Worked by Ayesha (Extended by Suraj C)
PPM
1
Worked by Ayesha (Extended by Suraj C)
PPM
2
 DEFINITIONS:
1. DRUG:
2. EXCIPIENTS:
 INTRODUCTION:
 An incompatibility may be defined as…..
“An undesirable drug interaction with one or more components of a formulation, resulting in
changes in physical, chemical, microbiological or therapeutic properties of the dosage form.”
 An incompatibility in dosage form can result in any of the following changes:
 change in colour/appearance;
 loss in mechanical properties (e.g., tablet hardness)
 changes to dissolution performance;
 physical form conversion;
 loss through sublimation;
 a decrease in potency; and
 increase in degradation products.
 Excipient compatibility studies are conducted mainly to predict the potential incompatibility of
the drug in the final dosage form.
 These studies also provide justification for selection of excipients, and their concentrations in the
formulation as required in regulatory filings.
 There fillings has also been an increased regulatory focus on the Critical Quality Attributes
(CQA) of excipients and their control strategy, because of their impact on the drug product
formulation and manufacturing process which enhanced due to increasing QbD trend.
 OBJECTIVE
 These studies are important in the drug development process, as the knowledge gained from
excipient compatibility studies is used to
 Select the dosage form components,
 Delineate stability profile of the drug,
 Identify degradation products, and
 Understand mechanisms of reactions.
 If the stability of the drug with the excipients are found to be unsatisfactory, strategies to mitigate
the instability of the drug can be adopted.
 IMPORTANCE OF DECS:
 Stability of the dosage form can be maximized
 It helps to avoid the surprise problems
Worked by Ayesha (Extended by Suraj C)
PPM
3
 Drug discovery can emerge only new chemical entity
 DECS data is essential for IND
 Determine a list of excipients that can be used in final dosage form
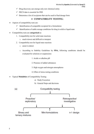
 COMPATIBILITY TESTING:
 Aspects of compatibility tests are:
 Identification of compatible excipient for a formulation
 Identification of stable storage conditions for drug in solid or liquid state
 Compatibility tests are categorised as:
1. Compatibility test for solid state reactions
o much slower and difficult to interpret
2. Compatibility test for liquid state reactions
o easier to detect
o According to Stability Guidelines by FDA, following conditions should be
evaluated for solutions or suspensions:
1. Acidic or alkaline pH
2. Presence of added substances
3. High oxygen and nitrogen atmospheres
4. Effect of stress testing conditions
 Typical Modalities of Compatibility Testing
a) Study Execution
b) General Steps and decisions
Worked by Ayesha (Extended by Suraj C)
PPM
4
 General Steps in Compatibility Studies:
1. Experimental Design
2. Sample preparation
3. Storage
3. Sample Analysis & Data Interpretation
I. Experimental Design
o The design of experiments is governed by the potential formulation choices, and
excipient preferences.
o These decisions are made in conjunction with all the other available preformulation data,
API characteristics, and marketing preferences.
o These also determine the types of pharmaceutical excipients that are evaluated.
Ex: compatibility studies for a liquid formulation of an insoluble compound would
differ widely, and include excipients such as surfactants and suspending agents, from the
studies designed for a highly soluble compound.
o Compatibility studies are commonly carried out by accelerated stress testing, and
evaluation of its effect on the binary or multicomponent drug–excipient mixtures.
o Designs:
i. Two- or Multi-component Systems
Worked by Ayesha (Extended by Suraj C)
PPM
5
 Binary mixtures of drug and common pharmaceutical excipients such as
diluents or ternary mixtures of drug, a diluent, and excipients used in lower
proportions such as disintegrants and lubricants.
 And are incubated at accelerated conditions of temperature and humidity
for extended periods of time, using drug alone and excipient alone as
controls.
 Incompatibilities are physically identified by
 Visual observation for color or physical form changes,
 Spectroscopic and calorimetric methods, and
 Chemically quantified by analytical assays for drug content and
impurities.
ii. n-1 Design & Mini formulations
 Compatibility studies are often aimed at solving formulation stability
issues.
 In such cases studies are carried out with the exclusion of only one
component in each sub-lot to identify the source of incompatibility.
 Often, mini-formulations are prepared with the exclusion of non-critical,
quantitatively minor, and/or easily interchangeable ingredients, e.g., colors
and flavors, from solutions and suspensions.
II. Sample Preparation
a. For solid state reactions:
 Sample A: -mixture of drug and excipient
 Sample B: -Sample + 5% moisture
 Sample C: -Drug itself without excipients
o All the samples of drug-excipient blends are kept for 1-3 weeks at specified storage
conditions.
o Then sample is physically observed.
o It is then assayed by TLC or HPLC or DSC
o Whenever feasible, the degradation product are identified by MASS SPECTROSCOPY,
NMR or other relevant analytical techniques.
b. For liquid state reactions:
o Place the drug in the solution of additives.
o Both flint and amber vials are used.
o This will provide information about
-Susceptibility to oxidation.
Worked by Ayesha (Extended by Suraj C)
PPM
6
-Susceptibility to light exposure.
-Susceptibility to heavy metals.
o In case of oral liquids, compatibility with ethanol, glycerin, sucrose, preservatives and
buffers are usually carried out.
III. Storage Conditions
o The storage conditions used to examine compatibility can vary widely in term of temp. &
humidity, but a temp. of 50°C for storage of compatibility sample is considered
appropriate.
o Some compounds may require high temp. to make reaction proceed at a rate that can be
measured over a convenient time period.
IV. Sample Analysis & Data Interpretation
o Monitoring Drug Degradation
Thermal Methods (DSC, DTA, etc.)
o Monitoring to form changes
PXRD, ssNMR, NIR spectroscopy, etc.
o Data analysis
Worked by Ayesha (Extended by Suraj C)
PPM
7
Compatibility Studies in Different Dosage Forms
 SOLID DOSAGE FORMS:
 In case of Tablets, The various excipients used are as follows:
a. Diluents /fillers:
Ex. Lactose, dibasic Ca.phosphate, sucrose, glucose, mannitol, sorbitol
b. Binders :
Ex. PVP, cellulose, MCC, sorbitol, gelatine, PEG
c. Disintegrants:
Ex. PVP, Sodium CMC, sodium CMC, sodium starch glycolate
d. Anti-adherents:
Ex. Magnesium stearate
e. Lubricants:
Ex. Talc, Mg.stearate
f. Glidants:
Ex. Magnesium carbonate
g. Coating Agents
Ex: HPMC, HPMCP, EC
EXCIPIENT EXAMPLE INCOMPATIBILITY REASON
DILUENT
Lactose Primary and secondary
amines
Reducing sugar
Mannitol Omeprazole sodium,
primaquine
Crystallization
Dicalcium
phosphate
dihydrate
temazepam Alkaline nature
BINDERS PVP Haloperidol, ranitidine
Hcl
Peroxides
DISINTEGRANT Starch Strongly oxidising subs Reducing sugar
ANTI-
ADHERENT
Mg.stearate Aspirin Undesirable product is
formed
LUBRICANTS Talc Quaternary ammonium
compds.
GLIDANTS Magnesium
carbonate
Phenobarbital sodium Acids dissolve MgCO3
COATING AGENT INCOMPATIBILITY INTERACTION
HPMC Oxidizing agents
SPLITING OF FILM
HPMCP MCC and calcium CMC
ETHYL
CELLULOSE
Paraffin wax
Microcrystalline wax
Worked by Ayesha (Extended by Suraj C)
PPM
8
 Maillard Reaction:
 LIQUID DOSAGE FORMS:
1. PARENTERALS
o The various excipients used in parenteral preparations are
I. Anti-oxidants:
Ex. Ascorbic acid, Na bisulphite, EDTA
II. Preservatives:
Ex. Methyl paraben, propyl paraben
III. Cosolvents:
Ex. Sorbitol, glycerol, PEG
IV. Chelating agents:
Ex. EDTA
V. Tonicity agents:
Ex. sod. Chloride, pot. Chloride, dextrose.
EXCIPIENT EXAMPLE INCOMPATIBILITY REASON
Antioxidant
Ascorbic acid Penicillin G, Phenylephrine
Hcl
Acid unstable
Na. bisulfite Sympathomimetics/ o or p-
hydroxy benzyl alcohol
Sulphonic acid
derivative
Preservatives Phenyl-mercuric acetate Halide ions Less soluble
hydrogen
Co solvents
Polyethylene glycol Aspirin, carbonic acid,
theophylline derivatives
Peroxide impurity
Glycerin Phenols, salicylates, tannin Iron impurity
Chelating agents Edetate salts Zn insulin, thiomersal,
amphotericin
Tonicity agents
Sodium chloride Silver ,lead, mercury salts
Dextrose Strong alkali ,
cyanacobalamine ,warfarin
Brown coloration
and decomposition
,loss of clarity
Amine +Reducing
sugar
condensation Water+ketosamine
5(hydroxy methyl)-2
furaldehyde
Worked by Ayesha (Extended by Suraj C)
PPM
9
2. AEROSOLS
Example: Interaction of propellant-11 with aqueous drug products
o Propellant 11 is trichloromonofluoromethane.
o Interaction of propellant 11 with aqueous drug is as follow
o Therefore, propellant 11 is incompatible with aqueous drug products.
Analytical Techniques for DECS
1. Thermal method of analysis
a) DSC- Differential scanning calorimetry
b) DTA- Differential thermal analysis
2. Accelerated stability studies
3. FT-IR SPECTROSCOPY
4. DRS- Diffuse reflectance spectroscopy
5. Chromatography
a) TLC-Thin layer chromatography
b) SIC -Self interactive chromatography
6. Miscellaneous
a) Fluorescence spectroscopy
b) Vapour pressure osmometry
DSC – DIFFERENTIAL SCANNING CALORIMETRY
 DSC is widely used to investigate and predict any physico-chemical interaction between drug and
excipients involving thermal changes.
 DSC is the measurement of rate of heat evolved or absorbed by the sample, during a temperature
programme.
METHOD:
 The preformulation screening of drug-excipient interaction requires (1:1) Drug:excipient
ratio, to maximize the likehood of observing an interaction.
 Mixture should be examined under N2 to eliminate oxidative and pyrrolytic effects at heating
rate (2, 5 or 100 C / min) on DSC apparatus.
Worked by Ayesha (Extended by Suraj C)
PPM
10
 However, some changes in peak shape and peak height and width are expected because of
possible differences in mixture geometry.
 Example : Ofloxacin
Experimental excipients: Lactose, Starch, PVP, Talc
How to
detect
interaction
by DSC
Appearance
of new peak
Elimination of
endothermic
peak
Area of
peak/enthalpy
Melting point/peak
temperature
Change
in peak
shape
Onset of a
peak
Worked by Ayesha (Extended by Suraj C)
PPM
11
 LIMITATIONS OF DSC:
 If thermal changes are very small, DSC can’t be used.
 DSC can not detect the incompatibilities which occur after long term storage.
E.g. MCC / ASPIRIN
 Not applicable if test material exhibits properties that make data interpretation difficult.
 ADVANTAGES:
o Fast
o Reliable and very less sample required.
DTA – DIFFERENTIAL THERMAL ANALYSIS
 Thermal Analysis is useful in the investigation of solid-state interactions.
 It is also useful in the detection of eutectics.
 Thermograms are generated for pure components and their physical mixtures with other
components.
Worked by Ayesha (Extended by Suraj C)
PPM
12
 In the absence of any interaction, the thermograms of mixtures show patterns corresponding to
those of the individual components.
 In the event that interaction occurs, this is indicated in the thermogram of a mixture by the
appearance of one or more new peaks or the disappearance of one or more peaks corresponding to
those of the components.
ACCELERATED STABILITY STUDIES
 Different formulations of the same drug are prepared.
 Samples are kept at 40ºC / 75 % RH.
 Chemical stability is assessed by analyzing the drug content at regular interval.
 Amt. of drug degraded is calculated.
 % Drug decomposed VS time(month) is plotted.
Ex: Experimental drug: Enalapril maleate
Experimental excipients: (Directly compressible diluents):
1. Avicel
2. Spray dried lactose
3. Emcompress
4. A-tab
NOTE: In all the formulations excipients other than directly compressible vehicle are kept same.
Formulation DTA Shelf life Inference
F1(AVICEL) + 3½ months Least stable
F2(SPRAY DRIED
LACTOSE)
_ 1 year and 3 months Ideal
F3(EMCOMPRESS) + 8 months Not recommended
F4(A-TAB) + 9½ months Not recommended
Worked by Ayesha (Extended by Suraj C)
PPM
13
SELF-INTERACTIVE CHROMATOGRAPHY
 SIC is useful for proteinous drug and excipients.
METHOD:-
 SIC is a modified type of affinity chromatography.
 Here, drug is made immobilized as the SP & soln. to be tested( excipient soln.) acts as MP.
 Measure Rt (Retention time) & compare with non –retained marker.
PRINCIPLE:-
 For different mobile phases (i.e. different excipients) the injected drug have different interactions
(may be repulsive or attractive) with the SP of drug leads to shift in retention time.
FTIR
 In FTIR technology, the presence of a peak at a specific wave number indicates the presence of a
specific chemical bond.
 If specific interactions took place between the materials, the most obvious and significant
difference would be the appearance of new peaks or a shift of existing peaks.
 It is used to study the interaction occurring between drug and excipient by matching the peaks of
spectra.
 The absence of any significant change in the IR spectral pattern of drug & polymer physical
mixture indicated the absence of any interaction between the drug and the excipient.
Ex: Moxifloxacin
Experimental Excipients: PLGA
 The IR-spectra of the physical mixture of both drug and polymer exhibited all the characteristics
peaks as shown.
Worked by Ayesha (Extended by Suraj C)
PPM
14
 Therefore, it shows compatibility of drug with the polymer.
 All the spectra acquired were scanned between 400 and 4000 cm-1
at a resolution of 4 cm-1
.
TLC & HPTLC
 TLC is generally used as confirmative test of compatibility after performing DSC.
 S.P. consist of powder (Silica, Alumina, Polyamide, Cellulose & Ion exchange resin) adhered onto
glass, plastic or metal plate.
 Solution of Drug, Excipient & Drug: Excipient mixture are prepared & spotted on the same
baseline at the end of plate.
 The plate is then placed upright in a closed chamber containing the solvent which constitutes the
M.P.
Worked by Ayesha (Extended by Suraj C)
PPM
15
 The material is identified by its Rf value.
 The position of the material on the plate is indicated by spraying the plate with certain reagents or
exposing the plate to UV radiation.
 If there is no interaction between drug & excipient, the mixture will produce two spots.
 The Rf value of which are identical with those of individual drug & excipient.
 If there is interaction, the complex formed will produce a spot.
 The Rf value of which is different from those of the individual components.
FLUORESCENT MEASUREMENT
 This technique is restricted to those compounds, which can generate florescence.
 As the no. of such compounds are restricted, this method is used in Analysis and not in
preformulation.
INCOMPATIBLE IMPURITIES
 Chemical impurity profiles
 Chemical impurity profiles of the excipient can be very important in influencing the long term
chemical stability performance of the formulated drug product.
E.g..
(1)DCP – Sometimes, IRON may be present in DCP as impurities. & it is incompatible with
MECLIZINE HCl (Fe NMT 0.04%).
(2)Hydroperoxides (HPO) - Evaluation of Hydroperoxides ( HPO) in common
pharmaceutical excipients:
 POVIDONE
 PEG 400
 HPC
 POLYSORBATE 80
Contains substantial conc. of
HPOs with significant batch to
batch OR manufacturer to
manufacture variations
Worked by Ayesha (Extended by Suraj C)
PPM
16
o While MCC, Lactose, High mol. Wt. PEG contains less amt. of HPOs.
o In solid dosage forms, PVP is commonly used as a bonder for wet granulation & often
used at very low conc.
o However, the total HPO content is high enough in PVP to promote significant
degradation when formulating oxidatively sensitive drugs.
o 5% of PVP was shown to be responsible for N-oxide formation of Raloxifen HCl, due
to high HPO content.
o So for these excipients, active monitoring and control of HPOs by the supplier may be
necessary.
(3)Iron (Fe) - Gelatin is also containing IRON as impurities
o Dark spots may occur in the shell due to the migration of water soluble iron sensitive
ingredients from fill material into the shell.
REFERENCES
 Qui Y. et.al; Developing Solid Oral Dosage Forms; Elsevier Academic Press, 125-143, 2011.
 Leon Lachman & Liberman; Pharmaceutical Dosage forms 2010.
 Hand book of Pharmaceutical Excipients, 2011.
 Modern Pharmaceutics by Banker & Rhodes, 4th edition, 2002.
 I.J.P.E., Vol 1, 2002
 J.Ph.Sci, Vol 97, 106-110; 2007.

Drug excipient Compatibility

  • 1.
    Worked by Ayesha(Extended by Suraj C) PPM 1
  • 2.
    Worked by Ayesha(Extended by Suraj C) PPM 2  DEFINITIONS: 1. DRUG: 2. EXCIPIENTS:  INTRODUCTION:  An incompatibility may be defined as….. “An undesirable drug interaction with one or more components of a formulation, resulting in changes in physical, chemical, microbiological or therapeutic properties of the dosage form.”  An incompatibility in dosage form can result in any of the following changes:  change in colour/appearance;  loss in mechanical properties (e.g., tablet hardness)  changes to dissolution performance;  physical form conversion;  loss through sublimation;  a decrease in potency; and  increase in degradation products.  Excipient compatibility studies are conducted mainly to predict the potential incompatibility of the drug in the final dosage form.  These studies also provide justification for selection of excipients, and their concentrations in the formulation as required in regulatory filings.  There fillings has also been an increased regulatory focus on the Critical Quality Attributes (CQA) of excipients and their control strategy, because of their impact on the drug product formulation and manufacturing process which enhanced due to increasing QbD trend.  OBJECTIVE  These studies are important in the drug development process, as the knowledge gained from excipient compatibility studies is used to  Select the dosage form components,  Delineate stability profile of the drug,  Identify degradation products, and  Understand mechanisms of reactions.  If the stability of the drug with the excipients are found to be unsatisfactory, strategies to mitigate the instability of the drug can be adopted.  IMPORTANCE OF DECS:  Stability of the dosage form can be maximized  It helps to avoid the surprise problems
  • 3.
    Worked by Ayesha(Extended by Suraj C) PPM 3  Drug discovery can emerge only new chemical entity  DECS data is essential for IND  Determine a list of excipients that can be used in final dosage form  COMPATIBILITY TESTING:  Aspects of compatibility tests are:  Identification of compatible excipient for a formulation  Identification of stable storage conditions for drug in solid or liquid state  Compatibility tests are categorised as: 1. Compatibility test for solid state reactions o much slower and difficult to interpret 2. Compatibility test for liquid state reactions o easier to detect o According to Stability Guidelines by FDA, following conditions should be evaluated for solutions or suspensions: 1. Acidic or alkaline pH 2. Presence of added substances 3. High oxygen and nitrogen atmospheres 4. Effect of stress testing conditions  Typical Modalities of Compatibility Testing a) Study Execution b) General Steps and decisions
  • 4.
    Worked by Ayesha(Extended by Suraj C) PPM 4  General Steps in Compatibility Studies: 1. Experimental Design 2. Sample preparation 3. Storage 3. Sample Analysis & Data Interpretation I. Experimental Design o The design of experiments is governed by the potential formulation choices, and excipient preferences. o These decisions are made in conjunction with all the other available preformulation data, API characteristics, and marketing preferences. o These also determine the types of pharmaceutical excipients that are evaluated. Ex: compatibility studies for a liquid formulation of an insoluble compound would differ widely, and include excipients such as surfactants and suspending agents, from the studies designed for a highly soluble compound. o Compatibility studies are commonly carried out by accelerated stress testing, and evaluation of its effect on the binary or multicomponent drug–excipient mixtures. o Designs: i. Two- or Multi-component Systems
  • 5.
    Worked by Ayesha(Extended by Suraj C) PPM 5  Binary mixtures of drug and common pharmaceutical excipients such as diluents or ternary mixtures of drug, a diluent, and excipients used in lower proportions such as disintegrants and lubricants.  And are incubated at accelerated conditions of temperature and humidity for extended periods of time, using drug alone and excipient alone as controls.  Incompatibilities are physically identified by  Visual observation for color or physical form changes,  Spectroscopic and calorimetric methods, and  Chemically quantified by analytical assays for drug content and impurities. ii. n-1 Design & Mini formulations  Compatibility studies are often aimed at solving formulation stability issues.  In such cases studies are carried out with the exclusion of only one component in each sub-lot to identify the source of incompatibility.  Often, mini-formulations are prepared with the exclusion of non-critical, quantitatively minor, and/or easily interchangeable ingredients, e.g., colors and flavors, from solutions and suspensions. II. Sample Preparation a. For solid state reactions:  Sample A: -mixture of drug and excipient  Sample B: -Sample + 5% moisture  Sample C: -Drug itself without excipients o All the samples of drug-excipient blends are kept for 1-3 weeks at specified storage conditions. o Then sample is physically observed. o It is then assayed by TLC or HPLC or DSC o Whenever feasible, the degradation product are identified by MASS SPECTROSCOPY, NMR or other relevant analytical techniques. b. For liquid state reactions: o Place the drug in the solution of additives. o Both flint and amber vials are used. o This will provide information about -Susceptibility to oxidation.
  • 6.
    Worked by Ayesha(Extended by Suraj C) PPM 6 -Susceptibility to light exposure. -Susceptibility to heavy metals. o In case of oral liquids, compatibility with ethanol, glycerin, sucrose, preservatives and buffers are usually carried out. III. Storage Conditions o The storage conditions used to examine compatibility can vary widely in term of temp. & humidity, but a temp. of 50°C for storage of compatibility sample is considered appropriate. o Some compounds may require high temp. to make reaction proceed at a rate that can be measured over a convenient time period. IV. Sample Analysis & Data Interpretation o Monitoring Drug Degradation Thermal Methods (DSC, DTA, etc.) o Monitoring to form changes PXRD, ssNMR, NIR spectroscopy, etc. o Data analysis
  • 7.
    Worked by Ayesha(Extended by Suraj C) PPM 7 Compatibility Studies in Different Dosage Forms  SOLID DOSAGE FORMS:  In case of Tablets, The various excipients used are as follows: a. Diluents /fillers: Ex. Lactose, dibasic Ca.phosphate, sucrose, glucose, mannitol, sorbitol b. Binders : Ex. PVP, cellulose, MCC, sorbitol, gelatine, PEG c. Disintegrants: Ex. PVP, Sodium CMC, sodium CMC, sodium starch glycolate d. Anti-adherents: Ex. Magnesium stearate e. Lubricants: Ex. Talc, Mg.stearate f. Glidants: Ex. Magnesium carbonate g. Coating Agents Ex: HPMC, HPMCP, EC EXCIPIENT EXAMPLE INCOMPATIBILITY REASON DILUENT Lactose Primary and secondary amines Reducing sugar Mannitol Omeprazole sodium, primaquine Crystallization Dicalcium phosphate dihydrate temazepam Alkaline nature BINDERS PVP Haloperidol, ranitidine Hcl Peroxides DISINTEGRANT Starch Strongly oxidising subs Reducing sugar ANTI- ADHERENT Mg.stearate Aspirin Undesirable product is formed LUBRICANTS Talc Quaternary ammonium compds. GLIDANTS Magnesium carbonate Phenobarbital sodium Acids dissolve MgCO3 COATING AGENT INCOMPATIBILITY INTERACTION HPMC Oxidizing agents SPLITING OF FILM HPMCP MCC and calcium CMC ETHYL CELLULOSE Paraffin wax Microcrystalline wax
  • 8.
    Worked by Ayesha(Extended by Suraj C) PPM 8  Maillard Reaction:  LIQUID DOSAGE FORMS: 1. PARENTERALS o The various excipients used in parenteral preparations are I. Anti-oxidants: Ex. Ascorbic acid, Na bisulphite, EDTA II. Preservatives: Ex. Methyl paraben, propyl paraben III. Cosolvents: Ex. Sorbitol, glycerol, PEG IV. Chelating agents: Ex. EDTA V. Tonicity agents: Ex. sod. Chloride, pot. Chloride, dextrose. EXCIPIENT EXAMPLE INCOMPATIBILITY REASON Antioxidant Ascorbic acid Penicillin G, Phenylephrine Hcl Acid unstable Na. bisulfite Sympathomimetics/ o or p- hydroxy benzyl alcohol Sulphonic acid derivative Preservatives Phenyl-mercuric acetate Halide ions Less soluble hydrogen Co solvents Polyethylene glycol Aspirin, carbonic acid, theophylline derivatives Peroxide impurity Glycerin Phenols, salicylates, tannin Iron impurity Chelating agents Edetate salts Zn insulin, thiomersal, amphotericin Tonicity agents Sodium chloride Silver ,lead, mercury salts Dextrose Strong alkali , cyanacobalamine ,warfarin Brown coloration and decomposition ,loss of clarity Amine +Reducing sugar condensation Water+ketosamine 5(hydroxy methyl)-2 furaldehyde
  • 9.
    Worked by Ayesha(Extended by Suraj C) PPM 9 2. AEROSOLS Example: Interaction of propellant-11 with aqueous drug products o Propellant 11 is trichloromonofluoromethane. o Interaction of propellant 11 with aqueous drug is as follow o Therefore, propellant 11 is incompatible with aqueous drug products. Analytical Techniques for DECS 1. Thermal method of analysis a) DSC- Differential scanning calorimetry b) DTA- Differential thermal analysis 2. Accelerated stability studies 3. FT-IR SPECTROSCOPY 4. DRS- Diffuse reflectance spectroscopy 5. Chromatography a) TLC-Thin layer chromatography b) SIC -Self interactive chromatography 6. Miscellaneous a) Fluorescence spectroscopy b) Vapour pressure osmometry DSC – DIFFERENTIAL SCANNING CALORIMETRY  DSC is widely used to investigate and predict any physico-chemical interaction between drug and excipients involving thermal changes.  DSC is the measurement of rate of heat evolved or absorbed by the sample, during a temperature programme. METHOD:  The preformulation screening of drug-excipient interaction requires (1:1) Drug:excipient ratio, to maximize the likehood of observing an interaction.  Mixture should be examined under N2 to eliminate oxidative and pyrrolytic effects at heating rate (2, 5 or 100 C / min) on DSC apparatus.
  • 10.
    Worked by Ayesha(Extended by Suraj C) PPM 10  However, some changes in peak shape and peak height and width are expected because of possible differences in mixture geometry.  Example : Ofloxacin Experimental excipients: Lactose, Starch, PVP, Talc How to detect interaction by DSC Appearance of new peak Elimination of endothermic peak Area of peak/enthalpy Melting point/peak temperature Change in peak shape Onset of a peak
  • 11.
    Worked by Ayesha(Extended by Suraj C) PPM 11  LIMITATIONS OF DSC:  If thermal changes are very small, DSC can’t be used.  DSC can not detect the incompatibilities which occur after long term storage. E.g. MCC / ASPIRIN  Not applicable if test material exhibits properties that make data interpretation difficult.  ADVANTAGES: o Fast o Reliable and very less sample required. DTA – DIFFERENTIAL THERMAL ANALYSIS  Thermal Analysis is useful in the investigation of solid-state interactions.  It is also useful in the detection of eutectics.  Thermograms are generated for pure components and their physical mixtures with other components.
  • 12.
    Worked by Ayesha(Extended by Suraj C) PPM 12  In the absence of any interaction, the thermograms of mixtures show patterns corresponding to those of the individual components.  In the event that interaction occurs, this is indicated in the thermogram of a mixture by the appearance of one or more new peaks or the disappearance of one or more peaks corresponding to those of the components. ACCELERATED STABILITY STUDIES  Different formulations of the same drug are prepared.  Samples are kept at 40ºC / 75 % RH.  Chemical stability is assessed by analyzing the drug content at regular interval.  Amt. of drug degraded is calculated.  % Drug decomposed VS time(month) is plotted. Ex: Experimental drug: Enalapril maleate Experimental excipients: (Directly compressible diluents): 1. Avicel 2. Spray dried lactose 3. Emcompress 4. A-tab NOTE: In all the formulations excipients other than directly compressible vehicle are kept same. Formulation DTA Shelf life Inference F1(AVICEL) + 3½ months Least stable F2(SPRAY DRIED LACTOSE) _ 1 year and 3 months Ideal F3(EMCOMPRESS) + 8 months Not recommended F4(A-TAB) + 9½ months Not recommended
  • 13.
    Worked by Ayesha(Extended by Suraj C) PPM 13 SELF-INTERACTIVE CHROMATOGRAPHY  SIC is useful for proteinous drug and excipients. METHOD:-  SIC is a modified type of affinity chromatography.  Here, drug is made immobilized as the SP & soln. to be tested( excipient soln.) acts as MP.  Measure Rt (Retention time) & compare with non –retained marker. PRINCIPLE:-  For different mobile phases (i.e. different excipients) the injected drug have different interactions (may be repulsive or attractive) with the SP of drug leads to shift in retention time. FTIR  In FTIR technology, the presence of a peak at a specific wave number indicates the presence of a specific chemical bond.  If specific interactions took place between the materials, the most obvious and significant difference would be the appearance of new peaks or a shift of existing peaks.  It is used to study the interaction occurring between drug and excipient by matching the peaks of spectra.  The absence of any significant change in the IR spectral pattern of drug & polymer physical mixture indicated the absence of any interaction between the drug and the excipient. Ex: Moxifloxacin Experimental Excipients: PLGA  The IR-spectra of the physical mixture of both drug and polymer exhibited all the characteristics peaks as shown.
  • 14.
    Worked by Ayesha(Extended by Suraj C) PPM 14  Therefore, it shows compatibility of drug with the polymer.  All the spectra acquired were scanned between 400 and 4000 cm-1 at a resolution of 4 cm-1 . TLC & HPTLC  TLC is generally used as confirmative test of compatibility after performing DSC.  S.P. consist of powder (Silica, Alumina, Polyamide, Cellulose & Ion exchange resin) adhered onto glass, plastic or metal plate.  Solution of Drug, Excipient & Drug: Excipient mixture are prepared & spotted on the same baseline at the end of plate.  The plate is then placed upright in a closed chamber containing the solvent which constitutes the M.P.
  • 15.
    Worked by Ayesha(Extended by Suraj C) PPM 15  The material is identified by its Rf value.  The position of the material on the plate is indicated by spraying the plate with certain reagents or exposing the plate to UV radiation.  If there is no interaction between drug & excipient, the mixture will produce two spots.  The Rf value of which are identical with those of individual drug & excipient.  If there is interaction, the complex formed will produce a spot.  The Rf value of which is different from those of the individual components. FLUORESCENT MEASUREMENT  This technique is restricted to those compounds, which can generate florescence.  As the no. of such compounds are restricted, this method is used in Analysis and not in preformulation. INCOMPATIBLE IMPURITIES  Chemical impurity profiles  Chemical impurity profiles of the excipient can be very important in influencing the long term chemical stability performance of the formulated drug product. E.g.. (1)DCP – Sometimes, IRON may be present in DCP as impurities. & it is incompatible with MECLIZINE HCl (Fe NMT 0.04%). (2)Hydroperoxides (HPO) - Evaluation of Hydroperoxides ( HPO) in common pharmaceutical excipients:  POVIDONE  PEG 400  HPC  POLYSORBATE 80 Contains substantial conc. of HPOs with significant batch to batch OR manufacturer to manufacture variations
  • 16.
    Worked by Ayesha(Extended by Suraj C) PPM 16 o While MCC, Lactose, High mol. Wt. PEG contains less amt. of HPOs. o In solid dosage forms, PVP is commonly used as a bonder for wet granulation & often used at very low conc. o However, the total HPO content is high enough in PVP to promote significant degradation when formulating oxidatively sensitive drugs. o 5% of PVP was shown to be responsible for N-oxide formation of Raloxifen HCl, due to high HPO content. o So for these excipients, active monitoring and control of HPOs by the supplier may be necessary. (3)Iron (Fe) - Gelatin is also containing IRON as impurities o Dark spots may occur in the shell due to the migration of water soluble iron sensitive ingredients from fill material into the shell. REFERENCES  Qui Y. et.al; Developing Solid Oral Dosage Forms; Elsevier Academic Press, 125-143, 2011.  Leon Lachman & Liberman; Pharmaceutical Dosage forms 2010.  Hand book of Pharmaceutical Excipients, 2011.  Modern Pharmaceutics by Banker & Rhodes, 4th edition, 2002.  I.J.P.E., Vol 1, 2002  J.Ph.Sci, Vol 97, 106-110; 2007.