Sec on 4.7
    An deriva ves
      V63.0121.001: Calculus I
    Professor Ma hew Leingang
           New York University


          April 19, 2011


.
Announcements
   Quiz 5 on Sec ons
   4.1–4.4 April 28/29
   Final Exam Thursday May
   12, 2:00–3:50pm
   I am teaching Calc II MW
   2:00pm and Calc III TR
   2:00pm both Fall ’11 and
   Spring ’12
Objectives
  Given a ”simple“ elementary
  func on, find a func on whose
  deriva ve is that func on.
  Remember that a func on
  whose deriva ve is zero along
  an interval must be zero along
  that interval.
  Solve problems involving
  rec linear mo on.
Outline
 What is an an deriva ve?
 Tabula ng An deriva ves
    Power func ons
    Combina ons
    Exponen al func ons
    Trigonometric func ons
    An deriva ves of piecewise func ons
 Finding An deriva ves Graphically
 Rec linear mo on
What is an antiderivative?


 Defini on
 Let f be a func on. An an deriva ve for f is a func on F such that
 F′ = f.
Who cares?
 Ques on
 Why would we want the an deriva ve of a func on?

 Answers
     For the challenge of it
     For applica ons when the deriva ve of a func on is known but
     the original func on is not
     Biggest applica on will be a er the Fundamental Theorem of
     Calculus (Chapter 5)
Hard problem, easy check

 Example
 Find an an deriva ve for f(x) = ln x.
Hard problem, easy check

 Example
 Find an an deriva ve for f(x) = ln x.

 Solu on
 ???
Hard problem, easy check
 Example
 is F(x) = x ln x − x an an deriva ve for f(x) = ln x?
Hard problem, easy check
 Example
 is F(x) = x ln x − x an an deriva ve for f(x) = ln x?

 Solu on

             d
             dx
                                             1
                (x ln x − x) = 1 · ln x + x · − 1 = ln x
                                             x
Why the MVT is the MITC
Most Important Theorem In Calculus!
 Theorem
 Let f′ = 0 on an interval (a, b). Then f is constant on (a, b).

 Proof.
 Pick any points x and y in (a, b) with x  y. By MVT there exists a
 point z in (x, y) such that

                         f(y) = f(x) + f′ (z)(y − x)

 But f′ (z) = 0, so f(y) = f(x). Since this is true for all x and y in (a, b),
 then f is constant.
Functions with the same derivative
 Theorem
 Suppose f and g are two differen able func ons on (a, b) with
 f′ = g′ . Then f and g differ by a constant. That is, there exists a
 constant C such that f(x) = g(x) + C.

 Proof.
      Let h(x) = f(x) − g(x)
      Then h′ (x) = f′ (x) − g′ (x) = 0 on (a, b)
      So h(x) = C, a constant
      This means f(x) − g(x) = C on (a, b)
Outline
 What is an an deriva ve?
 Tabula ng An deriva ves
    Power func ons
    Combina ons
    Exponen al func ons
    Trigonometric func ons
    An deriva ves of piecewise func ons
 Finding An deriva ves Graphically
 Rec linear mo on
Antiderivatives of power functions
 Recall that the deriva ve of a         y
 power func on is a power                       f(x) = x2
 func on.
 Fact (The Power Rule)
 If f(x) = xr , then f′ (x) = rxr−1 .

                                            .
                                                x
Antiderivatives of power functions
                                          ′
 Recall that the deriva ve of a         yf (x) = 2x
 power func on is a power                             f(x) = x2
 func on.
 Fact (The Power Rule)
 If f(x) = xr , then f′ (x) = rxr−1 .

                                         .
                                                      x
Antiderivatives of power functions
                                          ′
 Recall that the deriva ve of a         yf (x) = 2x
 power func on is a power                             f(x) = x2
 func on.
 Fact (The Power Rule)                                F(x) = ?

 If f(x) = xr , then f′ (x) = rxr−1 .

                                         .
                                                      x
Antiderivatives of power functions
                                          ′
 Recall that the deriva ve of a         yf (x) = 2x
 power func on is a power                             f(x) = x2
 func on.
 Fact (The Power Rule)                                F(x) = ?

 If f(x) = xr , then f′ (x) = rxr−1 .
 So in looking for
 an deriva ves of power                  .
                                                      x
 func ons, try power
 func ons!
Antiderivatives of power functions
 Example
 Find an an deriva ve for the func on f(x) = x3 .

 Solu on
Antiderivatives of power functions
 Example
 Find an an deriva ve for the func on f(x) = x3 .

 Solu on
     Try a power func on F(x) = axr
Antiderivatives of power functions
 Example
 Find an an deriva ve for the func on f(x) = x3 .

 Solu on
     Try a power func on F(x) = axr
     Then F′ (x) = arxr−1 , so we want arxr−1 = x3 .
Antiderivatives of power functions
 Example
 Find an an deriva ve for the func on f(x) = x3 .

 Solu on
     Try a power func on F(x) = axr
     Then F′ (x) = arxr−1 , so we want arxr−1 = x3 .
                                          1
     r − 1 = 3 =⇒ r = 4, and ar = 1 =⇒ a = .
                                          4
Antiderivatives of power functions
 Example
 Find an an deriva ve for the func on f(x) = x3 .

 Solu on
     Try a power func on F(x) = axr
     Then F′ (x) = arxr−1 , so we want arxr−1 = x3 .
                                          1
     r − 1 = 3 =⇒ r = 4, and ar = 1 =⇒ a = .
                                          4
Antiderivatives of power functions
 Example
 Find an an deriva ve for the func on f(x) = x3 .

 Solu on

              1
     So F(x) = x4 is an an deriva ve.
              4
Antiderivatives of power functions
 Example
 Find an an deriva ve for the func on f(x) = x3 .

 Solu on

               1
     So F(x) = x4 is an an deriva ve.
               4
               ( )
     Check:
             d 1 4
             dx 4
                            1
                  x = 4 · x4−1 = x3
                            4
Antiderivatives of power functions
 Example
 Find an an deriva ve for the func on f(x) = x3 .

 Solu on

               1
     So F(x) = x4 is an an deriva ve.
               4
               ( )
     Check:
             d 1 4
             dx 4
                            1
                  x = 4 · x4−1 = x3
                            4
                                         
     Any others?
Antiderivatives of power functions
 Example
 Find an an deriva ve for the func on f(x) = x3 .

 Solu on

               1
     So F(x) = x4 is an an deriva ve.
               4
               ( )
     Check:
             d 1 4
             dx 4
                            1
                  x = 4 · x4−1 = x3
                            4
                                         
                            1
     Any others? Yes, F(x) = x4 + C is the most general form.
                            4
General power functions
 Fact (The Power Rule for an deriva ves)
 If f(x) = xr , then
                                       1 r+1
                             F(x) =       x
                                      r+1
 is an an deriva ve for f…
General power functions
 Fact (The Power Rule for an deriva ves)
 If f(x) = xr , then
                                      1 r+1
                           F(x) =         x
                                   r+1
 is an an deriva ve for f as long as r ̸= −1.
General power functions
 Fact (The Power Rule for an deriva ves)
 If f(x) = xr , then
                                      1 r+1
                           F(x) =         x
                                   r+1
 is an an deriva ve for f as long as r ̸= −1.

 Fact
                1
 If f(x) = x−1 = , then F(x) = ln |x| + C is an an deriva ve for f.
                x
What’s with the absolute value?
                               {
                                ln(x)     if x  0;
               F(x) = ln |x| =
                                ln(−x)    if x  0.

   The domain of F is all nonzero numbers, while ln x is only
   defined on posi ve numbers.
What’s with the absolute value?
                               {
                                ln(x)     if x  0;
               F(x) = ln |x| =
                                ln(−x)    if x  0.

   The domain of F is all nonzero numbers, while ln x is only
   defined on posi ve numbers.
             d
   If x  0,    ln |x|
             dx
What’s with the absolute value?
                               {
                                ln(x)     if x  0;
               F(x) = ln |x| =
                                ln(−x)    if x  0.

   The domain of F is all nonzero numbers, while ln x is only
   defined on posi ve numbers.
             d           d
   If x  0,    ln |x| =    ln(x)
             dx          dx
What’s with the absolute value?
                               {
                                ln(x)     if x  0;
               F(x) = ln |x| =
                                ln(−x)    if x  0.

   The domain of F is all nonzero numbers, while ln x is only
   defined on posi ve numbers.
             d           d          1
   If x  0,    ln |x| =    ln(x) =
             dx          dx         x
What’s with the absolute value?
                               {
                                ln(x)     if x  0;
               F(x) = ln |x| =
                                ln(−x)    if x  0.

   The domain of F is all nonzero numbers, while ln x is only
   defined on posi ve numbers.
   If x  0,
             d
             dx
                ln |x| =
                         d
                         dx
                            ln(x) =
                                    1
                                    x
What’s with the absolute value?
                               {
                                ln(x)     if x  0;
               F(x) = ln |x| =
                                ln(−x)    if x  0.

   The domain of F is all nonzero numbers, while ln x is only
   defined on posi ve numbers.
   If x  0,
             d
             dx
                ln |x| =
                         d
                         dx
                            ln(x) =
                                    1
                                    x
                                     
             d
   If x  0,    ln |x|
             dx
What’s with the absolute value?
                               {
                                ln(x)     if x  0;
               F(x) = ln |x| =
                                ln(−x)    if x  0.

   The domain of F is all nonzero numbers, while ln x is only
   defined on posi ve numbers.
   If x  0,
             d
             dx
                ln |x| =
                         d
                         dx
                            ln(x) =
                                    1
                                    x
                                     
             d           d
   If x  0,    ln |x| =    ln(−x)
             dx          dx
What’s with the absolute value?
                               {
                                ln(x)     if x  0;
               F(x) = ln |x| =
                                ln(−x)    if x  0.

   The domain of F is all nonzero numbers, while ln x is only
   defined on posi ve numbers.
   If x  0,
             d
             dx
                ln |x| =
                         d
                         dx
                            ln(x) =
                                    1
                                    x
                                     
             d           d            1
   If x  0,    ln |x| =    ln(−x) =     · (−1)
             dx          dx           −x
What’s with the absolute value?
                               {
                                ln(x)     if x  0;
               F(x) = ln |x| =
                                ln(−x)    if x  0.

   The domain of F is all nonzero numbers, while ln x is only
   defined on posi ve numbers.
   If x  0,
             d
             dx
                ln |x| =
                         d
                         dx
                            ln(x) =
                                    1
                                    x
                                     
             d           d            1           1
   If x  0,    ln |x| =    ln(−x) =     · (−1) =
             dx          dx           −x          x
What’s with the absolute value?
                               {
                                ln(x)     if x  0;
               F(x) = ln |x| =
                                ln(−x)    if x  0.

   The domain of F is all nonzero numbers, while ln x is only
   defined on posi ve numbers.
   If x  0,
             d
             dx
                ln |x| =
                         d
                         dx
                            ln(x) =
                                    1
                                    x
                                     
   If x  0,
             d
             dx
                ln |x| =
                         d
                         dx
                            ln(−x) =
                                      1
                                      −x
                                         · (−1) =
                                                  1
                                                  x
What’s with the absolute value?
                               {
                                ln(x)     if x  0;
               F(x) = ln |x| =
                                ln(−x)    if x  0.

   The domain of F is all nonzero numbers, while ln x is only
   defined on posi ve numbers.
   If x  0,
             d
             dx
                ln |x| =
                         d
                         dx
                            ln(x) =
                                    1
                                    x
                                     
   If x  0,
             d
             dx
                ln |x| =
                         d
                         dx
                            ln(−x) =
                                      1
                                      −x
                                         · (−1) =
                                                  1
                                                  x
                                                      
   We prefer the an deriva ve with the larger domain.
Graph of ln |x|
                  y




                      .   x = 1/x
                          f(x)
Graph of ln |x|
                  y




                          F(x) = ln(x)

                      .   x = 1/x
                          f(x)
Graph of ln |x|
                  y




                          F(x) = ln |x|

                      .   x = 1/x
                          f(x)
Combinations of antiderivatives

 Fact (Sum and Constant Mul ple Rule for An deriva ves)

     If F is an an deriva ve of f and G is an an deriva ve of g, then
     F + G is an an deriva ve of f + g.
     If F is an an deriva ve of f and c is a constant, then cF is an
     an deriva ve of cf.
Combinations of antiderivatives
 Proof.
 These follow from the sum and constant mul ple rule for
 deriva ves:
      If F′ = f and G′ = g, then

                       (F + G)′ = F′ + G′ = f + g

     Or, if F′ = f,
                            (cF)′ = cF′ = cf
Antiderivatives of Polynomials
 Example
 Find an an deriva ve for f(x) = 16x + 5.
Antiderivatives of Polynomials
 Example
 Find an an deriva ve for f(x) = 16x + 5.

 Solu on
                1
 The expression x2 is an an deriva ve for x, and x is an
                2
 an deriva ve for 1. So
                       ( )
                         1 2
           F(x) = 16 ·     x + 5 · x + C = 8x2 + 5x + C
                         2
 is the an deriva ve of f.
Antiderivatives of Polynomials

 Ques on
 Do we need two C’s or just one?
Antiderivatives of Polynomials

 Ques on
 Do we need two C’s or just one?

 Answer
 Just one. A combina on of two arbitrary constants is s ll an
 arbitrary constant.
Exponential Functions
 Fact
 If f(x) = ax , f′ (x) = (ln a)ax .
Exponential Functions
 Fact
 If f(x) = ax , f′ (x) = (ln a)ax .
 Accordingly,
 Fact
                                1 x
 If f(x) = ax , then F(x) =         a + C is the an deriva ve of f.
                               ln a
Exponential Functions
 Fact
 If f(x) = ax , f′ (x) = (ln a)ax .
 Accordingly,
 Fact
                                1 x
 If f(x) = ax , then F(x) =         a + C is the an deriva ve of f.
                               ln a
 Proof.
 Check it yourself.
Exponential Functions

 In par cular,
Exponential Functions

 In par cular,
 Fact
 If f(x) = ex , then F(x) = ex + C is the an deriva ve of f.
Logarithmic functions?
   Remember we found F(x) = x ln x − x is an an deriva ve of
   f(x) = ln x.
Logarithmic functions?
   Remember we found F(x) = x ln x − x is an an deriva ve of
   f(x) = ln x.
   This is not obvious. See Calc II for the full story.
Logarithmic functions?
        Remember we found F(x) = x ln x − x is an an deriva ve of
        f(x) = ln x.
        This is not obvious. See Calc II for the full story.
                                                 ln x
        However, using the fact that loga x =         , we get:
                                                 ln a
 Fact
 If f(x) = loga (x)
                       1                                  1
            F(x) =         (x ln x − x) + C = x loga x −      x+C
                      ln a                               ln a
 is the an deriva ve of f(x).
Trigonometric functions
 Fact

        d                  d
           sin x = cos x      cos x = − sin x
        dx                 dx
Trigonometric functions
 Fact

                  d                  d
                     sin x = cos x      cos x = − sin x
                  dx                 dx

 So to turn these around,
 Fact
        The func on F(x) = − cos x + C is the an deriva ve of
        f(x) = sin x.
Trigonometric functions
 Fact

                  d                  d
                     sin x = cos x      cos x = − sin x
                  dx                 dx

 So to turn these around,
 Fact
        The func on F(x) = − cos x + C is the an deriva ve of
        f(x) = sin x.
        The func on F(x) = sin x + C is the an deriva ve of
        f(x) = cos x.
More Trig
 Example
 Find an an deriva ve of f(x) = tan x.
More Trig
 Example
 Find an an deriva ve of f(x) = tan x.

 Solu on
 ???
More Trig
 Example
 Find an an deriva ve of f(x) = tan x.

 Answer
 F(x) = ln | sec x|.
More Trig
 Example
 Find an an deriva ve of f(x) = tan x.

 Answer
 F(x) = ln | sec x|.

 Check

          d    1    d
            =     ·   sec x
          dx sec x dx
More Trig
 Example
 Find an an deriva ve of f(x) = tan x.

 Answer
 F(x) = ln | sec x|.

 Check

          d    1    d
            =     ·   sec x
          dx sec x dx
More Trig
 Example
 Find an an deriva ve of f(x) = tan x.

 Answer
 F(x) = ln | sec x|.

 Check

          d    1    d           1
            =     ·   sec x =       · sec x tan x
          dx sec x dx         sec x
More Trig
 Example
 Find an an deriva ve of f(x) = tan x.

 Answer
 F(x) = ln | sec x|.

 Check

          d    1    d           1
            =     ·   sec x =       · sec x tan x = tan x
          dx sec x dx         sec x
More Trig
 Example
 Find an an deriva ve of f(x) = tan x.

 Answer
 F(x) = ln | sec x|.

 Check

          d
            =
               1
                  ·
                    d
          dx sec x dx
                      sec x =
                                1
                              sec x
                                    · sec x tan x = tan x
More Trig
 Example
 Find an an deriva ve of f(x) = tan x.

 Answer
 F(x) = ln | sec x|.

 Check

          d
            =
               1
                  ·
                    d
          dx sec x dx
                      sec x =
                                1
                              sec x
                                    · sec x tan x = tan x   
 More about this later.
Antiderivatives of piecewise functions

 Example
 Let                        {
                                x        if 0 ≤ x ≤ 1;
                   f(x) =
                                1 − x2   if 1  x.
 Find the an deriva ve of f with F(0) = 1.
Antiderivatives of piecewise functions
 Solu on
 We can an differen ate each piece:
                    
                    1 2
                     x + C1            if 0 ≤ x ≤ 1;
              F(x) = 2 1
                    x − x3 + C
                                       if 1  x.
                                   2
                           3
 The constants need to be chosen so that F(0) = 1 and F is
 con nuous (at 1).

                1 2
                 x + C1            if 0 ≤ x ≤ 1;
          F(x) = 2 1
                x − x3 + C
                                   if 1  x.
                            2
                     3
           1
Note F(0) = 02 + C1 = C1 , so if F(0) is to be 1, C1 = 1.
           2

                1 2
                 x + C1            if 0 ≤ x ≤ 1;
          F(x) = 2 1
                x − x3 + C
                                   if 1  x.
                            2
                     3
            1
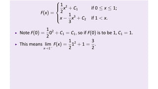
Note F(0) = 02 + C1 = C1 , so if F(0) is to be 1, C1 = 1.
            2
                      1            3
This means lim− F(x) = 12 + 1 = .
           x→1        2            2

                1 2
                 x + C1            if 0 ≤ x ≤ 1;
          F(x) = 2 1
                x − x3 + C
                                   if 1  x.
                            2
                     3
             1
Note F(0) = 02 + C1 = C1 , so if F(0) is to be 1, C1 = 1.
             2
                      1            3
This means lim− F(x) = 12 + 1 = .
           x→1        2            2
On the other hand,
                                 1        2
               lim+ F(x) = 1 −     + C 2 = + C2
               x→1               3        3
                                   3 2                    5
So for F to be con nuous we need    = + C2 . Solving, C2 = .
                                   2 3                    6
Outline
 What is an an deriva ve?
 Tabula ng An deriva ves
    Power func ons
    Combina ons
    Exponen al func ons
    Trigonometric func ons
    An deriva ves of piecewise func ons
 Finding An deriva ves Graphically
 Rec linear mo on
Finding Antiderivatives Graphically

                                y
 Problem
 Pictured is the graph of a                           y = f(x)
 func on f. Draw the graph of       .
 an an deriva ve for f.                               x
                                        1 2 3 4 5 6
Using f to make a sign chart for F
 Assuming F′ = f, we can make a sign chart for f and f′ to find the
 intervals of monotonicity and concavity for F:
  y                                                          f = F′
                                   .
                                      1 2 3 4 5 6F

                                                             f′ = F′′
   .
       1 2 3 4 5 6
                           x           1   2   3   4   5   6F

                                                             F
                                       1   2   3   4   5   6 shape
Using f to make a sign chart for F
 Assuming F′ = f, we can make a sign chart for f and f′ to find the
 intervals of monotonicity and concavity for F:
  y                                     +                    f = F′
                                   .
                                      1 2 3 4 5 6F

                                                             f′ = F′′
   .
       1 2 3 4 5 6
                           x           1   2   3   4   5   6F

                                                             F
                                       1   2   3   4   5   6 shape
Using f to make a sign chart for F
 Assuming F′ = f, we can make a sign chart for f and f′ to find the
 intervals of monotonicity and concavity for F:
  y                                     + +                  f = F′
                                   .
                                      1 2 3 4 5 6F

                                                             f′ = F′′
   .
       1 2 3 4 5 6
                           x           1   2   3   4   5   6F

                                                             F
                                       1   2   3   4   5   6 shape
Using f to make a sign chart for F
 Assuming F′ = f, we can make a sign chart for f and f′ to find the
 intervals of monotonicity and concavity for F:
  y                                     + + −                f = F′
                                   .
                                      1 2 3 4 5 6F

                                                             f′ = F′′
   .
       1 2 3 4 5 6
                           x           1   2   3   4   5   6F

                                                             F
                                       1   2   3   4   5   6 shape
Using f to make a sign chart for F
 Assuming F′ = f, we can make a sign chart for f and f′ to find the
 intervals of monotonicity and concavity for F:
  y                                     + + − −              f = F′
                                   .
                                      1 2 3 4 5 6F

                                                             f′ = F′′
   .
       1 2 3 4 5 6
                           x           1   2   3   4   5   6F

                                                             F
                                       1   2   3   4   5   6 shape
Using f to make a sign chart for F
 Assuming F′ = f, we can make a sign chart for f and f′ to find the
 intervals of monotonicity and concavity for F:
                                                                  ′
  y                                .    + + − − + f=F
                                      1 2 3 4 5 6F

                                                             f′ = F′′
   .
       1 2 3 4 5 6
                           x           1   2   3   4   5   6F

                                                             F
                                       1   2   3   4   5   6 shape
Using f to make a sign chart for F
 Assuming F′ = f, we can make a sign chart for f and f′ to find the
 intervals of monotonicity and concavity for F:
                                                                  ′
  y                                .    + + − − + f=F
                                      1↗2 3 4 5 6 F

                                                             f′ = F′′
   .
       1 2 3 4 5 6
                           x           1   2   3   4   5   6F

                                                             F
                                       1   2   3   4   5   6 shape
Using f to make a sign chart for F
 Assuming F′ = f, we can make a sign chart for f and f′ to find the
 intervals of monotonicity and concavity for F:
                                                                  ′
  y                                .    + + − − + f=F
                                      1↗2↗3 4 5 6 F

                                                             f′ = F′′
   .
       1 2 3 4 5 6
                           x           1   2   3   4   5   6F

                                                             F
                                       1   2   3   4   5   6 shape
Using f to make a sign chart for F
 Assuming F′ = f, we can make a sign chart for f and f′ to find the
 intervals of monotonicity and concavity for F:
                                                                  ′
  y                                .    + + − − + f=F
                                      1↗2↗3↘4 5 6 F

                                                             f′ = F′′
   .
       1 2 3 4 5 6
                           x           1   2   3   4   5   6F

                                                             F
                                       1   2   3   4   5   6 shape
Using f to make a sign chart for F
 Assuming F′ = f, we can make a sign chart for f and f′ to find the
 intervals of monotonicity and concavity for F:
                                                                  ′
  y                                .    + + − − + f=F
                                      1↗2↗3↘4↘5 6 F

                                                             f′ = F′′
   .
       1 2 3 4 5 6
                           x           1   2   3   4   5   6F

                                                             F
                                       1   2   3   4   5   6 shape
Using f to make a sign chart for F
 Assuming F′ = f, we can make a sign chart for f and f′ to find the
 intervals of monotonicity and concavity for F:
                                                                  ′
  y                                .    + + − − + f=F
                                      1↗2↗3↘4↘5↗6 F

                                                             f′ = F′′
   .
       1 2 3 4 5 6
                           x           1   2   3   4   5   6F

                                                             F
                                       1   2   3   4   5   6 shape
Using f to make a sign chart for F
 Assuming F′ = f, we can make a sign chart for f and f′ to find the
 intervals of monotonicity and concavity for F:
                                                                   ′
  y                                .    + + − − + f=F
                                      1↗2↗3↘4↘5↗6 F
                                             max
                                                             f′ = F′′
    .
       1 2 3 4 5 6
                           x          1 2 3 4 5 6F

                                                              F
                                        1   2   3   4   5   6 shape
Using f to make a sign chart for F
 Assuming F′ = f, we can make a sign chart for f and f′ to find the
 intervals of monotonicity and concavity for F:
                                                                   ′
  y                                .    + + − − + f=F
                                      1↗2↗3↘4↘5↗6 F
                                             max     min
                                                             f′ = F′′
    .
       1 2 3 4 5 6
                           x          1 2 3 4 5 6F

                                                              F
                                        1   2   3   4   5   6 shape
Using f to make a sign chart for F
 Assuming F′ = f, we can make a sign chart for f and f′ to find the
 intervals of monotonicity and concavity for F:
                                                                   ′
  y                                .    + + − − + f=F
                                      1↗2↗3↘4↘5↗6 F
                                             max     min
                                       ++                    f′ = F′′
    .
       1 2 3 4 5 6
                           x          1 2 3 4 5 6F

                                                              F
                                        1   2   3   4   5   6 shape
Using f to make a sign chart for F
 Assuming F′ = f, we can make a sign chart for f and f′ to find the
 intervals of monotonicity and concavity for F:
                                                                   ′
  y                                .    + + − − + f=F
                                      1↗2↗3↘4↘5↗6 F
                                             max     min
                                       ++ −−                 f′ = F′′
    .
       1 2 3 4 5 6
                           x          1 2 3 4 5 6F

                                                              F
                                        1   2   3   4   5   6 shape
Using f to make a sign chart for F
 Assuming F′ = f, we can make a sign chart for f and f′ to find the
 intervals of monotonicity and concavity for F:
                                                                   ′
  y                                .    + + − − + f=F
                                      1↗2↗3↘4↘5↗6 F
                                             max     min
                                       ++ −−−−               f′ = F′′
    .
       1 2 3 4 5 6
                           x          1 2 3 4 5 6F

                                                              F
                                        1   2   3   4   5   6 shape
Using f to make a sign chart for F
 Assuming F′ = f, we can make a sign chart for f and f′ to find the
 intervals of monotonicity and concavity for F:
                                                                   ′
  y                                .    + + − − + f=F
                                      1↗2↗3↘4↘5↗6 F
                                             max     min
                                       ++ −−−− ++            f′ = F′′
    .
       1 2 3 4 5 6
                           x          1 2 3 4 5 6F

                                                              F
                                        1   2   3   4   5   6 shape
Using f to make a sign chart for F
 Assuming F′ = f, we can make a sign chart for f and f′ to find the
 intervals of monotonicity and concavity for F:
                                                                  ′
  y                                .    + + − − + f=F
                                      1↗2↗3↘4↘5↗6 F
                                             max     min
                                                             ′      ′′
                                       ++ −−−− ++ ++ f = F
    .
       1 2 3 4 5 6
                           x          1 2 3 4 5 6F

                                                               F
                                        1   2   3    4   5   6 shape
Using f to make a sign chart for F
 Assuming F′ = f, we can make a sign chart for f and f′ to find the
 intervals of monotonicity and concavity for F:
                                                                  ′
  y                                .    + + − − + f=F
                                      1↗2↗3↘4↘5↗6 F
                                             max     min
                                                             ′      ′′
                                       ++ −−−− ++ ++ f = F
    .                                  ⌣
       1 2 3 4 5 6
                           x          1 2 3 4 5 6F

                                                               F
                                        1   2   3    4   5   6 shape
Using f to make a sign chart for F
 Assuming F′ = f, we can make a sign chart for f and f′ to find the
 intervals of monotonicity and concavity for F:
                                                                  ′
  y                                .    + + − − + f=F
                                      1↗2↗3↘4↘5↗6 F
                                             max     min
                                                             ′      ′′
                                       ++ −−−− ++ ++ f = F
    .                                  ⌣ ⌢
       1 2 3 4 5 6
                           x          1 2 3 4 5 6F

                                                               F
                                        1   2   3    4   5   6 shape
Using f to make a sign chart for F
 Assuming F′ = f, we can make a sign chart for f and f′ to find the
 intervals of monotonicity and concavity for F:
                                                                  ′
  y                                .    + + − − + f=F
                                      1↗2↗3↘4↘5↗6 F
                                             max     min
                                                             ′      ′′
                                       ++ −−−− ++ ++ f = F
    .                                  ⌣ ⌢ ⌢
       1 2 3 4 5 6
                           x          1 2 3 4 5 6F

                                                               F
                                        1   2   3    4   5   6 shape
Using f to make a sign chart for F
 Assuming F′ = f, we can make a sign chart for f and f′ to find the
 intervals of monotonicity and concavity for F:
                                                                  ′
  y                                .    + + − − + f=F
                                      1↗2↗3↘4↘5↗6 F
                                             max     min
                                                             ′      ′′
                                       ++ −−−− ++ ++ f = F
    .                                  ⌣ ⌢ ⌢ ⌣
       1 2 3 4 5 6
                           x          1 2 3 4 5 6F

                                                               F
                                        1   2   3    4   5   6 shape
Using f to make a sign chart for F
 Assuming F′ = f, we can make a sign chart for f and f′ to find the
 intervals of monotonicity and concavity for F:
                                                                  ′
  y                                .    + + − − + f=F
                                      1↗2↗3↘4↘5↗6 F
                                             max     min
                                                             ′      ′′
                                       ++ −−−− ++ ++ f = F
    .                                  ⌣ ⌢ ⌢ ⌣ ⌣
       1 2 3 4 5 6
                           x          1 2 3 4 5 6F

                                                               F
                                        1   2   3    4   5   6 shape
Using f to make a sign chart for F
 Assuming F′ = f, we can make a sign chart for f and f′ to find the
 intervals of monotonicity and concavity for F:
                                                                  ′
  y                                .    + + − − + f=F
                                      1↗2↗3↘4↘5↗6 F
                                             max     min
                                                              ′     ′′
                                       ++ −−−− ++ ++ f = F
    .                                  ⌣ ⌢ ⌢ ⌣ ⌣
       1 2 3 4 5 6
                           x          1 2 3 4 5 6F
                                          IP
                                                             F
                                      1 2 3 4 5 6 shape
Using f to make a sign chart for F
 Assuming F′ = f, we can make a sign chart for f and f′ to find the
 intervals of monotonicity and concavity for F:
                                                                  ′
  y                                .    + + − − + f=F
                                      1↗2↗3↘4↘5↗6 F
                                             max     min
                                                              ′     ′′
                                       ++ −−−− ++ ++ f = F
    .                                  ⌣ ⌢ ⌢ ⌣ ⌣
       1 2 3 4 5 6
                           x          1 2 3 4 5 6F
                                          IP      IP
                                                             F
                                      1 2 3 4 5 6 shape
Using f to make a sign chart for F
 Assuming F′ = f, we can make a sign chart for f and f′ to find the
 intervals of monotonicity and concavity for F:
                                                                  ′
  y                                .    + + − − + f=F
                                      1↗2↗3↘4↘5↗6 F
                                             max     min
                                                              ′     ′′
                                       ++ −−−− ++ ++ f = F
    .                                  ⌣ ⌢ ⌢ ⌣ ⌣
       1 2 3 4 5 6
                           x          1 2 3 4 5 6F
                                          IP      IP
                                                             F
                                      1 2 3 4 5 6 shape
Using f to make a sign chart for F
 Assuming F′ = f, we can make a sign chart for f and f′ to find the
 intervals of monotonicity and concavity for F:
                                                                  ′
  y                                .    + + − − + f=F
                                      1↗2↗3↘4↘5↗6 F
                                             max     min
                                                              ′     ′′
                                       ++ −−−− ++ ++ f = F
    .                                  ⌣ ⌢ ⌢ ⌣ ⌣
       1 2 3 4 5 6
                           x          1 2 3 4 5 6F
                                          IP      IP
                                                             F
                                      1 2 3 4 5 6 shape
Using f to make a sign chart for F
 Assuming F′ = f, we can make a sign chart for f and f′ to find the
 intervals of monotonicity and concavity for F:
                                                                  ′
  y                                .    + + − − + f=F
                                      1↗2↗3↘4↘5↗6 F
                                             max     min
                                                              ′     ′′
                                       ++ −−−− ++ ++ f = F
    .                                  ⌣ ⌢ ⌢ ⌣ ⌣
       1 2 3 4 5 6
                           x          1 2 3 4 5 6F
                                          IP      IP
                                                             F
                                      1 2 3 4 5 6 shape
Using f to make a sign chart for F
 Assuming F′ = f, we can make a sign chart for f and f′ to find the
 intervals of monotonicity and concavity for F:
                                                                  ′
  y                                .    + + − − + f=F
                                      1↗2↗3↘4↘5↗6 F
                                             max     min
                                                              ′     ′′
                                       ++ −−−− ++ ++ f = F
    .                                  ⌣ ⌢ ⌢ ⌣ ⌣
       1 2 3 4 5 6
                           x          1 2 3 4 5 6F
                                          IP      IP
                                                             F
                                      1 2 3 4 5 6 shape
Using f to make a sign chart for F
 Assuming F′ = f, we can make a sign chart for f and f′ to find the
 intervals of monotonicity and concavity for F:
                                                                  ′
  y                                .    + + − − + f=F
                                      1↗2↗3↘4↘5↗6 F
                                             max     min
                                                              ′     ′′
                                       ++ −−−− ++ ++ f = F
    .                                  ⌣ ⌢ ⌢ ⌣ ⌣
       1 2 3 4 5 6
                           x          1 2 3 4 5 6F
                                          IP      IP
                                                             F
                                      1 2 3 4 5 6 shape
Using f to make a sign chart for F
 Assuming F′ = f, we can make a sign chart for f and f′ to find the
 intervals of monotonicity and concavity for F:
                                                                  ′
  y                                .    + + − − + f=F
                                      1↗2↗3↘4↘5↗6 F
                                             max     min
                                                             ′      ′′
                                       ++ −−−− ++ ++ f = F
    .                                  ⌣ ⌢ ⌢ ⌣ ⌣
       1 2 3 4 5 6
                           x          1 2 3 4 5 6F
                                          IP      IP
                                      ? ? ? ? ? ?F
                                      1 2 3 4 5 6 shape
 The only ques on le is: What are the func on values?
Could you repeat the question?
  Problem
  Below is the graph of a func on f. Draw the graph of the
  an deriva ve for f with F(1) = 0.
 Solu on                                        y

                                                                   f
                                                 .
                                                                   x
                                                     1 2 3 4 5 6

                                                                 F
                                                     1 2 3 4 5 6 shape




                                                      IP
                                                      max
                                                      IP
                                                      min
Could you repeat the question?
  Problem
  Below is the graph of a func on f. Draw the graph of the
  an deriva ve for f with F(1) = 0.
 Solu on                                        y

     We start with F(1) = 0.                                       f
                                                 .
                                                                   x
                                                     1 2 3 4 5 6

                                                                 F
                                                     1 2 3 4 5 6 shape




                                                      IP
                                                      max
                                                      IP
                                                      min
Could you repeat the question?
  Problem
  Below is the graph of a func on f. Draw the graph of the
  an deriva ve for f with F(1) = 0.
 Solu on                                        y

     We start with F(1) = 0.                                       f
                                                 .
     Using the sign chart, we draw arcs                            x
                                                     1 2 3 4 5 6
     with the specified monotonicity and
     concavity                                                   F
                                                     1 2 3 4 5 6 shape




                                                      IP
                                                      max
                                                      IP
                                                      min
Could you repeat the question?
  Problem
  Below is the graph of a func on f. Draw the graph of the
  an deriva ve for f with F(1) = 0.
 Solu on                                        y

     We start with F(1) = 0.                                       f
                                                 .
     Using the sign chart, we draw arcs                            x
                                                     1 2 3 4 5 6
     with the specified monotonicity and
     concavity                                                   F
                                                     1 2 3 4 5 6 shape




                                                      IP
                                                      max
                                                      IP
                                                      min
Could you repeat the question?
  Problem
  Below is the graph of a func on f. Draw the graph of the
  an deriva ve for f with F(1) = 0.
 Solu on                                        y

     We start with F(1) = 0.                                       f
                                                 .
     Using the sign chart, we draw arcs                            x
                                                     1 2 3 4 5 6
     with the specified monotonicity and
     concavity                                                   F
                                                     1 2 3 4 5 6 shape




                                                      IP
                                                      max
                                                      IP
                                                      min
Could you repeat the question?
  Problem
  Below is the graph of a func on f. Draw the graph of the
  an deriva ve for f with F(1) = 0.
 Solu on                                        y

     We start with F(1) = 0.                                       f
                                                 .
     Using the sign chart, we draw arcs                            x
                                                     1 2 3 4 5 6
     with the specified monotonicity and
     concavity                                                   F
                                                     1 2 3 4 5 6 shape




                                                      IP
                                                      max
                                                      IP
                                                      min
Could you repeat the question?
  Problem
  Below is the graph of a func on f. Draw the graph of the
  an deriva ve for f with F(1) = 0.
 Solu on                                        y

     We start with F(1) = 0.                                       f
                                                 .
     Using the sign chart, we draw arcs                            x
                                                     1 2 3 4 5 6
     with the specified monotonicity and
     concavity                                                   F
                                                     1 2 3 4 5 6 shape




                                                      IP
                                                      max
                                                      IP
                                                      min
Could you repeat the question?
  Problem
  Below is the graph of a func on f. Draw the graph of the
  an deriva ve for f with F(1) = 0.
 Solu on                                        y

     We start with F(1) = 0.                                       f
                                                 .
     Using the sign chart, we draw arcs                            x
                                                     1 2 3 4 5 6
     with the specified monotonicity and
     concavity                                                   F
                                                     1 2 3 4 5 6 shape




                                                      IP
                                                      max
                                                      IP
                                                      min
Could you repeat the question?
  Problem
  Below is the graph of a func on f. Draw the graph of the
  an deriva ve for f with F(1) = 0.
 Solu on                                        y

     We start with F(1) = 0.                                       f
                                                 .
     Using the sign chart, we draw arcs                            x
                                                     1 2 3 4 5 6
     with the specified monotonicity and
     concavity                                                   F
                                                     1 2 3 4 5 6 shape




                                                      IP
                                                      max
                                                      IP
                                                      min
Could you repeat the question?
  Problem
  Below is the graph of a func on f. Draw the graph of the
  an deriva ve for f with F(1) = 0.
 Solu on                                        y

     We start with F(1) = 0.                                       f
                                                 .
     Using the sign chart, we draw arcs                            x
                                                     1 2 3 4 5 6
     with the specified monotonicity and
     concavity                                                   F
                                                     1 2 3 4 5 6 shape




                                                      IP
                                                      max
                                                      IP
                                                      min
Could you repeat the question?
  Problem
  Below is the graph of a func on f. Draw the graph of the
  an deriva ve for f with F(1) = 0.
 Solu on                                        y

     We start with F(1) = 0.                                       f
                                                 .
     Using the sign chart, we draw arcs                            x
                                                     1 2 3 4 5 6
     with the specified monotonicity and
     concavity                                                   F
                                                     1 2 3 4 5 6 shape




                                                      IP
                                                      max
                                                      IP
                                                      min
Could you repeat the question?
  Problem
  Below is the graph of a func on f. Draw the graph of the
  an deriva ve for f with F(1) = 0.
 Solu on                                        y

     We start with F(1) = 0.                                       f
                                                 .
     Using the sign chart, we draw arcs                            x
                                                     1 2 3 4 5 6
     with the specified monotonicity and
     concavity                                                   F
     It’s harder to tell if/when F crosses
                                                     1 2 3 4 5 6 shape




                                                      IP
                                                      max
                                                      IP
                                                      min
     the axis; more about that later.
Outline
 What is an an deriva ve?
 Tabula ng An deriva ves
    Power func ons
    Combina ons
    Exponen al func ons
    Trigonometric func ons
    An deriva ves of piecewise func ons
 Finding An deriva ves Graphically
 Rec linear mo on
Say what?


   “Rec linear mo on” just means mo on along a line.
   O en we are given informa on about the velocity or
   accelera on of a moving par cle and we want to know the
   equa ons of mo on.
Application: Dead Reckoning
Application: Dead Reckoning
Problem
Suppose a par cle of mass m is acted upon by a constant force F.
Find the posi on func on s(t), the velocity func on v(t), and the
accelera on func on a(t).
Problem
Suppose a par cle of mass m is acted upon by a constant force F.
Find the posi on func on s(t), the velocity func on v(t), and the
accelera on func on a(t).

Solu on
    By Newton’s Second Law (F = ma) a constant force induces a
                                       F
    constant accelera on. So a(t) = a = .
                                       m
Problem
Suppose a par cle of mass m is acted upon by a constant force F.
Find the posi on func on s(t), the velocity func on v(t), and the
accelera on func on a(t).

Solu on
    By Newton’s Second Law (F = ma) a constant force induces a
                                           F
    constant accelera on. So a(t) = a = .
                                          m
           ′
    Since v (t) = a(t), v(t) must be an an deriva ve of the
    constant func on a. So

                        v(t) = at + C = at + v0
Problem
Suppose a par cle of mass m is acted upon by a constant force F.
Find the posi on func on s(t), the velocity func on v(t), and the
accelera on func on a(t).

Solu on
    By Newton’s Second Law (F = ma) a constant force induces a
                                           F
    constant accelera on. So a(t) = a = .
                                          m
           ′
    Since v (t) = a(t), v(t) must be an an deriva ve of the
    constant func on a. So

                        v(t) = at + C = at + v0
An earlier Hatsumon
 Example
 Drop a ball off the roof of the Silver Center. What is its velocity when
 it hits the ground?
An earlier Hatsumon
 Example
 Drop a ball off the roof of the Silver Center. What is its velocity when
 it hits the ground?

 Solu on
 Assume s0 = 100 m, and v0 = 0. Approximate a = g ≈ −10. Then

                        s(t) = 100 − 5t2
                     √       √
 So s(t) = 0 when t = 20 = 2 5. Then

                             v(t) = −10t,
Finding initial velocity from
stopping distance
 Example
 The skid marks made by an automobile indicate that its brakes were
 fully applied for a distance of 160 before it came to a stop.
 Suppose that the car in ques on has a constant decelera on of
 20 ft/s2 under the condi ons of the skid. How fast was the car
 traveling when its brakes were first applied?
Finding initial velocity from
stopping distance
 Example
 The skid marks made by an automobile indicate that its brakes were
 fully applied for a distance of 160 before it came to a stop.
 Suppose that the car in ques on has a constant decelera on of
 20 ft/s2 under the condi ons of the skid. How fast was the car
 traveling when its brakes were first applied?

 Solu on (Setup)

     While braking, the car has accelera on a(t) = −20
Finding initial velocity from
stopping distance
 Example
 The skid marks made by an automobile indicate that its brakes were
 fully applied for a distance of 160 before it came to a stop.
 Suppose that the car in ques on has a constant decelera on of
 20 ft/s2 under the condi ons of the skid. How fast was the car
 traveling when its brakes were first applied?

 Solu on (Setup)

     While braking, the car has accelera on a(t) = −20
     Measure me 0 and posi on 0 when the car starts braking. So
Finding initial velocity from
stopping distance
 Example
 The skid marks made by an automobile indicate that its brakes were
 fully applied for a distance of 160 before it came to a stop.
 Suppose that the car in ques on has a constant decelera on of
 20 ft/s2 under the condi ons of the skid. How fast was the car
 traveling when its brakes were first applied?

 Solu on (Setup)

     While braking, the car has accelera on a(t) = −20
     Measure me 0 and posi on 0 when the car starts braking. So
Implementing the Solution
 In general,
                                        1
                      s(t) = s0 + v0 t + at2
                                        2
 Since s0 = 0 and a = −20, we have

                        s(t) = v0 t − 10t2
                        v(t) = v0 − 20t

 for all t.
Implementing the Solution
 In general,
                                        1
                      s(t) = s0 + v0 t + at2
                                        2
 Since s0 = 0 and a = −20, we have

                             s(t) = v0 t − 10t2
                             v(t) = v0 − 20t

 for all t. Plugging in t = t1 ,

                             160 = v0 t1 − 10t2
                                              1
                               0 = v0 − 20t1
Solving
 We have
           v0 t1 − 10t2 = 160
                      1         v0 − 20t1 = 0
Solving
 We have
               v0 t1 − 10t2 = 160
                          1           v0 − 20t1 = 0


    The second gives t1 = v0 /20, so subs tute into the first:
                           v0      ( v )2
                                      0
                      v0 ·    − 10        = 160
                           20       20
    Solve:
                     v2
                      0     10v2
                         −     0
                                 = 160
                     20     400
                        2v2 − v2 = 160 · 40 = 6400
                          0    0
Solving
 We have
               v0 t1 − 10t2 = 160
                          1           v0 − 20t1 = 0


    The second gives t1 = v0 /20, so subs tute into the first:
                           v0      ( v )2
                                      0
                      v0 ·    − 10        = 160
                           20       20
    Solve:
                     v2
                      0     10v2
                         −     0
                                 = 160
                     20     400
                        2v2 − v2 = 160 · 40 = 6400
                          0    0
Summary of Antiderivatives so far
             f(x)          F(x)
                          1 r+1
           xr , r ̸= 1        x +C
                       r+1
           1
               = x−1      ln |x| + C
           x x
                e           ex + C
                           1 x
                ax            a +C
                         ln a
               ln x    x ln x − x + C
                       x ln x − x
             loga x                +C
                           ln a
               sin x    − cos x + C
              cos x       sin x + C
Final Thoughts

   An deriva ves are a
   useful concept, especially
   in mo on                     y
   We can graph an                                 f
   an deriva ve from the            .
                                                   x
   graph of a func on                   1 2 3 4 5 6F
   We can compute
   an deriva ves, but not
                                        f(x) = e−x
                                                 2
   always

Lesson 23: Antiderivatives (slides)

  • 1.
    Sec on 4.7 An deriva ves V63.0121.001: Calculus I Professor Ma hew Leingang New York University April 19, 2011 .
  • 2.
    Announcements Quiz 5 on Sec ons 4.1–4.4 April 28/29 Final Exam Thursday May 12, 2:00–3:50pm I am teaching Calc II MW 2:00pm and Calc III TR 2:00pm both Fall ’11 and Spring ’12
  • 3.
    Objectives Givena ”simple“ elementary func on, find a func on whose deriva ve is that func on. Remember that a func on whose deriva ve is zero along an interval must be zero along that interval. Solve problems involving rec linear mo on.
  • 4.
    Outline What isan an deriva ve? Tabula ng An deriva ves Power func ons Combina ons Exponen al func ons Trigonometric func ons An deriva ves of piecewise func ons Finding An deriva ves Graphically Rec linear mo on
  • 5.
    What is anantiderivative? Defini on Let f be a func on. An an deriva ve for f is a func on F such that F′ = f.
  • 6.
    Who cares? Queson Why would we want the an deriva ve of a func on? Answers For the challenge of it For applica ons when the deriva ve of a func on is known but the original func on is not Biggest applica on will be a er the Fundamental Theorem of Calculus (Chapter 5)
  • 7.
    Hard problem, easycheck Example Find an an deriva ve for f(x) = ln x.
  • 8.
    Hard problem, easycheck Example Find an an deriva ve for f(x) = ln x. Solu on ???
  • 9.
    Hard problem, easycheck Example is F(x) = x ln x − x an an deriva ve for f(x) = ln x?
  • 10.
    Hard problem, easycheck Example is F(x) = x ln x − x an an deriva ve for f(x) = ln x? Solu on d dx 1 (x ln x − x) = 1 · ln x + x · − 1 = ln x x
  • 11.
    Why the MVTis the MITC Most Important Theorem In Calculus! Theorem Let f′ = 0 on an interval (a, b). Then f is constant on (a, b). Proof. Pick any points x and y in (a, b) with x y. By MVT there exists a point z in (x, y) such that f(y) = f(x) + f′ (z)(y − x) But f′ (z) = 0, so f(y) = f(x). Since this is true for all x and y in (a, b), then f is constant.
  • 12.
    Functions with thesame derivative Theorem Suppose f and g are two differen able func ons on (a, b) with f′ = g′ . Then f and g differ by a constant. That is, there exists a constant C such that f(x) = g(x) + C. Proof. Let h(x) = f(x) − g(x) Then h′ (x) = f′ (x) − g′ (x) = 0 on (a, b) So h(x) = C, a constant This means f(x) − g(x) = C on (a, b)
  • 13.
    Outline What isan an deriva ve? Tabula ng An deriva ves Power func ons Combina ons Exponen al func ons Trigonometric func ons An deriva ves of piecewise func ons Finding An deriva ves Graphically Rec linear mo on
  • 14.
    Antiderivatives of powerfunctions Recall that the deriva ve of a y power func on is a power f(x) = x2 func on. Fact (The Power Rule) If f(x) = xr , then f′ (x) = rxr−1 . . x
  • 15.
    Antiderivatives of powerfunctions ′ Recall that the deriva ve of a yf (x) = 2x power func on is a power f(x) = x2 func on. Fact (The Power Rule) If f(x) = xr , then f′ (x) = rxr−1 . . x
  • 16.
    Antiderivatives of powerfunctions ′ Recall that the deriva ve of a yf (x) = 2x power func on is a power f(x) = x2 func on. Fact (The Power Rule) F(x) = ? If f(x) = xr , then f′ (x) = rxr−1 . . x
  • 17.
    Antiderivatives of powerfunctions ′ Recall that the deriva ve of a yf (x) = 2x power func on is a power f(x) = x2 func on. Fact (The Power Rule) F(x) = ? If f(x) = xr , then f′ (x) = rxr−1 . So in looking for an deriva ves of power . x func ons, try power func ons!
  • 18.
    Antiderivatives of powerfunctions Example Find an an deriva ve for the func on f(x) = x3 . Solu on
  • 19.
    Antiderivatives of powerfunctions Example Find an an deriva ve for the func on f(x) = x3 . Solu on Try a power func on F(x) = axr
  • 20.
    Antiderivatives of powerfunctions Example Find an an deriva ve for the func on f(x) = x3 . Solu on Try a power func on F(x) = axr Then F′ (x) = arxr−1 , so we want arxr−1 = x3 .
  • 21.
    Antiderivatives of powerfunctions Example Find an an deriva ve for the func on f(x) = x3 . Solu on Try a power func on F(x) = axr Then F′ (x) = arxr−1 , so we want arxr−1 = x3 . 1 r − 1 = 3 =⇒ r = 4, and ar = 1 =⇒ a = . 4
  • 22.
    Antiderivatives of powerfunctions Example Find an an deriva ve for the func on f(x) = x3 . Solu on Try a power func on F(x) = axr Then F′ (x) = arxr−1 , so we want arxr−1 = x3 . 1 r − 1 = 3 =⇒ r = 4, and ar = 1 =⇒ a = . 4
  • 23.
    Antiderivatives of powerfunctions Example Find an an deriva ve for the func on f(x) = x3 . Solu on 1 So F(x) = x4 is an an deriva ve. 4
  • 24.
    Antiderivatives of powerfunctions Example Find an an deriva ve for the func on f(x) = x3 . Solu on 1 So F(x) = x4 is an an deriva ve. 4 ( ) Check: d 1 4 dx 4 1 x = 4 · x4−1 = x3 4
  • 25.
    Antiderivatives of powerfunctions Example Find an an deriva ve for the func on f(x) = x3 . Solu on 1 So F(x) = x4 is an an deriva ve. 4 ( ) Check: d 1 4 dx 4 1 x = 4 · x4−1 = x3 4 Any others?
  • 26.
    Antiderivatives of powerfunctions Example Find an an deriva ve for the func on f(x) = x3 . Solu on 1 So F(x) = x4 is an an deriva ve. 4 ( ) Check: d 1 4 dx 4 1 x = 4 · x4−1 = x3 4 1 Any others? Yes, F(x) = x4 + C is the most general form. 4
  • 27.
    General power functions Fact (The Power Rule for an deriva ves) If f(x) = xr , then 1 r+1 F(x) = x r+1 is an an deriva ve for f…
  • 28.
    General power functions Fact (The Power Rule for an deriva ves) If f(x) = xr , then 1 r+1 F(x) = x r+1 is an an deriva ve for f as long as r ̸= −1.
  • 29.
    General power functions Fact (The Power Rule for an deriva ves) If f(x) = xr , then 1 r+1 F(x) = x r+1 is an an deriva ve for f as long as r ̸= −1. Fact 1 If f(x) = x−1 = , then F(x) = ln |x| + C is an an deriva ve for f. x
  • 30.
    What’s with theabsolute value? { ln(x) if x 0; F(x) = ln |x| = ln(−x) if x 0. The domain of F is all nonzero numbers, while ln x is only defined on posi ve numbers.
  • 31.
    What’s with theabsolute value? { ln(x) if x 0; F(x) = ln |x| = ln(−x) if x 0. The domain of F is all nonzero numbers, while ln x is only defined on posi ve numbers. d If x 0, ln |x| dx
  • 32.
    What’s with theabsolute value? { ln(x) if x 0; F(x) = ln |x| = ln(−x) if x 0. The domain of F is all nonzero numbers, while ln x is only defined on posi ve numbers. d d If x 0, ln |x| = ln(x) dx dx
  • 33.
    What’s with theabsolute value? { ln(x) if x 0; F(x) = ln |x| = ln(−x) if x 0. The domain of F is all nonzero numbers, while ln x is only defined on posi ve numbers. d d 1 If x 0, ln |x| = ln(x) = dx dx x
  • 34.
    What’s with theabsolute value? { ln(x) if x 0; F(x) = ln |x| = ln(−x) if x 0. The domain of F is all nonzero numbers, while ln x is only defined on posi ve numbers. If x 0, d dx ln |x| = d dx ln(x) = 1 x
  • 35.
    What’s with theabsolute value? { ln(x) if x 0; F(x) = ln |x| = ln(−x) if x 0. The domain of F is all nonzero numbers, while ln x is only defined on posi ve numbers. If x 0, d dx ln |x| = d dx ln(x) = 1 x d If x 0, ln |x| dx
  • 36.
    What’s with theabsolute value? { ln(x) if x 0; F(x) = ln |x| = ln(−x) if x 0. The domain of F is all nonzero numbers, while ln x is only defined on posi ve numbers. If x 0, d dx ln |x| = d dx ln(x) = 1 x d d If x 0, ln |x| = ln(−x) dx dx
  • 37.
    What’s with theabsolute value? { ln(x) if x 0; F(x) = ln |x| = ln(−x) if x 0. The domain of F is all nonzero numbers, while ln x is only defined on posi ve numbers. If x 0, d dx ln |x| = d dx ln(x) = 1 x d d 1 If x 0, ln |x| = ln(−x) = · (−1) dx dx −x
  • 38.
    What’s with theabsolute value? { ln(x) if x 0; F(x) = ln |x| = ln(−x) if x 0. The domain of F is all nonzero numbers, while ln x is only defined on posi ve numbers. If x 0, d dx ln |x| = d dx ln(x) = 1 x d d 1 1 If x 0, ln |x| = ln(−x) = · (−1) = dx dx −x x
  • 39.
    What’s with theabsolute value? { ln(x) if x 0; F(x) = ln |x| = ln(−x) if x 0. The domain of F is all nonzero numbers, while ln x is only defined on posi ve numbers. If x 0, d dx ln |x| = d dx ln(x) = 1 x If x 0, d dx ln |x| = d dx ln(−x) = 1 −x · (−1) = 1 x
  • 40.
    What’s with theabsolute value? { ln(x) if x 0; F(x) = ln |x| = ln(−x) if x 0. The domain of F is all nonzero numbers, while ln x is only defined on posi ve numbers. If x 0, d dx ln |x| = d dx ln(x) = 1 x If x 0, d dx ln |x| = d dx ln(−x) = 1 −x · (−1) = 1 x We prefer the an deriva ve with the larger domain.
  • 41.
    Graph of ln|x| y . x = 1/x f(x)
  • 42.
    Graph of ln|x| y F(x) = ln(x) . x = 1/x f(x)
  • 43.
    Graph of ln|x| y F(x) = ln |x| . x = 1/x f(x)
  • 44.
    Combinations of antiderivatives Fact (Sum and Constant Mul ple Rule for An deriva ves) If F is an an deriva ve of f and G is an an deriva ve of g, then F + G is an an deriva ve of f + g. If F is an an deriva ve of f and c is a constant, then cF is an an deriva ve of cf.
  • 45.
    Combinations of antiderivatives Proof. These follow from the sum and constant mul ple rule for deriva ves: If F′ = f and G′ = g, then (F + G)′ = F′ + G′ = f + g Or, if F′ = f, (cF)′ = cF′ = cf
  • 46.
    Antiderivatives of Polynomials Example Find an an deriva ve for f(x) = 16x + 5.
  • 47.
    Antiderivatives of Polynomials Example Find an an deriva ve for f(x) = 16x + 5. Solu on 1 The expression x2 is an an deriva ve for x, and x is an 2 an deriva ve for 1. So ( ) 1 2 F(x) = 16 · x + 5 · x + C = 8x2 + 5x + C 2 is the an deriva ve of f.
  • 48.
    Antiderivatives of Polynomials Ques on Do we need two C’s or just one?
  • 49.
    Antiderivatives of Polynomials Ques on Do we need two C’s or just one? Answer Just one. A combina on of two arbitrary constants is s ll an arbitrary constant.
  • 50.
    Exponential Functions Fact If f(x) = ax , f′ (x) = (ln a)ax .
  • 51.
    Exponential Functions Fact If f(x) = ax , f′ (x) = (ln a)ax . Accordingly, Fact 1 x If f(x) = ax , then F(x) = a + C is the an deriva ve of f. ln a
  • 52.
    Exponential Functions Fact If f(x) = ax , f′ (x) = (ln a)ax . Accordingly, Fact 1 x If f(x) = ax , then F(x) = a + C is the an deriva ve of f. ln a Proof. Check it yourself.
  • 53.
  • 54.
    Exponential Functions Inpar cular, Fact If f(x) = ex , then F(x) = ex + C is the an deriva ve of f.
  • 55.
    Logarithmic functions? Remember we found F(x) = x ln x − x is an an deriva ve of f(x) = ln x.
  • 56.
    Logarithmic functions? Remember we found F(x) = x ln x − x is an an deriva ve of f(x) = ln x. This is not obvious. See Calc II for the full story.
  • 57.
    Logarithmic functions? Remember we found F(x) = x ln x − x is an an deriva ve of f(x) = ln x. This is not obvious. See Calc II for the full story. ln x However, using the fact that loga x = , we get: ln a Fact If f(x) = loga (x) 1 1 F(x) = (x ln x − x) + C = x loga x − x+C ln a ln a is the an deriva ve of f(x).
  • 58.
    Trigonometric functions Fact d d sin x = cos x cos x = − sin x dx dx
  • 59.
    Trigonometric functions Fact d d sin x = cos x cos x = − sin x dx dx So to turn these around, Fact The func on F(x) = − cos x + C is the an deriva ve of f(x) = sin x.
  • 60.
    Trigonometric functions Fact d d sin x = cos x cos x = − sin x dx dx So to turn these around, Fact The func on F(x) = − cos x + C is the an deriva ve of f(x) = sin x. The func on F(x) = sin x + C is the an deriva ve of f(x) = cos x.
  • 61.
    More Trig Example Find an an deriva ve of f(x) = tan x.
  • 62.
    More Trig Example Find an an deriva ve of f(x) = tan x. Solu on ???
  • 63.
    More Trig Example Find an an deriva ve of f(x) = tan x. Answer F(x) = ln | sec x|.
  • 64.
    More Trig Example Find an an deriva ve of f(x) = tan x. Answer F(x) = ln | sec x|. Check d 1 d = · sec x dx sec x dx
  • 65.
    More Trig Example Find an an deriva ve of f(x) = tan x. Answer F(x) = ln | sec x|. Check d 1 d = · sec x dx sec x dx
  • 66.
    More Trig Example Find an an deriva ve of f(x) = tan x. Answer F(x) = ln | sec x|. Check d 1 d 1 = · sec x = · sec x tan x dx sec x dx sec x
  • 67.
    More Trig Example Find an an deriva ve of f(x) = tan x. Answer F(x) = ln | sec x|. Check d 1 d 1 = · sec x = · sec x tan x = tan x dx sec x dx sec x
  • 68.
    More Trig Example Find an an deriva ve of f(x) = tan x. Answer F(x) = ln | sec x|. Check d = 1 · d dx sec x dx sec x = 1 sec x · sec x tan x = tan x
  • 69.
    More Trig Example Find an an deriva ve of f(x) = tan x. Answer F(x) = ln | sec x|. Check d = 1 · d dx sec x dx sec x = 1 sec x · sec x tan x = tan x More about this later.
  • 70.
    Antiderivatives of piecewisefunctions Example Let { x if 0 ≤ x ≤ 1; f(x) = 1 − x2 if 1 x. Find the an deriva ve of f with F(0) = 1.
  • 71.
    Antiderivatives of piecewisefunctions Solu on We can an differen ate each piece:  1 2  x + C1 if 0 ≤ x ≤ 1; F(x) = 2 1 x − x3 + C  if 1 x. 2 3 The constants need to be chosen so that F(0) = 1 and F is con nuous (at 1).
  • 72.
    1 2  x + C1 if 0 ≤ x ≤ 1; F(x) = 2 1 x − x3 + C  if 1 x. 2 3 1 Note F(0) = 02 + C1 = C1 , so if F(0) is to be 1, C1 = 1. 2
  • 73.
    1 2  x + C1 if 0 ≤ x ≤ 1; F(x) = 2 1 x − x3 + C  if 1 x. 2 3 1 Note F(0) = 02 + C1 = C1 , so if F(0) is to be 1, C1 = 1. 2 1 3 This means lim− F(x) = 12 + 1 = . x→1 2 2
  • 74.
    1 2  x + C1 if 0 ≤ x ≤ 1; F(x) = 2 1 x − x3 + C  if 1 x. 2 3 1 Note F(0) = 02 + C1 = C1 , so if F(0) is to be 1, C1 = 1. 2 1 3 This means lim− F(x) = 12 + 1 = . x→1 2 2 On the other hand, 1 2 lim+ F(x) = 1 − + C 2 = + C2 x→1 3 3 3 2 5 So for F to be con nuous we need = + C2 . Solving, C2 = . 2 3 6
  • 75.
    Outline What isan an deriva ve? Tabula ng An deriva ves Power func ons Combina ons Exponen al func ons Trigonometric func ons An deriva ves of piecewise func ons Finding An deriva ves Graphically Rec linear mo on
  • 76.
    Finding Antiderivatives Graphically y Problem Pictured is the graph of a y = f(x) func on f. Draw the graph of . an an deriva ve for f. x 1 2 3 4 5 6
  • 77.
    Using f tomake a sign chart for F Assuming F′ = f, we can make a sign chart for f and f′ to find the intervals of monotonicity and concavity for F: y f = F′ . 1 2 3 4 5 6F f′ = F′′ . 1 2 3 4 5 6 x 1 2 3 4 5 6F F 1 2 3 4 5 6 shape
  • 78.
    Using f tomake a sign chart for F Assuming F′ = f, we can make a sign chart for f and f′ to find the intervals of monotonicity and concavity for F: y + f = F′ . 1 2 3 4 5 6F f′ = F′′ . 1 2 3 4 5 6 x 1 2 3 4 5 6F F 1 2 3 4 5 6 shape
  • 79.
    Using f tomake a sign chart for F Assuming F′ = f, we can make a sign chart for f and f′ to find the intervals of monotonicity and concavity for F: y + + f = F′ . 1 2 3 4 5 6F f′ = F′′ . 1 2 3 4 5 6 x 1 2 3 4 5 6F F 1 2 3 4 5 6 shape
  • 80.
    Using f tomake a sign chart for F Assuming F′ = f, we can make a sign chart for f and f′ to find the intervals of monotonicity and concavity for F: y + + − f = F′ . 1 2 3 4 5 6F f′ = F′′ . 1 2 3 4 5 6 x 1 2 3 4 5 6F F 1 2 3 4 5 6 shape
  • 81.
    Using f tomake a sign chart for F Assuming F′ = f, we can make a sign chart for f and f′ to find the intervals of monotonicity and concavity for F: y + + − − f = F′ . 1 2 3 4 5 6F f′ = F′′ . 1 2 3 4 5 6 x 1 2 3 4 5 6F F 1 2 3 4 5 6 shape
  • 82.
    Using f tomake a sign chart for F Assuming F′ = f, we can make a sign chart for f and f′ to find the intervals of monotonicity and concavity for F: ′ y . + + − − + f=F 1 2 3 4 5 6F f′ = F′′ . 1 2 3 4 5 6 x 1 2 3 4 5 6F F 1 2 3 4 5 6 shape
  • 83.
    Using f tomake a sign chart for F Assuming F′ = f, we can make a sign chart for f and f′ to find the intervals of monotonicity and concavity for F: ′ y . + + − − + f=F 1↗2 3 4 5 6 F f′ = F′′ . 1 2 3 4 5 6 x 1 2 3 4 5 6F F 1 2 3 4 5 6 shape
  • 84.
    Using f tomake a sign chart for F Assuming F′ = f, we can make a sign chart for f and f′ to find the intervals of monotonicity and concavity for F: ′ y . + + − − + f=F 1↗2↗3 4 5 6 F f′ = F′′ . 1 2 3 4 5 6 x 1 2 3 4 5 6F F 1 2 3 4 5 6 shape
  • 85.
    Using f tomake a sign chart for F Assuming F′ = f, we can make a sign chart for f and f′ to find the intervals of monotonicity and concavity for F: ′ y . + + − − + f=F 1↗2↗3↘4 5 6 F f′ = F′′ . 1 2 3 4 5 6 x 1 2 3 4 5 6F F 1 2 3 4 5 6 shape
  • 86.
    Using f tomake a sign chart for F Assuming F′ = f, we can make a sign chart for f and f′ to find the intervals of monotonicity and concavity for F: ′ y . + + − − + f=F 1↗2↗3↘4↘5 6 F f′ = F′′ . 1 2 3 4 5 6 x 1 2 3 4 5 6F F 1 2 3 4 5 6 shape
  • 87.
    Using f tomake a sign chart for F Assuming F′ = f, we can make a sign chart for f and f′ to find the intervals of monotonicity and concavity for F: ′ y . + + − − + f=F 1↗2↗3↘4↘5↗6 F f′ = F′′ . 1 2 3 4 5 6 x 1 2 3 4 5 6F F 1 2 3 4 5 6 shape
  • 88.
    Using f tomake a sign chart for F Assuming F′ = f, we can make a sign chart for f and f′ to find the intervals of monotonicity and concavity for F: ′ y . + + − − + f=F 1↗2↗3↘4↘5↗6 F max f′ = F′′ . 1 2 3 4 5 6 x 1 2 3 4 5 6F F 1 2 3 4 5 6 shape
  • 89.
    Using f tomake a sign chart for F Assuming F′ = f, we can make a sign chart for f and f′ to find the intervals of monotonicity and concavity for F: ′ y . + + − − + f=F 1↗2↗3↘4↘5↗6 F max min f′ = F′′ . 1 2 3 4 5 6 x 1 2 3 4 5 6F F 1 2 3 4 5 6 shape
  • 90.
    Using f tomake a sign chart for F Assuming F′ = f, we can make a sign chart for f and f′ to find the intervals of monotonicity and concavity for F: ′ y . + + − − + f=F 1↗2↗3↘4↘5↗6 F max min ++ f′ = F′′ . 1 2 3 4 5 6 x 1 2 3 4 5 6F F 1 2 3 4 5 6 shape
  • 91.
    Using f tomake a sign chart for F Assuming F′ = f, we can make a sign chart for f and f′ to find the intervals of monotonicity and concavity for F: ′ y . + + − − + f=F 1↗2↗3↘4↘5↗6 F max min ++ −− f′ = F′′ . 1 2 3 4 5 6 x 1 2 3 4 5 6F F 1 2 3 4 5 6 shape
  • 92.
    Using f tomake a sign chart for F Assuming F′ = f, we can make a sign chart for f and f′ to find the intervals of monotonicity and concavity for F: ′ y . + + − − + f=F 1↗2↗3↘4↘5↗6 F max min ++ −−−− f′ = F′′ . 1 2 3 4 5 6 x 1 2 3 4 5 6F F 1 2 3 4 5 6 shape
  • 93.
    Using f tomake a sign chart for F Assuming F′ = f, we can make a sign chart for f and f′ to find the intervals of monotonicity and concavity for F: ′ y . + + − − + f=F 1↗2↗3↘4↘5↗6 F max min ++ −−−− ++ f′ = F′′ . 1 2 3 4 5 6 x 1 2 3 4 5 6F F 1 2 3 4 5 6 shape
  • 94.
    Using f tomake a sign chart for F Assuming F′ = f, we can make a sign chart for f and f′ to find the intervals of monotonicity and concavity for F: ′ y . + + − − + f=F 1↗2↗3↘4↘5↗6 F max min ′ ′′ ++ −−−− ++ ++ f = F . 1 2 3 4 5 6 x 1 2 3 4 5 6F F 1 2 3 4 5 6 shape
  • 95.
    Using f tomake a sign chart for F Assuming F′ = f, we can make a sign chart for f and f′ to find the intervals of monotonicity and concavity for F: ′ y . + + − − + f=F 1↗2↗3↘4↘5↗6 F max min ′ ′′ ++ −−−− ++ ++ f = F . ⌣ 1 2 3 4 5 6 x 1 2 3 4 5 6F F 1 2 3 4 5 6 shape
  • 96.
    Using f tomake a sign chart for F Assuming F′ = f, we can make a sign chart for f and f′ to find the intervals of monotonicity and concavity for F: ′ y . + + − − + f=F 1↗2↗3↘4↘5↗6 F max min ′ ′′ ++ −−−− ++ ++ f = F . ⌣ ⌢ 1 2 3 4 5 6 x 1 2 3 4 5 6F F 1 2 3 4 5 6 shape
  • 97.
    Using f tomake a sign chart for F Assuming F′ = f, we can make a sign chart for f and f′ to find the intervals of monotonicity and concavity for F: ′ y . + + − − + f=F 1↗2↗3↘4↘5↗6 F max min ′ ′′ ++ −−−− ++ ++ f = F . ⌣ ⌢ ⌢ 1 2 3 4 5 6 x 1 2 3 4 5 6F F 1 2 3 4 5 6 shape
  • 98.
    Using f tomake a sign chart for F Assuming F′ = f, we can make a sign chart for f and f′ to find the intervals of monotonicity and concavity for F: ′ y . + + − − + f=F 1↗2↗3↘4↘5↗6 F max min ′ ′′ ++ −−−− ++ ++ f = F . ⌣ ⌢ ⌢ ⌣ 1 2 3 4 5 6 x 1 2 3 4 5 6F F 1 2 3 4 5 6 shape
  • 99.
    Using f tomake a sign chart for F Assuming F′ = f, we can make a sign chart for f and f′ to find the intervals of monotonicity and concavity for F: ′ y . + + − − + f=F 1↗2↗3↘4↘5↗6 F max min ′ ′′ ++ −−−− ++ ++ f = F . ⌣ ⌢ ⌢ ⌣ ⌣ 1 2 3 4 5 6 x 1 2 3 4 5 6F F 1 2 3 4 5 6 shape
  • 100.
    Using f tomake a sign chart for F Assuming F′ = f, we can make a sign chart for f and f′ to find the intervals of monotonicity and concavity for F: ′ y . + + − − + f=F 1↗2↗3↘4↘5↗6 F max min ′ ′′ ++ −−−− ++ ++ f = F . ⌣ ⌢ ⌢ ⌣ ⌣ 1 2 3 4 5 6 x 1 2 3 4 5 6F IP F 1 2 3 4 5 6 shape
  • 101.
    Using f tomake a sign chart for F Assuming F′ = f, we can make a sign chart for f and f′ to find the intervals of monotonicity and concavity for F: ′ y . + + − − + f=F 1↗2↗3↘4↘5↗6 F max min ′ ′′ ++ −−−− ++ ++ f = F . ⌣ ⌢ ⌢ ⌣ ⌣ 1 2 3 4 5 6 x 1 2 3 4 5 6F IP IP F 1 2 3 4 5 6 shape
  • 102.
    Using f tomake a sign chart for F Assuming F′ = f, we can make a sign chart for f and f′ to find the intervals of monotonicity and concavity for F: ′ y . + + − − + f=F 1↗2↗3↘4↘5↗6 F max min ′ ′′ ++ −−−− ++ ++ f = F . ⌣ ⌢ ⌢ ⌣ ⌣ 1 2 3 4 5 6 x 1 2 3 4 5 6F IP IP F 1 2 3 4 5 6 shape
  • 103.
    Using f tomake a sign chart for F Assuming F′ = f, we can make a sign chart for f and f′ to find the intervals of monotonicity and concavity for F: ′ y . + + − − + f=F 1↗2↗3↘4↘5↗6 F max min ′ ′′ ++ −−−− ++ ++ f = F . ⌣ ⌢ ⌢ ⌣ ⌣ 1 2 3 4 5 6 x 1 2 3 4 5 6F IP IP F 1 2 3 4 5 6 shape
  • 104.
    Using f tomake a sign chart for F Assuming F′ = f, we can make a sign chart for f and f′ to find the intervals of monotonicity and concavity for F: ′ y . + + − − + f=F 1↗2↗3↘4↘5↗6 F max min ′ ′′ ++ −−−− ++ ++ f = F . ⌣ ⌢ ⌢ ⌣ ⌣ 1 2 3 4 5 6 x 1 2 3 4 5 6F IP IP F 1 2 3 4 5 6 shape
  • 105.
    Using f tomake a sign chart for F Assuming F′ = f, we can make a sign chart for f and f′ to find the intervals of monotonicity and concavity for F: ′ y . + + − − + f=F 1↗2↗3↘4↘5↗6 F max min ′ ′′ ++ −−−− ++ ++ f = F . ⌣ ⌢ ⌢ ⌣ ⌣ 1 2 3 4 5 6 x 1 2 3 4 5 6F IP IP F 1 2 3 4 5 6 shape
  • 106.
    Using f tomake a sign chart for F Assuming F′ = f, we can make a sign chart for f and f′ to find the intervals of monotonicity and concavity for F: ′ y . + + − − + f=F 1↗2↗3↘4↘5↗6 F max min ′ ′′ ++ −−−− ++ ++ f = F . ⌣ ⌢ ⌢ ⌣ ⌣ 1 2 3 4 5 6 x 1 2 3 4 5 6F IP IP F 1 2 3 4 5 6 shape
  • 107.
    Using f tomake a sign chart for F Assuming F′ = f, we can make a sign chart for f and f′ to find the intervals of monotonicity and concavity for F: ′ y . + + − − + f=F 1↗2↗3↘4↘5↗6 F max min ′ ′′ ++ −−−− ++ ++ f = F . ⌣ ⌢ ⌢ ⌣ ⌣ 1 2 3 4 5 6 x 1 2 3 4 5 6F IP IP ? ? ? ? ? ?F 1 2 3 4 5 6 shape The only ques on le is: What are the func on values?
  • 108.
    Could you repeatthe question? Problem Below is the graph of a func on f. Draw the graph of the an deriva ve for f with F(1) = 0. Solu on y f . x 1 2 3 4 5 6 F 1 2 3 4 5 6 shape IP max IP min
  • 109.
    Could you repeatthe question? Problem Below is the graph of a func on f. Draw the graph of the an deriva ve for f with F(1) = 0. Solu on y We start with F(1) = 0. f . x 1 2 3 4 5 6 F 1 2 3 4 5 6 shape IP max IP min
  • 110.
    Could you repeatthe question? Problem Below is the graph of a func on f. Draw the graph of the an deriva ve for f with F(1) = 0. Solu on y We start with F(1) = 0. f . Using the sign chart, we draw arcs x 1 2 3 4 5 6 with the specified monotonicity and concavity F 1 2 3 4 5 6 shape IP max IP min
  • 111.
    Could you repeatthe question? Problem Below is the graph of a func on f. Draw the graph of the an deriva ve for f with F(1) = 0. Solu on y We start with F(1) = 0. f . Using the sign chart, we draw arcs x 1 2 3 4 5 6 with the specified monotonicity and concavity F 1 2 3 4 5 6 shape IP max IP min
  • 112.
    Could you repeatthe question? Problem Below is the graph of a func on f. Draw the graph of the an deriva ve for f with F(1) = 0. Solu on y We start with F(1) = 0. f . Using the sign chart, we draw arcs x 1 2 3 4 5 6 with the specified monotonicity and concavity F 1 2 3 4 5 6 shape IP max IP min
  • 113.
    Could you repeatthe question? Problem Below is the graph of a func on f. Draw the graph of the an deriva ve for f with F(1) = 0. Solu on y We start with F(1) = 0. f . Using the sign chart, we draw arcs x 1 2 3 4 5 6 with the specified monotonicity and concavity F 1 2 3 4 5 6 shape IP max IP min
  • 114.
    Could you repeatthe question? Problem Below is the graph of a func on f. Draw the graph of the an deriva ve for f with F(1) = 0. Solu on y We start with F(1) = 0. f . Using the sign chart, we draw arcs x 1 2 3 4 5 6 with the specified monotonicity and concavity F 1 2 3 4 5 6 shape IP max IP min
  • 115.
    Could you repeatthe question? Problem Below is the graph of a func on f. Draw the graph of the an deriva ve for f with F(1) = 0. Solu on y We start with F(1) = 0. f . Using the sign chart, we draw arcs x 1 2 3 4 5 6 with the specified monotonicity and concavity F 1 2 3 4 5 6 shape IP max IP min
  • 116.
    Could you repeatthe question? Problem Below is the graph of a func on f. Draw the graph of the an deriva ve for f with F(1) = 0. Solu on y We start with F(1) = 0. f . Using the sign chart, we draw arcs x 1 2 3 4 5 6 with the specified monotonicity and concavity F 1 2 3 4 5 6 shape IP max IP min
  • 117.
    Could you repeatthe question? Problem Below is the graph of a func on f. Draw the graph of the an deriva ve for f with F(1) = 0. Solu on y We start with F(1) = 0. f . Using the sign chart, we draw arcs x 1 2 3 4 5 6 with the specified monotonicity and concavity F 1 2 3 4 5 6 shape IP max IP min
  • 118.
    Could you repeatthe question? Problem Below is the graph of a func on f. Draw the graph of the an deriva ve for f with F(1) = 0. Solu on y We start with F(1) = 0. f . Using the sign chart, we draw arcs x 1 2 3 4 5 6 with the specified monotonicity and concavity F 1 2 3 4 5 6 shape IP max IP min
  • 119.
    Could you repeatthe question? Problem Below is the graph of a func on f. Draw the graph of the an deriva ve for f with F(1) = 0. Solu on y We start with F(1) = 0. f . Using the sign chart, we draw arcs x 1 2 3 4 5 6 with the specified monotonicity and concavity F It’s harder to tell if/when F crosses 1 2 3 4 5 6 shape IP max IP min the axis; more about that later.
  • 120.
    Outline What isan an deriva ve? Tabula ng An deriva ves Power func ons Combina ons Exponen al func ons Trigonometric func ons An deriva ves of piecewise func ons Finding An deriva ves Graphically Rec linear mo on
  • 121.
    Say what? “Rec linear mo on” just means mo on along a line. O en we are given informa on about the velocity or accelera on of a moving par cle and we want to know the equa ons of mo on.
  • 122.
  • 123.
  • 124.
    Problem Suppose a parcle of mass m is acted upon by a constant force F. Find the posi on func on s(t), the velocity func on v(t), and the accelera on func on a(t).
  • 125.
    Problem Suppose a parcle of mass m is acted upon by a constant force F. Find the posi on func on s(t), the velocity func on v(t), and the accelera on func on a(t). Solu on By Newton’s Second Law (F = ma) a constant force induces a F constant accelera on. So a(t) = a = . m
  • 126.
    Problem Suppose a parcle of mass m is acted upon by a constant force F. Find the posi on func on s(t), the velocity func on v(t), and the accelera on func on a(t). Solu on By Newton’s Second Law (F = ma) a constant force induces a F constant accelera on. So a(t) = a = . m ′ Since v (t) = a(t), v(t) must be an an deriva ve of the constant func on a. So v(t) = at + C = at + v0
  • 127.
    Problem Suppose a parcle of mass m is acted upon by a constant force F. Find the posi on func on s(t), the velocity func on v(t), and the accelera on func on a(t). Solu on By Newton’s Second Law (F = ma) a constant force induces a F constant accelera on. So a(t) = a = . m ′ Since v (t) = a(t), v(t) must be an an deriva ve of the constant func on a. So v(t) = at + C = at + v0
  • 128.
    An earlier Hatsumon Example Drop a ball off the roof of the Silver Center. What is its velocity when it hits the ground?
  • 129.
    An earlier Hatsumon Example Drop a ball off the roof of the Silver Center. What is its velocity when it hits the ground? Solu on Assume s0 = 100 m, and v0 = 0. Approximate a = g ≈ −10. Then s(t) = 100 − 5t2 √ √ So s(t) = 0 when t = 20 = 2 5. Then v(t) = −10t,
  • 130.
    Finding initial velocityfrom stopping distance Example The skid marks made by an automobile indicate that its brakes were fully applied for a distance of 160 before it came to a stop. Suppose that the car in ques on has a constant decelera on of 20 ft/s2 under the condi ons of the skid. How fast was the car traveling when its brakes were first applied?
  • 131.
    Finding initial velocityfrom stopping distance Example The skid marks made by an automobile indicate that its brakes were fully applied for a distance of 160 before it came to a stop. Suppose that the car in ques on has a constant decelera on of 20 ft/s2 under the condi ons of the skid. How fast was the car traveling when its brakes were first applied? Solu on (Setup) While braking, the car has accelera on a(t) = −20
  • 132.
    Finding initial velocityfrom stopping distance Example The skid marks made by an automobile indicate that its brakes were fully applied for a distance of 160 before it came to a stop. Suppose that the car in ques on has a constant decelera on of 20 ft/s2 under the condi ons of the skid. How fast was the car traveling when its brakes were first applied? Solu on (Setup) While braking, the car has accelera on a(t) = −20 Measure me 0 and posi on 0 when the car starts braking. So
  • 133.
    Finding initial velocityfrom stopping distance Example The skid marks made by an automobile indicate that its brakes were fully applied for a distance of 160 before it came to a stop. Suppose that the car in ques on has a constant decelera on of 20 ft/s2 under the condi ons of the skid. How fast was the car traveling when its brakes were first applied? Solu on (Setup) While braking, the car has accelera on a(t) = −20 Measure me 0 and posi on 0 when the car starts braking. So
  • 134.
    Implementing the Solution In general, 1 s(t) = s0 + v0 t + at2 2 Since s0 = 0 and a = −20, we have s(t) = v0 t − 10t2 v(t) = v0 − 20t for all t.
  • 135.
    Implementing the Solution In general, 1 s(t) = s0 + v0 t + at2 2 Since s0 = 0 and a = −20, we have s(t) = v0 t − 10t2 v(t) = v0 − 20t for all t. Plugging in t = t1 , 160 = v0 t1 − 10t2 1 0 = v0 − 20t1
  • 136.
    Solving We have v0 t1 − 10t2 = 160 1 v0 − 20t1 = 0
  • 137.
    Solving We have v0 t1 − 10t2 = 160 1 v0 − 20t1 = 0 The second gives t1 = v0 /20, so subs tute into the first: v0 ( v )2 0 v0 · − 10 = 160 20 20 Solve: v2 0 10v2 − 0 = 160 20 400 2v2 − v2 = 160 · 40 = 6400 0 0
  • 138.
    Solving We have v0 t1 − 10t2 = 160 1 v0 − 20t1 = 0 The second gives t1 = v0 /20, so subs tute into the first: v0 ( v )2 0 v0 · − 10 = 160 20 20 Solve: v2 0 10v2 − 0 = 160 20 400 2v2 − v2 = 160 · 40 = 6400 0 0
  • 139.
    Summary of Antiderivativesso far f(x) F(x) 1 r+1 xr , r ̸= 1 x +C r+1 1 = x−1 ln |x| + C x x e ex + C 1 x ax a +C ln a ln x x ln x − x + C x ln x − x loga x +C ln a sin x − cos x + C cos x sin x + C
  • 140.
    Final Thoughts An deriva ves are a useful concept, especially in mo on y We can graph an f an deriva ve from the . x graph of a func on 1 2 3 4 5 6F We can compute an deriva ves, but not f(x) = e−x 2 always