Functions
of
complex variable
Course- B.Tech
Semester-IV
Subject- ENGINEERING MATHEMATICS-IV
Unit- I
RAI UNIVERSITY, AHMEDABAD
Unit-I Functions of complex variable
Rai University | Ahmedabad
2
Content
Functions of a complex variable, Application of complex variable, Complex algebra, Analytic
function, C-R equations, Theorem on C-R equation(without proof) ,C-R equation in polar form,
Properties of Analytic Functions (orthogonal system), Laplace Equation, Harmonic Functions,
Determination of Analytic function Whose real or Imaginary part is known :
(1) When u is given, v can be determined
(2) When v is given, u can be determined
(3) By Milne-Thompson method and Finding Harmonic Conjugate functions, Conformal
Mapping and its applications ,Define conformal Mapping, Some standard conformal
transformations:
(1) Translation
(2) Rotation and Magnification
(3) Inversion and Reflection
Unit-I Functions of complex variable
Rai University | Ahmedabad
3
1.1 Introduction— Functions of a complex variable provide us some powerful and widely
useful tools in mathematical analysis as well as in theoretical physics.
1.2 Applications—
1. Some important physical quantities are complex variables (the wave-function , a.c.
impedance Z()).
2. Evaluating definite integrals.
3. Obtaining asymptotic solutions of differentials equations.
4. Integral transforms.
5. Many Physical quantities that were originally real become complex as simple theory is made
more general. The energy En  En
0
+ i (-1
 the finite life time).
1.3 Complex Algebra—A complex number z(x, y) = x + iy . Where i = √−1.
x is called the real part, labeled by Re z
y is called the imaginary part, labeled by Im z
Different forms of complex number—
1. Cartesian form— ( , ) = +
2. Polar form— z(r, ) = r(cos  + i sin)
3. Euler form— z(r, ) = re 
Here, = + and  = tan ( )
The choice of polar representation or Cartesian representation is a matter of convenience.
Addition and subtraction of complex variables are easier in the Cartesian representation.
Multiplication, division, powers, roots are easier to handle in polar form.
1.4 Derivative of the function of complex variable—
The derivative of ( ) is defined by—
( ) =
→
= lim
→
( + ) − ( )
If = + and ( ) = + ,
let consider that—
yixz   ,
viuf   ,
yix
viu
z
f







Assuming the partial derivatives exist. Let us take limit by the two different approaches as in
the figure. First, with y = 0, we let x0,







 x
v
i
x
u
z
f
xz 





 00
limlim
x
v
i
x
u






For a second approach, we set x = 0 and then let y 0. This leads to –
y
v
y
u
i
y
v
i
y
u
z
f
yz 











 





 00
limlim
Unit-I Functions of complex variable
Rai University | Ahmedabad
4
If we have the derivative, the above two results must be equal. Hence—
y
v
y
u
i
x
v
i
x
u











Hence, the necessary and sufficient conditions for the derivative of the function ( ) = +
to exit for all values of z in a region R, are—
(1) , , , are continuous functions of and in R;
(2)
y
v
x
u





and
x
v
y
u





.
1.5 Analytic function— A single valued function that possesses a unique derivative with
respect to at all points on a region R is called an Analytic function of in that region.
Necessary and sufficient condition to be a function Analytic— A function ( ) = + is
called an analytic function if—
1. ( ) = + , such that and are real single valued functions of and and
, , , are continuous functions of and in R.
2.
y
v
x
u





and
x
v
y
u





.
1.6 Cauchy-Riemann equations— If a function ( ) = + is analytic in region R, then it
must satisfies the relation
y
v
x
u





and
x
v
y
u





. These equations are called as Cauchy-
Riemann equation.
Cauchy-Riemann equation in polar form—




 v
r
u
r and
r
vu
r 






1
1.7 Laplace’s equation— An equation in two variables and given by + = 0 is
called as Laplace’s equation in two variables.
1.8 Harmonic functions— If ( ) = + be an analytic function in some region R, then
Cauchy-Riemann equations are satisfied. That implies—
y
v
x
u





... (1)
x
v
y
u





... (2)
Now, on differentiating (1) with respect to x and (2) with respect to y—
= … (3)
= − … (4)
Assuming that = , adding equations (1) and (2)—
+ =
Unit-I Functions of complex variable
Rai University | Ahmedabad
5
Similarly, on differentiating (1) with respect to and (2) with respect to and subtracting
them—
+ =
both and satisfy the Laplace’s equation in two variables, therefore ( ) = + is called
as Harmonic function. This theory is known as Potential theory.
If ( ) = + is an analytic function in which ( , ) is harmonic, then ( , )is called as
Harmonic conjugate of ( , ).
1.9 Orthogonal system— Consider the two families of curves ( , ) = … (1) and
( , ) = … (2).
Differentiating (1) with respect to –
= − = = [by using Cauchy s Riemann equations for analytic function]
Differentiating (2) with respect to –
= − =
Here, = −1 therefore every analytic function ( ) = ( , ) + ( , ) represents two
families of curves ( , ) = and ( , ) = form an orthogonal system.
1.10 Determination of Analytic function whose real or imaginary part is known—
If the real or the imaginary part of any analytic function is given, other part can be determined
by using the following methods—
(a) Direct Method
(b) Milne-Thomson’s Method
(c) Exact Differential equation method
(d) Shortcut Method
1.10.1 Direct Method—
Let ( ) = + is an analytic function. If is given, then we can find in following steps—
Step-I Find by using C-R equation =
Step-II Integrating with respect to to find with taking integrating constant ( )
Step-III Differentiate (from step-II) with respect to y. Evaluate containing ( )
Step-IV Find by using C-R equation = −
Step-V by comparing the result of from step-III and step-IV, evaluate ( )
Step-VI Integrate ( ) and evaluate ( )
Step-VII Substitute the value of ( ) in step-II and evaluate .
Unit-I Functions of complex variable
Rai University | Ahmedabad
6
Example— If ( ) = + represents the analytic complex potential for an electric field
and = − + , determine the function .
Solution— Given that –
= − +
Hence— = 2 +
( )( ) ( )
( )
= 2 + ( )
… (1)
Again, = −2 + ( )
… (2)
So, and must satisfy the Cauchy’s-Riemann equations:
= … (3) and = − … (4)
Now, from equations (2) and (3)—
= −2 + ( )
On integrating with respect to —
= −2 ∫ − ∫ ( )
= −2 + + ( )
Differentiating with respect to —
= −2 − ( )
+ ( ) … (5)
Again, from equations (1) and (4)—
= −2 − ( )
… (6)
On comparing (5) and (6)—
( ) = 0 , so ( ) =
Hence, = −2 + + ans
1.10.2 Milne-Thomson’s Method—
Let a complex variable function is given by ( ) = ( , ) + ( , ) … (1)
Where— = + and =
̅
and =
̅
.
Now, on writing ( ) = ( , ) + ( , ) in terms of and ̅ –
( ) =
̅
,
̅
+
̅
,
̅
Considering this as a formal identity in the two variables and , and substituting = ̅ –
∴ ( ) = ( , 0) + ( , 0) … (2)
Equation (2) is same as the equation (1), if we replace by and by 0.
Therefore, to express any function in terms of , replace by and by 0. This is an
elegant method of finding ( ) , ‘when its real part or imaginary part is given’ and this
method is known as Milne-Thomson’s Method.
Unit-I Functions of complex variable
Rai University | Ahmedabad
7
Example— If ( ) = + represents the complex potential for an electric field
and = − + , determine the function . (By using Milne-Thomson’s method)
Solution— Given that— ( ) = +
∴ = + = + [by using cauchy − Riemann equation]
Hence, ∴ = + = −2 + ( )
+ 2 + ( )
by using Milne-Thomson’s method (replacing by z and by 0)—
= (2 −
1
)
( ) = + +
Hence, = Re + + = Re − + (2 ) + − +
= −2 + + ans
Example— Find the analytic function ( ) = + , whose real part is − + −
.
Solution— Let ( ) = + is an analytic function. Hence, from the question—
= − 3 + 3 − 3
Now, = + = − [by using cauchy − Riemann equation]
Hence, ∴ = − = (3 − 3 + 6 ) + (−6 − 6 )
by using Milne-Thomson’s method (replacing by z and by 0)—
= (3 + 6 ) + (0)
( ) = + 3 +
Hence, = Im[ + 3 + ] = Im[ + 3 − 3 − + 3 − 3 + 6 + ]
∴ = 3 − +
Therefore ( ) = ( − 3 + 3 − 3 ) + (3 − + ) ans
Example— Find the analytic function = + , if − = ( − )( + + ).
Solution— Given that—
− = ( − )( + 4 + )
− = 3 + 6 − 3 … (1)
− = 3 − 6 − 3 … (2)
On applying Cauchy-Riemann’s theorem in equation (2)—
− − = 3 − 6 − 3 … (3)
Unit-I Functions of complex variable
Rai University | Ahmedabad
8
Now, from equations (1) and (3)—
= 6 and = −3 + 3
Again, = + = 6 + (−3 + 3 )
By using Milne-Thomson’s method—
= (−3 )
( ) = − +
= − ( + 3 − 3 − ) +
= (3 − + ) + (3 − ) ans
1.10.3 Exact Differential equation Method—
Let ( ) = + is an analytic function.
Case-I If ( , ) is given
We know that—
= +
= − + [By C-R equations]
Let = + , therefore = − and =
Again, = − and =
Therefore − = − + = 0 [∵ is a harmonic function]
∴ = [Satisfies the condition for
exact differential equation]
Hence,
= − + terms of not containg +
Case-II If ( , ) is given
We know that—
= +
= − [By C-R equations]
Let = + , therefore = and = −
Again, = and = −
Therefore − = + = 0 [∵ is a harmonic function]
∴ = [Satisfies the condition for exact differential equation]
Unit-I Functions of complex variable
Rai University | Ahmedabad
9
Hence,
= + terms of − not containg +
Example— If = − + + , determine for which ( ) is an analytic function.
Solution— Given that— = − 3 + 3 + 1
By using exact differential equation method, can be written as—
= ∫ − + ∫ terms of not containg +
= ∫ (6 ) + ∫(−3 + 3) +
= 3 − + 3 +
Example— If = − , determine for which ( ) = + is an analytic function.
Solution— Given that— = − 3
By using exact differential equation method, can be written as—
= ∫ − + ∫ terms of not containg +
= ∫ (−3 + 3 ) + ∫(0) +
= −3 + +
1.10.4 Shortcut Method
Case-I If ( , ) is given
If the real part of an analytic function ( ) is given then—
( ) = 2
2
,
2
− (0,0) +
Where, c is a real constant.
Case-II If ( , ) is given
If the imaginary part of an analytic function ( ) is given then—
( ) = 2
2
,
2
− (0,0) +
Where, c is a real constant.
Example— If ( ) = + is an analytic function and ( , ) = , find ( ).
Solution— Given that ( ) is an analytic function and it’s real part is ( , ) = .
Hence,
( ) = 2 , − (0,0) +
( ) = 2 +
Unit-I Functions of complex variable
Rai University | Ahmedabad
1
0
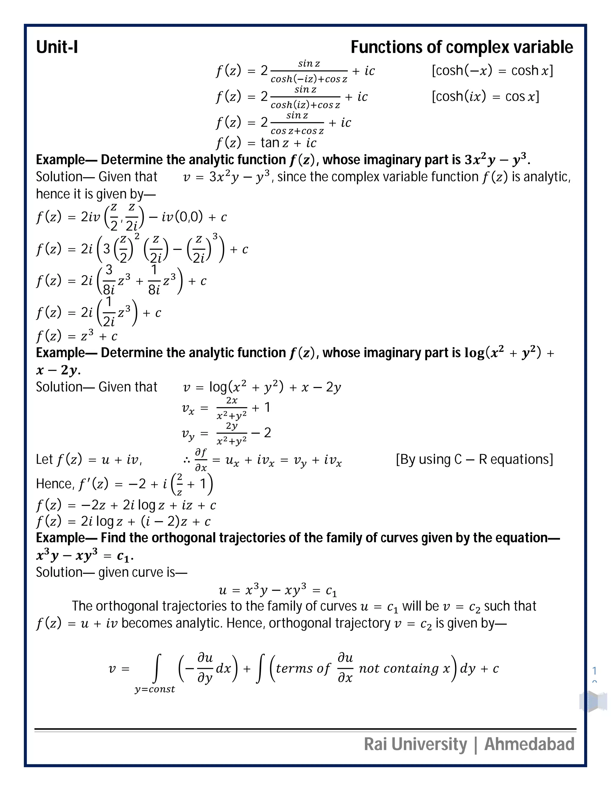
( ) = 2 ( )
+ [cosh(− ) = cosh ]
( ) = 2 ( )
+ [cosh( ) = cos ]
( ) = 2 +
( ) = tan +
Example— Determine the analytic function ( ), whose imaginary part is − .
Solution— Given that = 3 − , since the complex variable function ( ) is analytic,
hence it is given by—
( ) = 2
2
,
2
− (0,0) +
( ) = 2 3
2 2
−
2
+
( ) = 2
3
8
+
1
8
+
( ) = 2
1
2
+
( ) = +
Example— Determine the analytic function ( ), whose imaginary part is ( + ) +
− .
Solution— Given that = log( + ) + − 2
= + 1
= − 2
Let ( ) = + , ∴ = + = + [By using C − R equations]
Hence, ( ) = −2 + + 1
( ) = −2 + 2 log + +
( ) = 2 log + ( − 2) +
Example— Find the orthogonal trajectories of the family of curves given by the equation—
− = .
Solution— given curve is—
= − =
The orthogonal trajectories to the family of curves = will be = such that
( ) = + becomes analytic. Hence, orthogonal trajectory = is given by—
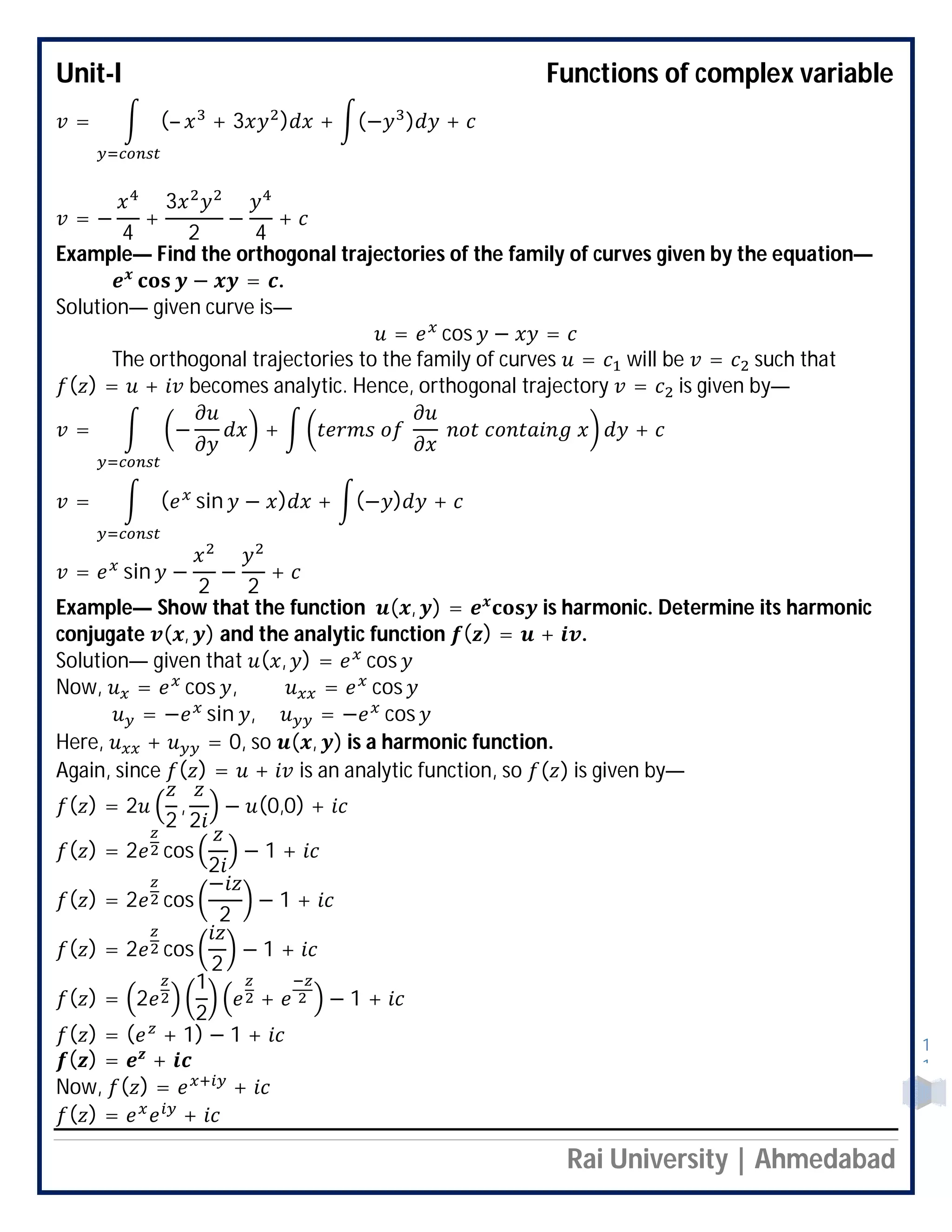
= − + +
Unit-I Functions of complex variable
Rai University | Ahmedabad
1
1
= (– + 3 ) + (− ) +
= −
4
+
3
2
−
4
+
Example— Find the orthogonal trajectories of the family of curves given by the equation—
− = .
Solution— given curve is—
= cos − =
The orthogonal trajectories to the family of curves = will be = such that
( ) = + becomes analytic. Hence, orthogonal trajectory = is given by—
= − + +
= ( sin − ) + (− ) +
= sin −
2
−
2
+
Example— Show that the function ( , ) = is harmonic. Determine its harmonic
conjugate ( , ) and the analytic function ( ) = + .
Solution— given that ( , ) = cos
Now, = cos , = cos
= − sin , = − cos
Here, + = 0, so ( , ) is a harmonic function.
Again, since ( ) = + is an analytic function, so ( ) is given by—
( ) = 2
2
,
2
− (0,0) +
( ) = 2 cos
2
− 1 +
( ) = 2 cos
−
2
− 1 +
( ) = 2 cos
2
− 1 +
( ) = 2
1
2
+ − 1 +
( ) = ( + 1) − 1 +
( ) = +
Now, ( ) = +
( ) = +
Unit-I Functions of complex variable
Rai University | Ahmedabad
1
2
( ) = (cos + sin ) +
( ) = + ( + )
Hence, ( , ) = sin +
1.11 Conformal Mapping—
1.11.1 Mapping—
Mapping is a mathematical technique used to convert (or map) one mathematical problem
and its solution into another. It involves the study of complex variables.
Let a complex variable function = + define in - plane have to convert (or map) in
another complex variable function ( ) = = + define in - plane. This process is
called as Mapping.

1.11.2 Conformal Mapping—
Conformal Mapping is a mathematical technique used to convert (or map) one mathematical
problem and its solution into another preserving both angles and shape of infinitesimal small
figures but not necessarily their size.
The process of Mapping in which a complex variable function = + define in - plane
mapped to another complex variable function ( ) = = + define in - plane
preserving the angles between the curves both in magnitude and sense is called as conformal
mapping.
The necessary condition for conformal mapping— if = ( ) represents a conformal
mapping of a domain D in the −plane into a domain D of the −plane then ( ) is an
analytic function in domain D.
Application of Conformal mapping— A large number of problems arise in fluid mechanics,
electrostatics, heat conduction and many other physical situations.
There are different types of conformal mapping. Some standard conformal mapping are
mentioned below—
1. Translation
2. Rotation
3. Magnification
4. Inversion
5. Reflection
Mapping
Unit-I Functions of complex variable
Rai University | Ahmedabad
1
3
1.11.2.1 Translation— A conformal mapping in which every point in −plane is translated in
the direction of a given vector is known as Translation.
Let a complex function = + translated in the direction of the vector = + , then
that translation is given by— = + .
Example— Determine and sketch the image of | | = under the transformation = + .
Solution— Let = +
∴ + = + + = + ( + 1)
Hence, = and = − 1
Again, from the question | | = 1
∴ + = 1
+ ( − 1) = 1, which represent a circle in ( , ) plane.
1.11.2.2 Rotation— A conformal mapping in which every point on −plane, let P( , ) such
that OP is rotated by an angle in anti-clockwise direction mapped into −plane given by
= is called as Rotation.
Example— Determine and sketch the image of rectangle mapped by the rotation of ° in
anticlockwise direction formed by = , = , = and = .
Solution— given rectangle is—
= 0, = 0, = 1 and = 2
Let the required transformation is—
=
Unit-I Functions of complex variable
Rai University | Ahmedabad
1
4
= cos + sin ( + )
=
√
+
√
( + )
=
√
+
√
+ =
√
+
√
∴ =
√
and =
√
Now, for = 0—
=
−
√2
, =
√2
⟹ + = 0
For = 0—
=
√2
, =
√2
⟹ − = 0
For = 1—
=
1 −
√2
, =
1 +
√2
⟹ + = √2
or = 2—
=
− 2
√2
, =
+ 2
√2
⟹ − = −2√2
1.11.2.3 Magnification (Scaling) — A conformal mapping in which every point on −plane
mapped into −plane given by = ( > 0 is real) is called as magnification. In this
process mapped shape is either stretched( > 1) or contracted (0 < < 1) in the direction
of Z.
Example— Determine the transformation = , where | | = .
Solution— given that | | = 2 ⟹ + = 4 , represents a circle on −plane having center
at origin and radius equal to 2-units.
Let the required transformation is—
= 2 = 2( + ) = 2 + 2
+ = 2 + 2
Hence, = and = ⟹ + = 4 ⟹ + = 16 represent a circle on
−plane having center at origin and radius equal to 4-units.
Unit-I Functions of complex variable
Rai University | Ahmedabad
1
5
1.11.2.4 Inversion— A conformal mapping in which every point on −plane mapped into
−plane given by = is called as inversion.
Example— Determine the transformation = , where | | = .
Solution— given that— | | = 1 ⟹ + = 1 … (1)
Again, given that
= = = ( )( )
=
+ = − = − [ + = 1]
Hence, = and = −
Now, from equation (1)—
+ = 1
1.11.2.5 Reflection — A conformal mapping in which every point on −plane mapped into
−plane given by = ̅ . This represents the reflection about real axis.
Example— Determine and sketch the transformation = , where | − ( + )| = .
Solution— given that— | − 2| = 4
|( − 2) + ( − 1)| = 4
( − 2) + ( − 1) = 16 … (1)
Again, from the question— = ̅ = −
+ = −
Hence, = and = −
Now, from equation (1)—
( − 2) + ( + 1) = 16
Sketch—
Unit-I Functions of complex variable
Rai University | Ahmedabad
1
6
References—
1. Internet—
1.1 mathworld.wolfram.com
1.2 www.math.com
1.3 www.grc.nasa.gov
1.4 en.wikipedia.org/wiki/Conformal_map
1.5 http://www.webmath.com/
2. Journals/Paper/notes—
2.1 Complex variables and applications-Xiaokui Yang-Department of Mathematics, Northwestern University
2.2 Conformal Mapping and its Applications-Suman Ganguli-Department of Physics, University of Tennessee, Knoxville, TN 37996- November 20, 2008
2.3 Conformal Mapping and its Applications-Ali H. M. Murid-Department of Mathematical Sciences-Faculty of Science-University Technology Malaysia-
81310-UTM Johor Bahru, Malaysia-September 29, 2012
3. Books—
3.1 Higher Engineering Mathematics-Dr. B.S. Grewal- 42
nd
edition-Khanna Publishers-page no 639-672
3.2 Higher Engineering Mathematics- B V RAMANA- Nineteenth reprint- McGraw Hill education (India) Private limited- page no 22.1-25.26
3.3 Complex analysis and numerical techniques-volume-IV-Dr. Shailesh S. Patel, Dr. Narendra B. Desai- Atul Prakashan
3.4 A Text Book of Engineering Mathematics- N.P. Bali, Dr. Manish Goyal- Laxmi Publications(P) Limited- page no 1033-1100

engineeringmathematics-iv_unit-i

  • 1.
    Functions of complex variable Course- B.Tech Semester-IV Subject-ENGINEERING MATHEMATICS-IV Unit- I RAI UNIVERSITY, AHMEDABAD
  • 2.
    Unit-I Functions ofcomplex variable Rai University | Ahmedabad 2 Content Functions of a complex variable, Application of complex variable, Complex algebra, Analytic function, C-R equations, Theorem on C-R equation(without proof) ,C-R equation in polar form, Properties of Analytic Functions (orthogonal system), Laplace Equation, Harmonic Functions, Determination of Analytic function Whose real or Imaginary part is known : (1) When u is given, v can be determined (2) When v is given, u can be determined (3) By Milne-Thompson method and Finding Harmonic Conjugate functions, Conformal Mapping and its applications ,Define conformal Mapping, Some standard conformal transformations: (1) Translation (2) Rotation and Magnification (3) Inversion and Reflection
  • 3.
    Unit-I Functions ofcomplex variable Rai University | Ahmedabad 3 1.1 Introduction— Functions of a complex variable provide us some powerful and widely useful tools in mathematical analysis as well as in theoretical physics. 1.2 Applications— 1. Some important physical quantities are complex variables (the wave-function , a.c. impedance Z()). 2. Evaluating definite integrals. 3. Obtaining asymptotic solutions of differentials equations. 4. Integral transforms. 5. Many Physical quantities that were originally real become complex as simple theory is made more general. The energy En  En 0 + i (-1  the finite life time). 1.3 Complex Algebra—A complex number z(x, y) = x + iy . Where i = √−1. x is called the real part, labeled by Re z y is called the imaginary part, labeled by Im z Different forms of complex number— 1. Cartesian form— ( , ) = + 2. Polar form— z(r, ) = r(cos  + i sin) 3. Euler form— z(r, ) = re  Here, = + and  = tan ( ) The choice of polar representation or Cartesian representation is a matter of convenience. Addition and subtraction of complex variables are easier in the Cartesian representation. Multiplication, division, powers, roots are easier to handle in polar form. 1.4 Derivative of the function of complex variable— The derivative of ( ) is defined by— ( ) = → = lim → ( + ) − ( ) If = + and ( ) = + , let consider that— yixz   , viuf   , yix viu z f        Assuming the partial derivatives exist. Let us take limit by the two different approaches as in the figure. First, with y = 0, we let x0,         x v i x u z f xz        00 limlim x v i x u       For a second approach, we set x = 0 and then let y 0. This leads to – y v y u i y v i y u z f yz                     00 limlim
  • 4.
    Unit-I Functions ofcomplex variable Rai University | Ahmedabad 4 If we have the derivative, the above two results must be equal. Hence— y v y u i x v i x u            Hence, the necessary and sufficient conditions for the derivative of the function ( ) = + to exit for all values of z in a region R, are— (1) , , , are continuous functions of and in R; (2) y v x u      and x v y u      . 1.5 Analytic function— A single valued function that possesses a unique derivative with respect to at all points on a region R is called an Analytic function of in that region. Necessary and sufficient condition to be a function Analytic— A function ( ) = + is called an analytic function if— 1. ( ) = + , such that and are real single valued functions of and and , , , are continuous functions of and in R. 2. y v x u      and x v y u      . 1.6 Cauchy-Riemann equations— If a function ( ) = + is analytic in region R, then it must satisfies the relation y v x u      and x v y u      . These equations are called as Cauchy- Riemann equation. Cauchy-Riemann equation in polar form—      v r u r and r vu r        1 1.7 Laplace’s equation— An equation in two variables and given by + = 0 is called as Laplace’s equation in two variables. 1.8 Harmonic functions— If ( ) = + be an analytic function in some region R, then Cauchy-Riemann equations are satisfied. That implies— y v x u      ... (1) x v y u      ... (2) Now, on differentiating (1) with respect to x and (2) with respect to y— = … (3) = − … (4) Assuming that = , adding equations (1) and (2)— + =
  • 5.
    Unit-I Functions ofcomplex variable Rai University | Ahmedabad 5 Similarly, on differentiating (1) with respect to and (2) with respect to and subtracting them— + = both and satisfy the Laplace’s equation in two variables, therefore ( ) = + is called as Harmonic function. This theory is known as Potential theory. If ( ) = + is an analytic function in which ( , ) is harmonic, then ( , )is called as Harmonic conjugate of ( , ). 1.9 Orthogonal system— Consider the two families of curves ( , ) = … (1) and ( , ) = … (2). Differentiating (1) with respect to – = − = = [by using Cauchy s Riemann equations for analytic function] Differentiating (2) with respect to – = − = Here, = −1 therefore every analytic function ( ) = ( , ) + ( , ) represents two families of curves ( , ) = and ( , ) = form an orthogonal system. 1.10 Determination of Analytic function whose real or imaginary part is known— If the real or the imaginary part of any analytic function is given, other part can be determined by using the following methods— (a) Direct Method (b) Milne-Thomson’s Method (c) Exact Differential equation method (d) Shortcut Method 1.10.1 Direct Method— Let ( ) = + is an analytic function. If is given, then we can find in following steps— Step-I Find by using C-R equation = Step-II Integrating with respect to to find with taking integrating constant ( ) Step-III Differentiate (from step-II) with respect to y. Evaluate containing ( ) Step-IV Find by using C-R equation = − Step-V by comparing the result of from step-III and step-IV, evaluate ( ) Step-VI Integrate ( ) and evaluate ( ) Step-VII Substitute the value of ( ) in step-II and evaluate .
  • 6.
    Unit-I Functions ofcomplex variable Rai University | Ahmedabad 6 Example— If ( ) = + represents the analytic complex potential for an electric field and = − + , determine the function . Solution— Given that – = − + Hence— = 2 + ( )( ) ( ) ( ) = 2 + ( ) … (1) Again, = −2 + ( ) … (2) So, and must satisfy the Cauchy’s-Riemann equations: = … (3) and = − … (4) Now, from equations (2) and (3)— = −2 + ( ) On integrating with respect to — = −2 ∫ − ∫ ( ) = −2 + + ( ) Differentiating with respect to — = −2 − ( ) + ( ) … (5) Again, from equations (1) and (4)— = −2 − ( ) … (6) On comparing (5) and (6)— ( ) = 0 , so ( ) = Hence, = −2 + + ans 1.10.2 Milne-Thomson’s Method— Let a complex variable function is given by ( ) = ( , ) + ( , ) … (1) Where— = + and = ̅ and = ̅ . Now, on writing ( ) = ( , ) + ( , ) in terms of and ̅ – ( ) = ̅ , ̅ + ̅ , ̅ Considering this as a formal identity in the two variables and , and substituting = ̅ – ∴ ( ) = ( , 0) + ( , 0) … (2) Equation (2) is same as the equation (1), if we replace by and by 0. Therefore, to express any function in terms of , replace by and by 0. This is an elegant method of finding ( ) , ‘when its real part or imaginary part is given’ and this method is known as Milne-Thomson’s Method.
  • 7.
    Unit-I Functions ofcomplex variable Rai University | Ahmedabad 7 Example— If ( ) = + represents the complex potential for an electric field and = − + , determine the function . (By using Milne-Thomson’s method) Solution— Given that— ( ) = + ∴ = + = + [by using cauchy − Riemann equation] Hence, ∴ = + = −2 + ( ) + 2 + ( ) by using Milne-Thomson’s method (replacing by z and by 0)— = (2 − 1 ) ( ) = + + Hence, = Re + + = Re − + (2 ) + − + = −2 + + ans Example— Find the analytic function ( ) = + , whose real part is − + − . Solution— Let ( ) = + is an analytic function. Hence, from the question— = − 3 + 3 − 3 Now, = + = − [by using cauchy − Riemann equation] Hence, ∴ = − = (3 − 3 + 6 ) + (−6 − 6 ) by using Milne-Thomson’s method (replacing by z and by 0)— = (3 + 6 ) + (0) ( ) = + 3 + Hence, = Im[ + 3 + ] = Im[ + 3 − 3 − + 3 − 3 + 6 + ] ∴ = 3 − + Therefore ( ) = ( − 3 + 3 − 3 ) + (3 − + ) ans Example— Find the analytic function = + , if − = ( − )( + + ). Solution— Given that— − = ( − )( + 4 + ) − = 3 + 6 − 3 … (1) − = 3 − 6 − 3 … (2) On applying Cauchy-Riemann’s theorem in equation (2)— − − = 3 − 6 − 3 … (3)
  • 8.
    Unit-I Functions ofcomplex variable Rai University | Ahmedabad 8 Now, from equations (1) and (3)— = 6 and = −3 + 3 Again, = + = 6 + (−3 + 3 ) By using Milne-Thomson’s method— = (−3 ) ( ) = − + = − ( + 3 − 3 − ) + = (3 − + ) + (3 − ) ans 1.10.3 Exact Differential equation Method— Let ( ) = + is an analytic function. Case-I If ( , ) is given We know that— = + = − + [By C-R equations] Let = + , therefore = − and = Again, = − and = Therefore − = − + = 0 [∵ is a harmonic function] ∴ = [Satisfies the condition for exact differential equation] Hence, = − + terms of not containg + Case-II If ( , ) is given We know that— = + = − [By C-R equations] Let = + , therefore = and = − Again, = and = − Therefore − = + = 0 [∵ is a harmonic function] ∴ = [Satisfies the condition for exact differential equation]
  • 9.
    Unit-I Functions ofcomplex variable Rai University | Ahmedabad 9 Hence, = + terms of − not containg + Example— If = − + + , determine for which ( ) is an analytic function. Solution— Given that— = − 3 + 3 + 1 By using exact differential equation method, can be written as— = ∫ − + ∫ terms of not containg + = ∫ (6 ) + ∫(−3 + 3) + = 3 − + 3 + Example— If = − , determine for which ( ) = + is an analytic function. Solution— Given that— = − 3 By using exact differential equation method, can be written as— = ∫ − + ∫ terms of not containg + = ∫ (−3 + 3 ) + ∫(0) + = −3 + + 1.10.4 Shortcut Method Case-I If ( , ) is given If the real part of an analytic function ( ) is given then— ( ) = 2 2 , 2 − (0,0) + Where, c is a real constant. Case-II If ( , ) is given If the imaginary part of an analytic function ( ) is given then— ( ) = 2 2 , 2 − (0,0) + Where, c is a real constant. Example— If ( ) = + is an analytic function and ( , ) = , find ( ). Solution— Given that ( ) is an analytic function and it’s real part is ( , ) = . Hence, ( ) = 2 , − (0,0) + ( ) = 2 +
  • 10.
    Unit-I Functions ofcomplex variable Rai University | Ahmedabad 1 0 ( ) = 2 ( ) + [cosh(− ) = cosh ] ( ) = 2 ( ) + [cosh( ) = cos ] ( ) = 2 + ( ) = tan + Example— Determine the analytic function ( ), whose imaginary part is − . Solution— Given that = 3 − , since the complex variable function ( ) is analytic, hence it is given by— ( ) = 2 2 , 2 − (0,0) + ( ) = 2 3 2 2 − 2 + ( ) = 2 3 8 + 1 8 + ( ) = 2 1 2 + ( ) = + Example— Determine the analytic function ( ), whose imaginary part is ( + ) + − . Solution— Given that = log( + ) + − 2 = + 1 = − 2 Let ( ) = + , ∴ = + = + [By using C − R equations] Hence, ( ) = −2 + + 1 ( ) = −2 + 2 log + + ( ) = 2 log + ( − 2) + Example— Find the orthogonal trajectories of the family of curves given by the equation— − = . Solution— given curve is— = − = The orthogonal trajectories to the family of curves = will be = such that ( ) = + becomes analytic. Hence, orthogonal trajectory = is given by— = − + +
  • 11.
    Unit-I Functions ofcomplex variable Rai University | Ahmedabad 1 1 = (– + 3 ) + (− ) + = − 4 + 3 2 − 4 + Example— Find the orthogonal trajectories of the family of curves given by the equation— − = . Solution— given curve is— = cos − = The orthogonal trajectories to the family of curves = will be = such that ( ) = + becomes analytic. Hence, orthogonal trajectory = is given by— = − + + = ( sin − ) + (− ) + = sin − 2 − 2 + Example— Show that the function ( , ) = is harmonic. Determine its harmonic conjugate ( , ) and the analytic function ( ) = + . Solution— given that ( , ) = cos Now, = cos , = cos = − sin , = − cos Here, + = 0, so ( , ) is a harmonic function. Again, since ( ) = + is an analytic function, so ( ) is given by— ( ) = 2 2 , 2 − (0,0) + ( ) = 2 cos 2 − 1 + ( ) = 2 cos − 2 − 1 + ( ) = 2 cos 2 − 1 + ( ) = 2 1 2 + − 1 + ( ) = ( + 1) − 1 + ( ) = + Now, ( ) = + ( ) = +
  • 12.
    Unit-I Functions ofcomplex variable Rai University | Ahmedabad 1 2 ( ) = (cos + sin ) + ( ) = + ( + ) Hence, ( , ) = sin + 1.11 Conformal Mapping— 1.11.1 Mapping— Mapping is a mathematical technique used to convert (or map) one mathematical problem and its solution into another. It involves the study of complex variables. Let a complex variable function = + define in - plane have to convert (or map) in another complex variable function ( ) = = + define in - plane. This process is called as Mapping. 1.11.2 Conformal Mapping— Conformal Mapping is a mathematical technique used to convert (or map) one mathematical problem and its solution into another preserving both angles and shape of infinitesimal small figures but not necessarily their size. The process of Mapping in which a complex variable function = + define in - plane mapped to another complex variable function ( ) = = + define in - plane preserving the angles between the curves both in magnitude and sense is called as conformal mapping. The necessary condition for conformal mapping— if = ( ) represents a conformal mapping of a domain D in the −plane into a domain D of the −plane then ( ) is an analytic function in domain D. Application of Conformal mapping— A large number of problems arise in fluid mechanics, electrostatics, heat conduction and many other physical situations. There are different types of conformal mapping. Some standard conformal mapping are mentioned below— 1. Translation 2. Rotation 3. Magnification 4. Inversion 5. Reflection Mapping
  • 13.
    Unit-I Functions ofcomplex variable Rai University | Ahmedabad 1 3 1.11.2.1 Translation— A conformal mapping in which every point in −plane is translated in the direction of a given vector is known as Translation. Let a complex function = + translated in the direction of the vector = + , then that translation is given by— = + . Example— Determine and sketch the image of | | = under the transformation = + . Solution— Let = + ∴ + = + + = + ( + 1) Hence, = and = − 1 Again, from the question | | = 1 ∴ + = 1 + ( − 1) = 1, which represent a circle in ( , ) plane. 1.11.2.2 Rotation— A conformal mapping in which every point on −plane, let P( , ) such that OP is rotated by an angle in anti-clockwise direction mapped into −plane given by = is called as Rotation. Example— Determine and sketch the image of rectangle mapped by the rotation of ° in anticlockwise direction formed by = , = , = and = . Solution— given rectangle is— = 0, = 0, = 1 and = 2 Let the required transformation is— =
  • 14.
    Unit-I Functions ofcomplex variable Rai University | Ahmedabad 1 4 = cos + sin ( + ) = √ + √ ( + ) = √ + √ + = √ + √ ∴ = √ and = √ Now, for = 0— = − √2 , = √2 ⟹ + = 0 For = 0— = √2 , = √2 ⟹ − = 0 For = 1— = 1 − √2 , = 1 + √2 ⟹ + = √2 or = 2— = − 2 √2 , = + 2 √2 ⟹ − = −2√2 1.11.2.3 Magnification (Scaling) — A conformal mapping in which every point on −plane mapped into −plane given by = ( > 0 is real) is called as magnification. In this process mapped shape is either stretched( > 1) or contracted (0 < < 1) in the direction of Z. Example— Determine the transformation = , where | | = . Solution— given that | | = 2 ⟹ + = 4 , represents a circle on −plane having center at origin and radius equal to 2-units. Let the required transformation is— = 2 = 2( + ) = 2 + 2 + = 2 + 2 Hence, = and = ⟹ + = 4 ⟹ + = 16 represent a circle on −plane having center at origin and radius equal to 4-units.
  • 15.
    Unit-I Functions ofcomplex variable Rai University | Ahmedabad 1 5 1.11.2.4 Inversion— A conformal mapping in which every point on −plane mapped into −plane given by = is called as inversion. Example— Determine the transformation = , where | | = . Solution— given that— | | = 1 ⟹ + = 1 … (1) Again, given that = = = ( )( ) = + = − = − [ + = 1] Hence, = and = − Now, from equation (1)— + = 1 1.11.2.5 Reflection — A conformal mapping in which every point on −plane mapped into −plane given by = ̅ . This represents the reflection about real axis. Example— Determine and sketch the transformation = , where | − ( + )| = . Solution— given that— | − 2| = 4 |( − 2) + ( − 1)| = 4 ( − 2) + ( − 1) = 16 … (1) Again, from the question— = ̅ = − + = − Hence, = and = − Now, from equation (1)— ( − 2) + ( + 1) = 16 Sketch—
  • 16.
    Unit-I Functions ofcomplex variable Rai University | Ahmedabad 1 6 References— 1. Internet— 1.1 mathworld.wolfram.com 1.2 www.math.com 1.3 www.grc.nasa.gov 1.4 en.wikipedia.org/wiki/Conformal_map 1.5 http://www.webmath.com/ 2. Journals/Paper/notes— 2.1 Complex variables and applications-Xiaokui Yang-Department of Mathematics, Northwestern University 2.2 Conformal Mapping and its Applications-Suman Ganguli-Department of Physics, University of Tennessee, Knoxville, TN 37996- November 20, 2008 2.3 Conformal Mapping and its Applications-Ali H. M. Murid-Department of Mathematical Sciences-Faculty of Science-University Technology Malaysia- 81310-UTM Johor Bahru, Malaysia-September 29, 2012 3. Books— 3.1 Higher Engineering Mathematics-Dr. B.S. Grewal- 42 nd edition-Khanna Publishers-page no 639-672 3.2 Higher Engineering Mathematics- B V RAMANA- Nineteenth reprint- McGraw Hill education (India) Private limited- page no 22.1-25.26 3.3 Complex analysis and numerical techniques-volume-IV-Dr. Shailesh S. Patel, Dr. Narendra B. Desai- Atul Prakashan 3.4 A Text Book of Engineering Mathematics- N.P. Bali, Dr. Manish Goyal- Laxmi Publications(P) Limited- page no 1033-1100