Embed presentation
Download as PDF, PPTX









































This document summarizes key concepts in unconstrained optimization of functions with two variables, including: 1) Critical points are found by taking the partial derivatives and setting them equal to zero, generalizing the first derivative test for single-variable functions. 2) The Hessian matrix generalizes the second derivative, with its entries being the partial derivatives evaluated at a critical point. 3) The second derivative test classifies critical points as local maxima, minima or saddle points based on the signs of the Hessian matrix's eigenvalues. 4) Taylor polynomial approximations in two variables involve partial derivatives up to second order, analogous to single-variable Taylor series. 5) An example classifies the critical points








































An overview of optimization concepts in two dimensions, critical points, and test derivatives.
Explanation of Fermat's Theorem for single-variable functions. Introduction to the Second Derivative Test for local extrema.
Utilizing Taylor's Theorem to approximate functions near critical points, transitioning from one variable to two variables.
Transitioning from single-variable to two-variable functions, introduction of gradients and critical points.
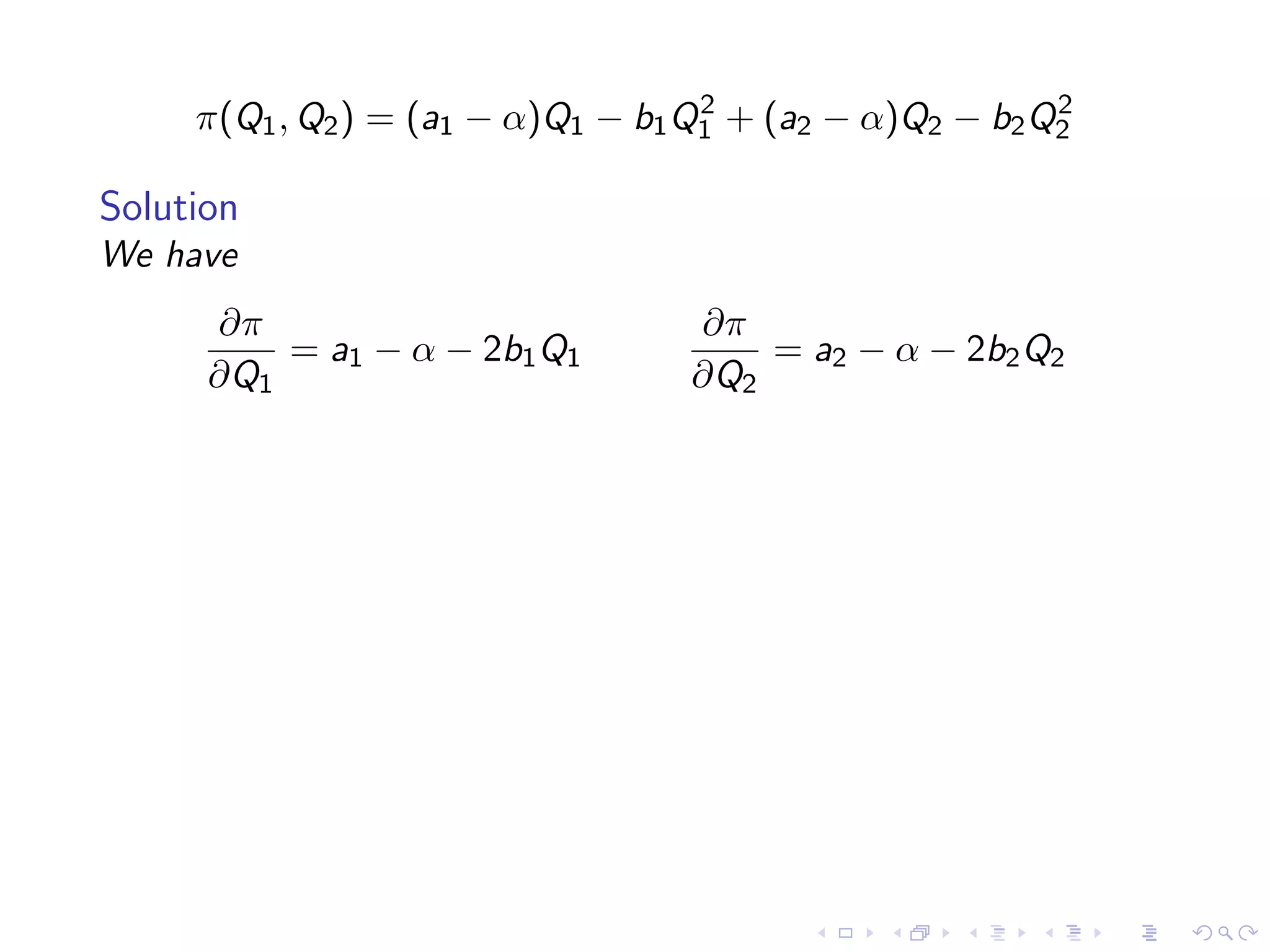
Identification and solutions for critical points of two-variable functions, illustrated through examples.
Definition and evaluation of the Hessian matrix for critical points and its implications for determining max, min, and saddle points.
Application of the Second Derivative Test to classify critical points for functions of two variables.
Solving specific examples for identifying critical points and their classification using the Hessian.
Resources for visualizing optimization problems and concluding remarks on derivative tests.
Case study on how a firm maximizes profit based on linear demand curves in two separate markets.
Additional examples specialized in finding and classifying critical points under various conditions.