System of linear equations
Fulfillment
Of
Active learning Participation in the Course
(2110015)
Prepared by:
Diler Mohmadsharif Sidi 140 150 106 099
Rajan Nitinbhai Chhatrada 140 150 106 084
Guided by:
Prof. K. K. Pokar
•Common terms related with the chapter
•Echelon form
•Reduced row echelon form
•Rank of a matrix
•Solution
•Consistent & Inconsistent system
Note: Please use mouse clicks to navigate through slides.
•Echelon form
Any matrix is said to be in echelon form if it
satisfies following three properties…
1) All non-zero rows must be above the “zero” row
2) Each leading entry is in a column to the right of the
leading entry in the previous row.
3) The first non-zero element in each row, called the
leading entry, is 1
Reducing any matrix to echelon form by doing row
transformations, we achieve a staircase shape…
It should look like following for
1)Rectangular matrix
2)Square matrix
1 1 0 4 1 3 9 7
0 1 0 1 3 0 4 1
0 0 0 1 1 1 2 2
0 0 0 0 0 0 0 1
•Common terms related with the chapter
•Echelon form
•Reduced row echelon form
•Rank of a matrix
•Solution
•Consistent & Inconsistent system
Note: Please use mouse clicks to navigate through slides.
•Reduced row echelon form
A matrix is in reduced row echelon form when it
satisfies the following conditions.
1) The matrix satisfies conditions for a row echelon form.
2) The leading entry in each row is the only non-zero entry in its
column.(Means rest of the elements are “0”.)
•Common terms related with the chapter
•Echelon form
•Reduced row echelon form
•Rank of a matrix
•Solution
•Consistent & Inconsistent system
Note: Please use mouse clicks to navigate through slides.
•Rank of a matrix
The maximum number of linearly independent rows
in a matrix A is called the row rank of A
For any square matrix, the rank can be found very easily
1)Reduce the matrix into reduced row echelon form
2)Count the non-zero rows of matrix
That’s it, the number of non-zero rows in a reduced row echelon form
matrix is the Rank of that matrix.
E.g.
Here, number of nonzero row is 1. So the rank of a matrix is 1.
•Common terms related with the chapter
•Echelon form
•Reduced row echelon form
•Rank of a matrix
•Solution
•Consistent & Inconsistent system
Note: Please use mouse clicks to navigate through slides.
•Solution
Solution to any linear equation system is the
value of unknowns that satisfies all the equation,
graphically as shown in figure its an intersection of
two or more lines. Solution to a linear system can be
unique, infinite or an empty set(no solution).
•Common terms related with the chapter
•Echelon form
•Reduced row echelon form
•Rank of a matrix
•Solution
•Consistent & Inconsistent system
Note: Please use mouse clicks to navigate through slides.
•Consistent & Inconsistent system
A system of equations is said to be consistent if
that has at least one solution
otherwise (if it has no solution) the system is said to
be inconsistent.
Consistent ConsistentInconsistent
•Click here to jump to the Theory.
•Common terms and their meaning
•Cramer’s rule for solving linear equations
Note: Please use mouse clicks to navigate through slides.
•If the system has nonzero coefficient determinate D = det (A), then
the system has unique solution and this solution is of the form
X1= X2= ,…,Xn=
Cramer’s rule can be used only when the Matrix is a Square Matrix,
suppose there are n equations in the number of variables
X1,X2,X3,…,Xn then the solution of the system has the following cases
Where Di is the determinant obtained from D by replacing in D
the ith column by the column with the entries b1,b2,…,bn
e.g.
Now, If the system has zero coefficient determinant D = det(A), then we
have two possibilities as discussed below:
1. If at least one of Di is nonzero then the system has no
solution.
2. If all Di’s are zero, then the system has infinite number of
solutions.
If the system is homogeneous, then we have the following two
possibilities of its solution.
1. If D ≠ 0, then the system has only trivial solution.
X1=0 ,X2=0,…, Xn=0
2. If D = 0,then the system has also non trivial solutions.
•Use Cramer’s rule to solve:
Here, A= ,X= ,b=
Here, matrix A is a square matrix of order 3,so
Cramer’s rule can be applied
Now,
D=det(A)=|A|=
=1(-4-1)-2(12-1)+1(3+1)
=1(-5)-2(11)+1(4)
=-23
Therefore, the given system has unique solution.
For finding unique solution, let us first find D1,D2
and D3.It can be easily verified that
D1= =5(-4-1)-2(24-7)+1(6+7)
=5(-5)-2(17)+1(13)
=-46
D2= =1(24-7) - 5(12-1) + 1(21-6)
=1(17) -5 (11) + 15
=-23
D3= =1(-7-6)-2(21-6)+5(3+1)
=-13-2(15)+5(4)
=-23
Therefore the unique solution of the given
system is
X= = =2 , y= = =1
Outline :
Square matrix
Non-homogeneous matrix
det (A) ≠ 0
None of Di = 0
 Unique solution
D3= =1(-7-6)-2(21-6)+5(3+1)
=-13-2(15)+5(4)
=-23
Therefore the unique solution of the given
system is
X= = =2 , y= = =1 , z= = = 1
•Use Cramer’s rule to find the solution of the system
In matrix form, the given matrix can be written as Ax=b,
Where,
A= , X= , b=
Here, matrix A is a square matrix of order 3, so Cramer’s rule can be applied.
Now,
D=|A|= =1(2-12) – 2(4-6) +1(8 - 2)
=1(-10) – 2(-2) + (6)
=0
Therefore, either system has no solution or infinite number of
solutions. Let us check for it.
D1= = 3(2 - 12) – 2(10 - 21) + 1(20 - 7)
=3(-10) –2(-11) + 1(13)
=5
0
Therefore, the system has no solution as at least one Di , i=1, 2,3
(Here D1) is nonzero.
Out line:
Square matrix , Non-homogeneous matrix,
det (A) = 0, At least one of Di = 0  No solution
•Use Cramer's rule to solve:
Here, matrix A is a square matrix of order 3, so Cramer’s rule can be applied
Now,
D=|A|= =1(45 - 48) -2 (36 - 42) + 3(32 - 35)
=-3 -2(-6) +3(-3)
=-3+12-9
=0
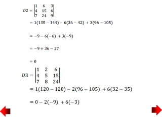
Also, D1=
=6(45 - 48) – 2(135 - 144) + 3(120 - 120)
=-18 + 18
=0
Therefore, the system has infinite number of solutions.
Now,
=5-8=3
Therefore,
Omitting m-r=3-2=1 equation (here, we have omitted third equation but it is not
necessary), we get system as
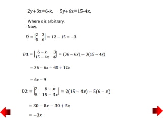
Considering n-r =3-2=1 variable as arbitrary (here, we considered x as
arbitrary but it is not necessary), the remaining system becomes
Where x is arbitrary.
Now,
Therefore,
Let x=k, where k is arbitrary, then the infinite number of solutions of the
given system is
Where k is an arbitrary constant.
•Solve: -2X1+ X2 - X3=0 X1+ 2X2+ 3X3=0 3X1 +X3 =0
In matrix form, the given system of equations can be written as
Where,
,
Here, matrix A is a square matrix of order 3, so Cramer’s rule can be
applied.
Now,
Therefore, the given system has only trivial solution that is,
•Use Cramer’s rule to solve
Solution: In matrix form, the given system of equations can be written as
Where,
Here, matrix A is of order 3, so Cramer’s rule can be applied.
Now,
Therefore, the system has nontrivial solution in addition to trivial solution.
Now,
Therefore,
Omitting equation, are get
Considering variable arbitrary, the remaining system becomes
Where z is arbitrary,
Now,
Therefore,
Let z=k, where k is arbitrary, then the nontrivial solution (in addition to
trivial solution x=0, y=0, z=0) of the system becomes,
Where k is an arbitrary constant.
System of Equations
Linear System Non-Linear System
For a system involving two variables (x and y), each linear equation
determines a line on the XY-plane. Because a solution to a linear
system must satisfy all of the equations, the solution set is the
intersection of these lines, and is hence either a line, a single point,
or the empty set. And thus they can be classified differently.
System Of Linear Equations
Homogeneous System Non-Homogeneous System
•Non Linear System
• Non linear system is the one that contains ,
maximum power in its equations more than 1.
E.g. X2+Y2=R2 A Circle, has power 2. Simply Non-linear
X1Y1=1 A Hyperbola, Its power is 2. (1+1),Non-linear
X2+X-1=0 The Maximum power is 2. So, this is a non-linear equation
E.G
This is a non-linear matrix system.
•Non-Homogeneous System
A Matrix equation
AX=B
is said to be Non-homogeneous. If B is a Non-zero matrix.
E.g.
Non-homogeneous System
Non-Trivial Solution
Unique Non-Trivial
Solution
Infinite Solutions
No Solution
System of equations
Unique solutions exist
Infinite solutions exist
Inconsistent system
(No solution)
• Solve the system of equations:
By Gaussian elimination method.
Solution: The augmented matrix of the given solution is
Operating R12, we get
Operating R13 (-2), we get
Operating R23 (-3), we get
Which is the required row echelon form.
By going back to equations, we get
The third equation is incorrect and so the system has no solution.
•Solve the following system of equations
Solution: The augmented matrix is
By following the row operations R12(1), R13(-2), R2(-1), we get
Which is the required row echelon form for Gaussian elimination.
Let us apply Gauss Jordon method for simplification of equations.
Operating R12 (2) on (i), we get
Which is reduced row echelon form.
By going back to equations, we have
This is underdetermined system.
Let us write it as
For various choice of free variable z, we get different solutions to the system.
Let z=t, where t is any number, then
Thus infinite number of solutions exists for infinitely many choices of t.
•Use Gaussian elimination and Gauss-Jordon elimination to solve the
following system of equations:
Solution: The augmented matrix of the given system is
Note To make the leftmost nonzero entry in the top row as one, the following are
the various procedures for (i)
•Divide the top row of (i) by -2
•Doing operation R31(1) on (i)
•Doing operation R21(3) on (i)
•Interchanging two rows
Here, we have adopted (4)
Again, operating R12(2), R13(-3), we get
Operating R2 (1/5), we get
Operating R23(6), we get
Operating R3 (-1/2), we get
Which is the row echelon form of the augmented matrix.
For Gaussian Elimination method we will stop here and go back to equations.
This gives
Which implies
So, we have a unique non-trivial solution for the equation system.
•Homogeneous System
• A System of linear equations is said to be Homogeneous ,
if it is in the form of, AX=0
Homogeneous system always has at least one solution

a11 a12 … a1n
a21 a22 … a2n
… … … …
am1 am2 … amn
x1
x2
…
xn
=
0
0
…
0
a11x1 + a12x2 + … + a1nxn=0
a21x1 +a22x2 + … + a2nxn=0
… … … …
am1x1 + am2x2 +… + amnxn=0
Homogeneous System
Only Trivial
Solution
Non-Trivial Solution
Infinite Solutions
•Trivial Solution
• A solution of a set of homogeneous linear equations in which
all the variables have the value zero.
and|A| ≠ 0
For a trivial solution, to any matrix,
X1=X2=X3=…=Xn=0
•Problem related with this topic.
•Non-Trivial Solution
A solution or example that is not Trivial. Often, solutions or examples
involving the number zero(0) are considered trivial. Nonzero solutions or
examples are considered nontrivial.
In a given homogeneous system..
If Number of Unknowns = Number of Equations
There may be many nonzero solutions in addition to the trivial solution
If the Rank of a matrix = The number unknowns,
Then the solution is a Unique Non-trivial solution.
E.g.
•Infinite Solutions
If ,
Rank of a matrix< Number of Unknowns
There will be infinite solutions.
•Problem related with this topic.
•No Solution (Inconsistence)
If any equation system has no solution,
It is said to be inconsistence.
It can be also explained as below.
Here 0=6. Which is not possible, so the system has no solution.
•Solve the following homogeneous system of linear equations by using Gauss Jordan method.
-2X1+ X2 - X3=0 X1+ 2X2+ 3X3=0 3X1 +X3 =0
So, the augmented matrix is
Let us reduce this into reduced row echelon form,
Here,
Therefore we have unique trivial solution.
•Solve the following homogeneous system of linear equations by using Gauss-Jordan
method.
Solution The augmented matrix of the given system is
Operating R14 we get (Interchanging the row 1 and row 4)
Operating R12 (1), R14 (1), we get
Operating R2 (-1), we get
Operating R21 (2), R23 (1), R24 (2), we get
Which is reduced row echelon form.
By going back to equations, we get
Let , then
Thus, infinite number of solutions exists for infinitely many choices for k1 and k2.

System of linear equations

  • 1.
    System of linearequations Fulfillment Of Active learning Participation in the Course (2110015) Prepared by: Diler Mohmadsharif Sidi 140 150 106 099 Rajan Nitinbhai Chhatrada 140 150 106 084 Guided by: Prof. K. K. Pokar
  • 2.
    •Common terms relatedwith the chapter •Echelon form •Reduced row echelon form •Rank of a matrix •Solution •Consistent & Inconsistent system Note: Please use mouse clicks to navigate through slides.
  • 3.
    •Echelon form Any matrixis said to be in echelon form if it satisfies following three properties… 1) All non-zero rows must be above the “zero” row 2) Each leading entry is in a column to the right of the leading entry in the previous row. 3) The first non-zero element in each row, called the leading entry, is 1 Reducing any matrix to echelon form by doing row transformations, we achieve a staircase shape…
  • 4.
    It should looklike following for 1)Rectangular matrix 2)Square matrix 1 1 0 4 1 3 9 7 0 1 0 1 3 0 4 1 0 0 0 1 1 1 2 2 0 0 0 0 0 0 0 1
  • 5.
    •Common terms relatedwith the chapter •Echelon form •Reduced row echelon form •Rank of a matrix •Solution •Consistent & Inconsistent system Note: Please use mouse clicks to navigate through slides.
  • 6.
    •Reduced row echelonform A matrix is in reduced row echelon form when it satisfies the following conditions. 1) The matrix satisfies conditions for a row echelon form. 2) The leading entry in each row is the only non-zero entry in its column.(Means rest of the elements are “0”.)
  • 7.
    •Common terms relatedwith the chapter •Echelon form •Reduced row echelon form •Rank of a matrix •Solution •Consistent & Inconsistent system Note: Please use mouse clicks to navigate through slides.
  • 8.
    •Rank of amatrix The maximum number of linearly independent rows in a matrix A is called the row rank of A For any square matrix, the rank can be found very easily 1)Reduce the matrix into reduced row echelon form 2)Count the non-zero rows of matrix That’s it, the number of non-zero rows in a reduced row echelon form matrix is the Rank of that matrix. E.g. Here, number of nonzero row is 1. So the rank of a matrix is 1.
  • 9.
    •Common terms relatedwith the chapter •Echelon form •Reduced row echelon form •Rank of a matrix •Solution •Consistent & Inconsistent system Note: Please use mouse clicks to navigate through slides.
  • 10.
    •Solution Solution to anylinear equation system is the value of unknowns that satisfies all the equation, graphically as shown in figure its an intersection of two or more lines. Solution to a linear system can be unique, infinite or an empty set(no solution).
  • 11.
    •Common terms relatedwith the chapter •Echelon form •Reduced row echelon form •Rank of a matrix •Solution •Consistent & Inconsistent system Note: Please use mouse clicks to navigate through slides.
  • 12.
    •Consistent & Inconsistentsystem A system of equations is said to be consistent if that has at least one solution otherwise (if it has no solution) the system is said to be inconsistent. Consistent ConsistentInconsistent
  • 13.
    •Click here tojump to the Theory. •Common terms and their meaning •Cramer’s rule for solving linear equations Note: Please use mouse clicks to navigate through slides.
  • 14.
    •If the systemhas nonzero coefficient determinate D = det (A), then the system has unique solution and this solution is of the form X1= X2= ,…,Xn= Cramer’s rule can be used only when the Matrix is a Square Matrix, suppose there are n equations in the number of variables X1,X2,X3,…,Xn then the solution of the system has the following cases Where Di is the determinant obtained from D by replacing in D the ith column by the column with the entries b1,b2,…,bn e.g.
  • 15.
    Now, If thesystem has zero coefficient determinant D = det(A), then we have two possibilities as discussed below: 1. If at least one of Di is nonzero then the system has no solution. 2. If all Di’s are zero, then the system has infinite number of solutions. If the system is homogeneous, then we have the following two possibilities of its solution. 1. If D ≠ 0, then the system has only trivial solution. X1=0 ,X2=0,…, Xn=0 2. If D = 0,then the system has also non trivial solutions.
  • 16.
    •Use Cramer’s ruleto solve: Here, A= ,X= ,b= Here, matrix A is a square matrix of order 3,so Cramer’s rule can be applied Now, D=det(A)=|A|= =1(-4-1)-2(12-1)+1(3+1) =1(-5)-2(11)+1(4) =-23 Therefore, the given system has unique solution. For finding unique solution, let us first find D1,D2 and D3.It can be easily verified that
  • 17.
    D1= =5(-4-1)-2(24-7)+1(6+7) =5(-5)-2(17)+1(13) =-46 D2= =1(24-7)- 5(12-1) + 1(21-6) =1(17) -5 (11) + 15 =-23 D3= =1(-7-6)-2(21-6)+5(3+1) =-13-2(15)+5(4) =-23 Therefore the unique solution of the given system is X= = =2 , y= = =1
  • 18.
    Outline : Square matrix Non-homogeneousmatrix det (A) ≠ 0 None of Di = 0  Unique solution D3= =1(-7-6)-2(21-6)+5(3+1) =-13-2(15)+5(4) =-23 Therefore the unique solution of the given system is X= = =2 , y= = =1 , z= = = 1
  • 19.
    •Use Cramer’s ruleto find the solution of the system In matrix form, the given matrix can be written as Ax=b, Where, A= , X= , b= Here, matrix A is a square matrix of order 3, so Cramer’s rule can be applied. Now, D=|A|= =1(2-12) – 2(4-6) +1(8 - 2) =1(-10) – 2(-2) + (6) =0 Therefore, either system has no solution or infinite number of solutions. Let us check for it.
  • 20.
    D1= = 3(2- 12) – 2(10 - 21) + 1(20 - 7) =3(-10) –2(-11) + 1(13) =5 0 Therefore, the system has no solution as at least one Di , i=1, 2,3 (Here D1) is nonzero. Out line: Square matrix , Non-homogeneous matrix, det (A) = 0, At least one of Di = 0  No solution
  • 21.
    •Use Cramer's ruleto solve: Here, matrix A is a square matrix of order 3, so Cramer’s rule can be applied Now, D=|A|= =1(45 - 48) -2 (36 - 42) + 3(32 - 35) =-3 -2(-6) +3(-3) =-3+12-9 =0 Also, D1= =6(45 - 48) – 2(135 - 144) + 3(120 - 120) =-18 + 18 =0
  • 23.
    Therefore, the systemhas infinite number of solutions. Now, =5-8=3 Therefore, Omitting m-r=3-2=1 equation (here, we have omitted third equation but it is not necessary), we get system as Considering n-r =3-2=1 variable as arbitrary (here, we considered x as arbitrary but it is not necessary), the remaining system becomes
  • 24.
    Where x isarbitrary. Now,
  • 25.
    Therefore, Let x=k, wherek is arbitrary, then the infinite number of solutions of the given system is Where k is an arbitrary constant.
  • 26.
    •Solve: -2X1+ X2- X3=0 X1+ 2X2+ 3X3=0 3X1 +X3 =0 In matrix form, the given system of equations can be written as Where, , Here, matrix A is a square matrix of order 3, so Cramer’s rule can be applied. Now, Therefore, the given system has only trivial solution that is,
  • 27.
    •Use Cramer’s ruleto solve Solution: In matrix form, the given system of equations can be written as Where, Here, matrix A is of order 3, so Cramer’s rule can be applied. Now,
  • 28.
    Therefore, the systemhas nontrivial solution in addition to trivial solution. Now, Therefore, Omitting equation, are get Considering variable arbitrary, the remaining system becomes Where z is arbitrary, Now,
  • 29.
    Therefore, Let z=k, wherek is arbitrary, then the nontrivial solution (in addition to trivial solution x=0, y=0, z=0) of the system becomes, Where k is an arbitrary constant.
  • 30.
    System of Equations LinearSystem Non-Linear System
  • 31.
    For a systeminvolving two variables (x and y), each linear equation determines a line on the XY-plane. Because a solution to a linear system must satisfy all of the equations, the solution set is the intersection of these lines, and is hence either a line, a single point, or the empty set. And thus they can be classified differently. System Of Linear Equations Homogeneous System Non-Homogeneous System
  • 32.
    •Non Linear System •Non linear system is the one that contains , maximum power in its equations more than 1. E.g. X2+Y2=R2 A Circle, has power 2. Simply Non-linear X1Y1=1 A Hyperbola, Its power is 2. (1+1),Non-linear X2+X-1=0 The Maximum power is 2. So, this is a non-linear equation
  • 33.
    E.G This is anon-linear matrix system.
  • 34.
    •Non-Homogeneous System A Matrixequation AX=B is said to be Non-homogeneous. If B is a Non-zero matrix. E.g.
  • 35.
    Non-homogeneous System Non-Trivial Solution UniqueNon-Trivial Solution Infinite Solutions No Solution System of equations Unique solutions exist Infinite solutions exist Inconsistent system (No solution)
  • 36.
    • Solve thesystem of equations: By Gaussian elimination method. Solution: The augmented matrix of the given solution is Operating R12, we get Operating R13 (-2), we get
  • 37.
    Operating R23 (-3),we get Which is the required row echelon form. By going back to equations, we get The third equation is incorrect and so the system has no solution.
  • 38.
    •Solve the followingsystem of equations Solution: The augmented matrix is By following the row operations R12(1), R13(-2), R2(-1), we get Which is the required row echelon form for Gaussian elimination. Let us apply Gauss Jordon method for simplification of equations. Operating R12 (2) on (i), we get
  • 39.
    Which is reducedrow echelon form. By going back to equations, we have This is underdetermined system. Let us write it as For various choice of free variable z, we get different solutions to the system. Let z=t, where t is any number, then Thus infinite number of solutions exists for infinitely many choices of t.
  • 40.
    •Use Gaussian eliminationand Gauss-Jordon elimination to solve the following system of equations: Solution: The augmented matrix of the given system is Note To make the leftmost nonzero entry in the top row as one, the following are the various procedures for (i) •Divide the top row of (i) by -2 •Doing operation R31(1) on (i) •Doing operation R21(3) on (i) •Interchanging two rows Here, we have adopted (4) Again, operating R12(2), R13(-3), we get
  • 41.
    Operating R2 (1/5),we get Operating R23(6), we get Operating R3 (-1/2), we get Which is the row echelon form of the augmented matrix. For Gaussian Elimination method we will stop here and go back to equations.
  • 42.
    This gives Which implies So,we have a unique non-trivial solution for the equation system.
  • 43.
    •Homogeneous System • ASystem of linear equations is said to be Homogeneous , if it is in the form of, AX=0 Homogeneous system always has at least one solution  a11 a12 … a1n a21 a22 … a2n … … … … am1 am2 … amn x1 x2 … xn = 0 0 … 0 a11x1 + a12x2 + … + a1nxn=0 a21x1 +a22x2 + … + a2nxn=0 … … … … am1x1 + am2x2 +… + amnxn=0
  • 44.
  • 45.
    •Trivial Solution • Asolution of a set of homogeneous linear equations in which all the variables have the value zero. and|A| ≠ 0 For a trivial solution, to any matrix, X1=X2=X3=…=Xn=0 •Problem related with this topic.
  • 46.
    •Non-Trivial Solution A solutionor example that is not Trivial. Often, solutions or examples involving the number zero(0) are considered trivial. Nonzero solutions or examples are considered nontrivial. In a given homogeneous system.. If Number of Unknowns = Number of Equations There may be many nonzero solutions in addition to the trivial solution
  • 47.
    If the Rankof a matrix = The number unknowns, Then the solution is a Unique Non-trivial solution. E.g.
  • 48.
    •Infinite Solutions If , Rankof a matrix< Number of Unknowns There will be infinite solutions. •Problem related with this topic.
  • 49.
    •No Solution (Inconsistence) Ifany equation system has no solution, It is said to be inconsistence. It can be also explained as below. Here 0=6. Which is not possible, so the system has no solution.
  • 50.
    •Solve the followinghomogeneous system of linear equations by using Gauss Jordan method. -2X1+ X2 - X3=0 X1+ 2X2+ 3X3=0 3X1 +X3 =0 So, the augmented matrix is Let us reduce this into reduced row echelon form,
  • 51.
    Here, Therefore we haveunique trivial solution.
  • 52.
    •Solve the followinghomogeneous system of linear equations by using Gauss-Jordan method. Solution The augmented matrix of the given system is Operating R14 we get (Interchanging the row 1 and row 4) Operating R12 (1), R14 (1), we get
  • 53.
    Operating R2 (-1),we get Operating R21 (2), R23 (1), R24 (2), we get Which is reduced row echelon form. By going back to equations, we get Let , then Thus, infinite number of solutions exists for infinitely many choices for k1 and k2.