Course: MBA
Subject: Quantitative
Techniques
Unit: 3
Ch 7_2
What is meant by correlation?
It is viewed as a statistical tool with the help of which
the relationship between two or more than two variables
is studied. Correlation analysis refers to a technique
used in measuring the closeness of the relationship
between the variables.
If two quantities vary in such a way that movements in
one are accompanied by movements in the other, these
quantities are said to be correlated.
Continued…..
Ch 7_3
What is meant by Correlation?
Examples:
Relationship between family income and expenditure
on luxury items
Price of a commodity and amount demanded
Increase in rainfall up to a point and production of rice
Increase in the number of a television licenses and
number of cinema admissions.
Continued…..
Ch 7_4
What are the major issues of analyzing
the relation between different series ?
Determining whether a relation exists and, if it does,
one has to measure it ;
Testing whether it is significant;
Establishing the cause –and- effect relations
Ch 7_5
What is the significance of the study of
correlation?
The study of correlation is of immense use in
practical life because of the following reasons:
Most of the variables show some kind of
relationship. With the help of correlation analysis one
can measure in one figure the degree of relationship
existing between the variables.
Once two variables are closely related, one can
estimate the value of one variable given the value of
another.
Continued……..
Ch 7_6
What is the significance of the study of
correlation?
Correlation analysis contributes to the economic
behavior, aids in locating the critically important
variables on which others depend. This may reveal the
connection by which disturbances spread and suggest
the paths through which stabilizing forces become
effective.
Progressive development in the methods of science
and philosophy has been characterized by increase in
the knowledge of relationship or correlations.
It should be noted that coefficient of correlation is one
of the most widely used tool and also one of the most
widely abused statistical measures.
Ch 7_7
Continued…….
Example:
Advertisement expenditure
(Tk lakhs)
25
35
45
55
65
Sales
(Tk. Crores)
120
140
160
180
200
The above data show a perfect positive relationship
between advertisement expenditure and sales. But such
a situation is rare in practice.
Ch 7_8
Does correlation always signify a cause, and
effect relationship between variables? If not,
Why?
Continued…….
Both the correlated variables may be influenced by one
or more other variables: A high degree of correlation
between the yield per acre of the rice and tea may be due
to the amount of rainfall. But none of the two variables
is the cause of the other.
Both the variables may be mutually influencing each
other so that neither can be designated as cause and the
other the effect.
Variables like demand and supply, price and production,
etc. mutually interact.
Ch 7_9
Continued…….
Example: As the price of a commodity increases, its
demand goes down and so price is the cause and
demand the effect. But it is also possible that
increased demand of a commodity due to the growth
of population or other reasons may force its price up.
Now the cause is the increased demand, the effect the
price. Thus at times it may become difficult to explain
from the two correlated variables which is the cause
and which is the effect because both may be reacting
on each other.
The above points clearly show that correlation does
not manifest causation or functional relationship. By
itself, it establishes only covariation.
Ch 7_10
What are various types of correlation?
Correlation is classified in several different ways. The
most important types of correlation are:
Positive and negative correlation
Simple, partial and multiple correlation
Linear and non–linear correlation
Continued………
Ch 7_11
What are various types of correlation?
Positive correlation: If both the variables vary in the
same direction i.e. if one variable increases, the other
on average also increases, or if one variable
decreases, the other on average also decreases,
correlation is said to be positive.
Continued………
Ch 7_12
Example:
X
10
12
11
18
20
y
15
20
22
25
37
X
80
70
60
40
30
y
50
45
30
20
10
Positive correlation
Ch 7_13
Continued………
Negative correlation: If the variables vary in
opposite directions i.e. if one variable increases the
other decreases or vice versa, correlation is said to
be negative.
What are the various types of correlation?
Ch 7_14
Example:
Continued………
Example:
X
20
30
40
60
80
y
40
30
22
15
16
X
100
90
60
40
30
y
10
20
30
40
50
Negative correlation
Ch 7_15
What are the various types of correlation?
Simple correlation: When only two variables are
studied, it is a problem of simple correlation.
Continued………
Ch 7_16
What are the various types of correlation?
Multiple correlation: When three or more variables are
studied simultaneously, it is a problem of multiple
correlation.
Example 1: When we study the relationship between the
yield of rice per acre and both the amount of rainfall and
the amount of fertilizers used, it is problem of multiple
correlation.
Example 2: The relationship of plastic hardness,
temperature and pressure .
Continued………
Ch 7_17
What are the various types of correlation.
Partial correlation: In partial correlation, we recognise
more than two variables. But, when only two variables
are considered to be influencing each other and the
effect of other influencing variable is kept constant, it
is a problem of partial correlation.
Example: If we limit our correlation analysis of yield of
rice per acre and rainfall to periods when a certain
average daily temperature existed, it becomes a
problem of partial correlation.
Continued………
Ch 7_18
What are various types of correlation?
Linear (curvilinear) correlation: If the amount of
change in one variable tends to bear constant ratio to
the amount of change in other variable, then the
correlation is said to be linear.
Continued………
Ch 7_19
Continued………
Example: X 10 20 30 40 50
Y 70 140 210 280 350
It is clear that the ratio of change between two
variables is the same.
If these variables are plotted on a graph paper, all
the plotted points would fall on a straight line.
Ch 7_20
Continued………
Example:
0
100
200
300
400
10 20 30 40 50
X
y
Positive Liner Correlation
Ch 7_21
What are the various types of correlation.
Non–linear (curvilinear) correlation: If the amount of
change in one variable does not bear a constant ratio
to the amount of change in the other variable, then the
correlation is said to be non–linear (curvilinear).
Example: If the amount of rainfall is doubled, the
production of rice or wheat, etc. would not necessarily
be doubled. In most practical cases, we find a non-
linear relationship between the variables.
But, since techniques of analysis for measuring non-
linear correlation are very complicated, the
relationship between the variables is assumed to be of
the linear type.
Continued………
Ch 7_22
Continued………
Example:
Y
X
Curvilinear Correlation
Ch 7_23
What are the methods of studying
correlations?
Continued………
Scatter Diagram Method
Karl Pearson’s coefficient of correlation
Spearman’s Rank correlation coefficient
Ch 7_24
What is Scatter Diagram ?
Continued………
A scatter diagram refers to a diagram in which the
values of the variables are plotted on a graph paper
in the form of dots i.e. for each pair of X and Y
values. If we put dots and thus obtain as many points
as the number of observations, the diagram of dots,
so obtained is known as scatter diagram.
Ch 7_25
How can scatter diagram method (Dot chart
method) be used to study correlation?
Continued………
In this method, the given data are plotted on a graph
paper in the form of dots. From scatter diagram i.e. by
looking to the scatter of the various points, we can
form a fairly good, though vague, idea whether the
variables are correlated or not, e.g., if the points are
dense, i.e. very close to each other, we should expect
a fairly good amount of correlation between the
variables and if the points are widely scattered, a poor
correlation is expected.
Ch 7_26
When is correlation said to be perfectly
positive or and perfectly negative?
Continued………
If all the points lie on a straight line rising from the
lower left hand corner to the upper right hand corner,
correlation is said to be perfectly positive ( i.e. r = +1)
If all the points lie on a straight line falling from the
upper left hand corner to the lower right hand corner
of the diagram, correlation is said to be perfectly
negative (i.e. r = - 1).
Ch 7_27
Continued………
Example:
Perfect Positive Correlation
0 1 2 3 4 5 6 7 8 9 10
10
9
8
7
6
5
4
3
2
1
0
X
Y
Ch 7_28
Perfect Negative Correlation
0 1 2 3 4 5 6 7 8 9 10
10
9
8
7
6
5
4
3
2
1
0
X
Y
Ch 7_29
Continued………
If the plotted points fall in a narrow band, there would
be a high degree of correlation between the variables.
Correlation shall be positive if the points show a
rising tendency from upper left-hand corner to the
right hand corner of the diagram, and negative if the
points show a declining tendency from upper left hand
corner to the lower right hand corner of the diagram.
Ch 7_30
Strong Positive Correlation
0 1 2 3 4 5 6 7 8 9 10
10
9
8
7
6
5
4
3
2
1
0
X
Y
Ch 7_31
High degree of Negative Correlation
0 1 2 3 4 5 6 7 8 9 10
10
9
8
7
6
5
4
3
2
1
0
X
Y
Ch 7_32
When will there be low degree of
correlation between two variables ?
If the points are widely scattered over the diagrams, it
indicates very low degree of relationship between the
variables.
This correlation shall be positive if the points rise from
the lower left-hand corner to the upper right-hand
corner, and negative if the points run from the upper
left–hand side to the lower right hand side to the
diagram.
Ch 7_33
×
×
××
×
×
×
×
×
×
×
×
××
×
Low degree of positive correlation
Ch 7_34
×
×
×
×
×
×
×
××
×
×
Low degree of negative correlation
×
Ch 7_35
When will there be no correlation
between two variables?
If the plotted points lie on a straight line parallel to the X-
axis, or in a haphazard manner, it shows the absence of
any relationship between the variables (i.e. r = 0)
Ch 7_36
Zero Correlation
0 1 2 3 4 5 6 7 8 9 10
10
9
8
7
6
5
4
3
2
1
0
X
Y
Ch 7_37
Capital employed
(Tk.crore)
1 2 3 4 5 7 8 9 11 12
Profits (Tk.lakhs) 3 5 4 7 9 8 10 11 12 14
Example:
The following pairs of values are given:
1. Make a scatter diagram
2. Do you think that there is any correlation
between profits and capital employed?
Ch 7_38
0
2
4
6
8
10
12
14
16
1 2 3 4 5 6 7 8 9 10
Ch 7_39
It appears from the above diagram that the variables –
profits and capital employed are correlated.
Correlation is positive because the trend to the points
is upward rising from the lower left hand corner to the
upper right–hand corner.
The degree of relationship is high because the plotted
points are in a narrow band which shows that it is a
case of high degree of positive correlation.
Do you think that there is any correlation
between profits and capital employed?
Ch 7_40
What are the merits of scatter diagram
method studying of correlation?
Merits:
It is a simple and non–mathematical method of
studying correlation between the variables. Hence, it
can be easily understood and rough idea can quickly
be formed as to whether or not the variables are
related.
It is not influenced by the size of extreme values
whereas, most of the mathematical methods of
finding correlation are influenced by extreme values.
Making a scatter diagram usually is the first step in
investigating the relationship between the variable.
Ch 7_41
What are the limitations of Scatter diagram
method of studying correlation?
Limitations:
It is not possible to establish the exact degree of
correlation between the variables as is possible by
applying the mathematical method.
Ch 7_42
The coefficient of correlation (r) is a measure of the
strength of the linear relationship between two or more
variables. This summarizes in one figure the direction
and degree of correlation.
Designated r, it is often referred to as Pearson’s ‘r’
It can assume any value from –1.00 to +1.00
inclusive. A correlation co-efficient of –1.00 or +1.00
indicates perfect correlation.
If there is absolutely no relationship between the
two sets of variables, Pearson’s r is zero.
It requires interval or ratio-scaled data (variables).
What is meant by coefficient of correlation?
Continued…….
Ch 7_43
Negative values indicate an inverse
relationship and positive values indicate a
direct relationship.
If there is absolutely no relationship between
the two sets of variables, Pearson’s r is zero. A
coefficient of correlation r close to o (say, 0.08).
shows that the linear relationship is very weak.
The same conclusion is drawn if r = - 0.08 .
What is meant by Coefficient of Correlation?
Continued…….
Ch 7_44
Coefficients of –0.91 and + 0.91 have equal strength,
both indicate very strong correlation between the two
variables. Thus, the strength of correlation does not
depend on the direction (either – or +).
If the correlation is weak, there is considerable
scatter about a line drawn through the center of the
data.
For the scatter diagram representing a strong
relationship, there is very little scatter about the line.
The following drawing shows the strength and direction
of the coefficient of correlation:
What is meant by Coefficient of Correlation?
Continued…….
Ch 7_45
Perfect negative
correlation
Perfect positive
correlation
No correlation
Strong
negative
correlation
Moderate
negative
correlation
Moderate
positive
correlation
Weak
negative
correlation
Weak
positive
correlation
Strong
positive
correlation
Negative correlation Positive correlation
-1.00 - 0.50 0 + 0.50 + 1.00
Continued……
Ch 7_46
The coefficient of correlation describes not only the
magnitude of correlation but also its direction. Thus, +
0.8 would mean that correlation is positive and the
magnitude of correlation is 0.8.
Ch 7_47
The following are the important properties of the co –
efficient of correlation:
The co– efficient of correlation lies between - 1 and +
1. Symbolically, - 1 ≤ r< +1 or │r ≤ 1
The co–efficient of correlation is independent of
change of origin and scale.
The co–efficient of correlation is the geometric mean
of two regression co-efficient
If X and Y are independent variables then co –
efficient of correlation is zero. However, the converse
is not true.
What are the properties of the co– efficient
of correlation?
Continued…….
Ch 7_48
Prove that the co –efficient of correlation lies
between - 1 and +1. Symbolically,
11  r Or r ≤
Solution:
  
   




22
YYXX
YYXX
r
Continued…..
Ch 7_49
 
 
 
 
 
 
 1.......1
01
012
22121
2
,
222
22











   

r
ror
r
rr
bababaThen
YY
YY
b
XX
XX
aLet
Continued…….
Ch 7_50
 
 
 
   
.11
,2&1
2.......1,
1
01
012
22121
2
,
222
Proved






   
r
haveweFrom
ror
ror
ror
r
rr
bababa
Similarly
Ch 7_51
What is the formula suggested by Karl
Pearson for measuring the degree of
relationship between two variables?
If the two variables under study are X and Y, the
following formula suggested by Karl Pearson can be
used for measuring the degree of relationship.
  
   




22
YYXX
YYXX
r
.
,
variablesYandXofmeans
respectivetheareYandXand
ncorrelatioofefficientcor
Where

Continued……
Ch 7_52
The above formula can be written us:
This formula is to be used only where the deviations are
taken from actual means and not from assumed means.
 

22
. yx
xy
r  
 YYy
andXXx
Where


,
Ch 7_53
Karl Pearson’s co-efficient of correlations
The co-efficient of correlation can also be calculated
from the original set of observations (i.e., without
taking deviations from the mean) by applying the
following formula:
   
     
  




 






2222
2
2
2
2
YYNXXN
yXXYN
N
Y
Y
N
X
X
N
YX
XY
r
Ch 7_54
Karl Pearson’s co-efficient of correlations
The co-efficient of correlation can also be calculated
from the original set of observations (i.e., without
taking deviations from the mean) by applying the
formula:
   
     
  




 






2222
2
2
2
2
YYNXXN
yXXYN
N
Y
Y
N
X
X
N
YX
XY
r
Ch 7_55
Find the correlation co-efficient between the sales and
expenses from the data given below:
Firm 1 2 3 4 5 6 7 8 9 10
Sales (Tk. Lakhs) 50 50 55 60 65 65 65 60 60 50
Expenses (Tk.
Lakhs)
11 13 14 16 16 15 15 14 13 13
Example:
Ch 7_56
Firm Sales
X x
x2 Expenses
Y y
y2 xy
1 50 – 8 64 11 – 3 9 +24
2 50 – 8 64 13 – 1 1 +8
3 55 – 3 9 14 0 0 0
4 60 + 2 4 16 +2 4 +4
5 65 + 7 49 16 +2 4 +14
6 65 + 7 49 15 +1 1 +7
7 65 + 7 49 15 +1 1 +7
8 60 + 2 4 14 0 0 0
9 60 + 2 4 13 – 1 + 1 – 2
10 50 – 8 64 13 – 1 + 1 +8
N= 10 X =580 x=0 x2=360 Y=140 y=0 y2=22 xy=70
Calculation of correlation co-efficientExample:
 XX   YY 
Ch 7_57
14
10
140
58
10
580




N
Y
Y
N
X
XHere
Hence, there is a high degree of positive correlation
between the two variables i.e. as the value of sales
goes up, the expenses also go up.
7870
99488
70
7920
70
22360
70
,
22







 

yx
xy
rncorrelatioofefficientCo
Ch 7_58
Example:
Find the correlation by Karl Pearson’s method between
the two kinds of assessment of postgraduate students’
performance (marks out of 100)
Roll No. of
students
1 2 3 4 5 6 7 8 9 10
Internal
Assessment
45 62 67 32 12 38 47 67 42 85
External
Assessment
39 48 65 32 20 35 45 77 30 62
Ch 7_59
Roll No
students
Internal
assessment
X
x X2
External
assessment
Y y y2
xy
1 45 - 4.7 22.09 39 - 6.3 39.69 29.61
2 62 +12.3 151.29 48 +2.7 7.29 33.21
3 67 +17.3 299.29 65 +19.7 388.09 340.81
4 32 +17.7 313.29 32 - 13.3 176.89 235.41
5 12 - 37.7 1421.29 20 - 25.3 640.09 953.81
6 38 - 11.7 136.89 35 - 10.3 106.09 120.51
7 47 - 2.7 7.29 45 - 0.3 0.09 0.81
8 67 +17.3 299.29 77 +31.7 1004.89 548.41
9 42 - 7.7 59.29 30 - 15.3 234.09 117.81
10 85 +35.3 1246.09 62 +16.7 278.89 589.51
N = 10 X=497 x=0 X2
=3956.1
Y=453 y=0 y2
=2876.1
xy
=2969.9
Calculation of correlation co-efficient
 XX   YY 
Ch 7_60
3.45
10
453
749
10
497
,




N
Y
Y
N
X
XHere
Here there is a high degree of positive correlation between
internal assessment and external assessment i.e. as the marks
of internal assessment go up, the marks of eternal assessment
also go up.
880
153373
92969
2111378139
92969
1287613956
92969
,
22











 

yx
xy
rncorrelatioofefficientCo
Ch 7_61
What are the merits ?
It summarizes in one figure not only the degree of
correlation but also the direction i.e. whether
correlation is positive or negative
It helps one to go for further analysis.
Ch 7_62
What are its limitations ?
The chief limitations of Karl Pearson's method are as
follows:
The correlation coefficient always assumes linear
relationship regardless of the fact whether that
assumption is true or not.
Great care must be exercised in interpreting the
value of this co-efficient as very often the coefficient
is misinterpreted.
The value of the co-efficient is unduly affected by the
extreme values.
As compared to other methods of finding correlation,
this method is more time-consuming.
Ch 7_63
What is rank correlation co-efficient?
Let us suppose that a group of ‘n’ individuals is
arranged in order of merits or proficiency in
possession of two characteristics A and B. These
ranks in the two characteristics will, in general , be
different.
Example: If we consider the relation between
intelligence and beauty, it is not necessary that a
beautiful individual is intelligent also.
Let (Xi, Yi); i=1, 2, 3………. n be ranks of ith individual in
two characteristics A and B respectively.
Ch 7_64
What is rank correlation co-efficient?
Pearson’s co-efficient of correlation refers to the
strength of relationship measured on the rank values
of two series of data..
Ch 7_65
Define Spearman’s rank correlation co-efficient
Spearman’s rank correlation coefficient is defined as :
  ,
6
1
1
6
1 3
2
2
2
NN
D
Or
NN
D
R





where R denotes rank co-efficient of correlation and D
refers to the difference of ranks between paired items in
two series.
The value of this co-efficient also lies between +1 and–1.
When R = +1, there is complete agreement in the order of
ranks and the ranks are in the same direction.
When R= –1, there is complete agreement in the order of
ranks and they are in opposite directions:
Ch 7_66
What are the steps involved in computing
rank correlation co-efficient when actual
ranks are not given?
Where actual ranks are given, the steps required for
computing rank correlation are :
Take the difference of the two ranks, ie.e., (R1 - R2 ) and
denote these differences by D.
Square these differences and obtain the total D2.
Apply the formula:
NN
D
R



3
2
6
1
Ch 7_67
Example:
Two housewires, Mrs. A and Mrs. B, were asked to express
their preference for different kinds of detergents, gave the
following replies.
Detergent Mrs. A Mrs. B
A 4 4
B 2 1
C 1 2
D 3 3
E 7 8
F 8 7
G 6 5
H 5 6
I 9 9
J 10 10
Ch 7_68
To what extent the preferences of these two
ladies go together?
Continued……
Ch 7_69
Calculation of Rank correlation co-efficient
Detergent Mrs.A
R1
Mrs. B
R2
(R1-R2 )2
=D1
A 4 4 0
B 2 1 1
C 1 2 1
D 3 3 0
E 7 8 1
F 8 7 1
G 6 5 1
H 5 6 1
I 9 9 0
J 10 10 0
N =10 D2 =6
Solution
Ch 7_70
In order to find out how far preferences for different
kind of detergents go together, we will calculate
rank correlation co – efficient.
Continued…..
.964003601
990
36
1
101000
36
1
10
66
1
6
1,
10
3
3
2









NN
D
RefficientConCorrelatioRank
Ch 7_71
This shows that the preferences of these two ladies
agree very closely as far as their opinion on detergents
is concerned.
Ch 7_72
When Ranks are not given, it will be necessary to assign
the ranks. Ranks can be assigned by taking either the
highest value as 1 or the lowest value as 1.
Example:
The marks obtained by students in two tests are given
below:
Preliminary Test 92 89 87 86 83 77 71 63 53 50
Final Test 86 83 91 77 68 85 52 82 37 57
Continued……..
Calculate the rank correlation coefficient and comment
on this.
Ch 7_73
Preliminary Test
x
R1 Final Test
y
R2 (R1 – R2 )2
D2
92 10 86 9 1
89 9 86 7 4
87 8 91 10 4
86 7 77 5 4
83 6 68 4 4
77 5 85 8 9
71 4 52 2 4
63 3 82 6 9
53 2 37 1 1
50 1 57 3 4
N =10 D2 =44
Calculation of rank correlation co– efficient
Continued……
Ch 7_74
733026701
990
446
1
6
1 3
2






NN
D
R
Thus, there is a high degree of positive correlation
between preliminary and final test.
Ch 7_75
Example:
Seven methods of imparting business education were
ranked by the MBA students of two universities as
follows:
Methods of teaching i ii iii iv v vi vii
Rank by students of
University A
2 1 5 3 4 7 6
Rank by students of
University B
1 3 2 4 7 5 6
Calculate the rank correlation co–efficient and
comment on this
Continued…….
Ch 7_76
Solution:
Methods of
teaching
Rank by students
of University A
R1
Rank by students
of University B
R2
(R1 – R2)2
D2
i 2 1 1
ii 1 3 4
iii 5 2 9
iv 3 4 1
v 4 7 9
vi 7 5 4
vii 6 6 0
N = 7 D2= 28
Ch 7_77
It shows that there is a moderate degree of positive
correlation between ranks by students of two
universities.
50
501
336
168
1
7343
168
1
286
1
6
1,
77
3
3
2











NN
D
RefficientConCorrelatioRank
Ch 7_78
What are the steps involved in computing rank
correlation co-efficient when equal ranks or tie
in ranks occur?
In some cases it may be found necessary to assign
equal rank to two or more individuals or entries. In such
a case, it is customary to give each individual or entry
an average rank Thus if two individuals are ranked equal
at fifth place, they are each given the , that is 5.5
while if three are ranked equal at fifth place, they are
given the rank = 6. In other words, where
two or more individuals are to be ranked equal, the rank
assigned for purposes of calculating coefficient of
correlation is the average of the ranks which these
individuals would have got, had they differed slightly
from each other.
2
65 
3
765 
Ch 7_79
What are the steps involved in computing rank
correlation co-efficient when equal ranks or tie
in ranks occur?
Where equal ranks are assigned to some entries, an
adjustment in the above formula for calculating the rank
coefficient of correlation is made.
The adjustment consists of adding to the value
of D2, where m stands for the number of items whose
ranks are common. If there are more than one such
group of items with common rank, this value is added
as many times as the number of such groups. The
formula can thus be written as:
 mm 3
12
1
   
NN
mmmmD
R










3
2
3
21
3
1
2
.........
12
1
12
1
6
1
Ch 7_80
Example:
An examination of eight applicants for a clerical post
was taken by a firm. From the marks obtained by the
applicants in the Accountancy and Statistics papers,
commute rank co-efficient of correlation.
Applicant A B C D E F G H
Marks in
Accountancy
15 20 28 12 40 60 20 80
Marks in Statistics 40 30 50 30 20 10 30 60
Ch 7_81
Applicants Marks in
Accountancy
X
Rank
Assigned
R1
Marks in
Statistics
Y
Rank
Assigned
R2
(R1 –R2)2
D2
A 15 2 40 6 16.00
B 20 3.5 30 4 0.25
C 28 5 50 7 4.00
D 12 1 30 4 9.00
E 40 6 20 2 16.00
F 60 7 10 1 36.00
G 20 3.5 30 4 0.25
H 80 8 60 8 0.00
Calculation of Rank correlation Co-efficient
D2 =81.5
Ch 7_82
   
NN
mmmmD
R










3
2
3
21
3
1
2
12
1
12
1
6
1
   
  0
504
846
1
504
2505816
1
3
12
1
2
12
1
5816
1
88
32
3
33













R
The item 20 is repeated 2 times in series X and hence m1 = 2.
In series Y, the item 30 occurs 3 times and hence M2= 3.
Substituting these values in the above formula:
There is no correlation between the marks obtained in the
two subjects.
Ch 7_83
What are the merits of the rank method?
Merits:
This method is simpler to understand and easier to
apply compared to the Karl Pearson’s method. The
answers obtained by this method and the Karl
Pearson’s method will be the same provided no
value is repeated, i.e., all the items are different.
Where the data are of a qualitative nature like
honesty, efficiency, intelligence, etc. this method can
be used with great advantage.
Example: The workers of two factories can be ranked
in order of efficiency and the degree of correlation
can be established by applying the method.
Ch 7_84
What are the limitations of the rank method?
Limitations:
This method cannot be used for finding out
correlation in a grouped frequency distribution.
Where the number of observations exceed 30, the
calculations become quite tedious and require a lot
of time. Therefore, this method should not be
applied where N is exceeding 30 unless we are
given the ranks and not the actual values of the
variable.
Ch 7_85
What are lag and lead in correlation?
The study of lag and lead is of special significance
while studying economic and business series. In the
correlation of time series the investigator may find that
there is a time gap before a cause–and-effect
relationship is established.
Example: The supply of a commodity may increase
today, but it may not have an immediate effect on
prices – it may take a few days or even months for
prices to adjust to the increased supply. The difference
in the period before a cause– and– effect relationship
is established is called ‘ Lag’, While computing
correlation this time gap must be considered;
otherwise, fallacious conclusions may be drawn. The
pairing of items is adjusted according to the time lag.
Ch 7_86
Example:
The following are the monthly figures of advertising
expenditure and sales of a firm. It is generally found that
advertising expenditure has its impact on sales
generally after two months. Allowing for this time lag,
calculate co-efficient of correlation between expenditure
on advertisement and sales.
Ch 7_87
Month Advertising expenditure Sales(Tk.)
Jan. 50 1.200
Feb. 60 1,500
March 70 1,600
April 90 2,000
May 120 2,200
June 150 2,500
July 140 2,400
Aug. 160 2,600
Sept. 170 2,800
Oct. 190 2,900
Nov. 200 3,100
Dec. 250 3,900
Allow for a time lag of 2 months, i.e., link advertising expenditure of
January with sales for march , and so on.
Ch 7_88
Month Advertising
Expenditure
X x x2
Sales
Y y Y2 xy
Jan. 50 - 7 49 1,600 - 10 100 70
Feb. 60 - 6 36 2,000 - 6 36 36
March 70 - 5 25 2,200 - 4 16 20
April 90 - 3 9 2,500 -1 1 3
May 120 0 0 2,400 - 2 4 0
June 150 +3 9 2,600 0 0 0
July 140 +2 4 2,800 +2 4 4
Aug. 160 +4 16 2,900 +3 9 12
Sept. 170 +5 25 3,100 +5 25 25
Oct. 190 +7 49 3,900 +13 169 91
X=1.200 x=0 x2=222 Y=26,000 y=0 Y2=364 xy=261
 
100
YY  
10
XX 
Calculation of correlation co-efficient
Ch 7_89
600,2
10
00,26
120
10
200,1


Y
X
9180
27284
261
364222
261
22







 

yx
xy
r
There is a very high degree of positive correlation
between advertising expenditure and sales.
Ch 7_90
References
Quantitative Techniques, by CR Kothari, Vikas publication
Fundamentals of Statistics by SC Guta Publisher Sultan
Chand
Quantitative Techniques in management by N.D. Vohra
Publisher: Tata Mcgraw hill

Mba i qt unit-3_correlation

  • 1.
  • 2.
    Ch 7_2 What ismeant by correlation? It is viewed as a statistical tool with the help of which the relationship between two or more than two variables is studied. Correlation analysis refers to a technique used in measuring the closeness of the relationship between the variables. If two quantities vary in such a way that movements in one are accompanied by movements in the other, these quantities are said to be correlated. Continued…..
  • 3.
    Ch 7_3 What ismeant by Correlation? Examples: Relationship between family income and expenditure on luxury items Price of a commodity and amount demanded Increase in rainfall up to a point and production of rice Increase in the number of a television licenses and number of cinema admissions. Continued…..
  • 4.
    Ch 7_4 What arethe major issues of analyzing the relation between different series ? Determining whether a relation exists and, if it does, one has to measure it ; Testing whether it is significant; Establishing the cause –and- effect relations
  • 5.
    Ch 7_5 What isthe significance of the study of correlation? The study of correlation is of immense use in practical life because of the following reasons: Most of the variables show some kind of relationship. With the help of correlation analysis one can measure in one figure the degree of relationship existing between the variables. Once two variables are closely related, one can estimate the value of one variable given the value of another. Continued……..
  • 6.
    Ch 7_6 What isthe significance of the study of correlation? Correlation analysis contributes to the economic behavior, aids in locating the critically important variables on which others depend. This may reveal the connection by which disturbances spread and suggest the paths through which stabilizing forces become effective. Progressive development in the methods of science and philosophy has been characterized by increase in the knowledge of relationship or correlations. It should be noted that coefficient of correlation is one of the most widely used tool and also one of the most widely abused statistical measures.
  • 7.
    Ch 7_7 Continued……. Example: Advertisement expenditure (Tklakhs) 25 35 45 55 65 Sales (Tk. Crores) 120 140 160 180 200 The above data show a perfect positive relationship between advertisement expenditure and sales. But such a situation is rare in practice.
  • 8.
    Ch 7_8 Does correlationalways signify a cause, and effect relationship between variables? If not, Why? Continued……. Both the correlated variables may be influenced by one or more other variables: A high degree of correlation between the yield per acre of the rice and tea may be due to the amount of rainfall. But none of the two variables is the cause of the other. Both the variables may be mutually influencing each other so that neither can be designated as cause and the other the effect. Variables like demand and supply, price and production, etc. mutually interact.
  • 9.
    Ch 7_9 Continued……. Example: Asthe price of a commodity increases, its demand goes down and so price is the cause and demand the effect. But it is also possible that increased demand of a commodity due to the growth of population or other reasons may force its price up. Now the cause is the increased demand, the effect the price. Thus at times it may become difficult to explain from the two correlated variables which is the cause and which is the effect because both may be reacting on each other. The above points clearly show that correlation does not manifest causation or functional relationship. By itself, it establishes only covariation.
  • 10.
    Ch 7_10 What arevarious types of correlation? Correlation is classified in several different ways. The most important types of correlation are: Positive and negative correlation Simple, partial and multiple correlation Linear and non–linear correlation Continued………
  • 11.
    Ch 7_11 What arevarious types of correlation? Positive correlation: If both the variables vary in the same direction i.e. if one variable increases, the other on average also increases, or if one variable decreases, the other on average also decreases, correlation is said to be positive. Continued………
  • 12.
  • 13.
    Ch 7_13 Continued……… Negative correlation:If the variables vary in opposite directions i.e. if one variable increases the other decreases or vice versa, correlation is said to be negative. What are the various types of correlation?
  • 14.
  • 15.
    Ch 7_15 What arethe various types of correlation? Simple correlation: When only two variables are studied, it is a problem of simple correlation. Continued………
  • 16.
    Ch 7_16 What arethe various types of correlation? Multiple correlation: When three or more variables are studied simultaneously, it is a problem of multiple correlation. Example 1: When we study the relationship between the yield of rice per acre and both the amount of rainfall and the amount of fertilizers used, it is problem of multiple correlation. Example 2: The relationship of plastic hardness, temperature and pressure . Continued………
  • 17.
    Ch 7_17 What arethe various types of correlation. Partial correlation: In partial correlation, we recognise more than two variables. But, when only two variables are considered to be influencing each other and the effect of other influencing variable is kept constant, it is a problem of partial correlation. Example: If we limit our correlation analysis of yield of rice per acre and rainfall to periods when a certain average daily temperature existed, it becomes a problem of partial correlation. Continued………
  • 18.
    Ch 7_18 What arevarious types of correlation? Linear (curvilinear) correlation: If the amount of change in one variable tends to bear constant ratio to the amount of change in other variable, then the correlation is said to be linear. Continued………
  • 19.
    Ch 7_19 Continued……… Example: X10 20 30 40 50 Y 70 140 210 280 350 It is clear that the ratio of change between two variables is the same. If these variables are plotted on a graph paper, all the plotted points would fall on a straight line.
  • 20.
    Ch 7_20 Continued……… Example: 0 100 200 300 400 10 2030 40 50 X y Positive Liner Correlation
  • 21.
    Ch 7_21 What arethe various types of correlation. Non–linear (curvilinear) correlation: If the amount of change in one variable does not bear a constant ratio to the amount of change in the other variable, then the correlation is said to be non–linear (curvilinear). Example: If the amount of rainfall is doubled, the production of rice or wheat, etc. would not necessarily be doubled. In most practical cases, we find a non- linear relationship between the variables. But, since techniques of analysis for measuring non- linear correlation are very complicated, the relationship between the variables is assumed to be of the linear type. Continued………
  • 22.
  • 23.
    Ch 7_23 What arethe methods of studying correlations? Continued……… Scatter Diagram Method Karl Pearson’s coefficient of correlation Spearman’s Rank correlation coefficient
  • 24.
    Ch 7_24 What isScatter Diagram ? Continued……… A scatter diagram refers to a diagram in which the values of the variables are plotted on a graph paper in the form of dots i.e. for each pair of X and Y values. If we put dots and thus obtain as many points as the number of observations, the diagram of dots, so obtained is known as scatter diagram.
  • 25.
    Ch 7_25 How canscatter diagram method (Dot chart method) be used to study correlation? Continued……… In this method, the given data are plotted on a graph paper in the form of dots. From scatter diagram i.e. by looking to the scatter of the various points, we can form a fairly good, though vague, idea whether the variables are correlated or not, e.g., if the points are dense, i.e. very close to each other, we should expect a fairly good amount of correlation between the variables and if the points are widely scattered, a poor correlation is expected.
  • 26.
    Ch 7_26 When iscorrelation said to be perfectly positive or and perfectly negative? Continued……… If all the points lie on a straight line rising from the lower left hand corner to the upper right hand corner, correlation is said to be perfectly positive ( i.e. r = +1) If all the points lie on a straight line falling from the upper left hand corner to the lower right hand corner of the diagram, correlation is said to be perfectly negative (i.e. r = - 1).
  • 27.
    Ch 7_27 Continued……… Example: Perfect PositiveCorrelation 0 1 2 3 4 5 6 7 8 9 10 10 9 8 7 6 5 4 3 2 1 0 X Y
  • 28.
    Ch 7_28 Perfect NegativeCorrelation 0 1 2 3 4 5 6 7 8 9 10 10 9 8 7 6 5 4 3 2 1 0 X Y
  • 29.
    Ch 7_29 Continued……… If theplotted points fall in a narrow band, there would be a high degree of correlation between the variables. Correlation shall be positive if the points show a rising tendency from upper left-hand corner to the right hand corner of the diagram, and negative if the points show a declining tendency from upper left hand corner to the lower right hand corner of the diagram.
  • 30.
    Ch 7_30 Strong PositiveCorrelation 0 1 2 3 4 5 6 7 8 9 10 10 9 8 7 6 5 4 3 2 1 0 X Y
  • 31.
    Ch 7_31 High degreeof Negative Correlation 0 1 2 3 4 5 6 7 8 9 10 10 9 8 7 6 5 4 3 2 1 0 X Y
  • 32.
    Ch 7_32 When willthere be low degree of correlation between two variables ? If the points are widely scattered over the diagrams, it indicates very low degree of relationship between the variables. This correlation shall be positive if the points rise from the lower left-hand corner to the upper right-hand corner, and negative if the points run from the upper left–hand side to the lower right hand side to the diagram.
  • 33.
  • 34.
  • 35.
    Ch 7_35 When willthere be no correlation between two variables? If the plotted points lie on a straight line parallel to the X- axis, or in a haphazard manner, it shows the absence of any relationship between the variables (i.e. r = 0)
  • 36.
    Ch 7_36 Zero Correlation 01 2 3 4 5 6 7 8 9 10 10 9 8 7 6 5 4 3 2 1 0 X Y
  • 37.
    Ch 7_37 Capital employed (Tk.crore) 12 3 4 5 7 8 9 11 12 Profits (Tk.lakhs) 3 5 4 7 9 8 10 11 12 14 Example: The following pairs of values are given: 1. Make a scatter diagram 2. Do you think that there is any correlation between profits and capital employed?
  • 38.
  • 39.
    Ch 7_39 It appearsfrom the above diagram that the variables – profits and capital employed are correlated. Correlation is positive because the trend to the points is upward rising from the lower left hand corner to the upper right–hand corner. The degree of relationship is high because the plotted points are in a narrow band which shows that it is a case of high degree of positive correlation. Do you think that there is any correlation between profits and capital employed?
  • 40.
    Ch 7_40 What arethe merits of scatter diagram method studying of correlation? Merits: It is a simple and non–mathematical method of studying correlation between the variables. Hence, it can be easily understood and rough idea can quickly be formed as to whether or not the variables are related. It is not influenced by the size of extreme values whereas, most of the mathematical methods of finding correlation are influenced by extreme values. Making a scatter diagram usually is the first step in investigating the relationship between the variable.
  • 41.
    Ch 7_41 What arethe limitations of Scatter diagram method of studying correlation? Limitations: It is not possible to establish the exact degree of correlation between the variables as is possible by applying the mathematical method.
  • 42.
    Ch 7_42 The coefficientof correlation (r) is a measure of the strength of the linear relationship between two or more variables. This summarizes in one figure the direction and degree of correlation. Designated r, it is often referred to as Pearson’s ‘r’ It can assume any value from –1.00 to +1.00 inclusive. A correlation co-efficient of –1.00 or +1.00 indicates perfect correlation. If there is absolutely no relationship between the two sets of variables, Pearson’s r is zero. It requires interval or ratio-scaled data (variables). What is meant by coefficient of correlation? Continued…….
  • 43.
    Ch 7_43 Negative valuesindicate an inverse relationship and positive values indicate a direct relationship. If there is absolutely no relationship between the two sets of variables, Pearson’s r is zero. A coefficient of correlation r close to o (say, 0.08). shows that the linear relationship is very weak. The same conclusion is drawn if r = - 0.08 . What is meant by Coefficient of Correlation? Continued…….
  • 44.
    Ch 7_44 Coefficients of–0.91 and + 0.91 have equal strength, both indicate very strong correlation between the two variables. Thus, the strength of correlation does not depend on the direction (either – or +). If the correlation is weak, there is considerable scatter about a line drawn through the center of the data. For the scatter diagram representing a strong relationship, there is very little scatter about the line. The following drawing shows the strength and direction of the coefficient of correlation: What is meant by Coefficient of Correlation? Continued…….
  • 45.
    Ch 7_45 Perfect negative correlation Perfectpositive correlation No correlation Strong negative correlation Moderate negative correlation Moderate positive correlation Weak negative correlation Weak positive correlation Strong positive correlation Negative correlation Positive correlation -1.00 - 0.50 0 + 0.50 + 1.00 Continued……
  • 46.
    Ch 7_46 The coefficientof correlation describes not only the magnitude of correlation but also its direction. Thus, + 0.8 would mean that correlation is positive and the magnitude of correlation is 0.8.
  • 47.
    Ch 7_47 The followingare the important properties of the co – efficient of correlation: The co– efficient of correlation lies between - 1 and + 1. Symbolically, - 1 ≤ r< +1 or │r ≤ 1 The co–efficient of correlation is independent of change of origin and scale. The co–efficient of correlation is the geometric mean of two regression co-efficient If X and Y are independent variables then co – efficient of correlation is zero. However, the converse is not true. What are the properties of the co– efficient of correlation? Continued…….
  • 48.
    Ch 7_48 Prove thatthe co –efficient of correlation lies between - 1 and +1. Symbolically, 11  r Or r ≤ Solution:            22 YYXX YYXX r Continued…..
  • 49.
    Ch 7_49             1.......1 01 012 22121 2 , 222 22                 r ror r rr bababaThen YY YY b XX XX aLet Continued…….
  • 50.
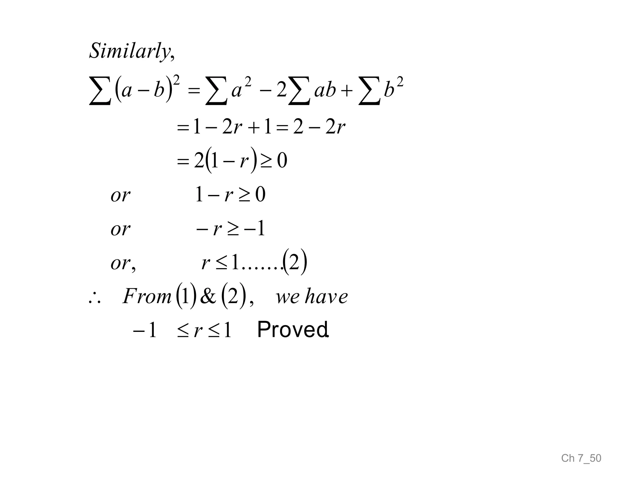
    Ch 7_50          .11 ,2&1 2.......1, 1 01 012 22121 2 , 222 Proved           r haveweFrom ror ror ror r rr bababa Similarly
  • 51.
    Ch 7_51 What isthe formula suggested by Karl Pearson for measuring the degree of relationship between two variables? If the two variables under study are X and Y, the following formula suggested by Karl Pearson can be used for measuring the degree of relationship.            22 YYXX YYXX r . , variablesYandXofmeans respectivetheareYandXand ncorrelatioofefficientcor Where  Continued……
  • 52.
    Ch 7_52 The aboveformula can be written us: This formula is to be used only where the deviations are taken from actual means and not from assumed means.    22 . yx xy r    YYy andXXx Where   ,
  • 53.
    Ch 7_53 Karl Pearson’sco-efficient of correlations The co-efficient of correlation can also be calculated from the original set of observations (i.e., without taking deviations from the mean) by applying the following formula:                          2222 2 2 2 2 YYNXXN yXXYN N Y Y N X X N YX XY r
  • 54.
    Ch 7_54 Karl Pearson’sco-efficient of correlations The co-efficient of correlation can also be calculated from the original set of observations (i.e., without taking deviations from the mean) by applying the formula:                          2222 2 2 2 2 YYNXXN yXXYN N Y Y N X X N YX XY r
  • 55.
    Ch 7_55 Find thecorrelation co-efficient between the sales and expenses from the data given below: Firm 1 2 3 4 5 6 7 8 9 10 Sales (Tk. Lakhs) 50 50 55 60 65 65 65 60 60 50 Expenses (Tk. Lakhs) 11 13 14 16 16 15 15 14 13 13 Example:
  • 56.
    Ch 7_56 Firm Sales Xx x2 Expenses Y y y2 xy 1 50 – 8 64 11 – 3 9 +24 2 50 – 8 64 13 – 1 1 +8 3 55 – 3 9 14 0 0 0 4 60 + 2 4 16 +2 4 +4 5 65 + 7 49 16 +2 4 +14 6 65 + 7 49 15 +1 1 +7 7 65 + 7 49 15 +1 1 +7 8 60 + 2 4 14 0 0 0 9 60 + 2 4 13 – 1 + 1 – 2 10 50 – 8 64 13 – 1 + 1 +8 N= 10 X =580 x=0 x2=360 Y=140 y=0 y2=22 xy=70 Calculation of correlation co-efficientExample:  XX   YY 
  • 57.
    Ch 7_57 14 10 140 58 10 580     N Y Y N X XHere Hence, thereis a high degree of positive correlation between the two variables i.e. as the value of sales goes up, the expenses also go up. 7870 99488 70 7920 70 22360 70 , 22           yx xy rncorrelatioofefficientCo
  • 58.
    Ch 7_58 Example: Find thecorrelation by Karl Pearson’s method between the two kinds of assessment of postgraduate students’ performance (marks out of 100) Roll No. of students 1 2 3 4 5 6 7 8 9 10 Internal Assessment 45 62 67 32 12 38 47 67 42 85 External Assessment 39 48 65 32 20 35 45 77 30 62
  • 59.
    Ch 7_59 Roll No students Internal assessment X xX2 External assessment Y y y2 xy 1 45 - 4.7 22.09 39 - 6.3 39.69 29.61 2 62 +12.3 151.29 48 +2.7 7.29 33.21 3 67 +17.3 299.29 65 +19.7 388.09 340.81 4 32 +17.7 313.29 32 - 13.3 176.89 235.41 5 12 - 37.7 1421.29 20 - 25.3 640.09 953.81 6 38 - 11.7 136.89 35 - 10.3 106.09 120.51 7 47 - 2.7 7.29 45 - 0.3 0.09 0.81 8 67 +17.3 299.29 77 +31.7 1004.89 548.41 9 42 - 7.7 59.29 30 - 15.3 234.09 117.81 10 85 +35.3 1246.09 62 +16.7 278.89 589.51 N = 10 X=497 x=0 X2 =3956.1 Y=453 y=0 y2 =2876.1 xy =2969.9 Calculation of correlation co-efficient  XX   YY 
  • 60.
    Ch 7_60 3.45 10 453 749 10 497 ,     N Y Y N X XHere Here thereis a high degree of positive correlation between internal assessment and external assessment i.e. as the marks of internal assessment go up, the marks of eternal assessment also go up. 880 153373 92969 2111378139 92969 1287613956 92969 , 22               yx xy rncorrelatioofefficientCo
  • 61.
    Ch 7_61 What arethe merits ? It summarizes in one figure not only the degree of correlation but also the direction i.e. whether correlation is positive or negative It helps one to go for further analysis.
  • 62.
    Ch 7_62 What areits limitations ? The chief limitations of Karl Pearson's method are as follows: The correlation coefficient always assumes linear relationship regardless of the fact whether that assumption is true or not. Great care must be exercised in interpreting the value of this co-efficient as very often the coefficient is misinterpreted. The value of the co-efficient is unduly affected by the extreme values. As compared to other methods of finding correlation, this method is more time-consuming.
  • 63.
    Ch 7_63 What isrank correlation co-efficient? Let us suppose that a group of ‘n’ individuals is arranged in order of merits or proficiency in possession of two characteristics A and B. These ranks in the two characteristics will, in general , be different. Example: If we consider the relation between intelligence and beauty, it is not necessary that a beautiful individual is intelligent also. Let (Xi, Yi); i=1, 2, 3………. n be ranks of ith individual in two characteristics A and B respectively.
  • 64.
    Ch 7_64 What isrank correlation co-efficient? Pearson’s co-efficient of correlation refers to the strength of relationship measured on the rank values of two series of data..
  • 65.
    Ch 7_65 Define Spearman’srank correlation co-efficient Spearman’s rank correlation coefficient is defined as :   , 6 1 1 6 1 3 2 2 2 NN D Or NN D R      where R denotes rank co-efficient of correlation and D refers to the difference of ranks between paired items in two series. The value of this co-efficient also lies between +1 and–1. When R = +1, there is complete agreement in the order of ranks and the ranks are in the same direction. When R= –1, there is complete agreement in the order of ranks and they are in opposite directions:
  • 66.
    Ch 7_66 What arethe steps involved in computing rank correlation co-efficient when actual ranks are not given? Where actual ranks are given, the steps required for computing rank correlation are : Take the difference of the two ranks, ie.e., (R1 - R2 ) and denote these differences by D. Square these differences and obtain the total D2. Apply the formula: NN D R    3 2 6 1
  • 67.
    Ch 7_67 Example: Two housewires,Mrs. A and Mrs. B, were asked to express their preference for different kinds of detergents, gave the following replies. Detergent Mrs. A Mrs. B A 4 4 B 2 1 C 1 2 D 3 3 E 7 8 F 8 7 G 6 5 H 5 6 I 9 9 J 10 10
  • 68.
    Ch 7_68 To whatextent the preferences of these two ladies go together? Continued……
  • 69.
    Ch 7_69 Calculation ofRank correlation co-efficient Detergent Mrs.A R1 Mrs. B R2 (R1-R2 )2 =D1 A 4 4 0 B 2 1 1 C 1 2 1 D 3 3 0 E 7 8 1 F 8 7 1 G 6 5 1 H 5 6 1 I 9 9 0 J 10 10 0 N =10 D2 =6 Solution
  • 70.
    Ch 7_70 In orderto find out how far preferences for different kind of detergents go together, we will calculate rank correlation co – efficient. Continued….. .964003601 990 36 1 101000 36 1 10 66 1 6 1, 10 3 3 2          NN D RefficientConCorrelatioRank
  • 71.
    Ch 7_71 This showsthat the preferences of these two ladies agree very closely as far as their opinion on detergents is concerned.
  • 72.
    Ch 7_72 When Ranksare not given, it will be necessary to assign the ranks. Ranks can be assigned by taking either the highest value as 1 or the lowest value as 1. Example: The marks obtained by students in two tests are given below: Preliminary Test 92 89 87 86 83 77 71 63 53 50 Final Test 86 83 91 77 68 85 52 82 37 57 Continued…….. Calculate the rank correlation coefficient and comment on this.
  • 73.
    Ch 7_73 Preliminary Test x R1Final Test y R2 (R1 – R2 )2 D2 92 10 86 9 1 89 9 86 7 4 87 8 91 10 4 86 7 77 5 4 83 6 68 4 4 77 5 85 8 9 71 4 52 2 4 63 3 82 6 9 53 2 37 1 1 50 1 57 3 4 N =10 D2 =44 Calculation of rank correlation co– efficient Continued……
  • 74.
    Ch 7_74 733026701 990 446 1 6 1 3 2       NN D R Thus,there is a high degree of positive correlation between preliminary and final test.
  • 75.
    Ch 7_75 Example: Seven methodsof imparting business education were ranked by the MBA students of two universities as follows: Methods of teaching i ii iii iv v vi vii Rank by students of University A 2 1 5 3 4 7 6 Rank by students of University B 1 3 2 4 7 5 6 Calculate the rank correlation co–efficient and comment on this Continued…….
  • 76.
    Ch 7_76 Solution: Methods of teaching Rankby students of University A R1 Rank by students of University B R2 (R1 – R2)2 D2 i 2 1 1 ii 1 3 4 iii 5 2 9 iv 3 4 1 v 4 7 9 vi 7 5 4 vii 6 6 0 N = 7 D2= 28
  • 77.
    Ch 7_77 It showsthat there is a moderate degree of positive correlation between ranks by students of two universities. 50 501 336 168 1 7343 168 1 286 1 6 1, 77 3 3 2            NN D RefficientConCorrelatioRank
  • 78.
    Ch 7_78 What arethe steps involved in computing rank correlation co-efficient when equal ranks or tie in ranks occur? In some cases it may be found necessary to assign equal rank to two or more individuals or entries. In such a case, it is customary to give each individual or entry an average rank Thus if two individuals are ranked equal at fifth place, they are each given the , that is 5.5 while if three are ranked equal at fifth place, they are given the rank = 6. In other words, where two or more individuals are to be ranked equal, the rank assigned for purposes of calculating coefficient of correlation is the average of the ranks which these individuals would have got, had they differed slightly from each other. 2 65  3 765 
  • 79.
    Ch 7_79 What arethe steps involved in computing rank correlation co-efficient when equal ranks or tie in ranks occur? Where equal ranks are assigned to some entries, an adjustment in the above formula for calculating the rank coefficient of correlation is made. The adjustment consists of adding to the value of D2, where m stands for the number of items whose ranks are common. If there are more than one such group of items with common rank, this value is added as many times as the number of such groups. The formula can thus be written as:  mm 3 12 1     NN mmmmD R           3 2 3 21 3 1 2 ......... 12 1 12 1 6 1
  • 80.
    Ch 7_80 Example: An examinationof eight applicants for a clerical post was taken by a firm. From the marks obtained by the applicants in the Accountancy and Statistics papers, commute rank co-efficient of correlation. Applicant A B C D E F G H Marks in Accountancy 15 20 28 12 40 60 20 80 Marks in Statistics 40 30 50 30 20 10 30 60
  • 81.
    Ch 7_81 Applicants Marksin Accountancy X Rank Assigned R1 Marks in Statistics Y Rank Assigned R2 (R1 –R2)2 D2 A 15 2 40 6 16.00 B 20 3.5 30 4 0.25 C 28 5 50 7 4.00 D 12 1 30 4 9.00 E 40 6 20 2 16.00 F 60 7 10 1 36.00 G 20 3.5 30 4 0.25 H 80 8 60 8 0.00 Calculation of Rank correlation Co-efficient D2 =81.5
  • 82.
    Ch 7_82    NN mmmmD R           3 2 3 21 3 1 2 12 1 12 1 6 1       0 504 846 1 504 2505816 1 3 12 1 2 12 1 5816 1 88 32 3 33              R The item 20 is repeated 2 times in series X and hence m1 = 2. In series Y, the item 30 occurs 3 times and hence M2= 3. Substituting these values in the above formula: There is no correlation between the marks obtained in the two subjects.
  • 83.
    Ch 7_83 What arethe merits of the rank method? Merits: This method is simpler to understand and easier to apply compared to the Karl Pearson’s method. The answers obtained by this method and the Karl Pearson’s method will be the same provided no value is repeated, i.e., all the items are different. Where the data are of a qualitative nature like honesty, efficiency, intelligence, etc. this method can be used with great advantage. Example: The workers of two factories can be ranked in order of efficiency and the degree of correlation can be established by applying the method.
  • 84.
    Ch 7_84 What arethe limitations of the rank method? Limitations: This method cannot be used for finding out correlation in a grouped frequency distribution. Where the number of observations exceed 30, the calculations become quite tedious and require a lot of time. Therefore, this method should not be applied where N is exceeding 30 unless we are given the ranks and not the actual values of the variable.
  • 85.
    Ch 7_85 What arelag and lead in correlation? The study of lag and lead is of special significance while studying economic and business series. In the correlation of time series the investigator may find that there is a time gap before a cause–and-effect relationship is established. Example: The supply of a commodity may increase today, but it may not have an immediate effect on prices – it may take a few days or even months for prices to adjust to the increased supply. The difference in the period before a cause– and– effect relationship is established is called ‘ Lag’, While computing correlation this time gap must be considered; otherwise, fallacious conclusions may be drawn. The pairing of items is adjusted according to the time lag.
  • 86.
    Ch 7_86 Example: The followingare the monthly figures of advertising expenditure and sales of a firm. It is generally found that advertising expenditure has its impact on sales generally after two months. Allowing for this time lag, calculate co-efficient of correlation between expenditure on advertisement and sales.
  • 87.
    Ch 7_87 Month Advertisingexpenditure Sales(Tk.) Jan. 50 1.200 Feb. 60 1,500 March 70 1,600 April 90 2,000 May 120 2,200 June 150 2,500 July 140 2,400 Aug. 160 2,600 Sept. 170 2,800 Oct. 190 2,900 Nov. 200 3,100 Dec. 250 3,900 Allow for a time lag of 2 months, i.e., link advertising expenditure of January with sales for march , and so on.
  • 88.
    Ch 7_88 Month Advertising Expenditure Xx x2 Sales Y y Y2 xy Jan. 50 - 7 49 1,600 - 10 100 70 Feb. 60 - 6 36 2,000 - 6 36 36 March 70 - 5 25 2,200 - 4 16 20 April 90 - 3 9 2,500 -1 1 3 May 120 0 0 2,400 - 2 4 0 June 150 +3 9 2,600 0 0 0 July 140 +2 4 2,800 +2 4 4 Aug. 160 +4 16 2,900 +3 9 12 Sept. 170 +5 25 3,100 +5 25 25 Oct. 190 +7 49 3,900 +13 169 91 X=1.200 x=0 x2=222 Y=26,000 y=0 Y2=364 xy=261   100 YY   10 XX  Calculation of correlation co-efficient
  • 89.
  • 90.
    Ch 7_90 References Quantitative Techniques,by CR Kothari, Vikas publication Fundamentals of Statistics by SC Guta Publisher Sultan Chand Quantitative Techniques in management by N.D. Vohra Publisher: Tata Mcgraw hill