Embed presentation
Download as PDF, PPTX








































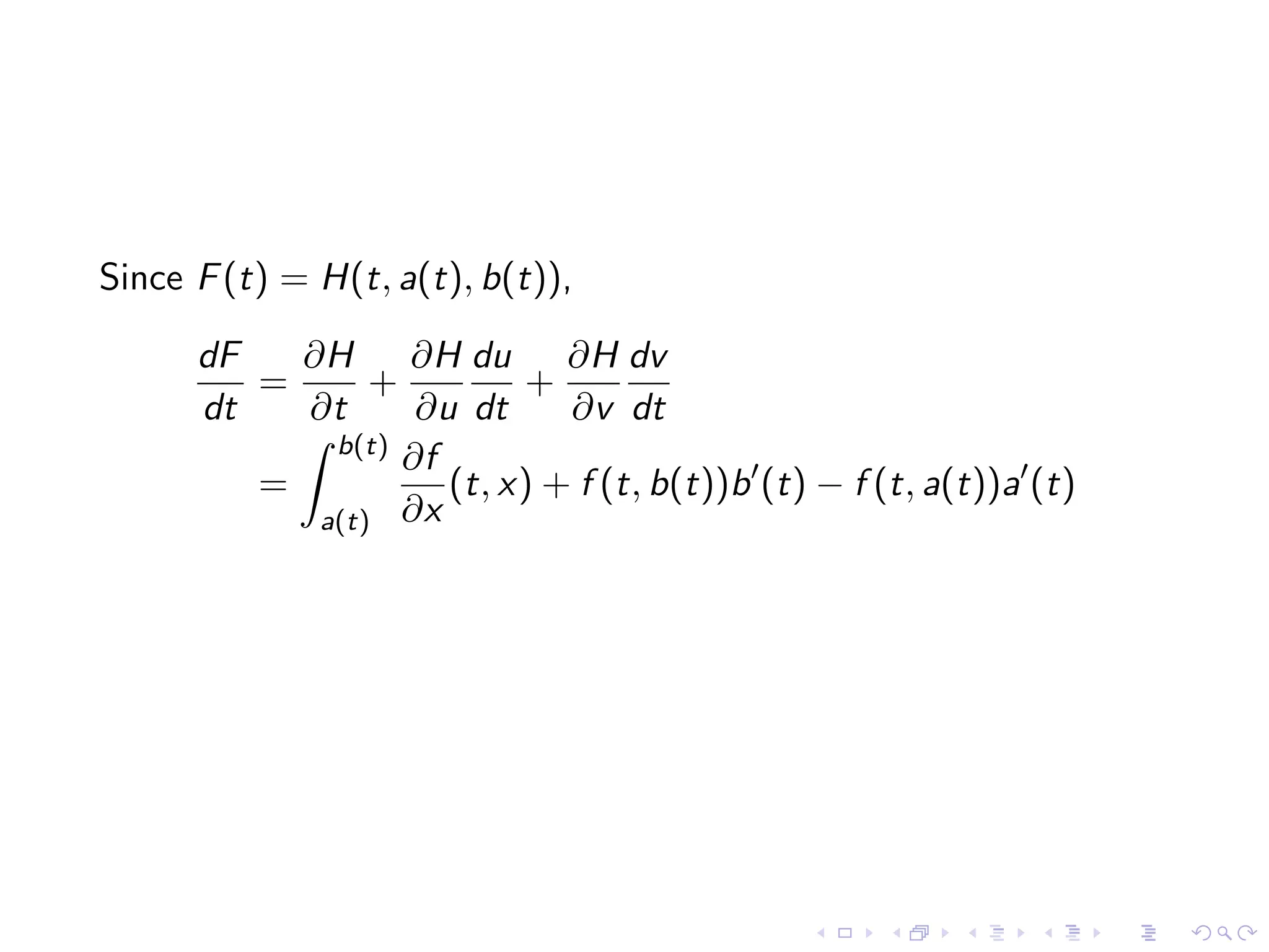
The document outlines the lecture on implicit differentiation and associated mathematical concepts such as the Leibniz rule and the chain rule. It includes announcements about problem sets, class schedules, and midterm dates, along with various applications and examples related to implicit differentiation in different dimensions. Additionally, it discusses utility functions and their implications in economics, highlighting the marginal rate of substitution.






































