Unit-4 VECTOR DIFFERENTIATION
RAI UNIVERSITY, AHMEDABAD 1
Course: B.Tech- II
Subject: Engineering Mathematics II
Unit-4
RAI UNIVERSITY, AHMEDABAD
Unit-4 VECTOR DIFFERENTIATION
RAI UNIVERSITY, AHMEDABAD 2
Unit-IV: VECTOR DIFFERENTIATION
Sr. No. Name of the Topic Page No.
1 Scalar and Vector Point Function 2
2 Vector Differential Operator Del 3
3 Gradient of a Scalar Function 3
4 Normal and Directional Derivative 3
5 Divergence of a vector function 6
6 Curl 8
7 Reference Book 12
Unit-4 VECTOR DIFFERENTIATION
RAI UNIVERSITY, AHMEDABAD 3
VECTOR DIFFERENTIATION
 Introduction:
If vector r is a function of a scalar variable t, then we write
⃗ = ⃗( )
If a particle is moving along a curved path then the position vector ⃗ of the
particle is a function of . If the component of ( ) along − ,
− , − are ( ), ( ), ( ) respectively.
Then,
( )⃗ = ( ) ̂ + ( ) ̂ + ( )
1.1 Scalar and Vector Point Function :
Point function: A variable quantity whose value at any point in a region of
space depends upon the position of the point, is called a point function.
There are two types of point functions.
1) Scalar point function:
If to each point ( , , ) of a region in space there corresponds a
unique scalar ( ) , then is called a scalar point function.
For example:
The temperature distribution in a heated body, density of a body and
potential due to gravity are the examples of a scalar point function.
2) Vector point function:
If to each point ( , , ) of a region in space there corresponds a
unique vector ( ) , then is called a vector point function.
For example:
The velocities of a moving fluid, gravitational force are the examples
of vector point function.
2.1 Vector Differential Operator Del . .
Unit-4 VECTOR DIFFERENTIATION
RAI UNIVERSITY, AHMEDABAD 4
The vector differential operator Del is denoted by . It is defined as
= ̂ + ̂ +
Note: is read Del or nebla.
3.1 Gradient of a Scalar Function:
If ∅( , , ) be a scalar function then ̂
∅
+ ̂
∅
+
∅
is called the gradient
of the scalar function∅.
And is denoted by grad∅.
Thus, grad ∅ = ̂
∅
+ ̂
∅
+
∅
grad∅ = ̂ + ̂ + ∅( , , )
grad∅ = ∅
4.1 Normal and Directional Derivative:
1) Normal:
If ∅( , , ) = represents a family of surfaces for different values of
the constant . On differentiating∅, we get ∅ = 0
But ∅ = ∇∅ . ⃗
So ∇∅. = 0
The scalar product of two vectors ∇∅ and ⃗ being zero, ∇∅ and ⃗
are perpendicular to each other. ⃗is in the direction of tangent to the
giving surface.
Thus∇∅ is a vector normal to the surface∅( , , ) = .
2) Directional derivative:
The component of ∇∅ in the direction of a vector ⃗ is equal to ∇∅. ⃗
and is called the directional derivative of ∅ in the direction of ⃗.
∅
= lim →
∅
Where, =
Unit-4 VECTOR DIFFERENTIATION
RAI UNIVERSITY, AHMEDABAD 5
∅
is called the directional derivative of ∅ at in the direction of .
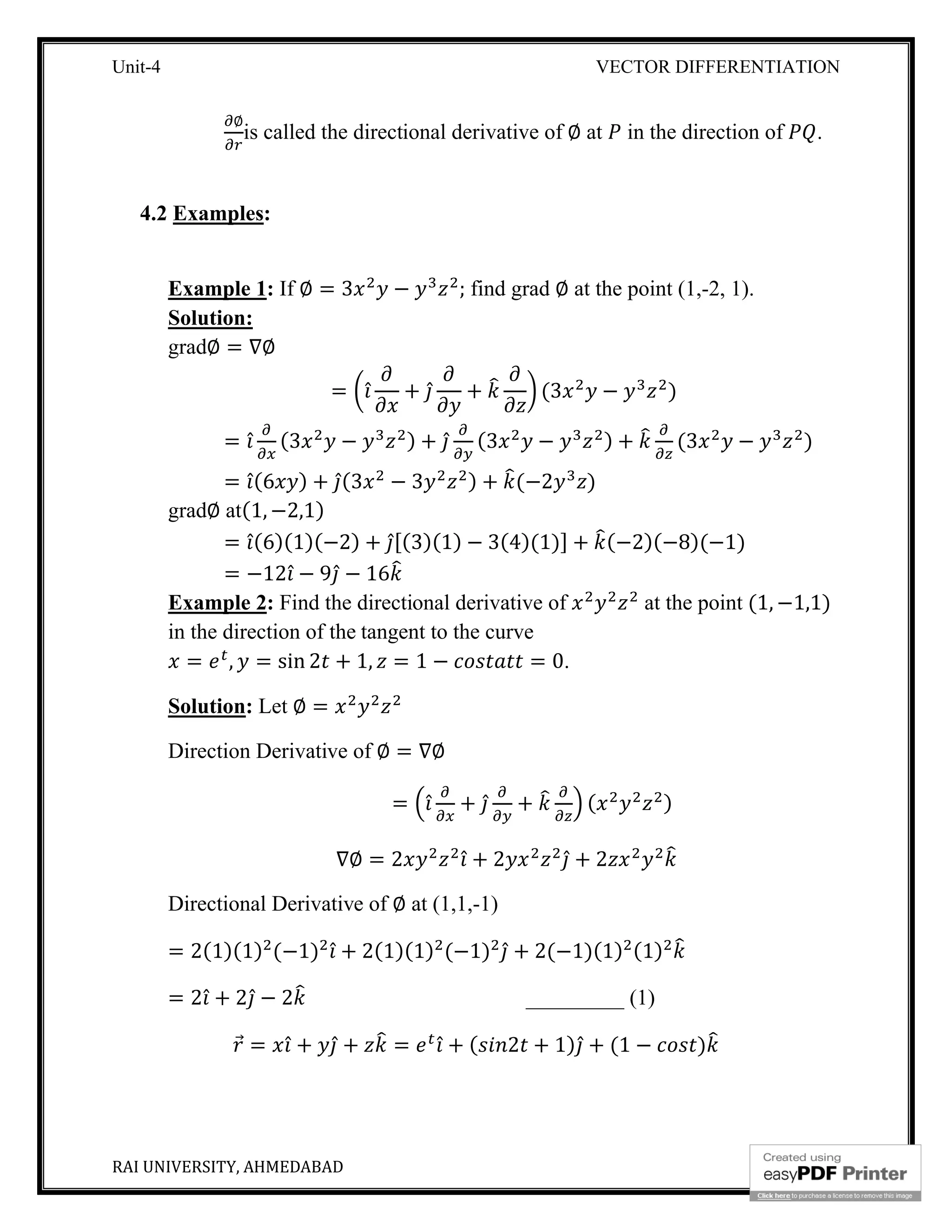
4.2 Examples:
Example 1: If ∅ = 3 − ; find grad ∅ at the point (1,-2, 1).
Solution:
grad∅ = ∇∅
= ̂ + ̂ + (3 − )
= ̂ (3 − ) + ̂ (3 − ) + (3 − )
= ̂(6 ) + ̂(3 − 3 ) + (−2 )
grad∅ at(1, −2,1)
= ̂(6)(1)(−2) + ̂[(3)(1) − 3(4)(1)] + (−2)(−8)(−1)
= −12 ̂ − 9 ̂ − 16
Example 2: Find the directional derivative of at the point (1, −1,1)
in the direction of the tangent to the curve
= , = sin 2 + 1, = 1 − = 0.
Solution: Let ∅ =
Direction Derivative of ∅ = ∇∅
= ̂ + ̂ + ( )
∇∅ = 2 ̂ + 2 ̂ + 2
Directional Derivative of ∅ at (1,1,-1)
= 2(1)(1) (−1) ̂ + 2(1)(1) (−1) ̂ + 2(−1)(1) (1)
= 2 ̂ + 2 ̂ − 2 _________ (1)
⃗ = ̂ + ̂ + = ̂ + ( 2 + 1) ̂ + (1 − )
Unit-4 VECTOR DIFFERENTIATION
RAI UNIVERSITY, AHMEDABAD 6
⃗ =
⃗
= ̂ + 2 2 ̂ +
Tangent vector,
Tangent ( = 0) = ̂ + 2 (cos 0) ̂ + ( 0)
= ̂ + 2 ̂ __________ (2)
Required directional derivative along tangent = (2 ̂ + 2 ̂ − 2 )
( ̂ ̂)
√
[ (1) (2)]
=
√
=
√
_______ Ans.
Example 3: Verify ∇ × [ ( )⃗] = 0
Solution:
∇ × [ ( )⃗] = ̂ + ̂ + × [ ( )⃗]
= ̂ + ̂ + × ( )( ̂ + ̂ + )
= ̂ + ̂ + × ( ) ̂ + ( ) ̂ + ( )
=
̂ ̂
( ) ( ) ( )
Unit-4 VECTOR DIFFERENTIATION
RAI UNIVERSITY, AHMEDABAD 7
=
( )
− ( ) ̂ − ( ) − ( ) ̂
+ ( ) − ( )
= ( ) − ( ) ̂ − ( ) − ( ) ̂
+ ( ) − ( )
=
′( )
( − ) ̂ − ( − ) ̂ + ( − ) = 0 ____ Proved.
4.3 Exercise:
1) Find a unit vector normal to the surface + 3 + 2 =
6 (2,0,1).
2) Find the direction derivative of in the direction ⃗ where
⃗ = ̂ + ̂ + .
3) If ⃗ = ̂ + ̂ + , show that
a) grad =
⃗
b) grad = −
⃗
4) Find the rate of change of ∅ = in the direction normal to the
surface + + = 3 at the point (1, 1, 1).
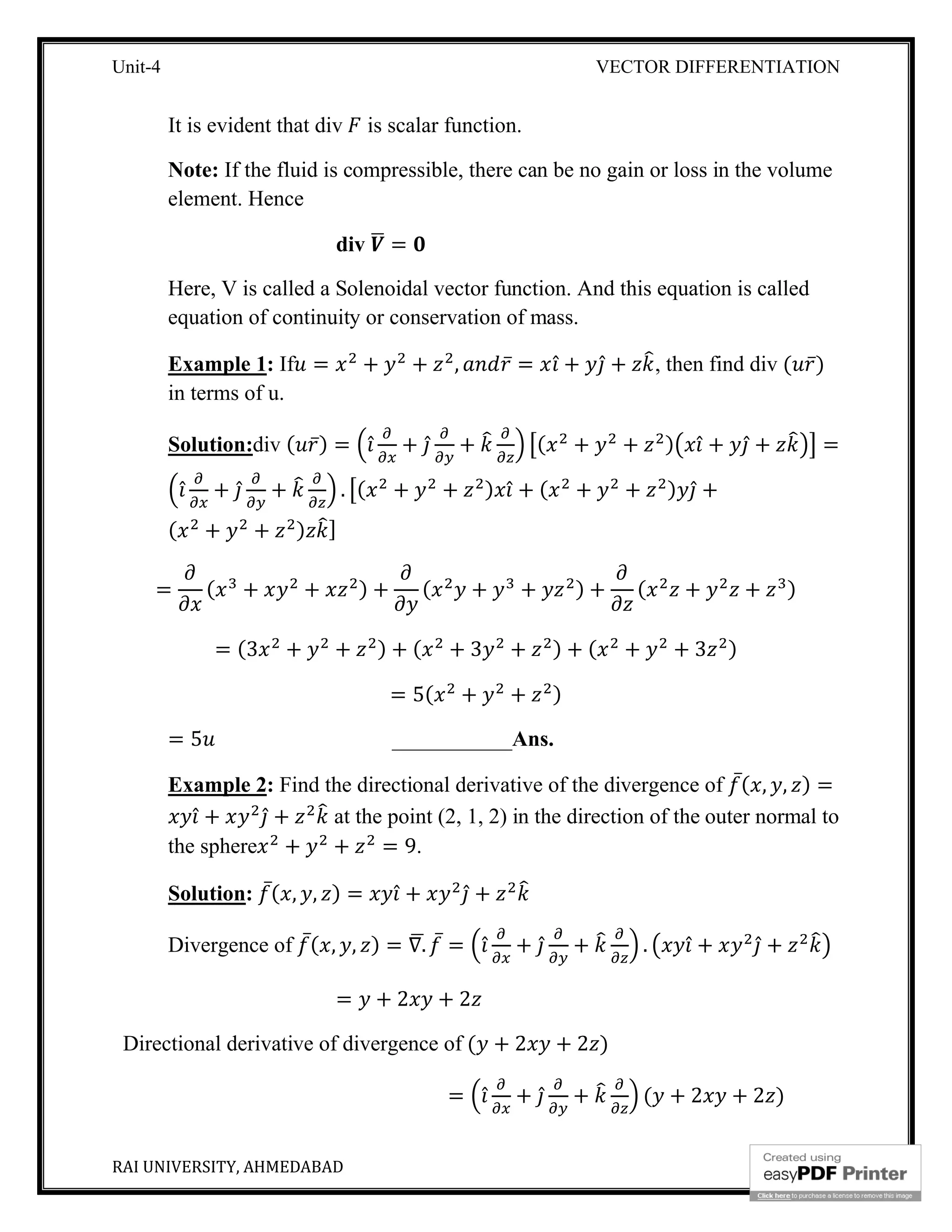
5.1 DIVERGENCE OF A VECTOR FUNCTION:
The divergence of a vector point function ⃗ is denoted by div and is
defined as below.
Let ⃗ = ̂ + ̂ +
div ⃗ = ∇⃗. ⃗ = ̂ + ̂ + ̂ + ̂ +
= + +
Unit-4 VECTOR DIFFERENTIATION
RAI UNIVERSITY, AHMEDABAD 8
It is evident that div is scalar function.
Note: If the fluid is compressible, there can be no gain or loss in the volume
element. Hence
div =
Here, V is called a Solenoidal vector function. And this equation is called
equation of continuity or conservation of mass.
Example 1: If = + + , ̅ = ̂ + ̂ + , then find div ( ̅)
in terms of u.
Solution:div ( ̅) = ̂ + ̂ + ( + + ) ̂ + ̂ + =
̂ + ̂ + . ( + + ) ̂ + ( + + ) ̂ +
( + + ) ]
= ( + + ) + ( + + ) + ( + + )
= (3 + + ) + ( + 3 + ) + ( + + 3 )
= 5( + + )
= 5 ___________Ans.
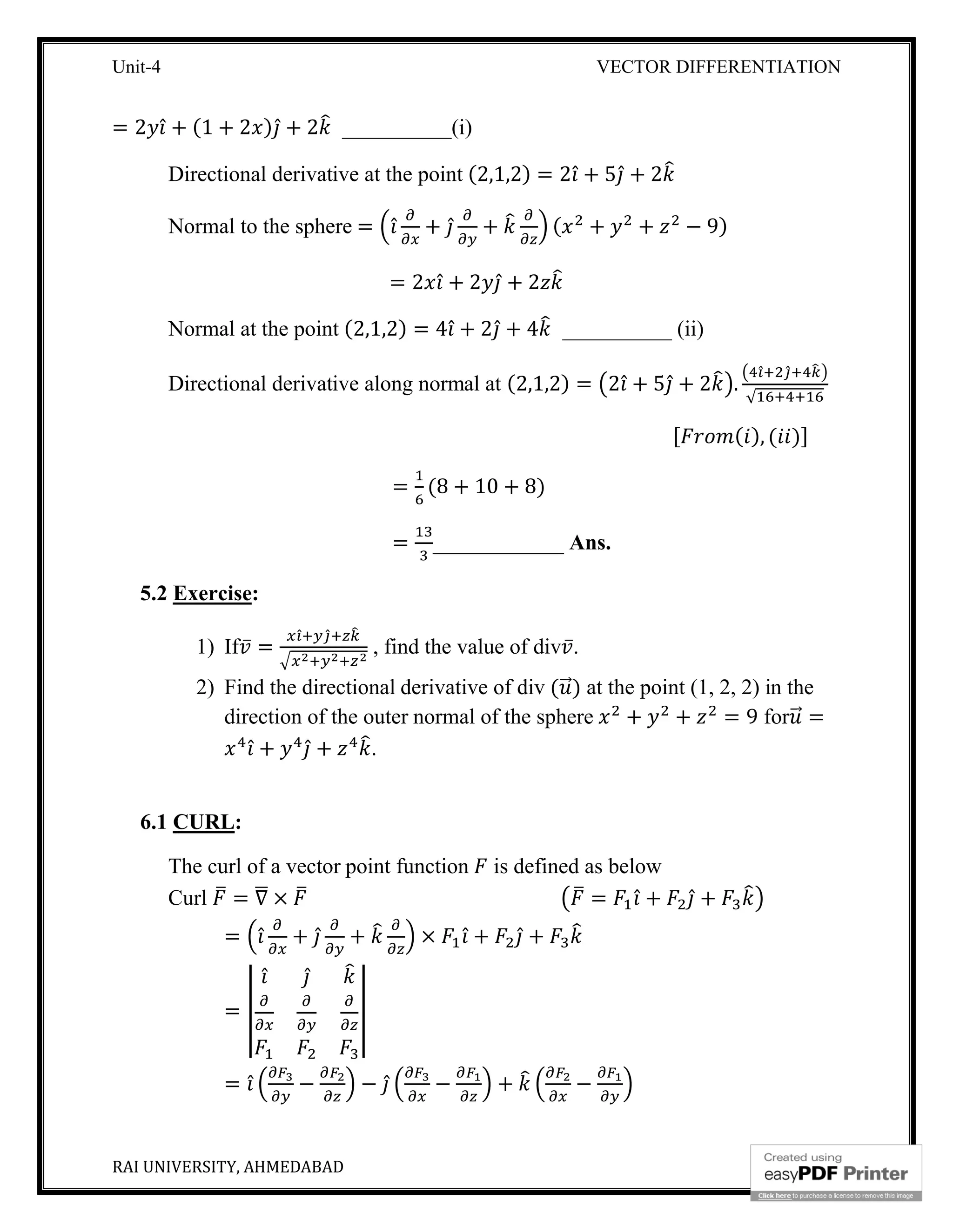
Example 2: Find the directional derivative of the divergence of ̅( , , ) =
̂ + ̂ + at the point (2, 1, 2) in the direction of the outer normal to
the sphere + + = 9.
Solution: ̅( , , ) = ̂ + ̂ +
Divergence of ̅( , , ) = ∇. ̅ = ̂ + ̂ + . ̂ + ̂ +
= + 2 + 2
Directional derivative of divergence of ( + 2 + 2 )
= ̂ + ̂ + ( + 2 + 2 )
Unit-4 VECTOR DIFFERENTIATION
RAI UNIVERSITY, AHMEDABAD 9
= 2 ̂ + (1 + 2 ) ̂ + 2 __________(i)
Directional derivative at the point (2,1,2) = 2 ̂ + 5 ̂ + 2
Normal to the sphere = ̂ + ̂ + ( + + − 9)
= 2 ̂ + 2 ̂ + 2
Normal at the point (2,1,2) = 4 ̂ + 2 ̂ + 4 __________ (ii)
Directional derivative along normal at (2,1,2) = 2 ̂ + 5 ̂ + 2 .
̂ ̂
√
[ ( ), ( )]
= (8 + 10 + 8)
= ____________ Ans.
5.2 Exercise:
1) If ̅ =
̂ ̂
, find the value of div ̅.
2) Find the directional derivative of div ( ⃗) at the point (1, 2, 2) in the
direction of the outer normal of the sphere + + = 9 for ⃗ =
̂ + ̂ + .
6.1 CURL:
The curl of a vector point function is defined as below
Curl = ∇ × = ̂ + ̂ +
= ̂ + ̂ + × ̂ + ̂ +
=
̂ ̂
= ̂ − − ̂ − + −
Unit-4 VECTOR DIFFERENTIATION
RAI UNIVERSITY, AHMEDABAD 10
Curl is a vector quantity.
Note: Curl = , the field is termed as irrotational.
Example 1: Find the divergence and curl of
̅ = ( ) ̂ + (3 ) ̂ + ( − ) (2, −1,1)
Solution: Here, we have
̅ = ( ) ̂ + (3 ) ̂ + ( − )
Div ̅ = ∇∅
Div ̅ = ( ) + (3 ) + ( − )
= + 3 + 2 −
̅( , , ) = −1 + 12 + 4 − 1 = 14
Curl ̅ =
̂ ̂
3 −
= −2 ̂ − ( − ) ̂ + (6 − )
= −2 ̂ + ( − ) ̂ + (6 − )
Curl at (2, -1, 1)
= 2(−1)(1) ̂ + {2(−1) − 1} ̂ + {6(2)(−1) − 2(1)}
= 2 ̂ − 3 ̂ − 14 __________ Ans.
Example 2: Prove that
Unit-4 VECTOR DIFFERENTIATION
RAI UNIVERSITY, AHMEDABAD 11
( − + 3 − 2 ) ̂ + (3 + 2 ) ̂ + (3 − 2 + 2 ) isboth
Solenoidal and irrotational.
Solution:
Let = ( − + 3 − 2 ) ̂ + (3 + 2 ) ̂ + (3 − 2 + 2 )
For Solenoidal, we have to prove∇. = 0.
Now,
∇. = ̂ + ̂ + . ( − + 3 − 2 ) ̂ + (3 + 2 ) ̂
+ (3 − 2 + 2 ) ]
= −2 + 2 − 2 + 2
= 0
Thus, is Solenoidal.
For irrotational, we have to prove Curl = 0
Now,
Curl =
̂ ̂
( − + 3 − 2 ) (3 + 2 ) (3 − 2 + 2 )
= (3 + 2 − 2 + 3 ) ̂ − (−2 + 3 − 3 + 2 ) ̂ + (3 + 2 − 2 − 3 )
= 0 ̂ + 0 ̂ + 0
= 0
Thus, is irrotational.
Hence, is both Solenoidal and irrotational. __________ Proved.
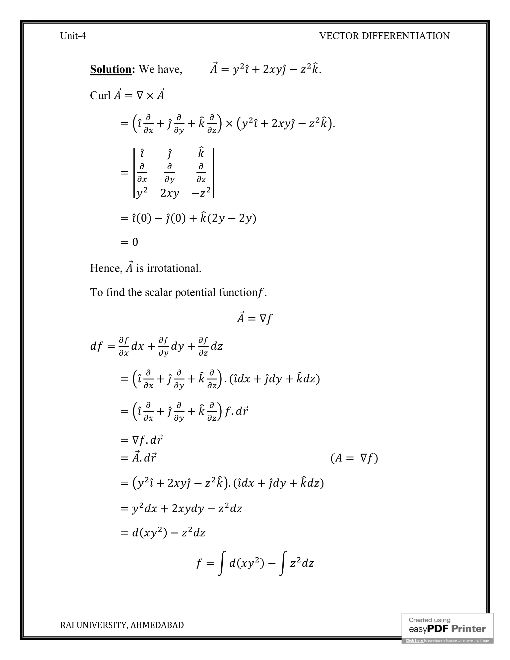
Example 3: Find the scalar potential (velocity potential) function for ⃗ =
̂ + 2 ̂ − .
Unit-4 VECTOR DIFFERENTIATION
RAI UNIVERSITY, AHMEDABAD 12
Solution: We have, ⃗ = ̂ + 2 ̂ − .
Curl ⃗ = ∇ × ⃗
= ̂ + ̂ + × ̂ + 2 ̂ − .
=
̂ ̂
2 −
= ̂(0) − ̂(0) + (2 − 2 )
= 0
Hence, ⃗ is irrotational.
To find the scalar potential function .
⃗ = ∇
= + +
= ̂ + ̂ + . ( ̂ + ̂ + )
= ̂ + ̂ + . ⃗
= ∇ . ⃗
= ⃗. ⃗ ( = ∇ )
= ̂ + 2 ̂ − . ( ̂ + ̂ + )
= + 2 −
= ( ) −
= ( ) −
Unit-4 VECTOR DIFFERENTIATION
RAI UNIVERSITY, AHMEDABAD 13
∴ = − + ________ Ans.
6.2 Exercise:
1) If a vector field is given by ⃗ = ( − + ) ̂ − (2 + ) ̂. Is this
field irrotational? If so, find its scalar potential.
2) Determine the constants a and b such that the curl of vector ̅ =
(2 + 3 ) ̂ + ( + − 4 ) ̂ − (3 + ) is zero.
3) A fluid motion is given by ̅ = ( + ) ̂ + ( + ) ̂ + ( + ) . Show
that the motion is irrotational and hence find the velocity potential.
4) Given that vector field = ( − + 2 ) ̂ + ( − + ) ̂ +
( + ) find curl . Show that the vectors given by curl at
(1,2, −3) (2,3,12) are orthogonal.
5) Suppose that ⃗, ⃗ and are continuously differentiable fields then
Prove that, div ⃗ × ⃗ = ⃗. ⃗ − ⃗. ⃗.
7.1 REFERECE BOOKS:
1) Introduction to Engineering Mathematics
By H. K. DASS.& Dr. RAMA VERMA
S. CHAND
2) Higher Engineering Mathematics
By B.V. RAMANA
Mc Graw Hill Education
3) Higher Engineering Mathematics
By Dr. B.S. GREWAL
KHANNA PUBLISHERS
4) http://elearning.vtu.ac.in/P7/enotes/MAT1/Vector.pdf
Unit-4 VECTOR DIFFERENTIATION
RAI UNIVERSITY, AHMEDABAD 14

B.Tech-II_Unit-IV

  • 1.
    Unit-4 VECTOR DIFFERENTIATION RAIUNIVERSITY, AHMEDABAD 1 Course: B.Tech- II Subject: Engineering Mathematics II Unit-4 RAI UNIVERSITY, AHMEDABAD
  • 2.
    Unit-4 VECTOR DIFFERENTIATION RAIUNIVERSITY, AHMEDABAD 2 Unit-IV: VECTOR DIFFERENTIATION Sr. No. Name of the Topic Page No. 1 Scalar and Vector Point Function 2 2 Vector Differential Operator Del 3 3 Gradient of a Scalar Function 3 4 Normal and Directional Derivative 3 5 Divergence of a vector function 6 6 Curl 8 7 Reference Book 12
  • 3.
    Unit-4 VECTOR DIFFERENTIATION RAIUNIVERSITY, AHMEDABAD 3 VECTOR DIFFERENTIATION  Introduction: If vector r is a function of a scalar variable t, then we write ⃗ = ⃗( ) If a particle is moving along a curved path then the position vector ⃗ of the particle is a function of . If the component of ( ) along − , − , − are ( ), ( ), ( ) respectively. Then, ( )⃗ = ( ) ̂ + ( ) ̂ + ( ) 1.1 Scalar and Vector Point Function : Point function: A variable quantity whose value at any point in a region of space depends upon the position of the point, is called a point function. There are two types of point functions. 1) Scalar point function: If to each point ( , , ) of a region in space there corresponds a unique scalar ( ) , then is called a scalar point function. For example: The temperature distribution in a heated body, density of a body and potential due to gravity are the examples of a scalar point function. 2) Vector point function: If to each point ( , , ) of a region in space there corresponds a unique vector ( ) , then is called a vector point function. For example: The velocities of a moving fluid, gravitational force are the examples of vector point function. 2.1 Vector Differential Operator Del . .
  • 4.
    Unit-4 VECTOR DIFFERENTIATION RAIUNIVERSITY, AHMEDABAD 4 The vector differential operator Del is denoted by . It is defined as = ̂ + ̂ + Note: is read Del or nebla. 3.1 Gradient of a Scalar Function: If ∅( , , ) be a scalar function then ̂ ∅ + ̂ ∅ + ∅ is called the gradient of the scalar function∅. And is denoted by grad∅. Thus, grad ∅ = ̂ ∅ + ̂ ∅ + ∅ grad∅ = ̂ + ̂ + ∅( , , ) grad∅ = ∅ 4.1 Normal and Directional Derivative: 1) Normal: If ∅( , , ) = represents a family of surfaces for different values of the constant . On differentiating∅, we get ∅ = 0 But ∅ = ∇∅ . ⃗ So ∇∅. = 0 The scalar product of two vectors ∇∅ and ⃗ being zero, ∇∅ and ⃗ are perpendicular to each other. ⃗is in the direction of tangent to the giving surface. Thus∇∅ is a vector normal to the surface∅( , , ) = . 2) Directional derivative: The component of ∇∅ in the direction of a vector ⃗ is equal to ∇∅. ⃗ and is called the directional derivative of ∅ in the direction of ⃗. ∅ = lim → ∅ Where, =
  • 5.
    Unit-4 VECTOR DIFFERENTIATION RAIUNIVERSITY, AHMEDABAD 5 ∅ is called the directional derivative of ∅ at in the direction of . 4.2 Examples: Example 1: If ∅ = 3 − ; find grad ∅ at the point (1,-2, 1). Solution: grad∅ = ∇∅ = ̂ + ̂ + (3 − ) = ̂ (3 − ) + ̂ (3 − ) + (3 − ) = ̂(6 ) + ̂(3 − 3 ) + (−2 ) grad∅ at(1, −2,1) = ̂(6)(1)(−2) + ̂[(3)(1) − 3(4)(1)] + (−2)(−8)(−1) = −12 ̂ − 9 ̂ − 16 Example 2: Find the directional derivative of at the point (1, −1,1) in the direction of the tangent to the curve = , = sin 2 + 1, = 1 − = 0. Solution: Let ∅ = Direction Derivative of ∅ = ∇∅ = ̂ + ̂ + ( ) ∇∅ = 2 ̂ + 2 ̂ + 2 Directional Derivative of ∅ at (1,1,-1) = 2(1)(1) (−1) ̂ + 2(1)(1) (−1) ̂ + 2(−1)(1) (1) = 2 ̂ + 2 ̂ − 2 _________ (1) ⃗ = ̂ + ̂ + = ̂ + ( 2 + 1) ̂ + (1 − )
  • 6.
    Unit-4 VECTOR DIFFERENTIATION RAIUNIVERSITY, AHMEDABAD 6 ⃗ = ⃗ = ̂ + 2 2 ̂ + Tangent vector, Tangent ( = 0) = ̂ + 2 (cos 0) ̂ + ( 0) = ̂ + 2 ̂ __________ (2) Required directional derivative along tangent = (2 ̂ + 2 ̂ − 2 ) ( ̂ ̂) √ [ (1) (2)] = √ = √ _______ Ans. Example 3: Verify ∇ × [ ( )⃗] = 0 Solution: ∇ × [ ( )⃗] = ̂ + ̂ + × [ ( )⃗] = ̂ + ̂ + × ( )( ̂ + ̂ + ) = ̂ + ̂ + × ( ) ̂ + ( ) ̂ + ( ) = ̂ ̂ ( ) ( ) ( )
  • 7.
    Unit-4 VECTOR DIFFERENTIATION RAIUNIVERSITY, AHMEDABAD 7 = ( ) − ( ) ̂ − ( ) − ( ) ̂ + ( ) − ( ) = ( ) − ( ) ̂ − ( ) − ( ) ̂ + ( ) − ( ) = ′( ) ( − ) ̂ − ( − ) ̂ + ( − ) = 0 ____ Proved. 4.3 Exercise: 1) Find a unit vector normal to the surface + 3 + 2 = 6 (2,0,1). 2) Find the direction derivative of in the direction ⃗ where ⃗ = ̂ + ̂ + . 3) If ⃗ = ̂ + ̂ + , show that a) grad = ⃗ b) grad = − ⃗ 4) Find the rate of change of ∅ = in the direction normal to the surface + + = 3 at the point (1, 1, 1). 5.1 DIVERGENCE OF A VECTOR FUNCTION: The divergence of a vector point function ⃗ is denoted by div and is defined as below. Let ⃗ = ̂ + ̂ + div ⃗ = ∇⃗. ⃗ = ̂ + ̂ + ̂ + ̂ + = + +
  • 8.
    Unit-4 VECTOR DIFFERENTIATION RAIUNIVERSITY, AHMEDABAD 8 It is evident that div is scalar function. Note: If the fluid is compressible, there can be no gain or loss in the volume element. Hence div = Here, V is called a Solenoidal vector function. And this equation is called equation of continuity or conservation of mass. Example 1: If = + + , ̅ = ̂ + ̂ + , then find div ( ̅) in terms of u. Solution:div ( ̅) = ̂ + ̂ + ( + + ) ̂ + ̂ + = ̂ + ̂ + . ( + + ) ̂ + ( + + ) ̂ + ( + + ) ] = ( + + ) + ( + + ) + ( + + ) = (3 + + ) + ( + 3 + ) + ( + + 3 ) = 5( + + ) = 5 ___________Ans. Example 2: Find the directional derivative of the divergence of ̅( , , ) = ̂ + ̂ + at the point (2, 1, 2) in the direction of the outer normal to the sphere + + = 9. Solution: ̅( , , ) = ̂ + ̂ + Divergence of ̅( , , ) = ∇. ̅ = ̂ + ̂ + . ̂ + ̂ + = + 2 + 2 Directional derivative of divergence of ( + 2 + 2 ) = ̂ + ̂ + ( + 2 + 2 )
  • 9.
    Unit-4 VECTOR DIFFERENTIATION RAIUNIVERSITY, AHMEDABAD 9 = 2 ̂ + (1 + 2 ) ̂ + 2 __________(i) Directional derivative at the point (2,1,2) = 2 ̂ + 5 ̂ + 2 Normal to the sphere = ̂ + ̂ + ( + + − 9) = 2 ̂ + 2 ̂ + 2 Normal at the point (2,1,2) = 4 ̂ + 2 ̂ + 4 __________ (ii) Directional derivative along normal at (2,1,2) = 2 ̂ + 5 ̂ + 2 . ̂ ̂ √ [ ( ), ( )] = (8 + 10 + 8) = ____________ Ans. 5.2 Exercise: 1) If ̅ = ̂ ̂ , find the value of div ̅. 2) Find the directional derivative of div ( ⃗) at the point (1, 2, 2) in the direction of the outer normal of the sphere + + = 9 for ⃗ = ̂ + ̂ + . 6.1 CURL: The curl of a vector point function is defined as below Curl = ∇ × = ̂ + ̂ + = ̂ + ̂ + × ̂ + ̂ + = ̂ ̂ = ̂ − − ̂ − + −
  • 10.
    Unit-4 VECTOR DIFFERENTIATION RAIUNIVERSITY, AHMEDABAD 10 Curl is a vector quantity. Note: Curl = , the field is termed as irrotational. Example 1: Find the divergence and curl of ̅ = ( ) ̂ + (3 ) ̂ + ( − ) (2, −1,1) Solution: Here, we have ̅ = ( ) ̂ + (3 ) ̂ + ( − ) Div ̅ = ∇∅ Div ̅ = ( ) + (3 ) + ( − ) = + 3 + 2 − ̅( , , ) = −1 + 12 + 4 − 1 = 14 Curl ̅ = ̂ ̂ 3 − = −2 ̂ − ( − ) ̂ + (6 − ) = −2 ̂ + ( − ) ̂ + (6 − ) Curl at (2, -1, 1) = 2(−1)(1) ̂ + {2(−1) − 1} ̂ + {6(2)(−1) − 2(1)} = 2 ̂ − 3 ̂ − 14 __________ Ans. Example 2: Prove that
  • 11.
    Unit-4 VECTOR DIFFERENTIATION RAIUNIVERSITY, AHMEDABAD 11 ( − + 3 − 2 ) ̂ + (3 + 2 ) ̂ + (3 − 2 + 2 ) isboth Solenoidal and irrotational. Solution: Let = ( − + 3 − 2 ) ̂ + (3 + 2 ) ̂ + (3 − 2 + 2 ) For Solenoidal, we have to prove∇. = 0. Now, ∇. = ̂ + ̂ + . ( − + 3 − 2 ) ̂ + (3 + 2 ) ̂ + (3 − 2 + 2 ) ] = −2 + 2 − 2 + 2 = 0 Thus, is Solenoidal. For irrotational, we have to prove Curl = 0 Now, Curl = ̂ ̂ ( − + 3 − 2 ) (3 + 2 ) (3 − 2 + 2 ) = (3 + 2 − 2 + 3 ) ̂ − (−2 + 3 − 3 + 2 ) ̂ + (3 + 2 − 2 − 3 ) = 0 ̂ + 0 ̂ + 0 = 0 Thus, is irrotational. Hence, is both Solenoidal and irrotational. __________ Proved. Example 3: Find the scalar potential (velocity potential) function for ⃗ = ̂ + 2 ̂ − .
  • 12.
    Unit-4 VECTOR DIFFERENTIATION RAIUNIVERSITY, AHMEDABAD 12 Solution: We have, ⃗ = ̂ + 2 ̂ − . Curl ⃗ = ∇ × ⃗ = ̂ + ̂ + × ̂ + 2 ̂ − . = ̂ ̂ 2 − = ̂(0) − ̂(0) + (2 − 2 ) = 0 Hence, ⃗ is irrotational. To find the scalar potential function . ⃗ = ∇ = + + = ̂ + ̂ + . ( ̂ + ̂ + ) = ̂ + ̂ + . ⃗ = ∇ . ⃗ = ⃗. ⃗ ( = ∇ ) = ̂ + 2 ̂ − . ( ̂ + ̂ + ) = + 2 − = ( ) − = ( ) −
  • 13.
    Unit-4 VECTOR DIFFERENTIATION RAIUNIVERSITY, AHMEDABAD 13 ∴ = − + ________ Ans. 6.2 Exercise: 1) If a vector field is given by ⃗ = ( − + ) ̂ − (2 + ) ̂. Is this field irrotational? If so, find its scalar potential. 2) Determine the constants a and b such that the curl of vector ̅ = (2 + 3 ) ̂ + ( + − 4 ) ̂ − (3 + ) is zero. 3) A fluid motion is given by ̅ = ( + ) ̂ + ( + ) ̂ + ( + ) . Show that the motion is irrotational and hence find the velocity potential. 4) Given that vector field = ( − + 2 ) ̂ + ( − + ) ̂ + ( + ) find curl . Show that the vectors given by curl at (1,2, −3) (2,3,12) are orthogonal. 5) Suppose that ⃗, ⃗ and are continuously differentiable fields then Prove that, div ⃗ × ⃗ = ⃗. ⃗ − ⃗. ⃗. 7.1 REFERECE BOOKS: 1) Introduction to Engineering Mathematics By H. K. DASS.& Dr. RAMA VERMA S. CHAND 2) Higher Engineering Mathematics By B.V. RAMANA Mc Graw Hill Education 3) Higher Engineering Mathematics By Dr. B.S. GREWAL KHANNA PUBLISHERS 4) http://elearning.vtu.ac.in/P7/enotes/MAT1/Vector.pdf
  • 14.
    Unit-4 VECTOR DIFFERENTIATION RAIUNIVERSITY, AHMEDABAD 14