. Missing data of the raingauge station, if any, shall be estimated using standard statistical methods. Weighted average monsoon rainfall of the entire basin/ sub-basin for the longterm period (at least 35 years) for which data is available and also of the basin/ sub-basin upto the selected G&D site for the period of availability of runoff data shall be computed by Theissen polygon method. iii) Availability of Observed Discharge Data Gauge and Discharge sites maintained by different Agencies/ States and Central Water Commission shall be indicated. The period of availability of data and drainage area covered in respect of each site shall also be shown. The consistency of observed discharge data shall be checked thoroughly. If observed discharge data for particular years is found to be inconsistent, it should be rejected and reasons thereof shall be explicitly indicated. iv). Upstream utilization Details of year wise existing utilization in the basin/ sub-basin upstream of the G&D site shall be collected from state Government sources. In the absence of data, appropriate values of delta may be assumed for estimating utilization. Storage effect on account of hydel project be considered to arrive at virgin yield. In case of irrigation projects, the storage effect need not be considered, as storages filled during monsoon period are fully utilized during non-monsoon period. While working out virgin yield, regeneration at the rate of 10% if not utilization from existing major, medium projects and also from imported water upstream of G&D site shall be considered. Virgin monsoon yield upto the selected G&D site shall then be worked out adding upstream utilization from existing major, medium and minor projects (excluding utilization from imports) to the observed monsoon yield and deducting regeneration. v). Computation of Yield Rainfall-runoff relationship for monsoon period shall be developed by regression analysis both for linear and non-linear form of equations. The forms of equation to be used shall be as follow: (i) Y = a + bx (ii) Y = b + ax Best fit regression equation shall be selected on the basis of least standard error of estimate and co-efficient of correlation not below 0.70. Weighted average monsoon rainfall of each year shall be substituted in the selected regression equation to develop long term monsoon yield series of the basin/sub-basin. The monsoon yield shall be worked out as a percentage of net non-monsoon yield to virgin monsoon yield from the observed set of run-off data and corresponding utilization. The annual yield series shall be arrived at by adding both the monsoon yield and the non-monsoon yield. The yield
  • 109.
    Annex 2.3 WATER RESOURCESA2.1-10 shallbe arranged in descending order and annual yield at 75% and 50% dependabilities shall be computed therefrom. When the catchment of a basin/sub-basin is sub divided for estimation of dependable yields, using observed flow data of more than one G&D site, the long term annual yields series for each part catchment shall be estimated. The annual yields of each year of such part catchments shall be added to arrive at annual yield series for the whole basin/ sub- basin. Thereafter dependable yields of whole catchment shall be estimated. vi) Import/ Export Details of import from existing, ongoing and future identified projects located outside the basin/ sub-basin shall be collected from State Government sources. Similarly, details of export, outside basin/ sub-basin from existing, ongoing and proposed projects located within the basin/ sub-basin shall also be collected from State Government. The details of import and export should give details of annual irrigation and annual utilization in respect of each of the project. 2 Groundwater Assessment i) Ground Water Availability based on CWGB estimates Ground water potential and existing draft of the basin/ sub-basin shall be computed on proportionate area basis from the latest data collected from Central Ground Water Board, in absence of which from statistics of State Ground Water Boards ii) Additional ground water availability on account of introduction of irrigation Additional ground water available on account of introduction of irrigation in the basin/ sub-basin shall be estimated. This shall comprise (i) recharge due to seepage from canals and (ii) return seepage from irrigated field and shall be estimated as under: (i) Recharge due to seepage from canals The following norms recommended by Ground Water Over Exploitation Committee may be adopted in most of the areas except where project studies undertaken have indicated different norms. a) For unlined canals in normal type of soil with some clay content alongwith sand. 15 to 20 ha m/day/10 sq.m. wetted area of canal. b) For unlined canals in sandy soils 25 to 30 ha.m/day/10 sq.m. of wetted area. c) For lined canals the seepage losses may be taken as 20% of the above values. (ii) Return seepage from irrigation fields For irrigation by surface water sources, this shall be taken as 35% of water delivered at the outlet for application in the field and 40% of water delivered at outlets for paddy irrigation only. In the above case return seepage figures include losses in field channel and these should not be accounted for separately. 3 Allocation of water as per Tribunal Award In case any Tribunal Award is existing for any basin/ sub-basin, the same shall be briefly described with allocation to each State presented in tabular form giving reference to Tribunal Award, in respect of the particular project.
  • 110.
    Annex 2.4 WATER RESOURCESA2.1-11 YieldAssessment - Manual on Planning and Design of Small Hydroelectric Schemes, CBIP, India, 2001 1. Long term measured river flows When river flows are available for a period of 20 years or more, the power potential may be assessed considering the entire flow series. No special hydrological series are required. The necessary working table may be prepared on the basis of selected time units. 2. Short term (5-10 years) measured river flow and long term rainfall records Rainfall-Runoff correlation In this data position, short-term runoff data is extended backwards for the desired length of time, say 20-25 years, provided the long term rainfall records are available for that length of time. The statistical approach of rainfall-runoff modelling is adopted for data extension. In this model, rainfall-runoff data of concurrent period are correlated and suitable regression equations are developed. If the correlation coefficient is about 0.8 or more, , the corresponding rainfall-runoff correlation may be considered reasonable and adopted for further analysis. Following regression models can be adopted : a) Bivariate Linear b) Bivariate curvilinear c) Multivariate linear d) Multivariate curvilinear In the above relationships random component are not considered. In case of run-of-the-river small hydroelectric schemes, small catchments are generally involved. For such catchments, antecedent rainfall P t-1 may not significantly affect the runoff when a month is considered as a unit period of study. Hence, only bivariate regression equation may be considered. However, if a reasonable correlation coefficient is not obtained with a bivariate form of equation, the multivariate form may be adopted. 3. Short term measure river flows but no rainfall records a) Data available for a period of 5-10 years For this type of data position, the catchment rainfall are estimated from the rainfall records of raingauges in the neighbouring catchments having similar hydro meterological characteristics. b) Discharge - Discharge correlation If there are long term gauged river flows in an adjoining catchment having similar hydrometerological and catchment characteristics like soil type, topography, orographic features, land slope, forest area and vegetative cover, discharge-discharge correlation is recommended. The equation is in the form R1 = a + b R2
  • 111.
    Annex 2.4 WATER RESOURCESA2.1-12 WhereR1 = Runoff at site with short term record R2 = Runoff at site with long term record a and b are constants c) Records are available for two lean seasons and one flood season i) When regional discharge data are available In this case the discharge data being too scanty instead of developing only one correlation of each month, only one correlationship can be developed grouping all twelve month records. ii) When regional discharge data are not available In order to utilise the site specific short term discharges when regional discharges is not available is to develop an annual rainfall duration (ARD) curve for the catchment at the project site. The mean annual catchment rainfall for the observed period of discharges is estimated and its percent availability is read from ARD curve. The ratios of annual rainfalls at 50%, 75% and 90% dependabilities as read from ARD curve to the mean annual is computed as Y50, Y75 and Y90. Assuming these rainfall ratios to be applicable to discharge also, the mean monthly discharge for 50%, 75% and 90% are computed by multiplying the mean monthly discharges of observed periods by Y50, Y75 and Y90 respectively. 4) Regional Specific Discharge Approach The specific discharge is defined as the discharge per unit catchment area. Regional monthly specific discharge is computed for the river basins where discharges have been observed. The hydrographs of monthly specific discharge for a particular dependability for different river basins having similar hydrometeorological and catchment characteristics are developed. If there is a good comparison, a mean hydrograph may be considered as the regional hydrograph of specific discharges which may be considered for an ungauged river basin in the same basin. a) Flows are available for two lean and one flood season In case where two lean and one flood season records are available, the specific discharge hydrograph for this period is plotted on the regional specific discharge hydrographs for 50%, 75% and 90% dependabilities. A comparison would reveal whether the observed specific discharges compare closely with the regional discharges. In that case, regional specific discharge hydrographs may be assumed to be applicable at the project site. 5. Estimate of Post-monsoon flow During the monsoon rainfall, ground water storage is augmented due to infiltration of rain water into the ground. The ground water table rises. On the withdrawl of the monsoon rainfall, the water in the river goes down and the perennial river receives water due to release of water from the ground water storage. The post-monsoon flows are thus indirectly dependant on monsoon rainfall. However, in case of snowfed catchment, post monsoon flows are also contributed by snow-melt water.
  • 112.
    Annex 2.4 WATER RESOURCESA2.1-13 i)Short term records available Unlike rainfall runoff regression for the monsoon months, rainfall versus runoff of post monsoon months does not give any reliable correlation because even with zero rainfall, there will be some flow in the river due to groundwater regeneration. One commonly used method is to express total post monsoon runoff as a ratio of total monsoon runoff to the period for which observed data are available and a plot is developed. Once a long term monsoon runoff is computed, the corresponding post monsoon runoff can be estimated from this plot. ii) No record available When the observed data is not available or very scanty, the regional approach is adopted. The regional approach computes both monsoon and post-monsoon flows. 6. Snow covered catchment In winter, the snow coverage comes down temporarily below the permanent line. When snow melt starts, the aerial distribution of snowcover will change. In absence of these data, snowmelt assessment at different elevations is not feasible. A convenient approach for snow covered catchments is to correlate the available observed flows per unit area at the project site with those of other rivers in the region where discharge observations have been made. 7. Regulated Structure Type 2 - Scheme on canal falls and Type 3 – Power house located downstream of existing dam / barrage’ the canal discharges / releases at dams / barrages are utilized for water availability studies.
  • 113.
    Annex 2.5 WATER RESOURCESA2.1-14 YieldAssessment - Hydrological Aspects in Project Planning and Preparation of DPR, Training Directorate, CWC 1 Rainfall-Runoff correlation After validation and processing of available rainfall-runoff data, flow series of desired length can be derived through rainfall-runoff correlation. The hydrological model like Sacremento can be used in case catchment is having hydrometeorological and watershed information required for calibration and validation of such model. A rainfall-runoff is a very common technique for extending data of short duration. Flow series of desired length can be derived through rainfall-runoff correlation. This relation depends on the hydro-meteorological characteristics of the project catchment. The year can be broken into various seasons depending on the hydro-meteorological properties of catchment as follows : Monsoon season (June – September) Non-monsoon season (January-May & October-December) Post-monsoon period (October – November) Snow accumulation period (December – February) Snow melt period (March - May) i) Stationarity and Homogeneity check In order to apply the correlation technique, flow series should satisfy the conditions of stationarity and homogeneity. When a series is divided into several segments and a statistical parameter such as mean value is used to characterise the data of each segment, expected value of the statistical parameter is practically the same for each segment in a stationary series. The temporal homogeneity check is performed to detect any sudden changes or inconsistency in the data at any time in the period of record. A double mass curve can be used for this purpose. For low rainfall amount, the relation is highly non-linear in view of the strong varying rainfall abstractions due to evaporation. For very high rainfall, the abstraction is constant as it has reached its potential level; Then the rainfall-runoff relation is linear. As long as the application of the relation remains within the observed range, linaer relation can be adopted so long as the residuals distribute randomly about the regression equation over the range considered. Another important aspect of judging the regression model is to look carefully at the behaviour of the residuals, not only about the regression line as a function of rainfall but also as a function of time. ii) Simple Linear Regression This is the most common model in hydrology which have the following general form : Ŷ = α + βX Where: Ŷ = dependent variable, also called response variable (produced by the regression model) X = independent variable or explanatory variable, also called input, regressor, or predictor variable α, β = regression coefficients
  • 114.
    Annex 2.5 WATER RESOURCESA2.1-15 Theactual observations on Y do not perfectly match with the regression equation and a residual ε is observed, Y = α + βX + ε The regression line will be established such that E[ Y – Ŷ ] = E [ ε ] = 0 i.e. that it produces unbiased results and further that the variance of the residual σε 2 is minimum. The following steps for developing regression model are : Estimation of regression coefficients Measure for the goodness of fit Confidence limits for the regression coefficients Confidence limits for the regression equations Confidence limits for the predicted values Application of regression to rainfall-runoff analysis a) Estimation of regression coefficients The estimators for the regression coefficients α and β, denoted by a and b respectively are determined by minimising Σε2 Denoting the observations on X and Y by x i and y i this implies, that for: to be minimum, the first derivatives of M with respect to a and b be set equal to zero: From this it follows for a and b: b) Measure for Goodness of fit The error variance can be given by : σε 2 =σY 2 (1 - r2 ) The closer r2 is to 1, the smaller the error variance will be and the better the regression equation is in making predictions of Y given X. Therefore r2 is an appropriate measure for the quality of regression fit to the observations, and is called the coefficient of determination. c) Confidence limits for the regression coefficients Based on the sampling distributions of the regression parameters, the following estimates and confidence limits hold : A (100-α) percent confidence interval for b is found from the following confidence limits : 222 )()ˆ( iiiii bxayyyM −−∑=−∑=∑= ε 0)(2 =−−∑−= ∂ ∂ ii bxay a M 0)(2 =−−∑−= ∂ ∂ iii bxayx b M xbyaand S S xxxx yyxx b XX XY n i ii n i ii −== −− −− = ∑ ∑ = = : ))(( ))(( 1 1 XX n S tbCL 1 ˆ2/1,2 εα σ−−± ±=
  • 115.
    Annex 2.5 WATER RESOURCESA2.1-16 A(100-α) percent confidence interval for a is found from the following confidence limits : d) Confidence limits for the regression equation A (100-α) percent confidence interval for the mean response to some input value x0 of X is given by: Note that the farther away x0 is away from its mean, the wider the confidence interval will be. e) Prediction A (100-α) percent confidence interval for a predicted value Y when X is x0, follows that It is observed that the confidence limits will be substantially wider than those for the mean regression line. f) Extrapolation Extrapolation of a regression equation beyond the range of X to obtain a value of Y not recommended due to the following reasons : confidence intervals become large as X increases Relation Y = f(X) may be non-linear for full range of X and only approximately linear for the range of X investigated. iii) Multiple linear Regression Sometimes, a dependant variable is modelled as a function of several other quantities. For example, monthly runoff is likely to be dependant on the rainfall on the same month and in the previous months. The regression equation would be : R(t) = α + β1 P(t) + β2 P(t-1) +… (1) A general linear model is of the form Y = β 1X1 + β 2X2 +…….. β pXp + ε (2) Where Y is a dependant variable, X1 , X2 , …Xp are independent variables and β1, β 2 ,….. β p are unknown parameters. Multiple linear regression involves solving n equations for the p unknown parameters. The n equations are given as: Y = Xβ+ε (3) Where, Y = (n x 1) – data column vector of the centred dependent variable (yi-y) X = (n x p) – data matrix of the centred independent variables (xi1-x1),…….,(xip-xp) β = (p x 1) - column vector, containing the regression coefficients ε = (n x 1) – column vector of residuals The residuals are conditioned by : E[e]=0 and (4) Cov(e)= I2 εσ (5) XX n S xx n tbxaCL 2 0 2/1,20 )(1 ˆ − +±+= −−± εα σ XX n S xx n taCL 2 0 2/1,2 )(1 ˆ − +±= −−± εα σ XX n S xx n tbxaCL 2 0 2/1,20 )(1 1ˆ − ++±+= −−± εα σ
  • 116.
    Annex 2.5 WATER RESOURCESA2.1-17 Where, I= (n x n) diagonal matrix with diagonal elements = 1 and off-diagonal elements = 0 2 εσ = variance of (Y/X) According to the least square principle the estimates b of β are those which minimize the residual sum of squares ε T ε . Hence ( ) ( )ββεε XYXY TT −−= (6) is differentiated with respected to b, and the resulting expression is set equal to zero. This gives XT Xb =XT Y (7) called the normal equations, where β is replaced by its estimator b. Multiplying both sides with (XT X) leads to an explicit expression for b : b = (XT X)-1 XT Y (8) The properties of the estimator b of β are : E(b)= β and (9) Cov (b) = ( ) 12 − XX T εσ (10) From equations (6) and (7) the total adjusted sum of squares YT Y can be portioned into an explained part due to regression and an unexplained part about regression as follows: YT Y=bT XT Y + eT e (11) Where (Xb)T Y = sum of squares due to regression eT e = sum of squares about regression with ε by e due the replacement of β with b. i.e. Total sum of squares about the mean = regression sum of squares + residual sum of squares The mean squares values of the right hand side terms in () are obtained by dividing the sum of squares by their corresponding degrees of freedom. If b is a ( p x 1)-column vector, i.e. there are p-independent variables in regression, then the regression sum of squares has p-degrees of freedom. Since the total sum of squares has (n -1) degrees of freedom, it follows by subtraction that the residual sum of squares has (n-1-p) degrees of freedom. The residual mean squares 2 eS is an unbiased estimate of 2 εσ and is given by: pn ee S T e −− = 1 2 (12) The analysis of variance table (ANOVA) summarizes the sum of square quantities as: Source Sum of Squares Degrees of freedom Mean Squares Regression (b1,………bp) Residual (e1,………ep) SR = bT XT Y Se=eT e=YT Y- bT XT Y P n-1-p MSR=bT XT Y/p MSe=se 2 =eT e/(n-1-p) Total (adjusted for y) SY=YT Y n-1 MSY = SY 2 =YT Y/(n-1)
  • 117.
    Annex 2.5 WATER RESOURCESA2.1-18 Ameasure of quality of regression equation is coefficient of determination (Rm) which is defined as the ratio of the explained or regression sum of squares and the total adjusted sum of squares: YY YXb R T TT m =2 (13) For a perfect model Rm=1 Confidence Intervals on the Regression Line: To place confidence limits on Y0 where Y0=X0b it is necessary to have an estimate for the variance of 0Y ) . Considering Cov(b) as given in eq(10) the variance Var ( 0Y ) ) is given as : T o T e XXXXsYVar 1 0 2 0 )()ˆ( − = (14) The confidence limits for the mean regression equation are given by : )ˆ( , 2 1 oao YVartbXCL pn −−± ±= (15) A common situation in which multiple regression is used is when one dependent variable and several independent variables are available and it is desired to find a linear model that is developed does not necessarily have to contain all of the independent variables. Thus the points of concern are: (1) can a linear model be used and (2) what independent variable should be included? A factor complicating the selection of the model is that in most cases the independent variables are not statistically independent at all but are correlated. One of the first steps that should be done in a regression analysis is to compute the correlation matrix. Retaining variables in a regression equation that are highly correlated makes the interpretation of the regression coefficients difficult. Many times the sign of the regression coefficient may be the opposite of what is expected if the corresponding variable is highly correlated with another independent variable in the equation. One of the most commonly used procedures for selecting the “best” regression equations is stepwise regression. This procedure consists of building the regression equation one variable at a time by adding at each step the variable that explains the largest amount of the remaining unexplained variation. After each step all the variables in the equation are examined for significance and discarded if they are no longer explaining a significant variation. Thus the first variable added is the one with the highest simple correlation with the dependent variable. The second variable added is the one explaining the largest variation in the dependent variable that remains unexplained by the first variable added. At this point the first variable is tested for significance and retained or discarded depending on the results of this test. The third variable added is the one that explains the largest portion of the variation that is not explained by the two variables already in the equation. The variables in the equation are then tested for significance. This procedure is continued until all of the variables not in the equation are found to be insignificant and all of the variables in the equation are significant. This is a very good procedure to use but care must be exercised to see that the resulting equation is rational. The real test of how good is the resulting regression model, depends on the ability of the model to predict the dependent variable for observations on the independent variables
  • 118.
    Annex 2.5 WATER RESOURCESA2.1-19 thatwere not used in estimating the regression coefficients. To make a comparison of this nature, it is necessary to randomly divide the data into two parts. One part of the data is then used to develop the model and the other part to test the model. Unfortunately, many times in hydrologic applications, there are not enough observations to carry out this procedures. Monthly runoff is likely to be dependent on the rainfall in the same month and in the previous month(s) Then the regression equation would read: R(t) = α + β1P(t) + β2P(t-1) + …. 2 Discharge-Discharge correlation This is another most commonly faced situation in evaluating the water availability aspect for Water Resource projects. Correlation technique is used to develop relation between stream gaging records of concurrent period between two or more stations, one with short term data and other with long term records. The relation between the flows can be based on concurrent daily, 10-daily, monthly, seasonal or annual discharges. In a numerical procedure, a linear or power equation is used to extend the short length of flow data. The equation takes the following form : Y i = mx i + C Where m and c are estimated by standard procedure. The estimated values of flows at project site tend to yield a smaller variance than the real observations. To preserve the variance inherited in the observed values, a random component is added to the regression estimates (Matalas and Jacobs, 1964). This component is referred to as noise, which is normally distributed with zero mean and variance proportional to the variance of the short term series. Therefore, equation for streamflow estimates are : Y i = mx i + C + Sy ei √ 1-r 2 Where, 2 2 1 y yx S S r −= 2 2 2 − −− = ∑ ∑ ∑ N xymyCy Syx 1 /)( 22 2 − − = ∑ ∑ N Nyy S y S y = standard deviation of y from smaller length of record e i = random normal variable with zero mean and unit variance If the correlation coefficient exceeds 0.8, the noise component need not be added to get a reliable estimate of variance from the extended series. Although the above equation can be used to estimate streamflows, the use of pseudorandom numbers is not appealing, with every investigator deriving different values of streamflows, although within the limits expected by chance.
  • 119.
    Annex 2.5 WATER RESOURCESA2.1-20 3Estimation of flow at ungauged site Often a site for which a stream data are needed is not gauged, but a gauging station exists on the same river upstream or downstream, or both. The interpolation of the record provides a means of estimating the flow in such cases. Consider that the gauging station record is available at site X having a drainage area Ax, and an estimate has to be made for another site Y on the same river with drainage area Ay. The flow will be distributed in direct proportion of the drainage area. x y xy A A QQ = A better estimate is made when records at two gauging sites exist, preferably one upstream and one downstream of the ungauged site because between a gaugd site and the ungauged site, there might be some changes in the drainage pattern, such as the meeting of a tributary or extraction of water. The variation in flow between the two gauged sites is adjusted either on the basis of drainage area as under, xz xy x x z z x x y y AA AA A Q A Q A Q A Q − − ⎟⎟ ⎠ ⎞ ⎜⎜ ⎝ ⎛ −+= Qx = Flow at gauged site X of drainage area Ax Qy = Flow at gauged site Y of drainage area Aya Qz = Flow at gauged site Z of drainage area Az zQ and xQ are average of discharge series at Z and X respectively Or on the basis of the distance between the sites as follows z y x x z z x x y y L L A Q A Q A Q A Q ⎟⎟ ⎠ ⎞ ⎜⎜ ⎝ ⎛ −+= Ly = Distance between stations X and Y Lz = Distance between stations X and Z 4 Synthetic Technique The available streamflow, known as historical records, are often quite short, generally less than 25 years in length. These do not cover the economic life of a project of 50 to 100 years. A system designed on the basis of historical record only faces a chance of being inadequate for the unknown flow sequence that the system might experience. Further, the historical record comprising a single short series does not cover a sequence of low flows as well as high flows. In statistical sense, the historical record is a sample out of a population of natural streamflow process. If this process is considered stationary, many series representing such samples can be formulated that will be similar to the historical record. The purpose of streamflow synthesis, however, is not to analyse a time series but to generate the data based on the series. The statistical properties are used to reproduce the series of similar characteristics. Various stochastic processes are used for generating the hydrologic data as given below : Markov Process or Autoregressive (AR) model Autoregressive-Moving Average model Disaggregation model Autorun model
  • 120.
    Annex 2.5 WATER RESOURCESA2.1-21 5Models of the Hydrologic cycle Many models have been formulated incorporating elements of the hydrologic cycle. The depression storage and evaporation are reasonably fixed parameters during a specific period. The infiltration rate is thus a very important component of these models which relates the precipitation to the runoff. The infiltration depends on the moisture conditions of the drainage basin at the tiem of precipitation. i) Streamflow from drainage basin characteristics The US Geological Survey conducted statistical multiple regression analysis to derive the generalised relations for the natural streamflows in four regions of the eastern, central, southern and western United States. The long term stream flow records were used in regression and a large number of topographic and climatic indices were included in drainage basin characteristics. The regression considered various categories of flows. The multiple regression analysis defined the relation between each category of flow and the drainage basin characteristics. The regression relationship has the following form in which the constant a and coefficients b1, b2,…. have different values for different regions and different categories of flows. Q = a Abi S b2 Lb3 St b4 Eb5 I24,2 b6 Pb7 Sn b8 Fb9 Si b10 t1 b11 t7 b12 Ev b13 Aa b14 Where, Q = discharge A = Drainage area S = Channel slope L = Channel length St = percent of total drainage area occupied by lakes lakes, swamps, ponds E = mean elevation of the basin abvove msl I24,2 = maximum 24 – hour precipitation expected to be exceeded once every 2 years P = Mean annual precipitation Sn = mean annual snowfall F = % of total area under forest cover Si = soil index for infiltration t1 = mean of minimum January temperatures t2 = mean of minimum July temperatures Ev = annual evaporation Aa = alluvial area in the basin For each category of flow characteristics, all of the indices above need to be included. The indices most highly related to streamflow are drainage basin size and mean annual precipitation.
  • 121.
    Annex 2.5 WATER RESOURCESA2.1-22 ii)Streamflow related to channel geometry For estimating streamflow characteristics for ungauged stream quickly and inexpensively, the channel geometry relations are derived by USGS as an alternative approach which eliminates the need for extensive input data required in other methods. The equations have been developed from the data collected at numerous stream gauging sites in the arid to semi arid parts of western USA to assess the mean annual flow and flood discharges at selected recurrence intervals from channel geometry and channel material data. In these relations, the discharge is directly related to the active channel width, which is indicative of relatively recent conditions of water and sediment discharge. It is subject to change by prevailing discharges. Its upper limit is defined by a break in the relatively steep bank slope of active channel to a more gently sloping surface beyond the channel edge, the nature of the stream, affected the relations. The characteristics of the areas such as mountains, plains and desert also influence the discharge. The studies indicated that width-discharge relations vary measurably with the channel material characteristics. Separate relations have been developed accordingly for each channel characteristics.
  • 122.
    Annex 2.6 WATER RESOURCESA2.1-23 ModelStructure of Water Yield Model ( WYM) The operation of the model consists in updating soil moisture S and ground water storage G continuously at the end of each month. S is augmented by precipitation P and depleted by evapotranspiration E. Similarly, ground water storage G is augmented by percolated moisture and depleted by base flow, supplementary base flow and deep ground water storage. St = St-1 + Pt – Et Gt = Gt-1 + PM-SBF The monthly evapotranspiration is calculated by Modified Penman’s method. The runoff comprises of three components : Surface runoff (RSR), supplementary base flow (RSBF) and base flow (RBF) which are defined as : RSR = (1-b) . {a(St – Smin) + (St – Smax) } RSBF = Gt - Gmax RBF = c. Gt Where, Smin = Minimum soil moisture storage Smax = Maximum Soil moisture storage Gmax = Maximum ground water storage a, b, and c are infiltration, percolation and baseflow coefficients. WYM is simple and adaptable model. It has only nine parameters and need much less input information which in turn require less time for data collection compilation and processing. The coefficients b and c are approximated using observed runoff data. SMAX and SMIN are approximated by physiographic, soil and land use characteristics and the rest of parameters are manually adjusted during calibration stage. The best match of the output to the observed data is judged by the R2 criterion and visual judgement of comparison of • Continous flow plot • Plot of flow duration curves
  • 123.
    Annex 2.6 WATER RESOURCESA2.1-24 Fig.7 Flow Chart for WYM Fig. 7 Schematic diagram of Water Yield Model ( WYM) Ct GMAX St GROUND WATER SUB-SYSTEM CHANNEL SUB-SYSTEM SURFACE AND SOIL MOISTURE SUB-SYSTEM INPUT RAINFALL pt SMAX ACTUAL EVAPOTRANSPIRAT ION K = PET RUNOFF α FILTRA = INFILTRATI ON 2(St-SMIN) OVERLAND FLOW FLOW= (St-SMAX) SURFACE RUNOFF RSR=(1- b).(a.FILTRA+OFLOW) PERCOLATION PERCO=b(α.FILTRA+OFL OW) BASEFLO W RBF=C Gt SUPPLEMENTAR Y BASEFLOW RSBF=Gt- G RIVER FLOW TO DEEP GROUNDWATERS DGM= ex Gt SMIN
  • 124.
    Annex 2.7 WATER RESOURCESA2.1-25 SHEModel The ‘Systeme Hydrologique Europeen’ SHE modeling system has been applied to six subcatchments covering about 15000 km2 of the Narmada basin in Madhya Pradesh, Central India. The following approach was used in processing and model set-up for the six basins. • Data on topography, river network, soil type and land use were computed on grid network of 1km X 1 km to 4 km X 4 km with SHE microprocessor programs. • Landcover in the catchment were identified as agriculture, open forest, dense forest and waste land, further subdivided into lowland, hillslope and upland area. The assumptions made in fixing the physical parameters are Soil depth were assumed to vary between 7-15 m in lowland area and 0-0.6 m elsewhere. Initial estimates of soil parameters were the same for all the basins except Hiran where specific field measurements were available. Soil retention curve of black cotton clays was used. The overland flow resistance coefficient was evaluated as spatially uniform in each basin. The channel flow resistance coefficient was evaluated using measured flow and channel data at the basin flow outlets. The channel flow resistance coefficient was assumed to be evaluated using measured flow and channel data at the basin outlets. • Spatial variation in channel geometry for Ganjal, Hiran and Narmada subbasins were evaluated from brief field survey. • For modeling of basin response mechanisms, • For lowland agricultural area with deep soil, the initial monsoon rains are absorbed by the soil moisture reservoir, with cracks playing role in enhancing infiltration. Once the rainfall is lost and cracks have sealed, further rainfall is lost as surface runoff, interflow in the upper layers of profile or evaporation. During the dry season, moisture in the root zone is lost through evapotranspiration while the deeper groundwater reservoir drains slowly, contributing to deep storage or river baseflow. In upland area, runoff is likely to be rapid because of thin soil, steep slope and prevalence of small channels. In flat agricultural area, the field bunds impound the surface runoff, impeding its progress to the main river channels. The calibration was made on monthly outlet hydrograph volumes, outlet peak discharge and outlet baseflow discharge. The adjustment to parameters were kept within physically realistic limits. Reference J.C.Refsgaard, S. M. Seth, J.C.Bathurst, M. Erlich, B. Storm, G. H. Jorgensen and S. Chandra, “ Application of the SHE to catchments in India Part 1. General results”, Journal of Hydrology, 140(1992) 1-23
  • 125.
    Annex 2.8 WATER RESOURCESA2.1-26 SCS– CN Based Hydrological Model Concept of SCS-CN model: The SCS-CN method is based on the water balance equation and two fundamental hypothesis. The first hypothesis states that the ratio of actual amount of direct surface runoff to the maximum potential runoff is equal to the ratio of the amount of actual infiltration to the amount of potential maximum retention. The second hypothesis states that that the amount of initial abstraction is some fraction of potential maximum retention. Mathematically, SCS-CN equations can be expressed as : QFIP a ++= ; SFIPQ a /)/( =− ; SIa λ= Where P is total rainfall, aI is initial abstraction, F is cumulative infiltration excluding aI , Q is direct runoff and S is potential maximum retention. Combination above equations leads to )/()( 2 SIPIPQ aa +−−= if aIP ≥ otherwise 0=Q Relation between S and CN is expressed as 10)/1000( −= CNS Model Applications SCS-CN based long term hydrologic model was developed by Mishra (1998). The model formulation is based on conversion of precipitation to rainfall excess using SCS-CN method and its routing by single linear reservoir and linear regression techniques with following assumptions : • The variation of parameter S was governed by antecedent moisture condition. • The baseflow was assumed to be a fraction of the infiltration amount. • The baseflow was routed to the outflow of the basin using lag and route method. • The parameters of the model was computed using non-linear Marquardt algorithm. The model was applied to daily rainfall-runoff data of Hemvati catchment and upper Ramganga catchment of 600 sq km and 3134 sq km area respectively. In the 5 year daily data of Hemvati, the results show efficiency of 75.31 % in calibration and 82.03 % in validation. The 7 year daily data of Ramganga show the efficiency 58.34 % in calibration and 67.2 % in validation. By study under various cases of calibration and validation data pattern , the author has concluded that data length of higher magnitude is required for stability of model parameters. Reference Dr. S. K. Mishra, “A Modified SCS-CN Based Hydrologic Model”, TR(BR) – 2 / 1999- 2000, National Institute of Hydrology ----------------------------------------------------------------------------------------------------------- The SCS-CN method is widely used methodology for continuous modeling for volume of surface runoff for small agriculture watersheds. It is based on water balance equation
  • 126.
    Annex 2.8 WATER RESOURCESA2.1-27 andtwo fundamental hypothesis. The first hypothesis states that the ratio of actual amount of direct surface runoff to the maximum potential runoff is equal to the ratio of the amount of actual infiltration to the amount of potential maximum retention. The second hypothesis states that that the amount of initial abstraction is some fraction of potential maximum retention. The main objective of the paper is to revisit the SCS-CN method, analyse its basis in Mockus method and to assess the performance of various models which are modified versions of the same as stated below : Model 1 – SCS-CN method with varying l Q/(P-Ia) = (P-Ia)/(S+P-Ia), Ia = l S, S = 25400 / CN - 254 Model 2 – Existing SCS-CN method with l = 0.2 Q/(P-Ia) = (P-Ia)/(S+P-Ia), Ia = l S, S = 25400 / CN – 254 Model 3 – Modified model Q/(P-Ia) = P / (S+0.5 (P-Ia)), Ia = l S, S = 25400 / CN - 254 Model 4 – Modified Model in general form Q/(P-Ia) = (P-Ia) / (S+a(P-Ia)), Ia = l S, S = 25400 / CN - 254 Model 5 – Mockus method Q/(P-Ia) = 1-10 –bP , b ln(10) = 1/ S, Ia = l S, S = 25400 / CN - 254 Model 6 – Fogel and Duckstein (1970) model Q = c (P-Ia) , Ia = l S, S = 25400 / CN - 254 Where, P = Total precipitation, Ia = Initial abstraction, F = cumulative infiltration excluding Ia, Q = direct runoff, S = potential maximum retention or infiltration. The current version of SCS-CN method assumes l = 0.2 for usual practical applications. As the initial abstraction component accounts for surface storage, interception and infiltration before runoff begins, l can take any value from 0 to ∞. The above models were applied to the above rainfall-runoff events of catchments WS-1, WC-2 and 3-Bar D of United States and Ramganga and Hemvati catchments of India. The performance evaluation criterion adopted are standard error and coefficient of determination. Based on ‘Standard criterion’, used in assigning ranks to each model in application to the data set, models 3,1,4,2 and 5 can be ranked as I, II, III, IV and V respectively. Similarly, based on ‘coefficient of determination criterion’, order of performance ranking of the models is 4,3,1,2,5. The authors therefore conclude that the modified version of SCS-CN method is more accurate than the existing SCS-CN method. Reference S.K.Mishra, V. P. Singh, “Another Look at SCS-CN Method”, Journal of Hydrologic Engineering, July (1999) 257-264 ------------------------------------------------------------------------------------------------------------ In this report, a time distributed spatially lumped SCS-CN based runoff method is developed and applied to seventeen events of Jhandoo Nala watershed in Himalaya affected by mining activities, and seven events of 3F subzone watershed of river Godavary.
  • 127.
    Annex 2.8 WATER RESOURCESA2.1-28 Theprocedure of model application involved averaging of actual rainfall for each time step for the reason of uniform storm rainfall intensity ( ei ) used in the SCS-CN based infiltration model (parameters: cf , k ). The computed rainfall excess (Q ) is routed through a single reservoir of K storage coefficient to obtain q , which when added to baseflow ( baseflowq ) leads to total flow ( totalq ) at the outlet of the basin. The parameters were computed employing the Marquardt algorithm of least squares using the standard error and coefficient of determination criterion of minimizing errors. Remarks: The results show that out of 17 events, 13 events were simulated with r2 greater than 0.7 in case of Jhandoo Nala. Similarly, out of 7 events of 3F sub-zone, 5 events yielded r2 > 0.6. The authors therefore, conclude that peak discharges and time to peak simulate reasonably well as written in the report. The volumetric analysis show encouraging results. Reference S.M. Seth, S. K. Mishra, “Application of SCnceS-CN based Runoff Model”, Technical Report No TR (BR)-3/1999-2000, National Institute of Hydrology
  • 128.
    Annex 2.9 WATER RESOURCESA2.1-29 TankModel A deterministic conceptual rainfall-runoff model has been developed by Sugawara (1967) in Japan as Tank Model. The model performs daily analysis of rainfall-runoff data from daily precipitation and evaporation inputs. I). Concept of Tank Model: The tank model is a very simple model. Initially tank model was made to use it for humid region (like Japan). It composed of four tanks laid vertically in series. Precipitation is put into the top tank, and evaporation is subtracted from the top tank. If there is no water in the top tank, evaporation is subtracted from the second tank; if there is no water in both the top and the second tank, evaporation is subtracted from the third tank; and so on. The outputs from the side outlets are the calculated runoffs. The output from the top tank is considered as surface runoff, output from the second tank as intermediate runoff, from the third tank as sub-base runoff and output from the fourth tank as baseflow. This may be considered to correspond to the zonal structure of underground water. Fig.8 Concept of Tank Model In spite of its simple outlook, the behavior of the tank model is not so simple. If there is no precipitation for a long time, the top and the second tans will empty. Under such conditions, runoff is stable. In such case, the discharge will decrease very slowly. If there is a comparatively heavy rain of short duration under these conditions, a high discharge of short duration will occur before the model returns to the stable state as before. In these
  • 129.
    Annex 2.9 WATER RESOURCESA2.1-30 cases,most of the discharge is surface runoff from the top tank and there is little or no runoff from the second tank. If heavy precipitation occurs over a longer period, the water in the top tank will run off quickly and then, the output from the second tank will decrease slowly, forming the typical downward slope of the hydro graph following a large discharge. However, 4×4 tank model has been developed for non-humid basins by dividing them into four zones depending on soil moisture content. Tank model for daily runoff analysis can also be used with snowmelt component. The tank model can represent many types of hydrograph because of its non-linear structure caused by setting the side outlets somewhat above the bottom of each tank (except for the lowest tank). The concept of initial loss of precipitation is not necessary, because its effect is included in the nonlinear structure of the tank model. ii) Initial Tank Model Parameters: Decreasing ratio α is calculated as 1/TC, where TC is a rough estimation of time constant of runoff, made from recession slope of the flow hydrographs. From the value of α , the discharge coefficients and initial losses are calculated for top tank, second tank and third tank using following equations: A0 = A1 = A2 = …. = α /2 [A0, A1, A2 are discharge coefficients] B0 = B1 = α /10 [B0, B1 are discharge coefficients] C0 = C1 = α /50 [C0, C1 are discharge coefficients] The values of initial losses are selected from the following ranges. HA1 = 0 ~ 15 (mm), HA2 = 15 ~ 40 (mm) HA3 = 40 ~ 60 (mm), HB = 5 ~ 15 (mm) HC = 5 ~ 15 (mm) Where HA1, HA2 are heads (threshold levels) of two side outlets of top tank and are measures of initial losses. Similarly, HB and HC are heads (threshold levels) of side outlets of second and third tanks respectively. iii) Calibration of Tank Model Parameters: The only difficult problem is the calibration of the model, partly because of its nonlinear structure and partly because its structure is very difficult for input/output analysis. In this report, calibration of the parameter has been performed by trial and error. However, Sugawara (1979) developed autocalibration technique to resolve this problem. iv). Snow melt component of Tank Model: In winter, snow begins to deposit on high elevation area and then spreads to lower areas. In spring, the snow deposit begins to melt first in low elevation areas and then moves up the elevation range of the basin. Therefore, it is necessary to divide the basin into elevation zones in order to calculate snow deposit and melt. The number of zones need not be too large; usually, it is sufficient to divide the basin into a few zones with equal elevation interval. Snow deposit and melt are governed by air temperature, and so the rate of temperature decrease with elevation is one of the most important factors in the snow model. v). Tank Model for non-humid/arid condition (Indian scenario): As discussed above, 4×4 tank model has been developed for non-humid basins. Following additional points have been considered for this case. (i) different values of primary and secondary soil moisture may be considered for each zone depending on the situation. (ii) Aerial ratio of zone S1:S2:S3:S4 is an important parameter in this model. These ratios can be determined from drainage area, topography, landuse and soil structure of the basin.
  • 130.
    Annex 2.9 WATER RESOURCESA2.1-31 Remarks: Itcan represent non-linear structure of surface runoff, even several component of runoff. Runoff components from the lower tanks are smoothened in shape and the time lags are given automatically. This model is applicable to snowmelt runoff. The model simulated high flows better than the flow flows. vi) Feedbacks of Tank Model in other Literatures: Application of tank model for hydrological studies in India has been limited. 4×4 tank model for daily analysis was used by Datta (1984) for simulating daily streamflows in two sub-basins in Central India. Kandaswamy et al (1989) applied tank model for simulation of daily stream flows in two mountainous rivers in Southern India. Ramasastri (1990) applied of tank model for a mountainous river in western India. The performance of the model was better due to the fact that the model is a continuous model and the antecedent conditions were well represented in the dataset. There was appreciable variation in surface flow and comparatively less variation in the interflow and sub- baseflow. MIAO-MIAO et al., (2009) stated that the parameter calibration of the Tank Model is the difficult most and very time consuming task. References Satish Chandra, S M Seth, R D Singh M K Santoshi, “Application of Tank Model for Daily Runoff Analysis, User’s Manual, Report No UM-14, National Institute of Hydrology, 1985-86. Sugawara,M (1967) On the analysis of runoff structure about several Japanese rivers. Japanese Journal of Geophysics 2 (4). Sugawara, M., (1979) Automatic calibration of the tank model, Hydrological Sciences- Bulletin-des Sciences Hydrologiques, 24 (3), 9, 375-388 Datta, B (1984) Runoff analysis of two Indian basins using tank model. Research note 55, National Research Center for Disaster Prevention, Japan. K. S. Ramasastri (1990)Simulation of daily runoff in a mountainous catchment using the Tank model, Hydrology in Mountainous Regans. I - Hydrological Measurements; the Water Cycle (Proceedings of two Lausanne Symposia, August. IAHS Publ. no. 193,1990. MIAO-MIAO MA, WEI-MIN BAO & XI-FENG LI (2009) Combining an improved harmony search algorithm with the One Tank Model calibration, Hydroinformatics in Hydrology, Hydrogeology and Water Resources (Proc. of Symposium JS.4 at the Joint IAHS & IAH Convention, Hyderabad, India, September. IAHS Publ. 331, 206-212
  • 131.
    Annex 2-10 WATER RESOURCESA2.1-32 LumpedBasin scale Water Balance Model A lumped basin-scale water balance model (named KREC v.2 ) based on Thornthwaite- Mather water balance accounting procedure (Dunne & Leopold, 1978) was developed by Nandagiri (2002). The model utilizes inputs of rainfall and potential evapotranspiration and gives continous output of direct runoff, subsurface runoff, groundwater recharge, baseflow, actual evapotranspiration and total runoff. The model has three unknown parameters: S, awc, and blag, which need to be determined by calibration with measured streamflow data. While CN (Curve Number), based on land use/land cover, hydrological soil type and antecedent wetness conditions, can be readily obtained from standard tables published in the literature, awc (available water capacity of the soil profile calculated as the difference in profile water storage at field capacity and permanent wilting point) may be derived from published data on soil hydraulic properties for various soil textural types. The parameter blag was estimated using relationships presented by Ram Mohan & Nair (1984) using information on basin slope, soil type and extent and type of forest cover The algorithm of the model is given below: 1. Direct Runoff from precipitation is computed using SCS-CN approach ( for Indian conditions) as : ( ) )7.0( 3.0 2 SP SP DR + − = when P = 0.3 S = 0 otherwise Where, DR = Direct Runoff, P = Precipitation, S = maximum possible Retention 2. Evaporation is computed as the difference between precipitation and direct Runoff : DRPEP −= 3. APWL= ∑( EP- PET) for EP<PET APWL= 0 EP > PET 4. Soil Moisture Content (ST) is given by ( ) 0APWLfor ≠×= − awc APWL eawcST ( )[ ]{ } 0APWLfor,min 1 =+−= − awcSTPETEPST t Where: ST = Soil Moisture Storage awc = available water capacity PET = Potential Evapotransipiration STt-1 = Soil moisture storage at time t -1 5. Actual Evapotranspiration (AET) is computed using the following equations: AET = PET for EP > PET = EP + DST for EP < PET Where, AET = Actual Evapotranspiration PET = Potential Evapotranspiration DST = Direct Canopy Storage 6. Ground Water Recharge (GWR) : ( ) otherwise0 awcSTfor1 = =−+−= − awcSTPETEPGWR t 7. Base flow (BF) : BF = (1-blag)(TAR + GWR)
  • 132.
    Annex 2-10 WATER RESOURCESA2.1-33 Where,TAR = Total Aquifer Retention 8. Computation of total Runoff (TR): TR = DR + BF The KREC model Version 2 was applied to the gauged Gurpur River basin (841 km 2 ) located in the Dakshina Kannada district. separately to each land-use class under each soil group and streamflow was simulated for the period 1976–1986. An area-weighted streamflow was then computed by summing the model simulated stream-flows from each category. With a Nash-Sutcliffe coefficient of 0.92 and correlation coefficient of 0.96 between simulated and observed flows during the entire period, the model indicates fairly good performance. Reference Dunne, T. & Leopold, L. B. (1978) Water in Environmental Planning. W. H. Freeman & Co., San Francisco, USA. Lakshman nandagiri, Department of Applied Mechanics & Hydraulics, National Institute of Technology Karnataka,” Calibrating hydrological models in ungauged basins: possible use of areal evapotranspiration instead of streamflows”. Predictions in Ungauged Basins: PUB Kick-off (Proceedings of the PUB Kick-off meeting held in Brasilia, 20–22 November 2002). IAHS Publ. 309, 2007. Ram Mohan, H. S. & Nair, K. S. (1986) Hydroclimatic studies of the Western Ghats. Mausam 37(3), 329–331.
  • 133.
    Annex 2.11 WATER RESOURCESA2.1-34 ArtificialNeural Networks in Rainfall – Runoff Modeling 1. Introduction An artificial neural network (ANN), usually called "neural network" (NN), is a mathematical model or computational model that tries to simulate the structure and/or functional aspects of biological neural networks. It consists of an interconnected group of artificial neurons and processes information using a connectionist approach to computation. In most cases an ANN is an adaptive system that changes its structure based on external or internal information that flows through the network during the learning phase. Modern neural networks are non-linear statistical data modeling tools. They are usually used to model complex relationships between inputs and outputs or to find patterns in data. A neural network consists of many elements or ‘neurons’ that are connected by communication channels or ‘connectors’. These connectors carry numeric data arranged by a variety of means and organized into layers. The neural networks can perform a particular function when certain values are assigned to the connections or ‘weights’ between elements. To describe a system, there is no assumed structure of the model, instead the networks are adjusted or ‘trained’ so that a particular input leads to a specific target output. The mathematical model of a neural network comprises of a set of simple functions linked together by weights. A typical neural network consists of an input layer, a hidden layer and an output layer. The number of neurons in the input layer and output layer correspond to the number of inputs and outputs respectively. The number of neurons in the hidden layer is usually determined by trial and error procedure. The hidden neurons extract useful information from inputs and use them to predict the outputs. 2. Mathematical Representation of ANN The mathematical model of a neural network comprises of a set of simple functions linked together by weights. Fig. 11 shows the schematic representation of the architecture of ANN’s. The type of ANN described in the figure is called the multilayer perceptron Fig.11 Schematic diagram of ANN The network consists of a set of input units x, output units y, and hidden units z, which link the inputs to outputs. Input vector of elements xl (l = 1…., Nl) is transmitted through network connections that is multiplied by weights Wjl of each connection to give the internal activity of each hidden neuron as zj (j = 1,…,Nh) :
  • 134.
    Annex 2.11 WATER RESOURCESA2.1-35 0 1 wxwzl N l jlj l += ∑= (1) Where, Nh is the number of hidden neurons and Nl is the number of input source nodes. The hidden units consist of the weighted input (wjl) and the bias (w0). A bias (w0) of input equal to 1 that serves as a constant added to the weight. These inputs are passed through a layer of activation function f which produces: ⎟⎟ ⎠ ⎞ ⎜⎜ ⎝ ⎛ += ∑= iN l jljlj wxwfr 1 0 (2) The activation functions are designed to accommodate the nonlinearity in the input- output relationships. The function usually used in ANN is the hyperbolic tangent sigmoid: )2exp(1 2 1)tanh()( z zzf + −== (3) The outputs from hidden units pass another layer of filters: 0 1 0 11 k N l jljl N j kjko N j jkjk uwxwfuuruv ihh +⎟⎟ ⎠ ⎞ ⎜⎜ ⎝ ⎛ +=+= ∑∑∑ === (4) and fed into another activation function (F) to produce output yk (k = 1,….N0) ( ) ⎟ ⎟ ⎠ ⎞ ⎜ ⎜ ⎝ ⎛ +⎟⎟ ⎠ ⎞ ⎜⎜ ⎝ ⎛ +== ∑ ∑= = h iN j k N l jljlkjkk uwxwfuFvFy 1 0 1 0 (5) The weights are adjustable parameters of the network and are determined from a set of data though the process of training. Different training algorithms are developed such as feed forward back propagation algorithm, Conjugate Gradient Algorithms, Radial Basis Function and Cascade Correlation Algorithm. The objective of training algorithm is to minimize the sum of squares of the residuals between the measured and predicted outputs. 2 1 1 ))(ˆ(),( 0 ik N i N k iik PXPUWO s −∑ ∑= = = (6) Where Ns is the number of datasets, N0 is the number of outputs, W and U are weights of the hidden and output layer, respectively, Pik is the measured output and ikPˆ is the predicted output from the input vector X.
  • 135.
    Annex 2.11 WATER RESOURCESA2.1-36 3.Applications of ANN in Hydrology The simplicity in application of artificial neural networks in predictor approximation brought it a widespread interest in hydrology-related areas. These include rainfall forecasting (French et al. ,1992; Navone and Ceccatto, 1994; Hsu et al., 1997), reservoir inflow time series (Raman and Sunilkumar, 1995) and estimation of rainfall-runoff processes (Hall and Minns, 1993; Hsu et al. 1995; Smith and Eli, 1995; Mason et al., 1996; Minns and Hall, 1996; Shamseldin, 1997; Tokar and Johnson, 1999; Sajikumar and Thandaveswara, 1999; Gautam et al., 2000; Chang and Chen, 2001; Zhang and Govindaraju, 2003) and river salinity (Maier and Dandy, 1996). ANNs have also been used for representing soil and water processes including soil moisture fluctuation (Altenford, 1992), groundwater cleanup strategies (Ranjithan et al. 1993), water table fluctuations (Shukla et al., 1996; Yang et al., 1996), pesticide movement in soils, (Yang et al., 1997), drainage pattern determination from a digital elevation model (Kao, 1996) and water table management (Yang et al., 1998). Applications of ANNs were widely reported in the hydrological literature (French et al., 1992; Raman & Sunilkumar, 1995; Maier & Dandy, 1996; Coulibaly et al., 2000; Persson et al., 2001). An exhaustive review investigating the role of ANNs in various branches of hydrology and a comparison of the ANN and other modeling philosophies in hydrology is reported in a two-part publication by the American Society of Civil Engineers (ASCE) Task Committee on the Application of Artificial Neural Networks in Hydrology (ASCE, 2000a,b) and by Dawson and Wilby (2001). 4. Applications of ANN in Rainfall – Runoff Modeling The rainfall-runoff process is an extremely complex, dynamic, non-linear, and fragmented physical process that is not clearly understood and is very difficult to model. A number of researchers have investigated the potential of neural networks in modeling watershed runoff based on rainfall inputs. The problem of rainfall-runoff modeling lends itself admirably to ANN applications. The nonlinear nature of the relationship, availability of long historical records, and the complexity of physically-based models in this regard, are some of the factors that have caused researchers to look at alternative models and ANNs have been found to be a logical choice. Majority of studies have proven that ANNs are able to outperform traditional statistical techniques to model rainfall-runoff relationships (e.g., Hsu et al., 1995; Shamseldin, 1997; Sajikumar and Thandaveswara, 1999; Tokar and Johnson, 1999; Thirumalaiah and Deo, 2000; Toth et al., 2000) and to produce comparable results to conceptual rainfall- runoff models (e.g., Hsu et al., 1995; Tokar and Markus, 2000; Dibike and Solomatine, 2001). The field of rainfall-runoff modeling using ANNs is nevertheless is still in an early stage of development and remains a topic of ongoing research (e.g., Jain and Srinivasulu, 2004; Rajurkar et al., 2004 Thirumalaiah, 2000; Xu, 2002; Shivakumar, 2002; Cigizoglu, 2003; and Xiong, 2002).
  • 136.
    Annex 2.11 WATER RESOURCESA2.1-37 References: ASCETask Committee on Application of Artificial Neural Networks in Hydrology, 2000a. Artificial neural networks in hydrology. I: Preliminary concepts. Journal of Hydrologic Engineering., 5 (2), 115-123. ASCE Task Committee on Application of Artificial Neural Networks in Hydrology, 2000b. Artificial neural networks in hydrology. II: Hydrologic applications. Journal of Hydrologic Engineering., 5 (2), 124–137. Dawson, C. W. and Wilby, R. 1998. An artificial neural network approach to rainfall- runoff modeling. Journal of Hydrological Sciences., 43 (1), 47–66. Dibike, Y. B. and Solomatine, D. P. 2001. River flow forecasting using artificial neural networks. Journal of Physical Chemistry., Earth, Part B: Hydrol. Oceans Atmos. 26 (1), 1–8. Gautam, M. R., Watanabe, K. and Saegusa, H. 2000. Runoff analysis in humid forest catchment with artificial neural network. Journal of Hydrology., 235, 117–136. Raghuwanshi, N. S., Singh, R. and Reddy, L. S. 2006. Runoff and sediment yield modeling using artificial neural networks: upper Siwane River, India. Journal of Hydrologic Engineering., 11(1), 71-79. Rajurkar, M. P., Kothyari, U. C. and Chaube, U. C. 2004. Modeling of the daily rainfall– runoff relationship with artificial neural network. Journal of Hydrology., 285, 96–113 Raman, H. and Sunilkumar, N. 1995. Multivariate modelling of water resources time series using artificial neural networks. Hydrological Sciences Journal., 40, 145–163. Sharma, S. K. and Tiwari, K. N. 2009. Bootstrap based artificial neural network (BANN) analysis for hierarchical prediction of monthly runoff in Upper Damodar Valley Catchment. Journal of Hydrology. 374, 209-222. Shamseldin, A. Y. 1997. Application of a neural network technique to rainfall–runoff modelling. Journal of Hydrology., 199, 272–294. Sudheer, K. P., Gosain, A. K. and Ramasastri, K. S. 2002. A data-driven algorithm for constructing artificial neural network rainfallerunoff models. Hydrological Processes., 16, 1325-1330. Tokar, A. S. and Markus, M. 1997. Artificial neural networks and conceptual models in water management of small basins in the central United States. Proc., 3rd Int. Conf. on FRIEND, International Association of Hydrological Sciences, Wallingford, U.K.
  • 137.
    Project: Development ofHydrological Design Aids (Surface Water) under HP-II Document: 2009097/WR/REP-02 July 2010 State of the Art Report Revision: R0 Annexure 2.2-1 A2.2‐1    1. PRACTICES BY STATE GOVERNMENTS So far the states of West Bengal, Himachal Pradesh and Rajasthan have provided inputs for the practices prevalent in their respective States. Following is very brief methodology being practiced in respect of assessment of design flood for their projects. i. Himachal Pradesh: - In Himachal Pradesh the design flood is generally obtained by empirical formulae/rational formula. The full channel capacity is also worked out from river sections approval from Central Water Commission is obtained for major projects for which the assessment is made by various standard methods as feasible on case to case basis. ii. Rajasthan: - The design flood for major projects is estimated using hydrometerological approach and got approved from Central Water Commission. The categorization of projects is done as per classification given in BIS specification IS-11223-1985.The 1day, 2day, 3day SPS storms and PMP and their temporal distribution are obtained from India Meteorological Department. The infiltration losses and baseflow are generally based on Sub-Zonal reports of Central Water Commission as under. Sl.No Sub-Zobe Name Loss rate in C.m/hr Base flow in C.m/hr 1 Chambal 1(b) 0.17 0.207/A0.290 2 Luni 1(a) 0.50 0.05 3 Upper Ganga 1(e) 0.30 0.05 4 Mahi & Sabarmati 3(a) 0.45 0.108xA-0.126 For small projects having catchments less than 25 sq.km design flood is computed using publication “Flood estimation methods for catchments less than 25 sq.km”. Reservoir routing is done by Modified Pulse method for determining spillway capacity. iii. West Bengal: - For large catchments PMP atlas prepared by IITM is used. The methodology followed is generally as given in the publication of Mutreja and Pidmont and CWC manual for large projects.
  • 138.
    Project: Development ofHydrological Design Aids (Surface Water) under HP-II Document: 2009097/WR/REP-02 July 2010 State of the Art Report Revision: R0 Annexure 2.2-2 A2.2‐2    1 FLOOD FORMULAE 1.1 Commonly used Formulae 1. Dicken’s Q = C. A 3/4 Where, Q = discharge m3 /s A = Area in sq.km C = 6 for North-Indian Plains = 11-14 North-Indian Plains = 14-28 Central India = 22–28 Coastal Andhra & Orisa Also there is UPIRI Formulae to find C (Developed by Irrigation Research Institute, Roorkee based on frequency studies on Himalayan Rivers) C =2.342 log (0.6T) X log (1185/P) + 4 Where P = [(a+b)/(A+a)] X 100 a = perpetual snow area(sq.km) A+a = Total catchment area (sq.km) 2. Ryve’s Q = C. A 2/3 Where, Q = discharge m3 /s A = Area in sq.km C = 6.8 for areas within 80 km from east coast = 8.3 for areas 80-2400 km from coast = 10.2 limited areas near hills 3. Graig Q = 10 c.v. I x ln (4.97 L) Where, C = Coefficient of discharge V = Velocity in m/sec I = rainfall in cm C = 0.12 to 0.18
  • 139.
    Project: Development ofHydrological Design Aids (Surface Water) under HP-II Document: 2009097/WR/REP-02 July 2010 State of the Art Report Revision: R0 Annexure 2.2-2 A2.2‐3    4. Ingis Q = 124 A/(A+10.4) Where, Q in cumec & A in sq.km. Derived on the basis of rivers in Maharashtra 5. Ali Nawarjung Q = C (0.386x 0.95-(1/14)logA) Where C value varies from 49 to 60, Lower value for South India and higher values for North India 6. Creager formula Q = C (0.386 A)0.804 (0.0386 A) -0.048 Where, Q in cumec & A in sq.km. For North/South India 7. G.C. Khanna Q = 0.42 A Where, Q in cumec & A in sq.km. Used for Hilly Areas > 1600 sq.km. 8. Boston Society Q = C.R.A Where, Q in cumec A in sq.km. R = average runoff for catchment from worst storm(cm/day) C = 0.20 TO 50
  • 140.
    Project: Development ofHydrological Design Aids (Surface Water) under HP-II Document: 2009097/WR/REP-02 July 2010 State of the Art Report Revision: R0 Annexure 2.2-3   A2.2‐4    1 PROBABILISTIC APPROACH FOR ESTIMATION OF DESIGN FLOOD 1.1 General: Generally flood frequency approach is adopted in case data of peak floods are available for large of period of record. Sometimes if it is not possible to undertake hydro meteorological study for estimation of design flood/PMF or even structures of comparatively lesser important/damage potential and when discharge data of a gauging station in upstream, downstream or adjacent basin are not available, this out annual peak discharges or partial duration series. The frequency analysis approach is resorted. Following steps/methods are proposed based on prevailing practices in India and other developed countries including USA, UK with Wallingford. 1.2 Steps for probabilistic approach/ flood frequency analysis: The different steps involved in probabilistic approach of flood estimation are given below and presented in flow diagram. i. Data Processing ii. Parameter Estimation for different distributions (Normal, Lognormal, Pearson III, Log Pearson III, Gumbel and GEV) using Method of moments, method of maximum likelihood, Probability weighted moments and L-moments approach iii. Goodness of fit tests to find the best fit distribution iv. T-year flood calculation using the selected best fit distribution v. Graphic representation of original series and selected distribution with its confidence bands
  • 141.
    Project: Development ofHydrological Design Aids (Surface Water) under HP-II Document: 2009097/WR/REP-02 July 2010 State of the Art Report Revision: R0 Annexure 2.2-3   A2.2‐5    Flow chart for steps involved in flood frequency analysis.
  • 142.
    Project: Development ofHydrological Design Aids (Surface Water) under HP-II Document: 2009097/WR/REP-02 July 2010 State of the Art Report Revision: R0 Annexure 2.2-3   A2.2‐6    1.3 Data Input Requirement (a) Data are characteristic of the sample population. (b) The data represents random events. (c) The natural process of the variable to be stationary with respect to time (d) Events in the given sample belong to a homogeneous population. Two types of data are generally available for flood frequency analysis like: (i) annual peak flood series and (ii) partial duration series in case of limited years of data. Generally a length of 30-35 years is considered adequate for flood frequency analysis. But, the data used for analysis should not have any effect of man made changes like deforestation, urbanization, flood control works, earthquakes etc. 1.4 Probabilistic Distributions Recommended to be included in Hydrological Aids The following distribution will be considered in Hydrological Aids as per the literature review conducted and the recommendations made.
  • 143.
    Project: Development ofHydrological Design Aids (Surface Water) under HP-II Document: 2009097/WR/REP-02 July 2010 State of the Art Report Revision: R0 Annexure 2.2-3   A2.2‐7    Below Table provides the probability density function (pdf) and Cumulative distribution function (cdf) of all the above mentioned distributions with their parameters involved. In India log normal distribution with two and three parameters, Pearson type III, log Pearson type III, and Gumbel distribution are being generally used. However the General Extreme Value (GEV) planned to be included along with the CWC specified distributions in Hydrological Aids. Sl Probability distribution Probability density function(pdf) and cumulative distribution function (cdf) Parameters of the distribution 1. General Extreme Value (GEV) The Probability density function of GEV Distribution : Probability Distribution Function of GEV distribution: u, α and k are the location, scale and shape parameters respectively. 2. Pearson Type-III The pdf of Pearson type III distribution: ( ) ⎟ ⎠ ⎞ ⎜ ⎝ ⎛ − − − ⎟ ⎠ ⎞ ⎜ ⎝ ⎛ − Γ = α γβ α γ βα x e x xf 1 1 )( CDF of P-III distribution: ( ) ⎟ ⎠ ⎞ ⎜ ⎝ ⎛ − − − ∫ ⎟ ⎠ ⎞ ⎜ ⎝ ⎛ − Γ = α γβ γ α γ βα xx e x xF 1 1 )( γ, α and β location, scale and shape parameters respectively 3. Log Pearson Type-III The pdf of a log Pearson type III distribution is given by ( ) ⎭ ⎬ ⎫ ⎩ ⎨ ⎧ − − − ⎥⎦ ⎤ ⎢⎣ ⎡ − Γ = α γβ α γ βα x e x x xf log1 log1 )( The distribution function of the log-Pearson distribution is given below: ( )∫ ⎭ ⎬ ⎫ ⎩ ⎨ ⎧ − − − ⎥⎦ ⎤ ⎢⎣ ⎡ − Γ = x x dxe x x xF 0 log1 log11 )( α γβ α γ βα
  • 144.
    Project: Development ofHydrological Design Aids (Surface Water) under HP-II Document: 2009097/WR/REP-02 July 2010 State of the Art Report Revision: R0 Annexure 2.2-3   A2.2‐8    Sl Probability distribution Probability density function(pdf) and cumulative distribution function (cdf) Parameters of the distribution 4. Log Normal The pdf of a LN2 distribution is given by [ ] ⎪⎭ ⎪ ⎬ ⎫ ⎪⎩ ⎪ ⎨ ⎧ −− = y y y x x xf σ μ πσ 2 log exp 2 1 )( 2 The normally distributed variable becomes log(x-a) with the pdf of LN 3 distribution ( ) ( )[ ⎪⎩ ⎪ ⎨ ⎧ −−− − = 2 log 2 1 exp 2 1 )( yy ax ax xf μ σπσ µy and σy are the mean and standard deviation of the natural logarithms of x. µy and σy are the location and scale parameters of 5. Normal The pdf of Normal distribution is given by ( )2 2 2 1 2 1 )( μ σ πσ −− = x exf The variable x can take any value in the range (-∞, +∞). The CDF of this distribution is: ∫∞− ⎥ ⎥ ⎦ ⎤ ⎢ ⎢ ⎣ ⎡ ⎟ ⎠ ⎞ ⎜ ⎝ ⎛ − −= x x xF 2 2 1 exp 2 1 )( σ μ πσ µ and σ are the location and scale parameters of the distribution. 6. Gumbel The probability density function (pdf) of this distribution: ⎥ ⎥ ⎦ ⎤ ⎢ ⎢ ⎣ ⎡ −⎟ ⎠ ⎞ ⎜ ⎝ ⎛ − −= ⎟ ⎠ ⎞ ⎜ ⎝ ⎛ − − α αα ux e ux xf exp 1 )( The variable x takes values in the range <∝∝<− x . The distribution function of x is ⎥ ⎥ ⎦ ⎤ ⎢ ⎢ ⎣ ⎡ −= ⎟ ⎠ ⎞ ⎜ ⎝ ⎛ − − α βx exF exp)(
  • 145.
    Project: Development ofHydrological Design Aids (Surface Water) under HP-II Document: 2009097/WR/REP-02 July 2010 State of the Art Report Revision: R0 Annexure 2.2-3   A2.2‐9    1.5 CHARACTERISTICS OF SOME DISTRIBUTIONS The basic characteristics of the commonly used probability distributions in India are summarized below, which may help in choice of appropriate probability distribution. • Normal distribution: i. skew should be close to zero ii. Kurtosis should be close to 3 • Log Normal with 2-parameters: i. Skew of original data must be positive ii. Skew of logs should be close to zero iii. Kurtosis of logs of (xi –x0) should be close to 3 • Gumbel distribution: i. Skew should preferably be around 1.139 ii. Kurtosis should be close to 5.4 1.6. Parameter Estimation Techniques A number of methods can be used for parameter estimation. These include the method of moments (MOM), the maximum likelihood method (MLM), the probability weighted moments method (PWM), the least squares method (LS), maximum entropy (ENT), mixed moments (MIX), the generalized method of moments (GMM), and incomplete means method (ICM). Three of the more commonly used methods are considered here, namely, the method of moments (MOM), the maximum likelihood method (MLM), L-moments Approach and the probability weighted moments method (PWM). The maximum likelihood method (MLM) is considered the most efficient method since it provides the smallest sampling variance of the estimated parameters, and hence of the estimated quantiles, compared to other methods. However, for some particular cases, such as the Pearson type III distribution, the optimality of the ML method is only asymptotic and small sample estimates may lead to estimates of inferior quality (Bobee and Ashkar, 1991). Also the ML method has the disadvantage of frequently giving biased estimates but these biases can be corrected. Furthermore, it may not be possible to get ML estimates with small samples, especially if the number of parameters is large. The ML method requires higher computational efforts, but with the increased use of high speed personal computers, this is no longer a significant problem. The method of moments (MOM) is a natural and relatively easy parameter estimation method. However, MOM estimates are usually inferior in quality and generally are not as efficient as the ML estimates, especially for distributions with large number of parameters (three or more), because higher order moments are more likely to be highly biased in relatively small samples. The PWM method (Greenwood et al., 1979; Hosking, 1986a) gives parameter estimates comparable to the ML estimates, yet in some cases the estimation procedures are much less complicated and the computations are simpler. Parameter estimates from small samples using PWM are sometimes more accurate than the ML estimates (Landwehr et al., 1979c). Also, In
  • 146.
    Project: Development ofHydrological Design Aids (Surface Water) under HP-II Document: 2009097/WR/REP-02 July 2010 State of the Art Report Revision: R0 Annexure 2.2-3   A2.2‐10    some cases, such as the symmetric lambda and Weibull distributions, explicit expressions for the parameters can be obtained by using PWM, which is not the case with the ML or MOM methods. Kebaili- Bergaoui (1994) showed that the ML and ME methods of parameter estimation for Weibull, P(3), Galton, and Gumbel distributions are a particular case of generalized method of moments. 1. Method of Moments (MOM) Estimates of the parameters of a probability distribution function are obtained in the MOM by equating the moments of the sample with the moments of the probability distribution function. For a distribution with k parameters, α1, α2, ….., αk which are to be estimated, the first k sample moments are set equal to the corresponding population moments that are given in terms of unknown parameters. These k equations are then solved simultaneously for the unknown parameters, α1, α2, ….., αk . 2. Method of Maximum Likelihood (MLM) Estimation by the ML method involves the choice of parameter estimates that produce a maximum probability of occurrence of the observations. For a distribution with a probability density function (pdf) given by f(x) and parameters α1, α2, ….., αk, the likelihood function is defined as the joint pdf of the observations conditional on given values of the parameters α1, α2, ….., αk in the form: The values of α1, α2, ….., αk that maximize the likelihood function are computed by partial differentiation with respect to α1, α2, ….., αk and setting these partial derivatives equal to zero as in Eq. 4.2.2. The resulting set of equations are then solved simultaneously to obtain the values of α1, α2, ….., αk, = 0; i = 1, 2, …, k In many cases it is easier to maximize the natural logarithm of the likelihood function by using 3. Method of Probability Weighted Moments (PWM) Parameter estimates are obtained in this method, as in the case of MOM, by equating moments of the distributions with the corresponding sample moments. For a distribution with k parameters, φ1, φ2, ... , φk, which are to be estimated, the first k sample moments are set equal to the corresponding population moments. The resulting equations are then solved simultaneously for the unknown parameters φ1, φ2, ... , φk. 4. L-Moments Approach Hosking and Walls (1997) state that L-moments are an alternative system of describing the shapes of probability distributions. Historically they arose as modifications of the probability
  • 147.
    Project: Development ofHydrological Design Aids (Surface Water) under HP-II Document: 2009097/WR/REP-02 July 2010 State of the Art Report Revision: R0 Annexure 2.2-3   A2.2‐11    weighted moments (PWMs) of Greenwood et al. (1979). Probability weighted moments are defined as: Which can be rewritten as: Where F= F (x) is the cumulative distribution function (CDF) for x, x(F) is the inverse CDF of x evaluated at the probability F, and r = 0, 1, 2, …, is a nonnegative integer. When r = 0, β0 is equal to the mean of the distribution π = E [x]. For any distribution the rth L-moment λ0 is related to the rth PWM (Hosking, 1990) through For example, the first four L-moments are related to the PWMs using: λ1= β0 λ2= 2β1- β0 λ3= 6β2- 6β1+β0 λ4= 20β3- 30β2+12β1+β0 Hosking (1990) defined L-moment ratios as: L-coefficient of variation, L-CV (τ2) = λ2/ λ1 L-coefficient of skewness, L-skew (τ3) = λ3/ λ2 L-coefficient of kurtosis, L- kurtosis (τ4) = λ4/ λ2 Zafirakou- Koulouris et al. (1998) mention that like ordinary product moments, L-moments summarize the characteristics or shapes of theoretical probability distributions and observed samples. Both moment types offer measures of distributional location (mean), scale (variance), skewness (shape), and kurtosis (peakedness). The authors further mention that L-moments offer significant advantages over ordinary product moments, especially for environmental data sets, because of the following: • L-moment ratio estimators of location, scale and shape are nearly unbiased, regardless of the probability distribution from which the observation arise (Hosking, 1990). • L-moment ratio estimators suh as L-Cv L-skewness, and L-kurtosis can exibit lower bias than conventional product moment ratios, especially for high skewed samples. • The L-moment ratio estimators of L-Cv L-skewness do not have bounds which depend on sample size as do the ordinary product moment ratio estimators of Cv and skewness. • L-moment estimators are linear combinations of the observations and thus are less sensitive to the largest observations in a sample then product moment estimators, which square or cube the observations • L- moment ratio diagrams are particularly good at identifying the dicributional properties of highly skewed data, whereas ordinary product moment diagrams are almost useless for this task (Vogel and Fennessey, 1993). 
  • 148.
    Project: Development ofHydrological Design Aids (Surface Water) under HP-II Document: 2009097/WR/REP-02 July 2010 State of the Art Report Revision: R0 Annexure 2.2-3   A2.2‐12    1.7 GOODNESS OF FIT TESTS: For understanding the applicability of the particular distribution the following methods are commonly used. 1. Chi-square test Chi-square test is a goodness of fit test to decide about the applicability of a particular distribution and calculated as Where, K = number of class intervals for sample N; Oi = sample absolute frequency in the ith class interval; Ei = Expected value of absolute frequency in the ith class interval. The number of classes are selected in such a way as there are at least 4-6 observations in each class. The number of classes should not be more than 20 and lesser than 5. The classes can be divided in two ways. (i) equal probability and (ii) equal interval. 2 cχ is compared with 2 criticalχ . ( ) ( ) 2 1,1 2 −−−= kLcritical αχχ where, L=Length of Data, K = Degree of Freedom, α = significant level 22 criticalc χχ < , the Hypothesis that the distribution fits the data at 90% confidence level is accepted. For 2 criticalχ standard tables are available. 2. Kolmogorov-Smirnov test The test statistic D is defined as: Where, Fe(yi) : Empirical CDF of yi. FD(yi): Computed CDF from distribution If D<Dα t , then particular distribution is accepted. Where, α: significance level ( ) i ii K ii E EO c 2 2 − =∑= χ ( ) ( )( )iDie N i yFyFD Max −= −1
  • 149.
    Project: Development ofHydrological Design Aids (Surface Water) under HP-II Document: 2009097/WR/REP-02 July 2010 State of the Art Report Revision: R0 Annexure 2.2-3   A2.2‐13    3. Cramer Von Mises (CvM) The test derives from Kolmogorov statistics and its applicability rules are based on Kolmogorov theorem. The Cramer-von Mises test is an EDF omnibus test for the composite hypothesis of normality. The test statistic is W = frac{1}{12 n} + sum_{i=1}^{n} (p_{(i)} - frac{2i-1}{2n}), Where, p_{(i)} = Phi([x_{(i)} - overline{x}]/s). Here, Phi is the cumulative distribution function of the standard normal distribution, and overline{x} and s are mean and standard deviation of the data values. The p-value is computed from the modified statistic Z=W (1.0 + 0.5/n) according to Table 4.9 in Stephens (1986). 4. Anderson-Darling Criterion (ADC) The Anderson-Darling criterion has the form (see Laio et al., 2008; Di Baldassarre et al., 2008): if 1:2_j _ _AD;j , where _AD;j is the discrepancy measure characterizing the criterion, the Anderson-Darling statistic: and _j , _j and _j are distribution-dependent coe_cients that are tabled by Laio (2004, Tables 3 and 5) for a set of seven distributions commonly employed for the frequency analysis of extreme events. In practice, after the computation of the ADCj , for all of the operating models, one selects the model with the minimum ADC value, ADCmin. The above model selection technique has been developed by Alberto Viglione and presented in his paper Model selection techniques for the frequency analysis of hydrological extremes in 2008. This appears to be an important study which will assist in verifying whether AIC and BIC work correctly when they are applied for identifying probability distributions of hydrological extremes ie., when the available samples are small and the parent distribution is highly asymmetric and additional model selection criteria based on ADC goodness of fit test statistic has also been proposed and the performance of the three models are compared and found very highly promising. These methods will also be attempted while preparing hydrological aids.
  • 150.
    Project: Development ofHydrological Design Aids (Surface Water) under HP-II Document: 2009097/WR/REP-02 July 2010 State of the Art Report Revision: R0 Annexure 2.2-4 A2.2‐14    1 DETERMINISTIC OR HYDROMETEOROLOGICAL APPROACH FOR ESTIMATION OF DESIGN FLOOD 1.1 General: The concept of Unit Hydrograph was first proposed by Sherman (1932). In this hydro meteorological approach the design storm rainfall runoff relation is developed through response function of the catchment of basin. This may be represented either in a comprehensive way by catchment module or simple form by UH. This has come to be most commonly used tool for estimation of design flood hydrograph. 1.2 Flow Chart of Deterministic/Hydrometeorological Approach for Estimation of Design Flood 1.3 Methodology for Deterministic Approach Different steps involved are, 1) Determination of response function of the Basins/Sub-basins 2) Storm analysis of extreme storms to determine PMP and SPS
  • 151.
    Project: Development ofHydrological Design Aids (Surface Water) under HP-II Document: 2009097/WR/REP-02 July 2010 State of the Art Report Revision: R0 Annexure 2.2-4 A2.2‐15    3) Computation of flood hydrograph i. Direct Runoff Hydrograph by Convolution of Unit Hydrograph and Design Rainfall ii. Calculation of Baseflow Hydrograph iii. Flood Routing iv. Final Design Flood Hydrograph by adding Direct runoff hydrograph and Baseflow Hydrograph 1.3.1 Determination of response function of the Basins/Sub-basins Different procedures are proposed for derivation of response function under different conditions of data availability. There can be mainly two types of catchments i. Gauged Catchments ii. Ungauged Catchments 1.3.1.1 Gauged Catchments There can be two types of storm data available i) Storms with an Isolated Peak ii) Complex Flood Hydrograph i) Unit Hydrograph Derivation from a hydrograph with isolated peak Steps involved are, i) Inspection of discharge record and identification of events with isolated well defined and single peak with considerable runoff volume ii) Processing of hourly gauge data and converting them in discharge with the help of rating curve corresponding to each of the identified flood hydrograph iii) Separation of baseflow and computation of direct runoff hydrograph ordinates by deducting baseflow ordinates from the corresponding observed flood hydrograph ordinates iv) Determination of the volume of the direct runoff and hence the effective rainfall depth v) Scanning and analysis of the rainfall data of all the raingauge station in and around the basin with a view to: a. ensure that uniform rain has occurred over the entire basin; and b. estimate the duration of the effective rainfall vi) Estimation of the ordinates of the unit hydrograph by dividing the ordinates of the direct runoff hydrograph by effective rainfall. The unit duration of the unit hydrograph will be of the duration of the effective rainfall as worked out in step: (v). ii) Derivation of UH from complex hydrograph Generally single sharp peak hydrograph resulting from intense and uniform rainfall in a very short interval of time are rarely available. In most of the cases the effective rainfall duration is relatively large with varying intensity of rainfall and time. In such cases most commonly used methods for analysis are: • Instantaneous Unit Hydrograph (Nash Model) • Collins Method • Clark’s Method
  • 152.
    Project: Development ofHydrological Design Aids (Surface Water) under HP-II Document: 2009097/WR/REP-02 July 2010 State of the Art Report Revision: R0 Annexure 2.2-4 A2.2‐16    Instantaneous Unit Hydrograph (IUH) Derivation of IUH (Nash Model) There are various methods for the determination of an IUH from the given effective rainfall hyetograph and direct runoff hydrograph. But the most commonly used is the Nash model (1957). Nash proposed a conceptual model by considering a drainage basin as ‘n’ identical linear reservoirs in series. By routing a unit inflow through the reservoirs a mathematical equation for IUH can be derived. The ordinate of the IUH at time t is given by, U(t) = (1/K(n-1) ) (t/K)n-1 e-t/k Where, n = no. of reservoir; and K = a reservoir constant, called storage coefficient The values of ‘K’ and ‘n’ in Nash Model can be evaluated by the method of moments using the following relations: MDRH1-MERH1 = nK MDRH2-MERH2 = n(n+1)K2 + 2nK MERH1 where, n = no. of reservoir; and K = a reservoir constant, called storage coefficient The values of ‘K’ and ‘n’ in Nash Model can be evaluated by the method of moments using the following relations: MDRH1-MERH1 = nK MDRH2-MERH2 = n(n+1)K2 + 2nK MERH1 where, MDRH1 = first moment arm of DRH MERH1 = first moment arm of ERH MDRH2 = second moment arm of DRH MERH2 = second moment arm of ERH The unit of the ordinate of IUH is per sec. (sec.-1 ). When the ordinates are multiplied by the total volume of runoff (in cubic meters) resulting from 1mm of rainfall over the catchment area, the unit will be cumec. Derivation of Unit Hydrograph from IUH For finding the unit hydrograph from IUH the area under the IUH is plotted with respect to time at the point. Thus line XY in Fig.7.8 represents the area ABB’C in Fig. 7.7. This will give an S- Curve. If a unit hydrograph of T hour duration is required, the S-Curve is shifted by T-hour and the difference in the ordinates of the two S-curves is found and divided by T. The resulting curve forms the unit hydrograph of T-hour duration Unit Hydrograph Determination by Collins method The basic steps of this method are: i) Assure a unit hydrograph and apply it to all the effective rainfall blocks of the ERH excepting the largest block. ii) Find out the resulting hydrograph and subtract ordinates from the corresponding ordinates of the actual direct runoff hydrograph. iii) Divide the ordinates of the residual hydrograph by the largest block of effective rainfall to get the unit hydrograph
  • 153.
    Project: Development ofHydrological Design Aids (Surface Water) under HP-II Document: 2009097/WR/REP-02 July 2010 State of the Art Report Revision: R0 Annexure 2.2-4 A2.2‐17    iv) Compute the weighted average of the assumed unit hydrograph and the residual unit hydrograph and use it as the revised approximation for the next trial. v) Repeat all the previous steps until the residual unit graph does not differ by more than a permissible amount from assumed unit hydrograph. Clark’s Unit Hydrograph Method Time-area unit hydrograph theory establishes a relationship between the travel time and a portion of a basin that may contribute runoff during that travel time. Clark (1945) is one of early examples of this method. The U. S. Army Corps of Engineers at the Hydrologic Engineering Centre (HEC 1996) provide a description of a modified time-area approach, known as the ModClark method, which is part of the recently released HEC-HMS computer model (HEC 199x). In a time-area approach, the watershed is traditionally broken into areas of approximately travel time. These lines of equal travel time are known as isochrones. The mean travel time of each sub- area is calculated and the resulting time-area curve is produced. Most of the "time-area" methods utilize a common, basic approach in determining the final unit hydrograph. Summing the incremental areas and corresponding travel times enables the formation of a cumulative time-area curves. Thus, the total time can be thought of as the time of concentration of the watershed with 100% of the basin area being accounted for at the time of concentration. Each of the partial areas (between isochrones) responds in the time associated with that area. Therefore, the cumulative time-area curve is a summation of the individual areas. The contributions of the individual areas can be illustrated with a histogram. One can visualize a uniform depth of water (1" for a unit hydrograph) on each of the zones within the isochrones. The volume of water of each area reaches the outlet at the travel time associated with that area. This is effectively a volume over a time period, which is a flow. The time-area histogram is really a translation hydrograph because the volume of water on each area within the basin is simply "translated" to the outlet using the associated travel time for the translation time. A this point, a unit hydrograph (in discrete form) exists. This "instantaneous" unit hydrograph is the result of 1-inch of instantaneous excess precipitation being placed on the individual areas and then translated to the outlet of the basin, arriving at the time associated with the travel time of area. Watersheds also have the ability to store and delay the flow that passes through. This storage effect is seen in reservoirs as they attenuate a hydrograph. The instantaneous unit hydrograph (IUH) is then calculated by routing the translation unit hydrograph the linear reservoir, having a routing coefficient, R. This is accomplished by the following equation : Where: IUHi = ordinate of the instantaneous unit hydrograph
  • 154.
    Project: Development ofHydrological Design Aids (Surface Water) under HP-II Document: 2009097/WR/REP-02 July 2010 State of the Art Report Revision: R0 Annexure 2.2-4 A2.2‐18    Ii = Value at time I of the translation unit hydrograph and Where ∆t = the time step used in the calculation of the translation unit hydrograph. The routed unit hydrograph is still considered to be an instantaneous unit hydrograph. A final unit hydrograph of a given duration can be found by lagging the instantaneous unit hydrograph by the desired duration and averaging the ordinates. The desired duration must be a multiple of the original time step employed in the computations Linear Reservoir Coefficient Estimation The linear reservoir coefficient is very difficult to estimate. The most appropriate and desirable method of estimation is to utilize stream flow data and estimate the parameter as previously discussed. Clark (1945) provided a means of estimating R by considering a measured hydrograph and calculating R by :    Where: Q, dQ, and dt are measured at the inflection point on the recession limb of a hydrograph at the gauge site. The routing coefficient, R, may also be estimated by dividing the volume under the recession limb by the flow at the inflection point on the recession limb (HEC 1982). In ungauged basins, it is possible to estimate the reservoir routing coefficient from a nearby basin (or a nested basin) and apply it to the ungauged basin. In case of ungauged basin it is necessary to estimate the coefficient from a number of nearby basins and perform a linear regression analysis including such parameters as area, slope, channel information, etc.. With this in mind, it is obviously preferred that the user performs some type of analysis to estimate the linear storage parameter in some a priori manner for the basin or a nearby basin. In the absence of all other inputs, the longest travel time from the any cell to the basin outlet may be used to estimate the routing coefficient (Wanielista, Kerten, & Eaglin 1997). From experience and personal contact with other researchers and engineers, a value of 0.7 times the longest travel time may be used for the value of the linear routing coefficient. The optimization technique available in HEC-HMS can be used to obtain the parameters of Clark model. 1.3.1.2 Ungauged Catchments In this case derivation of Unit Hydrograph is carried out synthetically using the Catchment characteristics Synthetic Unit Hydrograph Commonly used methods for derivation of Synthetic unit hydrograph are
  • 155.
    Project: Development ofHydrological Design Aids (Surface Water) under HP-II Document: 2009097/WR/REP-02 July 2010 State of the Art Report Revision: R0 Annexure 2.2-4 A2.2‐19    i) Snyder’s Method ii) Transposition of Unit Hydrograph Method iii) Using Formulae developed by CWC as adopted in the Flood Estimation Reports of various sub-zones of India iv) GIUH i) Snyder’s synthetic unit hydrograph A standard unit hydrograph is associated with a specific effective rainfall duration, tr, defined by the following relationship with basin lag, tl, .......................(1) For a standard unit hydrograph the basin lag, tl, and the peak discharge, qp, are given by, .............................(2) ..........................................(3) The basin lag time of the standard unit hydrograph (equation 2) is in hours, L is the length of the main stream in kilometers (miles) from the outlet to the upstream divide, Lc is the distance in kilometers (miles) from the outlet to a point on the stream nearest the centroid of the watershed area, and C1 = 0.75 (1.0 for English units). The product LLc is a measure of watershed shape. Ct is a coefficient derived from gauged watersheds in the same region, and represents variations in watershed slopes and storage characteristics. The peak discharge of the standard unit hydrograph (equation 3) is in m3 /s (cfs), A is the basin area in km2 (mi2 ), and C2 = 2.75 (640 for English units). As Ct, Cp is a coefficient derived from gauged watersheds in the area, and represents the effects of retention and storage. Estimation of Model Parameters Cp and Ct: As in any model parameter estimation problem, observations of the input (i.e., effective precipitation) and the output (i.e., direct runoff hydrograph) must be available. In addition, the values of L and Lc must also be available (e.g., from surveys, maps, etc.). From the concurrent input-output observations, a unit hydrograph for the basin in question, a so-called derived unit hydrograph, can be developed. From the derived unit hydrograph of the watershed, values of its associated effective duration tR in hours, its basin lag tlR in hours, and its peak discharge qpR in m3/s are obtained. If tlR = 5.5tR, then the derived unit hydrograph is a standard unit hydrograph and tr = tR, tl = tlR, and qp = qpR, and Ct and Cp are computed by the equations for tl and qp given above (equations 2 and 3), corresponding to the standard unit hydrograph.
  • 156.
    Project: Development ofHydrological Design Aids (Surface Water) under HP-II Document: 2009097/WR/REP-02 July 2010 State of the Art Report Revision: R0 Annexure 2.2-4 A2.2‐20    If tlR is quite different from 5.5tR , the basin lag of the standard unit hydrograph for the basin is computed using: ...................................(4) This equation must be solved simultaneously with the equation for the standard unit hydrograph lag time, tl = 5.5tr, in order to obtain tr and tl. With these values of tr and tl. the value of Ct is obtained using equation (2) for tl corresponding to the standard unit hydrograph; the value of Cp is obtained using the expression for qp corresponding to the standard unit hydrograph, but using qp = qpR and tl = tlR. When an ungauged watershed appears to be similar to a gauged watershed, the coefficients Ct and Cp for the gauged watershed are used in homogeneous for the ungauged basin sto derive the required synthetic unit hydrograph for the ungauged watershed. As per CWC Manual Estimation of Design Flood, 2001 Snyder’s Method is not used in India now. So this is not necessary to include it in Hydrology Design Aids. ii) Transposition of Unit Hydrograph If unit hydrographs are available for several areas adjacent to a basin for which a unit hydrograph is required but for which necessary data are lacking then transposition of available unit hydrograph will give better results than Synthetic generation. Commonly used procedure is to derive a Dimensionless Unit Hydrograph and use it for the ungauged catchment. Dimensionless Unit Hydrograph Commonly used steps for generation of a dimensionless unit hydrograph are, i. Reduce the time(hours) scale of the unit hydrograph by dividing by a factor equal to “lag plus semi duration “ and then multiply by 100 ii. Reduce the discharges(cumecs) of unit hydrograph by multiplying them with a factor equal to “ lag plus semi duration” divided by the total direct runoff of the graph in cumec-hours iii) Flood Estimation Reports of CWC As per the CWC sub zonal reports the synthetic unit hydrographs can be calculated. It can be used for small and medium catchments. CWC report Estimation of design Flood,2001 says that these Reports are finding use even for large catchments.
  • 157.
    Project: Development ofHydrological Design Aids (Surface Water) under HP-II Document: 2009097/WR/REP-02 July 2010 State of the Art Report Revision: R0 Annexure 2.2-4 A2.2‐21    iv) Geomorphological Instantaneous Unit Hydrograph (GIUH) The GIUH theory was introduced by Rodriguez-Iturbe and Valdes (1979) by relating the peak discharge and time to peak discharge with the geomorphologic characteristics of the catchment and a dynamic velocity parameter. This method can be used as a transfer function for modeling transformation of excess rainfall into surface runoff, in which excess rainfall is a production function in the hydrologic system. They can also be used to predict / forecast the temporal variation of the surface runoff at the outlet of ungauged basin. Since at many points of interest, the gauge/discharge data may not necessarily available, for such ungauged basins or partially gauged basins this methodology is being used by some agencies/researchers for obtaining the unit hydrograph for ungauged catchments/regionalization. GIS techniques are used for determining the stream ordering and for calculation of the various geomorphologic characteristics like lengths, area of each order stream, etc. Different researchers have used different models to derive the Unit hydrograph from geomorphologic characteristics as given in the following table. Sl No Paper Name Author Model Used for GIUH Derivation 1 Design Flood Estimation Using GIS Supported GIUH Approach Jain et al., (2000) Clark 2 Sensitivity Analysis of the GIUH based Clark Model for a Catchment Kumar et al., (2004) Clark 3 GIUH Based Transfer Function for Gomti River Basin of India Rai et al (2009) Nash 4 Flood Estimation for Ungauged Catchments Using the GIUH Bhasker et al (1997) Nash 5 Runoff estimation for an ungauged catchment using geomorphological instantaneous unit hydrograph (GIUH) models Kumar et al., (2007) Clark, Nash 6 Flood Estimation by GIUH-Based Clark and Nash Models Sahoo et al (2006) Clark, Nash The steps involved in derivation of GIUH are, 1. Determination of Geomorphologic Parameters i. Physical Characteristics of the drainage basin a. Drainage Area b. Basin Shape
  • 158.
    Project: Development ofHydrological Design Aids (Surface Water) under HP-II Document: 2009097/WR/REP-02 July 2010 State of the Art Report Revision: R0 Annexure 2.2-4 A2.2‐22    • Form Factor • Shape factor • Elongation ratio • Circularity ratio • Compactness Coefficient c. Ground Slope d. Centroid ii. Channel Characteristics a. Channel order b. Channel length c. Channel Slope d. Channel Profile e. Drainage Density • Determination of Horton’s Ratio Bifurication Ratio Stream Length Ratio Stream Area Ratio 2. Derivation Of GIUH i. Nash Model ii. Clark Model 1.3.1.3 Derivation of Unit hydrograph of various unit durations There may be two types of cases. i) When unit hydrograph of shorter unit duration “t” is known and a unit hydrograph of longer duration T is to derived where T is a multiple of t i.e., T=nt such that n – 1,2,3……. This can be achieved simply by the principle of supper-imposition. ii) The unit hydrograph can be derived of fractional duration by S-Curve. 1.3.1.4 S-Curve or S-Hydrograph The S-hydrograph is a hydrograph produced by a continuous effective rainfall at a constant rate for an indefinite period. The S-hydrograph can be constructed by summing up a series of identical unit hydrographs spaced at intervals equal to the unit duration of the unit hydrograph. After the S-hydrograph is constructed, the unit hydrograph of a given duration can be derived as follows: Assume that the S-hydrograph is derived which is due to effective rainfall of 1 mm/hour (Fig. 7.10a). Then advance or offset the position of S-hydrographs for a period equal to the desired duration of t hours (Fig.7.10b) and find out the difference between the ordinates of the original S-hydrographs and the offset S-hydrograph (Fig. 7.10c). Generally derivation of UH from various storms may have different unit durations. It is a practice to bring the desired UH to single durations UH. This is done by S-Hydrograph approach. The methodology will be illustrated in HDA program. Normally an average unit hydrograph is obtained and consider for further analysis.
  • 159.
    Project: Development ofHydrological Design Aids (Surface Water) under HP-II Document: 2009097/WR/REP-02 July 2010 State of the Art Report Revision: R0 Annexure 2.2-4 A2.2‐23    1.3.2 Storm analysis of extreme storms to determine PMP and SPS 1.3.2.1 Design Storm Derivation The design storm is the magnitude of rainfall and its distribution which is used to estimate the desired level of design flood. The design storm has three components namely: (i) The rainfall amount (ii) The areal distribution of rainfall and (iii) The time distribution of rainfall In India generally guide to Hydro-Meteorological practices of WMO is being followed. The analysis of storms tracks is being done by Indian Meteorological Department. For tropical areas the storm analysis is also being done by Indian Institute of Tropical management Pune. The IMD has come out 1 day PMP atlas with the assistance of WAPCOS. There is a proposal by CWC to update the 1 day PMP atlas in GIS along with 2 day and 3 day values. Steps involved Design storm determination is the most important part of the Hydrometeorological approach. The brief procedure for deriving design storm is indicated below. i. Identification, selection and processing of heaviest storms including cloud burst: From the heavy storms data available including data of cloud burst the selection of few candidate storm will be met which could be potentially used for development of design storm parameters. After processing of the storm data, selection of appropriate storms will be made.
  • 160.
    Project: Development ofHydrological Design Aids (Surface Water) under HP-II Document: 2009097/WR/REP-02 July 2010 State of the Art Report Revision: R0 Annexure 2.2-4 A2.2‐24    Cloud burst: Cloud burst is caused by intense short duration heavy and sudden storm, resulting in heavy flooding of the area, loss of life and damage to the properties. However this effect has to be taken into consideration while preparing IDF curves for design storm analysis and the flood potential of these are therefore accounted automatically. ii. Duration of design storm: Considering past historical storm, size of catchment, orography etc. The tentative duration of design storm shall be fixed. iii. Selection of candidate storms Selection of candidate storms will be made in a appropriate manner the idle candidate storm could be heavy single peak storm alternately multiple peak storms can be considered. iv. Depth-duration (DD) In this method, the catchment is considered as a unit of study. All the heaviest rain spells (severe rainstorms) experienced by a basin over a long period of time are extracted and then analysed for different Durations in order to obtain average maximum basin rain depths. The maximum rain depths thus obtained are plotted as DD curves and the highest rain depths are determined from the envelope curves. The envelope of all the rain depths, which is referred to as the design rain depth or standard project storm (SPS), is then determined for different durations. This method is normally used when daily rainfall data for a good network of stations are available for a sufficiently long period of years. The method is most suitable for the estimation of design rain depths over catchments located in mountainous regions or orographically influenced regions and also near coastal regions. v. Depth-area-duration (DAD) Normally, the depth-area-duration (DAD) method is applied to those river basins whose boundaries are regular and smooth, but in many basins these conditions are not met. In this method of rainstorm analysis, the rainstorm is considered as a unit of study. The analysis is carried out to determine the highest precipitation amounts experienced over various size areas and durations in the rainstorm period. For each rainstorm, the area enclosed by the peripheral isohyets of the rainstorm is considered. The rainstorms to be analysed by the DAD method are first determined by adding together the rainfall data of all the stations in the area affected by the rainstorm. The day with the highest total rainfall is considered as the maximum I-day, the consecutive two days with the highest total rainfall is the maximum 2-day interval and so on. In this way, the maximum I-day, 2-day and 3- day, etc., durations of the rainstorm are identified.
  • 161.
    Project: Development ofHydrological Design Aids (Surface Water) under HP-II Document: 2009097/WR/REP-02 July 2010 State of the Art Report Revision: R0 Annexure 2.2-4 A2.2‐25    The rainfall values for different durations are then used to draw isolines at suitable intervals. A geographic information system (GIS) technique using the inverse-distance weighted method was used to measure the area bounded by each isoline. This method gives due consideration to the orientation of the topography of the region. The average rain depths thus obtained are plotted against the accumulated area and a smooth envelope curve is drawn. The starting point is taken to be the central value of the rainstorm. The enveloping curve is known as the DAD curve of the rainstorm. Such DAD curves are plotted for all the severe rainstorms of different durations, separately. From these DAD curves the rainfall depth values are picked out for standard areas, such as 100, 300, 500, 1000, 2000, 5000, , 50 000 km2 , for different durations. These values give the average rain depths over standard size areas measured outwards from the rainstorm centre. Such rain depths are used by design engineers to calculate unit hydrographs when constructing any hydraulic structure connected with irrigation, hydropower generation and flood control in the homogeneous region of the basin. vi. Storm Transposition (ST) The main purpose of rainstorm transposition is to increase the rainstorm experience of a basin by considering not only the rainstorms that have occurred over and near the basin in the past, but also those rainstorms which have resulted in heavy rainfall on adjacent areas that are meteorologically homogeneous. By using this technique, the historical rainstorms of the surrounding homogeneous regions are moved over the problem basin. The following minimum meteorological conditions for transposition need to be taken into account when transposing severe rainstorms over a problem basin: a.The inflow direction of storms crossing the area should not vary excessively; b.The air mass characteristics should be reasonably matching; c.The area under consideration should be small enough that variation in latitude of storms tracks does not affect the distribution within the zone; and d.The combination of rain producing mechanisms and associated synoptic situations should be the same. The rainstorm transposition technique is generally applied to areas or basins which have a markedly irregular shape or peculiar orientation. Therefore, the following corrections need to be undertaken before applying this technique. vii. Barrier Adjustment In addition to the general decrease in rainfall with distance, an adjustment is required when there is a barrier or mountain range in the path of moist air being fed into the storm area. This is because the mountain range blocks off a certain fraction of the moist inflow into the storm area. The usual method (WMO, 1969) of allowing for the effect of a barrier is to reduce the rainfall value by the ratio of the precipitable water in a column of air above the height of the barrier to the total precipitable water extending to ground level on the windward side of the barrier, i.e.: R1 = R x W2/ W1
  • 162.
    Project: Development ofHydrological Design Aids (Surface Water) under HP-II Document: 2009097/WR/REP-02 July 2010 State of the Art Report Revision: R0 Annexure 2.2-4 A2.2‐26    Where R ( is the adjusted rainfall value behind a barrier; R is the rainfall value not behind a barrier; W1 is the precipitable water in a saturated pseudo-adiabatic atmosphere from the ground to a height corresponding to maximum surface dew point at the location of the storm; and W2 is the precipitable water in a saturated pseudo-adiabatic atmosphere from the top of the barrier to the same height. viii.Topography adjustment An adjustment of rainfall over a basin is necessary because of the presence of the topography. The orographic adjustment guidelines are given by WMO (1986) as: no change in rainfall for elevations up to 300 m; increase the rainfall by 10% per 300 m of ascent above 300 m for the first upslope; and in lee-side areas decrease the rainfall by 5% per 300 m of descent to the bottom of the valley. ix. Limits of transposition Fixing limits to rainstorms for their transposition is one of the most important aspects in a design storm study. The following factors for determining the areal limits of transposition were suggested by WMO (1970): a.Moisture source and barrier to moisture inflow for the rainstorm in situ; b.Accessibility to rainstorm moisture source and relative height of barrier to moisture inflow of other locations in the transposed zone; and c.Past occurrence of synoptic patterns similar to that of candidate rainstorms in features such as atmospheric moisture content and stability, wind direction and speed at surface and at higher levels, duration of pattern intensity, direction and speed of movement of low pressure centres at surface and higher level, etc. As per WMO (1986), transposition of a rainstorm is considered in 2° lat. x 2° long. grid cells over a study area located mainly in a plain region. The WMO recommends a coarse grid (depending upon topography) over flat areas and a fine one over the less flat areas. x. Storm Maximization Maximization will be made to get the probable maximum storm value. xi. Time distribution of storm The time distribution of PMP design rain depths of 1-, 2-, 3-day duration over different, shorter intervals is required by the design engineers to compute probable maximum floods (PMF). Therefore, breaking down design storm rain depths into smaller intervals (e.g. 3, 6, 9, 12 h) specifies how the rainfall is distributed over successive shorter time intervals. Hourly (short interval) rainfall data of surrounding stations are required for the time distribution analysis of the basin.
  • 163.
    Project: Development ofHydrological Design Aids (Surface Water) under HP-II Document: 2009097/WR/REP-02 July 2010 State of the Art Report Revision: R0 Annexure 2.2-4 A2.2‐27    xii. Envelopment of heaviest storm: From the historical data sharp interval break up of one day, two day, three day, storm as required shall be obtained by developing enveloping curve of maximum storms experienced in the catchment for various durations. For larger catchments area reduction factor will thus be evaluated. xiii.Probable Maximum Precipitation (PMP) Design storm after accounting for transposition, Barrier adjustment and moisture maximization gives probable maximum precipitation. These assessments in conjunction with short interval break-up of 1 day, 2 day, 3 day (after enveloping) is split into intervals of unit hydrograph as per procedure explained in the computation of probable maximum flood. The detailed methodology and design aids will be prepared in subsequent stage outputs. 1.3.2.2 Loss Rate Initial loss rate and infiltration index values are to be derived on basis of available hydrologic records and minimum values adopted for maximum runoff production and minimum losses expected in the basin where sufficient data are not available, CWC manual recommended 1-2 mm/hr loss rate depending upon the catchment characteristic, natural vegetation, topography conditions and antecedent soil conditions. 1.3.2.3 Critical Arrangement of Rainfall Ordinate of the rainfall excess arranged in critical sequence considering peak with peak and the sequence reversed. Thus the design flood hydrograph is obtained by convolution of unit hydrograph ordinates Sand adding base flow to the same. In case of PMF the latest practice is to consider to bells within each 24 hour period. The above practice is generally adopted in India and other countries with small procedural variation and appears quite reasonable as for now. The details will be indicated in subsequent phases of Hydrology Project-II. 1.3.3 Computation of Flood hydrograph 1.3.3.1 Direct Runoff Hydrograph by Convolution Direct surface runoff ordinates are obtained by following the principle of linearity and superposition to UH ordinates. The procedure will be illustrated in HDA programme. 1.3.3.2 Calculation of Baseflow Gauged Catchments: The base flow should be based on observed flood hydrograph trends. The separation of baseflow should be done on the basis of few past heavy rainfall events in the same catchment or in the absence of that in the upper or lower or adjacent catchments. The methods of separating baseflow have been dealt with in CWC manual, 1972 and 2001.
  • 164.
    Project: Development ofHydrological Design Aids (Surface Water) under HP-II Document: 2009097/WR/REP-02 July 2010 State of the Art Report Revision: R0 Annexure 2.2-4 A2.2‐28    Ungauged Catchments: If observed data is not available, baseflow for adjacent basins converted to flow rate per unit area of catchment may be used In case the data are not available, flat rate of 0.5 cumec/sq.km is recommended by CWC manual. 1.3.3.3 Flood Routing The recognized types of flood routing are: (i) reservoir routing and (ii) stream flow/ channel routing. The reservoir routing is generally used for fixing flood storage capacities in reservoirs, and spillway capacities for large dams. The stream flow routing is needed for designing flood protection works, real-time flood forecasting, etc. Normally, the hydrologic routing procedure its adopted, ready made software likes, HEC, MIKE 11, etc. are available out flood routing by this approach. Reservoir Routing i. Storage-Indication Method This method also known as the modified Puls method was developed by Mr. L G Puls when he was in the United States Army Corps of Engineers. Although applicable both for reservoir and open-channel routing it is used quite satisfactorily for reservoir routing; it gives a poor approximation for open-channel routing. The method has been included in CWC Manual 2001. Thus if I1, O2 and S1 are respectively the inflow, outflow and storage or the beginning of the time interval t, and I2, O2 and S2 are the corresponding figures and the end of the time interval, the continuity equation can be written as ( )12 2121 22 SSt OO t II −=⎟ ⎠ ⎞ ⎜ ⎝ ⎛ + −⎟ ⎠ ⎞ ⎜ ⎝ ⎛ + In the typical flood routing problem, the initial values of the outflow and storage are known. Thus the unknowns in the equation before are O2 and S2. Placing the knowns on the left side and the unknowns on the right side, the equation can be rewritten as: ⎟ ⎠ ⎞ ⎜ ⎝ ⎛ +=⎟ ⎠ ⎞ ⎜ ⎝ ⎛ −+⎟ ⎠ ⎞ ⎜ ⎝ ⎛ + 222 222121 O t SO t SII Since this equation contains two unknowns it cannot be solved unless a second independent function is available. In the modified Puls method, a storage-indication curve viz. outflow O versus the quantity (S/t+O/2) is constructed for the purpose. This is adopted in India also and illustrated in CWC Manual 2001. Stream-Flow Routing When the storage computed from the inflow and outflow hydrographs for a reach of the river is plotted against simultaneous outflow; the resulting curve is usually a wide loop indicating greater storage for a given outflow during rising stages than during falling. Because during the advance
  • 165.
    Project: Development ofHydrological Design Aids (Surface Water) under HP-II Document: 2009097/WR/REP-02 July 2010 State of the Art Report Revision: R0 Annexure 2.2-4 A2.2‐29    of a wave, inflow always exceeds outflow thus producing a wedge of storage called ‘wedge storage’ and during the recession outflow exceeds inflow resulting in a negative wedge storage. The storage beneath a line parallel to the stream bed is called ‘prism storage’; between this line and the actual profile, ‘wedge storage’. During rising stages a considerable volume of wedge storage may exist before any large increase in outflow occurs. During falling stages inflow drops more rapidly than outflow and the wedge-storage volume becomes negative. Routing in streams requires a storage relationship which adequately represents the wedge storage. This is usually done by including inflow as a parameter in the storage equation. i. Muskingum Method McCarthy of the United States Corps of Engineers developed what is known as the Muskingum Method, for use in studies for the Muskingum flood control project in 1934-35. The method involves the concept of wedge and prism storage’s. The prism storage is represented as KO where K known as the ‘storage constant’ is the ratio of storage to discharge and has the dimension of time. The wedge storage is represented as K X(I-O) where X is a parameter, which expresses the relative importance (weightage) of inflow and outflow in determining storage. The total storage is S=KO+KX(I-O)=K[XI+(1-X)O] which is known as the Muskingum equation. The constant X expresses the relative importance of inflow & outflow in determining storage. If storage is entirely a function of outflow, as in a reservoir, then X=0; but if the wedge storage is significant, then X will be greater than Zero, with a limiting value of 0.5 when inflow and outflow have equal weight as in uniform channels. For most streams, X is between 0 and 0.3 with a mean value near 0.2. The storage constant K which expresses the ratio between storage and discharge, in fact is a measure of the lag or travel time through the reach and is the slope of the storage-discharge curve. K may be determined by finding the lag, or time interval, between the occurrences of the centre of mass of inflow and centre of mass of outflow over the reach. It may also be approximated by determining the time of travel of critical points on the hydrograph, such as the peak. The Muskingum equation may be rewritten as, S2-S1 = K[X(I2 – I1) + (1 – X) (O2 – O1)] Where the subscripts 1, 2 indicate the routing periods and I, O and S are instantaneous values of inflow, outflow and storage respectively at the beginning of the routing periods indicated. The basic equation for change in storage in a time interval t is ( )12 2121 22 SSt OO t II −=⎟ ⎠ ⎞ ⎜ ⎝ ⎛ + −⎟ ⎠ ⎞ ⎜ ⎝ ⎛ + Combining the equations and simplifying we get, O2 = C1I + C2I1 + C2I1 + C3O1
  • 166.
    Project: Development ofHydrological Design Aids (Surface Water) under HP-II Document: 2009097/WR/REP-02 July 2010 State of the Art Report Revision: R0 Annexure 2.2-4 A2.2‐30    Where, C2 = ( ) ( ) ( ) ( ) ⎟⎟ ⎠ ⎞ ⎜⎜ ⎝ ⎛ +− −− =⎟⎟ ⎠ ⎞ ⎜⎜ ⎝ ⎛ +− + =⎟⎟ ⎠ ⎞ ⎜⎜ ⎝ ⎛ +− − txK txK C txK Kxt C txK Kxt 12 12 & 12 2 ; 12 2 32 and C1 = C2 + C3 = 1.0 By an algebraic modification, this equation can also be written as O2 = O1 + C1 (I1 + O1) + C2 (I2 - I1) Where, C1 = ( ) ( ) ⎟⎟ ⎠ ⎞ ⎜⎜ ⎝ ⎛ +− − =⎟⎟ ⎠ ⎞ ⎜⎜ ⎝ ⎛ +− txK Kxt C txK t 5.01 5.0 & 5.01 2 In these equations it is important that the routing period t is in the same time units as K. The routing period t is selected to fit the needs of the problem; it must be sufficiently short that points t-hour apart adequately define the hydrograph shape. This means that t must be equal to or shorter than the time of travel through the reach, since if it were longer than the travel time a major change in the flow could traverse the reach within a routing period. The values of K and x are simultaneously determined as follows. Combining equations solving for K, ( ) ( ) ( ) ( )( )⎟⎟ ⎠ ⎞ ⎜⎜ ⎝ ⎛ −−+− +−− = 1212 2121 1 5.0 OOxIIx OOIIt K Successive values of the numerator (representing storage increment) and the denominator (representing weighted flow increment) are computed for a flood with known values of inflow and outflow and assuming various parametric values (0.1 to 0.5) of x. The computed values of the accumulated numerator and denominator are then plotted, usually producing curves in the form of loops. The assumed value of x that resulted in a loop closet to a single line is accepted as the correct value. The reciprocal of the slope of the single line gives the value of K. The units of K depend on the units of flow and storage. If storage is in cumec-days and flow in cumecs, K is in days Graphical methods are the basis for a number of mechanical routing devices. Now, with the easy availability of computers, and several user-friendly computer programs, the analytical methods have become more convenient to adopt. Thus the graphical methods are no longer popular. 1.3.3.4 Final Design Flood Hydrograph by adding direct runoff hydrograph and Baseflow The final design flood hydrograph will be obtained after adding the direct runoff hydrograph and the baseflow hydrograph. The flood peak and volume of the final design hydrograph will be used as design peak and design volume.
  • 167.
    Project: Development ofHydrological Design Aids (Surface Water) under HP-II Document: 2009097/WR/REP-02 July 2010 State of the Art Report Revision: R0 Annexure 2.2-5 A2.2‐31    1 REGIONAL FLOOD FREQUENCY ANALYSIS (UNGAUGED CATCHMENTS) When the annual flood peak discharge series of a site is not available, annual peak values of different sites in the region for which data are available are considered as per recommendation of the CWC The following three methods are specified for regional flood frequency analysis: 1. Pooled curve method 2. USGS method 3. Analytical method 4. L-moment Approach 1.1 Pooled Curve method : The annual flood peak discharge series are made dimensionless by dividing each peak flood values with the sample average (Q − ) of annual peak value of that site. These values are then assigned plotting position by using Gringorten’s formula as given below: 44.0 12.0 − + = M N T Where, T is the return period N is number of years of data M is merit order of array consisting of QiQ − / The reduced variate Yi was estimated for each annual peak flood value using following relation ⎟ ⎟ ⎠ ⎞ ⎜ ⎜ ⎝ ⎛ +−=−−= − σ σ 45.0 281.1 )/11ln(ln Qii QTY Where, σ = standard deviation of the annual flood peak series. The values of reduced variate yi, Qi/Q − for all the sites are pooled together and arranged in classified ranges of yi of width 0.5 units i.e., (-) 1.5 to (-) 1.0, (-) 1.0 to (-) 0.5, (-) 0.5 to 0.0, 0.0 to 0.5, 0.5 to 1.0, 1.0 to 1.5, 1.5 to 2.0, 2.0 to 2.5, 2.5 to 0.3, 3.0 to 3.5, 3.5 to 4.0, 4.0 to 4.5 and 4.5 to 5.0. The mean value of Qi/Q − and yi for every range was worked out. Regional frequency curve are then drawn by plotted mean reduced variate yi for each range as abscissa and mean Qi/Q − as ordinate. But best fit line are drawn, the values of growth factor QT/Q − are read to different values of T and used as regional parameter. 1.2 US Geological survey Method Qi/Q − values for each individual site as computed in the pooled curve method are plotted on Gumbel’s probability paper against their corresponding return period (T) values based on Gringerton’s plotting position formulae. From the curves for each site QT/Q − values for T =5, 10, 25, 50 years are read. The median value of these QT/Q − values from all the sites are worked out.
  • 168.
    Project: Development ofHydrological Design Aids (Surface Water) under HP-II Document: 2009097/WR/REP-02 July 2010 State of the Art Report Revision: R0 Annexure 2.2-5 A2.2‐32    Regional frequency curve is then plotted by plotting these median values against “T” on Gumbel’s probability. 1.3 Analytical method It is known that there is reasonable mathematical basis for the annual flood series to follow the Gumbel’s extreme value distribution. In the analytical approach EV-I distribution is fitted to the data. Two methods of analysis based on this distribution are: i. Method using frequency factors ii. Mathematical curve fitting method i. Method using frequency factors: This method employs the general equation for frequency analysis, which may be expressed as TT kQ ×+= σμ Where, µ = mean of the annual peak series σ = standard deviation of the annual peak series KT = frequency factor for any distribution ii. Mathematical Curve fitting method In this method, the best fit curve is fitted to the observed data at determined plotting position on Gumbel’s probability paper. To avoid subjective errors in graphing fitting, curve fitting is done mathematically. Of the three methods possible, viz., method of moments, method of maximum likelihood and the method of lest squares, the last method was adopted as it gives better overall fit than the method of moments and involves relatively less computations. Gumbel’s law (as adopted by Vent e Chow) is expressed as BXAQT += Where, QT = the flood with a return period T X = log10log10 (T/T-1) A & B are regression constants. 1.4 L-moments Approach Firstly, screened the data using the discordancy measure (Di) in terms of the L–moments (Kumar et al, 2003, 2005). The discordancy measure for site i is defined as: ⎟ ⎠ ⎞ ⎜ ⎝ ⎛ −⎟ ⎠ ⎞ ⎜ ⎝ ⎛ −= − − − uuAuuND im T ii 1 3 1 T i N i im uuuuA ⎟ ⎠ ⎞ ⎜ ⎝ ⎛ −⎟ ⎠ ⎞ ⎜ ⎝ ⎛ −= − = − ∑1
  • 169.
    Project: Development ofHydrological Design Aids (Surface Water) under HP-II Document: 2009097/WR/REP-02 July 2010 State of the Art Report Revision: R0 Annexure 2.2-5 A2.2‐33    Where, ui = vector of L-moment ratios for station i. K= covariance matrix of ui, − u = mean of vector ui. The station i is declared to be discordant, if Di is greater than the critical value of the discordance statistic given in a tabular form by [Hosking and Wallis, 1993]. Homogeneity of the region to be tested using the L–moments based heterogeneity measure, H. For computing the heterogeneity measure H, 500 simulations we perform using the four parameter Kappa distribution. Hence, heterogeneity measure is obtained as: ( ) v vV H σ μ− = Where, V = weighted standard deviation of L-coefficient of variation values, μV, σV = the mean and standard deviation of number of simulations of V. The criteria for deciding heterogeneity of a region is as: if H < 1, region is acceptably homogeneous, if 1 ≤ H < 2, region is possibly heterogeneous, if H ≥ 2, region is definitely heterogeneous. perform a comparative regional flood frequency analysis studies using the L–moments based frequency distributions: viz. Extreme value, General extreme value, Logistic, Generalized logistic, Normal, Generalized normal, Uniform, Pearson Type–III, Exponential, Generalized Pareto, Kappa, and five parameter statistic criteria, the GEV distribution was identified as the robust distribution for the study area. For estimation of floods of various return periods for gauged watersheds of the study area, a regional flood formula was developed using the L– moments based GEV distribution. The L–moment ratio diagram and | Zi dist | _statistic are used as the best fit criteria for identifying the regional distribution. For estimation of floods of desired return periods for ungauged watersheds, a regional flood formula was developed by coupling the regional flood formula with the regional relationship between mean annual peak flood and watershed area. This practice is prevalent in Sone subzone region 1(d) and North Brahmaputra region of India by R. Kumar and C. Chatterjee in 2003 and 2005. 1.5 Determining Homogeneous Regions Present practice of determining homogeneity of basins in India is a two step method as under 1. To determine ratio of 10 yr flood to mean annual flood (Which has a return period of 2.33 years) from the frequency curve of each station. Averaging of ratios for a number of stations in the region to obtain mean 10 yr ratio for the region 2. The return period corresponding to mean annual flood times the mean 10 yr ratio is determined from frequency curve of each station and plotted against the number of years
  • 170.
    Project: Development ofHydrological Design Aids (Surface Water) under HP-II Document: 2009097/WR/REP-02 July 2010 State of the Art Report Revision: R0 Annexure 2.2-5 A2.2‐34    of record for that station on the Darlymple test graph. If the points for all of these stations lie between 95% confidence limits the region was considered homogeneous. There are different practices in different countries. Some countries use a common distribution to achieve uniformity and others use different distributions. USA and Australia use LPIII. Other distributions in use are EVI, II and III, GEV, Wakeby etc. There have been many techniques developed which attempt to establish homogeneity of the regions. PRM uses geographical contiguity. Two catchments may be treated as homogeneous if they both satisfy input criteria like rainfall etc. Homogeneous regions for use in RFFA should include more sites for increased information and maintaining acceptable level of homogeneity. The degree of homogeneity is judged on the basis of dimensionless coefficient of annual maximum flood series such as coefficient of variation, coefficient of skewness etc like the example of Darlymple test graph. Further studies on regional flood methods There are a number of statistical techniques for regionalization like, 1. PRM (Probabilistic Rational method 2. Quantile regression technique 3. Generalized Least square regression 4. Parameter Regression technique etc In RFFA the regions have been often defined by state/political boundaries. In 1987 regional flood estimation methods were developed based on fixed regions. Two different methods often provided different frequency estimates. To avoid this problem the regions were identified in catchment characteristics/space using cluster analysis and other multivariate statistical techniques. Still it was difficult to analyze homogeneity to an ungauged region, recently a concept of region of influence has been developed. Since hydrological characteristics do not do not change abruptly across state/political boundaries regionalization without fixed boundaries by Acreman and Wiltshire (1987) based on this have been introduced in 1990’s a concept of region of influence where each site of interest has its own region. Thus the regions can be overlapped and gauged sites can be part of more than one region of interest. This method/concept shall be dealt with in more detail and methodology developed by Burn proposed.
  • 171.
  • 172.
    Project: Development ofHydrological Design Aids (Surface Water) under HP-II Document: 2009097/WR/REP-02 July 2010 State of the Art Report Revision: R0 3-1 WATER RESOURCES 3. PREVALENT DESIGN CRITERIA AND PRACTICES: THE INTERNATIONAL PERSPECTIVE 3.1 ASSESSMENT OF WATER RESOURCES POTENTIAL - AVAILABILITY/YIELD ASSESSMENT This review of internationally used techniques for the assessment of water resources potential focuses on techniques used internationally and in the following specific countries: Australia, China, Hong Kong, India, Malaysia, UK and the US. UK-based techniques are similar to those used in Northern Europe and many of the tools used are based on Dutch, Danish and UK software developed in research laboratories and university sectors. US techniques have developed to deal with a wider range of climate conditions with a greater emphasis in snow melt, for northern states, and arid zone hydrology in south-western states. 3.1.1 Approach to the assessment of Water Resources Potential In its broadest sense, the assessment of water resources potential, availability and yield assessment, includes a range of techniques such as rainfall-runoff modelling, calculation of water demands and reservoir water balance modelling aimed at estimating resource yields, understanding the behaviour of water supply systems and optimising water use to reduce costs or risks of water supply failure. The largest use of water in most developing countries is for irrigation, but this resource is under increasing pressure to meet the needs of urban areas and industry. In the more developed countries, environmental considerations are becoming increasingly important. With all of the often conflicting demands for available water resources, an integrated approach to water resources management becomes essential. The precise choice of water resources assessment technique is, to some extent, dictated by an understanding of the purpose of the assessment, the stage of the project at which the assessment is taking place, and the amount and quality of data available to carry out the assessment. Water resources assessment is sensibly applied to a unit such as a river catchment, sub-catchment or groundwater reservoir. It is part of the Integrated Water Resources Management (IWRM) approach, linking social and economic factors to the sustainability of water resources and associated ecosystems. Depending on the objective of the assessment, water resources assessment may look at a range of physical, chemical and biological features in assessing the resource. Traditional water resource assessment aimed to provide the basis for the supply of infrastructure to meet projected needs. Assessments have a much wider remit in an IWRM perspective, incorporating cross-sectoral tools such as (Global Water Partnership website, 2010): Demand assessment which examines the competing uses of water with the physical resource base and assesses demand for water (at a given price), thus helping to determine the financial resources available for water resource management. Environmental impact assessment and Strategic impact assessment collect data on the social and environmental implications of development programmes and projects. EIA is an important tool for cross-sectoral integration involving project developers, water managers, decision-makers and the public. It can be seen as a special form of water resources assessment. Social impact assessment, which examines how social and institutional structures affect water use and management, or how a specific project might affect social structures.
  • 173.
    Project: Development ofHydrological Design Aids (Surface Water) under HP-II Document: 2009097/WR/REP-02 July 2010 State of the Art Report Revision: R0 3-2 WATER RESOURCES Risk or vulnerability assessment, looking at the likelihood of extreme events, such as flood and droughts, and the vulnerability of society to them. Water resources assessment is a basic input to the planning process. Demand forecasting should use techniques that uncover, for instance, willingness to pay for water at given prices, and further economic analysis will help reveal the true nature of competing water uses. Demand management issues will also influence the outcome of water resource assessment. A water resources assessment often needs to be carried out in several steps of increasing complexity. A rapid water resources assessment may help identify and list the most important issues and identify priority areas. On the basis of this early assessment, more detailed investigations may be required. Assessments for large or long-term projects, with infrastructure that will be in place for 50 years or more, should also include examination of future changes in land use and possible soil degradation as well as climate variability and change. Hydrological Design Aids are required that include methods for taking account of the uncertainty related to future climate change as well as make the best use of existing historical hydrological data. Linking water resources assessment to Environmental Impact Assessment (EIA) has been shown to build cross-sectoral linkages and heighten awareness of key issues. Strategic impact assessment can help in the analysis of change capacity of a river basin, to protect both quantity and quality. The various techniques used internationally for different purposes, project stages and with different data availabilities are described in this Section of the report. Terminology It is useful to begin by defining some of the key terminology widely used in water resources assessment. The following terms are widely adopted in the description of drought and water resources assessment: • Deployable Output (DO) - the output of a source or group of sources as constrained by environment, licence conditions, pump capacities, raw water losses, works capacity and water quality considerations. In the specific UK context, DO is normally reported as the Average and Peak Period Deployable Output. • Hydrological drought – changes in the catchment water balance (precipitation, evaporation and storage) leading to deficit of runoff, recharge or low groundwater levels over a specific period. Severity can be classified in a similar way to Rainfall Drought. • Hydrological Yield - The unrestricted output of a source (ignoring licence conditions) and other constraints. • Levels of Service (LoS) – the standard and reliability of water supply expressed in terms of the frequency of specific drought management measures such as restrictions to irrigation or public water supply. In water resources modelling, a LoS run simulates the behaviour of a system operating according to specific LoS and other system constraints to meet demand. • Water resources drought – a shortage of water available to meet ‘normal’ demands (for water supply, industry or the environment) due to a combination of hydrological drought and the socio-economic factors affecting the water resources systems. • Worst Historic Drought (WHD) – the most severe drought on record in terms of its impact on the water resources system. Drought and water resource plans in the UK have typically considered the WHD based on a period from around 1920 so approximately 90
  • 174.
    Project: Development ofHydrological Design Aids (Surface Water) under HP-II Document: 2009097/WR/REP-02 July 2010 State of the Art Report Revision: R0 3-3 WATER RESOURCES years of data are used to estimate DO. In some cases only the period of observed hydrological records, i.e. from the 1950s or 1960s for most UK catchments, is considered. • Yield – the reliable output of a water source considering (current) licence and other specified constraints. • Assessment of Hydrological Yield – a calculation that finds the maximum average annual demand that can be met by the source subject to specific constraints. Depending on the methodology, yield searches provide a demand that can be met in the Worst Historic Drought or alternatively for a specific return period drought, e.g. 1 in 50 years. In Scotland, the latter method is used to assess hydrological yields on reservoir sources. International approach guidelines Approaches to the assessment of water resources in various countries vary greatly. In considering which of those approaches is applicable for use in India, the differences between India and the country of current application need to be considered carefully. Because of varying technical, socio-economic and political circumstances, the derivation of standard methodologies that can be universally applied is a difficult task. There follows a review of the approaches taken to water resources assessment in various countries, and internationally. World Meteorological Organisation The WMO produces various guideline manuals, one of which, the Manual on Water Resources Assessment (WMO, 1997) is intended as a ‘practical tool for operational staff in agencies responsible for quantifying natural water resources at the national, basin or regional (both sub- national and supra-national) scale'. It is intended for application to any country, but has particular relevance to developing countries. The guidelines cover three main components: collection of hydrological and hydro-meteorological data; collection of physiographic data; and techniques for areal assessment of water resources. UNESCO UNESCO produces a range of tools for water resources assessment. The publication Managing Water Resources (UNESCO, 2009) describes the ‘systems approach’ and its application to contemporary water resources management, focusing on three main sets of tools: simulation, optimisation and multi-objective analysis. The publication’s accompanying CD-ROM includes software program tools. FAO The Food and Agriculture Organisation (FAO) produces CROPWAT. CROPWAT is a computer program for the calculation of crop water requirements and irrigation requirements based on soil, climate and crop data. In addition, the program allows the development of irrigation schedules for different management conditions and the calculation of scheme water supply for varying crop patterns. CROPWAT can also be used to evaluate farmers’ irrigation practices and to estimate crop performance under both rain-fed and irrigated conditions. IWMI The International Water Management Institute (IWMI) produces a range of tools for water practitioners. The Global Environmental Flow Calculator (GEFC) is a freely available software tool for rapid assessment of Environmental Flows, which aim to maintain a river in a prescribed condition. The GEFC uses monthly time-series of data to create a Flow Duration Curve. Details of the tool are given in Smakhtin & Anputhas (2006).
  • 175.
    Project: Development ofHydrological Design Aids (Surface Water) under HP-II Document: 2009097/WR/REP-02 July 2010 State of the Art Report Revision: R0 3-4 WATER RESOURCES The WATERSIM model is an integrated hydrologic and economic model. Water demand for irrigation, domestic purposes, industrial sectors, livestock and the environment are estimated at the basin scale. OASIS (Options AnalysiS in Irrigation Systems) is a planning model for medium to large- scale canal irrigation systems (typically several thousand hectares). It specifically takes account of surface-groundwater interactions to assess the impacts on water use, depletion and productivity of a broad range of interventions in irrigated agriculture. Australia The Australian Government National Land and Water Resources Audit produces the ‘The Australian Natural Resources Atlas’. The Atlas is an internet-based tool for information on Australia’s natural resources. The Atlas provides information at national, state and regional scales. One of the many themes offered by the Atlas is ‘water availability’. This covers dams, various groundwater components, surface water gauging stations, surface water developed yield, and surface water resource commitment. China The Ministry of Water Resources (MWR) is the Chinese government department responsible for water administration. MWR ensures that water resources are rationally developed and utilised, formulates water resources development strategies, and makes integrated river basin management plans. The State formulates strategic plans for water resources throughout China (PRC, 2002). Unified plans, on the basis of river basins and regions, are made for the development, utilisation, conservation and protection of water resources for prevention and control of ‘water disasters’. Formulation of these plans is preceded by comprehensive scientific survey, investigation and assessment. The law states that ‘the administrative departments for water resources under such governments and the river basin authorities shall pay special attention to dynamic monitoring of water resources. The basic hydrological data shall be made public in accordance with the relevant regulations of the State.’ This recognises the need for sharing of hydrological data across river basins and regions for the effective assessment and monitoring of water resources. Hong Kong In Hong Kong, the Water Supplies Department (WSD) is responsible for all water management activities including resources and distribution infrastructure. As Hong Kong has a limited area, it contains no natural rivers or lakes, although 20-30% of its water is obtained from local water gathering grounds. The remainder of the freshwater supply comes via an 80km pipeline from Dongliang Water on the Chinese mainland, while partially processed seawater is used for toilet flushing in 80% of homes. The WSD is responsible for increasing efficiency of usage and is making substantial efforts to raise awareness of this issue among residents. The government is committed to sustainable use of water resources and estimates that needs can be met by the current arrangements up until 2030. There is an awareness of Hong Kong’s vulnerability to climate change impacts however and there are few options for increasing raw water supplies. The government, through WSD has formulated a Total Water Management (TWM) plan for the period up to 2030 to deal with all aspects of water management in an integrated manner. Malaysia In terms of urban water management, the Urban Storm Water Management manual (MSMA) (JPS, 2000) contains detailed information on hydrology and hydraulics, runoff quantity control and conveyance, structural and non-structural water quality control, vegetation and water course management, and special stormwater applications. It is used throughout Malaysia by
  • 176.
    Project: Development ofHydrological Design Aids (Surface Water) under HP-II Document: 2009097/WR/REP-02 July 2010 State of the Art Report Revision: R0 3-5 WATER RESOURCES the whole water industry, including government and consulting engineers for urban drainage control and water resources assessment in urban areas. United States The US government produces a range of national maps, such as the availability of runoff and the usable capacity of reservoirs for the whole of the United States. See Figure 3.1 below. Figure 3.1 Map of US average annual runoff and large surface reservoirs Since 1950, the U.S. Geological Survey (USGS) has compiled data on amounts of water used in homes, businesses, industries, and on farms throughout the United States, and has described how that use has changed with time. Water-use data are collected at five-year intervals. These data, combined with other USGS information, have facilitated a unique understanding of the effects of human activity on the US’s water resources. The USGS produces a national groundwater availability atlas, which describes the location, extent, and the geologic and hydrologic characteristics of the important aquifers of the US. The American Society of Civil Engineers (ASCE) is in the process of reviewing the US Army Corps of Engineers (US ACE) Water Resources Guidelines. The Water Resources Development Act of 2007 demanded the review of the Guidelines, which is the principal planning document for water resources projects, designed to make them more environmentally focussed and to emphasise the importance of public safety. Specific states in the US have developed bespoke tools for water resources assessment and management. For example, the state of Florida developed the Surface Water Improvement and Management Program (SWIM). SWIM plans are used to guide water protection activities and help state and local agencies make land use management and acquisition decisions. Irrigation
  • 177.
    Project: Development ofHydrological Design Aids (Surface Water) under HP-II Document: 2009097/WR/REP-02 July 2010 State of the Art Report Revision: R0 3-6 WATER RESOURCES is the largest user of water in the US. The University of Idaho and the Idaho Water Resources Research Institute developed an irrigation demand calculator. It is a spreadsheet tool for estimating the economic demand for irrigation water (Contor et al., 2008). The tool is designed for economic practitioners who need to obtain an equation for aggregate demand for irrigation water, under conditions of limited time and/or data and resources. The tool finds a middle ground between approaches that require large amounts of data and approaches that have restrictive assumptions. The US Environmental Protection Agency (US EPA) produces a handbook for developing watershed plans (EPA, 2008). It concentrates on water quality aspects from both point and non-point sources. 3.1.2 Climate change impacts on river flows The increased energy in the atmosphere as a result of rising greenhouse gas concentrations is believed to be intensifying the hydrological cycle. More energy as heat causes increased evaporation and allows the atmosphere to hold greater quantities of water vapour, leading to more intense rainfall events. Intensification of the hydrological cycle, although having different impacts in different places, is likely to lead to more severe floods and droughts when they occur (Bates et al.(eds), 2008). The IPCC (Bates et al.(eds), 2008) states: “By the middle of the 21st century, annual average river runoff and water availability are projected to increase as a result of climate change* at high latitudes and in some wet tropical areas, and decrease over some dry regions at mid-latitudes and in the dry tropics.**” * This statement excludes changes in non-climatic factors, such as irrigation. ** These projections are based on an ensemble of climate models using the mid-range SRES A1B non-mitigation emissions scenario. Consideration of the range of climate responses across SRES scenarios in the mid-21st century suggests that this conclusion is applicable across a wider range of scenarios. In water resources modelling, adjustments to expected rainfall depths and timings, as well as changes in evapotranspiration rates need to be taken from the latest climate model simulations for the area of interest, choosing appropriate future scenarios for the purposes of the study. This allows a range of possible futures to be considered in terms of water resources availability and a suitable management strategy to be formulated on the basis of the best possible information. 3.1.3 Data requirements & data management There are a number of different data requirements for water resources modelling which can be split into two main categories: hydrological data, and asset/structural data. This Section describes the types of data required, and presents tools for infilling, extending and naturalising time series data for use in water resources assessment. Hydrological data for water resources assessment The following hydrological data are traditionally required for water resources assessment studies:
  • 178.
    Project: Development ofHydrological Design Aids (Surface Water) under HP-II Document: 2009097/WR/REP-02 July 2010 State of the Art Report Revision: R0 3-7 WATER RESOURCES • Precipitation • Potential evapotranspiration (PET) • Temperature • Snow melt • Observed flows • Observed reservoir levels • Groundwater yields • Catchment hydrological parameters Hydrological data need to be managed carefully to ensure high quality and reliable inputs to water resources models. To use the data in the model often requires detailed preparation to ensure that data are of good quality, there are no gaps in the record and that all the data types cover the same period of record. Water resources models typically use long term daily data for periods of between 30 and 100 years. There are a range of techniques for data checking, such as the use of double mass plots and simple statistical analyses that should be used. There follows a description of each of the key data types for input to water resources assessment studies. Rainfall data Rainfall data can be obtained by either physical measurement using gauges or by remote sensing. Remote sensing most commonly employs radar to detect rainfall intensities in real time over a wide area. The resolution of these measurements depends on the system being used. Both types of measurement have potential for errors associated with them – for example, gauges can under measure by up to 30% (WMO, 2008) and radar can be affected by various climatic conditions as well as natural and constructed topography, requiring complex data processing. Satellite remote sensing has also begun to be used in rainfall detection and measurement, but radar remains the most commonly used technology for accurate and localised rainfall measurement. Gauges remain a useful and low-cost tool, both for measurement in remote areas which are not covered by a radar system, and for verification of remotely sensed rainfall data. Gauges necessarily measure at only a single point however. Point rainfall at gauging stations needs to be converted to an areal rainfall covering the catchment. Typically areal rainfall estimates are calculated using one of the following methods: • Simple averaging (Shaw, 1983). The mean rainfall is calculated from the measured rainfall at all gauging stations in the catchment, although Shaw (1983) notes that this average is only representative if there are many uniformly spaced gauging stations and the range in altitude is small. ∑= N r R n Where: R = Average rainfall (mm) rn = Rainfall (mm) at gauge n N = Number of gauges • Weighted averaging methods where each gauge is weighted to reflect how representative it is of the catchment. The weighting is calculated by dividing the SAAR(1961-1991) for the catchment by the AAR for the gauge, this is then multiplied by the gauged rainfall. The sum of the weighted rainfalls is then divided by the number of gauges to give the areal rainfall:
  • 179.
    Project: Development ofHydrological Design Aids (Surface Water) under HP-II Document: 2009097/WR/REP-02 July 2010 State of the Art Report Revision: R0 3-8 WATER RESOURCES ∑ ⎟⎟ ⎠ ⎞ ⎜⎜ ⎝ ⎛ = − N r AAR SAAR R n n 9061 Where: R = Catchment average rainfall (mm) SAAR61-90 = Average annual rainfall (mm) in the period 1961 to 1991 for the catchment AARn = Annual average rainfall (mm) for rain gauge n Rn = Rainfall (mm) at gauge n N = Number of rain gauges • Thiessen polygons (Shaw, 1983). The catchment is divided in to polygons by lines that are equidistant between gauging stations, the rainfall at each gauging station is multiplied by the area of its polygon divided by the total catchment area. The sum of this value for all the gauging stations is the catchment rainfall: n n r A a R ∑ ⎟ ⎠ ⎞ ⎜ ⎝ ⎛ = Where: R = Catchment average rainfall (mm) rn = Rainfall (mm) for gauge n an = Polygon area (m2 ) for gauge n A = Catchment area (m2 ) • Isohyetal method (Shaw, 1983). This method involves deriving lines of equal rainfall (isohyets) from the gauging stations, and the areal rainfall calculated from the product of the area between the isohyets and the corresponding mean rainfall divided by the catchment area (Shaw, 1983): n n r A a R ∑ ⎟ ⎠ ⎞ ⎜ ⎝ ⎛ = Where: R = Catchment average rainfall (mm) nr = Average rainfall (mm) for isohyetal area, n an = Isohyetal area (m2 ) for isohyetal area, n A = Catchment area (m2 ) • Hypsometric method (Shaw, 1983). This method accounts for topographical variation in the catchment. The method involves plotting the rainfall against gauge elevation, then plotting elevation against the catchment area to that elevation. The rainfall is then plotted against the area to the gauge (from the elevation of gauge) and the total volume of rainfall calculated (area under the curve), the volume is then divided by the total catchment area to give the catchment areal rainfall. The hypsometric method is likely to be a time consuming process, even for a short rainfall event, because it involves a separate calculation of catchment average rainfall at each time interval. This would only be worthwhile for a detailed study. The method would not be viable for continuous records of over 30 years of daily rainfall. However, the hypsometric method could be used to improve the calculation of the catchment average annual rainfall for use in the UKWIR equation. The average annual rainfall rather than the instantaneous rainfall for each gauge would be used in the hypsometric calculation.
  • 180.
    Project: Development ofHydrological Design Aids (Surface Water) under HP-II Document: 2009097/WR/REP-02 July 2010 State of the Art Report Revision: R0 3-9 WATER RESOURCES • Inverse distance weighting (Shaw, 1983; Beven, 2001). This method involves deriving a rainfall surface or grid covering the catchment from the gauged data by fitting polynomials or Fourier series. Shaw (1983) details a third method using multiquadratics to create the rainfall surface. The areal rainfall is then calculated in a similar way to the isohyetal method, where the rainfall volume in each grid cell is calculated by integration of rainfall depth with the cell area, and the total volume divided by the catchment area. • These spatial interpolation techniques are likely to be a time consuming process for a short rainfall event because it involves an interpolation at each time interval. This would only be worthwhile for a detailed study using a distributed rainfall-runoff model where this type of spatial input is required. The method would not be viable for continuous records of over 30 years of daily rainfall. However, the spatial interpolation method could be used to improve the calculation of the catchment average annual rainfall for use in the UKWIR equation. The average annual rainfall rather than the instantaneous rainfall for each gauge would be used in the interpolation. • Areal rainfall from rainfall radar data. The rainfall radar data shows rainfall depths on a grid which can be used to calculate the areal rainfall as in the IDW method. However Beven (2001) notes a number of limitations with radar data and that it is often necessary to correct or calibrate the radar with rain gauge data. For long term continuous simulation the same limitations apply as in the IDW approach in addition to the cost and availability of radar data. PET and Temperature Data Evaporation and transpiration (collectively known as evapotranspiration) can be important processes where precipitation is limited. It is difficult to measure these two processes over large areas, but indirect measurements using climatic and radiation variables can be used to provide estimates of Potential Evapotranspiration (PET) for an area assuming unlimited availability of water – this is only reasonable over an open water surface or where soil moisture is not limiting. Actual evapotranspiration can be estimated from PET by relating to soil moisture availability restrictions or can be measured at a point by using tools such as evaporation pans or lysimeters. PET data are required for rainfall-runoff modelling and, in some cases, to estimate open water evaporation. Where detailed data are not available or in cases when data are too costly, PET can be estimated using a sine curve (Beven, 2001) and average annual PET from climate data sets (e.g. UKCIP02 data). The following seasonal sine curve has been taken from Beven (2001): ⎥ ⎦ ⎤ ⎢ ⎣ ⎡ ⎟ ⎠ ⎞ ⎜ ⎝ ⎛ −+= 90 365 360 sin1 i EE pp Where: Ep = Potential evapotranspiration (mm/day) Ep = Climatological mean daily potential evapotranspiration (mm/day) i = Day of the year In most cases Actual Evaporation (AET) is calculated by the hydrological model and depends upon the soil moisture content and soil characteristics (typically the moisture contents at ‘field capacity’ and ‘wilting point’). Temperature is sometimes required as a surrogate for PET. There are several formulae available for estimating PET based on temperature alone, including:
  • 181.
    Project: Development ofHydrological Design Aids (Surface Water) under HP-II Document: 2009097/WR/REP-02 July 2010 State of the Art Report Revision: R0 3-10 WATER RESOURCES • Blaney Criddle. The Blaney Criddle method estimates potential evapotranspiration from temperature. The following equation is taken from Maidment (1993): fbaE BCBC += With: ( ) d dBC BC URH N n RH U N n RHb N n RHa Tpf minmin min min 0006.0006.0 066.007.10041.082.0 41.10043.0 13.846.0 −⎟ ⎠ ⎞ ⎜ ⎝ ⎛ − +⎟ ⎠ ⎞ ⎜ ⎝ ⎛ +−= −⎟ ⎠ ⎞ ⎜ ⎝ ⎛ −= += Where: E = Potential evapotranspiration p = Ratio of actual daily daytime hours to annual mean daily daytime hours (%) T = Mean air temperature (o C) n/N = Ratio of actual to possible sunshine hours RHmin= Minimum daily relative humidity (%) Ud = Daytime wind at 2 m height (m/s) • Thornthwaite. The Thornthwaite equation estimates monthly potential evapotranspiration based on temperature with an adjustment for the number of daylight hours. The following equation has been taken from Shaw (1983): ( ) ( ) ( ) 49.0108.1107.7107.6 12....1 5 10 16 22537 5.1 +×+×−×= =⎟⎟ ⎠ ⎞ ⎜⎜ ⎝ ⎛ = ⎟⎟ ⎠ ⎞ ⎜⎜ ⎝ ⎛ = −−− ∑ IIIa mfor T I I T NPE m a m mm Where: PEm = Monthly potential evapotranspiration (mm) m = Month (1, 2, 3….12) Nm = Monthly adjustment factor related to hours of daylight Tm = Monthly mean temperature (o C) I = Heat index for the year • Turc. The Turc method calculates potential evapotranspiration over a 10 day period assuming non-limiting water. The following equation has been taken from Shaw (1983):
  • 182.
    Project: Development ofHydrological Design Aids (Surface Water) under HP-II Document: 2009097/WR/REP-02 July 2010 State of the Art Report Revision: R0 3-11 WATER RESOURCES ( ) 16 2 2 70 1 70 2 1 2 1 2 sQT L with LL aP aP PE + = ⎥ ⎥ ⎦ ⎤ ⎢ ⎢ ⎣ ⎡ ⎟ ⎠ ⎞ ⎜ ⎝ ⎛ + + + ++ = Where: PE = 10 day potential evapotranspiration (mm) a = Estimated evaporation in the 10 day period from bare soil when there has been no rain (1 mm < a < 10 mm) L = The evaporation capacity of the air T = Mean air temperature (o C) over the 10 days Qs = Mean short wave radiation (cal/cm2 /day) 70 = A crop factor reflecting growth with unlimited water • Oudin. Oudin et al., (2005b) proposed the following simple calculation of PET from observed temperature which was found to compare well with the more detailed approaches: otherwisePE Tif TR PE a ae 0 05 100 5 = >+ + = λρ Where: PE = Potential evapotranspiration (mm/day) Re = Extraterrestrial radiation (MJ/m2 /day) λ = Latent heat flux (MJ/kg) ρ = Density of water (kg/m3 ) Ta = Mean daily air temperature (o C) derived from long term average In the UK the Met Office is responsible for managing operational evapotranspiration calculation systems including MORECS and MOSES that can provide daily or monthly PET for any point in the UK. Where there is a full meteorological station the original Penman equation or Penman-Monteith equation is often used and this is the standard approach promoted by FAO in their guidance for estimating crop water requirements. The Penman equation for potential evapotranspiration is described in detail in Shaw (1983) and Beven (2001). The following equation has been taken from Oudin et al., (2005a): ( ) ( ) ( ) ( ) ( )UUf with UfeeR PE san 536.0163.2 += +∆ −+∆ = γλρ γ Where: PE= Potential evapotranspiration (mm/day) U = Wind speed (m/s) Rn= Net radiation (MJ/m2 /day)
  • 183.
    Project: Development ofHydrological Design Aids (Surface Water) under HP-II Document: 2009097/WR/REP-02 July 2010 State of the Art Report Revision: R0 3-12 WATER RESOURCES λ = Latent heat of vaporisation (taken equal to 2.45 MJ/kg) ρ = Density of water (1000 kg/m3 ) ∆ = Slope of vapour pressure/temperature curve at equilibrium temperature (kPa/o C) γ = Psychrometric constant (taken equal to 6.6x10-2 kPa/o C) ea = Saturation vapour pressure (kPa) es = Actual vapour pressure (kPa) For further information see Shaw (1983) and Beven (2001). Beven (2001) identifies the Penman – Monteith equation as the best simple physics-based calculation of PET available. However the data requirements of net radiation, temperature, humidity and wind-speed are a problem with the physics-based equations (Beven, 2001). Snow Data Snow is assessed for the extent and depth of its cover of a catchment, usually in order to estimate its melt runoff potential. Snow depth was traditionally measured using stakes along a snow course which was regularly monitored. Pits could be dug along this course to estimate snowpack density and a calculation carried out to measure the water equivalent of the pack. The extent of the cover could be assessed by either a ground or aerial survey to provide an estimate of the total seasonal melt water runoff potential. A range of satellites are now in common usage particularly for estimating snow cover extent, although technological developments may allow accurate information about snow water equivalent to be gathered in this way too. Snowmelt models also require meteorological data. The degree-day method is the simplest and most commonly used snowmelt model, relating snow melt to the difference between air temperature and a critical temperature for melting (Beven, 2001). The following equation for the daily snow melt rate by the degree-day method has been taken from Beven (2001): ( )FTTFM −= ,0max Where: M = Melt rate as a water equivalent per unit area (L/T) F = Degree-day factor (L/T/K) T = Mean daily air temperature (K) TF = Threshold parameter (K) close to freezing point of water Snowmelt models are available that attempt to include temperature of the snow pack, impact of precipitation, variations in local radiation balance and changing snow pack area, although these models have large data requirements (Beven, 2001). Further detailed information on snowmelt modelling is provided in Section 3.1.6. Observed Flow Data Observed flow data from gauging stations in the catchment are required to calibrate rainfall- runoff models. For water resources rainfall-runoff modelling, daily average flows are required covering a long time period, for example, in the UKWIR study, flow data covering the period 1961 to 1991 were required. This is to enable assessment of long term trends, for example number and severity of droughts and then to model changes under climate change. Where catchments are ungauged river flows can be estimated empirically or based on modelling in a similar catchment.
  • 184.
    Project: Development ofHydrological Design Aids (Surface Water) under HP-II Document: 2009097/WR/REP-02 July 2010 State of the Art Report Revision: R0 3-13 WATER RESOURCES Catchment physiographic characteristics The physiographic characteristics of a catchment dictate its hydrological processes to a large extent. The characteristics which play the most important roles are: • Area • Shape • Orientation • Slope • Relief • Stream Morphology Data relating to these topographic factors are often used to derive further indicators of a catchment’s physical nature, for example: • Maximum, minimum and mean elevations are often used in hydrological studies. • Catchment length, defined as the distance along the main channel from the catchment outlet to the topographic divide. • The slope of the main channel defined by the difference in elevation between two points, perhaps at 10 and 90 percent of the main stream’s length. • Drainage density, being the ratio of the total length of steams to the catchment area. Catchment hydrological parameters Catchment hydrological parameters include the following: • Landuse / vegetation classes • Soil types • Geology These data can be used in the estimation of soil moisture parameters, porosity and interception capacity in the modelling. There follows a table (3.1) summarising the main data types used in water resources assessments in the UK, along with information on the type of data, the required time intervals, and any perceived data management issues. Table 3.1 Main data types used in water resources assessment Data Required time interval Type Data management issues Rainfall Daily Point Obtaining data from enough gauges to give a good representation of spatial variability within the catchment. Combining data from different gauges in to a series of continuous records. Removing gaps or poor data before any calculation of areal rainfall. Rainfall Daily Radar areal rainfall Post processing of radar data. Calibration of radar rainfall against ground level gauges. Temperature Daily Point or areal PET Daily Point or areal PET data from observations over a single year,
  • 185.
    Project: Development ofHydrological Design Aids (Surface Water) under HP-II Document: 2009097/WR/REP-02 July 2010 State of the Art Report Revision: R0 3-14 WATER RESOURCES repeated for the entire record length. PET calculated from the observed temperature. Flow Daily Actual or naturalised Post processing to fill any gaps in the data. Calculation of flows based on donor gauging stations if part of the flow record is missing or the catchment is ungauged. Issues with measurement in remote and mountainous areas The technology exists to make measurements of all the environmental variables described above to a satisfactory level of accuracy for modelling and reliable forecasting. However, in a country such as India which covers an extremely large area and encompasses a vast range of different environments, it is not practical to provide the best available technology for measurement at every point. It is not economically efficient to spend limited funds on providing climatic measurements in areas where weather does not directly affect significant numbers of people or economic activity. Remote mountainous areas are excellent examples of those where it is rather impractical to install and maintain equipment to measure precipitation or evapotranspiration. Furthermore, the heterogeneity of mountainous environments mean that even where it is logistically feasible to make some point measurements, interpolations between them are far less meaningful than in flatter more homogeneous environments. Even where measurement equipment can be installed in mountainous areas, the harsh environment often leads to damage or malfunction, causing gaps in records or periods of poor data quality before repairs or replacements can be carried out. In contrast with normal rainfall-runoff modelling which requires only precipitation data, modelling of mountain hydrology requires a secondary input of energy. This relates both to the initial form of precipitation as solid or liquid (leading to vastly different runoff times from minutes to tens of years if becoming part of a glacier), and to the melting of accumulated snow and ice and the resulting runoff. These constraints make it necessary to interpolate measurements from gauging stations which already exist and ideally have long-term records – to facilitate model calibrations. This constitutes another aspect of hydrological modelling in mountainous areas - the need to effectively model the input data themselves. Rather than simply processing data for use in a model, the data for use in mountain hydrological models must be modelled from the data available. These stations generating data are often not only long distances from the site of interest for hydrological investigation, but have significantly different characteristics, not least in terms of elevation. Precipitation, air temperature, vapour pressure, incoming radiation and wind speeds are all variables which change with altitude, requiring not only interpolation between stations but adjustment to account for altitudinal and orographic effects. Lapse rates are most often used to account for change in temperature with altitude and a rate of temperature decrease of 6.49°C/1000m being the standard described by the International Civil Aviation Authority between sea level and 11,000mASL. Adjusting other environmental variables for altitude is more complex. Precipitation for example, is more likely to occur as snow at higher altitudes due to lower temperatures. Orographic effects can also increase the amount of precipitation occurring however, as moist air masses are forced upwards into the atmosphere by the terrain, causing cooling, condensation and precipitation. These effects in themselves are not usually uniform, across a mountain range, leading to vastly greater precipitation on one side of a range to the other.
  • 186.
    Project: Development ofHydrological Design Aids (Surface Water) under HP-II Document: 2009097/WR/REP-02 July 2010 State of the Art Report Revision: R0 3-15 WATER RESOURCES Gathering of clouds unevenly due to orographic effects will also lead to an uneven distribution of radiation inputs from sunlight of course. Other variables are difficult to interpolate as well as to adjust for altitude, which makes modelling and forecasting systems which use a small number of easily obtainable input variables (such as temperature and precipitation) most attractive. Asset data and hydraulic modelling data For water resources system and hydraulic modelling the following asset data are required to represent the water storage reservoir in the model: • Abstracted flows • Discharges in to the river • Historical reservoir levels • Reservoir operating rules • Reservoir outlet structures Reservoir outlets are used to release water to the river downstream. These spillways are used to allow floods to pass over the dam without damage to the structure, and can have crest gates or other structures to control the rate of outflow (Wurbs, 2005). Reservoirs also have smaller outlets such as culverts below the spillway level to allow releases for navigation, hydro-power, or environmental reasons (Wurbs, 2005). Rating curves are used to relate release rates to the water level in the reservoir, these data are required if the operation of the reservoir is to be modelled. Wurbs (2005) indicates that the reservoir storage capacity is divided into vertical zones for different uses at critical water levels. These water levels are required in the model so that rules can be set for different water uses such as conservation, flood control or inactive. Historical reservoir levels are required for calibration of the model. Observed river flows upstream of the reservoir are required to provide inflows to the model. If water can bypass the reservoir then this flow is required for the model. In the case where the reservoir is connected to the river by an intake structure the operating rules or flow record of the intake is required. If gauged flows are not available rainfall-runoff modelling is used to provide the flow at the upstream end of the hydraulic model. Water demand or the rate of water extracted from the reservoir is required for calibration of the model. For scenario modelling this may become a parameter which is varied to reflect future changes in water demand. The various data required for a range of hydraulic models are described in Table 3.2. Table 3.2 Hydraulic models and their data requirements Model type Hydraulic data required Use of data Natural lake empirical equations Observed flow Stage – Area – Volume relationship for the reservoir Derive an empirical relationship between inflow, outflow and storage in the lake Reservoir mass balance model Observed flow Stage – Area – Volume relationship for the reservoir Water demand Used for inflow to the reservoir and calibration downstream Used to calculate reservoir storage and outflow
  • 187.
    Project: Development ofHydrological Design Aids (Surface Water) under HP-II Document: 2009097/WR/REP-02 July 2010 State of the Art Report Revision: R0 3-16 WATER RESOURCES Model type Hydraulic data required Use of data Evaporation Muskingham routing and reservoir model Observed flow hydrographs Data as in reservoir mass balance model Used to calculate the k and x parameters Used for inflow to the river and calibration downstream Used to calculate reservoir storage and outflow Muskingham VPMC routing and reservoir model Flow – velocity – stage rating curves for model nodes Data as in reservoir mass balance model Used to calculate the routing parameters Used for inflow to the river and calibration downstream Used to calculate reservoir storage and outflow Muskingham Cross section routing and reservoir model Cross section survey data Estimates of Mannings ‘n’ Data as in reservoir mass balance model Manning or normal depth calculation used to calculate the routing parameters Used for inflow to the river and calibration downstream Used to calculate reservoir storage and outflow Hydrodynamic model Flow – level rating curve at downstream end of model Data as in Muskingham cross section routing model Downstream boundary of the hydraulic model To solve the hydrodynamic equations Used for inflow to the river and calibration downstream Used to calculate reservoir storage and outflow Data consistency checks The UK Environment Agency defines quality assurance as: ‘the process of confirming that the data held is a reliable depiction of the variable being measured’. In the UK, all surface water monitoring sites are assigned a Quality Assurance Standard (QAS). The standard defines the level to which data from the site should be quality assured. Table 3.3 shows the types of data to which this applies. There are five levels of quality assurance as shown in Table 3.4. Data should not be quality assured to a higher standard than prescribed. Table 3.3 Types of data to which QAS apply Data type Examples River levels From gauging stations From level recorders (permanent/temporary) Derived flows From ratings and power-law equations From theoretical weir equations From other formulae Directly measured flows From ultrasonic gauges From electromagnetic gauges From dopplers and other meters Summary flow data Daily mean, monthly mean etc Annual maxima Peaks over threshold
  • 188.
    Project: Development ofHydrological Design Aids (Surface Water) under HP-II Document: 2009097/WR/REP-02 July 2010 State of the Art Report Revision: R0 3-17 WATER RESOURCES Data type Examples Gate position data Gate open/closed Gate angles Naturalised and other modelled data Naturalised river flows Modelled daily mean flows Reservoir/Lake levels Percentage of live reservoir capacity Table 3.4 Description of the steps taken for each level of quality assurance Quality Assurance Standard Definition Level 1 No quality assurance • No Environment Agency quality assurance (data loaded only). Only automatic flags applied Level 2 Basic quality assurance • data that area present are checked; • errors are removed; • data are flagged and commented; • no infilling, quality data are not assured, no long term checks on data are carried out and no intersite comparisons made. Level 3 Standard quality assurance • erroneous data are removed and corrected; • missing data are infilled where sensible to do so; • summary data are quality assured; • data flagged and commented. Level 4a Full quality assurance • errors are removed and corrected; • missing data infilled where sensible to do so; • corrections made where sensible to do so; • summary data are quality assured; • inter site comparisons; • long term consistency checks; • data are flagged and commented. Level 4b 3-Yearly quality assurance • assess river flows against areal rainfall; • check catchment water balances; • convert annual mean flows to runoff; • update gauging station Data Quality Measure; • review the method of deriving flows. Where modelled or naturalised data have been produced from time series data, the product data should be quality assured to the same standard as the time series from which they were produced. This will be a minimum of Level 4a but perhaps even Level 4b. Unless the time series is subsequently changed, this quality assurance only needs to be carried out the first time the time series is used.
  • 189.
    Project: Development ofHydrological Design Aids (Surface Water) under HP-II Document: 2009097/WR/REP-02 July 2010 State of the Art Report Revision: R0 3-18 WATER RESOURCES Techniques for filling of gaps Before data can be considered to be of suitable quality and quantity to be used in water resources assessments, those data may need to be improved; such ‘improvement’ might involve: • replacing those data with data from a backup instrument; • modifying what was recorded; • modelling a new series to replace what was recorded; • adding factual comments and making full use of the information contained in the field log sheets; • using appropriate quality flags. This section reviews the techniques widely used for infilling gaps in data. Choice of infilling technique should depend on the duration of the gap in the data and the supporting evidence available for infilling. All decisions on which infilling technique to use should be based on judgement of experienced staff who are familiar with the characteristics of the water body. The standard guidelines for infilling of data are as follows: • backup data from the same site should be used wherever possible for infilling; • where suitable backup data are not available, Table 3.5 gives guidelines for limits of how much sequential data to infill at a 15-minute data time step; • limits given in Table 3.5 can be exceeded after consultation with experienced hydrologists; • where the gap in 15-minute data exceeds the limits given in the table and supporting information only enables infilling at a daily time step, then inflow the daily mean flows instead. Table 3.5 Guidelines for limits of infilling data where gaps or errors exist Scenario River type Good comparative site (should be flagged as ‘estimated’) No comparative site and no knowledge (should be flagged as ‘suspect’) Stable conditions (no recent rainfall) Unresponsive flow regime Up to five days Up to six hours Responsive flow regime Up to two days (192 15-minute values) Up to two hours Rising limb/falling limb Unresponsive flow regime Up to six hours Do not infill at 15-min time step Responsive flow regime Up to two hours Do not infill at 15-min time step Peak flows Unresponsive flow regime Do not infill unless wrack marks, gaugings or other hydrological info is available. Set rating limit in rating curve management tool to ensure data exceeding these limits are flagged as ‘beyond limit’ Do not infill at 15-min time step Responsive flow regime Do not infill unless very good supporting Do not infill at 15-min time step
  • 190.
    Project: Development ofHydrological Design Aids (Surface Water) under HP-II Document: 2009097/WR/REP-02 July 2010 State of the Art Report Revision: R0 3-19 WATER RESOURCES Scenario River type Good comparative site (should be flagged as ‘estimated’) No comparative site and no knowledge (should be flagged as ‘suspect’) info is available (that is wrack marks, gaugings or other hydrological info is available). Set rating limits in rating curve management tool to ensure data that exceeds these limits are flagged as ‘beyond limit’. Table 3.6 gives examples of some techniques which might be used under various circumstances. More specifically, when infilling consecutive 15-minute measured data there are guidelines that should be followed: • if it is not sensible to flag erroneous data as suspect and there are no reliable means of infilling or correcting, then data should be removed and the gap treated as missing data; • only correct source data if they are erroneous; • consider whether it is more appropriate to make changes to the rating rather than the recorded data; • apply corrections to data as close to measured source as possible as long as it is realistic to do so; • where levels have been affected by plant growth or other obstruction to flow, there are a number of options to be considered. Adopt a risk based approach, considering the consequences of the changes made and elect from the following: − where impacts on flows are minimal, apply drift correction and flag the data as ‘estimated’ or ‘suspect’ with additional comments if impact is increased. − where impacts are greater, or it is important to provide accurate flows, it may be necessary to develop a new rating for the erroneous data period. If this is not possible and levels are significantly raised, then it may be preferable to modify levels to better estimate the flow. If it becomes necessary to use data from a ‘partner site’ for comparison or infilling of data, then sites on the same river are generally more closely related than sites in adjacent catchments. Where a suitable site on the same river is not available, then a nearby site in a catchment with the same or similar following characteristics should be used: • climate • geology • soil types • catchment area • land-use • artificial influences A comparison of the flow-duration curves between two gauging stations provides a simple way of judging their similarity.
  • 191.
    Project: Development ofHydrological Design Aids (Surface Water) under HP-II Document: 2009097/WR/REP-02 July 2010 State of the Art Report Revision: R0 3-20 WATER RESOURCES Techniques for extension of time series – general River flow records need to be extended to produce longer records than those of empirical data for various purposes. This has become especially pertinent in the UK, with the need to assess drought resilience in the face of multi-season droughts. When considering the design capacity of reservoirs and contemplating the resilience of the water supply to drought, it is necessary to analyse the ‘worst case’ extent of droughts which are likely to impact upon a system with a given frequency. Definitions of drought can be complex, but at its most basic, an extended period of low flows into a reservoir which is drawn down at a higher rate than the combined inflows, will eventually lead to an exhaustion of the resource. As always it is desirable to strike a balance between the costs and benefits of different management approaches and excessive caution will lead to a non-optimal solution. It is therefore prudent to carry out an assessment of the realistic ‘worst case’ drought scenario as would be for probable maximum flooding. The most reliable way to assess what is possible/probable is to base estimates to a greater or lesser extent, on historical data. The systematic recording of river flows is a relatively recent development worldwide, as a detailed understanding of flow processes is required to link stage to discharge through a suitable river section. In the UK, apart from a number of exceptions, the river flow records do not extend back further than 1950 or 1960. It is difficult to place the lower flow periods observed since the start of these records into a long-term historical context – there is no direct record of the natural variability of the systems over a longer period. The approach usually taken in the UK is to extend the river flow data back by developing a relationship with rainfall records, which are much more extensive. Rainfall records as monthly totals often stretch as far back as 17th century in the UK. Due to the timescales of the hydrological processes linking rainfall to river flows, monthly totals are still within the bounds of suitable resolution for use in this context.
  • 192.
    Project: Development ofHydrological Design Aids (Surface Water) under HP-II Document: 2009097/WR/REP-02 July 2010 State of the Art Report Revision: R0 3-21 WATER RESOURCES Table 3.6 Example methods of correcting or infilling gaps in data, their suitability and application Method Comments Suitability Application: 15 minute data Application: daily mean data Back up data Usually the most accurate means for infilling gaps. Back up data are the best sources of data to replace poor quality data from the primary instrument. Use as necessary - should be flagged as ‘good’ N/A Arithmetic corrections A reliable means of correcting a systematic error. Use to correct instrument drift, ‘stretching’ or ‘compressing’ of data. Can be very accurate especially when combined with inference. Use as necessary – should be flagged as ‘good’ N/A Inference This is an intuitive estimate – akin to a hand drawn line of ‘best fit’ in a data series. Base the infill on supporting evidence at the site or at a partner site. Use for relatively minor and usually short gaps in the record. Can be used to correct displacements caused by work at a site, or instrument problems such as blockages, weed growth clearance, obstructions or lightning strikes. Where there is a good comparative site, up to one day. Up to three hours where there is no comparative site. Should be flagged as ‘estimated’. Where there is a good comparative site, seven days. Where no comparative site, two days. Should be flagged as ‘estimated’. Interpolation Interpolation closes a gap in a time series by: • Extending a trend between the recorded data points either side of the gap (for example an exponential decay during low flows) • Simple bridging using a straight line (as with auto-interpolation) • Using the spline technique to insert a non-linear/curved line that can be used for inserting peaks or troughs, Use to fill a very short gap when it can be confirmed by backup data but is quicker than actually using backup data. The data series can be expected to behave in a steady way over the gap. It must not be used for highly variant time series. Do not use if it causes a sudden step in the data that is untypical for the site. Where there is a good comparative site, up to one day. Where no comparative site is available, up to three hours Should be flagged as estimated Where there is a good comparative site, two days. Where no comparative site is available, one day. Should be flagged as estimated.
  • 193.
    Project: Development ofHydrological Design Aids (Surface Water) under HP-II Document: 2009097/WR/REP-02 July 2010 State of the Art Report Revision: R0 3-22 WATER RESOURCES Method Comments Suitability Application: 15 minute data Application: daily mean data especially where additional information is available. Do not remove the steps by re- profiling the observed data Auto- Interpolation Fills a gap by bridging the two points at either side of the gap with a straight line. Do not use this technique as it does not use any hydrometric or hydrological knowledge. N/A N/A Modelling Use to estimate data using relationships between site data and that at other sites. Modelling may involve statistical, analytical and numerical techniques, ranging from transposing or scaling data form nearby sites to complex process representations. It includes hydraulic and hydrological models. Hydrological and hydraulic models: • Accuracy, and the resolution of the model result, is very dependent on the model used; • Hydrological and hydraulic modelling can be an expensive way to fill gaps; • Modelled data contains errors arising from both measurement and model performance. Statistical models: • It is rarely appropriate to develop a hydrological model specifically for infilling missing data. Where models already exist, for example a flood or water resources model, they can be used to infill production, derived or summary time series • Proportionally fitting data from a neighbouring site can be carried out within the Environment Agency’s data management software It is subject to the same requirements as the development of other models and must not be used at 15-minute resolution N/A Up to six months of daily mean flow data Modelling can be used to infill a larger gap in a summary time series where there is a break in a valuable long record. Should be flagged as ‘estimated’
  • 194.
    Project: Development ofHydrological Design Aids (Surface Water) under HP-II Document: 2009097/WR/REP-02 July 2010 State of the Art Report Revision: R0 3-23 WATER RESOURCES Method Comments Suitability Application: 15 minute data Application: daily mean data • Accuracy is dependent on the model fit; • Cheap and reliable techniques where there is a good comparative site
  • 195.
    Project: Development ofHydrological Design Aids (Surface Water) under HP-II Document: 2009097/WR/REP-02 July 2010 State of the Art Report Revision: R0 3-24 WATER RESOURCES One simple approach is a basic regression analysis and this has proved successful in the UK in conjunction with long term average potential evapotranspiration data to extend a series of reference catchments back to the 1850s (Jones, 1984, Jones and Lister, 1998). However, more complex statistical, conceptual rainfall-runoff and stochastic methods can be used to refine the predictions. Similar methods are used in India, for exampe, Raman et al. (1995) compared five different approaches to extending streamflow data for a case study catchment (Site A) with only limited rainfall and streamflow data but a longer rainfall record in a neighbouring catchment (Site B). No other meteorological data were available for either catchment. These five methods illustrated well the range of complexity available even among the most basic, which lie on the boundary of being classed as ‘models’: 1. Runoff coefficient model (RCM); 2. Single regression model (SRM) between Site B rainfall and Site A runoff; 3. Monthly linear regression model (MLM) between Site B rainfall and Site A flows; 4. Monthly linear regression model with stochastic modelling of residuals (MLS); 5. Double regressed monthly model (DRM). This work demonstrated the Monthly linear regression with stochastic modelling of residuals to be the most effective approach as judged by the minimum errors criteria when judged against the other models. The approach performed well for the monsoon season, although it predicted high flows more accurately than low flows for the non-monsoon periods. As mentioned above, flow records are extended for various reasons and as the specific needs of a dataset extension vary, the methods used tend to be tailored to these needs. The most standardised data set produced in the UK was carried out by the Climatic Research Unit at the University of East Anglia, originally for the UK Environment Agency but updated more recently to include the low flow periods in the first decade of this century. The idea behind this work was to select a number of catchments across the UK which were representative of the various characteristics such as climate and geology. The 15 catchments selected were also geographically distributed across the UK, providing a national dataset of reference monthly mean flow records extrapolated back to the 1850s. The intention was that basic flow data could be ‘transferred’ to other ‘similar’ catchments on a regional basis (Jones and Lister, 1998). The reconstructions were carried out using a statistical catchment model developed by Wright (1978) and based on catchment areal rainfall. The catchment rainfall data required were averaged from a number of homogeneous records across each catchment. Jones (1984) and Wigley et al. (1984a) estimated that five or six records were needed in a catchment of up to 1500 km2 to give a specified level of accuracy. These records had to be manually selected from UK Meteorological Office and National Rivers Authority (now the Environment Agency) records, assessing the quality as well as the location and the length of the record. On occasion it was necessary to use a raingauge a short distance outside of the study catchment. Where ‘homogeneity standards’ are to be applied, it is necessary to use one long and sufficiently ‘local’ rainfall record which is known to be homogeneous (Craddock, 1977, Jones, 1980, 1981). Correction factors were applied to create homogeneous gauge records from the six or seven sites prior to the averaging calculation to produce a catchment rainfall series. The averaging process used the following equation: ∑= = N i i i g AAR AAAR ACC 1
  • 196.
    Project: Development ofHydrological Design Aids (Surface Water) under HP-II Document: 2009097/WR/REP-02 July 2010 State of the Art Report Revision: R0 3-25 WATER RESOURCES Where: gi = the monthly total at gauge i of N gauges AARi = the 1961-90 annual average rainfall at gauge i* AAAR = the 1961-90 areal annual average rainfall for a catchment** ACC = the monthly average catchment rainfall * if 1961-90 standard-period values not available, 1941-70 values used ** 1961-90 standard-period values not commonly available so other reference periods used It was noted that for this work, no correction was made for snowfall, although it could be a significant factor in some of the catchments chosen. Correction for snowfall could become necessary due to the non-standard pathways of transition from precipitation to measured river flows. Production of these homogeneous rainfall records was by no means a simple or straightforward task even using UK rainfall records which are relatively good by international standards. Flows on most of the rivers were significantly modified, requiring a naturalisation of the flow data available for them. Similar to the rainfall processing, this was a complex process requiring significant investment of resources, especially where the primary mode of abstractions was from groundwater. Defining the timing of groundwater influences on streamflow was particularly challenging. Calibration of the statistical models of each catchment was carried out independently and did not necessarily use the same data periods due to variations in the period of data availability. Monthly flow reconstructions were however, produced for the period 1850-2002. The most obvious source of uncertainty is in the catchment rainfall records generated, but the naturalisation of flows is also problematic. The models were assessed for modelled flows against observed flows over the period 1980-2002, which showed that 11 of the 15 catchment flows were within 8% for mean annual flows. For the Q95 statistic which is often quoted for low flows (the monthly flow which is equalled or exceeded 95% of the time), all but one of the catchment values were within 15% - the one catchment not within 15% was over 50% out however (Jones, 2006). The following sources of error are noted for further consideration due to the relatively simple current methodology (Jones, 2006): • The use of constant monthly values for evapotranspiration losses; • The potential for snow packs to build up in winter periods, particularly in colder winters, on the catchments having significant areas at high elevation; • Possible modification of the regression relationships through time due to factors such as changes in land management and/or use; • Changes in the locations and numbers of rain gauges in the catchments; • Errors in flow measurement and naturalisation. Guidelines for hind-casting river flow and other climate records were developed in a project by HR Wallingford (2009) for the UK Environment Agency on the impacts of long droughts on water resources. Although these guidelines are relevant specifically to data available in the UK, they demonstrate the benefits of carrying out the earlier work on catchment standard flow hind-casting which provided these datasets. The guidelines are included in the following section of this report. Where data are particularly limited there are alternative methods that are based on using historical evidence of high or low flows to estimate the probability of floods or droughts. For
  • 197.
    Project: Development ofHydrological Design Aids (Surface Water) under HP-II Document: 2009097/WR/REP-02 July 2010 State of the Art Report Revision: R0 3-26 WATER RESOURCES example MacDonald (2007) used of epigraphic evidence for high flows. These consist largely of unofficial markings (often engraved in stone) on bridges and walls showing historical maximum flood depths. These tend to be floods which were considered at the time of the event to be so rare that it probably had not occurred in living memory and was therefore worth preserving as a warning to future generations. Guidelines for hind-casting river flow and other climate records There follows as an overview of available data in the UK and a description of guidelines for different methods for using those data to extend hydrological data series. This is accompanied in Appendix A, by a step-by-step guide to extending and using river flow series for water resource and drought planning as used in the UK. This is included because a similar approach for reconstructing the flows of major Indian rivers may contribute to the development of water resources HDA. Rainfall records The UK is fortunate to have the most extensive network of rainfall recording anywhere in the world. A digital network is maintained by the UK Meteorological Office, and all the available daily data have been digitized since 1961. Earlier daily data have been digitized as a result of exercises such as the Flood Studies Report in 1975. A cursory look through the rainfall archives held at the Meteorological Office and a study of the annual volumes of British Rainfall (a publication of contributions by privately maintained rainfall recording stations; available from 1865 until publication ceased in 1991), however, indicates that before 1961 only a small subset of the potential data has been digitized. The paper rainfall archives (held at the Meteorological Office) also contain the “10-year books”. These comprise monthly totals for each decade up to the 1980s. Each decade was produced in real time from the 1850s, but earlier decades back to the 1670s have been developed between the 1860s and the 1970s. These records can be consulted, and have been used by many to develop long monthly records for individual locations or for large regions and the country as a whole (Jones, 1977, 1981, 1983, Tabony, 1980 and Wigley et al. 1984b). It is these data sources that were used by Jones (1984) and Jones and Lister (1998) to develop rainfall series necessary for river flow reconstruction. This work was labour intensive as there is no index of the lengths of records across the various decades. The volumes of British Rainfall can be used to determine the longer and more continuous series, but the volumes themselves only give annual totals for years before about 1940. The data then need to be digitized and subsequently assessed for long-term homogeneity (consistency of the series through time). This latter aspect is helped by the sheets containing details of irregular site inspections from around 1900. Recently, the UK Meteorological Office has developed daily and monthly gridded datasets (at 5km by 5km resolution) from the available digitized data (Perry and Hollis, 2005a, b). The grids for monthly precipitation extend back to 1914 (Perry, 2006) and are freely available for academic research use (downloadable through the British Atmospheric Data Centre). The grids for daily precipitation extend back to 1958, but are only available for use if purchased. Interpolation uses eastings, northings, elevation and distance from coast (see details in Perry and Hollis, 2005a, b). The daily and monthly grids have been produced independently, so in upland regions the sum of the daily grids is always less than that derived from the monthly interpolation. This arises as orographic effects are better incorporated in the monthly gridding than at the daily timescale. Study of the number of stations used by Perry (2006) indicates that no extensive digitization exercises have been recently undertaken, and considerably more data are available in the “10- year books”. Despite this, the simplest way to derive monthly areal-average series for any
  • 198.
    Project: Development ofHydrological Design Aids (Surface Water) under HP-II Document: 2009097/WR/REP-02 July 2010 State of the Art Report Revision: R0 3-27 WATER RESOURCES catchment in the country would be to use this digital archive for 1914 to the current final year of 2007. Catchment boundaries are digitally available and these have been mapped onto the 5km by 5km grids in the software package EARWIG, developed for the Environment Agency by Kilsby et al. (2007). One advantage of using the Perry (2006) source is that the gridding uses elevation, so should provide the true average rainfall for the catchment to be studied. This might be particularly important in upland regions where many of the gauges are likely to be located in the valleys. Another possibility for extending areal rainfall series to earlier dates would be to use the nearest of the 15 long areal rainfall series developed by Jones et al. (2006) for application in runoff data hind-casting. These all extend back to 1865, and considerably earlier for some of the catchments. The extension could use regression (separately for each month) between the two rainfall series over the period from 1914-2007 or even application of monthly anomalies (percent changes, st-dev or z scores) from a donor site to a target catchment. Runoff records As described above, runoff records have been reconstructed back to 1865 by Jones et al. (2006) for 15 catchments across England and Wales. A list of the catchments is given in Table 3.7 (which has been modified from Jones et al., 2006). Their locations are shown in Figure 3.1.
  • 199.
    Project: Development ofHydrological Design Aids (Surface Water) under HP-II Document: 2009097/WR/REP-02 July 2010 State of the Art Report Revision: R0 3-28 WATER RESOURCES Figure 3.1 Locations of the 15 catchments used in Jones et al. (2006)
  • 200.
    Project: Development ofHydrological Design Aids (Surface Water) under HP-II Document: 2009097/WR/REP-02 July 2010 State of the Art Report Revision: R0 3-29 WATER RESOURCES Table 3.7 Details relating to catchments, catchment observed-flow series (gauged and naturalised) and model calibration periods Catchment Flow gauge NGR of gauge Area (km2 ) 1961-90 precip. (mm) Ave. Flow (m3 s-1 ) Observed flows (NRA) used in earlier work Observed flows (EA) used for the updating Naturalised flows used in the updating Parameter calibration periods Tyne Bywell 45 (NZ) 038 617 2176 1015 45.2 1956-93 1956-2003 1956-1993 1962-1977 Tees Broken Scar 45 (NZ) 259 137 818 1141 16.9 1956-93 1956-2003 1956-1993 1957-1971 Wharfe Addingham 44 (SE) 092 494 427 1383 14.1 1962-93 1973-2003 1995-2000 1964-1977 Derwent St.Mary’s Bridge 43 (SK) 356 363 1054 1012 17.8 1977-93 1935-2003 1977-1997 1977-1993 Ely Ouse Denver Complex 53 (TF) 588 010 3430 587 11.8 1926-93 1950-2003 1980-2002 1962-1977 Wensum Costessey Mill 63 (TG) 177 128 571 672 4.0 1960-93 1960-2003 1964-1974 Thames Eynsham 42 (SP) 445 087 1616 730 13.8 1954-93 1951-2003 1955-2003 1964-1976 Medway Teston 51 (TQ) 708 530 1256 744 11.2 1957-94 1956-2003 1920-1996 1970-1993 Itchen H.bridge+A.brook 41 (SU) 467 213 360 833 5.4 1959-88 1958-2003 1970-2000 1969-1988 Exe Thorverton 21 (SS) 936 016 601 1248 16.3 1956-93 1956-2003 1958-1977 Wye Redbrook 32 (SO) 528 110 4010 1011 74.3 1937-93 1936-2003 1956-1975 Teifi Glan Teifi 22 (SN) 244 416 894 1382 28.9 1959-95 1959-2003 1971-1994 Dee Manley Hall 33 (SJ) 348 415 1019 1369 31.2 1970-89 1937-2003 1969-2002 1970-1989 Eden1 Temple Sowerby 35 (NY) 605 283 616 1272 14.4 1965-93 1964-2003 1965-1977 Eden2 Great Corby 35 (NY) 470 567 1367 1146 34.0 1967-93 1959-2002 1967-1977
  • 201.
    Project: Development ofHydrological Design Aids (Surface Water) under HP-II Document: 2009097/WR/REP-02 July 2010 State of the Art Report Revision: R0 3-30 WATER RESOURCES • All catchment data in Table 3.7 originate from the Concise Register of Gauging stations (see www.nwl.ac.uk/ih/nrfa/station_summaries/crg.html) • Some values are period specific and will differ slightly from statistics given elsewhere • Flow data (for updating) originate from Environment Agency (EA) and Centre for Ecology and Hydrology (CEH) sources • There are known problems with the gauging of high flows on the Thames, Dee and Eden1 • Rating changes will/have affect(ed) observed flow series on the Wharfe, Wye, Eden1 and Eden2 • Naturalisation methods have changed with potentially adverse consequences for reconstructions using original model parameters on the Medway and Itchen • There are doubts as to the homogeneity of observed flow series for the Ely Ouse • The gauged flows for the Wensum have been affected by significant abstractions, just upstream of the flow gauge, since 1988 • Naturalised flows were used for original model calibrations and (where possible) validations on the Derwent, Wensum, Medway, Itchen, and Dee • There are significant periods of missing data within the naturalised flow series for the Tyne and Tees Further details of catchment characteristics, observed and naturalised flow series and calibration/validation exercises can be found in Jones and Lister (1997 and 1998) and Jones et al. (2006).
  • 202.
    Project: Development ofHydrological Design Aids (Surface Water) under HP-II Document: 2009097/WR/REP-02 July 2010 State of the Art Report Revision: R0 3-31 WATER RESOURCES The reconstructions use the long monthly rainfall records discussed in the previous section and a statistical rainfall-runoff model developed by Wright (1978). The model is calibrated using values of the logarithms of mean monthly river flow. These are related by regression to linear combinations of data on soil moisture (estimated from precipitation and actual evaporation) and effective precipitation (precipitation minus actual evaporation) and a number of constants (see Wright, 1978, for full details). The empirical nature of the statistical model requires that homogeneous input data for rainfall and flows are sufficiently long for both calibration and validation exercises. For catchments with significant artificial influences (e.g. abstractions/discharges), it is essential that naturalised flow series are used for calibrations/validations. In addition, it is important that calibration periods contain a wide range of climatic conditions for optimal results when reconstructing flows outside of the calibration period. Extensions further back to 1800 have been developed for a smaller number of catchments (Jones et al., 2006). Reconstruction of flows requires both homogeneous series of areal rainfall and monthly estimates of catchment-average actual evaporation, average values of the latter (which are unvarying from year to year) having been derived by Wright (1978), based on simple water balance assumptions. The use of the same twelve monthly estimates of actual evaporation was argued by Wright (1978) to produce more reliable estimates of monthly flows and the resulting validation statistics bear this out (see e.g. Jones et al., 2006). It also saves considerable effort in developing long series of potential evapotranspiration for each catchment. Figure 3.2 shows the reconstructions of flows for the 1907-11 period compared to observations taken at the time (Strahan et al., 1916). With future climate change, it is unlikely that the assumption of constant actual evaporation will hold into the future but it has been shown to be adequate for the validation periods used in the 20th century. The goodness of fits of the results also imply that changes in land use across the 15 catchments have had a negligible effect on long-term flow statistics. Figure 3.2 Reconstructed and measured river flow on the River Exe from 1907-11 Extensions with neighbouring catchments The 15 catchments where reconstructions have been developed can be used with regression to provide extensions for neighbouring catchments. Care should be taken in the choice of which of
  • 203.
    Project: Development ofHydrological Design Aids (Surface Water) under HP-II Document: 2009097/WR/REP-02 July 2010 State of the Art Report Revision: R0 3-32 WATER RESOURCES the 15 to use, selecting not just the nearest or just one, but bearing in mind the geology of the catchment particularly with respect to the contribution from groundwater to surface flow. Previous work on changes in monthly and seasonal flow from the 1961-90 average has shown that the baseflow index and seasonal climate data provide the best basis for selecting donor catchments rather than distance (Wade and Vidal, 2007). Extensions with neighbouring catchments could be developed directly with the reconstructed flow series, but the areal rainfall series could also be used together with the rainfall-runoff model that works best for the catchment where extensions are needed. Extensions to the daily timescale Almost all UK water companies have complex models of their river and water resource systems, which have been calibrated with observational values of rainfall, river flow and other series. These are generally run at the daily timescale. In order to take advantage of the long reconstructions of monthly flows, an earlier EA-funded study (Jones et al., 2006 and Wade et al., 2006) used regression and a re-sampling technique to derive all the necessary daily input data to drive two water resources models. In these studies, monthly historic observed data were used with regression analysis to derive all the necessary monthly timescale inputs. The re-sampling technique then selected daily sequences appropriate to the estimated monthly average flows from the measured data. This approach would be inadequate for flood-related studies, but is very suitable for water resource studies where low flows are of primary importance and particularly for lowland pumped storage schemes. The resource model can then be used with 150-200 years of reconstructed flow sequences to determine how recent observed droughts compare, with respect to measures such as levels of service with recent demand levels, to earlier droughts. Jones et al. (2006) provides a step-by-step guide of the process to develop the necessary input data for a resource model. Other climate variables The only other potential variable that might be needed would be air temperature. For anywhere in England and Wales, the Central England Temperature (CET) developed by Manley (1974) and updated in Parker et al. (1992) can be used again using the differences in temperature measured locally and that from CET (which extends back to 1659/1772 on monthly/daily timescales). Local temperatures can be extracted from the 5km by 5km gridded sources discussed earlier (Perry and Hollis, 2005a, b and Perry, 2006). Examples of the approach are given in Jones et al. (2006) and Wade et al. (2006). Techniques for naturalisation of time series data For hydrological design purposes it is important to understand the natural flows in a basin, which requires a range of time series analysis techniques. This allows an assessment of whether observed variability in flows is due to natural processes or changes in the anthropogenic influence. Natural flow in a watercourse can be considered to be that which would occur if no anthropogenic influences were occurring. In practice this is unlikely, so the concept of a ‘fundamentally unaffected’ flow has developed: "For a catchment upstream of your gauging station, small volume artificial influences may be present, but will not have a significant effect either on water level, volume or flow."
  • 204.
    Project: Development ofHydrological Design Aids (Surface Water) under HP-II Document: 2009097/WR/REP-02 July 2010 State of the Art Report Revision: R0 3-33 WATER RESOURCES In their Hydrological Yearbooks however, the UK Centre for Ecology and Hydrology (CEH) defines a natural flow regime as one where: “….there are no abstractions and discharges, or the variation due to them is so limited that the gauged flow is within 10% of the natural flow at, or in excess of, the 95%ile exceedence flow" But this raises issues about abstractions and discharges cancelling each other out to produce a combined flow within the stated limits. It is difficult to decide whether the anthropogenic influences on a catchment are significant until their impact is assessed, and thereby the current ‘naturalness’ of the catchment. The key action is to assess whether naturalisation is actually necessary for the flow data. The main stages in this are described below as recommended by the UK Environment Agency (2001): 1. Identifying the purpose of the naturalisation. This will ensure that the naturalisation achieves the desired goals. The appropriate accuracy for the flow series and the detail required in its end use should be clarified at this stage. Other possible future uses of the naturalised flow series should be considered or opportunities for use and all intended uses should be clarified in writing at the beginning of the process. The level of detail required in the naturalised data will dictate how many influences are included in analysis and how data synthesis should be carried out. 2. Knowledge of the catchment. Information about the character of the catchment should be collated, possibly with the use of a form such as that shown in Table 3.8. This will help to develop a conceptual understanding of the processes occurring. Table 3.8 Form for identification of character of a catchment (Environment Agency, 2001)
  • 205.
    Project: Development ofHydrological Design Aids (Surface Water) under HP-II Document: 2009097/WR/REP-02 July 2010 State of the Art Report Revision: R0 3-34 WATER RESOURCES In situations where there is significant interaction between surface and groundwater, it is important that hydrologists and hydrogeologists who have knowledge of the catchment work together to develop a robust conceptual model of these interactions. A schematic diagram and cross-sections of the conceptual model may help to record this understanding. Areas of concern with the flow data for the catchment include: • The location of the flow gauging station in relation to the area or catchment of interest; • The length of the continuous record and the extent to which infilling is necessary. The method of infilling and the length of the gap will directly impact flow record accuracy and the naturalised sequence; • The suitability of the site for deriving accurate statistics across the full flow range; • The location of the flow gauging station in relation to the significant artificial influences. This is especially the case where a significant artificial influence which has a local impact is situated a long way upstream from the flow gauging station. Flow data quality must also be assessed, as erroneous data can cause problems with naturalisation data which are difficult to trace back. The Environment Agency guidance only considers abstractions, discharges and impoundments as the anthropogenic influences on a catchment. It is important to consider: • Quality of artificial influence data; • Effect of uncertainties in the data on the overall naturalisation; • Availability of artificial influence data; • How artificial influences operate within the catchment; • The balance of the influences (i.e. net effect). Further questions which need to be asked in order to ascertain the scale of the naturalisation work in terms of data gathering, processing and validating, are: • How many influences are there? • Are there many large non-consumptive abstractions? • Are there any authorisation conditions affecting the flow regime such as prescribed flows? • Are there any unconsented abstractions or discharges? • Are there deprived reaches that are impacted by surface water diversions such as leats? • Are there any inter-catchment transfers? • How far are the major influences from the gauging station? • Are there any impoundments/reservoirs/large lakes? • Are the impoundments for direct supply, river regulation, or flow compensation? • Are there any large groundwater abstractions? • Are there any canals and how do they impact the hydrology of the catchment? The point of impact of each artificial influence on the river’s flow needs to be defined, although this can prove challenging particularly when considering groundwater abstractions which often impact over a wide area. Further complications arise where the impacts of a groundwater abstraction are spread not only over the catchment of interest but one or more other catchments. This kind of situation requires the assistance of an experienced hydrogeologist to define.
  • 206.
    Project: Development ofHydrological Design Aids (Surface Water) under HP-II Document: 2009097/WR/REP-02 July 2010 State of the Art Report Revision: R0 3-35 WATER RESOURCES The following considerations should be taken into account when identifying and describing artificial influences: • Changes in influences over time; • Out of catchment surface water influences – transfers into or out of the catchment, etc; • Differences between surface water and groundwater catchment boundaries but interactions between them – this should be part of conceptual model definition involving hydrologists and hydrogeologists; • Permanent influences of longer history than the flow records may not need accounting for if generally stable and expected to continue to be so. Decisions to omit influences should be clearly recorded however; • Care should be taken to define whether reservoirs are on-line or off-line as this changes significantly how they should be represented in naturalisation calculations. Once the need to naturalise flows by decomposition has been confirmed by the considerations above, the expensive and time consuming work of assessing the positive and negative impacts on flows from all sources can begin in earnest. It should also be noted that uncertainties in estimations of artificial influences can be much greater than uncertainties associated with flow measurement – where flows might have an uncertainty of +/-5%, artificial influences could be out by as much as +/-40% (WMO, 2008). Should the process of assessment decide that naturalisation by decomposition is not the best option, then other options should be considered such as rainfall-runoff modelling. A wide range of other techniques are available to obtain naturalised flow regime estimates. Most are based on modelled rainfall runoff approaches using computer models such as HYSIM (Manley, 1994), models which use catchment characteristics to generate a natural flow sequence such as Low Flows 2000 (CEH, 2000) and numerical groundwater models such as MODFLOW (McDonald & Harbaugh, 1988). One of the keys to assessing the impacts of artificial influences on flows is the improvement of data relating to those influences. Effort should be made to improve the availability of these data both through requirements for monitoring of abstractions and discharges and dissemination to users through media such as the internet. Development of national digital databases of catchment characteristics and flow data can also be of great benefit in using analogous catchments to estimate flows in ungauged catchments (WMO,2008). Estimation of flows at ungauged sites The WMO manual on low flow estimation (WMO, 2008) presents state-of-the-art procedures for estimating low river flows at all sites, regardless of the availability of observed data. It classifies estimation methods into three groups: • Empirical methods: these aim to account for the primary influences on streamflow in order to graphically or analytically estimate low-flow indices. Methods use analogue catchments which have a similar hydrological response to precipitation and evaporation demand, and which have synchronous flows. Such transposing of stream-flow data is a widely used technique whose accuracy can be increased if there is a short period of record at the target site. An operational example of this is the LowFlows 2000 software from CEH UK (Young et al., 2003), which is used for estimating natural and artificial low-flow statistics at ungauged sites in the UK. In the case that a short record is not available, an assessment must
  • 207.
    Project: Development ofHydrological Design Aids (Surface Water) under HP-II Document: 2009097/WR/REP-02 July 2010 State of the Art Report Revision: R0 3-36 WATER RESOURCES be carried out of whether it is worthwhile carrying out a short period of monitoring of the catchment in order to provide this short record. • Statistical methods. Flow estimation at ungauged sites with the aid of multiple regression techniques has gained wide use in applied hydrology. Although this approach is direct, objective and easy to handle, it has the disadvantage that the methods estimate specific low- flow indices rather than the full time series of river flows. • Rainfall-runoff models: these are used to simulate the evolution of the time series of river flows within a catchment. These describe the interaction between catchment structure, rainfall, evaporation and streamflow by representing hydrological processes by mathematical equations. Details are given in Section 3.1.3. 3.1.4 Rainfall-runoff modelling Rainfall-runoff modelling represents the processes involved in converting the total rainfall falling on a catchment into runoff, and as such models are typically used in water resource assessments. Rainfall-runoff models can be: • black box empirical equations based on observed data (Beven, 2001); • lumped conceptual models that attempt to replicate the physical processes (Beven, 2001); • hybrid metric-conceptual models that use a combination of empirical equations and conceptual models (Young, 2001b); or • distributed models that include a spatial component (Beven, 2001). For water resource assessment applications, empirical and conceptual models are most commonly used. The following are well known and widely used models: • Probability Distributed Model (PDM); • CatchMOD; • Data-based mechanistic modelling of environmental systems (DBM); • HEC-HMS; • IHACRES; • HYSIM; • NAM; • SHE. Appendix D presents descriptions of these models. 3.1.5 Water resources system modelling Water resources modelling for water resources assessment generally involves the modelling of water storage systems such as reservoirs and the behaviour of a system, including irrigation areas and major public water supplies. The models include the river system, and the storage reservoir including the intake and outlet structures. These models are applied to the following types of water resource systems: • Single pumped reservoirs • Natural lakes • Multiple reservoirs • Conjunctive use – linked to groundwater
  • 208.
    Project: Development ofHydrological Design Aids (Surface Water) under HP-II Document: 2009097/WR/REP-02 July 2010 State of the Art Report Revision: R0 3-37 WATER RESOURCES The models are used to simulate the following types of scenario: • Yield search to estimate the reliable yield of the system • Behavioural – to investigate how the system operates under different design conditions or operational rules. Including sensitivity or scenario tests for; environmental releases, climate change, and changing regulations. • Allocating storage capacity between different types of use • Optimisation – or reservoir control curves to meet multiple objectives (water supply, flood control etc…) and often to reduce pumping costs There are number of water allocation, water resources system and hydraulic models that can be used in water resources modelling, the following are well known and widely used models: • InfoWorks RS • InfoWorks ICM • HEC-ResSim • MIKE 11 • SOBEK • MISER • AQUATOR • Spreadsheet models • Integrated Source Management Model (ISMM) Appendix E provides details of these models. 3.1.6 River basin modelling The river basin has long been acknowledged as the most sensible level for assessing and managing water resources. Integrated management of all the conflicting demands upon the resource is essential for the sustainability of the resource, on both national and international scales. However, river basins are complex systems containing many interdependent components. A detailed description of the range of river basin modelling techniques used internationally is presented in McKinney et al (1999) Efficient and comprehensive modelling tools are required to enable assessment and management of the resource. There follows a summary of some of the main river basin models used around the world. The Interactive River-Aquifer Simulation model (IRAS) is used in the US for river basin simulation. It simulates flows, storage, water quality, hydropower and energy for pumping in an interdependent surface water – ground water system. It has been applied in India, Canada, the US, Russia and Portugal. IRAS is an open source code, which can be used under a General Public License (GPL). MIKE BASIN (from the Danish Hydraulic Institute) is a quasi-steady state mass balance model that includes flood routing. The user interface is based upon ArcView-GIS. In terms of the suitability of MIKE BASIN for water resources modelling, it contains a number of useful features, such as: two flow routing options for sparse models (spatial and temporal); two types of reservoir (standard or allocation. The allocation reservoir sets a storage right for different uses: water quality and water supply); reservoirs operated to maintain minimum or maximum flows at downstream locations; allows water users to be defined and can set priority rules for particular
  • 209.
    Project: Development ofHydrological Design Aids (Surface Water) under HP-II Document: 2009097/WR/REP-02 July 2010 State of the Art Report Revision: R0 3-38 WATER RESOURCES water users; it can perform both simulation and optimisation modelling. MIKE BASIN is one of the most widely applied river basin models. MIKE BASIN is proprietary software that requires licensing and also a licence for ArcView GIS. The TERRA model (the Tennessee Valley Authority’s Environment and River Resource Aid) is applied to the Tennessee Valley Authority’s complex river basin system, and is not really designed to be transferable to other river basins. It models reservoir operation and power generation operation and can operate in real-time. Similar bespoke models have been developed in the UK, such as MOSPA that is used to model a complex network of resources in the north- west of England and can integrate water and power distribution in a single model. WaterWare was developed by a consortium of EU countries. It has components for demand forecasting, water resources planning, and ground water and surface water pollution. WaterWare has been applied to river basins in the UK, Mexico and Palestine. Again this is proprietary software, which is expensive to license. Lower cost alternatives include WEAP, developed by the Stockholm Environment Institute. 3.1.7 Snow melt runoff modelling Introduction to snow melt runoff modelling Similarly to rainfall-runoff modelling, snow melt models can take various forms in their spatial distribution (from lumped to fully distributed) and in their structure (from empirical to physically- based). Runoff from snow may occur days, months or even years after the initial precipitation event, in the case of snow falling above the permanent snow line which can be converted first to ‘firn’ (old snow that has become granular and compacted as a result of melting and refreezing) and then glacier ice. Snow melt runoff is not only of operational interest in countries with significant snow fall, but in some river basins, for example the Mekong in Southeast Asia, the flow hundreds or thousands of kilometres downstream is dependent to some extent upon snow melt at its mountain source. The countries most directly affected by runoff from snow are those with mountainous areas which experience winter temperatures low enough to accumulate snowpack through the winter. These mountainous areas often form the bulk of river catchments and the runoff from snow melt can provide a second non-groundwater type of base flow during months of low precipitation. A wide variety of snow melt models has been developed at institutions around the world. As would be expected, a number of these models have become more widely used due to their success in predicting runoff at appropriate levels of accuracy. There are two basic types of snow melt model: those based on temperature-related snow melt rates, and those based on an energy budget approach for the snowpack (which are more physically-based). For detailed descriptions of each of the main snow melt models, as well as a comparative table of their input data requirements and general features, see Appendix B: Snow melt model summaries, and for case studies of snow melt applications and use, please see Appendix C: Case studies of snow melt model application and use. The US Army Corps of Engineers (USACE, 1998) suggest that Temperature Index-based models are best suited to normal circumstances, while energy budget models are better at predicting extreme events. Models require input data to run, and the amount of data and the way they are collected can have a significant impact on the suitability of a model for application in any given context.
  • 210.
    Project: Development ofHydrological Design Aids (Surface Water) under HP-II Document: 2009097/WR/REP-02 July 2010 State of the Art Report Revision: R0 3-39 WATER RESOURCES Temperature index methods generally require much less data to generate flow predictions than do energy budget approaches. Similarly, the time taken to process data, run the model and interpret results can help decide whether a particular model is likely to satisfy resource constraints of various kinds, be they computing power or the number of hours and skills which operational staff have to effectively set up and run models. In an Indian context, these resource constraints are likely to be particularly limiting. As a large number of Indian catchments, particularly in the north of the country, are affected by seasonal snow accumulation and ablation, it is important that snow and glacier melt runoff can be accounted for in water resources assessments. This Section therefore addresses the models used most successfully internationally in environments similar to those found in the Indian Himalaya, or indeed models which have been tested in those same mountains. Despite the fact that a large number of snow melt models have been developed over the years for application in both operational and research contexts, there are a number of overriding principles which need to be addressed by these models. Addressing an issue may mean neglecting it as a significant factor in the runoff estimation, but may also mean it is included either physically or conceptually, or accounted for by some kind of lumped parameter. There follows a summary of the issues based on a paper by Ferguson (1999) drawing on a literature review and model inter-comparison done as part of the EU-funded HYDALP project. The primary difference between the hydrological processes affecting water which falls as snow rather than rain, is that where rainfall-runoff depends primarily on intensity of precipitation, snow melt runoff is primarily concerned with the availability of heat energy to cause melting of the accumulated snowpack. Once melted, the water from snow follows many of the same pathways as does rainfall, so many snow melt models are developed from rainfall-runoff models with added routines for simulating snow accumulation and depletion. Some models however, are developed specially for snow- covered catchments, normally in high mountain regions. Whatever the origins of a model, the snow representation must deal in some way or another with the following three operations at each time step (Figure 3.3): • extrapolate available meteorological data to the snowpack, in order to • calculate rates of snowmelt at different points, then • integrate snowmelt over the current area of the snowpack in order to estimate the total volume of new melt water.
  • 211.
    Project: Development ofHydrological Design Aids (Surface Water) under HP-II Document: 2009097/WR/REP-02 July 2010 State of the Art Report Revision: R0 3-40 WATER RESOURCES Figure 3.3 Fundamental operations involved in modelling snowmelt (Ferguson, 1999) The combination of melt water and any rainfall which has fallen on the catchment must then be routed to a selected outflow point where a modelled hydrograph may be needed, either for comparison/calibration with observed data or for some practical use (where calibration/verification is not possible). The model then has to deal with the change in the snowpack as a result of the estimated melt at the last time step, as well as any new snow which may have fallen. The US National Weather Service (NWS) (2002) notes that uncertainties in the estimates of modelled snow states build up during the course of a snow season as a result of both model and data errors: • Model error is introduced because of an inability to perfectly represent the physical processes integrated over a basin. • Data errors are introduced due to measurement errors and the inability to adequately estimate meteorological inputs on an areal basis. • In summary, the issues which must be addressed by a snowmelt model are the following: • Extrapolation of meteorological data • Snowpack heat energy balance • Snow cover and its depletion (one of two methods) − Snowpack modelling − Snow-cover observation and depletion curves
  • 212.
    Project: Development ofHydrological Design Aids (Surface Water) under HP-II Document: 2009097/WR/REP-02 July 2010 State of the Art Report Revision: R0 3-41 WATER RESOURCES • Runoff routing and losses • Model calibration and validation. On the basis of investigations as part of this work, Ferguson (1999) concludes that in melt water hydrology, unlike rainfall-runoff modelling, models with a physical or conceptual basis are dominant over regression equations and time-series models. It is suggested that the main reason for this is the influence of elevation on both snow cover and melt rates, by way of the temperature factor. The most fundamental difference between melt water models is whether they use a method of simulating snowpack accumulation and depletion, or rely on Earth Observation (EO) data in conjunction with depletion curves to model snowpack evolution. It is convenient to avoid reliance on EO data, but explicitly modelling both positive and negative changes in the snowpack introduces greater potential for error in runoff calculation. Ferguson (1999) goes on to predict that demands for real-time forecasting of melt water runoff are likely to increase, suggesting the increasing use of EO data in forecasting, whether as an input in itself or for updating models which accumulate as well as depleting snowpacks. Climate change studies are also likely to increase demand for hypothetical scenario modelling to which physical modelling is better suited – expected future physical characteristics of the environment can be used directly as inputs. As there is no one level of optimum complexity for all types of snow melt modelling, it is highly likely that different types of models will continue to be used where their strengths lie. Snow melt runoff modelling has generally been carried out operationally by a small number of models, used in a wide range of contexts. Probably the most used models in the international research arena are HBV and SRM – the two models which were the focus of Ferguson’s (1999) comparison of snowmelt runoff models. SRM is often considered the only model suitable for sparse data environments such as is often found in mountainous areas, but more particularly in remote mountainous areas. Although these remote areas are not usually inhabited, the impacts of melting there impacts on populations downstream. However, their remoteness does not lend itself to installation and maintenance of weather monitoring equipment. The Himalaya are a prime example of this kind of environment. As the SRM model relies only on temperature, precipitation and snow cover extent data, it is relatively easy to set it up for use where little data are available. Snow cover extent data can usually be obtained from satellite imagery, although various systems can be selected, using different satellites, different resolutions and different spectra for imaging. The NOAA-AVHRR satellite data have been used in numerous studies (Ramamoorthi, 1986; Lavallée et al., 2006; Landesa, 2002; Udnæs et al., 2002) as has Landsat-TM data, and MODIS (Georgievsky, 2009). Ramamoorthi (1987) declared snow covered area to be the main factor in forecasting snowmelt runoff from major river basins, and while this might not be disputable in some respects, attempts have been made unsuccessfully to forecast runoff directly from snow covered extent for a large rain on snow melt event and more normal melt conditions (Georgievsky, 2009). It is generally considered then, necessary to relate snow cover extent, or snow water equivalent (SWE) as an alternative, to runoff using some kind of model. A notable exception to this is the VIPER system developed at the Natural Resources Conservation Service (NRCS, formerly SCS) in the western US (Pagano et al., 2009, Perkins et al., 2009). This is a statistical regression based snow melt forecasting system which selects predictors based on best-fitting historical datasets. Essentially, the system finds the best predictors based on R2 scores and uses these to forecast the April-July melt period runoff. The forecast begins in January and runs automatically on a daily basis. This is an unofficial service which runs alongside the more traditional SNOW-17 model run as a
  • 213.
    Project: Development ofHydrological Design Aids (Surface Water) under HP-II Document: 2009097/WR/REP-02 July 2010 State of the Art Report Revision: R0 3-42 WATER RESOURCES collaboration between the National Weather Service (NWS) and the NRCS. Melt season total predictions increase in accuracy as the year progresses and at best can achieve R2 of over 0.90. Something of a dichotomy has established itself in snowmelt forecasting models, between those which use a temperature index, or ‘degree-day’ method of predicting melt rates (e.g. HBV, SRM, SNOW-17) and those which use a more or less simplified approach to the calculating the total energy balance of the snowpack (e.g. PRMS, SSARR- energy budget method). A description of the two approaches is given below, followed by discussion of combined approaches. Temperature-Index method The temperature-index method assumes an empirical relationship between air temperatures and melt rates and was first used in 1887 for an Alpine glacier (Finsterwalder and Schunk, 1887). This is now the most common approach to melt modelling for the reasons outlined in Table 3.9. The temperature-index method often matches the full energy balance approach on a catchment scale (WMO, 1986) and this has been shown to be because of the physical basis of energy supplied to a snowpack or ice for melting. The longwave atmospheric radiation in combination with sensible heat flux were shown by Ohmura (2001) to provide about ¾ of the energy source for melting, and both these are highly affected by air temperature. Furthermore, global radiation as the second largest source of heat for melting, affects air temperature thereby providing a connection to melt rates. In essence, the temperature-index approach uses a critical temperature threshold below which no melting occurs (often, but not always 0°C). Above this temperature, melting occurs at a rate defined by a degree-day factor (DDF) or melt-rate expressed as millimetres of meltwater, per degree of temperature above the threshold, per day (mm/°C/day). The general form of a model is: ( ) ⎩ ⎨ ⎧ ≤ >− = 0 00 ,0 , TT TTTTf M d ddm KKKKKK K Where M is the daily melt, Td is the daily mean temperature, T0 is the threshold temperature for melting and fm is a melt factor. It should be noted that this melt factor is not the same as the degree day factor (DDF), which is used to calculate melt. Some models use a fixed DDF while some vary the DDF spatially and/or temporally. It is recognised that DDFs usually function as an average for a catchment and are often a calibration parameter (Hock, 2003). Some research has shown melt rate to vary non-linearly with temperature (Braithwaite, 1995) but this is generally ignored in favour of the simplistic approach. Degree-day factors can be calculated from physical lysimeter experiments (e.g. Kustas and Rango, 1994), from monitoring ablation stakes along a snow course (e.g. Braithwaite et al., 1998) or from energy balance computations (e.g. Arendt and Sharp, 1999). The period over which the assessment of an appropriate degree-day factor is conducted can vary from days to years (Hock, 2003). Energy-balance approach The net energy flux QM to the surface of a snowpack or glacier has five components (Morris, 1985): QM = QNR + QS + QL + QP + QG
  • 214.
    Project: Development ofHydrological Design Aids (Surface Water) under HP-II Document: 2009097/WR/REP-02 July 2010 State of the Art Report Revision: R0 3-43 WATER RESOURCES Where the subscript NR refers to net short- and long-wave radiation, S to sensible heat transfer to the surface by turbulent exchange from the atmosphere, L to latent heat of condensation (+) or evaporation (-), P to heat added by precipitation at a higher temperature than the surface and G to heat conducted from the ground through the snowpack. The relative impact of each of the terms varies spatially and temporally and an energy balance approach must either account for or ignore each term in calculating the energy change in the snowpack and any resulting melt water production. The energy influx either goes towards raising the temperature of the snowpack (which can involve melting and refreezing) or generating runoff after the snowpack is ‘ripe’ (the liquid water capacity of the snowpack has been satisfied). Microclimatic measurements on alpine snowpacks show QNR is usually the dominant source of heat, especially on clear days (Kuusisto, 1986; Paterson, 1994). This contrasts with more maritime climates such as that in the UK, where snowmelt is more likely to be generated by sensible heat transfer to the surface by turbulent exchange from the atmosphere as warmer air moves in after a cold spell (Bell and Moore, 1999). The biggest challenge with the energy-balance approach is the variability of all the terms above, both in space and time. Measurements necessarily taken at points can be extrapolated, but this immediately introduces uncertainties into the modelling process. It is common to ignore the terms which have least effect as the proportional uncertainties can outweigh the benefits of including them (Ferguson, 1999). Table 3.9 Advantages and disadvantages of the two main approaches to melt modelling Approach: Temperature Index Energy Balance Advantages • Simple data requirements – often only temperature and precipitation • Wide availability of temperature data • Temperature is common factor in most energy balance components • Temperature most easily forecast and spatially extrapolated meteorological variable • Generally good model performance despite simplicity • Computational simplicity • Distributed – takes account of spatial and temporal variability • Theoretically more accurate – accounts for all physical processes relating to energy balance of snowpack Disadvantages • Generalised over large areas – doesn’t represent spatial variability which is pronounced in mountainous areas • Limited temporal resolution – usually modelled on daily basis assuming constant melt factor • Complexity of data requirements – unrealistic to collect for remote mountain areas • Time variability of input variables requires high resolution data without corresponding measurements • Increased potential for uncertainty due to estimation/approximation/extrapolation
  • 215.
    Project: Development ofHydrological Design Aids (Surface Water) under HP-II Document: 2009097/WR/REP-02 July 2010 State of the Art Report Revision: R0 3-44 WATER RESOURCES Approach: Temperature Index Energy Balance of input values Combining modelling approaches Some models use a combined approach (Anderson, 1973), for example the National Weather Service River Forecasting System which uses a degree-day method when there is no precipitation, but uses an energy budget approach to account for the energy input to the snowpack of rain on snow events or other precipitation. This type of combined approach is in the minority however. Due to the drawbacks of each modelling approach outline above, attempts have been made to improve on the simplicity of the Temperature-Index by adding more physical variables. Early studies using multiple regression techniques showed that inclusion of radiation and vapour pressure terms (Lang, 1968) could improve runoff computations at hourly and daily time steps respectively. In similar work, Zuzel and Cox (1975) showed that radiation, vapour pressure and wind speed could improve daily snow melt estimates. Other work has been done to investigate the advantages associated with adding a radiation term to the normal degree-day method with the general form (Hock, 2003): aRTfM m += where a is a coefficient and R is the shortwave radiation balance (Martinec, 1989; Kane and Gieck, 1997) or net radiation (Martinec and de Quervain, 1975; Kustas and Rango, 1994). Results have proved to be better than gained by using a temperature-only approach at the site scale – in the case of Kustas and Rango (1994) by nearly 40% in terms of r2 (model efficiency) value. A method of approximating this energy input variation without introducing excessive increased data requirements is to use a standard dataset such as that for clear sky solar radiation levels (Hock, 1999; Kustas and Rango, 1994). These data can be used to add a radiation factor to the standard degree-day factor. Where the SRM model would normally have a variable input of degree-day factor over the course of a melt season, a more stable degree-day factor can be used with a variable radiation factor. This radiation factor can be estimated based on clear sky radiation incident on a flat open surface. Kustas and Rango (1994) estimated this factor to amount to 0.2- 0.25cm/°C/day as compared to 0.35-0.6cm/°C/day for a normal degree-day factor not accounting for radiation. Diffuse radiation is also accounted for in this way and the factor can be reduced proportionally to account for cloud cover blocking sunlight where appropriate. Kustas and Rango (1994) were able to demonstrate that the net radiation factor accounted for most of the difference between the standard degree-day model and reality, but they were unable to demonstrate simple proportionality between the two. The effects of cloud cover on incident radiation were considered difficult to account for in an operational model as it is very difficult to forecast. Similarly, changes in surface albedo throughout a melt season were recognised as having a significant impact on melt rates, but were difficult to forecast for operational purposes. A more complex approach to employing clear sky radiation data was taken by Hock (1999), demonstrating the advantages of pre-processing using GIS techniques. Using a 30m resolution DEM, every cell was analysed for its slope and aspect as well as hourly topographic shading taking into account the position of the sun. This required the DEM to be of sufficient extent to take in all possible influences on shading for every cell within the model boundaries. The analysis
  • 216.
    Project: Development ofHydrological Design Aids (Surface Water) under HP-II Document: 2009097/WR/REP-02 July 2010 State of the Art Report Revision: R0 3-45 WATER RESOURCES caused variations in incident radiation between 50W/m2 and >250W/m2 averaged over 3 months, confirming the inappropriateness of applying constant or spatially lumped degree-day factors for more detailed modelling. Inclusion of global radiation with direct radiation did not improve runoff simulation results. Operational model use There exists little information relating directly to operational model use for snowmelt forecasting in the international arena. A limited amount of information has been obtained by investigating and contacting the agencies responsible for this work in a number of countries with significant snow and glacier melt water resource issues: U.S.A., Canada, New Zealand, Switzerland, Australia, and Turkey. The information available is summarised by country below. USA In the USA, the National Weather Service (NWS) is responsible for river flow forecasting and this includes a significant proportion of snow and glacier melt in certain mountainous states or those downstream – generally in the Western US and Alaska. Different offices have traditionally relied on a variety of forecasting methods to varying degrees (Pagano, pers. comm.) but over the last two decades practices have become more standardised, with use of SSARR (Rockwood, 1981), SNOW-17 (Anderson, 1973) and Sacramento (Burnach et al, 1973) derivative models being widespread. The National Resources Conservation Service (NRCS) has also been forecasting snowpack and runoff since the 1940’s and it was only in the 1980’s that it became a statutory requirement for the NWS and NRCS to harmonise their forecasts to prevent confusion. Originally both organisations used statistical regression methods, and while the NWS still use these methods for confirmation and reality checking of model outputs the NRCS has continued to develop these methods. This development has recently resulted in the VIPER system (Pagano et al., 2009, Perkins et al., 2009). The coordinated forecasting by the NWS and NRCS runs from January to June each year to produce April-July and June-July monthly forecasts for runoff. Switzerland The hydrology division of the Swiss Federal Office for Environment (FOEN) makes operational river and lake forecasts, which naturally include a large amount of snowmelt runoff from the Swiss Alps. The model currently in use is HBV consisting amongst others, of a subroutine for snow accumulation and snow melt. There are also plans in the near future (Helbling, pers. comm.) to use the two more recently developed hydrological models PREVAH (Viviroli et al., 2009) and WaSiM-ETH (http://www.wasim.ch/en/index.html). Both models are widely used at Swiss Universities and benefits are to be gained by maintaining close relationships with such research establishments providing potential model improvements. During the snow-season FOEN regularly receives the following data from the Swiss Institute for Snow and Avalanche Research (SLF): • the current snow water equivalent (SWE), • the current SWE in comparison to the mean of 1999-2010, • the mean current SWE for different catchments and • the snow state (dry, partly wet, wet) in different regions. These data are used for the interpretation of hydrological forecasts and for the evaluation of the potential for snow-melt floods. In the case of a high potential for such flooding occurring, special lake management measures can be put in place. The intention for the future is to begin to incorporate these data provided by the SLF directly in the forecasting system.
  • 217.
    Project: Development ofHydrological Design Aids (Surface Water) under HP-II Document: 2009097/WR/REP-02 July 2010 State of the Art Report Revision: R0 3-46 WATER RESOURCES New Zealand The main approach in New Zealand for operational snow melt runoff forecasting, is the use of a temperature index snow model called SnowSim-NZ (Fitzharris and Garr, 1995; Fitzharris, 2004) which has been used for a number of years. This has recently been updated and improved on with new a parameterization for melt and incorporating spatial variability at sub-grid scale (Clark et al., 2009). Recent work (e.g. Sirguey et al., 2009) has started to use the MODIS platform for a remote sensing approach; these methods are not currently operational, but may be in the future. Satellite observation for snowmelt forecasting Aerial photography was the first technology to be used for mapping, and while this is still a common method of obtaining data by various scanning methods, the use of satellite based sensors is becoming more common. Airborne investigation can provide more detailed data, especially considering terrain scanning with LiDAR or LASER technology, but satellites provide a regularly updated data source at low cost and at ease for remote areas. Different sensors have different strengths in detecting snow cover (Table 3.10). Fresh snow is easily identified in the visible spectrum as long as cloud cover is minimal, but as it ages and becomes dirtier or during seasons with extensive cloud cover, different technology is required. Sensors in the visible and near infrared spectral ranges are useful for snow albedo and snow-cover area measurements, while thermal infrared sensors are more able to identify snowpack conditions. Table 3.10 Application of various sensors for particular snow properties Sensors Snow properties Gamma ray sensors Snow depth, Background radiation Visible, near-infrared sensors Crystal size, Contaminants, Shallow snow depth (up to a few cms), Liquid water, Surface roughness Thermal infrared sensors Temperature, Grain size, Liquid water Microwave sensors Liquid water, Crystal size, Water equivalent depth, Stratification, Snow surface roughness, Density, Temperature, Soil conditions Visible and near infrared sensors These sensors have been used for mapping the areal extent of snow since the early 1960’s with a gradual improvement in spectral and spatial resolution over the years. Examples include:
  • 218.
    Project: Development ofHydrological Design Aids (Surface Water) under HP-II Document: 2009097/WR/REP-02 July 2010 State of the Art Report Revision: R0 3-47 WATER RESOURCES • Red band (0.6-0.7µm) of Landsat MSS • Band (0.62-0.68 µm) of Indian Remote Sensing (IRS) satellite • Visible channel of NOAA-AVHRR The drawback of these kinds of sensors is that they are only able to penetrate the surface to very shallow depths, providing information on areal extent but not water equivalent, liquid water content or other snowpack properties. There are two main techniques for processing data from these kinds of satellites: visual photo- interpretation and digital image processing. In visual photo-interpretation, the image obtained is scaled to match a map and the overlaid to show the snow covered extent. This can then be manually or digitally planimetered to assess the area. This method can work well, particularly in small basins where the snow retreat is regular and contiguous, although potential exists for human error. Digital image processing involves the automated assessment of a digital image to assign normally one of three states to each pixel – snow-covered, partially snow-covered or snow-free. By counting the numbers of each pixel in the image, a rapid and accurate assessment can be made of snow covered area. This method can be used on an operational basis to provide regular updates of basin snow covered areas. Limitations Cloud cover is the best example of a limitation with the visible and near infrared bands for snow cover analysis. The problems are: 1. snow has a very similar reflectance to cloud in the visible spectrum, which causes differentiation difficult, 2. cloud which obscures the boundary of a snow field makes it very difficult to judge the position of this boundary, and 3. cloud casts shadows on snow cover changing its appearance. The third point can actually help identify the presence of clouds, dependent on the density of cloud cover. Fortunately, snow’s reflectance above 1.4 µm reduces considerably where that of clouds remains high. This physical feature helps to differentiate the two. Two examples of sources for this data are: • Landsat TM-band 5 (1.55-1.75 µm) • IRS-1C LISS-III band 4 (1.55-1.70 µm) Although this is a very useful development, there are still problems with completely cloud covered basins. Forest cover can obscure snow cover on the ground and can also hold snow in its canopy. Identification of snow covered extent can therefore be particularly difficult, needing expert interpretation. Similar to the effects of clouds, complex local topography in the mountains can cause shadows to be cast across a snowpack. This leads to uncertainties about snow-covered extent, as the shaded
  • 219.
    Project: Development ofHydrological Design Aids (Surface Water) under HP-II Document: 2009097/WR/REP-02 July 2010 State of the Art Report Revision: R0 3-48 WATER RESOURCES snow has a reflectance similar to sunlit snow-free areas. While a digital terrain model can be useful in defining the snow extent when combined with visible spectrum images, a better solution is to use images from thermal infrared wavelength bands. Bare rock can have a similar reflectance to partially snow-covered terrain during late spring and early summer, making differentiation challenging. The best way to overcome this problem is to compare images of the same area under snow-free conditions. The spatial resolution of a satellite image needs to be suited to the size of the catchment under investigation. When studying large catchments of several thousand square kilometres, a resolution of 4km may be perfectly reasonable. This same resolution would be of little use in a small local watershed of a few tens of square kilometres however. Microwave sensors Microwaves are affected very little by the presence of cloud cover and precipitation below clouds does not absorb much of the signal, making microwaves ideal for studying snow either day or night in almost all weather conditions. Unlike the visible spectrum, microwaves are able to penetrate snow cover to provide information about depth and water equivalence. There are two types of microwave sensors – active and passive. An active system provides its own input of energy to a scene and senses reflections, while a passive system detects naturally occurring radiation. Passive microwaves have been used to investigate snow cover from ground- based, airborne and space-borne platforms and in large uniform snow-covered areas the systems perform well. It is more difficult to use passive microwaves to investigate snow cover in complex mountainous terrain due to data analysis problems. Passive microwave systems have problems differentiating between wet snow and snow-free ground due to their similar emissivity across the microwave frequency range. These problems can be overcome by the use of Synthetic Aperture Radar (SAR), which is an active microwave system which also has the advantage of increased spatial resolution. The penetration of microwaves into the snowpack depends on wavelength and for wavelengths larger than snow grain size; the amount of penetration can be described by the bulk dielectric constant (Stiles and Ulaby, 1981). The large difference between the dielectric constant of liquid and frozen water can be used to investigate the free water content of a snow pack. The brightness temperature increases with wetting of the snowpack, so microwave sensors can be used to show the onset of melting. Microwaves have a great potential for providing valuable information on snow depth and liquid water content, but their low spatial resolution and problems with analysing data from rugged or vegetated terrain have limited their use.
  • 220.
    Project: Development ofHydrological Design Aids (Surface Water) under HP-II Document: 2009097/WR/REP-02 July 2010 State of the Art Report Revision: R0 3-49 WATER RESOURCES Examples of satellite data in use Spanish Pyrenees In the Spanish Pyrenees, NOAA-AVHRR channels 1 (visible) and 2 (near infrared) were used in linear combination to obtain the percentage of snow covered area in each pixel (Landesa and Rango, 2002). NOAA satellites can provide three or four images a day of the same area, allowing regular monitoring of snow-covered area. Where an area is cloud covered during one pass, then there are more opportunities to get an image for that same day during another pass. NOAA 14 has a midday pass over the Pyrenees making this the preferred of the four NOAA platforms for this study – slight differences were observed between images from the platforms. Landsat TM data of the same area were used to verify the linear combination method and the correlations were always greater than 0.9. Spatial resolution of AVHRR is around 1.1 km2 which is not fine enough for some of the small basins being studied which were around 10 km2 . This required working at the sub-pixel level. A digital elevation model was used in combination with the snow cover images to define a hypsometric table of snow covered area in each 100m elevation band of the SRM model being used. Upper Rhine Basin, Switzerland Landsat-TM and SPOT-XS data were used to update snow cover extent and Modified Depletion Curves for an SRM model. Satellite data proved to be more reliable than point measurements in a normal snow gauging network (Seidel et al., 1994). Zillertal, Austria Real-time forecasts of snowmelt runoff up to six days in advance were produced using ERS SAR PRI satellite data (Nagler et al., 2000). These data were obtained in real time or near real time through the internet making satellite data available for SRM model input only a matter of hours after their receipt. The satellite data were acquired around every two weeks over the Zillertal, while the temperature and precipitation forecasts were updated daily. The raw ERS SAR data were processed by the German Aerospace Centre into ERS SAR PRI products which could then be used to generate snow maps. An accumulated melt day model, based on temperature and precipitation data, was used to extrapolate snow cover extent on days without a new satellite snow cover map. It is noted that C-Band SAR has problems with detecting dry snow, although this is less of a problem as the snowpack ages and becomes wetter, especially around the time of melting. It is expected that better snow mapping capabilities will be available from ENVISAT ASAR and MERIS satellite instruments. Quebec, Canada Data from three of the five AVHRR spectral bands on the satellite NOAA-14 were used for a case study on a catchment largely controlled by an aluminium processing company for water supply to its hydropower plant (Lavallée et al., 2006). The images were available daily and the bands used were: • Band 1 – Visible (0.58-0.68 µm) • Band 2 – Near Infrared (0.72-1.1 µm) • Band 3 – Thermal Infrared (3.55-3.93 µm) The ground resolution of 1.1 km was sufficient for this study but might be too large for smaller basins (<20 km2 ). The use of three bands helped with the differentiation of clouds and snow. This study used a maximum likelihood method approach to this differentiation: the decision of whether areas shrouded by cloud were snow-covered or snow-free was based on analysis of other un- shrouded pixels of similar elevation, latitude and orientation. A resulting binary map is produced
  • 221.
    Project: Development ofHydrological Design Aids (Surface Water) under HP-II Document: 2009097/WR/REP-02 July 2010 State of the Art Report Revision: R0 3-50 WATER RESOURCES of snow/no snow pixels. When satellite data become available to compare with model simulations, the model is updated if the snow cover distribution is significantly different. This is done by running the model iteratively from its initial point with different snow melt factors k. until the model matches the new snow extent data in terms of snow cover percentage sufficiently well. The model is then validated by comparing snow distribution by latitude and elevation. If necessary, the model is again run from its initial state with the initial distribution adjusted iteratively until there is agreement between simulation and observation. The model then continues in forecasting mode with the updated k value. Kuban river basin, Russia Eight-day composite MOD10A2 snow cover data from the MODIS satellite were used to test the Snowmelt Runoff Model (SRM) as a short-term forecasting tool for inflow to the Krasnodar reservoir (Georgievsky, 2009). These data were chosen from the wide range of options available in accordance with the following criteria: • Easy and, if possible free, access to the information through the internet; • High-resolution considering the size of the Kuban river basin; • Ability to regularly update the database being formed – desirable that the data come from satellites which are still active The database was able to provide 430 processed images at the time of the study, with a spatial resolution of 450 metres, completely covering the Kuban river basin. The images were taken from 2000 – 2008. A technique was developed to make use of these images by monitoring the maximal snow covered area of the basins flowing into the reservoir. The data were shown to be useful for monitoring maximal snow covered area in non-snow dominated southern regions of Russia. In combination with the SRM model, these data would also be sufficient to provide a reasonable 1-7 day forecast of runoff in this context. 3.1.8 Glacier melt runoff modelling Glaciers constitute a much greater store of water than seasonal snow pack, forming above the permanent snow line, where compaction over time turns snow first into firn and then into glacier ice. The evolution from snow to glacier ice is considered to be complete when there are no longer connections between air bubbles trapped in the ice (Singh and Singh, 2001). Glacier melt is a seasonal process and more complex than snow melt. In studies to develop statistical runoff equations for glaciers, it is sometimes possible to draw negative correlations between precipitation rates and runoff over glaciers (Pagano, pers.comm.). This is thought to be due to an increased snow cover raising the albedo of an area and therefore reducing the solar radiation input available for melting snow and ice. The internal processes operating in glaciers are also complex and largely go unseen. Calculations of water stored in glaciers is often made difficult by their remote location, lack of data about the terrain which they are overlying and therefore their physical dimensions. Regression analysis Early models of glacier melt runoff were developed on the basis of relating it to meteorological variables by multiple regression techniques (Lang, 1968; Jensen and Lang, 1973). Similarly to snow melt, it was shown by systematic analysis that air temperature, precipitation and wind speed were the variables most closely correlated to runoff (Østrem, 1973) and incorporation of other variables did not improve this correlation further. Results were often enhanced by using products
  • 222.
    Project: Development ofHydrological Design Aids (Surface Water) under HP-II Document: 2009097/WR/REP-02 July 2010 State of the Art Report Revision: R0 3-51 WATER RESOURCES of variables rather than individual variables and sets of multiple regression equations were able to be developed to forecast daily and hourly discharge for a number of glaciers in the Swiss Alps (Lang, 1968; Jensen and Lang, 1973). The development of these equations showed vapour pressure to be a more important variable than wind speed leading to its incorporation in equations along with antecedent runoff which proved to be a powerful predictor. As with all regression based solutions, these equations were specific to the glaciers they were developed to forecast for, rather than being generally applicable. Over time, models with a more conceptual basis and requiring less input data were developed. Linear Reservoirs The most common approach to conceptual models of glaciers was to combine between one and three linear reservoirs (Chow et al., 1988) in one of various configurations in parallel or in sequence (Hock and Jansson, 2005). This allows the different storages, notionally snow, firm and ice to be represented in terms of their respective volumes, melt rates and through-flow times. Definition of storage constants for the linear reservoirs used is usually achieved either by ‘tuning’ modelled runoff to observed runoff, or by recession analysis. Ranges of storage constant values given by Hock and Jansson (2005) from four different studies are: • Firn – 350 to 430 hours • Snow – 30 to 120 hours • Ice – 4 to 45 hours Model validation is generally carried out as a comparison of modelled and observed runoff assessed by the Nash-Sutcliffe efficiency criterion R2 (Nash and Sutcliffe, 1970). Values in excess of R2 =0.8 are often achieved, although it is perfectly possible to achieve a high model efficiency with an ‘incorrect’ combination of flows from the model linear reservoirs used. For example, an excess of runoff from one will be compensated by a lack of runoff from another – it might just so happen that the combination is similar to observed flows. Disagreements between modelled and observed runoff most often occur at the beginning and end of the melt season as well as during high flows. Problems at either end of the melt season tend to be connected with the difficulties in partitioning of model precipitation between snow and rain. Problems during high flows are more complex, with potential impacts from precipitation data uncertainties, discharge measurement errors or ignoring variations in a glacier’s internal drainage system (Moore, 1993; Hock and Noetzli, 1997; Escher-Vetter, 2000). Recession analysis Recession analysis can be a useful tool in assessing the number of reservoirs operating in a glacier system, by plotting natural logarithms of the runoff discharge against time on a semi-log graph. Each gradient which can be drawn from linear recession limbs can be assumed to represent the storage constant of a separate reservoir. Gurnell (1993) questions this assumption where the reservoirs are partly or wholly linked in series. The main issue with recession analysis is that the values obtained can vary with respect to discharge and point in the melt season. While this could suggest that a single non-linear reservoir might represent runoff processes sufficiently well for operational purposes, use of multiple linear reservoirs has generally proved successful. It could be that the drawbacks of assuming linear reservoirs are more than compensated for by accurate estimation of melt water inputs including modelling the aggregational state of precipitation. It is likely that differences in hydraulic properties between the ice reservoir and snow/firn reservoirs are pronounced enough that seasonal changes in drainage efficiency become insignificant (Hock and Jansson, 2005).
  • 223.
    Project: Development ofHydrological Design Aids (Surface Water) under HP-II Document: 2009097/WR/REP-02 July 2010 State of the Art Report Revision: R0 3-52 WATER RESOURCES Physical modelling Physical modelling is by far the most complex option for glacier modelling. The physical processes at work in glaciers are dynamic at all temporal and spatial scales due to interactions between water in solid and liquid phases at its melting point. Flow pathways through the ice can evolve in size and shape much more quickly than would occur in other media such as rock or sediment. Physical models of glaciers are still relatively basic, although they model melt water production well (Hock, 2005), as it depends largely on meteorological factors. The system of internal drainage in glaciers is more difficult to model physically due to the sparsity of data relating to it and its dynamic nature. Similarly the system of flow underneath glaciers, for which there are a number of possibilities, but no certainty is difficult to get right. It would not be a simple model which took all possibilities into account (Hock and Jansson, 2005). The best potential solution for physically modelling the sub-glacial drainage may be automatic switching between different systems, prompted by the fast changes such as increases and decreases of inflow which are likely to be the trigger for flowpath evolution in reality (Hock and Jansson, 2005). Impacts on runoff production Attempts have been made to assess the contribution of glaciers to streamflow in mountainous areas. Fountain and Tangborn (1985) chose a range of catchments in Washington State which were either glaciated or un-glaciated but otherwise had similar physical and climatic characteristics. By comparing runoff between the catchments they were able to estimate the proportion of flows which were due to glacier melt. The timing of the peak runoff in the melt season was shown to depend primarily but non-linearly on the percentage of basin glacier cover. For example, the peak runoff for catchments 7% glaciated was almost a month after those with 0% glaciation. By contrast a catchment 100% glaciated reached peak runoff only two weeks after a catchment which was 50% glaciated. Schaper et al. (2001) used the SRM-ETH model to investigate differences between modelling glaciers combined with snow cover or as separate features of the model. SRM-ETH is a model based on the SRM model but further developed by the Swiss Federal Institute of Technology (ETH). Landsat-TM satellite images at 30m resolution were used to differentiate between glaciated and non-glaciated snow cover areas and different depletion curves were developed for each. The two were considered separately at each elevation where investigated separately. The two areas were further differentiated by assignment of different degree-day factors as a representation of the lower albedo of glacier ice (0.17-0.22) even as compared to old wet snow (0.35). Winter and summer temperature lapse rates were 0.5°C/100m and 0.65°C/100m respectively and the runoff coefficients were also varied seasonally. The success of the model in improving runoff predictions from snow covered and glaciated areas was attributed to: • the separate computation of runoff from snow and ice • high resolution of satellite images • taking daily temperature into account when deriving depletion curves • Updating satellite images when cloud cover interfered
  • 224.
    Project: Development ofHydrological Design Aids (Surface Water) under HP-II Document: 2009097/WR/REP-02 July 2010 State of the Art Report Revision: R0 3-53 WATER RESOURCES Another model developed at the Swiss Federal Institute of Technology (ETH) – WaSiM-ETH was used alongside PREVAH to conduct distributed hydrological modelling of a heavily glaciated Alpine river basin (Klok et al., 2001). Snow, firn and ice are represented separately by three parallel linear reservoirs with different storage constants to represent their different hydraulic properties and spatial variation in melt rate. The availability of meteorological data for this study was as good as could be hoped for in a mountain environment, as was the geo-physical information about the catchment including topography and land use. Even so, interpolation of precipitation rates was required and this was carried out on the basis of 75% inverse distance weighting between stations and 25% altitude dependent regression. After Hock (1999), an allowance was made for incident radiation in addition to degree-day factors for melt calculation – this increased the model efficiency from 0.79 to 0.92. Although the runoff predictions were very good, it was considered that both models overestimated flows in the autumn. The factors likely to be causing this were those not accounted for in the model – most significantly changing albedo. Albedo is likely to be increasing significantly through the autumn as fresh snow falls on top of glacier ice, thereby decreasing the radiation absorbed by the snow and ice for generating runoff. Other suggestions to account for lower runoff than modelled include the closing up of flowpaths through the ice due to decreasing temperatures. This is a good example of the complexity of glacier modelling. 3.1.9 Recommendations Data availability will necessarily dictate the type of model used for the estimation of snow and glacier melt in catchments where these are significant components of the annual available water resources. It is clear that Temperature Index models are likely to be best suited to almost all Indian contexts, requiring less data to run and having few disadvantages as compared to energy budget models in terms of results. There are a large number of models which have been applied around the world, but using those most widely tested and if possible successfully applied to an Indian context is desirable. Recommendations therefore come with under data availability classifications, and are made as follows: No/Low data availability This can mean no data in terms of river flow gauging from a snow covered catchment, or could mean also no data in terms of snow covered area. The latter is considered to be less likely with the advent of extensive satellite imagery availability with global coverage. India itself has a National Remote Sensing Agency and a number of operational satellites providing geographical data. Where no flow data exist but snow cover extent is available, then the Snowmelt Runoff Model (SRM) which only requires snow extent, temperature and precipitation data to be run would be the best option in most circumstances. The system does require depletion curves for snow cover to be generated, and in this respect, a number of years of snow cover data would be beneficial for accuracy. It would also be necessary to generate precipitation and temperature data for the catchment in question, based on the most locally recorded data available. It is appreciated that this may be extremely remote from the area of interest in the case of many Himalayan or other mountainous catchments, but working in this type of environment is always going to involve a high degree of estimation.
  • 225.
    Project: Development ofHydrological Design Aids (Surface Water) under HP-II Document: 2009097/WR/REP-02 July 2010 State of the Art Report Revision: R0 3-54 WATER RESOURCES Moderate data availability In this case, a relatively simple model such as SRM would still prove to be the best option for estimation of snow and glacier melt runoff. Where glaciers are present in a catchment, results are likely to be improved by considering glaciated snow cover zones separately from snow cover directly on the ground (Schaper et al., 2001). Licensing the use of this software need not be problematic as the SRM is freely available from the US Agricultural Research Service Full data availability These catchments are less likely to be in mountainous areas due to the inherent difficulties in gathering data in mountainous and remote areas described in section 3.1.3.8 above. The HBV model has been applied widely around the world as a general water resources model and is recognised as having a strong snow and glacier modelling component, should this be required. Licensing could prove more complex with this software than with SRM as it is free for research use, but not for commercial use. Negotiations with the Swedish Meteorology and Hydrology Institute (SMHI), developers of the HBV software would be necessary to procure the software and arrange training in its application by staff with basic hydrological use. The SRM could also be successfully applied in these catchments as long as snow and glacier melt is a significant component of runoff. Where extensive data are available, it would be desirable to make best use of them. 3.1.10 References Abbott, M.B., Bathurst, J.C., Cunge, J.A., O’Connell, P.E., and Rasmussen, J. (1986) An introduction to the European Hydrological System – Systeme Hydrologique Europeen, ‘SHE’, 2: Structure of a physically-based, distributed modelling system. Journal of Hydrology, 87, 61-77. Anderson, E.A. (1973) National Weather Service River Forecast System - Snow Accumulation and Ablation Model. NOAA Technical Memorandum NWS HYDRO-17, 217 pp. Arendt, A. and Sharp, M. (1999) Energy balance measurements on a Canadian high arctic glacier and their implications for mass balance modelling. In: Tranter, M. et al. (Eds.), Interactions Between Cryosphere, Climate and Greenhouse gases, Proceedings of the IUGG Symposium, Birmingham 1999: IAHS Publ. no. 256, pp. 165-172 Bates, B.C., Z.W. Kundzewicz, S. Wu and J.P. Palutikof, Eds., 2008: Climate Change and Water. Technical Paper of the Intergovernmental Panel on Climate Change, IPCC Secretariat, Geneva, 210 pp. Bell, V.A., Moore, R.J. (1999) An elevation-dependent snowmelt model for upland Britain. Hydrological Processes 13, 1887-1903. Beven, K.J. (2001). Rainfall-runoff modelling: The primer. John Wiley and Sons, Chichester. Bloomfield, J. P., Gaus, I., and Wade, S. D. (2001) A Method for Investigating the Potential Impacts of Climate Change Scenarios on Annual Minimum Groundwater Levels. Journal of CIWEM 17, 86-91. Braithwaite, R.J. (1995) Positive degree-day factors for ablation on the Greenland ice sheet studied by energy-balance modelling. Journal of Glaciology 41 (137), 153-160.
  • 226.
    Project: Development ofHydrological Design Aids (Surface Water) under HP-II Document: 2009097/WR/REP-02 July 2010 State of the Art Report Revision: R0 3-55 WATER RESOURCES Braithwaite, R.J., Konzelmann, T., Marty, C., and Olesen, O.B. (1998) Errors in daily ablation measurements in northern Greenland, 1993-94, and their implications for glacier climate studies, J. Glaciol. 44 (148), 583-588 Burnach, R.J.C., Ferral, R.L., and McGuire, R.M. (1973) A Generalised Streamflow simulation system – conceptual modelling for digital computers. Sacramento, California. Centre for Ecology & Hydrology (2000). Low Flows 2000 - Quick Reference Guide to Incorporation of Artificial Influences. CEH. Wallingford, UK. Chow, V., Maidment, D.R. and Mays, L.W. (1988) Applied Hydrology. McGraw-Hill International Editions, Civil Engineering Series, New York, 572 pp. Clark, M., Örn Hreinsson, E., Martinez, G., Tait, A., Slater, A., Hendrikx, J., Owens, I., Gupta, H., Schmidt, J. and Woods, R. (2009) Simulations of seasonal snow for the South Island, New Zealand. Journal of Hydrology (NZ), 48(2), 41-58. Contor, B.A., Taylor, G. and Moore, G.L. (2008) Irrigation demand calculator: Spreadsheet tool for estimating economic demand for irrigation water. Idaho Water Resources Research Institute Technical Report 200803. Craddock, J.M. (1977): A homogeneous record of monthly rainfall totals for Norwich for the years 1836-1976. Meteorol. Mag., 106, 267. Environment Agency (2001) Good practice in flow naturalisation by decomposition, National Hydrology Group, v2.0 Environmental Protection Agency (2008) Handbook for developing watershed plans to restore and protect our waters. United States Environmental Protection Agency, EPA 841-B-08-002.. Escher-Vetter, H. (2000) Modelling meltwater production with a distributed energy balance method and runoff using a linear reservoir approach – results ffrom Vernagtferner, Oetztal Alps, for the ablation seasons 1992 to 1995. Zeitschift fuer Gletscherkunde and Glazialgeologie, 36, 119-150 Fitzharris, B.B. (2004), Snow Accounts for New Zealand, Report prepared for NIWA, Ministry for the Environment, and Statistics New Zealand, Climate Management Centre, Department of Geography, University of Otago. Fitzharris, B.B.; Garr, C.E. (1995) Simulation of past variability in seasonal snow in the Southern Alps, New Zealand. Annals of Glaciology 21: 377-382. Georgievsky, M.V. (2009) Application of the Snowmelt Runoff Model in the Kuban river basin using MODIS satellite images. Environ. Res. Lett. 4 (2009) 045017. Gomez-Landesa, E. and Rango, A. (2002) Operational snowmelt runoff forecasting in the Spanish Pyrenees using the Snowmelt Runoff Model. Hydrological Processes 16, 1583-1591. Gurnell, A.M. (1993) How many reservoirs? An analysis of flow recessions from a glacier basin. Journal of Glaciology, 39, 409-414
  • 227.
    Project: Development ofHydrological Design Aids (Surface Water) under HP-II Document: 2009097/WR/REP-02 July 2010 State of the Art Report Revision: R0 3-56 WATER RESOURCES Hock, R. (2005) Glacier melt: A review on processes and their modelling. Progress in Physical Geography 29(4). Hock, R. and Jansson, P. (2005) Modelling Glacier Hydrology. In: Encyclopedia of Hydrological Sciences, Edited by Malcolm G. Anderson and J. McDonnell, J. Wiley & Sons, Lt, Chichester. Hock, R. and Noetzli, C. (1997) Areal mass balance and discharge modelling of Storglaciären, Sweden. Annals of Glaciology, 24, 211-217. Hock, R. (1999) A distributed temperature-index ice- and snowmelt model including potential direct solar radiation. Journal of Glaciology, Vol. 45, No.149, pp101-111. Hock, R. (2003) Temperature index melt modelling in mountain areas. Journal of Hydrology 282 (2003) 104-115. Jensen, H. and Lang, H. (1973) Forecasting discharge from a glaciated basin in the Swiss Alps. In: Role of snow and ice in hydrology, IAHS Publ. no. 107(2), 1047-1054. Jones, P.D. and Lister, D.H. (1998) Riverflow reconstructions and their analysis on 15 catchments over England and Wales. International Journal of Climatology 18, 999-1013. Jones, P.D. (1980) An homogeneous rainfall record for the Cirencester area 1844-1977. Meteorol. Mag. 109, 249. Jones, P.D. (1981) A survey of rainfall recording in two regions of the northern Pennines. Meteorol. Mag. 110, 239. Jones, P.D. (1983) Further composite rainfall records for the United Kingdom. Meteorological Magazine 112, 19-27. Jones, P.D. (1984) Riverflow reconstruction from rainfall data. Journal of Climatology 4, 171- 186. Jones, P.D., Lister, D.H., Wilby, R.L. and Kostopoulou, E., 2006, Extended riverflow reconstructions for England and Wales, 1865 – 2002, International Journal of Climatology, 26: 219-231 JPS (2000) Manual Saliran Mesra Alam (MASMA). Department of Irrigation and Drainage (JPS), Malaysia. Kilsby, C.G., Jones, P.D., Burton, A., Ford, A.C., Fowler, H.J., Harpham, C., James, P., Smith, A. and Wilby, R.L., 2007: A daily weather generator for use in climate change studies. Environmental Modelling and Software 22, 1705-1719. Kustas, W.P., Rango, A., 1994, A simple energy budget algorithm for the snowmelt runoff model, Water resources research, Vol. 30, No. 5, Pages 1515-1527 Kuusisto, E., 1986, The energy balance of a melting snow cover in different environments. International Association of Hydrological Sciences, Publication 155, 37-45
  • 228.
    Project: Development ofHydrological Design Aids (Surface Water) under HP-II Document: 2009097/WR/REP-02 July 2010 State of the Art Report Revision: R0 3-57 WATER RESOURCES Lang, H. (1968) Relations between glacier runoff and meteorological factors observed on and outside the glacier. In Snow and Ice. Reports and Discussions. IAHS Publ. no. 79, 429-439. Lavallée, S., Brissette, F.P., Leconte, R. and Larouche, B. (2006) Monitoring Snow-Cover Depletion by Coupling Satellite Imagery with a Distributed Snowmelt Model. Journal of Water Resources Planning and Management, March/April, pages 71-78 Littlewood, I.G., Croke, B.F.W., Jakeman, A.J., Sivapalan, M. (2003). The role of ‘top-down’ modelling for Prediction in Ungauged Basins (PUB). Hydrological Processes 17, 1673-1679. Maidment, D.R. (1993) Handbook of hydrology. McGraw-Hill, New York. Manley, G., 1974: Central England temperatures: monthly means 1659 to 1973, Quart. J. Roy. Meteorol. Soc., 100, 389-405. Manley R.E. 1994. HYSIM -then and now. In: British Hydrological Society National Meeting: Flow Naturalisation using hydrological models. British Hydrological Society. London. Martinec, J., Rango, A. and Roberts, R. (2008) Snowmelt Runoff Model, User’s Manual, Updated Edition for Windows, WinSRM v1.11, Edited by Enrique Gómez-Landesa & Max P. Bleiweiss, Agricultural Experiment Station, Special Report 100, College of Agriculture and Home Economics, NM State University McDonald M.G. & Harbaugh A.W. 1988. A Modular Three-Dimensional Finite-Difference Groundwater Flow Model. Chapter A1, Book 6, Modelling Techniques. Techniques of Water Resources Investigations of the United States Geological Survey.. US Department of Interior. Washington. USA. McKinney, D.C., Cai, X., Rosegrant, M.W., Ringler, C., and Scott, C.A. (1999) Modeling water resources management at the basin level: review and future directions. SWIM Paper 6, IWMI, Colombo, Sri Lanka. Moore, R.D. (1993) Application of a conceptual streamflow model in a glacierized drainage basin. Journal of Hydrology, 150, 151-168 Moore, R.J. (2007) The PDM rainfall-runoff model. Journal of Hydrology & Earth System Sciences 11(1), 483-499. Moore, R.J., Bell, V.A., Cole, S.J. and Jones, D.A., 2007: Rainfall-runoff and other modelling for ungauged/low-benefit locations: Operational Guidelines. Research Contractor: CEH Wallingford, Environment Agency, Bristol, UK, 37pp. (Science Report – SC030227/SR2) Morris, E.M., 1985, Snow and ice. In Anderson, M.G. and Burt, T.P., editors, Hydrological forecasting, Chichester: Wiley, 153-182 Nagler T., S. Quegan and H. Rott, (2000) Real time snowmelt runoff forecasting using ERS SAR PRI data. Proc. of ERS-ENVISAT Symposium, Gothenburg, Sweden, 16-20 Oct 2000. ESA SP- 461, CD-ROM, ISBN 92-9092-685-6, Paper ID: 247, 9 pp. Nash, J.E., and Sutcliffe, J.V. (1970) River flow forecasting through conceptual models. Part I – A discussion of principles. Journal of Hydrology, 10(3), 282-290
  • 229.
    Project: Development ofHydrological Design Aids (Surface Water) under HP-II Document: 2009097/WR/REP-02 July 2010 State of the Art Report Revision: R0 3-58 WATER RESOURCES Pagano, T.C., Garen, D.C., Perkins, T.R. and Pasteris, P.A., 2009, Daily updating of operational statistical seasonal water supply forecasts for the Western U.S., Journal of the American Water Resources Association, 45, 3, pp767-778 Parker, D.E., Legg, T.P and Folland, C.K., 1992: A new daily Central England temperature series, Int. J. Climatol., 12, 317-342. Paterson, W.S.B., 1994, The physics of glaciers (3rd edn.), Oxford, Pergamon Perkins, T.R., Pagano, T.C., Garen, D.C., 2009, Innovative operational seasonal water supply forecasting technologies, Journal of Soil and Water Conservation, 64(1):15A-17A Perry, M. and Hollis D., 2005a: The development of a new set of long-term climate averages for the UK, Int. J. Climatol., 25, 1023-1039, DOI: 10.1002/joc.1160. Perry, M. and Hollis D., 2005b: The generation of monthly gridded datasets for a range of climatic variables over the UK, Int. J. Climatol., 25, 1041-1054, DOI: 10.1002/joc.1161. Perry, M., 2006: A spatial analysis of trends in the UK climate since 1914 using gridded datasets. National Climate Information Centre, Climate Memorandum No. 21, 29pp. PRC (2002) Water law of the People’s Republic of China. Ramamoorthi, A.S. (1986) Forecasting snowmelt runoff of Himalayan rivers using NOAA AVHRR imageries since 1980. Hydrologic Applications of Space Technology (Proceedings of the Cocoa Beach Workshop, Florida, August 1985) IAHS Publ. no. 160 Ramamoorthi, A.S., 1987, Snow cover area (SCA) is the main factor in forecasting snowmelt runoff from major river basins, Large Scale Effects of Seasonal Snow Cover (Proceedings of the Vancouver Symposium, August 1987), IAHS Publ. no. 166 Raman, H., Mohan, S. and Padalinathan, P., 1995, Models for extending streamflow data: a case study, Hydrological Sciences, 40, 3, 381–393 Rockwood, D.M., 1981, Theory and practice of the SSARR model as related to analyzing and forecasting response of hydrologic system. Water Resources Publication, Proc. International Symposium on Rainfall-Runoff Modelling, Mississippi State University, USA. Seidel, K., Bruesch, W., Steinmeier, C., Martinec, J. and Wiedemeier, J. (1994) Real Time Runoff Forecasts for Two Hydroelectric Stations Based on Satellite Snow Cover Monitoring. Shaw, E.M. (1983). Hydrology in practice (Eds). Van Nostrand Reinhold, UK. Simulation System - Conceptual Modelling for Digital Computers. Sacramento, California. Singh, P. and Singh, V.P. (2001) Snow and Glacier Hydrology. Water Science and Technology Library, Kluwer Academic Publishers, Netherlands Sirguey, P.; Mathieu, R.; Arnaud, Y. 2009: Subpixel monitoring of the seasonal snow cover with MODIS at 250~m spatial resolution in the Southern Alps of New Zealand: methodology and accuracy assessment. Remote Sensing of Environment 113: 160-181
  • 230.
    Project: Development ofHydrological Design Aids (Surface Water) under HP-II Document: 2009097/WR/REP-02 July 2010 State of the Art Report Revision: R0 3-59 WATER RESOURCES Smakhtin, V.; Anputhas, M., 2006. An assessment of environmental flow requirements of Indian river basins. Colombo, Sri Lanka: International Water Management Institute. 42p. (IWMI Research Report 107) Stiles, W.H., and Ulaby, F.T. (1980) The active and passive microwave response of snow parameters – I: Wetness. Journal of Geophysical Research, Vol. 85, pp. 1037-1044. Strahan, A., MacKenzie, N.F., Mill, H.R. and Owens, J.S., 1916: The Investigation of Rivers: Final Report. Royal Geographical Society. Tabony, R.C., 1980: A set of homogeneous European rainfall series. Met. O 13 Branch Memorandum No. 104, Meteorological Office, Bracknell. The Environment Agency, 2001, Good Practice in Flow Naturalisation by Decomposition, National Hydrology Group, v2.0 Udnæs, H-C., Engeset, R.V. and Andreassen, L.M. (2002) Use of Satellite-derived Snow Data in a HBV-type Model, proceedings of EARSeL-LISSIG-Workshop Observing our Cryosphere from Space, Bern, March 11 – 13, 2002 UKWIR, 1997: Effects of Climate Change on River Flows and Groundwater Recharge: Guidelines for Resource Assessment. UKWIR Report 97/CL/04/1. ISBN 1 84057 010 5. UNESCO, 2009. Managing Water Reources – Methods and tools for a systems approach. UNESCO Studies and Reports in Hydrology Series. Written by Slobodan P. Simonović. U.S. Army Corps of Engineers (1998) Engineering and Design RUNOFF FROM SNOWMELT, EM 1110-2-1406 Viviroli, D., Zappa, M., Gurtz, J. and Weingartner, R., 2009, An introduction to the hydrological modelling system PREVAH and its pre- and post-processing tools, Environmental Modelling and Software 24 (2009) 1209-1222 Wade, S.D. and Vidal, J.P., 2007: The effects of climate change on river flows and groundwater recharge. Synthesis Report. UKWIR/EA R&D. Wade, S.D., Jones, P.D. and Osborn, T., 2006. The impacts of climate change on severe droughts: implications for decision making. Environment Agency Science report: SC030298/SR. Wigley, T.M.L., Briffa, K.R. and Jones, P.D., 1984a, On the average value of correlated time series, with applications in Dendrochronology and Hydrometeorology, Journal of Climate and Applied Meteorology 23, 201–213 Wigley, T.M.L., Lough, J.M. and Jones, P.D., 1984b: Spatial patterns of precipitation in England and Wales and a revised, homogeneous England and Wales precipitation series. Journal of Climatology 4, 1-25. World Meteorological Organisation, 1986, Intercomparison of models for snowmelt runoff, Operational Hydrology Report 23 (WMO No. 646).
  • 231.
    Project: Development ofHydrological Design Aids (Surface Water) under HP-II Document: 2009097/WR/REP-02 July 2010 State of the Art Report Revision: R0 3-60 WATER RESOURCES World Meteorological Organisation, 1988, Guide to Meteorological Instruments and Methods of Observation, Seventh Edition (WMO-No. 8), Geneva World Meteorological Organisation (1997) Water Resources Assessment. Handbook for review of national capabilities. WMO & UNESCO, June 1997. World Meteorological Organisation, 2008, Manual on Low-flow Estimation and Prediction, Operation Hydrology Report No. 50 (WMO-No. 1029), Koblenz Wright, C.E., 1978 Synthesis of river flows from weather data, Technical Note No. 26, Central Water Planning Unit, Reading, UK Young, P.C. (2001) Data-based Mechanistic Modelling of Environmental Systems. Keynote paper presented at the International Federation on Automatic Control (IFAC) Workshop on Environmental Systems, Tokyo, Japan, August 21st , 2001 Young, A.R., Grew, R. and Holmes, M.G.R., 2003. LowFlows 2000: A national water resources assessment and decision support tool. Water Science and Technology 48(10): 119-126.
  • 232.
    Project: Development ofHydrological Design Aids (Surface Water) under HP-II Document: 2009097/WR/REP-02 July 2010 State of the Art Report Revision: R0 3-61 WATER RESOURCES 3.2 ESTIMATION OF DESIGN FLOOD This review of internationally used techniques for the estimation of the design flood covers those techniques used in the following countries: Australia, China, France, Germany, Malaysia, Norway, Poland, Sweden, UK, and the USA. 3.2.1 Approach to Design Flood Estimation (hydro-meteorological; statistical; regional) The World Bank has published a comparative analysis of the regulation of dam safety by considering legislation in 22 countries including India (Bradlow et al. 2002). This review concentrates on the regulatory framework and responsibilities given to the parties involved, rather than detailing the technical content of the assessments involved. There is no single internationally accepted approach to the hydrological assessment of the design flood at all sites. The choice of approach in practice will be determined by a combination of factors including: • The scale of the catchment involved • The catchment topography, geology, land-use and climatology • The intended use of the information • The tolerance or robustness of decisions to uncertainties in the assessment • The availability of data • The resource available for the assessment • Any applicable legislation and standards A key issue for the estimation of a design flood is that the design case is often an extreme event which is not represented well in the local information and knowledge. The greater the design standard (measured in Years of Return Period) then the more acute this issue becomes and the greater the potential for uncertainty in the estimates. Internationally it is becoming recognised that understanding the uncertainty and its potential impact is an important part of the design process. The objectives of flood estimation may be to provide: • The flood peak discharge • The flood volume over specific time period • The flooding arising from a combination of sources • Flooding from a combination of processes • The assessment of flood frequency may be required for: • Meeting a statutory design standard • Meeting non-statutory, institutional design standards and practice • Use in investment appraisal for major expenditure on new capital works or asset renewal • Simulation of system risk ICOLD recommended approach The ICOLD categorisation of a Large Dam is any dam over 15m high or between 5 m and 15 m high and with a capacity of impounded water of over 3,000,000 m3 stored volume (Asmal, 2000). In general the PMF should be taken as the design standard for a Large Dam.
  • 233.
    Project: Development ofHydrological Design Aids (Surface Water) under HP-II Document: 2009097/WR/REP-02 July 2010 State of the Art Report Revision: R0 3-62 WATER RESOURCES Australia Australia has a highly developed infrastructure for water resources, leading to one of the largest amounts of storage per capita (4717 m3 in 2003). The approach to flood design for dams in Australia is based upon the PMF and the PMP. The PMP-DF (Probable Maximum Precipitation Design Flood) has been proposed to be the design flood for which the probability of the flood is the same as the probability of the rainfall (Nathan et al. 2001) Canada PMP is considered for design of large dams in Canada. WMO Procedure as per Operational Hydrology Report No. 1, as practiced in the United States of America is adopted for Canada Also. Recently use of data from automated weather stations to augment data from conventional Climatological stations. China The Chinese design standards are set according to the purpose and design of the structure and the potential consequences of failure. The water conservancy and hydropower projects in China are classified into five different ranks in accordance with their scales, benefits and importance in national economy. The criteria for classifying project functions are specified in Chinese design codes. The following six tables (3.11-3.16) for the design standards (Liu 2002), provide conditions not only for the principal structure, but for the associated works (e.g. access roads) and temporary works (e.g. a coffer dam). Table 3.11 Classification of Water Conservancy and Hydropower Projects in China Rank of project Storage capacity of reservoir (106 m3 ) Flood Prevention Water Logging Control Irrigation Water Supply Water Power Cities & industrial regions Farmland (10³ ha) Draining Water logged area (10³ ha) Irrigation area (10³ ha) Cities & Mines Installed capacity (MW) I > 1,000 Very important > 333 > 133.3 > 100 Very important > 750 II 1,000 – 100 Important 333 – 67 133.3 – 40 100 – 33.3 Important 750 – 250 III 100 – 10 Moderately important 67 – 20 40 – 10 33.3 – 3.3 Moderatel y important 250 – 25 IV 10 – 1.0 Less important < 3.3 < 2.0 < 0.3 < 0.5 V < 1.0 < 3.3 < 2.0 < 0.3 < 0.5 Notes: • The storage capacity of reservoir means the storage of reservoir below check flood level. • The irrigation and waterlogged areas refer to design areas • The rank of tide prevention projects may be defined referring to the stipulations for flood prevention. Where disasters of tide are very serious, the rank may be raised properly • The importance of water supply works are defined according to their scale, economic and social benefits
  • 234.
    Project: Development ofHydrological Design Aids (Surface Water) under HP-II Document: 2009097/WR/REP-02 July 2010 State of the Art Report Revision: R0 3-63 WATER RESOURCES Table 3.12 Classification of hydraulic structures in China Rank of Projects Grade of Permanent Structures Grade of temporary structuresMain structures Less important one I 1 3 4 II 2 3 4 III 3 4 5 IV 4 5 5 V 5 5 - Notes: 1. Permanent structures are the structures used for operation of the project, and are divided into two categories in accordance with their importance : Main structures that will cause a catastrophe in downstream areas in case of failure or seriously damage the function of project, such as dams, sluices, pump station and hydropower houses. Less important structures that will not cause a catastrophe in downstream areas in case of failure and not cause serious influent to project benefits, such as retaining walls, diversion walls, and bank-protection works. 2. The temporary structures are the structures using during constructions, such as diversion structures, cofferdams etc. 3. For projects of Rank II to V and temporary structures, the grade of their structures may be raised or lowered in the following situations through evaluation : a. The location of projects is of vital importance and failure of structures may cause a serous catastrophe. The grade of the structures may be raised by one grade. b. Where the engineering geological conditions of the hydraulic structure are very complicated, or new type of structures are used. The grade of the structures may be raised by one grade. c. The grade of temporary hydraulic structures, if their failure will cause serious catastrophe, or influence seriously the construction program the grade may be raised by one or two. d. For the projects which will not cause considerable influence after failure, the grade of their structures may be lowered properly through elevation. Table 3.13 Design flood criteria for permanent structures in China Class 1 2 3 4 5 Return period of flood 500 100 50 30 20 Table 3.14 Check design flood criteria for permanent structures in China Class 1 2 3 4 5 Embankment Dams 10,000 or PMF 2,000 1,000 500 200 Return period in years Concrete Dams, etc 5,000 1,000 500 200 100 Notes: • The standards of powerhouse and irrigation structures (Classes 4 and 5) may be lowered according to actual situations • For Class 1 embankment dam, PMF should be considered if its failure will cause catastrophe in downstream area, and for Classes 2 to 4 embankment dams, the check design floods may be raised by one grade • For concrete dams that cause serious damage in case of overtopping, 1000-yr flood may be adopted as check design flood after examination and approval by competent authorities • For low water head structures and the structures that do not cause serious damage, check design flood may be lowered by one grade after examination and approval by competent authorities
  • 235.
    Project: Development ofHydrological Design Aids (Surface Water) under HP-II Document: 2009097/WR/REP-02 July 2010 State of the Art Report Revision: R0 3-64 WATER RESOURCES Table 3.15 Design flood and Check design flood criteria for powerhouse and non-damming structures in China Class 1 2 3 4 5 Design flood 100 50 30 20 10 Return period in yearsCheck design flood 1,000 500 200 100 50 Table 3.16 Design flood criteria for temporary structures in China Type of structure 1 2 3 4 5 Embankment - >50 50-30 30-20 20-10 Return period in yearsConcrete and Masonry - >20 20-10 10-5 5-3 France In France all dams over 20 m are regulated for public safety, together with lower ones whose failure could cause hazard to public safety or communication (Radzicki et al. 2005). The design flood standard is set according to the factor H2 √V where H (m) is the height of the dam and V (hm3 ) is its storage capacity. The parameter H2 √V does not appear to have any particular theoretical basis but expresses the need to consider store volume as well as impounded water depth as a contributor to the overall hazard posed by the dam. Table 3.17 shows the assessment criteria relating to the height-volume parameter. Table 3.17 French dam safety assessment criteria H2 √V <5 5 to 30 30 to 100 100 to 700 >700 Probability of the design flood % 1 0.5 0.1 0.05 0.01 Flood return period in years 100 200 1,000 2,000 10,000 Germany For Large Dams (> 15 m high or 106 m3 storage), the spillway capacity is to be the 0.1% probability (1,000 year) flood and the dam should survive a 0.01% (10,000 year) flood without failure, but some damage may be experienced. For medium and small dams lower standards prevail with spillway capacity of between 1% and 0.2% annual flood capacity and safety to 0.1% to 0.02% annual flood capacity. The German standard is DIN 19700 (DIN 1986). Iran As a Standard Procedure 24 hr PMP estimates are derived using statistical analysis with a frequency factor of 9.63. In Iran both statistical and physical methods are used for derivation of PMP. Statistical analysis is carried out using the Hershfield’s Technique while in the physical method the DAD analysis of historical storms is carried out and moisture maximization and wind maximization applied for deriving PMP. The maximum values of dew point temperature for moisture maximization and maximum wind speeds for wind maximization are derived from long period data and 50 yr return period values are considered. For basins of 1000 sq km and less the statistical estimates are used while for larger basins the estimated derived on physical basis are used.
  • 236.
    Project: Development ofHydrological Design Aids (Surface Water) under HP-II Document: 2009097/WR/REP-02 July 2010 State of the Art Report Revision: R0 3-65 WATER RESOURCES Japan In Japan, the inflow design floods for dams are stipulated in the Structural Standards for River Protective Facilities (Cabinet Order), which was drawn up on the basis of River Law. According to the standards, when the dam is constructed or reconstructed, the inflow design floods for a concrete dam must be taken on the largest value among the following three discharges: • 200-year flood at the dam site; • Maximum experienced flood discharge at the dam site and • Maximum flood discharge that can be expected at the dam site based on the maximum experienced flood discharge in the basins with similar hydrological conditions or climate. • For an embankment dam, the design flood should be specified to be 1.2 times of the relevant values for a concrete dam (JICE, 2000). The return period of the design flood for an embankment dam is actually equivalent to 1000 years or more. In case PMP estimation is required, it is estimated using the DAD analysis. However, in some areas where the rain gauge network is not adequate, rainfall estimates from radar are used for DAD analysis. Kenya The procedures recommended by the World Meteorological Organization Depth Area Duration and Storm transposition techniques are used. The storms are adjusted for transposition and maximized for moisture. The maximum perceptible water for maximization are derived from a 100 yr return period Dew Point Temperature estimated based on long period Climatological data. Malaysia The design standard for dams is for the PMF derived from PMP. NAHRIM produced local guidelines on PMP estimation in 2005. Norway In Norway, dams which are over 4 m high or impound over 0.5 hm3 of water are subject to the dam safety regulations (Saelthun and Andersen 1986). The design flow for the spillway capacity assessment is the 1000 year flood and the dam safety assessment is undertaken for the PMF. The approach for the PMF is to use hydrological modelling based on pessimistic assumptions of extreme precipitation, heavy snowmelt and saturated soils to generate the PMF. The calculation of the PMP is described by Foerland and Kristoffersen (1989). Poland Polish dams and flood protection dykes are classified according to foundation and potential consequences in to 4 categories (Radzicki et al. 2005) shown in Table 3.18. The design standards are set by law as a base flood which is used to set the spillway capacity for normal operation without damage and a control flood which must be passed without failure but some damage may be experienced.
  • 237.
    Project: Development ofHydrological Design Aids (Surface Water) under HP-II Document: 2009097/WR/REP-02 July 2010 State of the Art Report Revision: R0 3-66 WATER RESOURCES Table 3.18 Polish dam safety assessment criteria Type of hydraulic structure Flood flow Occurrence probability of flood p% / flood return period in years for different structure’s class: I II III IV Dams which will be destroyed in case of overflowing (for example earth dam) but not dike Base flow QM 0.1/1000 0.3/333 0.5/200 1.0/100 Control flow QK 0.02/5000 0.05/2000 0.2/500 0.5/200 a)Dam which will not be destroyed in case of overflowing b)Dike Base flow QM 0.5/200 1.0/100 2.0/50 3.0/33 Control flow QK 0.1/1000 0.3/333 0.5/200 1.0/100 Sweden In the review by (Bergström et al. 2008) the following standards are identified. Category I dams are those whose failure could cause loss of life or personal injury or considerable damage. The approach is to use hydrological modelling based on pessimistic assumptions of extreme precipitation, heavy snowmelt and saturated soils. Simulations should last 10 days. Dams in Category I should pass this extreme flood without damage. Category II dams are all those which are not in Category I and have limited damage potential. The design standard is for Category II dams is the 1% probability (100 year) flood. UK All dams with normal impounded volume exceeding 25,000 m3 are regulated under the 1975 Reservoirs Act, although there are proposals to reduce this limit before Parliament in the Floods and Water Bill of 2009. Dams are classified into one of four categories A, B, C or D according to the potential consequences in the event of a failure (A high hazard to D no hazard). The design conditions vary according to the dam category; the current standards are tabulated below (Table 3.19) (Summarised from (ICE 1996)).
  • 238.
    Project: Development ofHydrological Design Aids (Surface Water) under HP-II Document: 2009097/WR/REP-02 July 2010 State of the Art Report Revision: R0 3-67 WATER RESOURCES Table 3.19 UK dam safety assessment criteria Category Consequence of dam breach Normal design standard Minimum standard if overtopping tolerable Initial Reservoir condition Wind speed and minimum wave surcharge A Endangers lives in a community PMF 10000 year flood Spilling long-term average inflow • Mean annual maximum wind speed • Minimum 0.6 m wave surcharge B • Endangers lives of individuals or • Causes extensive damage 10000 year flood 1000 year flood Full to spillway crest As Category A C Negligible risk to life and limited damage 1000 year flood 150 year flood Full to spillway crest • Mean annual maximum wind speed • Minimum 0.4 m wave surcharge D No risk to life and very limited additional flood damage 150 year flood 150 year flood Spilling long-term average inflow • Average annual maximum wind speed • Minimum 0.3 m wave surcharge USA FEMA (the Federal Emergency Management Agency) republished four documents on the federal guidelines for dam safety in 2004. One document (FEMA 2004b) covers selecting and accommodating inflow Design Floods (IDF) for dams, this states on page 19: “Ideally, dams should be able to safely accommodate flood flows in a manner that will not increase the danger to life and property downstream. However, this situation is not always the case, and may not always be achievable. A dam is assigned only one IDF, and it is determined based on the consequences of failure of the section of the dam that creates the greatest hazard potential downstream. This should not, however, be confused with the design criteria for different sections of a dam which may be based on the effect of their failure on downstream areas. The PMF should be adopted as the IDF in those situations where consequences attributable to dam failure for flood conditions less than the PMF are unacceptable. A flood less than the PMF may be adopted as the IDF in those situations where the consequences of dam failure at flood flows larger than the selected IDF are acceptable. In other words, where detailed studies conclude that the risk is only to the dam owners' facilities and no increased damage to downstream areas is created by failure, a risk-based approach is acceptable”. The Federal design code 7509.11_0_code for dam spillways provides the following design floods in Table 3.20 (available from: http://gis.fs.fed.us/im/directives/field/r3/fsh/7509.11/7509.11_0_code.dot) using the hazard potential from FEMA (2004a).
  • 239.
    Project: Development ofHydrological Design Aids (Surface Water) under HP-II Document: 2009097/WR/REP-02 July 2010 State of the Art Report Revision: R0 3-68 WATER RESOURCES Table 3.20 US Federal recommended spillway design floods Hazard potential Size class Spillway design flood High • Loss of life probable • Environmental, economic and lifeline losses expected A PMF B PMF C 1/2 PMF to PMF D 100 yr. to 1/2 PMF Moderate • No loss of life expected • Environmental, economic and lifeline losses expected A PMF B 1/2 PMF to PMF C 100 yr. to 1/2 PMF Low • No loss of life expected • Low or limited environmental, economic and lifeline losses A 1/2 PMF to PMF B 100 yr. to 1/2 PMF C 50 yr. to 100 yr. Conclusion The widespread practice internationally is to associate the design inflow for dam safety assessment with the potential consequences downstream of the structure in the event of its failure. The classification may also depend upon the height of the dam and the stored volume. In most countries the design inflow for a safety assessment which should be passed without failure of the dam is related to the probable maximum flood (PMF), but the spillway capacity may be set for a lower inflow. The PMF will be produced from the probable maximum precipitation (PMP), together with a set of pessimistic assumptions on the hydrological response of the catchment. In Norway and Sweden additional runoff under the PMF conditions is assessed from snowmelt, again with pessimistic assumptions on volume of snow water and the melting rate. For dams which pose little or no risk (few or zero fatalities) then less demanding standards apply, with the design flood probability being set at no greater than 1% (i.e. a minimum standard of the 1 in 100 year flood). CWC may also wish to consider the World Bank review of dam safety regulation (Bradlow et al. 2002), to identify any areas where international experience and practice might be appropriate for inclusion in the national procedures in India. 3.2.2 Overview of Methods for Estimation of the Design Flood The main approaches to design flood estimation are: • Hydrological simulation of runoff generation and propagation from precipitation; • Frequency analysis based upon local site records, site records coupled with data from other sites; • Regional frequency analysis based on the Index Flood methodology. These approaches are covered in more detail in the sections below. The methods may be applied to gauged, partially gauged and ungauged catchments, but in all cases the maximum use should be made of any local information that is available.
  • 240.
    Project: Development ofHydrological Design Aids (Surface Water) under HP-II Document: 2009097/WR/REP-02 July 2010 State of the Art Report Revision: R0 3-69 WATER RESOURCES Section 3.2.3 below discusses the hydrological simulation of hypothetical design floods, either in the context of a specific probability of occurrence or for the probable maximum flood (PMF). In evaluating the performance and safety of a dam, the volume characteristics of the flood as well as its peak inflow need to be assessed carefully when the storage within the reservoir impounded by the dam is significant in comparison with the flood volume. Catchment-based hydrological simulation will require estimation of precipitation over the basin concerned but a uniform design storm methodology has limitations in terms of catchment scale. The probabilistic estimation of floods in Section 3.2.4 below covers methods of assessing flood frequency from local records of flood flow and related issues where flooding may be caused by the combination of two or more factors in combination. Joint probability methods are available for factors which are statistically independent of each other or show a degree of correlation. The regional frequency analysis of Section 3.2.5 provides an alternative to probabilistic estimation of floods from site records, by introducing information from elsewhere in the basin concerned. The principal concept is the introduction of an Index Flood and a standardised Growth Curve that is applicable to a region or basin. The index flood may be estimated from flow data at the site using the probabilistic methods, from characteristic data of the catchment or by hydrological modelling. For large basins some form of catchment flood modelling may be required. These methods are discussed in Section 3.2.6 and also in Section 3.2.7 for including the effects of glacial lake outburst floods. 3.2.3 Estimation of Hypothetical Floods The estimation of hypothetical floods covers the traditional unit hydrograph approach to the simulation of the basin response to a hypothetical rainfall event and the more recent development of continuous simulation of catchment response. In the first approach the flood conditions for specific annual probabilities or as a “probable maximum” will be developed from simulating the runoff generated from hypothetical storm events over the basin concerned. The steps in the procedure are: • Delineation of the catchment boundaries and significant sub-catchment units; • Assessment of the precipitation depth and profile in the appropriate design storms; • Assessment of appropriate pre-event catchment conditions such as soil moisture and base flow; • Estimation of the catchment response to rainfall taking account of various “losses”. Event-based Runoff Models The Unit Hydrograph (UH) approach is commonly used for the estimation of the design flood from rainfall. The UH is the hypothetical response of the catchment to a “unit” volume of rainfall (e.g. 10mm or 1 inch) spread uniformly over a specified time period (e.g. 1 hour, 3 hours, 1 day). The Instantaneous Unit Hydrograph (IUH) is the theoretical catchment response to the unit for rain falling in an instant (and so with infinite intensity). The UH method has underpinned hydrological design for generations and is in widespread current practice internationally, two examples are the SCS method from the USDA and the revitalised FEH method in the UK (Kjeldsen 2007).
  • 241.
    Project: Development ofHydrological Design Aids (Surface Water) under HP-II Document: 2009097/WR/REP-02 July 2010 State of the Art Report Revision: R0 3-70 WATER RESOURCES The SCS method (USDA-NRCS 2007a) uses a Dimensionless Unit Hydrograph (DUH) to determine the variation of the basin response in time; the parameter called the “peak rate factor” determines the sharpness of the peak and the central tendency (or conversely the skewness) of the hydrograph. Although the DUH is a smooth curve a procedure to determine an appropriate triangular from is included. Probable Maximum Flood The Probable Maximum Flood (PMF) is a theoretical design flood that is the largest credible flood that will be experienced from meteorological conditions at a site. The PMF is calculated using an event-based runoff model from the PMP and other assumptions about the basin response which provide a credible maximum for the flood peak at the site. Typical assumptions for the basin parameters include reducing the time to peak of the unit hydrograph and a high value of the percentage runoff from the peak of the storm (NERC 1975). Where appropriate the PMF will include assumptions on the contribution from snowmelt, these assumptions will depend upon national practice, see (Bergström et al. 1992; Bergström et al. 2008) for the practice in Sweden, (Saelthun and Andersen 1986) for the Norwegian practice and (Ruttan 2004) for the practice in Alberta in Canada. Probable Maximum Precipitation Probable Maximum Precipitation (PMP) is defined by the Manual for Estimation of Probable Maximum Precipitation (WMO 1986) as: "...the greatest depth of precipitation for a given duration meteorologically possible for a given size storm area at a particular location at a particular time of the year, with no allowance made for long-term climatic trends." The application of the method requires detailed meteorological understanding as it is estimated by analysing the meteorology of historic storms and maximizing the key causative factors. The idea is that at a given location with a given climate, the PMP is an upper bound to precipitation; for cases where snowmelt is important to generate a PMF then the PMP may be calculated for the appropriate season and an allowance made for severe snowmelt to generate a PMF (Ruttan 2004; Saelthun and Andersen 1986). Continuous Simulation Continuous simulation requires a continuous estimated rainfall series, which poses some important challenges, principally in terms of the computational resource required for the generation of long time series of stochastic rainfall and analysis of response over the catchment. The steps in the approach are typically: • Delineation of the catchment boundaries and significant sub-catchment units; • Establishing an appropriate runoff model (e.g. HBV, HSPF, PDM etc) for continuous simulation; • Generation of a long time series of rainfall using a stochastic rainfall generator; • Simulation of the corresponding flow time-series; • Frequency analysis of the flow time series. Some examples of the approach are in Australia (Droop and Boughton 2003), Switzerland (Viviroli et al. 2009a; Viviroli et al. 2009b), the US (Soong et al. 2005) and in the UK (Faulkner and Wass 2005). These examples all use different hydrological process models to simulate the
  • 242.
    Project: Development ofHydrological Design Aids (Surface Water) under HP-II Document: 2009097/WR/REP-02 July 2010 State of the Art Report Revision: R0 3-71 WATER RESOURCES runoff. Faulkner and Wass provide short-cut to the generation of the flood flow sequences for analysis from a 1000 year time series of synthetic rainfall, by selecting only the largest precipitation events for full simulation and so concentrating the analysis on the more extreme events. Continuous simulation provides a means of assessing the flood frequency in complex catchments and in ungauged catchments provided that the parameters for the runoff model can be transposed from experience elsewhere. An important part of the verification of the continuous simulation approach is the ability to replicate observed flood frequency relationships (Calver et al. 1999). Although it is the subject of much current hydrological research continuous simulation is still not widespread in routine design practice probably because of the greater time and resources required for the complexity of this approach. With suitable length of synthetic (or observed) rainfall series continuous simulation is a practical means of assessing the design floods up to about the 1% flood on modest sized catchments (say 5,000 km2 or less). It does, however, provide an approach to estimate the change of flood frequency in response to the effects of climate change on the type, amount and seasonality of precipitation and assessment of the effects of changes in other land surface conditions (Feyen et al. 2006). Freyen et al present an application of the European LISFLOOD hydrological model of the whole of Europe as part of a study to understand the potential impacts of climate change at the scale of the EU. Distributed catchment modelling There are many distributed catchment models in use for flood estimation including HSPF, HBV, HYSIM, LISFLOOD,NAM, PDM and CATCHMOD. These distributed catchment models may be either stand-alone applications or integrated into larger modelling systems such as the InfoWorks suite from MWH Soft and the MIKE suite from DHI. These are reviewed for water resource application in Section 3.1 above and Appendix D. The same models can in principle be use for all flow conditions, provided that they include the key processes that operate under intense rainfall (e.g. a limit on infiltration rate and surface flow routing). The models will need to be operated at a timescale appropriate for the scale of the catchment and the time to peak of the runoff. Thus flood modelling may require a finer temporal resolution that the daily time interval common for uses in water resource applications. The use of distributed modelling is essential for catchments where the hydrological response is not homogeneous because of spatial variation in soils, geology, land-use and topography. Where the scale of the catchment is large compared with the typical storm scale, distributed catchment models should be considered if spatial variation of the precipitation can be realistically estimated for design purposes. Distributed catchment models provide a means of undertaking continuous simulation of flow generation form precipitation in the context of exploring climate change impacts on flooding by coupling with appropriately downscaled spatial rainfall fields from climate scenarios. Recommendations and Conclusions International practice for flood design from rainfall most commonly is to assess the flood hydrograph arising from the appropriate design storm precipitation, whether this is for a specific annual probability or for the probable maximum flood. However there is a move to the use of continuous simulation of catchment runoff as this enables the effects of climate and other environmental changes to be included within future flood scenarios. The science of continuous simulation has been developed within the research community, but can require more computational resource than the traditional approach of using event-based design. Continuous simulation however, provides a means of assessing the impact of climate change on the frequency
  • 243.
    Project: Development ofHydrological Design Aids (Surface Water) under HP-II Document: 2009097/WR/REP-02 July 2010 State of the Art Report Revision: R0 3-72 WATER RESOURCES of moderate (rather than extreme) floods through the use of downscaled precipitation from GCM simulations of future climate scenarios. Where there is no standardised national methodology (such as the FEH in the UK), then the methods of the SCS in the Chapter 630 of the National Engineering Handbook on Hydrology (USDA-NRCS 1972; 2004; 2007a) may be used as having wide international application for event-based flood design. For any application, the most critical features to establish are the shape of the dimensionless unit hydrograph and the curve number CN to use for the infiltration in the calculation of the storm event runoff. Event-based design procedures with suitable maximising assumptions on hydrological response may be used to generate the PMF from estimates of the PMP. 3.2.4 Estimation of Probabilistic floods Probabilistic flood estimation in this context is the procedure used to estimate the flood discharge which has a particular probability of occurrence, using records for the site in question. The procedures are based on the analysis of hydro-meteorological records and contain a variety of assumptions. Normally the approaches assume that the observations are representative of the long-term behaviour of the river system, that there is no trend in the frequency of occurrence and that the future flooding probabilities can thus be assessed from a frequency analysis of the past regime. In the context of large scale environmental and climate change, all of these assumptions can be open to challenge. Probabilistic information may be used within the water resources management in at least three main ways: • To meet regulatory requirements for floods of specific probabilities; • To assist in decision-making in a benefit-cost analysis; • To use in a probabilistic risk assessment of the safety of the system. In the first and second of these situations, probabilistic assessment may be used to determine the design standard for floods relevant for the structure or situation concerned, where the standard is set for example as the 1% (100-year) flood or the 0.1% (1000 year) flood etc. In all cases it is unlikely that the frequencies assessed for past events from the dataset available for analysis will cover the duration of the desired flood probabilities. Thus the probabilities will be estimated by extrapolation outside the range of observations. In this case the use of non-local data though Index Methods (see below) and incorporation of theoretical physical limits (e.g. the PMP) may be desirable. Whatever methods are chosen the assessments will be subject to uncertainty and current international practice is to acknowledge uncertainty exists and to take account of this in the decisions made in the design procedures. The key steps in the probabilistic estimation procedure are: • Choice of the statistic • Selection of distribution • Assigning estimates frequency to observations • Parameter fitting
  • 244.
    Project: Development ofHydrological Design Aids (Surface Water) under HP-II Document: 2009097/WR/REP-02 July 2010 State of the Art Report Revision: R0 3-73 WATER RESOURCES Choice of statistic The choice of the statistic for assessment of a probabilistic measure of floods depends upon the use of the end information. This issue is of particular importance where the decision criteria include loss assessment for damage which has seasonal variability, depends upon duration of the event rather than just the maximum intensity. Statistics should be collected according to water years – choosing the start and end of the year so that a characteristic season (e.g. flood season or dry season) does not cross the division between the years. The data which may be extracted from the flow records for analysis include: • Annual maximum (AM) discharge for instantaneous peak • Peak-over-threshold (POT) instantaneous peak discharge • Mean Flow for specified durations (1-Day, 3-Day, 10-Day, 1-Month etc) • Annual maximum water level (stage) • AM or POT rainfall depth for a specific duration (e.g. 15 mins, 1 hr, 12 hrs, 1-day, 5-days etc) The difference between the AM and POT data is in the number of events that are recorded for analysis in any water year, with the POT statistic extracting more values from the raw dataset. The AM series records a single event in each year, whereas a POT data set typically record three peaks in a year but in very dry years may record none. The events in an AM series can reasonably be assumed to be statistically independent of each other, whereas other selection criteria may be needed to assure no serial dependence in a POT series. The appropriate statistical distributions will differ for AM and POT data, but the frequencies assessed from both types of data set should converge for extreme (rare) flood events. AM data are not appropriate for joint probability analysis where the data needs to be analysed for correlation between different flood sources, in these cases a full time history will be required. Safety assessments and design capacity calculations for dams, however, normally consider only extreme events and so either POT or AM data should provide a suitable approach. Selection of distribution There are several statistical models for the estimation of the probability of extreme floods from data at a particular site. The USDA discuss several possible distributions for US practice (USDA-NRCS 2007b): normal, Pearson III, two-parameter gamma, extreme value and binomial. The discussion of the Pearson III distribution is “The type III (negative exponential) is the distribution frequently used in hydrologic analysis. It is non-symmetrical and is used with continuous random variables. The probability density function can take on many shapes. Depending on the shape parameter, the random variable range can be limited on the lower end, the upper end, or both. Three parameters are required to fit the Pearson type III distribution. The location and scale parameters (mean and standard deviation) are the same as those for the normal distribution. The shape (or third) parameter is approximated by the sample skew. When a logarithmic transformation is used, a lower bound of zero exists for all shape parameters. The log- Pearson type III is used to fit high and low discharge values, snow, and volume duration data”. A logarithmic distribution has the advantage that it includes a constraint that the flow statistic should be positive (a desirable feature for analysis of annual maximum discharges).
  • 245.
    Project: Development ofHydrological Design Aids (Surface Water) under HP-II Document: 2009097/WR/REP-02 July 2010 State of the Art Report Revision: R0 3-74 WATER RESOURCES The UK practice from 1975 to 2000 was covered by the work of the Flood Studies Report (NERC 1975) which recommended the use of the Extreme Value family of distributions (GEV-1, GEV-2 and GEV-3). This recommendation arose from theoretical considerations on the behaviour of the frequency of extreme floods in an annual maximum series. The GEV-1 is a two parameter distribution and is also known as the Gumbel Distribution, this distribution is fitted to site value of the first and second moments of the data and has a fixed skewness (0.17). The GEV-2 and GEV-3 distributions allow for different values of skewness to be represented giving convex or concave upwards plots for the growth curve respectively. The use of the GEV distribution was carried forward into the World Flood Study (Meigh 1995; Meigh and Farquharson 1985). For extreme flood analysis for dam safety, the extrapolation of the growth curve to large return periods should probably not be asymptotic to a maximum value (IH 2000) although an argument for such behaviour might come from postulating a PMF generated from PMP. This will restrict the choice of distribution (e.g. GEV-2 will be excluded but GEV-3 and GEV-1 (Gumbel) will be acceptable). In the UK the Flood Estimation Handbook (IH 2000) also identifies several distributions (Generalised Logistic, Extreme Value, Log Pearson, Log Normal). For analysis of AM flow records there is a national preference for use of the Generalised Logistic distribution. The choice of distribution is made from an assessment of its ability to fit a wide range of flood data series. If the L-skewness distribution parameter is zero or negative the growth curve is unbounded for large return periods. The UK practice is now to use the General Logistic distribution, which has three parameters, in an index method to define a growth curve with all floods normalised by the site value of the median flood QMED and data drawn from other hydrologically similar sites into a pooling group for analysis. The need for and size of the pooling group will depend upon the maximum return period that is required from the analysis, to avoid the unacceptable uncertainty in fitting three distribution parameters to short data sets. The QMED value may be estimated from the annual maximum series if there are sufficient years of record (say 14 or more) or from an analysis of the POT data series (2 to 13 years data) through a weighted average of selected peaks (IH 2000) which has been derived from an appropriate statistical model. Where there are under 2 years of data, the FEH procedures require catchment characteristics to define QMED, this method is specific to the UK. Plotting rules for observations The “plotting position” for observations in an annual maximum series associates an exceedance frequency Fi with the i-th observation of a record of length N years. There are statistical arguments that the “best” plotting rule (unbiased) is linked to the distribution (Meigh 1995). Meigh observes that for the GEV distribution when fitting with PWM that the probability of non- exceedance which gave least bias was: Fi = (i-0.35)/ N whereas for plotting the data Meigh recommends that the Gringorten rule should be used Fi = (i-0.44)/ (N + 0.12) The US practice (USDA-NRCS 2007b) is to use the Weibull plotting rule to associate a frequency assessment to ranked observations using the Log Pearson III or Log-Normal distributions. Here:
  • 246.
    Project: Development ofHydrological Design Aids (Surface Water) under HP-II Document: 2009097/WR/REP-02 July 2010 State of the Art Report Revision: R0 3-75 WATER RESOURCES Fi = i/(N+1) The same rules can be used on “censored” records where annual maxima are available from one source (commonly an instrumental record) and some historic peaks are known as the greatest events above some threshold in a much longer series, using information from archives, local history, paleo flood reconstruction etc. The AGREGEE approach The French GRADEX approach to the assessment of the frequency an magnitude of rare floods for the design of dams was developed by Duband in the 1960’s (Guillot and Duband 1967). The fundamental concept of the method is that for large return periods (low probabilities) the frequency distribution for flood volume should have the same gradient in the frequency domain as the causative rainfall. The upper tail of the rainfall distribution is assumed to be exponential: 1-F(x) = k exp(-x/g) Where F is the probability of non-exceedance, k a coefficient and g the “Gradex” gradient. The method is described by Guillot (Guillot 1993) who gives an argument for how to include the physical limit of the PMP in the Gradex method. The assumption is that the influence of infiltration and other catchment storage becomes less important in controlling the rainfall-runoff process as the magnitude of the flood increases and the gradient of the flood frequency curve for rare flood volumes (1000 year and greater) can be derived from the observed rainfall frequency for lower return periods. The AGREGEE model develops this method further through the use of site records and historic flood peaks as well as the GRADEX assumptions (Margoum et al. 1994). The lower (more frequent) part of the distribution of flood discharge is derived from site data, historic information being used for medium floods and the upper tail blended on at some suitable value of F (typically the 10 to 100 year floods). Thus the AGREGEE approach provides a means of constructing the flood frequency curve for dam design for rare floods which can incorporate physical limits on the volume of rainfall and the maximum precipitation into assessment made on site data. The QDF methodology The QdF methodology was developed in France and has found application elsewhere in Europe. The method provides a means of combining information from several sources in a basin and its sub components. The AGREGEE approach allows systematic extension from local gauged records to extreme flows through the incorporation of climatically driven probability relationships on extreme rainfall. The QdF methodology allows the extension of this approach to build up an assessment of the flood frequency for a reach based upon records of sub-basins with differing characteristics and sizes. The output of the method is a set of inputs to a reach which produce a hypothetical flood with uniform frequency characteristics of flood volume across a range of flood durations – from the instantaneous peak to many days (Galea and Prudhomme 1997). Recommendations There is no one statistical distribution that applies internationally to all floods, hence the CWC needs to adopt some national guidelines. The national standards need to cover the choice of distribution, the estimation of parameters, the amount of data required for the fitting procedure and guidance on extrapolation beyond the range of data.
  • 247.
    Project: Development ofHydrological Design Aids (Surface Water) under HP-II Document: 2009097/WR/REP-02 July 2010 State of the Art Report Revision: R0 3-76 WATER RESOURCES The fitting procedures for distribution parameters to data need not be restricted to methods that are amenable to hand application, but can assume computational resource is available. Hence L- moments may be considered for national application to a single distribution type, or a number of methods supported (as in the FEH in the UK) if the CWC wish to provide the hydrologists with scope for exercising professional judgement on which fitting and distribution should be adopted. For development of flood design over a larger area, with consistency of flood volume characteristics over a variety of durations the QDF approach provides an alternative which combines information from gauging stations, estimated runoff from ungauged portions of the catchment, regionalised. A key issue for the safety assessment of hydraulic structures is the extrapolation of flood frequency curves to large return period floods (low probability events) which are appropriate for safety assessments. Rarely will there be sufficient information at a gauged site to generate reliable estimates of the 100-year flood or greater from an analysis of the site record alone. There are two main approaches: • Regionalisation of flood data for hydrologically similar basins such as in the World Flood Study or in the pooling group method of the FEH • The use of the AGREGEE (or GRADEX) method which ties the flood growth curve to growth curves for extreme precipitation for rare floods. The advantage of using the AGREGEE method for extrapolation of frequency estimates to extreme floods is that it does not imply any limit to discharge below that which is generated by the PMP. 3.2.5 Regional Flood Frequency Analysis Index flood methods provide a means of estimating extreme floods from “regionalisation”, this is by using information from a number of gauges within a catchment or in hydrologically similar catchments to provide a greater body of data for analysis. The approach was outlined about 50 years ago (Darlrymple 1960), and the method provides the conceptual basis of the regional flood estimation in many countries. The method has two fundamental steps. • First a homogeneous region is identified where a common probability model of (standardised) annual maximum floods can be reasonably developed taking account of climatology and catchment characteristics; • Secondly an index flood estimator is needed at the particular river site concerned. Index flood methods are the basis of one of the approaches in current UK hydrological design practice as the statistical approach of the Flood Estimation Handbook (IH 2000) and the former Flood Studies Report (NERC 1975). Software implementations of both of these procedures promoted their widespread national implementation in the UK and Ireland. There has been much effort devoted to the development of the regionalised flood growth curves for the first of these steps; one example relevant for the current project is the World Flood Study (Meigh 1995; Meigh and Farquharson 1985) which includes as an example the Kerala region on the southern tip of India. In this work the mean annual flood (that is the arithmetic mean of the annual maximum series) is used as the index flood.
  • 248.
    Project: Development ofHydrological Design Aids (Surface Water) under HP-II Document: 2009097/WR/REP-02 July 2010 State of the Art Report Revision: R0 3-77 WATER RESOURCES More recently a European funded research project, FRAMEWORK, has addressed methods for estimation of the index flood (Bocchiola et al. 2003). In their paper Bocchiola et al provide a framework for estimation of the index flood in five different scenarios: • River sites with a flow gauging station • River sites lying in a gauged catchment • River sites located in an ungauged basin which is located in a hydrologically homogeneous region • River sites close to an impounding structure (e.g. a dam) which alters the natural flow series • River sites located at historical sites in urbanised ungauged basins. For each of these cases Bocchiola et al present one or more methods of index flood assessment, depending upon the data available and with differing degrees of complexity. The methods to obtain the index flood that are summarised in this paper are: • Analysis of the AM series • Analysis of a POT series • Use of scale invariance • Estimation from historical flood marks • Fluvial morphological assessment of bankfull discharge • Derived distribution using the modified Geomorpho-climatic method • Hydrological simulation based on rainfall-runoff modelling either with observed rainfall or on hypothetical precipitation characteristics The hydrological modelling methods are in essence the methods discussed in Section 3.2.3 above. Recommendation Consider developing a series of regional growth curves based on gauged data in each major basin in India. The curves will vary with basin characteristics (e.g. area, maximum elevation) and climate as show by (Meigh 1995). The extension of the frequency curves to extreme floods could be based upon the AGREGEE / GRADEX methods. The methods of identifying the index flood from (Bocchiola et al. 2003) should be implemented. 3.2.6 Flood Wave Propagation Recommendation There are many modelling packages available for 1-D and 2-D flood simulation, ranging from unsupported codes from universities, public domain software especially from the US and commercial packages from other providers. The quality of the simulation result will depend more upon the experience and expertise of the modellers than on the simulation package chosen. One approach will be to provide support to a small number of preferred packages for application on all studies with a GIS framework to support the model building, data transfer and presentation of the results. There is currently a move in the modelling industry to develop interoperability of models through Open MI interfacing. The CWC should consider adopting Open MI compliance as one of its principles of development.
  • 249.
    Project: Development ofHydrological Design Aids (Surface Water) under HP-II Document: 2009097/WR/REP-02 July 2010 State of the Art Report Revision: R0 3-78 WATER RESOURCES 3.2.7 Impact of snow melt contribution on Design Flood (includes GLOF and cloud burst flood) Glacial Lake Outburst Floods A Glacial Lake Outburst Flood (GLOF) occurs when glacial melt water trapped in a glacial lake is released into the valley downstream in a comparatively short period of time. The areas most exposed to hazards from GLOF are in those parts of India which receive flow from the Himalayan glaciers. The nature of a GLOF has similarities with a dam-break flood from an embankment dam when a defined volume of water is flows out of a reservoir in an uncontrolled manner. Typically the outflow occurs through a breach in the dam which enlarges rapidly through the erosive force of the flow. However, there are important differences between a GLOF and a dambreak, the glacial lake will not be impounded by an engineered structure; rather the lake will form behind either ice or moraine. The physical properties moraine material will differ from dam embankments, probably being less able to withstand erosive forces; the moraine may be partially frozen and lose strength on thawing. The dimensions of a moraine dam, however, also differ from the dimensions of an engineered embankment dam, with the moraine dam typically being much broader relative to the depth of the lake impounded. The recent World Glacier Monitoring Service (WGMS) report (UNEP 2008) identifies that globally glacial ice volumes are in decline at the centennial time scale although there are dome decadal scale increases in volume of some reference glaciers monitored. This is true more specifically in the central Asia region which includes the glaciers of the Himalaya. The WGMS report records that the rate of formation of glacial lake has increased in parallel with the retreat of glaciers, and identifies the growth of the number of hazardous glacial lakes in the Himalaya (see Box 5.4, p27). Glacial lakes may form under the glacier, within the body of the glacier or in front of the glacier and may be triggered by volcanic eruptions and earthquake in addition to normal melting. Those in front of the glacier may be trapped by moraine and debris on the glacier surface (Sakai and Fujita 2010), by avalanche and landslide or by the encroachment of ice. The drainage of glacial lakes can be gradual or through the catastrophic release of a GLOF. Glacial lake water is both a hazard (from the potential of GLOF) and a resource for fresh water. Floods from glacial lakes present a hazard in many regions, examples are in New Zealand (Allen et al. 2009), Alaska (USGS 2007), Switzerland (Huggel et al. 2003) and Peru (Huggel et al. 2002). The UNDP in partnership with the EU Humanitarian Aid conducted a series of studies in 2007 and 2008 of GLOF risk reduction as part if the UN ISDR in India, Pakistan, Nepal and Bhutan (Gurung and Lama 2008; Roohi et al. 2008; Tshering 2008; UNDP 2009). These reports not only describe the GLOF hazards in selected basins draining from the Himalaya, but also describe risk mitigation strategies. A GLOF will have the greatest flood discharge close to the lake and will attenuate downstream. The rate of attenuation will depend upon several factors including the shape of the outflow hydrograph, the dimensions of the river channel and valley, the gradient of the valley and the roughness of the channel and of the valley floor. A GLOF can present a major hazard to life and property for large distances, in the case of the Indus valley the floods from GLOF in the C20th extended for more than 1000 kilometres away from the lakes that generated them (Hewitt 1982). A notable GLOF occurred in Langmoche in Nepal in August 1985 which destroyed the Namche Small Hydel Project; the subsequent report (Ives 1986) contains a series of recommendation on how to account for GLOF risks in the region and that this should be mandatory for hydropower developments. Since a GLOF does not arise directly in response to precipitation, the probability of the hazard from GLOF should not be assessed using standard flood statistical methods (USGS 2007), rather
  • 250.
    Project: Development ofHydrological Design Aids (Surface Water) under HP-II Document: 2009097/WR/REP-02 July 2010 State of the Art Report Revision: R0 3-79 WATER RESOURCES specific account should be taken of the volume, location and flood generation potential from glacial lakes that may cause a hazard in an area. The most common form of approach is to identify the glacial lakes that have a high chance of causing a GLOF and then to estimate the magnitude and propagation of the hypothetical GLOF from each potential source using techniques similar to dam break assessment. Published accounts of this type of approach have used the widely available NWS-BREACH and DAMBRK models, however, it should be noted that for dam break assessments these models have been superseded by more recent developments. The action “Sentinel Asia” on natural hazards was proposed at an Asia-Pacific Regional Space Agency Forum, or APRSAF meeting, held in Japan in 2005. There is a current (2010) Working Group on GLOF which is using remote sensing technologies to catalogue glacial lakes in the Himalaya, carrying out risk assessments and modelling the outburst flood scenarios. The partners in the project include The International Centre for Integrated Mountain Development (ICIMOD) in Nepal, which is a regional centre of expertise on Himalayan hazards and the International Centre for Water Hazard and Risk Management (ICHARM) which is a UNESCO centre. The GLOF project is due for completion in 2012. The contact for this project is Hiromichi FUKUI, Faculty of Policy Management, Global Security Research Center, Keio University; (e-mail hfukui@sfc.keio.ac.jp) Recommendation Use the latest information from satellite imagery and international catalogues to obtain the location, volume and degree of hazard posed by glacial lakes in the headwaters of any rivers draining from the Himalaya range into Sates in India, take account of the large distances that GLOF may travel. Use standard dam break modelling to assess the rate of release of the glacial lake in the event of an outburst, superimposed on an existing river flood. Use the current best modelling practice available for breach formation and hydrodynamic simulation. 3.2.8 Development of Design Flood Hydrograph for Agricultural and Urban catchments Recommendation Where there is no standardised national methodology (such as the FEH in the UK), then the methods of the SCS in the Chapter 630 of the National Engineering Handbook on Hydrology (USDA-NRCS 1972; 2004; 2007a) may be used as having wide international application. For any application, the most critical features to establish are the shape of the dimensionless unit hydrograph and the curve number CN to use for calculation of the storm event runoff. 3.2.9 Stationarity, trend and climate change A key simplifying assumption in much flood analysis is that of statistical stationarity, that is there are no long term trends and changes which would alter the likely incidence or severity of floods. Non-stationarity may be linear or non-linear trends in time (either increase or decrease) or step- change possibly arising from an adjustment in some process or human intervention in the system (e.g. commissioning of a major flood contraol dam). Potential sources of trend and change in a river basin that may influence the frequency and magnitude of floods include: • Physical development such as urbanisation which seals the land surface • Development of flood control infrastructure • Large scale changes in land surface cover from agricultural practice, deforestation, afforestation, desertification etc
  • 251.
    Project: Development ofHydrological Design Aids (Surface Water) under HP-II Document: 2009097/WR/REP-02 July 2010 State of the Art Report Revision: R0 3-80 WATER RESOURCES • Natural trends and cycles of precipitation from climatic variation • Influence of anthropogenic climatic change The methods and discussion above has concentrated on data and methods based on the assumption of stationarity. Trends should not be inferred from short records particularly if the local climatology has sequences of relatively flood-free or flood-rich sequence of years. Volume 3 of the FEH (IH 2000) discusses tests that can be applied to hydrometeorological records to detect trend. Several important issues arise: • Methods to assess trend should be robust to the occurrence of “outliers” • Tests for trend should be evaluated against the null hypothesis that there is no trend • Distribution-free tests are available which do not make assumptions about the frequency distribution underlying the population of floods. • Tests are available for both continuous and step changes • Some of the methods are computationally intensive. The consensus view of the IPCC is that “The understanding of anthropogenic warming and cooling influences on climate has improved since the Third Assessment Report (TAR), leading to very high confidence that the globally averaged net effect of human activities since 1750 has been one of warming…”(IPCC 2007) An important concern in hydrological prediction is that this anthropogenic influence of the climate, will lead to changes in flood frequency and magnitude. This subject is complex and uncertain, but decisions on the development of major water resources infrastructure and associated public safety issues, must be taken in the context of this scientific complexity and uncertainty. The balance of major contributions to the uncertainty in future scenarios for climate depends on the number of decades ahead of the predictions. In the next two to three decades the uncertainty derives principally from the uncertainties in the state for the current climate used to initialise the GCM climate simulations, the balance then changes to scientific uncertainty in the GCM structure and then in the further future (say five or six decades ahead) to uncertainty in global emissions and the choice of the SRES scenarios. The IPCC WG1 summary for policy makers (IPCC 2007) includes commentary on the potential influence of climate change on flood-related issues including: • For heavy precipitation events, it is “likely” that there has been a trend for increases over most areas in the frequency (or proportion of total rainfall from heavy falls) in the late 20th century, it is “more likely than not” that this change has a human contribution and it is “very likely” for this future trend based on projections for 21st century using SRES scenarios. • Based on a range of models, it is likely that future tropical cyclones (typhoons and hurricanes) will become more intense, with larger peak wind speeds and more heavy precipitation associated with ongoing increases of tropical SSTs. • Since the TAR there is an improving understanding of projected patterns of precipitation • A multi-model average for projected changes in precipitation patterns in June, July August precipitation in southern India is an increase 0f 10 to 20% with over 66% of models agreeing on the sign of the change
  • 252.
    Project: Development ofHydrological Design Aids (Surface Water) under HP-II Document: 2009097/WR/REP-02 July 2010 State of the Art Report Revision: R0 3-81 WATER RESOURCES The UK has a climate impact programme which interprets the global climate predictions at the national scale in way in which the information may be used in making policy and taking decisions in various sectors. One response to information on changes in precipitation in the UK flooding season is for advice to be issued on precautionary range of change for precipitation to be included in flood risk assessments. These changes are reviewed as the climate science provides more detail and for large catchments are typically for changes in flood peak of a similar order of magnitude to the precipitation change in the climate scenarios. Recommendation Current information on the effects of climate change contains considerable complexity and uncertainty which precludes making firm assessment of the changes in flood magnitude and frequency. Globally, projected changes in flooding have regional and seasonal variation. In general the trend for warming of the atmosphere leads to an increase in the moisture content of the air and so for impacts upon the hydrological cycle. The broad synoptic-scale meteorological causes of flood-generating precipitation may change (e.g. monsoon, cyclone) may change in different ways and at different rates over the coming decades. Hence the CWC should consider what adaptations should be made to standard flood design practice within its areas of operation, which are consistent with national strategy on adaptation to climate change impacts. One approach may be to adopt the current approach of the UK in adding a percentage change for sensitivity testing of designs for structures and adopting a “future-proof” approach to design which allows for some adaptation during the design life of the structure. 3.2.10 Glossary Term Definition AGREGEE Precipitation estimation methodology of Oberlin (1993) – development of GRADEX AMS Annual Maximum Series – a flow statistic, the highest value in each (water) year CN Curve Number – an index to specify the infiltration rate of the catchment and a key parameter of the SCS design procedure to determine runoff DUH Dimensionless Unit Hydrograph of the SCS methodology FEH Flood estimation handbook (UK flood design practice since 2000) FORGEX Focussed rainfall generation extension precipitation estimation methodology FSR Flood Studies Report –UK flood design method from 1975 to 2000, a five volume report of statistical and modelling methods, meteorology, flood routing, data and maps GCM General Circulation Model – a computational model of the global atmosphere used to simulate future global climate based upon assumed scenarios of atmospheric emissions GEV Generalised Extreme Value distribution with types GEV-1, GEV-2 and GEV-3 GLOF Glacial Lake Outburst Flood GRADEX Gradient extension precipitation estimation methodology of Guillot & Duband Gumbel The GEV type 1 distribution; this depend on two parameters derived from flood
  • 253.
    Project: Development ofHydrological Design Aids (Surface Water) under HP-II Document: 2009097/WR/REP-02 July 2010 State of the Art Report Revision: R0 3-82 WATER RESOURCES Term Definition Distribution data HBV A catchment hydrological model for continuous simulation developed at the Swedish Hydro-Meteorological Institute HEC Hydrologic Engineering Center, part of the US Army Corps of Engineers hm3 Unit of stored volume equal to 106 m3 HSPF Hydrological Simulation Program a catchment hydrological model for continuous simulation developed at the USGS ICOLD International Committee on Large Dams IDF Inflow design flood, the US safety standard flow for the dam according to category IPCC United Nations Inter-governmental Panel on Climate Change IUH Instantaneous Unit Hydrograph, the theoretical response of a basin to a unit depth of precipitation falling in an instant, used in the FEH Kurtosis Standardised fourth moment of distribution or data L-Moments Linear moments - a statistical method used to determine distribution parameters from data as a variation of PWM LISFLOOD A catchment hydrological model for continuous simulation developed by the European Joint Research Centre MAF Mean Annual Flood – the arithmetic average of the annual maximum flood discharge measured at a site. NWS US National Weather Service, originating institution for the DAMBRK model PDM Probability Distributed Moisture – a catchment hydrological model for continuous simulation developed at the Institute of Hydrology (now CEH Wallingford) PMF Probable maximum flood – usually derived from the PMP with other assumptions designed to maximise the flood discharge PMP Probable maximum precipitation PMR Probable maximum rainfall (US usage for PMP) POT Peaks over threshold – a flow statistic, the occurrence of a peak flow (or level) that exceeds a specific threshold (with possibly other constraints to ensure independence) PWM Probability weighted moments – a statistical method used to determine distribution parameters from data QDF Flow-Duration-Frequency method QMED Median annual maximum discharge – the value of the annual maximum flow which is exceeded (or not exceeded) on average one year in two. QMED is the Index Flood used in UK practice SCS Soil Conservation Service – now the USDA Natural Resources Conservation Service
  • 254.
    Project: Development ofHydrological Design Aids (Surface Water) under HP-II Document: 2009097/WR/REP-02 July 2010 State of the Art Report Revision: R0 3-83 WATER RESOURCES Term Definition Skewness Standardised third moment of distribution or data SRES IPCC Special Report on Emission Scenarios which describes several possible sets of future conditions to be included in GCM climate simulations Standard deviation Square root of variance TAR The IPCC Third Assessment Report UH Unit Hydrograph, the hypothetical response of a basin to a “unit” volume of rainfall spread uniformly over a specified time period. UNEP United Nations Environment Programme USDA United States Department of Agriculture USGS United States Geological Survey Variance Second moment of distribution or data 3.2.11 References Allen, S. K., Schneider, D., and Owens, I. F. (2009). "First approaches towards modelling glacial hazards in the Mount Cook region of New Zealand’s Southern Alps." Nat. Hazards Earth Syst. Sci, 9, 481-499. Asmal, K. (2000). Dams and Development, Earthscan. Bergström, S., Harlin, J., and Lindström, G. (1992). "Spillway design floods in Sweden." Hydrological Sciences Journal, 37(5), 505-519. Bergström, S., Hellström, S.-S., Lindström, G., and Wern, L. (2008). "Follow-up of the Swedish guidelines for the design flood determination for dams." 1:2008, BE90. Bocchiola, D., Michele, C. D., and Rosso, R. (2003). "Review of recent advances in index flood estimation." Hydrology and Earth System Sciences, 7(3), 283-296. Bradlow, D. D., Palmieri, A., and Salman, S. M. A. (2002). Regulatory frameworks for dam safety, The World Bank, Washington DC. Calver, A., Lamb, R., and Morris, S. E. (1999). "River flood frequency estimation using continuous runoff modelling." Proc Inst Civ Water Maritime and Energy, 136(4), 225-234. Darlrymple, T. (1960). "Flood frequency analysis." US Geological Survey. DIN. (1986). "Teil 10: Gemeinsame Festlegungen " In: Stauanlagen, Deutsches Institut fur Normung eV, Berlin. Droop, O. P., and Boughton, W. C. (2003). "Integration of WBNM into A Continuous Simulation System for Design Flood Estimation " In: Modelling and Simulation 2003.
  • 255.
    Project: Development ofHydrological Design Aids (Surface Water) under HP-II Document: 2009097/WR/REP-02 July 2010 State of the Art Report Revision: R0 3-84 WATER RESOURCES Faulkner, D., and Wass, P. (2005). "FLOOD ESTIMATION BY CONTINUOUS SIMULATION IN THE DON CATCHMENT, SOUTH YORKSHIRE, UK." Water and Environment Journal, 19(2), 78-84. FEMA. (2004a). "Hazard Potential Classification System for Dams ", Federal Emergency Management Agency. FEMA. (2004b). "Selecting and accomodating inflow design floods for dams." Federal Emergency Management Agency. Feyen, L., Dankers, R., Barredo, J. I., Kalas, M., Bódis, K., Roo, A. d., and Lavalle, C. (2006). "Flood risk in Europe in a changing climate." EUR 22313 EN, European Commission Joint Research Centre, Institute of Environment and Sustainability, Luxembourg. Foerland, E. J., and Kristoffersen, D. (1989). "Estimation of extreme preciptitation in Norway." Nordic Hydrology, 20, 257-276. Galea, G., and Prudhomme, C. (1997). "Basic notions and useful concepts for understanding the modelling of flood regimes of basins in QdF models." Revue des Sciences de l'Eau, 10(1), 83- 101. Guillot, P. (1993). "The arguments of the gradex method: a logical support to assess extreme floods." In: Extreme hydrological events: Precipittaion, floods and droughts, IAHS, Yokohama, Japan, 287-298. Guillot, P., and Duband, D. (1967). "La méthode du Gradex pour calcul de la probabilitié de crues à partir des pluies." AISH, 84, 560-560. Gurung, J., and Lama, L. T. (2008). "Regional GLOFs Risk Reduction Initiative in the Himalayas: Preparatory Assessment Report, Nepal." Hewitt, K. (1982). "Natural dams and outburst floods of the Karakoram Himalaya." In: Hydrological Aspects of Alpine and High Mountain Areas, IAHS, Exeter. Huggel, C., Haeberli, W., Kääb, A., Hoelzle, M., Ayros, E., and Portocarrero, C. (2002). "Assessment of glacier hazards and glacier runoff for different climate scenarios based on remote sensing data: a case study for a hydropower plant in the Peruvian Andes." In: EARSeL-LISSIG- Workshop Observing our Cryosphere from Space Bern. Huggel, C., Kääb, A., Haeberli, W., and Krummenacher, B. (2003). "Regional-scale GIS-models for assessment of hazards from glacier lake outbursts: evaluation and application in the Swiss Alps." Nat. Hazards Earth Syst. Sci, 3, 647-662. ICE. (1996). "Floods and reservoir safety." Institution of Civil Engineers. IH. (2000). "Flood Estimation Handbook." Institute of Hydrology. IPCC. (2007). "Climate Change 2007: The Physical Science Basis - Summary for Policymakers." Word Meteorological Organisation. Ives, J. D. (1986). "Glacial lake outburst floods and risk engineering in the Himalaya." ICIMOD.
  • 256.
    Project: Development ofHydrological Design Aids (Surface Water) under HP-II Document: 2009097/WR/REP-02 July 2010 State of the Art Report Revision: R0 3-85 WATER RESOURCES Kjeldsen, T. R. (2007). "The revitalised FSR/FEH rainfall-runoff method." Centre for Ecology and Hydrology. Liu, J. (2002). "Selection of Design Floods in Southeast Asia." In: 5th International Conference on Hydro -Science & -Engineering (ICHE-2002), Warsaw. Margoum, M., Oberlin, G., Lang, M., and Weingartner, R. (1994). "Estimation des crues rares et extrêmes: Principes du modèle Agregee." Hydrol. Continent, 9(1), 85-100. Meigh, J. (1995). "Regional flood estimation methods for developing countries." Instiuite of Hydrology. Meigh, J., and Farquharson, F. (1985). "World Flood Study." Institute of Hydrology. Nathan, R. J., Hill, P., and Griffith, H. (2001). "Risk implications of the PMF and the PMP design flood." In: NZCOLD and ANCOLD Conference on Dams. NERC. (1975). "Flood Studies report." Natural Environment Research Council. Radzicki, K., Szczesny, J., and Tourment, R. (2005). "Comparison of laws, procedures, organisations and technical rules for dams and dikes safety in Poland and France." Cemagef. Roohi, R., Ashraf, A., Mustafa, N., and Mustafa, T. (2008). "Preparatory assessment report on Community Based Survey for Assessment of Glacial Lake Outburst Flood Hazards (GLOFs) in Hunza River Basin." UNDP, Pakistan, Islamabad. Ruttan, J. A. (2004). "GUIDELINES ON EXTREME FLOOD ANALYSIS." Alberta Transportation, Transportation and Civil Engineering Division, Civil Projects Branch. Saelthun, N. R., and Andersen, J. H. (1986). "New procedures for flood esimation in Norway." Nordic Hydrology, 17, 217-228. Sakai, A., and Fujita, K. (2010). "Formation conditions of supraglacial lakes on debriscovered glaciers in the Himalaya." Journal of Glaciology, 56(195), 177-181. Soong, D. T., Straub, T. D., and Murphy, E. A. (2005). "Continuous Hydrologic Simulation and Flood-Frequency, Hydraulic, and Flood-Hazard Analysis of the Blackberry Creek Watershed, Kane County, Illinois." U.S. Geological Survey. Tshering, N. (2008). "An analysis of socio-economic impact and risk mitigation and preparedness measures of GLOF events in Bhutan - a case study of Samdingkha." UNDP. (2009). "Capacity Building for Disaster Risk Reduction Regional Glacial Lake Outburst Floods (GLOF) Risk Reduction in the Himalayas - Preparatory Assessment Study Report Sutlej Basin - Himachal Pradesh India." New Delhi. UNEP. (2008). "Global Glacier Changes: facts and figures." UNEP World Glacier Monitoring Service. USDA-NRCS. (1972). "Design Hydrographs." Chapter 21, NEH Notice 4-102, Natural Resources Conservation Service.
  • 257.
    Project: Development ofHydrological Design Aids (Surface Water) under HP-II Document: 2009097/WR/REP-02 July 2010 State of the Art Report Revision: R0 3-86 WATER RESOURCES USDA-NRCS. (2004). "Estimation of Direct Runoff from Storm Rainfall." Chapter 10, 210-VI- NEH, Natural Resources Conservation Service. USDA-NRCS. (2007a). "Hydrographs." Chapter 16, 210-VI-NEH, Natural Resources Conservation Service. USDA-NRCS. (2007b). "Selected Statistical Methods." Chapter 18, 210-VI-NEH, Natural Resources Conservation Service. USGS. (2007). "Hydrology and Glacier-Lake-Outburst Floods (1987-2004) and Water Quality (1998-2003) of the Taku River near Juneau, Alaska." Viviroli, D., Mittelbach, H., Gurtz, J., and Weingartner, R. (2009a). "Continuous simulation for flood estimation in ungauged mesoscale catchments of Switzerland - Part II: Parameter regionalisation and flood estimation results." Journal of Hydrology, 377(1-2), 208-225. Viviroli, D., Zappa, M., Schwanbeck, J., Gurtz, J., and Weingartner, R. (2009b). "Continuous simulation for flood estimation in ungauged mesoscale catchments of Switzerland - Part I: Modelling framework and calibration results." Journal of Hydrology, 377(1-2), 191-207. WMO. (1986). "Manual for Estimation of Probable Maximum Precipitation." WMO - No. 332, World Meteorological Organization.
  • 258.
    Project: Development ofHydrological Design Aids (Surface Water) under HP-II Document: 2009097/WR/REP-02 July 2010 State of the Art Report Revision: R0 3-87 WATER RESOURCES 3.3 SEDIMENTATION RATE ESTIMATION This review of internationally used techniques for sedimentation rate estimation is based on a number of publications describing best current practice around the world. 3.3.1 General concepts The design process for reservoirs involves a number of different stages, including: a. appraisal of different potential sites b. option appraisal for the selected site and c. detailed design. At each stage in this process different methods of analysis are appropriate. During the appraisal of different potential sites methods are required that require as little site specific data as possible and are quick to apply but the detail of the output may be low and the uncertainty may be high. As one approaches detailed design there is an increasing requirement for detailed outputs and reduced uncertainty. Such methods will normally require more detailed site data and will often take longer to apply. Thus in considering international practice one should not just consider one method to be applied at one stage of the design process but consider a range of methods that are appropriate to different stages in the process. Any assessment of the sedimentation rate within a reservoir consists of a number of different components: a. the sediment inflow to the reservoir has to be assessed b. the proportion of the incoming sediment load that is trapped within the reservoir must be assessed c. if required sediment management options must be considered and evaluated. Initially reservoir sedimentation was considered using the concepts of ‘live’ and ‘dead’ storage. ‘Live’ storage was the storage available above the lowest intake level while ‘dead’ storage was the storage below the lowest intake level. Erroneously the assumption was made that reservoir sedimentation would fill the dead storage first before beginning to fill the live storage. It was later realised that sedimentation affects both live and dead storage with often more live storage lost than dead storage. Figure 3.4 shows schematically typical sedimentation in a reservoir, while Figure 3.5 shows observed sedimentation in Lake Mead in the USA.
  • 259.
    Project: Development ofHydrological Design Aids (Surface Water) under HP-II Document: 2009097/WR/REP-02 July 2010 State of the Art Report Revision: R0 3-88 WATER RESOURCES Figure 3.4 Generalized depositional zones in a reservoir. Extracted from Morris and Fan 1998 Figure 3.5 Formation of fluvial delta in Lake Mead, USA – Smith et al (1954). Extracted from Garcia 2008 As storage is lost the water yield from the reservoir progressively reduces. In general, as the reservoir storage reduces it still retains some utility. Thus it is difficult to define the end of the useful life of the reservoir. To overcome this problem Ackers introduced the concept of the half- life of a reservoir, which is the time required for the reservoir to lose half its storage. The duration of the half life then provides an estimate of the likely severity of the impact of sedimentation on the useful life of the storage. To indicate the likely quantity of sediment that will be trapped in a reservoir the notion of Trapping Efficiency was introduced. This is defined as the ratio of the total inflowing sediment load that is trapped in the reservoir over a stated period of time. The trapping efficiency of a
  • 260.
    Project: Development ofHydrological Design Aids (Surface Water) under HP-II Document: 2009097/WR/REP-02 July 2010 State of the Art Report Revision: R0 3-89 WATER RESOURCES reservoir will depend upon the size and shape of the reservoir, the nature of the incoming sediment load and the sediment characteristics. The trapping efficiency of a reservoir is not constant through time but typically reduces as sedimentation reduces the storage volume of the reservoir. 3.3.2 Availability of Standards and Guidance As far as the project team is aware, there is no International or National Standard on the prediction of sedimentation rates in reservoirs. There are a number of publications, however, that describe current practice, for example: • Reservoir Sedimentation Handbook by Morris and Fan • Reservoir Sedimentation by G Annandale, • Erosion and sedimentation manual, US Bureau of Reclamation The estimation of reservoir sedimentation now frequently relies heavily on the use of numerical modelling and as numerical models develop in their sophistication the practice predicting reservoir sedimentation is not constant but rapidly developing. The above references were not produced at the same time and each reflects the current practice in the region of the world where the works were written. In the case of the Reservoir Sedimentation Handbook the position is more complex as there are multiple authors from different parts of the world. The implication is that one cannot describe a coherent current practice but more a series of separate developments in different parts of the world. 3.3.3 Current Practice is different in different parts of world There are multiple reasons why there are widespread differences around the world and some of these are explored below. The nature of the issues to be studied and the methods used depend upon a number of different factors which are discussed below: Nature of rivers and sediments: There are major differences around the world in the flow regimes and the nature of the sediments that are relevant for reservoir sedimentation prediction. In the mountainous areas of Europe sediment inflows may be dominated by the coarser sediment fractions that move predominantly as bed load while in other parts of the world the dominant sediment fractions may be sands and silts with the dominant mode of sediment movement being as suspended load. In addition the flow regime of rivers can be very different. In the more temperate climates water inflows may be distributed fairly evenly throughout the year while in other regions there may be a pronounced flood season during which most of the inflows to the reservoir take place. As sediment transport is a non-linear function of flow the temporal distribution of sediment inflows tends to be even more extreme than the distribution of the flows. The nature of the sediments and the temporal distribution of sediment inflows affects the validity of different analysis and prediction techniques. Thus an approach that might be appropriate for bed load dominated situations might not be appropriate for cases in which the sediment input load is dominated by fine sediment.
  • 261.
    Project: Development ofHydrological Design Aids (Surface Water) under HP-II Document: 2009097/WR/REP-02 July 2010 State of the Art Report Revision: R0 3-90 WATER RESOURCES Nature of the reservoir: Reservoirs are operated in different ways depending upon the use of the stored water. In general the water level is maintained at a high level within reservoirs used for hydro-electric power generation while in reservoirs in which the water is used for irrigation there may be a marked annual fluctuation in water levels. In reservoirs which provide over-year storage such fluctuations in water level may extend over periods of years. The behaviour of the sediments within reservoirs with these different operating regimes is different. For example, sediment that is exposed to the air and dries out for part of the year consolidates in a different way to sediment that is permanently submerged. This means that methods applicable to one type of reservoir may not be appropriate for another type. Availability of data: The analysis and modelling of sedimentation requires a range of data. Some of the required data is specific to the site and can be collected as part of a site investigation, such as the bathymetry of the reservoir and the physical catchment characteristics. In addition, however, any such analysis or modelling requires data such as flow regimes and typical sediment loads. Such variables are subject to long term fluctuations and so long time series data is required. This is rarely available at the site and usually data has to be used from some other location where data has been collected on a routine basis for a long time period. The routine collection of flow and sediment data varies throughout the world both in terms of the density of data, the variables measured, the measurement methods used and the quality of the data. Thus, analysis methods and models that can be readily applied in some areas of the world as there is a long record of suitable data may b inappropriate for other parts of the world due to the paucity of the necessary data. Severity of problem: In parts of the world sedimentation is a major issue in the design of a reservoir scheme and the whole feasibility of a proposed scheme may depend upon the sedimentation rate and the ability to mitigate the potential loss of storage due to sedimentation. In other parts of the world sediment yields are much lower and sedimentation may be regarded as a minor issue as potential storage losses due to sedimentation may be insignificant. In the former case there is pressure to use advanced methods of analysis and detailed modelling while in other regions much simpler methods may suffice. The above discussion illustrates some of the reasons why there is no consistent, coherent international practice for the prediction of sedimentation. 3.3.4 Historic development of reservoir sedimentation methods The methods that are available for the prediction of sedimentation have been subject to rapid change and development over the recent past. This has been driven by different aspects of the problem. Recent developments in measurement, such as the development of ADCP instruments for the measurement of flow and sediment concentrations has led to enormous increases in the amount of such data that can be collected and increases in the amount of data available on the spatial and temporal distributions. In parallel with this there have been massive increases in computer power which has allowed the application of increasingly complex and sophisticated numerical models to predict sedimentation. Up to the early 1980s the potential for computer modelling was limited and it was only then that the first 1-D models of reservoir sedimentation were introduced. With developments of computer power since then there is increasing potential for the application of 2-D and 3-D models to the prediction of sedimentation. It seems likely that such further developments will continue so that international practice will continue to evolve in the future.
  • 262.
    Project: Development ofHydrological Design Aids (Surface Water) under HP-II Document: 2009097/WR/REP-02 July 2010 State of the Art Report Revision: R0 3-91 WATER RESOURCES 3.3.5 Estimation of sediment yield Introduction The quantity of sediment that is transported to a specified point in a drainage basin over a specified period of time is often referred to as the sediment yield, which is often expressed as the number of tonnes of sediment per unit area per year. It must be appreciated that for a particular catchment there are normally significant spatial and temporal fluctuations in the sediment yield from year to year. Sediment yield depends upon a range of factors including: a) catchment area, see Figure 3.6, b) catchment slope, c) catchment topography, d) rainfall amount, e) rainfall intensity, f) nature of sediments. Figure 3.6 Average annual sediment yield versus drainage area for semiarid areas of the United States (Strand and Pemberton 1987). Extracted from Garcia 2008 The term ‘erosion’ is used to describe the process of sediment particles being detached from the soil matrix and being carried away from the point of detachment. There are a number of empirical methods to assess sediment erosion, including the Universal Soil Loss Equation (USLE), MUSLE, Revised Universal Soil Loss Equation (RUSLE) and RUSLE2 together with more complex, physically based models such as AGNPS, ANSWERS, CREAMS, SEDIMONT and WEPP. Some of the sediment erosion models listed above are based on estimating soil erosion at a plot scale. When these are applied to large catchments it is normally found that they significantly over estimate the actual sediment yield. The ratio of the estimated soil erosion to the sediment yield for the catchment as a whole is referred to as the Sediment Delivery Ratio. In general the Sediment Delivery Ratio is significantly less than 1 (Walling, 1983). The small value of the Sediment
  • 263.
    Project: Development ofHydrological Design Aids (Surface Water) under HP-II Document: 2009097/WR/REP-02 July 2010 State of the Art Report Revision: R0 3-92 WATER RESOURCES Delivery Ratio is normally attributed to the fact that following erosion much sediment is re- deposited either within the catchment, floodplain or in the channel. The difficulty in measuring and estimating sediment yield should not be under-estimated. There has been a history in the past of under estimating potential sediment yields (Tejwani, 1984 and Lagwankar et al, 1995). Spatial variability in sediment yield: Sediment yield is often calculated by dividing the overall sediment delivered from a catchment by the catchment area. This generates an average sediment yield and may disguise significant spatial variations (Campbell, 1985). Methods to assess long- term sediment yield are described in Strand and Pemberton, 1987 and MacArthur et al (1995). Erosion may take place over wide areas of a catchment but it is only if there is a transport path between the location of the erosion and a watercourse that the eroded sediment will enter the fluvial system. In general, the area of the catchment which has a direct transport link to a watercourse is only a small proportion of the total catchment area. This means that, in general, the sediment that enters the fluvial system only comes from a small proportion of the overall catchment area. The spatial pattern of sediment yield is not constant. Factors which can significantly affect sediment yield include: a. changes in land-use b. changes in vegetation cover c. developments within the catchment, such as construction d. incidence of disturbances such as land-slides following major earthquakes e. spatial variations in extreme rainfall within the catchment. Analysis of Indian data of annual sediment loads from different sub-catchments showed that in any one year there could be significant differences in the average sediment yield from each sub- catchment. The potential spatial variability in sediment yield becomes important if there is a desire to manage the quantity of sediment entering the fluvial system. Catchment conservation techniques are likely to be more effective if they are targeted at areas which directly contribute sediment to the watercourses within the catchment rather than if they are just applied widely. Temporal variations in sediment yield: In general, sediment transport in channels is a highly non-linear function of the discharge with the sediment transport rate increasing rapidly as the discharge increases. In many cases this results in the bulk of the sediment being moved in a relatively few major flood events in a year. Analysis of Indian data on annual sediment loads from different sub-catchments showed that there could be significant variations in sediment yield from a particular sub-catchment from one year to another year. Influence of climate change: There is increasing interest in the potential impact of climate change on sediment yield in the future. Climate change by changing rainfall intensity and land use in a catchment may mean that sediment yields may change in the future. As suspended sediment concentration typically increases as a function of discharge, extreme storms or cycles of wet and
  • 264.
    Project: Development ofHydrological Design Aids (Surface Water) under HP-II Document: 2009097/WR/REP-02 July 2010 State of the Art Report Revision: R0 3-93 WATER RESOURCES dry years due to climate change can dramatically influence annual yield. In the same way, land use changes by climatic variation such as deforestation or reforestation, changes in grazing intensity and urbanization have a big impact on sediment yield. Therefore, past data on sediment yield may not indicate long-term future sediment yields. In estimating reservoir sedimentation it may be important to take into account the temporal variability and climate change in sediment yield rather than just using long-term average values. Approaches to estimate the sediment yield There are a number of different approaches to estimating sediment yield which have different degrees of complexity and different levels of uncertainty. The appropriate approach depends upon the available data and the level of uncertainty that is acceptable. At the simplest there are global maps of sediment yield which show broad ranges of sediment yield in different continents, see for example, Figure 3.7. The most complex approaches involve the application of physically-based, numerical models to simulate the movement of water and sediment within individual catchments. Figure 3.7 Sediment yield map for India (Shangle, 1991). Extracted from Morris and Fan 1998 Some approaches are based on the assumption that there is a relationship between fluvial discharge and sediment concentration. Such a relationship is referred to as a sediment rating curve. For advice relating to the estimation of sediment rating curves see Cohn (1995). Sediment yield may be estimated using long-term discharge records and a measured sediment rating curve. Measuring sediment concentrations can be subject to large uncertainty. In addition, such measurements are rarely available for the extreme discharges so frequently some form of extrapolation is required which adds to the uncertainty. With the development of GISs and increased computer power, it has been possible to develop spatially distributed models of soil erosion that can predict sediment yield. The GIS component of such a model can contain information on soil, land use and hydrological parameters. By applying assumed rainfall within the model one can calculate the resulting runoff and sediment load. Once the sediment has entered the river system it can be routed down the channel system. An example of such a model incorporating empirical erosion models with a sediment delivery module is described by Kothyari et al (1996). Arnold et al (1995) describe a physically based model that simulates both sediment detachment and transport processes coupled with fluvial routing
  • 265.
    Project: Development ofHydrological Design Aids (Surface Water) under HP-II Document: 2009097/WR/REP-02 July 2010 State of the Art Report Revision: R0 3-94 WATER RESOURCES methods. Such models require extensive spatial input data and data for calibration. This means that the application of such models cannot yet be regarded as simple or routine. The use of such spatial models holds out the best hope of taking account of the spatial variability in sediment yield described above and of improving the prediction of sediment yield in catchments. At present, however, there are significant constraints on the accuracy of such models. Just considering one component of such a model, the routing of sediment down a channel, the best sediment transport estimators are within a factor of two of the observed value approximately 70% of the time. Putting together all the other uncertainties in our descriptions of the processes involved it is clear that in the short-term such models can only provide an order of magnitude assessment of sediment yield. Soil Loss equations Soil loss equations such as the USLE and RUSLE can be used to predict soil loss due to sheet and rill erosion from roughly planar hill-slope areas. The rate of erosion is assumed to depend upon: a) rainfall-runoff erosion factor, b) soil erodibility factor, c) slope-length factor, d) slope steepness factor, e) cover management factor, f) support practice factor. In the original development of the USLE it was assumed that the values of these factors were independent of each other but increasingly data seems to suggest inter-relationships. In areas which have been studied intensively, such as the USA, maps are available showing values of the parameters. For other areas extensive field work would be required to determine the appropriate values of the parameters. Estimation of delivery ratio The sediment delivery ratio depends upon: a) drainage area of catchment, b) catchment characteristics, such as relief and stream length, c) nature of sediment sources and their proximity to a watercourse, d) transport system and e) texture of eroded material. Though there is published data on the variation of sediment delivery ratio with catchment area there is a significant amount of scatter within the data. The reasons for the scatter can be readily appreciated by considering the impact of small changes to catchment topography. Consider a catchment in which there is a small part with a high erosion rate. If the slope from this area to the nearest watercourse is sufficient to transport this eroded sediment to the water course then there will be a large value of the sediment delivery ratio. Minor changes to the catchment topography between the sediment source and the water course may result in eroded sediment being re- deposited before it reaches the watercourse. Thus catchments with similar global characteristics, such as area, may have very different values of the sediment delivery ratio due to minor differences in topography. This means that any estimate of sediment delivery ratio based on catchment characteristics is subject to large uncertainties.
  • 266.
    Project: Development ofHydrological Design Aids (Surface Water) under HP-II Document: 2009097/WR/REP-02 July 2010 State of the Art Report Revision: R0 3-95 WATER RESOURCES Catchment models Rather than using lumped models of sediment yield one can use distributed models which simulate: a) hydrological processes b) soil and stream erosion c) sediment transport and deposition. There are a number of such models whose development have been driven by the need to predict non-point source pollution in catchments. Commonly used models include: a) Agricultural NonPoint Source Pollution Model (AGNPS) (Young et al, 1987) b) Annualized Agricultural NonPoint Source model (AnnAGNPS) (Bingner and Theurer, 2001) c) ANSWERS-Continuous (Bouraoui et al, 2002) d) Areal Nonpoint Source Watershed Environment Response Simulation (ANSWERS) (Beasley et al, 1980) e) Dynamic Watershed Simulation Model (DWSM), (Borah et al, 2002) f) European Hydrological System Model (SHE) (Refsgaard and Strom, 1995) g) Hydrological Simulation Program – Fortran (HSPF) (Bicknell et al, 1993) h) Soil and Water Assessment Tool (SWAT), (Arnold et al, 1998) The models differ in their description of the processes. Some use simple empirical relationships while others use physically-based equations. These latter models can be computationally demanding. Borah and Bera (2003) reviewed many of the available models. It should be noted that the different models: a) use different representations of the dominant processes, b) require different levels of data, c) are applicable at different spatial and temporal scales d) require different amounts of computing resources. The implication is that there is no one ‘best’ model. The appropriate model depends upon the nature of the project being considered and the stage in the project that is being considered. In considering models there are a number of aspects that need to be considered. Many of the models are single storm event models so that they are used only to simulate single events. In most reservoir applications one is interested in long-term simulations and so long-term continuous simulation models such as AnnAGPS, ANSWERS-Continuous, HSPF, MIKE-SHE and SWAT are of greater value. ANSWERS-Continuous does not include channel erosion and sediment transport so would not be suitable for applications to determine sediment yield. Another major factor is the computational effort required to run the model. In the past many models have only been applied to relatively small catchments due to the computational effort required for the simulations. MIKE-SHE particularly is computationally demanding and so may not be practical for long-term simulations of medium to large catchments.
  • 267.
    Project: Development ofHydrological Design Aids (Surface Water) under HP-II Document: 2009097/WR/REP-02 July 2010 State of the Art Report Revision: R0 3-96 WATER RESOURCES Data availability in India India is unusual in the availability of long-term sediment records for many of the major river systems, collected by the Central Water Commission. At a significant number of gauging stations routine sediment concentration measurements are taken. This means that there is enough data to estimate annual sediment yields over many years. The data can be used to estimate both the average annual sediment yield and to estimate the distribution of annual sediment yields. In addition, there are situations where the gauging stations provide nested systems of catchments. In these situations one can use the data to identify the contribution to the total sediment yield of individual sub-catchments. The data is very useful as, in general, it is both detailed and long records are available. In some circumstances the data has to be interpreted with care. The sediment measurements are, in general, based on bottle samples taken from near the water surface. In general, the suspended sediment concentration varies with depth, with the sediment concentration being greatest at the lower levels. This means that the measurements may under-estimate the suspended sediment concentrations and also does not contain any bed load component. This is partly compensated by adding a fixed percentage to the observed values to take account of the bed load component. The data provides an excellent resource for estimating sediment yield for catchments in India. It should be emphasised that in estimating sediment yields as long a record as possible should be used and attention should be paid to inter-year variations. The data can be used both to estimate sediment yield directly and also, were appropriate, to calibrate detailed catchment models. 3.3.6 Assessment of sedimentation rates Desk assessments of reservoir sedimentation A number of methods for the desk assessment of reservoir sedimentation were developed in the 1950s and 1960s such as those by Brune and Churchill. These estimate the trapping efficiency of the reservoir, that is the ratio of the sediment trapped in the reservoir to the total incoming sediment load. Brune (1953) developed empirical relationships for the trapping efficiency as a function of the Capacity-Inflow ratio with the trapping efficiency increasing as the Capacity-Inflow increases, see Figure 3.8. As sedimentation takes place then the Capacity-Inflow ratio reduces and the trapping efficiency reduces.
  • 268.
    Project: Development ofHydrological Design Aids (Surface Water) under HP-II Document: 2009097/WR/REP-02 July 2010 State of the Art Report Revision: R0 3-97 WATER RESOURCES Figure 3.8 Relationship between reservoir hydrologic size (capacity:inflow ratio) and sediment-trapping efficiency by Brune and the sedimentation index approach by Churchill (Strand and Pemberton 1987). Extracted from Garcia 2008 Churchill developed a relationship between the sediment release efficiency, which is defined as 1 minus Trapping Efficiency, and the Sedimentation Index, which is defined as the ratio of the retention period to the mean flow velocity through the reservoir (Churchill, 1948), see Figure 3.9. This is an empirical relationship developed on relatively limited data and should only be used with caution. Figure 3.9 Churchill curve for estimating sediment release efficiency (adapted from Churchill 1948). Extracted from Morris and Fan 1998 The Area Reduction Factor method (Strand and Pemberton, 1987; Morris and Fan, 1998) provides a way of assessing how the deposited sediment is distributed throughout the reservoir using empirical relations. The method is based on data from reservoirs in the USA. There is little justification for the method and should only be used for preliminary assessments.
  • 269.
    Project: Development ofHydrological Design Aids (Surface Water) under HP-II Document: 2009097/WR/REP-02 July 2010 State of the Art Report Revision: R0 3-98 WATER RESOURCES It is widely acknowledged that these methods do not take all the processes and the details of the nature of the sediment into account and so can only provide approximate estimates of sedimentation. At best, therefore, they can only be used to make preliminary assessments of reservoir sedimentation, for example, at the stage of screening a large number of potential sites or be used in cases where sedimentation rates are so low that sedimentation is insignificant. In all other cases it is necessary to resort to mare complex methods which normally involve the application of a numerical model. Numerical Sedimentation Modelling It is increasingly common to use numerical models to predict reservoir sedimentation. Frequently the purpose of the model is to predict the long-term loss of storage. For reservoirs to be economic the required life of the storage is often of the order of 100 years or more. In these circumstances there is a need to run such numerical models to simulate periods of time of the order of 100 years. Until recently this could only be achieved by the use of one-dimensional models (1-D) in which variables depend only on the chainage along the reservoir. With the recent advances in computer power the application of 2-D and 3-D models are becoming possible. In order to consider the application of numerical models to reservoir sedimentation it is necessary to consider the physics of sediment motion in greater detail than has been up till now. It is generally assumed that sediment motion can take place in three different modes: a) bed load, in which sediment moves on or adjacent to the bed b) suspended load, in which sediment is transported in the bulk of the flow but sediment of that size is represented on the bed of the channel c) wash load, in which the sediment is transported in the bulk of the flow but the sediment is not represented on the bed of the channel. It is generally assumed as a first approximation that the quantity of bed load and suspended load is hydraulically determined. It is normally assumed that the quantity of wash load is not hydraulically determined but is supply dependent. The division between these different modes is dependent upon the local flow conditions. This means that sediment that is transported as wash load at one location may act of suspended load at another location and may even act as bed load at a third location. One of the difficulties of simulating and quantify reservoir sedimentation is that sediment that may behave as wash load in the river upstream may behave as suspended load in the reservoir. An additional difficulty is that as sediment is carried down the reservoir the flow conditions will vary. For fine sediments it may take some time for the sediment concentration profile to adjust to the new flow conditions. This means that numerical models that assume equilibrium suspended sediment concentrations may not be appropriate for the simulation of reservoir sedimentation. One-dimensional models can be used to predict the longitudinal variation in bed levels along the reservoir over time, see Figure 3.10. They can also provide information on: a) the loss of storage as a function of level, b) the composition of the deposited sediment, c) impact on water levels in the river upstream, d) the effectiveness of sediment flushing, if applicable
  • 270.
    Project: Development ofHydrological Design Aids (Surface Water) under HP-II Document: 2009097/WR/REP-02 July 2010 State of the Art Report Revision: R0 3-99 WATER RESOURCES 500 450 400 Elevation Figure 3.10 Temporal development of delta growth upstream of Bakra Dam, India. The rate of delta advance slows with time because of the reservoir geometry, which depends and broadens in the downstream direction. Extracted from Morris and Fan 1998 There are now a number of general 1-D river models that can simulate sediment movement and deposition, for example, Mike 11, InfoWorks and HEC-RAS. Such models can be used to simulate reservoir sedimentation. All these models suffer from the disadvantage that they are general river models and it may not always be easy to apply them to reservoirs. In addition to obtain relevant output may require significant post-processing of the results. The RESSASS software was produced specifically to simulate reservoir sedimentation and so is easier to use for applications to reservoirs but the software was produced in the 1990s and the data input and output and graphics are not of the standard expected today. 2-D and 3-D numerical models have been used to simulate aspects of reservoir sedimentation but problems of grid size and time steps mean that at present, in most cases, it is still difficult to use them to simulate a complete reservoir for the potential life of the reservoir. Modelling of density currents In some reservoirs density currents may develop which can transport significant quantities of sediment to the lower parts of the reservoir. There are a limited range of physical conditions in which density currents will develop so that significant density currents only develop in a minority of reservoirs though in these reservoirs they can have a significant impact on the distribution of sedimentation throughout the reservoir. Though numerical models exist which can simulate such density currents most have been used in a research environment and have not been applied widely in consultancy. Density of deposited sediment and consolidation through time To estimate the loss of storage volume resulting from the inflow of a particular weight of sediment requires an estimate of the density of the deposited sediment. This density depends upon the nature of the sediment and the operation of the reservoir (Geiger, 1963and Lara and Pemberton, 1963). If the fine deposited sediment dries as a result of the operation of the reservoir then the density tends to be greater than sediment that is permanently under water. This difference only applies for fine sediments so that there is no difference in the deposited density for sand and gravels.
  • 271.
    Project: Development ofHydrological Design Aids (Surface Water) under HP-II Document: 2009097/WR/REP-02 July 2010 State of the Art Report Revision: R0 3-100 WATER RESOURCES Fine sediment that is deposited in a reservoir compacts through time so that the deposited density gradually increases. This process has been described by Lane and Koelzer (1943) assuming that the increase in sediment density is proportional to log t, where t is the age of the deposit in years. The assumption of a log t dependence implies that the sediment density can increase without limit so that the equation must become invalid for large values of t. Specification of boundary conditions within a numerical model Any numerical model needs the incoming discharge, sediment load and sediment sizes to be specified for the duration of the simulation, which may be of the order of 100 years. It is extremely unlikely that suitable historic data would be available so it is normally necessary to generate suitable time-series data. The generation of suitable time-series is difficult but becomes particularly problematic at a time of suspected significant climate change. Physical modelling In physical models reduced scale models are used to simulate physical systems. The aim of the physical model is to reproduce the dominant forces while minimising scale effects introduced by the reduction in size of the model. In many reservoirs the major component of the incoming sediment load is fine sediments in the silts and clay range. Even with the use of light-weight sediments in the model, it is frequently impossible to reproduce the movement of such fine sediment fractions at a practical model scale. It is thus only in rare cases that physical modelling of reservoir sedimentation can be realistically applied. Thus, though physical models of reservoir sedimentation have been used in the past, they have rarely proved successful. 3.3.7 Increasing emphasis on mitigation methods Alongside the technical developments in the understanding of sediment transport and the developments of measurement techniques and numerical models, there have also been developments in both the opportunities for reservoirs and societies attitudes to reservoir management. Earlier generations have already constructed reservoirs in the easier locations. This means that increasingly attention is turning to less favourable sites. One aspect of this is that sites which had been avoided in the part due to potential sediment issues are now being re-examined. This means that sedimentation and its prediction is becoming increasingly important. Allied to this societies attitude to reservoir management is changing. In the past reservoirs were constructed with little attention to sedimentation other than the provision of sufficient ‘dead’ storage to ensure a reasonable useful life for the storage. With concepts of sustainability becoming increasingly important society is less prepared to accept schemes which have a limited life and so there is an increasing emphasis on the mitigation of storage loss, by, for example, the use of sediment flushing. This interest in mitigation is increased as increasingly more difficult reservoir locations are considered. This interest in methods of mitigation of sedimentation has driven the development of methods to assess mitigation methods and to assess the economics of such methods. This is best exemplified by RESCON, a programme to assess the severity of reservoir sedimentation and to investigate the economics of various mitigation strategies. The RESCON (REServoir CONservation) methodology consists of three stages: 1) determine which methods of sediment management are technically feasible, 2) determine which alternatives perform better in an economic analysis
  • 272.
    Project: Development ofHydrological Design Aids (Surface Water) under HP-II Document: 2009097/WR/REP-02 July 2010 State of the Art Report Revision: R0 3-101 WATER RESOURCES 3) incorporate environmental and social factors to select the optimum sediment management strategy (Palmieri et al, 2003) and Kawashima et al, 2003) The RESCON approach accounts for all the major benefits and costs over the complete project life-cycle. 3.3.8 References: Annandale G W, 1987, Reservoir sedimentation, Elsevier Science Arnold J G, Williams J R and Maidment D R, 1995, Continuous-time water and sediment-routing model for large basins, J Hydr Engrg, Volume 121, No 2, pp171-183 Arnold J G, Srinivasan R, Muttiah R S and Williams J R, 1998, Large-area hydrologic modelling and assessment I: Model development, J of the American Water Resources Association, Volume 34, No 1, pp73-89. Beasley D B, Huggins L F and Monke, E J, 1080, ANSWERS: a model for watershed planning, Trans. of the ASAE, Volume 23, No 4, pp938-944. Bicknell B R, Imhoff J C, Kittle J L, Donigian A S and Johanson, R C, 1993, Hydrological Simulation Program – FORTRAN (HSPF): User’s manual for Release 10, Report EPA/600/R- 93/174, US EPA Environmental Research Lab., Athens, Ga, USA Bingner R L and Theurer F D, 2001, AnnAGNPS Technical Processes: Documentation Version 2, (www.sedlab.olemiss.edu/AGNPS.html) Borah D K, Xia R and Bera M, 2002, Chapter 5: DWSM – a dynamic watershed simulation model, in Mathematical Models of Small Watershed Hydrology and Applications edited by V P Singh and D K Frevert, Water Resources Publications, USA. Borah D K and Bera, M, 2003, Watershed-scale hydrologic and nonpoint-source pollution models: Review of mathematical bases, Trans of the ASAE, Vol 46, No 6, pp1553-1566 Bouraoui F, Braud I and Dillaha T A, 2002, Chapetr 22: ANSWERS A nonpoint-source pollution model for water, sediment and nutrient losses, pp 113-166, in Mathematical Models of Small Watershed Hydrology and Applications edited by V P Singh and D K Frevert, Water Resources Publications, USA Brune G M, 1953, Trap efficiency of reservoirs, Trans. Am. Geophys. Union, Vol 34 No 3, pp407-418. Campbell I A, 1985, The partial area concept and its application to the problem of sediment source areas, Soil Erosion and Conservation edited by M El-Swaify and A Lo, Soil Conservation Society of America, Ankeny , Iowa, USA, pp 128-138 Churchill M A, 1948, Discussion of ‘Analysis and use of reservoir sedimentation data’ by L C Gottschalk, Proc Federal Interagency Sedimentation Conference, Denver, pp139-140 Cohn T A, 1995, Recent advances in statistical methods for the estimation of sediment and nutrient transport in rivers, Rev. Geophys. Volume 33 (Supplement)
  • 273.
    Project: Development ofHydrological Design Aids (Surface Water) under HP-II Document: 2009097/WR/REP-02 July 2010 State of the Art Report Revision: R0 3-102 WATER RESOURCES Dendy F E, Champion W A and Wilson R B, 1973, Reservoir sedimentation surveys in the United States in Man-made lakes: Their problems and environmental effects edited by W C Ackermann, G F White and E B Worthington, Geophysical Monograph No 17, American geophysical Union, Washington DC USA Garcia, M.H. (editor), 2008, Sedimentation Engineering, ASCE Geiger A F, 1963, Developing sediment storage requirements for upstream retarding reservoirs in Proc Federal Interagency Sedimentation Conf, USDA-ARS, Misc Publ 970, USDA, Washington DC USA Kawashima S, Johndrow T B, Annandale G W and Shah F, 2003, Reservoir conservation: The RESCON approach, Volume 1, The World Bank, Washington DC, USA Kothyari, Tiwari A K and Singh R, 1996, Temporal variation of sediment yield, J Hydr. Engrg. Vol 122, No4, pp169-176 Lagwaker V G, Gorde A K, Barikar D A and Patil K D, 1995, Trends in reservoir sedimentation in India, 6th Intl. Symp. River Sedimentation and management of sediment, Central Board of irrigation and power, New Delhi, India, pp91-111 Lane E W and Koelzer V A, 1943, Density of sediments deposited in reservoirs, Report No 9: A study of methods used in measurement and analysis of sediment loads in streams. Hydraulic Lab. University of Iowa. Lara J M and Pemberton E L, 1963, Initial unit weight of deposited sediments, Proc Federal Inter- agency Sedimentation Conf, USDA-ARS Misc Publ 970, pp818-845 MacArthur R C, Hamilton D and Gee D M, 1995, Application of methods and models of prediction of land surface erosion and yield, Training Document No 36, US Army Corps of Engineers, Hydrologic Engineering Center, Sacramento, California, USA. Morris G L and Fan Jiahua, 1998, Reservoir sedimentation handbook, McGraw-Hill Murthy B N, 1977, Life of reservoir, Central Board of Irrigation and Power, New Delhi, India Palmieri A, Farhed S, Annandale G W and Dinar A, 2003, The RESCON approach: Economic and engineering alternative strategies for managing sedimentation in storage reservoirs, The World Bank, Washington DC USA Refsgaard J C and Storm B, 1995, Chapter 23: Mike SHE in Computer Models of Watershed Hydrology edited by V P Singh, Water Resources Publications, USA Strand R L and pemberton E L, 1987, Reservoir sedimentation in Design of Small Dams, US Bureau of Reclamation, Denver, USA Tejwani K G, 1984, Reservoir sedimentation in India: Its causes, control and future course of action, Water International, Volume 9, No 4, pp150-154 Walling D E, 1983, The sediment delivery problem, J Hydrology, Vol 65, pp209-237
  • 274.
    Project: Development ofHydrological Design Aids (Surface Water) under HP-II Document: 2009097/WR/REP-02 July 2010 State of the Art Report Revision: R0 3-103 WATER RESOURCES Young R A, Onstad C A, Bosch D D and Anderson W P, 1989, AGNPS: a nonpoint-source pollution model for evaluating agricultural watersheds, J of Soil and Water Conservation, Volume 44, No 2, pp168-173.
  • 275.
  • 276.
    Project: Development ofHydrological Design Aids (Surface Water) under HP-II Document: 2009097/WR/REP-02 July 2010 State of the Art Report Revision: R0 1 WATER RESOURCES Appendix A Step-by-step guide to extending hydrological data There follows a step-by-step guide that has been produced in the UK based on the available data and methods described above. Two methods, which could be used for extending hydrological data series using the reconstructed data series and undertaking water resource modelling, are described below: • Method 1: River flow reconstruction from climate time series. Where hydrological models are already available it may be desirable to use these for producing simulated river flows and use as input for water resource modelling. Where hydrological models are not readily available new rainfall-runoff models could be set up using for example the statistical rainfall-runoff model used by Jones (Wright 1978) or other models such as Catchmod. This will however require model calibration/validation that must pay particular attention to both the model fit for low flows and also model behaviour during extended dry periods. Developing such models for complex catchments affected by artificial influences can be labour intensive and may only be warranted in systems that are shown to vulnerable to extended droughts. • Method 2: River flow reconstructions from other river flow series. A simpler approach is to develop river flows series for use in water resource models directly from other reconstructed monthly river flow records where available, using regression methods. River flows from the nearest gauge with similar hydrological and hydro-geological settings can be used along with factors or regressions to hind-cast monthly flow records. Both methods may require conversion from the monthly to daily time scale for use in water resource models. However, it has been shown (Wade et al., 2006) that simple monthly water resources models can mimic system behaviour and use of these models may be favourable for drought sensitivity or vulnerability analysis as opposed to the more labour intensive route of statistical re-sampling methods to derive daily data. The two methods are described in a step-by-step manner below. Method 1: River flow reconstruction from climate time series Method 1 assumes the use of reconstructed climate series (areal rainfall and ET) for the 15 catchments in Figure 3.1 and #table 3.5 and rainfall-runoff models. The method involves the following steps: 1. Identify the nearest donor catchment with similar climatic conditions from Table 3.5. Areal rainfall records can be checked against the donor site using cumulative mass plots and double- mass plots for the overlapping period with a view to developing regressions. The baseflow index is an appropriate indicator of catchment similarity along with comparison of catchment climate data. 2. Calculate monthly rainfall back in time based on regression relationship (or anomaly approach) between existing and donor catchment areal rainfall. The development of reliable regressions requires a fairly large overlap between data series but as most existing rainfall-runoff models cover the period from around 1920-2007 this includes a sufficiently wide range of climatic conditions to provide reliable relationships. An alternative method to using a set of monthly flow regressions (as described above) is using monthly factors that describe the anomalies or deviations away from average rainfall (e.g. 1961-1990). This could potentially provide more accurate hind-casting in situations where the overall monthly correlations and regressions are weak. An appropriate assessment of goodness of fit is required to demonstrate the validity of which ever method is used. 3. Select modelling approach: i) conceptual (monthly or daily); or, ii) statistical (monthly or daily with flow re-sampling) and prepare rainfall and PET series.
  • 277.
    Project: Development ofHydrological Design Aids (Surface Water) under HP-II Document: 2009097/WR/REP-02 July 2010 State of the Art Report Revision: R0 2 WATER RESOURCES a. Produce rainfall time series. Depending on the overall aims and objectives of individual projects conceptual or statistical models may be used. A range of conceptual models exist from daily rainfall-runoff models to simple monthly recharge models (e.g. Wade and Vidal, 2007; Moore et al., 2007; Jones et al., 2006; UKWIR, 1997; Bloomfield et al., 1997). b. If a daily model is selected convert monthly rainfall to the daily timescale using a re- sampling technique. Daily rainfall sequences are selected from either the donor record or existing record by identifying the month with the closest total rainfall and taking the daily values for this month. A daily time series is then constructed which uses daily values from different months and years. A simpler method would be to do the re-sampling based on seasonal or annual rather than monthly totals. Particular care must be taken using such techniques as the re-sampling procedure may have a large impact on results, introducing bias (for example if the same daily pattern was selected repeatedly) and additional uncertainties. With a sufficient number of years, repeated re-sampling of the same data is unlikely. c. Produce monthly potential evaporation time series. Monthly potential evaporation has not previously been extended back in time due to very limited data availability; average monthly long term average (LTA) values have been used instead which has been shown to be adequate for the 19th and 20th century. Alternatively PE can be calculated from air temperature using different methods, the most commonly used being the Oudin formula or Penman equation. Monthly temperature data before 1914 are available from the Met Office at Southampton, Oxford, Bradford, Sheffield and Ross-on-Wye and the use of the widely researched CET record is appropriate for most applications. 4. Use reconstructed rainfall and monthly evaporation in rainfall-runoff models for producing modelled river flows. Extend input data series for existing (or new rainfall-runoff models) in order to produce river flow series. Calibration and validation will be necessary if new rainfall- runoff models need to be developed. The modelled river flows are then naturalised for use in water resource modelling. A monthly conceptual or statistical model may be appropriate for many applications, e.g. estimating changes in recharge. As noted in Jones et al. (2006), a re-sampling technique can be used to estimate daily flows for the purposes of water resources modelling. In some cases, such as upland reservoirs or natural lakes the daily re-sampling procedure may have a significant impact on results, in a similar way to rainfall re-sampling procedures. 5. Use modelled monthly or daily river flows in water resource modelling (DO assessments and Levels of Service). Re-constructed naturalised monthly or daily flow series are prepared from the rainfall-runoff model results and used as input for water resource models. Method 2: River flow constructions from other river flow series Method 2 makes direct use of the reconstructed river flow series for the 15 catchments in Figure 3.1 and Table 3.5 and includes the following steps: 1. Identify the nearest donor catchment with similar hydrological properties from Table 3.5. Simple checks on soil properties and base flow component can initially be performed using the National Soil Resources Institute web-site (Landis web-site http://www.landis.org.uk/gateway) and the Hydrometric Register and Statistics 1996-2000 (CEH, 2003). Comparisons of flow duration curves and cumulative flows for existing records and the donor site for the overlapping time period are also useful for establishing similarities. 2. Calculate monthly river flows back in time based on regression relationship (or anomaly approach) between existing and donor river flows. The development of reliable regressions (based on the full log-transformed flow series, monthly series or flow duration curves) requires a fairly large overlap between data series but as most existing water resource models cover the period from around 1920-2007 this includes a sufficiently wide range of hydrological conditions to provide reliable relationships. An alternative to using regression is to develop monthly factors or anomalies expressed as a percent change, stdev or z score deviation from the 1961-1990
  • 278.
    Project: Development ofHydrological Design Aids (Surface Water) under HP-II Document: 2009097/WR/REP-02 July 2010 State of the Art Report Revision: R0 3 WATER RESOURCES average. This may be more reliable for hind-casting in situations where the overall flow correlations are weak. 3. Convert monthly flows to the daily timescale using re-sampling if daily flows are required for water resource modelling. Daily flow sequences are selected from either the donor record or existing record by identifying the month with the closest total river flow and picking the daily values for the month. A daily time series is then constructed which uses daily values from different months and years. A simpler method would be to do the re-sampling based on seasonal or annual rather than monthly totals which could potentially produce a more consistent flow records. Care needs to be taken as noted above. Use reconstructed monthly or daily river flows in water resource modelling (DO assessments and Levels of Service). Reconstructed naturalised monthly or daily flow series are prepared and used as input for water resource models.
  • 279.
    Project: Development ofHydrological Design Aids (Surface Water) under HP-II Document: 2009097/WR/REP-02 July 2010 State of the Art Report Revision: R0 4 WATER RESOURCES Appendix B Snow melt model summaries This section contains detailed descriptions of the main snow melt models and a comparative table of their input data requirements and other general features. B1 SSARR – STREAMFLOW SYNTHESIS AND RESERVOIR REGULATION MODEL This model was first developed in 1956 to meet the particular conditions of the mountainous Pacific Northwest of the United States of America. The model produces streamflow, snowline elevation and soil moisture status information. Snowmelt is calculated using either (i) the temperature index method, or (ii) the generalized snowmelt equations for partly forested areas. As the generalized equations require more data, they are unlikely to be appropriate for the regions of India with restricted data availability. The temperature index method is often used for daily forecast operations however and could be used in a wide range of Indian contexts. Temperature Index Method Temperature station data for the watershed under consideration are weighted according to their location and then averaged for the time period. The average elevation of the stations is also calculated and the average weighted temperature is then lapsed from this elevation to provide a temperature for each snowmelt zone. The snowmelt zone is defined by its mean elevation and is the vertical region below the melting elevation and above the snowline. Melt rates can be specified for each day of the simulation as this best represents variation throughout the snowmelt season. Alternatively, melt rates can be specified at key points in the season and interpolated for the periods in between. Generalized snowmelt equations The equations are based on an energy budget approach. The precise equation to be used depends on the percentage of forest cover in the watershed, and further takes in to account: • Wind velocity • Snow surface albedo • Proportional cloud cover • Exposure to shortwave radiation • Convection-condensation melt factor • Solar radiation • Difference between air temperatures at 3m and snow surface • Difference between dew point temperatures at cloud base and snow surface Model options The model includes two options for representing the snowpack characteristics in a catchment. Snow cover depletion option Snow cover (as a percentage of the watershed’s total) is expressed as the percentage of total seasonal runoff already generated. This relationship is found to be reasonably uniform for both different watersheds and different years. This option offers the possibility of two approaches: single watershed or split-watershed. The single- watershed approach is usually best for early melt-season calculations where high proportional rainfall runoffs are generated due to ground saturation. The split-watershed approach can be useful for representing differences in runoff processes between snow-covered and snow-free areas as the melt season progresses and some of the watershed’s ground begins to dry.
  • 280.
    Project: Development ofHydrological Design Aids (Surface Water) under HP-II Document: 2009097/WR/REP-02 July 2010 State of the Art Report Revision: R0 5 WATER RESOURCES Snow band option This option involves subdividing the watershed into elevation bands to allow for a better quantitative appraisal of a snowpack. This is particularly suitable where snow depth increases with elevation. Each band is effectively treated as a separate watershed which is either 100% snow-covered or free of snow. As each watershed has different characteristics, rainfall may occur over one band while snow simultaneously accumulates on another and melts on yet another. Snowpack condition A snowpack conditioning routine computes the cold content and the liquid water deficiency of the snowpack. While the snowpack remains deficient of liquid water, runoff cannot occur to the soil system. Cold content accumulates while the air temperature is below zero degrees and depletes in the presence of liquid water from snow melt or rainfall. The liquid water deficiency is specified as a percentage of the water equivalent of the snowpack of the order of 2-5 percent. The SSARR model is used in the Columbia River basin for operational forecasts, and studies of various rivers around the world, including the Mekong (Rockwood, 1968). B2 SNOWMELT RUNOFF MODEL (SRM) The SRM model simulates or forecasts daily streamflow and seasonal runoff volume in basins where snowmelt is a major runoff contributor, although it has been shown that the dominance of snow melt is not the most important factor. It was developed by Martinec (1975) for small European basins, but has since been tested in a wide range of basins, including larger basins. Recently the model was used to simulate runoff in the Ganges basin, demonstrating the model’s applicability to large basins with extreme elevation ranges (Martinec et al., 2008). A table is shown by Martinec et al. (2008) listing over 100 basins internationally where the model has been independently tested, including details of the model efficiency and volume balance achieved. The model requires division of the watershed into elevation zones with specific model variables and parameters applied to each one to calculate runoff. It is now possible to employ up to 16 elevation zones. SRM makes use of remote sensing satellite data and digital terrain models. Snowmelt and rainfall runoff from the model is added to the recession curve of streamflows to give the combined flow prediction. The recession curve is unique to a particular basin and is derived from historical periods when snowmelt and precipitation can be neglected SRM uses degree-days as an index of the complex energy balance which dictates snow melt rates. The base temperature above which melting at degree-day rates is assumed to occur is 0°C. Where hourly temperature data are available, then the degree days for the 24-hour period are calculated by summing hourly temperatures and dividing by 24. Degree days are further extrapolated to each elevation zone using an appropriate lapse rate – these can be adjusted for monthly variations throughout the year and specific to the region being studied. Whether precipitation falls as rain or snow is decided on the basis of a critical temperature, which can vary between watersheds. It is important to differentiate between the two because runoff from rainfall occurs immediately, whereas snowfall leads to a delayed runoff response as the degree-days accumulate. Daily snow cover values are taken from depletion curves compiled preferably from satellite imagery, but otherwise from ground observations and aerial photography. The snow cover values derived from satellite or other remote sensing data replace the need to model snowpack development explicitly – accumulation and depletion in terms of SWE for example. Actual discharge data can be used to update the model every 1-9 days in its forecasting mode. Runoff coefficients can also be changed every 15 days in the model and are usually higher for snowmelt than for rainfall due to the assumption that ground below snowpack is saturated. Changes in the vegetation
  • 281.
    Project: Development ofHydrological Design Aids (Surface Water) under HP-II Document: 2009097/WR/REP-02 July 2010 State of the Art Report Revision: R0 6 WATER RESOURCES cover and soil moisture are generally the factors which would cause changes in runoff coefficients throughout the year. Time lag correction factors are used to account for the fact that different elevation zones vary in their distance from the watershed outlet and in how they change through the snowmelt season in terms of snow distribution Model inputs Basically, SRM requires temperature, precipitation and snow covered area data as inputs, which are relatively simple. The challenge for using SRM as a forecasting tool is the forecasting of these input variables for the model. The development of a model is made much more efficient by the availability of a digital terrain model (DTM) which facilitates delineation of elevation zones and development of elevation-area curves (Figure 1). These curves are used to define a mean elevation for each zone as the point above and below which the area is equal. The mean elevation is then the elevation to which temperature station data are extrapolated using the lapse rate, to be applied in the model as representative of the whole elevation zone. Figure 1 Elevation-area curve used for defining the mean elevation Temperature and precipitation can both be entered either on a basin-wide or a zone specific basis. Where zone specific data are to be entered but gauging stations are limited, appropriate extrapolation should be carried out to scale the inputs. This is recommended, particularly in basins with large altitudinal ranges. Whether precipitation falls as snow or rain will depend on a defined critical temperature which is compared to the temperature at the mean elevation point defined for each elevation zone at the time of
  • 282.
    Project: Development ofHydrological Design Aids (Surface Water) under HP-II Document: 2009097/WR/REP-02 July 2010 State of the Art Report Revision: R0 7 WATER RESOURCES precipitation. The model treats precipitation falling as snow differently from that falling as rain, producing runoff immediately or delayed by the degree day melt factor. Temperature lapse rates and critical temperatures can also be defined by whole basin or elevation zones. Depletion curves must also be developed to define continuing snow covered area as the model proceeds. Model outputs The model can be run in simulation or forecasting modes. The simulation mode can be used to establish discharge series in ungauged basins or to predict the accuracy of forecasts. The model is reported to work well for mountainous basins up to 4000km2 in area, but accuracy decreases where large amounts of rainfall occur during the snowmelt season. Automatic adjustment of parameters is carried out even without updating with actual streamflow measurements The SRM has been used in many studies world-wide - Martinec et al. (2008) gives associated Nash- Sutcliffe model efficiency and runoff volume prediction success as a percentage. B3 UNIVERSITY OF BRITISH COLUMBIA (UBC) WATERSHED MODEL This model was developed to be applied to data scarce mountainous regions and therefore theoretically appropriate for those watersheds in India where data is limited. In addition to calculating the total runoff from rainfall and snowmelt, it is possible to run a separate calculation for runoff from glaciated areas. This model requires the watershed to be divided into elevation bands of equal interval but which can have different areas assigned. Data from a maximum of three stations can be used and must be distributed from point sources to the mid-elevation of the elevation bands. A lapse rate approach is employed for temperature assignment whereas precipitation is distributed using an orographic factor. The form which precipitation takes in each elevation band is controlled by three logical statements based on temperature, which is usually the mean daily temperature for the band. The UBC model similar to the SSARR model, has two options for snowmelt calculation: 1) Energy budget approaches which can be used either when only temperature data is available, or when more detailed radiation, albedo and wind data are available. 2) Degree-day approach, specifying snowmelt for forested and open areas. In the simplified energy budget approach, the cloud cover and wind values are estimated with reference to temperature while the albedo is estimated by a simple decay equation taking into account the time since the last fresh snowfall. These relationships were developed using Snow and Ice Hydrology Project (SIHP) data gathered in the Himalaya and USACE data from Central Sierra studies. This simplified approach is likely to be useful in a restricted data Indian context as long as parameter estimates prove to give reasonable discharge estimates. There are two ways of snow budgeting in the UBC model: 1) block budgeting, 2) wedge budgeting The difference between the two budgeting methods is where the snow is assumed to accumulate. For block budgeting it is assumed to accumulate at the mid-elevation of each band, where all calculations
  • 283.
    Project: Development ofHydrological Design Aids (Surface Water) under HP-II Document: 2009097/WR/REP-02 July 2010 State of the Art Report Revision: R0 8 WATER RESOURCES are carried out. For wedge budgeting the snow depletion is represented as a gradual snowline recession from the bottom to the top of the elevation band. Snowpack conditioning and evaporation routines are included in the model. Distribution of snowmelt and rainfall runoff A priority system is used to subdivide the total runoff input to each elevation band. Each component of runoff is delayed by a certain amount before reaching the outlet of the watershed. First priority is a rapid runoff component, which is generated from areas assumed to be impermeable. The proportion of the watershed which is considered impermeable can be varied according to soil moisture deficit. For any runoff to occur other than the rapid runoff component, the soil moisture storage must be full. Second priority is given to soil moisture and actual evapotranspiration calculation. Ground water percolation is third priority and this water is divided between upper ground water and deep zone ground water in specified proportions. A limit is also specified on the amount of water which can be accepted by the ground water. Any water beyond this limit is fed into the fourth priority – interflow. Interflow is represented as a storage reservoir in the model, receiving excess flows and releasing a certain proportion every day. A convolution is applied to the water leaving the reservoir so that it does not appear immediately at the watershed outlet. The UBS Watershed model has been applied to catchments ranging in size from a few hundred square kilometres up to several thousand square kilometres, including mountainous and plateau regions. Significantly for the Indian context, the model has also been tested for a few Himalayan watersheds – specifically the Saltuj watershed, which is a main tributary of the Indus (Quick & Singh 1992). The high variability in the precipitation, which is one of the characteristics of Himalayan watersheds, makes watershed modelling complex. The snowmelt estimates and observed streamflow are used in combination to determine precipitation gradients and representative factors. These analyses indicate large variation in precipitation at high elevations and emphasized the hydrological importance of these high mountain regions which play a significant role in snowmelt and glacier melt runoff. The flow estimates for the watershed when split into sub-basins are compared with the results calculated for the same total area treated as single watershed, and this comparison indicates that better results are obtained by calculating and optimizing each sub-basin separately and then combining the results. This conclusion will be true for simulation of forecasting of streamflows when the individual sub-basins have a different hydrological behaviour and when the difference in the behaviour can be adequately described by the available meteorological data base. It is suggested that sub-basins having different precipitation distribution must be optimized individually and then results should be combined for better accuracy of runoff simulation. B4 PRMS – PRECIPITATION-RUNOFF MODELLING SYSTEM This model was developed by the US Geological Survey for the Rocky Mountain region using a 32km2 forested watershed in Colorado (Leavesley, 1973). It has been applied as a short- and long- term forecasting tool. It does not require extensive data inputs, so could be readily used in a wide range of Indian contexts. The model uses ‘homogeneous response units’ (HRU) to represent spatial and temporal variations in the watershed in terms of physical attributes, hydrology, climate and system response. HRU’s are defined on the basis of slope, aspect, elevation, vegetation type, soil type and snow distribution. It also splits the snowpack into two layers for snowmelt calculation – the near surface few centimetres, and the remainder of the snowpack below. Temperature distribution
  • 284.
    Project: Development ofHydrological Design Aids (Surface Water) under HP-II Document: 2009097/WR/REP-02 July 2010 State of the Art Report Revision: R0 9 WATER RESOURCES Maximum and minimum daily temperatures are adjusted using a monthly lapse rate and the difference in elevation between the meteorological station and each HRU. Precipitation distribution The calculation of precipitation distribution is somewhat complex. At its simplest, the minimum and maximum temperatures are referenced to a critical temperature, so that: If Tmax < Tcrit, then all precipitation is snow If Tmin ≥ Tcrit, then all precipitation is rain A more complex algorithm is used to calculate the percentage of rain where a mix of rain and snow is indicated. The algorithms above can be overridden if the maximum temperature exceeds a user-determined value for the corresponding month, making all precipitation rain. Alternatively, if the actual form of precipitation is known to be predominantly rain or snow, then the date of this event can be used as an input to the model. Where gauge data are available for an HRU, correction factors (specifically for rain or snow and the particular HRU) will be applied. These correction factors will be determined from multiple precipitation stations within a watershed or region. Snow course data can be used once a year to update accumulated snowpack depth for each HRU. Snow melt computation An energy balance approach is utilised, which requires a range of data inputs: • Shortwave radiation on an HRU • Vegetation transmission coefficient • Albedo of snow surface • Observed shortwave solar radiation on horizontal surface • Potential solar radiation for slope and aspect of the HRU • Potential solar radiation for horizontal surface • Net precipitation • Precipitation temperature The energy exchange is calculated twice daily – once for 12 hours of day time and once for 112 hours of night time. Snowpack conditioning When the energy balance of the snowpack is calculated to be negative and the surface temperature of the snowpack is 0°C, then a conduction equation is used to compute the change in temperature of the bulk of the snowpack. Where the surface temperature is 0°C and the energy balance is positive, then the excess energy is used to melt snow and infiltrate the snowpack, first satisfying cold content, and then liquid water holding capacity. Any excess water after this stage is routed as runoff. Runoff generation Runoff calculation is based on ratios of soil water stored to the maximum soil storage available and the area contributing to surface runoff, for each HRU. These are all defined by the user. All snow melt is assumed to infiltrate, filling a soil storage reservoir. When this reservoir becomes full, infiltration capacity is limited and the excess water becomes surface runoff. Additional water in the soil storage reservoir moves to subsurface and groundwater reservoirs. No channel routing component is included in this model, which could limit its applicability to larger watersheds like many of those found in India. The maximum size of watershed to which this model has been applied is a few hundred square kilometres. The model is able to provide information for the entire watershed under consideration or for individual HRUs within the model.
  • 285.
    Project: Development ofHydrological Design Aids (Surface Water) under HP-II Document: 2009097/WR/REP-02 July 2010 State of the Art Report Revision: R0 10 WATER RESOURCES The PRMS has been used in the US in Rocky Mountains watersheds with an area of 10 square kilometres up to several hundred square kilometres. B5 HBV MODEL This model was first developed by the Swedish Meteorological and Hydrological Institute for Scandinavian catchments. It has since been developed for application to glacierized catchments. It started out as a simplified and lumped hydrological model but due to various developments can now be considered a distributed model. The model has three main components: 1) A degree-day approach to snow accumulation and melting in discrete elevation zones 2) A soil moisture accounting routine 3) A runoff generation routine Two simple equations are used to calculate snow melt and refreezing of liquid water in the snowpack. When applying the model to large watersheds, it is normal to divide the watersheds into smaller sub- basins by geographical and physiographical characteristics. Each submodel is then divided into elevation bands with its own weightings for precipitation and temperature readings from the gauging stations available. These submodels can be used to separate areas above and below the tree line or to isolate a lake. Runoff from the snowpack cannot occur until the liquid water holding capacity is satisfied. All the subsequent runoff enters the soil moisture accounting routine. Rain falling on the snowpack is treated the same way as melt water from the snowpack, and the energy contribution of the rain is neglected. Heat sources such as the ground and frozen soil are also not modelled explicitly. The distribution of precipitation and temperature is very simple by comparison with the PRMS Model. A standard lapse rate is used for variations with altitude and a critical temperature separates areas of snow or rain. A precipitation lapse rate (in percentage increase /100m) is used below the tree line, as defined by the best available evidence. Above the timberline this precipitation lapse rate isn’t used, but precipitation is distributed statistically as snow drifts and non-snow drifts, using a variable snowfall correction factor. Below the tree line, areas which are forested or open are assigned different snowfall correction factors and degree-day factors, which produces a variable snowpack. The ease of use of this model has increased with the introduction of more reliable routines for automatic model calibration (Lindström, 1997). HBV has been used frequently for free simulations of ungauged catchments and up to 400 catchments in Sweden are currently modelled in this way. It is clear after years of experience that modelling/forecasting without calibration is better than no modelling at all. The HBV is used in Norway by hydropower companies, in Finland by water authorities, and reportedly in over 200 basins internationally (Ferguson, 1999). B6 PREVAH – PRECIPITATION-RUNOFF-EVAPOTRANSPIRATION-HRU MODEL The PREVAH model is a recent development based on the HBV model and is specifically designed for mountainous basins with complex topography. It comprises a number of component software programmes for various pre-processing tasks, running the model and interpreting results. It has been tested in a small number of basins (Switzerland, Austria, China, Russia and Sweden) and although it has not yet been used operationally, it is widely used at Swiss universities and soon to be used operationally in addition to HBV and WaSIM by the Federal Office for Environment (FOEN) (Helbling, pers. comm.)
  • 286.
    Project: Development ofHydrological Design Aids (Surface Water) under HP-II Document: 2009097/WR/REP-02 July 2010 State of the Art Report Revision: R0 11 WATER RESOURCES Like HBV, PREVAH splits the catchment of interest into Hydrological Response Units (HRU) consisting of areas with similar characteristics of elevation, aspect, soil type. In addition, the PREVAH model contains improvements to the soil moisture accounting and evapotranspiration scheme, the interception module, the combined temperature-radiation modules for snow- and ice- melt, distinct glacier storage modules for firn-, snow- and ice-melt as well as a three-compartment groundwater module. The model is able to discriminate not only between rain and snow, but between mixed events, dictated proportionally across a range which is defined about the critical temperature for precipitation. The optional glacier module allows the analysis of runoff from three stages of glacier formation – snow, firn and glacier – each with its own storage. Three types of input data are required to run PREVAH: 1) Physiographical information about the basin to facilitate definition of Hydrological Response Units (HRU) This information is pre-processed by one of the software components 2) Meteorological inputs: these will be much more complex if the Penman-Monteith method of calculating evapotranspiration is used. If another method is selected, then the data inputs will be significantly reduced in both quantity and temporal resolution. 3) A control file is produced containing the configuration of PREVAH’s ‘tuneable’ model parameters which control the various sub-models. This also contains details about the range of HRUs and model settings. An automatic calibration tool is included of the interactive global search algorithm type. This has been shown to produce a high degree of stability and representativity for catchments with widely varying characteristics. Limitations exist for small catchments (<10km2 ) because of runoff process description, direct routing of flows from HRUs to catchment outlet and hourly time-step. For catchments of large size (>1000km2 ), the model should be composed of sub-units linked by a routing scheme and thereby adding to the complexity somewhat. Arid and semi-arid areas are also not very well catered for as there are no specific process descriptions in the model.
  • 287.
    Project: Development ofHydrological Design Aids (Surface Water) under HP-II Document: 2009097/WR/REP-02 July 2010 State of the Art Report Revision: R0 12 WATER RESOURCES Table 1Comparative table of Snowmelt models Model SSARR - Temp Index method SSARR - Energy Budget method SRM UBC PRMS HBV SnowSim PREVAH HEC-1F SLURP SNOW-17 Spatial type (Dist/Semi- Dist/Lumped) Lumped OR Semi-Dist Lumped OR Semi-Dist Semi-Dist Semi_Dist Lumped OR Dist Dist Semi-Dist Semi-Dist Semi-Dist Model type (Emp/Con/Phys) Con Con Phys Con Con Con Con Con Model elevation bands Y Y Y Hydrologica l Response Units Hydrologica l Response Units 100m Hydrologica l Response Units 10 per sub- basin Aggregated Simulation Areas & land classes Typically 2 or 3 elevation zones Temperature- index / Energy budget Temp Energy Temp Temp Energy Temp Temp Temp Temp/Energ y (rain-on- snow) Temp or combined Temp- Energy Temp Accounting for glaciers Not explicitly but possible to adapt model use for this Y (optional) Y Y - separates firn/ snow/ ice into separate reservoirs Snow/Rain partitioning Threshold temperature All snow < 0°C, All rain > 2°C and linear interpolation between Y - using a boundary temperature and a range where proportional mixing occurs 3 methods - critical temp, rain- snow elevation time series (requires elevation- area relationship) , decimal fraction time series
  • 288.
    Project: Development ofHydrological Design Aids (Surface Water) under HP-II Document: 2009097/WR/REP-02 July 2010 State of the Art Report Revision: R0 13 WATER RESOURCES Model SSARR - Temp Index method SSARR - Energy Budget method SRM UBC PRMS HBV SnowSim PREVAH HEC-1F SLURP SNOW-17 Strengths Suitable to a wide range of basins, Flexible in time step and basin size Suitable to a wide range of basins, Flexible in time step and basin size Primary requirement is snow- covered area data - can be satellite, aerial or ground survey - well suited to situation where this is only available data, Temperature lapse rate is input as variable time series, Degree-day factor input as variable time series HRU disaggregati on by GIS more practical, Multipurpos e model for stormflow hydrographs and long term simulations of mean daily runoff from snow melt, Well suited to short-term forecasts (3- 5 days) of mean daily discharge Applied to seasonal snow zone (900- 2000m) above is perennial, below is temporary snow Follows HBV model structure - is process oriented, Developed specifically for mountainous areas with complex topography No limit to number of sub-basins, can be applied to any kind of basin, specialised for forecasting More complex than most degree-day methods, Uses precipitation catch factor to account for gauge deficiencies, Uses more energy based approach but with assumed variable values/para meters for rain-on- snow melting, Uses seasonal melt factor adjustment to account for solar radiation and albedo fluctuations - old/dirty snow
  • 289.
    Project: Development ofHydrological Design Aids (Surface Water) under HP-II Document: 2009097/WR/REP-02 July 2010 State of the Art Report Revision: R0 14 WATER RESOURCES Model SSARR - Temp Index method SSARR - Energy Budget method SRM UBC PRMS HBV SnowSim PREVAH HEC-1F SLURP SNOW-17 Free water capacity calculation Snowpack 'ripeness' date to be set by user Y Cold content calculation Y Y N N Y Y (Refreezing factor) N N Y Weaknesses Does not deal directly with occurrence of frozen ground Does not deal directly with occurrence of frozen ground, Limited to daily discharge calculations, No soil moisture accounting No soil moisture or frozen ground accounting Snow storage set to zero at end of melt season, Lowland weather station data extrapolated to mountains, 1km2 resolution grid calculates results for broad area - average elevation could represent peaks and valleys and different snow depths, seasonal melt factor variability in steps not Not suitable for small catchments (<10km2), Not suitable for arid/semi- arid areas, Little operational use - proposed for Switzerland, Complex pre- processsing and data inputs for Pen- Monteith Evapotran# No soil or snowpack moisture acounting routine, no accounting for frozen ground Seems to require a lot of data inputs and pre- processing to achieve estimates - probably not worth the effort, Land classes require parameters such as mannings n, infiltration, soil type, hydraulic conductivity - may need calibrating Model must be properly calibrated, underestimat es major melt events due to abnormal conditions which aren't captured by model simplificatio ns
  • 290.
    Project: Development ofHydrological Design Aids (Surface Water) under HP-II Document: 2009097/WR/REP-02 July 2010 State of the Art Report Revision: R0 15 WATER RESOURCES Model SSARR - Temp Index method SSARR - Energy Budget method SRM UBC PRMS HBV SnowSim PREVAH HEC-1F SLURP SNOW-17 smooth Input s Physical data X X X X X X X X X DEM - lots of pre- processing for ASA location and charactersiti cs X Max & Min Air Temp X X X X X X X X X Precipita tion X X X X X X X X X X Area of watershe d X X X X Snowlin e elevation X X X X Discharg e data for results comparis on X X X X X X Solar radiation X X X (for Penman Monteith ET option) X Wind velocity X X (for Penman Monteith ET option)
  • 291.
    Project: Development ofHydrological Design Aids (Surface Water) under HP-II Document: 2009097/WR/REP-02 July 2010 State of the Art Report Revision: R0 16 WATER RESOURCES Model SSARR - Temp Index method SSARR - Energy Budget method SRM UBC PRMS HBV SnowSim PREVAH HEC-1F SLURP SNOW-17 Dew point temp above snow X X Dew point temp on snow X X Average snow surface albedo X Forest cover area X Snow water equivale nt at starting date X Glaciate d area X Reservoi r or lake area X
  • 292.
    Project: Development ofHydrological Design Aids (Surface Water) under HP-II Document: 2009097/WR/REP-02 July 2010 State of the Art Report Revision: R0 17 WATER RESOURCES Model SSARR - Temp Index method SSARR - Energy Budget method SRM UBC PRMS HBV SnowSim PREVAH HEC-1F SLURP SNOW-17 Imperme able area in watershe d X Mean elevation X HRU slope X HRU aspect X Daily mean temp X Monthly potential evaporati on X Soil water capacity X Runoff coefficie nt X Relative humidity X (for Penman Monteith ET option) Sunshine duration X (for Penman Monteith ET option)
  • 293.
    Project: Development ofHydrological Design Aids (Surface Water) under HP-II Document: 2009097/WR/REP-02 July 2010 State of the Art Report Revision: R0 18 WATER RESOURCES Model SSARR - Temp Index method SSARR - Energy Budget method SRM UBC PRMS HBV SnowSim PREVAH HEC-1F SLURP SNOW-17 Incomin g longwav e radiation Incomin g and reflected shortwav e radiation X
  • 294.
    Project: Development ofHydrological Design Aids (Surface Water) under HP-II Document: 2009097/WR/REP-02 July 2010 State of the Art Report Revision: R0 19 WATER RESOURCES Appendix C Case studies of snow melt model application and use C1 SRM USING MODIS SATELLITE DATA FOR KUBAN RIVER BASIN IN RUSSIA Case Study from Georgievsky (2009). The Kuban River drainage basin amounts to 57,900km2 of which approximately half is relatively flat lowlands and the other half highlands, up to 5500m. The majority of the basin’s runoff originates in these highlands. The river itself is 875km long. This study was prompted by a devastating flood in June 2002 caused by the sudden melting of snow- cover which had been maintained by a particularly cold spring. The melt was caused by a heavy rain on snow event. MODIS data were chosen as the best snow product satellite data based on the following selection criteria: • easy and, if possible free, access to the information through the internet; • high-resolution considering the Kuban river basin size; • ability to regularly update the database being formed, it is desirable that the remote sensing information would come from active satellites. The MOD10A2 product selected provides information on snow covered area every eight days. It proved possible to identify the unusual snow extent conditions (for the time of year) preceding the flood of 2002, but this link could not be extended to prediction of more regular flow rates. Attempts made to correlate the satellite snow cover data directly with inflows to the Krasnodar reservoir proved unsuccessful – the method was grossly insufficient as a forecasting tool. The Snowmelt Runoff Model (SRM) was chosen for forecasting in conjunction with the MODIS satellite data on the basis of its previous widespread global application, proven testing by WMO in its comparison of snowmelt models, and requirement for snow extent data as a primary input. The limited period for which MODIS data are available (from 2000 onwards) did not facilitate an accuracy analysis of longer term forecasting, but SRM proved itself a valuable tool for forecasting basin discharge 1-7 days in advance. It is also suggested that SRM could be used in this basin for evaluation of snow water equivalent estimations before the melt period begins. The successful application of the model to sub-basins with differing characteristics also showed its flexibility. C2 HBV-TYPE MODEL USING SATELLITE DERIVED SNOW COVERED AREA (SCA) DATA Case study from Hans-Christian Udnæs, Rune V. Engeset and Liss M. Andreassen (2002). HBV is widely used for estimating runoff in Scandinavian catchments, from both snow-covered and snow-free basins. It is a more general purpose model than SRM in this sense. Previous work had suggested that incorporation of satellite derived Snow Covered Area (SCA) data in HBV models led to a decrease in discharge estimation accuracy, although this only applied where satellite data were used post-calibration. This study aimed to assess whether performance might increase by using the satellite SCA data at the calibration stage. The HBV model is normally calibrated against flow data alone. SCA is predicted by the HBV model as standard, although when calibrated against runoff alone, it is known to over-predict SCA. This study was an attempt to assess whether the national flood warning
  • 295.
    Project: Development ofHydrological Design Aids (Surface Water) under HP-II Document: 2009097/WR/REP-02 July 2010 State of the Art Report Revision: R0 20 WATER RESOURCES system for Norway could be improved using Advanced Very High Resolution Radiometer (AVHRR) satellite data. The SCA data were derived from optical band satellite imagery. Three catchment areas were selected as test sites, ranging from 268 – 791 km2 . Catchments had different elevation ranges, mainly located above the tree line, and contained varying percentages of glaciated area. The largest floods, which were the focus of this study, normally occur later in the snow melt season in one of the test catchments because lakes exist which fill with melt water, thereby attenuating early season flows. Floods generally occur at different times for different elevations and therefore not simultaneously across the three test catchments. The largest floods in two of the catchments are usually the result of rain on snow events, whereas in another they seem to result purely from snow melt. Model runs using runoff alone for calibration showed large discrepancies between modelled and satellite observed SCA. This was the case even where runoff was accurately modelled. However, when SCA and runoff were initially used to calibrate the model, runs showed a better correlation for SCA but a reduction in the accuracy of runoff predictions. These reductions in accuracy were able to be overcome by further calibration, leading to a similar performance for runoff but better for SCA. Inaccuracies in the assessment of SCA from AVHRR optical satellite imagery introduce uncertainty about the correlation between modelled and imaged SCA. The study suggests that the method used for deriving SCA is not good enough for most catchments, making use of SCA to update simulations only worthwhile when there are clearly errors occurring. C3 LIARD BASIN IN CANADA USING SLURP MODEL Case study from Ming-Ko Woo and Robin Thorne (2006). Reanalysis climatic data were used to model snow melt runoff for the Liard basin – a mountainous basin of 275,000km2 in the Western Cordillera of Canada. The flows of this river were unmodified by human activities at the time of the study. The results of the study are considered to be relevant to other large mountainous basins where snowmelt is a major contributor to runoff. The following data sources were employed for the model simulations: 1) ERA40 – hindcast temperature and precipitation data at 6 hour intervals for 250km grid squares. 2) North American Regional Reanalysis (NARR) – 32km resolution assimilations of observational data 3) NCEP – National Center for Atmospheric Research (NCAR) global reanalysis data of temperature and precipitation at 6 hour intervals for 250km grid squares. Although the were a number of discrepancies between the datasets, these were exploited in order to investigate uncertainties in snowmelt simulation. The Liard basin was subdivided into 35 aggregated simulation areas (ASAs) containing a composition of five land use types: 1) deciduous forest, 2) evergreen forest, 3) mixed forest, 4) water and 5) tundra. A simple degree-day method for melt estimation was used rather than the SLURP option of combining degree-days with radiation. This combination had been shown to only marginally improve flow simulations (Pietroniro et al., 1997) and over such a large basin the wide variations in radiation levels would only have introduced increased uncertainty. Satellite derived snow covered area (SCA) data became available during this study and facilitated comparison between model outputs and satellite imagery. The functioning of SLURP, based on ASAs which are either snow-covered or snow-free on a particular day allowed only a very coarse comparison of snow cover.
  • 296.
    Project: Development ofHydrological Design Aids (Surface Water) under HP-II Document: 2009097/WR/REP-02 July 2010 State of the Art Report Revision: R0 21 WATER RESOURCES Nash-Sutcliffe efficiencies for prediction of streamflow at the gauged outlet from the River Liard were 0.6 or higher. Four other gauging stations allowed comparison of streamflow hydrographs at various points along the river and so with varying drainage areas, from 33,400 – 275,000km2. In terms of flow timing, the ERA data produced the most satisfactory results. However, volumetrically this data overestimated from the central basin and underestimated from the lower basin by 12% and 18% respectively. NCEP data underestimated upstream but was compensated for downstream and by only 8% in each case. From these results the model was clearly demonstrated to be sensitive to input data. The reanalysis data are not able to provide detail to the hydrographs produced by the hydrological model, but do give a good general representation of the pattern of snowmelt generation. This can be valuable in the context of large basins with sparse data availability. The authors stated that “Despite several restrictions imposed by the hydrological model and reanalysis data, together they allow representation of snowmelt sequences on a macro-scale and provide an approximate delineation of runoff contribution areas in a mountainous complex. When simulated results are verified by indirect evidence, such as satellite imagery of the changing snow cover and flow measurements from sub-basins, modelling with reanalysis data offers a viable approach to estimate discharge from large mountainous catchments in high latitudes.” C4 COMPARISON OF SNOW-17 CONCEPTUAL INDEX BASED MODEL WITH SAST ENERGY BASED MODEL Case study from Kristie J. Franz, Terri S. Hogue, & Soroosh Sorooshian (2008). SNOW-17 has long been the operational snowmelt model of the US National Weather Service. It is a conceptual model which employs a temperature index method and requires only temperature and precipitation data inputs. The Snow-Atmosphere-Soil Transfer (SAST) model uses an energy balance method and was proposed as a more technologically advanced and up-to-date alternative model. SAST was chosen as it was easily available and had shown comparable performance to other energy balance models in previous comparative studies. The models were assessed for their ability to simulate snow water equivalent (SWE) at a point, basin average melt and discharge in a set of nested watersheds within the Reynolds Creek Experimental Watershed (RCEW) in Idaho. The RCEW is characterized as having a semi-arid climate where 75% of the annual precipitation occurs as snow in the catchment’s higher elevations. The RCEW was chosen for having a good length of data records (1984-1996) available for all the necessary variables. Compared to SNOW-17, the SAST model had a tendency to overestimate snow water equivalent to a greater degree, to begin the melt season at a later date but also to melt the accumulated snowpack more quickly in spring. Based on the 13 years of data available for the study, SNOW-17 performed better than SAST for both the test basins used. Differences in melt patterns and rates accounted for most of the variation in results. Significantly large differences in daily and seasonal peak SWE errors occurred where the SAST model produced minimal melt during the winter and delayed melt in the spring. These were in 4 out of the 13 years in the East basin and occurred in years classed as both wet and dry in terms of precipitation. In the same basin SAST predicted faster melt rates and therefore an earlier exhaustion of snow melt than in SNOW-17. SAST performed better in the Tollgate basin, but in 8 years of 13 had lower Nash-Sutcliffe Efficiency scores and larger errors in peak discharge than SNOW-17. In the other five years, the opposite was true – with SAST achieving equal or higher NSE scores and lower errors in peak discharge.
  • 297.
    Project: Development ofHydrological Design Aids (Surface Water) under HP-II Document: 2009097/WR/REP-02 July 2010 State of the Art Report Revision: R0 22 WATER RESOURCES Parameters for SNOW-17 which had been calibrated to a nearby basin required little adjustment for use in this study. The simulations have generally shown that a well calibrated SNOW-17 model is highly accurate in dry and wet years for both point and watershed scale simulations. The greater requirement for data in SAST increases the propagation of input uncertainties through to simulation results. Where biases were applied to input data, the biggest impact was on SWE in late winter and spring and may well have contributed to faster spring melt rates. Energy balance models are noted to suffer from feedbacks between errors in SWE and subsequently albedo and the radiation balance in the model. This will exaggerate either under- or over-accumulation of the snowpack. SNOW-17 proved slightly more sensitive to biases in temperature data, although this contrasted with an earlier study which found to the contrary. Both this study and the previous one found wind speed and radiation forcing to have least impact on the energy balance model. Complex Interactions between energy balance models and data errors mean that better data are required to run the energy balance models satisfactorily for operational purposes. A common trend evident between the two models was the over-accumulation of snow early in the deposition season. This indicates that errors in temperature and precipitation – the common inputs – are contributing to the uncertainty in the model predictions. The temperature boundary which defines whether precipitation falls as rain or snow may also need adjusting in some years where both models over-predict SWE. In summary, while the SAST model predicted point- and basin-scale processes as accurately as SNOW-17 for most years, there is still relatively large uncertainty in the predictive skill of energy balance models compared to current temperature-index approaches. The remaining challenges to be addressed before energy balance models could be used operationally include: • Difficult data error estimation and bias correction due to feedbacks within the models • Challenging calibration where parameter ranges and sensitivities are not as well understood as for temperature based approaches • Inadequate basin-scale hydrological monitoring to provide data sources C5 COMPARISON OF SRM AND HBV Case study from Ferguson (1999). Both HBV and SRM are semi-distributed conceptual models data back to the 1970s, but having been developed considerably in the light of operational experience in a wide range of contexts since. Both run at a daily time-step and compute snowmelt individually for different elevation bands. HBV also allows the division of large basins into split basins either in parallel or in series. While HBV is a general catchment-scale hydrological model which has been developed to include a glacier runoff component, SRM includes no explicit accounting for glaciers. SRM was developed especially as a snowmelt model for Switzerland and has been used successfully in a number of basins internationally where glaciers are a significant proportion of the total area. Below are some general features of snowmelt models for which the two models are compared. Extrapolation of meteorological data HBV can read data from several meteorological stations and weight them differently for each sub- basin. SRM would normally use a single station, but can use separate stations for each elevation zone, and a station may be a previously generated composite of records from several points, possibly to include a weighting similar to that used by HBV. Temperature is usually the most important input data for snowmelt models as it is used to dictate both when melting occurs and in the case of new precipitation, whether it falls as snow or rain. Lapse rates are usually employed to extrapolate air temperatures in mountainous areas from measurements, usually at lower elevations. In HBV this lapse rate is fixed during calibration, but the model allows a
  • 298.
    Project: Development ofHydrological Design Aids (Surface Water) under HP-II Document: 2009097/WR/REP-02 July 2010 State of the Art Report Revision: R0 23 WATER RESOURCES mix of rain and snow fall between defined temperature limits. SRM uses a time variable lapse rate input, which enables seasonal changes in melt rates to be accounted for. Precipitation rates must also be extrapolated from measurements at lower elevations, although innate problems exist with the tendency of gauges to under-measure precipitation as snow. Models such as HBV which explicitly model the accumulation of snow as well as depletion are especially sensitive to inaccuracies in precipitation data. This is usually accounted for by a correction factor. SRM incorporates this factor in its runoff coefficient along with evapotranspiration losses. Snowpack heat energy balance AS both HBV and SRM are conceptual- rather than energy balance-type models, they rely on air temperature to index the energy content of the snowpack as it relates to melting. SRM uses the degree-day method as a time variable input, whereas HBV uses a fixed value, but can use a different fixed value for forested areas and glaciers. Snow cover and depletion HBV uses an explicit representation of snow cover accumulation and depletion, by taking a snowpack modelling approach. This originally led to all the snow cover in an elevation band melting at the same time, but has since been improved to allow for some spatial variation. In contrast SRM relies on snow extent data, usually obtained by satellite to support its observation and depletion curve method. As long as snow extent data are available, the crucial data are depletion curves to estimate the evolution of the snow pack as extent changes. SRM uses modified depletion curves (MDC) in terms of degree days rather than simply days and this avoids problems with inter-annual variation in melt rates. Runoff Routing HBV is characterised as the upper limit of complexity for a conceptual runoff routing model, while SRM is described as having started life as an extremely simple single linear store with no losses. SRM has since evolved to include greater complexity including a non-linear store, and runoff coefficients applied to snowmelt and rainfall volumes which can be varied every 15 simulation days to account for variation in evapotranspiration losses. Model calibration and validation HBV is generally considered to be a model which needs careful calibration due to its relatively complex processes. A standard procedure can be followed for which parameters to calibrate in which sequence, although a semi-automated calibration processes is now available. This has proved very successful so that SHMI which first developed the model now uses it as standard. SRM is quite different in that it includes far fewer parameters and is more flexible in terms of the number which are time variable, meaning they don’t need to be fixed by a calibration procedure. The suggestion is that physically based parameters are used when applying the model to a new catchment, but it is often necessary to fine tune from default values. With snowpack modelling such as with HBV, it is useful to employ independent evidence for snow accumulation and depletion due to issues with precipitation measurements as well as model calibration, particularly for the critical temperature dividing snow and rain over large areas. Satellite observation data can be useful in this sense, and although the real issue is assessing snow water equivalent rather than extent, the former can be derived from the latter effectively. C6 UBC MODEL IN SATLUJ RIVER IN WESTERN HIMALAYAS Case study from Singh, P. and Quick, M.C. (1993). The Satluj River basin is an Indian basin which had recently (at the time of the study) been the subject of hydrological monitoring improvement. The intention of the study was to assess the performance of the UBC watershed model for predicting daily streamflow in a basin with very uneven precipitation distribution, extreme variation in topography and with significant snowmelt runoff in summer. The
  • 299.
    Project: Development ofHydrological Design Aids (Surface Water) under HP-II Document: 2009097/WR/REP-02 July 2010 State of the Art Report Revision: R0 24 WATER RESOURCES study focussed on the middle part of the basin, being the major contributor of snowmelt runoff. The elevation range of this area is 1500 – 7026m.Daily simulations were carried out both with the watershed considered to be a single unit and splitting it into two sub-basins. UBC is designed for mountainous watersheds and calculates the combined runoff from rainfall and snowmelt, as well as separately calculating glacier melt runoff. This study was carried out using three years of daily streamflow data from Nimgia and Rampur gauging stations. All model parameters were held constant and snowpacks were accumulated and depleted on a daily basis. The model was then split into two sub-basins, facilitated by a streamflow gauging station at Spiti which allowed checking of data for this lower part of the watershed. Outflow for the whole basin was calculated by simply adding the flows from the two sub-basins as the channel routing time was estimated to be 8 – 10 hours. A comparison of the results from the two approaches indicated that flows in April and May were underestimated by considering the basin as a single unit. Predictions were better when the basin was split into two sub-basins. This pattern was repeated for both an unusually low flow period in June of model year 1988/89 and a peak the following year at the end of June and beginning of July. The apparent superiority of graphical fits was confirmed by model efficiency as judged by the Nash- Sutcliffe measure, being 0.06 – 0.09 points higher for all years with the split basin model. The individual calibration of the sub-basins is thought to account for the improvements due to different precipitation distributions.
  • 300.
    Project: Development ofHydrological Design Aids (Surface Water) under HP-II Document: 2009097/WR/REP-02 July 2010 State of the Art Report Revision: R0 25 WATER RESOURCES Appendix D Rainfall-runoff model summaries D1 PROBABILITY DISTRIBUTED MODEL (PDM) The Probability Distributed Model or PDM is a fairly general conceptual rainfall-runoff model which transforms rainfall and evaporation data to flow at the catchment outlet (Moore, 2007). It was developed by the UK Centre for Ecology and Hydrology. Figure 1 illustrates the general form of the model. Runoff production at a point in the catchment is controlled by the absorption capacity of the soil to take up water: this can be conceptualised as a simple store with a given storage capacity. By considering that different points in a catchment have differing storage capacities and that the spatial variation of capacity can be described by a probability distribution, it is possible to formulate a simple runoff production model which integrates the point runoffs to yield the catchment surface runoff into surface storage. Groundwater recharge from the soil moisture store passes into subsurface storage. The outflow from surface and subsurface storages, together with any fixed flow representing, say, compensation releases from reservoirs or constant abstractions, forms the model output. Figure 1 The PDM rainfall-runoff model (Moore, 2007) D2 CATCHMOD The CatchMOD rainfall-runoff model (Figure 2) consists of a soil moisture and a storage component. The soil moisture component of the model is a two-store structure based on the Penman empirical drying curve. This determines how much rainfall becomes direct runoff and how much enters the storage routing component. The storage routing component determines the nature of the hydrological response to the effective rainfall with the linear (recharge) store and the non-linear (groundwater) store.
  • 301.
    Project: Development ofHydrological Design Aids (Surface Water) under HP-II Document: 2009097/WR/REP-02 July 2010 State of the Art Report Revision: R0 26 WATER RESOURCES Figure 2 The CatchMOD rainfall-runoff model The CatchMOD rainfall runoff model is well suited to water resources modelling as it can cope with lengthy records (~50 years) of daily rainfall, PET and flow data. The response of different geological areas within the catchment is modelled directly, which should enable sensible calibration e.g. slow response for chalk areas and fast from clay or urban areas. Other data relevant to water resources such as soil moisture deficit and recharge are calculated by the model and output into the spreadsheet as tabular data and graphs. It should also be possible to change the code to allow MonteCarlo simulations for calibration. The following figures are produced from the CatchMOD model which aid the task of calibration, the tabular data behind each figure is also output from the model. Model Fit 0.10 1.00 10.00 100.00 1000.00 Jan70 Jan71 Jan72 Jan73 Jan74 Jan75 Jan76 Jan77 Jan78 Jan79 Jan80 Jan81 Jan82 Jan83 Jan84 Jan85 Jan86 Jan87 Jan88 Jan89 Jan90 Date Flow(cumecs) 0 20 40 60 80 100 120 140 160 180 200 Rainfall(mm) Observed (cumecs) Rainfall Series4 Simulated Flow (cumecs) Figure 3 Simulated flow compared to observed flow over the calibration period
  • 302.
    Project: Development ofHydrological Design Aids (Surface Water) under HP-II Document: 2009097/WR/REP-02 July 2010 State of the Art Report Revision: R0 27 WATER RESOURCES Observed / Calculated Flow Duration Curves 0.1 1.0 10.0 100.0 0 0.1 0.2 0.3 0.4 0.5 0.6 0.7 0.8 0.9 1 Percentile Flow(cumecs) Observed Calculated Figure 4 Simulated and observed flow duration curves over the calibration period Volumetric Fit 0 5000 10000 15000 20000 25000 Jan71 Jul71 Jan72 Jul72 Jan73 Jul73 Jan74 Jul74 Jan75 Jul75 Jan76 Jul76 Jan77 Jul77 Jan78 Jul78 Jan79 Jul79 Jan80 Jul80 Jan81 Jul81 Jan82 Jul82 Jan83 Jul83 Jan84 Jul84 Jan85 Jul85 Jan86 Jul86 Jan87 Jul87 Jan88 Jul88 Jan89 Jul89 Jan90 Jul90 Date Flow(cumecs) Calculated Observed Figure 5 Simulated and observed cumulative flows over the calibration period
  • 303.
    Project: Development ofHydrological Design Aids (Surface Water) under HP-II Document: 2009097/WR/REP-02 July 2010 State of the Art Report Revision: R0 28 WATER RESOURCES These figures enable the simulated flow to be quickly compared to the observed flow in terms of low and high flows, overall flows and the total flow volume, when calibrating the model. These indicate whether it is the high or the low flows which need to be changed in calibration. The model also outputs the flow from each geological area so it is possible to identify the fast and slow responding areas, which aids the calibration of the baseflow and high flow components of the simulated hydrograph. The model also produces an audit trail which displays the objective function values for each simulation along with the input parameters used in that simulation. This provides a simple method of tracking the impact of varying input parameters on the goodness of fit to the observed flow, which is extremely useful when calibrating the model. Goodness-of-fit Objective Functions Area 1: 0 Slope Pdc Dp D1 D2 Simulation Run Date / Time R2 R2 (Ln) (∑Calc/∑Obs) mm % mm mm 1 28/10/2003 14:20 0.702 #NUM 0.729 0.575 0.3 50 15 0.0000 0.0000 2 28/10/2003 14:26 0.703 #NUM 1.214 0.613 0.3 50 15 0.0000 0.0000 3 28/10/2003 14:43 0.703 #NUM 1.104 0.659 0.3 50 15 0 0 4 28/10/2003 14:47 0.702 #NUM 0.841 0.639 0.3 50 15 0 0 5 28/10/2003 14:51 0.703 #NUM 0.953 0.670 0.3 50 15 0 0 6 05/04/2005 16:16 0.703 #NUM 0.953 0.670 0.3 50 15 0 0 7 05/04/2005 16:33 0.684 #NUM 0.952 0.680 0.3 50 15 0 0 8 05/04/2005 16:36 0.706 #NUM 0.953 0.644 0.3 50 15 0 0 9 05/04/2005 16:38 0.614 #NUM 0.952 0.611 0.3 50 15 0 0 10 05/04/2005 16:39 0.722 #NUM 0.952 0.718 0.3 50 15 0 0 11 05/04/2005 16:43 0.673 #NUM 0.952 0.669 0.3 50 15 0 0 12 05/04/2005 16:45 0.682 #NUM 0.952 0.678 0.3 50 15 0 0 13 05/04/2005 16:45 0.729 #NUM 0.952 0.725 0.3 50 15 0 0 14 05/04/2005 16:47 0.737 #NUM 0.901 0.720 0.3 50 15 0 0 15 05/04/2005 16:48 0.721 #NUM 1.002 0.719 0.3 50 15 0 0 16 05/04/2005 16:54 0.727 #NUM 1.002 0.724 0.3 50 15 0 0 17 05/04/2005 16:56 0.717 #NUM 1.002 0.715 0.3 50 15 0 0 18 05/04/2005 16:58 0.722 #NUM 1.003 0.720 0.3 50 15 0 0 19 05/04/2005 16:59 0.721 #NUM 1.002 0.719 0.3 50 15 0 0 20 05/04/2005 17:02 0.716 #NUM 0.995 0.711 0.3 50 10 0 0 21 05/04/2005 17:03 0.727 #NUM 1.010 0.726 0.3 50 20 0 0 22 05/04/2005 17:05 0.722 #NUM 1.063 0.712 0.3 25 20 0 0 23 05/04/2005 17:12 0.730 #NUM 0.969 0.727 0.3 75 20 0 0 24 05/04/2005 17:13 0.744 #NUM 0.986 0.742 0.3 75 20 0 0 25 05/04/2005 17:14 0.721 #NUM 0.961 0.718 0.3 75 20 0 0 26 05/04/2005 17:15 0.730 #NUM 0.969 0.727 0.3 75 20 0 0 Soilmoisture store parameters Nash-Sutcliffe Efficiency Figure 6 Example of the CatchMOD audit trail The underlying code is available for the Excel version of the model and in MatLAB. D3 DATA-BASED MECHANISTIC MODELLING OF ENVIRONMENTAL SYSTEMS (DBM) The DBM model involves statistical analysis of the observed data (rainfall and flow) to determine whether the relationship is linear or non-linear. In this way, the structure of the model is not predetermined, potentially on subjective judgments made by a modeller but is data-driven. Model parameters are then estimated using statistical analysis (linear) or numerical optimisation (non-linear). The model is checked to have a relevance to the physical processes and verified. Because observed flows are required DBM is most suited to flood forecasting applications. An in depth description of the model and the process of applying it is available in Young (2001). D4 HEC-HMS The HEC-HMS software package, developed by US ACE contains a number of soil moisture models and a number of routing models for direct runoff and baseflow. The most suitable model is the continuous Soil Moisture Accounting (SMA) model which is a conceptual model. The other models are empirical event based models. The SMA model is similar to CatchMOD as it treats the catchment as a number of storage layers, although it has more layers than CatchMOD. The surface runoff is calculated using a Unit Hydrograph and the baseflow from two linear stores representing the outflow from the two groundwater layers (Figure 7).
  • 304.
    Project: Development ofHydrological Design Aids (Surface Water) under HP-II Document: 2009097/WR/REP-02 July 2010 State of the Art Report Revision: R0 29 WATER RESOURCES Figure 7 Schematic diagram of HEC-HMS According to the technical manual (USACE, 2000), HEC-HMS provides the following components: • Precipitation-specification options which can describe an observed (historical) precipitation event, a frequency-based hypothetical precipitation event, or an event that represents the upper limit of precipitation possible at a given location. • Loss models which can estimate the volume of runoff, given the precipitation and properties of the watershed. • Direct runoff models that can account for overland flow, storage and energy losses as water runs off a watershed and into the stream channels. • Hydrologic routing models that account for storage and energy flux as water moves through stream channels. • Models of naturally occurring confluences and bifurcations. • Models of water-control measures, including diversions and storage facilities. These models are similar to those included in HEC-1. In addition to these, HEC-HMS includes: • A distributed runoff model for use with distributed precipitation data, such as the data available from weather radar. • A continuous soil-moisture-accounting model used to simulate the long-term response of a watershed to wetting and drying. HEC-HMS also includes: • An automatic calibration package that can estimate certain model parameters and initial conditions, given observations of hydrometeorological conditions. • Links to a database management system that permits data storage, retrieval and connectivity with other analysis tools available from HEC and other sources.
  • 305.
    Project: Development ofHydrological Design Aids (Surface Water) under HP-II Document: 2009097/WR/REP-02 July 2010 State of the Art Report Revision: R0 30 WATER RESOURCES D5 IHACRES The IHACRES model (from UK CEH, formerly known as the Institute of Hydrology) is a hybrid conceptual-metric model, which uses the simplicity of the metric model to reduce the parameter uncertainty inherent in hydrological models while representing more detail than usual for a metric model. The model often only requires six parameters, making it easy to apply. It has been used extensively around the world and is one of the models being used in the Prediction in Ungauged basins initiative (Littlewood et al., 2003) IHACRES has a set of functions (soil moisture and temperature for PET) to produce an effective rainfall that is related to total flow using a general transfer function (Beven, 2001). The effective rainfall is used as input to transfer function analysis to calibrate the parameters of the complete model. The transfer function in the IHACRES model is two linear stores in parallel (Beven, 2001). The model coefficients are the two time constants for the fast and slow stores, the split of effective rainfall between these stores and the three parameters used to filter the effective rainfall (Beven, 2001). D6 HYSIM HYSIM (from the UK’s Water Resource Associates Ltd) is a seven-store conceptual rainfall-runoff model that can be coupled to a simple hydraulic routing model. Model parameters are related to physical catchment characteristics, although there are 23 parameters. HYSIM uses rainfall and potential evaporation data to simulate the hydrological cycle (surface runoff, percolation to groundwater and river flow) on a continuous basis. Its parameters realistically define the hydrology and hydraulics of a whole river basin. Such a model is likely to perform well in climatic conditions more extreme than those in its calibration period HYSIM can use data on rainfall, potential evaporation (PET), snow melt and abstractions from, or discharges to, both groundwater and surface water, although only rainfall and PET are essential. Data can be input at a daily time step or any time step less than a day. Simulations can be run similarly at any time step up to a day. The model is flexible in terms of the catchment definition it requires: a river basin can be defined as a number of sub-catchments and reaches for flow routing can be either channels or reservoirs. Complex rivers basins (catchments, watersheds) can be simulated as a series of linked sub-basins. To represent hydrological or climatic variations within a sub-catchment, up to three zones, each with its own parameters and data, can be defined. Flow routing uses the kinematic method. Typical uses of HYSIM include: • Using long-term rainfall and PET data to produce long-term flow records. • Flow naturalisation. • Studying the effects of climate change. • Flood studies. • Effects of improved drainage. • Groundwater recharge. The output from the model includes: overland flow, impermeable area runoff, snow storage, soil moisture storage, interflow, groundwater recharge, groundwater storage, total surface runoff, routed flow and actual evapotranspiration. Outputs can be transferred directly into Modflow (as groundwater recharge) or Isis (as either runoff to channels or routed flow at the upstream boundary). D7 NAM NAM (from DHI, the Danish Hydraulic Institute) is a lumped, conceptual rainfall-runoff model for simulating overland flow, interflow and baseflow as a function of the water storage in each of four mutually interrelated storages representing the storage capacity of the catchment. NAM allows man-
  • 306.
    Project: Development ofHydrological Design Aids (Surface Water) under HP-II Document: 2009097/WR/REP-02 July 2010 State of the Art Report Revision: R0 31 WATER RESOURCES made interventions in the hydrological cycle such as irrigation and groundwater pumping to be investigated. An auto-calibration tool is available for the NAM to speed up the calibration of a model. The user can select up to nine different parameters to be included in the auto- calibration and can define permissible minimum and maximum values for each parameter. Based on up to four objectives (water balance, overall hydrograph shape, peak flows and low flows), the auto-calibration tool will find the best fit between simulated and observed hydrographs. A global optimisation routine called the Shuffled Complex Evolution (SCE) algorithm takes care of the actual parameter optimization. Typically up to 2000 model evaluations are required to reach a good calibration, and this is usually accomplished within few minutes. Figure 8 Schematic representation of processes represented within NAM The main areas of application of NAM are: • General hydrological analysis o runoff distribution o estimates of infiltration / evaporation • Flood forecasting o subcatchment inflow to river model o links to meteorological models • Extension of streamflow records o advanced gap-filling o improved basis for extreme value analysis etc. • Prediction of low flow o for irrigation management o for water quality control
  • 307.
    Project: Development ofHydrological Design Aids (Surface Water) under HP-II Document: 2009097/WR/REP-02 July 2010 State of the Art Report Revision: R0 32 WATER RESOURCES D8 SHE The SHE model was jointly developed by the UK CEH, the Danish Hydraulic Institute, and SOGREAH (France). SHE is a physically-based, distributed catchment modelling system (Figure 9). The SHE model splits the catchment into a series of grids that link to river channels. Each grid has a surface elevation and model components for interception, evapotranspiration, snowmelt and 1D vertical unsaturated zone flow (Beven, 2001). The grids are linked by 2D surface and groundwater flow, and flow between the zone components is controlled by internal model boundaries (Beven, 2001). Figure 9 Schematic representation of the structure of SHE (Abbott et al., 1986) D9 SWAT The Soil and Water Assessment Tool (SWAT) model (Arnold et al., 1998) developed by Agricultural Research Service, Blackland, Texas, USA is a river basin or watershed scale distributed parameter and continuous time simulation model. SWAT is a distributed parameter model with an Arc View GIS interface (AVSWAT) / Map Window interface for the pre and post processing of data The SWAT model has been developed to predict the response to natural inputs as well as the manmade interventions on water and sediment yields. Rather than incorporating regression equation to describe the relationship between input and output variables, SWAT requires specific information about weather, soil properties, topography, vegetation and land management practices in the watershed. The model can be described as (a) physically based ; (b) uses readily available inputs; (c) is computationally efficient to operate and (d) is continuous time and capable of simulating long periods for computing the effects of management changes. The model has the capability of being used for watersheds as well as major river systems. The reliable estimates of runoff from ungauged catchments can be made by linking parameter values to catchment characteristics. The major advantage of the SWAT model is that unlike the other conventional conceptual simulation models it does not require much calibration and therefore can be used on ungauged watersheds.
  • 308.
    Project: Development ofHydrological Design Aids (Surface Water) under HP-II Document: 2009097/WR/REP-02 July 2010 State of the Art Report Revision: R0 33 WATER RESOURCES Appendix E Hydraulic model summaries E1 INFOWORKS RS InfoWorks RS (developed by UK’s Wallingford Software, now MWHSoft) combines the ISIS Flow simulation engine, GIS functionality and database storage within a single environment, bringing together source data and hydraulic modelling into a single product. InfoWorks allows planners and engineers to carry out fast, accurate 1D and 2D modelling of the key elements of river and channel systems, and to view the model data and results in new ways. InfoWorks RS also enables model management, allowing a full audit trail to be maintained of the modelling process from source data to final outputs. Data from a wide range of sources can be brought together within the software. InfoWorks RS includes full solution modelling of open channels, floodplains, embankments and hydraulic structures. Rainfall-runoff simulation is available using both event based and conceptual hydrological methods. Full interactive views of data are available using geographical plan views, sectional view, long sections, spreadsheet and time varying graphical data. The underlying data can be accessed from any graphical or geographical view. Animated presentation of results in geographical plan, long section and cross section views is standard, including fully dynamic flood mapping, as well as results reporting and analysis using tables and graphs. The software contains comprehensive diagnostic error checking and warning. With regards to application of InfoWorks RS to water resources modelling, it has a number of features that can be used, such as: flow routing components (multiple options) for sparse models (spatial and temporal); it is able to model looped and branched networks and reservoirs; it has a range of ‘logically controlled’ objects (such as abstractions, sluice gates, gated weirs) that enable modelling of common water resource system components. E2 INFOWORKS ICM InfoWorks ICM (developed by UK’s Wallingford Software, now MWHSoft) is the latest member of the InfoWorks family, and is designed as a tool for integrated catchment modelling. InfoWorks ICM is able to integrate hydrodynamic and hydrological models within its workgroup management platform to enable completely coupled drainage systems and receiving environments analysis. InfoWorks ICM provides a new single simulation engine that fully integrates 1D and 2D simulation of above- and below-ground manmade drainage, open channels, rivers and floodplains. InfoWorks ICM is able to model manholes, pipes, inlets, natural channels and man-made channels. The resulting model contains common hydrology and can include both catchment and floodplain data. This holistic approach to catchment modelling is especially important in the United Kingdom and across Europe, where legislation and future asset management planning requirements mandate that planners use an integrated model when considering how to assess the more complex elements of flooding across an entire catchment. E3 HEC-RESSIM HEC-ResSim (from the US Army Corps of Engineers) is a one-dimensional flow routing model designed for modelling reservoir systems. The model is constructed against a geo-referenced map background. In terms of the suitability of HEC-ResSim for water resources modelling, it contains a number of useful features, such as: flow routing (multiple options) for sparse models (spatial and temporal); it is able to model seepage losses; it is able to model looped and branched networks and reservoirs; it
  • 309.
    Project: Development ofHydrological Design Aids (Surface Water) under HP-II Document: 2009097/WR/REP-02 July 2010 State of the Art Report Revision: R0 34 WATER RESOURCES offers monthly and seasonal variation options for modelling flow diverted to reservoirs; the reservoir unit includes geometric data, outlet structures, evaporation losses and operational rules. E4 MIKE 11 MIKE 11 is produced by the Danish Hydraulic Institute (DHI). It is widely used around the world for simulating flow and water level, water quality and sediment transport in rivers, flood plains, irrigation canals, reservoirs and other inland water bodies. It contains in-built parameter optimization tools facilitate efficient model calibration and provide uncertainty assessment of results. MIKE 11 can be linked to other modelling software packages to integrate river and floodplain modelling with models for watershed processes, detailed floodplain representation, sewer systems and coastal processes. MIKE 11 offers also links to external groundwater, and is OpenMI compliant. E5 SOBEK SOBEK is produced by Delft Hydraulics of Deltares, Holland. SOBEK is a general software package for the integral simulation of processes in one dimension, i.e. in a river, an estuary, a canal or in a sewer network. It is used for flood forecasting, optimisation of drainage systems, control of irrigation systems, sewer overflow design, ground-water level control, river morphology, salt intrusion and surface water quality. It has been developed jointly with Dutch public institutes and private consultants. E6 MISER MISER (from Tynemarch Systems Engineering) is a decision-support tool for optimal water management and resource planning. It is able to carry out behavioural simulations, yield searches, it can use optimisation to maximise yield, and it can generate operational control curves using optimisation to find minimum sustainable water levels. E7 AQUATOR AQUATOR (from the UK’s Oxford Scientific Software Ltd) is a powerful application for developing and running conjunctive use water resource system models. It can model simple models having just a few components as well as large, detailed, models comprising many hundreds of components. The largest river basins in the United Kingdom are modelled using AQUATOR. Both the natural river system and the water supply network can be modelled. River regulation, forecasting, travel times, the ability to include catchment (hydrological) models and the differentiation of river flow at any point into its 'natural', 'cumulative abstraction' and 'release' components are some of the features available on river networks. On the supply side, water is used to meet demand using an algorithm that seeks to minimise cost, but preserve the state of resources. AQUATOR includes the language VBA, which permits the user to make bespoke customisation as required, or to build AQUATOR into other applications as the water resources input. E8 SPREADSHEET RESERVOIR MASS BALANCE MODEL The spreadsheet reservoir mass balance model (from UK’s HR Wallingford Ltd) was designed for modelling the water balance of reservoirs. It takes into account inputs from rivers, pumped inflows, losses due to evaporation, water demands, compensation flows, and natural overflows. It is a simple behavioural model that can also be used for optimisation.
  • 310.
    Project: Development ofHydrological Design Aids (Surface Water) under HP-II Document: 2009097/WR/REP-02 July 2010 State of the Art Report Revision: R0 35 WATER RESOURCES E9 INTEGRATED SOURCE MANAGEMENT MODEL (ISMM) The Integrated Source Management Model (ISMM) creates and uses tables of risk and shortfall given the system status, demand and time of year. ISMM contains a rainfall-runoff model, aquifer model, catchment land-use change module, climate change module, and an operational cost tracking module. It is designed for modelling headwater storage systems. The model has four modes: real-time mode (for short-term forecasts); operational planning mode (for medium to long term implications of operational and climate change); demand management mode; and yield evaluation mode (to calculate the system safe yield). E10 INTEGRATED SOURCE MANAGEMENT MODEL (ISMM) The Integrated Source Management Model (ISMM) creates and uses tables of risk and shortfall given the system status, demand and time of year. ISMM contains a rainfall-runoff model, aquifer model, catchment
  • 311.
  • 312.
    Project: Development ofHydrological Design Aids (Surface Water) under HP-II Document: 2009097/WR/REP-02 July 2010 State of the Art Report Revision: R0 4-1 WATER RESOURCES 4. PROPOSED HYDROLOGICAL DESIGN PRACTICES 4.1 General Planning, design, operation, maintenance and management of water resource system in a scientific and effective manner can be achieved only through accurate estimation of water availability and demand. The volume of data required to be handled and analysed for planning of water resources development is high since a number of hydrological and hydro-meteorological parameters are involved. In the Indian context, the information through data support is quite uneven on both temporal and spatial scale and therefore, poses difficulty in proposing a uniform and standard hydrological practice for assessment of water resource. Continous and long series of flow is essential for proper planning and design of projects on irrigation, hydropower, flood control, water supply, navigation etc. 4.2 Assessment of water resources potential – availability (HDA1) The proposed model structure for HDA1 will take into consideration the fact that the methodologies respond to the various data availability scenarios in the Indian context which are described below: 1. Project site location may be on a first order or higher order catchment. There is likelihood that the water availability estimation may be partially from gauged catchment and partially from ungauged catchment. 2. A river basin of interest will be characterized by regulation / pondage structures located in series or parallel for which an integrated effect of regulation in flow , upstream abstraction, irrigation release, return flow, flow diversion, non-consumptive use, municipal and industrial supply, loss to/contribution from ground water information are required for developing a discharge series for any new development work. 3. A gauge data will comprise of either regulated discharge information or unregulated discharge information or mixed at different time horizon. For any rainfall-runoff simulation, conversion of regulated flow to virgin flow is required. Similarly, for simulation of effect of dam / reservoir already in place, transformation of virgin flow series to regulated flow series is required. 4. Multiple gauge installed on a river at various reaches at different time will have discharge informations available at different time scale and duration. 5. Effect of rainfall-runoff modeling incorporating catchment landuse factor will pose a challenge of calibrating with the parameter which is dynamic. 6. Since Geographical Information System (GIS) has become an integral part of any water resource distribution and management process, the importance of a distributed model has assumed great importance. Recently CWC has initiated a project on Water Resource Information System WRIS within the National Water Policy of India, the details of which are available on website. It is clear from this website that DEM’s and thematic layers on landuse would be available for watersheds, sub basins and basins. The other products available are landcover, snow coverage area, surface water bodies. Since the information system would be available to CWC and states, it is important that the HDA1 is also designed to use the data available through WRIS in developing design aids.
  • 313.
    Project: Development ofHydrological Design Aids (Surface Water) under HP-II Document: 2009097/WR/REP-02 July 2010 State of the Art Report Revision: R0 4-2 WATER RESOURCES 4.2.1 Criteria with checklist for choosing an established tool Chapter 2 and 3 provides a comprehensive overview of Hydrological practices and models in all the three key areas of hydrology. A checklist has been developed to provide a comparative evaluation of various models discussed under the categories of rainfall- runoff, system and basin modelling. Table 4.1 : Checklist Matrix for Rainfall – Runoff Models PDM CATCHMOD DBM HEC-HMS IHACRES HYSIM NAM SHE MWSWAT ModelE Water resource agency similar to CWC which has adopted the model for planning and management of water resource in their region/country Y N N Y Y N Y Y Y Y User friendly preprocessing and post processing capability. N N N Y Y Y N N Y * An established group providing technical backup. N Y N Y N N Y Y Y * Both the software and platform in public domain. N N N Y Y N N N Y - Widely tested across the world in semiarid and arid regions N Y N Y N Y Y Y Y N Has the ability to simulate the desired land use, disturbance or a climate change scenario N Y N N N N N N Y N Technical documentation, user manual, input/output files Y Y Y Y Y Y Y Y Y Y Used by government agencies N N N Y Y N Y Y Y Y Widely applied by Indian research and academic establishments N N N Y N N Y Y Y N * indicate will be developed Recommended Model – MWSWAT, Hec HMS - SMA and Model E
  • 314.
    Project: Development ofHydrological Design Aids (Surface Water) under HP-II Document: 2009097/WR/REP-02 July 2010 State of the Art Report Revision: R0 4-3 WATER RESOURCES Table 4.2 : Checklist Matrix for Water Resource System Models INFOWORKS RS INFOWORKS ICM HECRESSIM MIKE11 SOBEK MISER AQUATOR MBModel ISMM Water resource agency similar to CWC which has adopted the model for planning and management of water resource in their region/country Y N Y Y N N N N N User friendly preprocessing and post processing capability. Y Y Y Y N N N N N An established group providing technical backup. N N Y Y N N N N N Both the software and platform in public domain. Y N Y N N N N N N Widely tested across the world in semiarid and arid regions N N Y Y N N N N N Technical documentation, user manual, input/output files Y Y Y Y Y Y Y Y Y Used by government agencies Y X Y Y N N N N N Recommended Model – HEC RESSIM
  • 315.
    Project: Development ofHydrological Design Aids (Surface Water) under HP-II Document: 2009097/WR/REP-02 July 2010 State of the Art Report Revision: R0 4-4 WATER RESOURCES Table 4.3 : Checklist Matrix for River Basin Models IRAS MIKEBASIN TERRA WATERWARE WRAP Water resource agency similar to CWC which has adopted the model for planning and management of water resource in their region/country Y Y Y Y Y User friendly preprocessing and post processing capability. Y Y Y Y * An established group providing technical backup. Y Y Y Y Y Both the software and platform in public domain. Y N Y N Y Widely tested across the world in semiarid and arid regions Y Y N Y Y Technical documentation, user manual, input/output files Y Y Y Y Y Specific Requirements Designed for interdependant surface ground water system Expensive licensing requirement Applied to Tennessee river basin system and is not designed to be transferable to other basins Expensive licensing requirement Used by government agencies Y Y Y Y Y * indicate will be developed Recommended Model – Water Rights Analysis Package WRAP 4.2.2 Recommended Procedures 4.2.2.1 Pre-processing functions • Aggregation / Disaggregation of Flow Series • Transformation of non-equidistant to equidistant series 4.2.2.2 Techniques for Filling in Missing data It is assumed that the data will have undergone the following checks • Check with respect to recording error (human/instrument) and systematic error which may come from instrument drift. • Infill by hand drawn line ‘best fit line’ based on supporting evidence at the site or a partner site
  • 316.
    Project: Development ofHydrological Design Aids (Surface Water) under HP-II Document: 2009097/WR/REP-02 July 2010 State of the Art Report Revision: R0 4-5 WATER RESOURCES The following functionalities will be provided for infilling gaps and will be flagged as ‘estimated’ Method Suitability Interpolation by extending a trend between the recorded data points either side of the gap e.g. exponential decay during low flows Can be used to fill a very shortgap when a comparative site is available Simple bridging using a straight line The data series can be expected to behave in a steady way over the gap. It must not be used for highly variant time series Using spline technique to insert a curved line that can be used for inserting peaks / troughs Should not be used if it causes a sudden step in the data which is not typical for the site. Modeling by precipitation can be used to fill in large gaps where there is a break in a long record. This will be considered and dealt in a partial data scenario of modeling. Fill in of short data gap by modeling is not feasible. 4.2.2.3 Consistency Test functions Precipitation • Graphical Plot of Data for multiple stations for checking spatial variability • Double Mass Curve Discharge • Graphical Plot of Discharge with time • Graphical Plot of discharge with respect to any adjacent basin upstream or downstream (if homogenous) / rainfall • Residual series plot • Trend line Plot • Moving Average • Flow Mass curve • Student t – test and f – test 4.2.2.4 Hind-casting of streamflow records where precipitation data is available Two methods will be used for hind casting a) River flow reconstruction from climate time series i. Monthly water balance models using climatic data (monthly precipitation and potential evaporation) and conceptually describing land phase of hydrological processes. ii. Calibrating the parameters of these models using short term naturalized flow data and using these parameters to hind cast the naturalized flow data knowing the climatic parameters. Recommended Model – Model E iii. GIS based semidistributed rainfall-runoff models calibrated using short record and used to hind cast flows for the period for which hydrometerological data is available for the given land use pattern. Recommended Model – MWSWAT
  • 317.
    Project: Development ofHydrological Design Aids (Surface Water) under HP-II Document: 2009097/WR/REP-02 July 2010 State of the Art Report Revision: R0 4-6 WATER RESOURCES iv. Regression models for developing monthly/ seasonal/ annual relationship between the concurrent rainfall and naturalized flows and using these models to hind cast flows knowing earlier rainfall data. Recommended Model – In-house b) River flow reconstructions from other river flow series i. Identify the nearest donor catchment with similar hydrological properties Measures of comparisons are Common meteorological event, similar catchment area, soil, base flow etc. for existing records for the sites for the overlapping time period. ii. Calculate monthly river flows back in time based on regression relationship between existing and donor river flows. The development of reliable regressions requires a fairly large overlap between data series. Recommended Model – In-house 4.2.2.5 Synthetic flow generation • ACF and PACF Analysis to suggest Parsimonious model using AIC criteria. • Use the model to generate equally likely sets of data for a duration equal to minimum length of data acceptable Candidate models – AR, MA, ARMA, Seasonal Recommended Model – In-house 4.2.2.6 Naturalisation of flow i. A database of naturalised flow estimation based on Water Balance Study undertaken by NWDA will be provided as Design Aid. The results will be used for parameter estimation during study of four identified regional ungauged catchments. The following equation describes the computation of natural flow from observed runoff, utilizations for different uses, effect of storage, evaporation loss and return flows from different uses. R(N) = R(O) + R(IR) + R(D) + R(GW) – R(RI) – R(RD)- R(RG) + S + E (5) Where R(N) – Natural flow, R(O) – Observed flow, R(IR) – Withdrawal for irrigation R(D)- Withdrawal for domestic and industrial requirements R(GW) – Groundwater withdrawal S- Increase in storage of the reservoirs in the basin, E-Net evaporation from the reservoirs R(RI)- Return flow from irrigated areas, R(RD)- Return flow from domestic and industrial withdrawal, R(RG) – Return flow from ground water withdrawal. ii. Assessments of water availability involve simulation of satisfying requirements for water supply diversions, irrigation, and hydroelectric energy generation with respect to other established users in the basin. Basin-wide impacts of water resources development
  • 318.
    Project: Development ofHydrological Design Aids (Surface Water) under HP-II Document: 2009097/WR/REP-02 July 2010 State of the Art Report Revision: R0 4-7 WATER RESOURCES projects and management practices will be modeled. The procedure of naturalization will comprise simulating a river/reservoir/use system involving essentially any stream tributary configuration ; Inter basin transfers of water ; Closed loops such as conveying water by pipeline from a downstream location to an upstream location on the same stream or from one tributary to another tributary ;. Water management/use involving reservoir storage, water supply diversions, return flows, environmental instream flow requirements, hydroelectric power generation, and flood control; Multiple-reservoir system operations and off-channel storage. Recommended Model – WRAP Environmental / Residual Flow In 2001, the Government of India constituted the Water Quality Assessment Authority (WQAA) which in turn constituted, in 2003, a Working Group (WG) to advise the WQAA on ‘minimum flows in rivers to conserve the ecosystem’. Despite the continuous use of the term ‘minimum flow’, the committee made the following recommendations; Himalayan Rivers 1. Minimum flow to be not less than 2.5% of 75% dependable Annual flow expressed in cubic meters per second. 2. One flushing flow during monsoon with a peak not less than 250% of 75% dependable annual flow expressed in cubic meters per second. Other Rivers 1. Minimum flow in any ten daily periods to be not less than observed ten daily flow with 99% exceedance. Where ten daily flow data is not available this may be taken as 0.5% of 75% dependable flow expressed in cubic meters per second. 2. One flushing flow during monsoon with a peak not less than 600% of 75% dependable flow expressed in cubic meters per second. A tool in HDA 1 will be provided to compute the minimum and flushing flows on the basis of the committee’s recommendations. A CD containing the Global Environmental Flow Calculator (GEFC) will be obtained from International Water Management Institute (IWMI) and will be made available to CWC. 4.2.2.7 Rainfall-Runoff modelling With the current trend of advancement in technology, distributed data availability will increase with time. SWAT data requirement is in line with this trend. Therefore, in case of partially gauged and ungauged catchment, MWSWAT is recommended as a distributed rainfall-runoff technique with suitable calibration procedure. MWSWAT will also be used for snowmelt runoff model in conjunction with WINSRM. A monthly lumped Rainfall-Runoff model based on precipitation, soil, evapotranspiration parameters Model E is proposed as a lumped alternate model. HEC-HMS-SMA is recommended as a continuous simulation model
  • 319.
    Project: Development ofHydrological Design Aids (Surface Water) under HP-II Document: 2009097/WR/REP-02 July 2010 State of the Art Report Revision: R0 4-8 WATER RESOURCES Tools for the various processes of HDA-1 Processes Tools suggested Flow naturalisation WRAP, NWDA Water Balance method (in house) Synthetic Flow Generation In house Data validation In house Data gap infilling Inhouse Hind-casting of flow data with Rainfall-Runoff modelling MWSWAT, Model E HEC-HMS Regression Techniques (Inhouse) P-Q and Q-Q (linear,non-linear, multi-linear) Water resources system modelling Hec ResSim River basin modelling WRAP Snowmelt runoff modelling (including segregation into rainfed and snowfed, seasonal and permanent snowline, rainfall and snowfall characteristics) WINSRM Glacier melt runoff modelling WINSRM Technique for assessing the potential impact of climate change MWSWAT Road Map of HDA1 is provided in the next section. The proposed Models description and data requirements are provided as Annexures: SWAT (Annex 4.1) WRAP (Annex 4.2) HEC-HMS SMA (Annex 4.3) Model E (Annex 4.4) HEC ResSim (Annex 4.5) WINSRM Model (Annex 4.6)
  • 320.
    Project: Development ofHydrological Design Aids (Surface Water) under HP-II Document: 2009097/WR/REP-02 July 2010 State of the Art Report Revision: R0 4-9 WATER RESOURCES Development of Flow Series for a Given Basin – HDA1 – ROAD MAP Preprocessing (In-house) Aggregation – Disaggregation Transformation Consistency Tests of discharge and precipitation (In-house) Modeling using precipitation Record Extension by correlation Technique (In- house) Hind casting with precipitation (MWSWAT/HEC- HMS/Monthly Model E / Regression Technique) Flow Series Generation HEC-RESSIM / WRAP (Gauged +Augmented) Fully Gauged Fill in missing data (In-house) Synthetic Flow Analysis (optional) (In-house) Flow Series Generation (Gauged +Augmented +Synthetic) Flow naturalization (WRAP / NWDA (In-house)) Calibration with available discharge data
  • 321.
    Project: Development ofHydrological Design Aids (Surface Water) under HP-II Document: 2009097/WR/REP-02 July 2010 State of the Art Report Revision: R0 4-10 WATER RESOURCES Development of Flow Series for a Given Basin – HDA1 – ROAD MAP Partially Gauged If Long Term Precipitation Record Calibration with available discharge in the basin for all models or adjacent homogenous basin / U/S or D/S basin If Short Term Precipitation Record Preprocessing (In-house) Aggregation – Disaggregation Consistency tests (In-house) Modeling Record Extension by correlation Technique (In-house) or Hind casting with precipitation (MWSWAT/HEC-HMS/ Model E / Regression Technique) Flow Series Generation HEC-RESSIM / WRAP Fill in missing data (In-house) If Flow in Adjacent homogenous Basin is Available If Flow in U/S or D/S Basin Available If no Precipitation Record Flow naturalization (WRAP / NWDA (In-house)) Flow Series Generation (Gauged +Augmented +Synthetic) Synthetic Flow Analysis (optional) (In- house) Rainfall Generator (MWSWAT Reconstruction of Flow
  • 322.
    Project: Development ofHydrological Design Aids (Surface Water) under HP-II Document: 2009097/WR/REP-02 July 2010 State of the Art Report Revision: R0 4-11 WATER RESOURCES Development of Flow Series for a Given Basin – HDA1 - ROAD MAP UnGauged If Long Term Precipitation Record is Available Calibration with naturalized available discharge in the adjacent homogenous If Short Term Precipitation Record Is Available Preprocessing (In-house) Aggregation – Disaggregation Consistency tests (In-house) Modeling Hind casting with precipitation using regional catchment parameters (MWSWAT) Flow Series Generation HEC-RESSIM / WRAP Fill in missing data (In-house) If no Precipitation Record Is Available Flow naturalization (WRAP / NWDA (In-house)) Flow Series Generation (Gauged +Augmented +Synthetic) Synthetic Flow Analysis (optional) (In- house) Rainfall Generator (MWSWAT
  • 323.
    Project: Development ofHydrological Design Aids (Surface Water) under HP-II Document: 2009097/WR/REP-02 July 2010 State of the Art Report Revision: R0 4-12 WATER RESOURCES 4.2.3 Proposed Models- Description and data requirements The most rational approach in finalization of flow series for a water resource project is based on site specific data. In such a case, final yield series can be recommended after validation and processing of flow data. But this is a rare case and most of the time, methods involving regional data in the absence of site-specific data are used. SWAT (Annex 4.1) WRAP (Annex 4.2) HEC-HMS SMA (Annex 4.3) Model E (Annex 4.4) WINSRM Model (Annex 4.5) HEC ResSim (Annex 4.6)
  • 324.
    Project: Development ofHydrological Design Aids (Surface Water) under HP-II Document: 2009097/WR/REP-02 July 2010 State of the Art Report Revision: R0     4‐13      WATER RESOURCES  4.3 Design Flood Estimation (HDA2) 4.3.1 General The present practices in fixing the design flood and approach adopted have been presented for India and many other developed countries in Chapter 2 and 3 along with conclusions. The procedures adopted are based on Hydrometeorological approach and probabilistic approach depending upon the objective of the study, the type of the structure whether large, medium or small dams, Barrage, Weir, C.D works, Bridges etc. and data availability. Regional Flood Frequency Analysis and Hydrometeorological approach using Synthetic Unit Hydrograph are used for estimating design flood for ungauged and partially gauged catchment. 4.3.2 Estimation of PMF and SPF and T year Flood 1. Hydrometeorological Approach The three main steps in determining PMF and SPF as described in clause 2.2.2.4.3 i. Determination of response function of the Basins/Sub-basins ii. Storm analysis of extreme storms to determine PMP and SPS iii. Computation of flood hydrograph Tools will be developed/identified for, i. Development of response function for basins of size less than 5000 km2 which will include determination of T-hour unit hydrograph using storm event and concurrent discharge values, Collin’s method, Nash model, Clark model will form part of tool Data Requirement: a. Catchment plan showing network of meteorological and hydrological stations in and around the catchment b. Data of heavy storms on record c. Concurrent discharge data at or near point of interest d. Short interval automatic recording data of the concurrent storm and flood period. ii. Determination of response function for basins of size less than 5000 km2 using Snyder’s method, Dimensionless unit hydrograph and GIUH where concurrent rainfall and discharge data are not available. Data Requirement: a. Topographic map showing the catchment characteristics and watershed boundaries b. DEM data of the basins for GIUH c. Hydrologic data of adjacent homogeneous basins for dimensionless unit hydrograph iii. Tools for implementation of CWC sub zonal reports. Data Requirement: a. Sub-zonal reports of CWC sub basins
  • 325.
    Project: Development ofHydrological Design Aids (Surface Water) under HP-II Document: 2009097/WR/REP-02 July 2010 State of the Art Report Revision: R0     4‐14      WATER RESOURCES  iv. For storm analysis which includes determination of depth area duration curves, guidelines for storm transposition, storm maximization, barrier adjustment and development of storm hyetograph. Data Requirement: a. Hyetographs for identified recorded rain gauges b. Time distribution of heaviest rain gauge records c. Storm data of about 50 to 100 years for analysis as available d. Coverage area of storm e. Dew point temperature for moisture maximization f. Topographical maps and wind direction maps for barrier adjustment g. Data of snowmelt and temperature v. Tools for IDF curve analysis. Data Requirement: a. Self recording data of station in and around the catchment for various durations and frequencies over the region vi. For determination of Parameters of Muskingum Cunge method of channel routing Data Requirement: a. Discharge (Rating curve) b. Bed slope c. Cross sections d. Roughness coefficient vii. SRM model for snowmelt contribution Data Requirement: a. Daily Temperature b. Daily Precipitation c. Snow cover d. Temperature lapse rate e. Runoff coefficient for snow and rain f. Recession coefficient viii. HEC-RAS model for GLOF routing. Separate tool will be developed for routing in steep slopes. Data Requirement: a. River cross sections b. Longitudinal slope of river c. Rating Curve d. Roughness Coefficient ix. Tool for integrating GLOF with the intermediate catchment runoff. x. For computation of flood hydrograph HEC-HMS model have been identified From this model the following available features will be used in HDA2,
  • 326.
    Project: Development ofHydrological Design Aids (Surface Water) under HP-II Document: 2009097/WR/REP-02 July 2010 State of the Art Report Revision: R0     4‐15      WATER RESOURCES  Loss models a. Deficit and Constant b. Exponential c. Green and Ampt d. Gridded deficit Constant e. Gridded SCS curve number f. Gridded soil moisture accounting g. Initial and constant h. SCS curve number i. Soil moisture accounting Data Requirement: i. Flood flow volumes of heavy floods with duration of flood ii. Soil type iii. Catchment characteristics iv. Slope Transform methods a. Clark Unit Hydrograph b. Kinematic Wave c. ModClark d. SCS Unit Hydrograph e. Snyder Unit Hydrograph f. User specified S-graph g. User specified Unit Hydrograph Data Requirement: i. Hourly concurrent hyetograph of recording stations ii. Discharge data Assessment of Baseflow a. Bounded recession b. Constant monthly c. Linear reservoir d. Nonlinear Boussinesq e. Recession Data Requirement: i. Discharge data preceding and succeeding the flood periods Routing Models a. Kinematic wave b. Lag method c. Modified Puls d. Muskingum e. Muskingum-Cunge Data Requirement: i. River cross sections upto high banks on both sides
  • 327.
    Project: Development ofHydrological Design Aids (Surface Water) under HP-II Document: 2009097/WR/REP-02 July 2010 State of the Art Report Revision: R0     4‐16      WATER RESOURCES  ii. Roughness coefficient iii. River bed slope iv. Historic high flood levels and discharges 2. Probabilistic Approach The different steps involved as shown in clause 2.2.2.4.2 are, i. Data Processing ii. Parameter Estimation for different distributions (Normal, Lognormal 2 and 3, Pearson III, Log Pearson III, Gumbel and GEV) using Method of moments, method of maximum likelihood, Probability weighted moments and L-moments approach iii. Goodness of fit tests to find the best fit distribution iv. T-year flood calculation using the selected best fit distribution v. Graphic representation of original series and selected distribution with its confidence bands Tools will be developed/identified for, i. Tools for data mean, SD, skewness, kurtosis and detection of outliers. ii. Tools will be developed for parameter estimation of four identified parameter estimation techniques (Method of moments, method of maximum likelihood, Probability weighted moments and L-moments approach) for Normal, Lognormal, Pearson III, Log Pearson III, Gumbel and GEV distributions. iii. Tools for 4 (Chi-square, KS test, Cramer Von Mises and ADC) Goodness of fit tests iv. Interface will be developed for graphic representation of best fit distribution and original series with confidence band Data Requirement: a. Annual peak discharge series of not less than 15 years, 30-50 years desirable 3. Regional Flood frequency Analysis The identified commonly used RFFA methods as given in clause 2.2.2.4.4 are, 1. USGS Method 2. Pooled Curve Method 3. Analytical Method 4. L-moments Approach Tools will be developed/identified for, i. Tools to implement L-moment approach of RFFA analysis ii. Tools for USGS method and Pooled curve method iii. Tools for identification of region of influence (ROI) of the Ungauged basins as shown in Annexure 2.2-5
  • 328.
    Project: Development ofHydrological Design Aids (Surface Water) under HP-II Document: 2009097/WR/REP-02 July 2010 State of the Art Report Revision: R0     4‐17      WATER RESOURCES  Data Requirement: a. Annual peak discharge series of the region of not less than 15 years, 30-50 years desirable b. Rainfall pattern in different regions 4. Design Flood using Empirical Formula and Envelope Curves i. Tools for all empirical formulae mentioned in Annexure 2.2-2 ii. Tools for estimation of design flood from updated CWC envelope curves as mentioned in clause 2.2.2.4.1 Data Requirement: a. Catchment area and rainfall of the catchment 4.3.3 Urban and Agricultural Catchments • Urban Catchment Tool for Rational method Kinematic wave model of HEC-HMS Data Requirement: a. Catchment characteristics, roughness coefficient, slopes and rainfall • Agricultural Catchment SCS Curve number method of HEC-HMS Tool for rational method Data Requirement: a. Catchment characteristics, landuse, slopes and rainfall
  • 329.
    Project: Development ofHydrological Design Aids (Surface Water) under HP-II Document: 2009097/WR/REP-02 July 2010 State of the Art Report Revision: R0     4‐18      WATER RESOURCES  4.3.4 Road Map for Design Flood Estimation (HDA2)      
  • 330.
    Project: Development ofHydrological Design Aids (Surface Water) under HP-II Document: 2009097/WR/REP-02 July 2010 State of the Art Report Revision: R0     4‐19      WATER RESOURCES       
  • 331.
    Project: Development ofHydrological Design Aids (Surface Water) under HP-II Document: 2009097/WR/REP-02 July 2010 State of the Art Report Revision: R0     4‐20      WATER RESOURCES     
  • 332.
    Project: Development ofHydrological Design Aids (Surface Water) under HP-II Document: 2009097/WR/REP-02 July 2010 State of the Art Report Revision: R0     4‐21      WATER RESOURCES       
  • 333.
    Project: Development ofHydrological Design Aids (Surface Water) under HP-II Document: 2009097/WR/REP-02 July 2010 State of the Art Report Revision: R0   4-22 WATER RESOURCES   4.4 Sediment Rate Estimation (HDA3) The reservoir sedimentation practices followed in India and other countries around the world have been highlighted in chapters 2 and 3. As indicated earlier, the analysis and modelling of sedimentation requires a range of data. Some of the required data is specific to the site and is collected as part of a site investigation, such as the bathymetry of the reservoir and the physical catchment characteristics. In addition, however, any analysis or modelling requires data such as flow regimes and typical sediment loads. Such variables are subject to long term fluctuations and so long time series data is required. This is rarely available at the site and usually data has to be used from some other location where data has been collected on a routine basis for a long time period. The routine collection of flow and sediment data varies throughout the world both in terms of the density of data, the variables measured, the measurement methods used and the quality of the data. Thus, analysis methods and models that can be readily applied in some areas of the world as there is a long record of suitable data may be inappropriate for other parts of the world due to the paucity of the necessary data. 4.4.1 Estimation of Sediment Yield: The sedimentation rate in India is estimated using empirical formula, actual observed data and reservoir sedimentation survey. The recommended BIS (12182-1987) and CBIP (Murthy, 1995) Publication No.89 have been widely used for reservoir planning. In India, Central Water Commission collects sediment data covering almost all main river basins of the country. The CWC has collected data through observations at 466 sites. For some sites the period for which data is available is quite large say 40 to 50 years. In addition the sediment data is also collected by the state governments on river systems in their respective territories. Thus there is enough data to estimate both the average annual sediment yield and also the distribution of annual sediment yields. There are also situations where the gauging stations provide nested systems of catchments. In these situations data can be used to identify the contribution to the total sediment yield from individual sub-catchments. Though this data is extremely useful and is recommended to be fully used for estimation of sediment rate, the data need to be interpreted with care. The sediment measurements are, in general, based on bottle sample taken from near the water surface. In general, the suspended sediment concentration varies with depth, with the sediment concentration being greatest at the lower levels. This means that the measurement may under estimate the suspended sediment concentrations. The data provides an excellent resource for estimating sediment yield directly. It is emphasized that in estimating sediment yields as long a record as possible should be used. In addition to the sediment observations, Reservoir resurvey data also provides an excellent source for determining sediment yield rates. Central Water Commission has compiled the resurvey results of 144 reservoirs in the country. The reservoir resurvey data helps to access the annual or seasonal rate and dividing it by the trap efficiency gives the sediment yield. These results are then extrapolated judiciously to the case of reservoir under design. The sediment yield depends on catchment area, the average catchment slope, the lithology of the catchment, the land use, the drainage density, the annual/seasonal precipitation and storm events etc. There are a number of empirical methods developed in USA and still used worldwide to assess sediment erosion, including the Universal Soil Loss Equation (USLE), MUSLE, Revised Universal Soil Loss Equation (RUSLE). Some work has been done in India and certain empirical relations have
  • 334.
    Project: Development ofHydrological Design Aids (Surface Water) under HP-II Document: 2009097/WR/REP-02 July 2010 State of the Art Report Revision: R0   4-23 WATER RESOURCES   been developed linking annual sediment yield with some of these parameters. Garde and Kothyari (1987) developed a relationship(as discussed in chapter 2) for average annual sediment yield from 50 catchments from different parts of India covering a wide range of pertinent variables. Such relations can be developed for different regions of the country and used for sediment yield assessment in geographical locations for which no data is available. GIS technique will be used for assessment of physiographic parameters and land use pattern. With the increase in computer power, it has been possible to develop spatially distributed models of soil erosion that can predict sediment yield. Physically based models that simulated both sediment detachment and transport processes coupled with fluvial routing methods have been developed. Such models require extensive spatial input data and as such their use is still limited. Commonly used physically based models such as AGNPS, ANSWERS, CREAMS, SEDIMONT and WEPP estimate soil erosion at a plot scale. When these are applied to large catchments it is normally found that they significantly over estimate the actual sediment yield. In most reservoir applications one is interested in long-term simulations and so long-term continuous simulation models such as AnnAGPS, ANSWERS-Continuous, HSPF, MIKE-SHE and SWAT are of greater value. ANSWERS-Continuous does not include channel erosion and sediment transport so would not be suitable for applications to determine sediment yield. MIKE-SHE particularly is computationally demanding and so may not be practical for long-term simulations of medium to large catchments. However, models like MWSWAT which are freely available can be used where required data is available. Such models will need to be used in GIS platform and with the data available in WRIS, such technique are proposed to be used. 4.4.2 Distribution of Sediment in Reservoirs: The portion of the sediment yield that will be trapped in a proposed reservoir and its likely distribution in the reservoir is worked out, at present, using empirical methods developed in USA during 1950’s and 1960’s. These methods do not take all the processes and details of the nature of sediment into account and should be used to make preliminary assessment of reservoir sedimentation. It is increasingly common to use numerical models to predict reservoir sedimentation. Frequently the purpose of the model is to predict the long-term loss of storage. For reservoirs to be economic the required life of the storage is often of the order of 100 years or more. In these circumstances there is a need to run such numerical models to simulate periods of time of the order of 100 years. Until recently this could only be achieved by the use of one-dimensional models (1-D) in which variables depend only on the chainage along the reservoir. With the recent advances in computer power the application of 2-D and 3-D models are becoming possible. There are now a number of general 1-D river models that can simulate sediment movement and deposition, for example, Mike 11, InfoWorks and HEC-RAS. Such models can be used to simulate reservoir sedimentation. Numerical models are becoming a useful tool to predict sediment transport and deposition. Numerical models solve the mass transport equation for transported sediment and the mass conservation equation for bed sediment for which the hydraulic field is solved first. One-dimensional mathematical models like HEC-RAS which are widely used and are freely available could be used to analyze sediment transport along reaches of rivers or in reservoirs where the essential transport processes can be simulated with a one-dimensional flow field. They are applied to problem of sediment accumulation in reservoirs as a function of the operating regime and sediment passing through and over the dams.
  • 335.
    Project: Development ofHydrological Design Aids (Surface Water) under HP-II Document: 2009097/WR/REP-02 July 2010 State of the Art Report Revision: R0   4-24 WATER RESOURCES   One-dimensional models solve the unsteady, cross-sectionally averaged equation for the mass balance of transported sediment. 4.4.3 Proposed Road Map - HDA 3: The detail road map for estimation of reservoir sedimentation rate and distribution is presented below:
  • 336.
    Project: Development ofHydrological Design Aids (Surface Water) under HP-II Document: 2009097/WR/REP-02 July 2010 State of the Art Report Revision: R0   4-25 WATER RESOURCES   The tools to be developed for the proposed HDA-3 are discussed below: 1. Tool will be developed in-house for covering procedures for assessing silt rate using observed data (a) Observed silt data- Development of sediment rating curves and flow duration curves (b) Resurvey data- Assessment of rate using appropriate trap efficiencies. 2. Developing regional empirical models like Garde & Kothyari (1987) as discussed in chapter-2 For estimation of the sediment yield using the empirical relationship, various geographical parameters such as land use, topographical factors, drainage density etc. will be generated using Geographic Information System (GIS) technique. Available discharge, sediment and rainfall data will be used for analysis. Such relations will be developed for four identified river systems. Tools will be developed in house to use such relations in ungauged catchments. . 3. Tool for determination of sediment yield from various sub-basins using MWSWAT The development of procedures for assessing sediment yield from various sub-basins is not explicitly mentioned in the Road Map. However, attempt will also be made to use spatially distributed model MWSWAT which could be calibrated with observe data downstream of the point of interest and used for assessing sediment yield at the project site and in various sub- areas using spatial nature of the analysis. MWSWAT is graphical user interface for the SWAT (Soil and Water Assessment Tool) model. SWAT is a semi-distributed model that operates on a daily time step. In order to adequately simulate hydrologic processes in a basin, the basin is divided into sub-basins through which streams are routed. The subunits of the sub-basins are referred to as hydrologic response units (HRU’s) which are the unique combination of soil and land use characteristics and are considered to be hydrologically homogeneous. The model calculations are performed on a HRU basis and flow and water quality variables are routed from HRU to sub-basin and subsequently to the watershed outlet. The SWAT model simulates hydrology as a two- component system, comprised of land hydrology and channel hydrology. The land portion of the hydrologic cycle is based on a water mass balance. Soil water balance is the primary considerations by the model in each HRU, which is represented as (Arnold et al., 1998) The SWAT watershed model also contains algorithms for simulating erosion from the watershed. Erosion is estimated using the Modified Universal Soil Loss Equation (MUSLE). MUSLE estimates sediment yield from the surface runoff volume, the peak runoff rate, the area of the HRU, the Universal Soil Loss Equation (USLE) soil erodibility factor, the USLE cover and management factor, the USLE support practice factor, the USLE topographic factor, and a coarse fragment factor. After the sediment yield is evaluated using the MUSLE equation, the SWAT model further corrects this value considering snow cover effect and sediment lag in surface runoff. The SWAT model also calculates the contribution of sediment to channel flow from lateral and groundwater sources. Eroded sediment that enters channel flow is simulated in the SWAT model to move downstream by deposition and degradation (Neitsch et al., 2001a). Large-area simulations are possible due to the advances in computer software and hardware, including speed and storage, GIS/spatial analysis and debugging tool software. In the Indian
  • 337.
    Project: Development ofHydrological Design Aids (Surface Water) under HP-II Document: 2009097/WR/REP-02 July 2010 State of the Art Report Revision: R0   4-26 WATER RESOURCES   data scenario, the sources of various parameters that are required for Modelling by SWAT are described below : The SWAT model requires the data on terrain, landuse, soil and weather for assessment of sediment yield at desired locations of the drainage basin. The data includes both, the static data and the dynamic data. Spatial Data Spatial data required for modeling include: Contours - 1:50,000 (or as appropriate) scale contour data is available from the Survey of India (toposheets) which can be processed, digitized and georeferenced. Drainage Network (Same manner as above). Open Source software can be applied to transform the contour data into a DEM. This DEM can be used to determine general patterns of drainage and demarcating watersheds. SRTM data available on internet can also be used for this purpose. D.E.M could be directly obtained from WRIS Land Cover/Land Use Data The suggested sources of Land use data can be: Classified land cover using remote sensing Classified land cover data produced by the University of Maryland Global Landcover Facility using remote sensing with resolution of 1 km grid cell. Soil Map The data for soil can be obtained from: FAO Digital Soil Map of the World and Derived Soil properties with a resolution of 1:5,000,000 Soil map from National Bureau of Soil Survey and Land Use Planning (NBSS&LUP) Climate The climate variables required by SWAT consist of daily precipitation, maximum / minimum air temperature, solar radiation, wind speed and relative humidity. The sources of information are: Quantitative daily data from Weather Observatory of IMD High resolution daily gridded (1 X 1 degree Lat Long ) interpolated rainfall data of India are available from National Climate Centre (NCC), IMD Pune. 4. Estimation of Trap Efficiency : Trap efficiency is generally estimated using empirical relation (Brune curve) based on data collected in USA. Attempt will be made to revised these relations using Indian data.
  • 338.
    Project: Development ofHydrological Design Aids (Surface Water) under HP-II Document: 2009097/WR/REP-02 July 2010 State of the Art Report Revision: R0   4-27 WATER RESOURCES   Sediment inflow & reservoir resurvey data will be used to revised empirical relation (Brune curve) 5. Sediment Distribution in Reservoir: Attempt will be made for developing empirical methods for sediment distribution based on Indian reservoir data and tool will be developed for using such relation Reservoir resurvey data will be used to develop empirical relationships for predicting sediment distribution pattern in reservoirs. 6. Sediment Transport and Deposition: Identified 1-D numerical tool e.g. HEC-RAS for assessing sediment transport & deposition in rivers where cross section data is available. HEC-RAS now has basic sediment transport capabilities. RAS utilizes quasi-steady hydrodynamics and one of several transport equations to solve the sediment continuity equation. Sediment surpluses and deficits are modified with temporal and physical constraints and translated into bed aggradation and degradation. After each computational time step the RAS geometry file is updated based on bed elevation changes for the hydrodynamics and sediment potential computations to use during the next time step. The model has generally performed well in testing against HEC-6 and flume data, but can differ slightly from HEC-6 in certain conditions due to minor differences in hydraulics. RAS includes a convenient user interface to specify the necessary data for a sediment analysis and a wide range of available outputs for analyzing a simulation.
  • 339.
  • 340.
    Annex 4.1 A4-1 WATERRESOURCES SWAT Model The Soil and Water Assessment Tool (SWAT) model (Arnold et al., 1998) developed by Agricultural Research Service, Blackland, Texas, USA is a river basin or watershed scale distributed parameter and continuous time simulation model. SWAT is a distributed parameter model with an Arc View GIS interface (AVSWAT) / Map Window interface for the pre and post processing of data The SWAT model has been developed to predict the response to natural inputs as well as the manmade interventions on water and sediment yields. Rather than incorporating regression equation to describe the relationship between input and output variables, SWAT requires specific information about weather, soil properties, topography, vegetation and land management practices in the watershed. The model can be described as (a) physically based ; (b) uses readily available inputs; (c) is computationally efficient to operate and (d) is continuous time and capable of simulating long periods for computing the effects of management changes. The model has the capability of being used for watersheds as well as major river systems. The reliable estimates of runoff from ungauged catchments can be made by linking parameter values to catchment characteristics. The major advantage of the SWAT model is that unlike the other conventional conceptual simulation models it does not require much calibration and therefore can be used on ungauged watersheds. For modeling purposes, a macro-watershed or catchment is considered to be made up of a number of watersheds. The use of a number of discrete watersheds in a simulation is particularly beneficial when different areas of the macro-watershed are dominated by land uses or soils different enough in properties to have different impacts on the hydrological response. Within SWAT input information for each watershed is grouped with respect to weather, unique areas of land cover, soil, and management, and each of this unique combination is called a hydrologic response unit or HRU (the basic modeling unit). The main components of SWAT are : CREAMS (Chemicals, runoff and erosion from Agricultural management system) is a field scale model designed to simulate the impact of land management on water, sediment, nutrients and pesticides. GLEAMS (Groundwater loading effects on Agricultural management system) is a non- point source model which focuses on pesticide and nutrient groundwater loadings. EPIC (Erosion Productivity Impact calculator) is an agricultural management, field scale non-point source loading model. The SWAT has the following functionalties: • Simultaneous computation on several subbasins to predict basin water yield. • Ground water or return flow component • Reservoir storage component to calculate the effect of farm, ponds and reservoirs on water and sediment yield. • Weather simulation model incorporating data from rainfall, solar radiation and temperature to facilitate long term simulations and provide temporally and spatially representative weather. • Flow routing component • Sediment transport component to simulate sediment movement through ponds, reservoirs, streams and valleys.
  • 341.
    Annex 4.1 A4-2 WATERRESOURCES • Calculation of transmission losses • Routing multiple output through channels and reservoirs Brief Theoretical Basis of the SWAT model In the SWAT model, simulation of the hydrology of a watershed can be separated into two major segments. The first segment is the land phase of the hydrologic cycle. The land phase of the hydrologic cycle controls the amount of water, sediment, nutrient and pesticide loadings to the main channel in each sub-watershed. The second segment is the routing phase of the hydrologic cycle which can be defined as the movement of water, sediments, etc. through the channel network of the watershed to the outlet. Simulation of hydrology is split into two major divisions. The first division is the land phase of the hydrologic cycle and the second division is the water or routing phase though the canal network of the watershed. Fig.9 HRU/Subbasin Command Loop Landphase of the Hydrologic Cycle As precipitation descends, it may be intercepted and held in the vegetation canopy or fall on the soil surface. Water on the soil surface will infiltrate into the soil profile or flow overland as runoff. Runoff moves relatively quickly toward a stream channel and contributes to short-term stream response. Infiltrated water may be held in the soil and later evapotranspired or it may slowly make its way to the surface-water system via underground paths. The hydrologic cycle as simulated by SWAT
  • 342.
    Annex 4.1 A4-3 WATERRESOURCES SWt = SW0 + ∑ Rday – Q surf – Ea – wseep – Qgw Where, SWt = final soil water content, SW0 = initial soil water content on day i, Rday = amount of precipitation on day I, Q surf = amount of surface runoff on day I, Ea = amount of evapotranspiration on day i, wseep = amount of water entering the vadose zone, from the soil profile on day i, Qgw = amount of return flow on day i. The potential pathways of water simulated by SWAT in HRU are illustrated in Fig.9 Fig.10 Schematic of pathways available for water movement in SWAT Canopy Storage Canopy storage is the water intercepted by vegetative surfaces (the canopy) where it is held and made available for evaporation. When using the curve number method to compute surface runoff, canopy storage is defined in terms of initial abstraction. This variable also includes surface storage and infiltration prior to runoff and is estimated as 20% of retention parameter value for a given day. However, if Green & Ampt are used to model infiltration and runoff, canopy storage must be modeled separately. SWAT allows the user to input the maximum amount of water which can be stored in the canopy at the maximum leaf area index for the land cover. This value and the leaf area index are used by the model to compute the maximum storage at any time in the growth cycle of the land cover/crop. When evaporation is computed, water is first removed from canopy storage. Redistribution: Redistribution refers to the continued movement of water through a soil profile after input of water (via precipitation or irrigation) has ceased at the soil surface. Redistribution is caused by differences in water content in the profile. Once the water content throughout the entire profile is uniform, redistribution will cease. The
  • 343.
    Annex 4.1 A4-4 WATERRESOURCES redistribution component of SWAT uses a storage routing technique to predict flow through each soil layer in the root zone. Downward flow, or percolation, occurs when field capacity of a soil layer is exceeded and the layer below is not saturated. The flow rate is governed by the saturated conductivity of the soil layer. Movement of water from a subsurface layer to an adjoining upper layer may occur when the water content of the lower layer exceeds field capacity. The soil water to field capacity ratios of the two layers regulates the upward movement of water. Redistribution is also affected by soil temperature. If the temperature in a particular layer is 0C or lower, no redistribution is allowed from that layer. Potential Evapotranspiration: Potential evapotranspiration is the rate at which evapotranspiration would occur from a large area completely and uniformly covered with growing vegetation which has access to an unlimited supply of soil water. This rate is assumed to be unaffected by micro-climatic processes such as advection or heat-storage effects. The model offers three options for estimating potential evapotranspiration besided the user defined option of providing PET applying any other method : Hargreaves (Hargreaves and Samani5, 1985), Priestley-Taylor (Priestley and Taylor6,1972), and Penman-Monteith (Monteith7, 1965). The Hargreaves method requires air temperature, while Priestley-Taylor method solar radiation, air temperature and relative humidity and Penman-Monteith requires solar radiation, air temperature, relative humidity and wind speed. Actual Evapotranspiration: SWAT evaporates any rainfall intercepted by the plant canopy. Next, it calculates the maximum amount of transpiration and maximum amount of sublimation/soil evaporation. The actual amount of sublimation/evaporation from the soil is then calculated. If snow is present in the HRU, sublimation will occur. Only when snow is not present, evaporation from the soil will take place. Subsurface Flow: Lateral subsurface flow, or interflow, is streamflow contribution which originates below the surface but emerges above the zone where rocks are saturated with water. Lateral subsurface flow in the soil profile (0-2m) is calculated simultaneously with redistribution. A kinematic storage model is used to predict lateral flow in each soil layer. The model accounts for variation in conductivity, slope and soil water content. It also allows for flow upward to an adjacent layer or to the surface. Surface Runoff: Surface runoff, or overland flow, is flow that occurs along a sloping surface. Using daily rainfall amounts, SWAT simulates surface runoff volumes and peak runoff rates for each HRU. Surface runoff volume is computed using a modification of the SCS curve number method. (USDA Soil Conservation Service, 1972). The curve number varies non-linearly with the moisture content of the soil. The curve number drops as the soil approaches the wilting point and increases to near 100 as the soil approaches saturation. SWAT includes a provision for estimating runoff from frozen soil where a soil is defined as frozen if the temperature in the second soil layer is less than 0°C. The model increases runoff for frozen soils but still allows significant infiltration when the frozen soils dry up. Peak runoff rate: predictions are made with a modification of the rational method. In brief, the rational method is based on the idea that if a rainfall of intensity i begins instantaneously and continues indefinitely, the rate of runoff will increase until the time
  • 344.
    Annex 4.1 A4-5 WATERRESOURCES of concentration, tc, when all of the sub-basin is contributing to flow at the outlet. In the modified Rational Formula, the peak runoff rate is a function of the proportion of daily precipitation that falls during the time of concentration of the subbasin tc, and the daily surface runoff volume. The proportion of rainfall occurring during the subbasin tc is estimated as a function of total daily rainfall using a stochastic technique. The subbasin time of concentration is estimated using Manning’s Formula considering both overland and channel flow. Ponds/Tanks: Ponds/Tanks are water storage structures located within a subbasin which intercept surface runoff. The catchment area of a pond is defined as a fraction of the total area of the subbasin. When the catchment area fraction is equal to 1.00, the pond is assumed to be located at the outlet of the subbasin on the main channel. If the catchment area fraction is less than 1.00, the pond is assumed to be located on a minor tributary within the subbasin. Pond water storage is a function of pond capacity, daily inflows and outflows, seepage and evaporation. Ponds are assumed to have only emergency spillways. Required inputs are the storage capacity and surface area of the pond when filled to capacity. Surface area below capacity is estimated as a non-linear function of storage. Tributary Channels: Two types of channels are defined within a subbasin: the main channel and tributary channels. Tributary channels are minor or lower order channels branching off the main channel within the subbasin. Each tributary channel within a subbasin drains only a portion of the subbasin and does not receive groundwater contribution to its flow. All flow in the tributary channels is released and routed through the main channel of the subbasin. Transmission Losses: Transmission losses are losses of surface flow via leaching through the streambed. This type of loss occurs in ephemeral or intermittent streams where groundwater contribution occurs only at certain times of the year, or not at all. SWAT uses Lane’s method (USDA Soil Conservation Service9, 1983) to estimate transmission losses. Water losses from the channel are a function of channel width and length and flow duration. Both runoff volume and peak rate are adjusted when transmission losses occur in tributary channels. Return Flow Return flow, or base flow, is the volume of streamflow originating from groundwater. SWAT partitions groundwater into two aquifer systems: a shallow, unconfined aquifer which contributes return flow to streams within the watershed and a deep, confined aquifer which contributes return flow to streams outside the watershed (Arnold et al.10, 1993). Water percolating past the bottom of the root zone is partitioned into two fractions—each fraction becomes recharge for one of the aquifers. In addition to return flow, water stored in the shallow aquifer may replenish moisture in the soil profile in very dry conditions or be directly removed by plant uptake (only trees may uptake water from the shallow aquifer). Water in the shallow aquifer may also seep into the deep aquifer or be removed by pumping. Water in the deep aquifer may be removed by pumping. Management Practices: SWAT model allows the user to define management practices taking place in every HRU. The user may define the beginning and the ending of the growing season, specify timing and amounts of fertilizer, pesticide and irrigation applications as well as timing of tillage operations. At the end of the growing season, the biomass may be removed from the HRU as yield or placed on the surface as residue. In addition to these basic management practices, operations such as grazing, automated fertilizer and water applications, and incorporation of every conceivable management
  • 345.
    Annex 4.1 A4-6 WATERRESOURCES option for water use are available. The latest improvement to land management is the incorporation of routines to calculate sediment and nutrient loadings from urban areas. Crop Rotations: The dictionary defines a rotation as the growing of different crops in succession in one field, usually in a regular sequence. A rotation in SWAT refers to a change in management practices from one year to the next. There is no limit to the number of years of different management operations specified in a rotation. SWAT also does not limit the number of land cover/crops grown within one year in the HRU. However, only one land cover can be growing at any one time. Water Use: The two most typical uses of water are for application to agricultural lands or use as a town's water supply. SWAT allows water to be applied on an HRU from any water source within or outside the watershed. Water may also be transferred between reservoirs, reaches and subbasins as well as exported from the watershed. Return Flow: Return flow or base flow is the volume of streamflow originating from groundwater. SWAT partitions groundwater into two aquifer systems : a shallow unconfined aquifer which contributes return flow to streams within the watershed and a deep confined aquifer which contributes return flow to streams outside the watershed. Water percolating past the bottom of the root zone is partitioned into two fractions – each fraction becomes recharge for one of the aquifers. In addition to return flow, water stored in the shallow aquifer may replenish moisture in the soil profile in very dry condition or directly removed by plant. Water in the shallow or deep aquifer may be removed by pumping. Routing Phase of the Hydrologic Cycle Flood Routing As water flows downstream, a portion may be lost due to evaporation and transmission through the bed of the channel. Another potential loss is removal of water from the channel for agricultural or human use. Flow may be supplemented by the fall of rain directly on the channel or addition of water from point source discharges. Flow is routed through the channel using a variable storage coefficient method developed by Williams (1969) or Muskingum routing method. Reservoir routing The water balance for reservoirs include inflow, outflow, rainfall on the surface, evaporation, seepage from the reservoir bottom and diversions. The model provides three alternatives for estimating outflow from the reservoir. The first method simply reads in measured outflow and allows the model to simulate the other components of the water balance. The second method is for small uncontrolled reservoirs, and outflow occurs at a specified release rate when volume exceeds the principle storage. Volume exceeding the emergency spillway is released within one day. For larger managed reservoirs, a monthly target volume approach is used. Water transfer and management For large basins it may be necessary to simulate water transfer. The transfer algorithm allows water to be transferred from any reach or reservoir to any other reach or reservoir in the watershed. It will also allow water to be diverted and applied directly to irrigate a subwatershed. There are four main steps to the algorithm: 1. Compute the maximum amount of water that can be transferred. This is the volume of water in the reservoir or the daily flow in the channel reach.
  • 346.
    Annex 4.1 A4-7 WATERRESOURCES 2. Compute the amount that is actually transferred.There are currently three options for determining the actual transfer amount: (a) specify the fraction of flow or volume to divert (0-1); (b) specify the minimum flow or volume remaining in the channel or reservoir after the water has been transferred;and (c) specify a daily amount to be diverted. More complex rules could be incorporated such as multiple destinations from multiple sources. An expert system may be appropriate for complex systems regarding order and amount to multiple destinations based on land use, previous weather conditions, soil water contents, reservoir levels, legal flow limits, etc. 3. Transfer the water to the destination. If the destination is a reach or reservoir, the actual transfer amount is added to the current storage in the reach or reservoir. If the destination is a subwatershed, a threshold must be reached before water is transferred and irrigation begins. If soil water content or crop stress drops below the input threshold, irrigation occurs. 4. Remove the water from the departure channel or reservoir. This is done by simply subtracting the actual transfer amount, or AIR, from the volume of water in the reservoir or the daily flow in the reach. 5. Once SWAT determines the loadings of water, sediment, nutrients and pesticides to the main channel, the loadings are routed through the stream network of the watershed using a command structure similar to that of HYMO (Williams and Hann13, 1972 SWAT is a long term water and sediment yield model that operates on a daily time step. Daily precipitation is input to the model and an empirical (curve number) equation is applied to daily rainfall without accounting for intensity. Some of the advantages of the choice of curve number approach are : • Breakpoint rainfall (less than one day increments) is not readily available and is difficult to process, Storm disaggregation models have been developed (Obeysekera et at., 1987); however, they are stochastic with respect to intensities and often require inputs that are not readily available. • Subbasins are often relatively large (several km2) when simulating large river basins. It is relatively easy to obtain a weighted curve number and realistically simulate runoff. However, it is more difficult to "lump" saturated conductivity (a critical soil property for infiltration equations) since it can vary spatially by o;-ders of magnitude over relatively short distances. • Soils data is often not available with sufficient spatial detail for large basins to justify using an infiltration equation. • It relates runoff to soil type, land use, and management practices. Some of the limitations of SWAT are : • It is computationally difficult. • One of the major limitations to large area hydrologic modeling is the spatial variability associated with precipitation. • SWAT does not simulate detailed event-based flood and sediment routing. It was developed to predict agricultural management impacts on long-term (hundreds of years) erosion and sedimentation rates. The model operates on a daily time step, although a shorter and more flexible time increment would be a major enhancement to the model.
  • 347.
    Annex 4.1 A4-8 WATERRESOURCES • Reservoir routing was originally developed for small reservoirs and assumes well-mixed conditions. The reservoir outflow calculations are simplistic and do not account for controlled operation. SWAT is currently being utilized in several large area projects. SWAT provides the modeling capabilities of the HUMUS (Hydrologic Unit Model of the United States) project (Srinivasan et at., 1993). The HUMUS project simulates the hydrologic budget (Arnold et at., 1996) and sediment movement for approximately 2,100 8-digit hydrologic unit areas that have been delineated by the USGS. SWAT software and MWSWAT interface are public domain softwares with support provided through the SWAT user web site and several user groups. Data Requirement - MWSWAT In the Indian data scenario, the sources of various parameters that are required for Modelling by SWAT are described below : The SWAT model requires the data on terrain, landuse, soil and weather for assessment of water resources availability at desired locations of the drainage basin. The data includes both, the static data and the dynamic data which are: Contours - 1:50,000 (or as appropriate) scale contour data is available from the Survey of India (toposheets) which can be processed, digitized and georeferenced. Drainage Network (Same manner as above). Open Source software can be applied to transform the contour data into a DEM. This DEM can be used to determine general patterns of drainage and demarcating watersheds. SRTM data available on internet can also be used for this purpose. Land Cover/Land Use Data The suggested sources of Land use data can be: Classified land cover using remote sensing Classified land cover data produced by the University of Maryland Global Landcover Facility using remote sensing with resolution of 1 km grid cell. Soil Map The data for soil can be obtained from: FAO Digital Soil Map of the World and Derived Soil properties with a resolution of 1:5,000,000 Soil map from National Bureau of Soil Survey and Land Use Planning (NBSS&LUP) Climate The climate variables required by SWAT consist of daily precipitation, maximum / minimum air temperature, solar radiation, wind speed and relative humidity. The sources of information are: Quantitative daily data from Weather Observatory of IMD High resolution daily gridded (1 X 1 degree Lat Long ) interpolated rainfall data of India are available from National Climate centre (NCC), IMD Pune. SWAT snowmelt Model SWAT classifies precipitation as rain or snow by daily air temperature. If the mean daily air temperature is less than the boundary temperature, the precipitation within the HRU is classified as snow and the water equivalent of snow precipitation is added to the snow pack. The input variables for snow cover are Mean air temperature at which precipitation
  • 348.
    Annex 4.1 A4-9 WATERRESOURCES is equally likely to be as rain or snow, threshold depth above which there is 100% cover, Initial snow content. Snowmelt is controlled by air and snow pack temperature, the melting rate and the areal coverage of snow. The input parameters are snow temperature lag factor, threshold temperature for snowmelt and melt factors.
  • 349.
    Annex 4.2 A4-10 WATERRESOURCES Water Rights Analysis Package (WRAP) The original Water Rights Analysis Package WRAP, initially called TAMUWRAP, stemmed from a 1986-1988 research project at Texas A&M University, entitled Optimizing Reservoir System Operations, which was sponsored by a federal/state cooperative research program administered by the U.S. Geological Survey and Texas Water Resources Institute. Major improvements in the model were accomplished since 1990 and WRAP continued to be expanded and improved till 2009 under Texas Natural Resource Conservation Commission TNRCC/ Texas Commission on Environmental Quality TCEQ and U.S. Army Corps of Engineers Fort Worth District sponsorships . The Water Rights Analysis Package (WRAP) modeling system simulates management of the water resources of a river basin or multiple-basin region under priority-based water allocation systems. In WRAP terminology, river/reservoir system water management requirements and capabilities are called water rights. The model facilitates assessments of hydrologic and institutional water availability/reliability in satisfying requirements for instream flows, water supply diversions, hydroelectric energy generation, and reservoir storage. Reservoir system operations for flood control can be simulated. Capabilities are also provided for tracking salinity loads and concentrations. Basin-wide impacts of water resources development projects and management practices are modeled. The modeling system is generalized for application anywhere, with input datasets being developed for the particular river basins of concern. WRAP simulation studies combine a specified scenario of river/reservoir system management and water use with river basin hydrology represented by sequences of naturalized stream flows and reservoir evaporation-precipitation rates at pertinent locations for each monthly or sub-monthly interval of a hydrologic period-of-analysis. Model application consists of: 1. compiling water management and hydrology input data for the river system 2. simulating alternative water resources development, management, and use scenarios 3. developing water supply reliability and stream flow and storage volume frequency relationships and otherwise organizing and analyzing simulation results. WRAP is a set of computer programs. The public domain executable programs and documentation may be freely copied. The function of each program is summarizes as : WinWRAP facilitates execution of the WRAP programs within the Microsoft Windows environment along with Microsoft programs and HEC-DSSVue. SIM simulates the river/reservoir water allocation/management/use system for input sequences of monthly naturalized flows and net evaporation rates. TABLES develops frequency relationships, reliability indices, and various userspecified tables for organizing, summarizing, and displaying simulation results. HYD assists in developing monthly naturalized stream flow and reservoir net evaporation-precipitation depth data for the SIM hydrology input files. WRAP incorporates priority-based water allocation schemes in modeling river regulation and water management. Stream flow and reservoir storage are allocated among water users based on specified priorities. WRAP was motivated by and developed within the framework of the Texas water rights permit system. However, the flexible generalized model is applicable to essentially any water allocation systems and also to situations where water is managed without a structured water rights system. WRAP is applied to river basins that have hundreds of reservoirs, thousands of water supply diversions, complex water use requirements, and complex water management practices.
  • 350.
    Annex 4.2 A4-11 WATERRESOURCES However, it is also applicable to simple systems with one, several, or no reservoirs. The generalized computer model provides capabilities for simulating a river/reservoir/use system involving essentially any stream tributary configuration. Interbasin transfers of water can be included in the simulation. Closed loops such as conveying water by pipeline from a downstream location to an upstream location on the same stream or from one tributary to another tributary can be modeled. Water management/use may involve reservoir storage, water supply diversions, return flows, environmental instream flow requirements, hydroelectric power generation, and flood control. Multiple-reservoir system operations and off-channel storage may be simulated. Flexibility is provided for modeling the various rules specified in water rights permits and/or other institutional arrangements governing water allocation and management. There are no limits on the number of water rights, control point locations, reservoirs, and other system components included in the model. There is no limit on the number of years included in the hydrologic period-of-analysis. The SIM model is an accounting system for tracking stream flow sequences, subject to reservoir storage capacities and operating rules and water supply diversion, hydroelectric power, and instream flow requirements. Water balance computations are performed in each time step of the simulation. Typically, a simulation will be based on combining (1) a repetition of historical hydrology with (2) a specified scenario of river basin development, water use requirements, and reservoir system operating rules. A broad spectrum of hydrologic and water management scenarios may be simulated. Numerous optional features have been incorporated into the generalized modeling system to address complexities in the variety of ways that people manage and use water. The Fortran programs are designed to facilitate adding new features and options as needs arise. Water Availability Modeling Process The conventional water availability modeling process consists of two phases: 1 Developing sequences of monthly naturalized stream flows covering the hydrologic period-of-analysis at all pertinent locations a. Developing sequences of naturalized flows at stream gaging stations b. Extending record lengths and filling in gaps to develop complete sequences at all selected gages covering the specified period-of-analysis c. Distributing naturalized flows from gaged to ungaged locations 2 Simulating the rights/reservoir/river system, given the input sequences of naturalized flows, to determine regulated and unappropriated flows, storage, reliability indices, flow- frequency relationships and related information regarding water supply capabilities a. Simulating the rights/reservoir/river system b. Computing water supply reliability and stream flow frequency indices and otherwise organizing/summarizing/displaying simulation results Naturalized or unregulated stream flows represent historical hydrology without the effects of reservoirs and human water management/use. Naturalized flows at gauging stations are determined by adjusting gaged flows to remove the historical effects of human activities. Various gaging stations in a river basin are installed at different times and have different periods of record. Gaps with missing data may occur. Record lengths are extended and missing data reconstituted by regression techniques using data from other gages and other months at the same gage. Naturalized flows at ungaged sites are
  • 351.
    Annex 4.2 A4-12 WATERRESOURCES synthesized based upon the naturalized flows at gauged sites and watershed characteristics. HYD includes options to assist in adjusting gauged flows to obtain naturalized flows. Naturalized flows may be distributed from gaged (or known-flow) locations to ungaged locations within either HYD or SIM. WRAP does not include regression methods to extend records or reconstitute missing data. A WRAP-SIM simulation starts with known naturalized flows provided in the hydrology input file and computes regulated flows and unappropriated flows at all pertinent locations. Regulated and unappropriated flows computed within SIM reflect the effects of reservoir storage and water use associated with the water rights included in the input. Regulated flows represent physical flows at a location, some or all of which may be committed to meet water rights requirements. Unappropriated flows are the stream flows remaining after all water rights have received their allocated share of the flow to refill reservoir storage and meet diversion and instream flow requirements. Unappropriated flows represent uncommitted water still available for additional water right permit applicants. Water is allocated to meet diversion, instream flow, hydroelectric energy, and reservoir storage requirements based on water right priorities. Various other schemes for establishing relative priorities may be adopted as well. Water availability is evaluated in simulation studies from the perspectives of (1) reliabilities in satisfying existing and proposed water use requirements, (2) effects on the reliabilities of other water rights in the river basin, (3) regulated instream flows, and (4) unappropriated flows available for additional water right applicants. Reservoir storage and stream flows are simulated. WRAP may be used to evaluate water supply capabilities associated with alternative water resources development projects, water management plans, water use scenarios, demand management strategies, regulatory requirements, and reservoir system operating procedures. SIM input Hydrological features naturalized stream flows net reservoir evaporation-precipitation net evaporation-precipitation adjustment stream flow distribution to ungaged sites stream flow adjustments channel losses watershed flow option negative incremental stream flow options Water Management Features water supply diversions and return flows instream flow requirements hydroelectric power setting water use targets drought index water right priorities flow allocation for rights with same priority circumvention of priority sequence reservoir storage
  • 352.
    Annex 4.2 A4-13 WATERRESOURCES reservoir system operating rules monthly varying limits on storage capacity multiple owners of reservoir storage limits on stream flow depletions limits on withdrawals from reservoir storage stream flow depletions from multiple locations constant inflows and outflows HYD input For describing storage-volume relationship for a reservoir Storage Volumes corresponding to areas Surface Area corresponding to volumes Coefficients for storage-area equation Hydrology Inflows to the system (inflow stream flow volume/month) Evaporation (reservoir net evaporation-precipitation depth/month) Flow Distribution Flow Distribution specifications for transferring flows from gaged to ungaged sites Flow distribution Coefficients for certain flow distribution options Watershed Parameters used in the flow distribution computations Records for Adjusting Stream Flows Adjustment Specifications for adjusting stream flows Flow Adjustments Reservoir Specifications for developing stream flow adjustments Storage Contents of a reservoir coefficients for adjustment
  • 353.
    Annex 4.3 A4-14 WATERRESOURCES HEC – HMS Soil Moisture Accounting (SMA) Model The HEC-HMS software package, developed by US ACE contains a number of soil moisture models and a number of routing models for direct runoff and baseflow. The most suitable model is the continuous Soil Moisture Accounting (SMA) model which is a conceptual model. The other models are empirical event based models. According to the technical manual (USACE, 2000), HEC-HMS provides the following components: • Precipitation-specification options which can describe an observed (historical) precipitation event, a frequency-based hypothetical precipitation event, or an event that represents the upper limit of precipitation possible at a given location. • Loss models which can estimate the volume of runoff, given the precipitation and properties of the watershed. • Direct runoff models that can account for overland flow, storage and energy losses as water runs off a watershed and into the stream channels. • Hydrologic routing models that account for storage and energy flux as water moves through stream channels. • Models of naturally occurring confluences and bifurcations. • Models of water-control measures, including diversions and storage facilities. These models are similar to those included in HEC-1. In addition to these, HEC-HMS includes: • A distributed runoff model for use with distributed precipitation data, such as the data available from weather radar. • A continuous soil-moisture-accounting model used to simulate the long-term response of a watershed to wetting and drying. HEC-HMS also includes: • An automatic calibration package that can estimate certain model parameters and initial conditions, given observations of hydrometeorological conditions. • Links to a database management system that permits data storage, retrieval and connectivity with other analysis tools available from HEC and other sources. Basic Concepts and Equations The SMA model is patterned after Leavesley's Precipitation-Runoff Modeling System (1983) and is described in detail in Bennett (1998). The model simulates the movement of water through and storage of water on vegetation, on the soil surface, in the soil profile, and in groundwater layers. Given precipitation and potential evapotranspiration (ET), the model computes basin surface runoff, groundwater flow, losses due to ET, and deep percolation over the entire basin.
  • 354.
    Annex 4.3 A4-15 WATERRESOURCES Figure 1. Conceptual schematic of the continuous soil moisture accounting algorithm (Bennett, 1998) Storage Component The SMA model represents the watershed with a series of storage layers, as illustrated by Figure . Rates of inflow to, outflow from, and capacities of the layers control the volume of water lost or added to each of these storage components. Current storage contents are calculated during the simulation and vary continuously both during and between storms. The different storage layers in the SMA model are: Canopy-interception storage. Canopy interception represents precipitation that is captured on trees, shrubs, and grasses, and does not reach the soil surface. Precipitation is the only inflow into this layer. When precipitation occurs, it first fills canopy storage. Only after this storage is filled does precipitation become available for filling other storage volumes. Water in canopy interception storage is held until it is removed by evaporation. Surface-interception storage. Surface depression storage is the volume of water held in shallow surface depressions. Inflows to this storage come from precipitation not captured by canopy interception and in excess of the infiltration rate. Outflows from this storage can be due to infiltration and to ET. Any contents in surface depression storage at the beginning of the time step are available for infiltration. If the water available for infiltration exceeds the infiltration rate, surface interception storage is filled. Once the volume of surface interception is exceeded, this excess water contributes to surface runoff.
  • 355.
    Annex 4.3 A4-16 WATERRESOURCES Soil-profile storage. The soil profile storage represents water stored in the top layer of the soil. Inflow is infiltration from the surface. Outflows include percolation to a groundwater layer and ET. The soil profile zone is divided into two regions, the upper zone and the tension zone. The upper zone is defined as the portion of the soil profile that will lose water to ET and/or percolation. The tension zone is defined as the area that will lose water to ET only. The upper zone represents water held in the pores of the soil. The tension zone represents water attached to soil particles. ET occurs from the upper zone first and tension zone last. Furthermore, ET is reduced below the potential rate occurring from the tension zone, as shown in Figure 15. This represents the natural increasing resistance in removing water attached to soil particles. ET can also be limited to the volume available in the upper zone during specified winter months, depicting the end of Groundwater storage. Groundwater layers in the SMA represent horizontal interflow processes. The SMA model can include either one or two such layers. Water percolates into groundwater storage from the soil profile. The percolation rate is a function of a user-specified maximum percolation rate and the current storage in the layers between which the water flows. Losses from a groundwater storage layer are due to groundwater flow or to percolation from one layer to another. Percolation from the soil profile enters the first layer. Stored water can then percolate from layer 1 to groundwater layer 2 or from groundwater layer 2 to deep percolation. In the latter case, this water is considered lost from the system; aquifer flow is not modeled in the SMA.Flow Component Flow Component The SMA model computes flow into, out of, and between the storage volumes. This flow can take the form of Precipitation, Infiltration, Percolation, Surface runoff and groundwater flow and Evapotranspiration (ET). Order of Model Computations Flow into and out of storage layers is computed for each time step in the SMA model. The order of computations in each time step depends upon occurrence of precipitation or ET, as follows: If precipitation occurs during the interval, ET is not modeled. Precipitation contributes first to canopy-interception storage. Precipitation in excess of canopy-interception storage, combined with water already in surface storage, is available for infiltration. If the volume available is greater than the available soil storage, or if the calculated potential infiltration rate is not sufficient to deplete this volume in the determined time step, the excess goes to surface-depression storage. When surface-depression storage is full, any excess is surface runoff. Infiltrated water enters soil storage, with the tension zone filling first. Water in the soil profile, but not in the tension zone, percolates to the first groundwater layer. Groundwater flow is routed from the groundwater layer 1, and then any remaining water may percolate to the groundwater layer 2. Percolation from layer 2 is to a deep aquifer and is lost to the model. If no precipitation occurs, ET is modeled. Potential ET is satisfied first from canopy storage, then from surface storage. Finally, if the potential ET is still not satisfied from
  • 356.
    Annex 4.3 A4-17 WATERRESOURCES surface sources, water is removed from the upper-soil profile storage. The model then continues as described above for the precipitation periods. Estimating Model Parameters SMA model parameters must be determined by calibration with observed data. In this iterative process, candidate parameter values are proposed, the model is exercised with these parameters and precipitation and evapotranspiration inputs. The resulting computed hydrograph is compared with an observed hydrograph for the same period. If the match is not satisfactory, the parameters are adjusted, and the search continues. Input Parameters for soil moisture accounting are Canopy storage , Surface storage, Tension storage, Soil storage, % impervious, Ground Water layer 1 and 2 and Maximum infiltration rate. The above module of Hec HMS is integrated with basin parameters and Transformation method such as Kinematic flow routing and meteolorological models involving basin average/gridded precipitation and evapotranspiration. Reference Bennett, T.H. (1998). Development and application of a continuous soil moisture accounting algorithm for the Hydrologic Engineering Center Hydrologic Modeling System (HEC-HMS). MS thesis, Dept. of Civil and Environmental Engineering, University of California, Davis. Leavesley, G. H., Lichty, R.W., Troutman, B.M., and Saindon, L.G. (1983). Precipitation-runoff modeling system user's manual, Water-Resources Investigations 83- 4238. United States Department of the Interior, Geological Survey, Denver, CO. Loague, K.M., and Freeze, R.A. (1985). "A comparison of rainfall-runoff modeling techniques on small upland catchments." Water Resources Research, AGU, 21(2), 229- 248. McFadden, Dudley E. (1994). Soil moisture accounting in continuous simulation watershed models. Project report, Dept. of Civil and Environmental Engineering, University of California, Davis. Ponce, V.M., and Hawkins, R.H. (1996). "Runoff curve number: Has it reached maturity?" Journal of Hydrologic Engineering, ASCE, 1(1), 11-19. Rawls, W.J., and Brakensiek, D.L. (1982). "Estimating soil water retention from soil properties." Journal of the Irrigation and Drainage Division, ASCE, 108(IR2), 166-171. Rawls, W.J., Brakensiek, D.L., and Saxton, K.E. (1982). "Estimation of soil water properties." Transactions American Society of Agricultural Engineers, St. Joseph, MI, 25(5), 1316-2320.
  • 357.
    Annex 4.3 A4-18 WATERRESOURCES Skaggs, R.W., and Khaleel, R. (1982). Infiltration, Hydrologic modeling of small watersheds. American Society of Agricultural Engineers, St. Joseph, MI. Soil Conservation Service (1971). National engineering handbook, Section 4: Hydrology. USDA, Springfield, VA. Soil Conservation Service (1986). Urban hydrology for small watersheds, Technical Release 55. USDA, Springfield, VA. USACE (1992). HEC-IFH user's manual. Hydrologic Engineering Center, Davis, CA. USACE (1994). Flood-runoff analysis, EM 1110-2-1417. Office of Chief of Engineers, Washington, DC.
  • 358.
    Annex 4.4 A4-19 WATERRESOURCES Model E A conceptual rainfall-runoff model (named Model E ) developed by R. Khosa in his research thesis “Long term spatial analysis of Hydrology of a river basin” consists of five parameters namely; Evapo-transpirative loss parameter for irrigated areas, evapo- transpirative loss parameter for non-irrigated areas, maximum soil moisture capacity, parameter for partitioning flow into quick and slow release components and parameter for slow release from ground water storage. The total water drained from soil pores, which would be available as runoff is also assumed to be partitioned into two components namely, quick flow component (QIF) and percolation to ground water store component (PGW) in this model. The quick flow component is assumed to be the basin’s immediate response to water application and the percolation component is assumed to add to the ground water store, from which water is released to the river in proportion to the available ground water storage. The input parameters are Volumetric Water Application depth, Initial soil moisture, observed Class A pan evaporation, Maximum soil moisture capacity and Initial groundwater storage. Model E was applied to sixteen subbasins of Cauvery river basin to simulate runoff on the river at the outfall. The five parameter model was found suitable for rainfall-runoff modeling on a monthly basis.
  • 359.
    Annex 4.5 A4-20 WATERRESOURCES HEC-RESSIM HEC-ResSim (from the US Army Corps of Engineers) is a one-dimensional flow routing model designed for modelling reservoir systems. The model is constructed against a geo-referenced map background. In terms of the suitability of HEC-ResSim for water resources modelling, it contains a number of useful features, such as: Defining watershed, stream alignments, working with watershed elements like reservoir, levees, diversions, channel modifications, off-channel storage, defining physical components of reservoirs like reservoir pool losses, dam features like controlled and uncontrolled outlets, power plants , pumps, diversion outlet, flow routing (multiple options) for sparse models (spatial and temporal); it is able to model seepage losses; it is able to model looped and branched networks and reservoirs; it offers monthly and seasonal variation options for modelling flow diverted to reservoirs; the reservoir unit includes geometric data, outlet structures, evaporation losses and operational rules.
  • 360.
    Annex 4.6 A4-21 WATERRESOURCES Snowmelt Runoff Model WINSRM The SRM model simulates or forecasts daily streamflow and seasonal runoff volume in basins where snowmelt is a major runoff contributor, although it has been shown that the dominance of snow melt is not the most important factor. It was developed by Martinec (1975) for small European basins, but has since been tested in a wide range of basins, including larger basins. Recently the model was used to simulate runoff in the Ganges basin, demonstrating the model’s applicability to large basins with extreme elevation ranges (Martinec et al., 2008). A table is shown by Martinec et al. (2008) listing over 100 basins internationally where the model has been independently tested, including details of the model efficiency and volume balance achieved. The model requires division of the watershed into elevation zones with specific model variables and parameters applied to each one to calculate runoff. It is now possible to employ up to 16 elevation zones. SRM makes use of remote sensing satellite data and digital terrain models. Snowmelt and rainfall runoff from the model is added to the recession curve of streamflows to give the combined flow prediction. The recession curve is unique to a particular basin and is derived from historical periods when snowmelt and precipitation can be neglected SRM uses degree-days as an index of the complex energy balance which dictates snow melt rates. The base temperature above which melting at degree-day rates is assumed to occur is 0°C. Where hourly temperature data are available, then the degree days for the 24-hour period are calculated by summing hourly temperatures and dividing by 24. Degree days are further extrapolated to each elevation zone using an appropriate lapse rate – these can be adjusted for monthly variations throughout the year and specific to the region being studied. Whether precipitation falls as rain or snow is decided on the basis of a critical temperature, which can vary between watersheds. It is important to differentiate between the two because runoff from rainfall occurs immediately, whereas snowfall leads to a delayed runoff response as the degree- days accumulate. Daily snow cover values are taken from depletion curves compiled preferably from satellite imagery, but otherwise from ground observations and aerial photography. The snow cover values derived from satellite or other remote sensing data replace the need to model snowpack development explicitly – accumulation and depletion in terms of SWE for example. Actual discharge data can be used to update the model every 1-9 days in its forecasting mode. Runoff coefficients can also be changed every 15 days in the model and are usually higher for snowmelt than for rainfall due to the assumption that ground below snowpack is saturated. Changes in the vegetation cover and soil moisture are generally the factors which would cause changes in runoff coefficients throughout the year. Time lag correction factors are used to account for the fact that different elevation zones vary in their distance from the watershed outlet and in how they change through the snowmelt season in terms of snow distribution Model inputs Basically, SRM requires temperature, precipitation and snow covered area data as inputs, which are relatively simple. The challenge for using SRM as a forecasting tool is the forecasting of these input variables for the model. The development of a model is made much more efficient by the availability of a digital terrain model (DTM) which facilitates delineation of elevation zones and development of elevation-area curves (Figure 1). These curves are used to define a mean elevation for each zone as the point
  • 361.
    Annex 4.6 A4-22 WATERRESOURCES above and below which the area is equal. The mean elevation is then the elevation to which temperature station data are extrapolated using the lapse rate, to be applied in the model as representative of the whole elevation zone. Figure 1 Elevation-area curve used for defining the mean elevation Temperature and precipitation can both be entered either on a basin-wide or a zone specific basis. Where zone specific data are to be entered but gauging stations are limited, appropriate extrapolation should be carried out to scale the inputs. This is recommended, particularly in basins with large altitudinal ranges. Whether precipitation falls as snow or rain will depend on a defined critical temperature which is compared to the temperature at the mean elevation point defined for each elevation zone at the time of precipitation. The model treats precipitation falling as snow differently from that falling as rain, producing runoff immediately or delayed by the degree day melt factor. Temperature lapse rates and critical temperatures can also be defined by whole basin or elevation zones. Depletion curves must also be developed to define continuing snow covered area as the model proceeds. Model outputs The model can be run in simulation or forecasting modes. The simulation mode can be used to establish discharge series in ungauged basins or to predict the accuracy of forecasts.
  • 362.
    Annex 4.6 A4-23 WATERRESOURCES The model is reported to work well for mountainous basins up to 4000km2 in area, but accuracy decreases where large amounts of rainfall occur during the snowmelt season. Automatic adjustment of parameters is carried out even without updating with actual streamflow measurements The SRM has been used in many studies world-wide - Martinec et al. (2008) gives associated Nash-Sutcliffe model efficiency and runoff volume prediction success as a percentage.