Embed presentation
Downloaded 28 times








































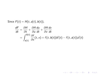
This document summarizes a lesson on implicit differentiation. It discusses implicit differentiation in two dimensions using both the "old school" and "new school" methods. It also covers applications of implicit differentiation, generalization to more than two dimensions, and the second derivative. Examples are provided to illustrate implicit differentiation of a utility function and calculating slopes along indifference curves.






































