Prepared By
Dr. Krishnaswamy. G
Faculty
DOS & R in Organic Chemistry
Tumkur University
Tumakuru
For
I M.Sc., I Semester
DOS & R in Organic Chemistry
Tumkur University
Tumakuru
Stereochemistry
Do the compounds have same molecular formula?
NO
YES
ISOMERS
Do the compounds have same connectivity
STEREOISOMERS
(Do the compound be
converted by rotation
about C-C bond)
CONSTITUTION ISOMERS
(Do the compounds have different)
NOT ISOMERS
Functional group isomers
Positional isomers
Skeleton isomers
Metamers
NO
YES
Conformational isomers
Configurational isomers
(Isomers due to restricted
rotation)
NO
YES
Geometrical isomers Optical isomers
(Are compounds are non super
imposable mirror images)
YES
NO
Diastereomers Enantiomers
O
H
O
Propanone Propanal
OH
OH
2-Propanol 1-Propanol
Iso-butane n-butane
O O
Diethyl ether Methylpropyl ether
YES
NO
E Z
Christian Huygens (1629-1695) discovered plane polarized light.
Jean Baptiste Biot in 1815 noted that certain natural organic compounds rotate plane
polarized light.
Louis Pasteur in 1847 carried out crystallization of sodium ammonium salt tartaric
acid and separated mirror image crystals by hand. The equimolar solution of
separated crystals have equal but opposite optical activity.
In 1847 Joseph A Lebel and Jacobs H Van’t Hoff proposed carbon with four
attachment is tetrahedral and showed that carbon with four different attachments
may exists as a pair of isomers.
Thalidomide disaster showed significance of stereochemistry. This drug was used
to treat morning sickness in pregnant women. However, drug caused deformation
in babies. It was found that one isomer was safe but other had tetratogenic (agent
that disturb development of embryo) effect causing serious genetic damage.
R-(+)-Thalidomide
Acts as Sedative
S-(-)-Thalidomide
Acts as Tetratogenic
Significance of Stereochemistry
It is branch of chemistry that involves the study of the different spatial
orientation or arrangement of atoms or groups in the molecule.
This branch of chemistry is commonly referred to as 3-Dimensional
chemistry. Since, it focuses on stereoisomers (i.e. chemical compounds
with same molecular formula but different spatial arrangement in three
dimensions).
What is Stereochemistry?
Three terms are used to designate a carbon atom bonded tetrahedrally
to four different substituents in a chiral molecule.
(a) Asymmetric atom (LeBell & Vant Hoff)
(b) Chiral centre
(c) Stereocentre
Optical activity - the ability of chiral substances to rotate the plane of
polarized light by a specific angle
Racemic mixture - an equimolar (1:1) pair of enantiomers is called a
racemic mixture. A racemic mixture has an optical rotation of zero.
Scalemic mixture - Any unequal molar pair of enantiomers or non-racemic
chiral substance is called Scalemic.
Dextrorotatory (+): an optically active compound that rotates plane
polarized light in a clockwise direction.
Levorotatory (-): an optically active compound that rotates plane
polarized light in a counter clockwise direction.
Device used to measure optical rotation: Polarimeter
Terminologies
The specific rotation of a compound is calculated using the following
formula:
Molecules with one stereocenter can be R or S = 2 possible stereoisomers.
Molecules with n stereocenters can have all the possible combination of R
and S for each stereocenter = 2n possible stereoisomers.
Essential criteria for a molecule to be chiral
Criteria – 1: The carbon in the molecule should be attacked to
four different groups.
Criteria – 2: There must be lack of element of symmetry
Improper Axis Symmetry (Sn)
Plane of Symmetry (σ)
Center of Symmetry (i)
(1) Proper Axis of Symmetry (Cn)
(2) Improper Axis Symmetry (Sn)
(3) Plane of Symmetry (σ)
(4) Center of Symmetry (i)
(5) Identity Element (E)
Elements of symmetry
The super-imposability of a molecule can be inspected conveniently by
the following five elements of symmetry.
CHIRAL
Identity Element (E)
Doing nothing to the molecule is called Identity element.
Proper Axis of Symmetry (Cn)
An imaginary line passing through the molecule in such a way that when
the molecule is rotated about it by an angle of 360o / n, an
indistinguishable arrangement obtained. Such an axis is called Proper
axis of symmetry.
A molecule with Proper Axis of symmetry is chiral.
Plane of Symmetry (σ)
A plane of symmetry is defined as an imaginary plane which divides a
molecule in such a way that one half is mirror image of the other half.
A molecule with atleast one plane of symmetry can be
superimposed on its mirror image and is achiral.
Center of Symmetry (i)
A Center of symmetry (Center of inversion) is defined as a point within
the molecule such that if an atom is joined to it by a straight line which if
extrapolated to an equal distance in opposite direction meets an
equivalent atom.
A molecule with atleast one Center of symmetry is achiral.
Improper Axis Symmetry (Sn)
Representation of three dimensional
molecules
(1) Dashed Wedge or Flying Wedge formula
(2) Fischer projection
(3) Sawhorse formula
(4) Newmann projection
Assigning configuration of a chiral molecule in three dimensional
structure is not very easy to depict on a paper having only two
dimensions. To overcome this problem four 2-dimesional structure s
known as projections have been used.
(1) Dashed Wedge or Flying Wedge formula
In this
representation a
solid continuous
lines represent
bond is in the plane
A solid wedge line
represent bond is
above the plane
i.e. towards the
observer
A broken wedge /
dashed line represent
the bond is below the
plane
i.e. away from the
observer
)
)
In Plane
Towards
Observer
Away from
Observer
CH3
H
OH
CH2CH3
CH3
H
OH
CH2CH3
Dash-Wedge formula
Examples
(2) Fischer projection
In this representation, bonds are drawn as solid lines.
The bonds are placed vertical and horizontal to each other.
Vertical bond
Horizontal bond
Asymmetric /
Stereocenter
Horizontal line is coming out of the plane of the page
(towards observer)
and
Vertical line is going back behind the plane of the paper
(away from observer)
Away from
Observer
Towards
Observer
In Fischer representation
Most oxidized carbon atom is placed on the
vertical line at the top
COOH
CH3
NH2
H
D-Alanine
Most oxidize carbon
COOH
CH3
NH2
H
D-Alanine
Disadvantage
These projections can be turned or rotated only
in certain specified way.
In compounds more than one stereocenters, a
Fischer projection implies an eclipsing relationship
of groups attached to two stereo centers but
staggered is more stable than eclipsed.
Examples
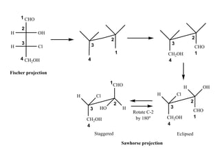
(3) Saw-horse representation
In this representation each carbon atoms
may be viewed as a letter
“Y”
CHO
OH
H
CH2OH
H Cl
Front carbon
Rear carbon
H Cl
CH2OH
H OH
CHO
CHO
OH
H
CH2OH
H Cl
1
2
3
4 4
3
2
1 CH2OH
CHO
4
3
2
1
Cl
CH2OH
H OH
CHO
4
3
2
1
H
Cl
CH2OH
4
3
2
1
H
CHO
HO H
Eclipsed
Staggered
Fischer projection
Sawhorse projection
Rotate C-2
by 180o
(4) Newmann Projections
In this representation the molecule is viewed along the bond joining
the two carbon atoms
The front carbon shown by three solid lines i.e. “Y”
The rear carbon is shown by a circle with three bonds pointing out from it i.e.
Combining the front and rear results in the eclipsed Newmann projection
which on rotation through 180o results in stable staggered Newmann projection
Staggered
Eclipsed
Newmann projection
Propane staggered Newmann projection from two views is shown
below
Dashed Wedge Fischer Projection Saw Horse Newmann
SUMMARY
H
H3C
Ph
O
H
O
H
CH3
H
Ph
H
H3C
Ph
O
H
H
Ph
H3C
O
H
EXAMPLES
H
Br
H OH
H
Br
H OH
H Br
H OH
Br
H
H OH
Dash Wedge
Fischer
Saw Horse
Newmann
(3S, 4R)-4-Bromohexan-3-ol
OH
Br
INTER CONVERSION OF REPRESENTATIONS
Conversion of Dash Wedge formula to Fischer projection
Method-1: By viewing the molecule in between dash line and wedge line
one can convert Dash formula to Fischer projection
If the solid lines are on right side in the first step solid line
is written vertical. In the second step horizontal line is
drawn and substituent present on wedge bond will be
placed on right side.
CH3
CHO
Br
H
Right side CH3
CHO
CH3
CHO
H
Br
Step-1 Step-2
Method-2: To see whether the solid continuous line is left or right
side
CH3
CHO
Br
H
Right side CH3
CHO
CH3
CHO
H
Br
Step-1 Step-2
CH3
CHO
H Br
Rotate 180o
in the
plane of the paper
Most oxidised carbon
in bottom
Finally look for whether the most oxidized carbon is placed on top of the
vertical line. If not rotate the Fischer projection through 180o in the plane of
the paper.
If the solid lines are on left side in the first step solid line is
written vertical line. In the second step horizontal line is drawn
and substituent which is placed on wedge bond will be
placed on left side.
COOH
H
Left side COOH
NH2
COOH
NH2
CH3
H
Step-1 Step-2
H2N
CH3
Most oxidised carbon in
top
Conversion of Fischer projection to Dash Wedge formula
In this conversion first step is Fischer vertical line will be written in solid
line of Dash formula.
In the second step horizontal line will be written in dashed line and wedge
line.
To place the substituent on dash and wedge line configuration of Fischer
projection is used.
Left side
COOH
NH2
CH3
H
Step-1
COOH
H2N Step-2
COOH
H
H2N
CH3
(S)-Alanine (S)-Alanine
COOH
NH2
(S)-Alanine
COOH
NH2
H
H3C
Step-1
Step-2
Right side
CH3
H3C
H2N
HO
Cl
H
CH3
CH3
NH2
HO
Cl
H
CH3
CH3
NH2
HO
H
Cl
CH3
CH3
NH2
HO
H
Cl
Top view
Rotate carbon
attached to
Cl, H & CH3
CH3
H3C
H2N
HO
Cl
H
CH3
CH3
OH
H2N
H
Cl
CH3
CH3
NH2
HO
H
Cl
CH3
CH3
NH2
HO
H
Cl
Bottom view
Rotate carbon
attached to
NH2, OH & CH3
Conversion of Fischer projection to Newmann projection to Sawhorse
formula
Fischer projection is viewed either from front carbon or rear
cabon atom which results in eclipsed Newmann projection.
CH3
CH3
NH2
HO
H
Cl
CH3
Cl
H
HO NH2
CH3
View through
carbon attached to
NH2, OH & CH3
Eclipsed
Rotation of either front carbon or rear carbon 180o gives
staggered Newmann projection.
CH3
Cl
H
HO NH2
CH3
Eclipsed
Cl
H
CH3
HO NH2
CH3
Staggered Newmann
Projection
Rotate rear carbon
attached to Cl, H &
CH3
Cl
H
CH3
HO NH2
CH3
CH3
CH3
NH2
HO
Cl
H
View from side
Staggered Newmann
Projection
Staggered Sawhorse
Projection
Conversion of Sawhorse formula to Newmann
projection to Fischer projection
Staggered Sawhorse formula is viewed either from front
carbon or rear cabon atom which results in staggered
Newmann projection.
Rotation of either front carbon or rear carbon 180o gives
eclipsed Newmann projection.
This Newmann projection holding in vertical plane results
in Fischer projection.
Conversion of Sawhorse formula to Fischer
projection
Staggered Sawhorse formula is converted into eclipsed
projection by rotating either front carbon or rear carbon
180o.
It is then held in vertical plane in such manner that the two
groups pointing upwords are shown on the vertical line
results in Fischer projection.
Three dimensional arrangements of atoms or
groups around an asymmetric carbon atom or
chiral centre are known as configuration.
Configuration
Two systems have been developed to study the configuration of organic
compounds
Relative configuration
D-L configuration Cis-Trans configuration
Configuration relative to that of
standard ((+)-Glyceraldehyde) were
determined.
This system of configuration is known
as D-L configuration.
Configuration relative to that of
substituents were determined.
This system of configuration is known
as Cis-Trans configuration.
CHO
CH2OH
OH
H H
CH2OH
HO
CHO
D-Glyceraldehyde L-Glyceraldehyde
OH
CH3
OH
CH3
Cis Trans
Absolute configuration
Due to some draw backs of D-L configuration a new system called R-S
system of configuration was developed by Robert. S. Cahn (Royal
Institute of Chemistry, London), Christopher K. Ingold (University
College, London) and Vladimir Prelog (Swiss Federal Institute of
Technology, Zurich) in the 1950's, and is thus called the Cahn-Ingold-
Prelog convention.
OH
CH3
OH
CH3
Cis Trans
(1R, 2S) (1S, 2S)
Absolute configuration
Relative configuration
D-L configuration
D-L system is seldom used today except for some class of compounds like
carbohydrates and amino acids.
D- & L - Glyceraldehyde are used as standard references for D-L
system of configuration of carbohydrates.
D- & L - Alanine are used as standard reference for alpha amino
acid with D-L system of configuration.
D-series of sugars are those with –OH group attached to
highest numbered stereo center on the right side in Fischer
projection.
L-series of sugars are those with –OH group attached to
highest numbered stereo center on the left side in Fischer
projection.
D- & L- configuration of α-amino acid refers to the
configuration of the regardless of the number of asymmetric
carbon in the molecule.
D- & L- configurations are not related to the optical rotation
of sugars.
The D- & L- system has the disadvantage of
specifying configuration of only one stereocenter.
Threo and Erythro system
A molecule with two adjacent stereocenters and with two
groups are common to each carbon while third group is
different i.e. Cabx-Caby gives rise to threo and erythro
diastereomers.
When similar groups are on the same side = Erythro
When similar groups are on the opposite side = Threo
The term erythro and threo are generally applied only to
those molecules which do not have symmetric ends.
Instead Meso or (d, l) will be used.
R-S Configuration
Sequence (CIP) Rule is the method whereby the four substituents on an
asymmetric carbon may be assigned priorities 1, 2, 3 or 4 so that the absolute
configuration R or S may be determined.
Rule-1: Rank the groups or atoms boned to the asymmetric
carbon in order of priority. Priorities depend on atomic number;
the atom of higher atomic number is assigned higher priority
Cl 17
I 53
S 16
H 1
Atomic
Number
Cl 17
Br 35
C 6
H 1
Atomic
Number
If two atoms are isotopes of same element, the atom of higher mass
number has the higher priority.
Br 35
C 6
H 1
Atomic
Number
D 1
Mass
Number
2
1
3
T > 2
D 1
H
>
Isotopes of Hydrogen
Rule-2: If the relative priority of two groups can not be determined as
above, then look for next atom, often it may be necessary to proceed
atom by atom till a point of difference is obtained.
C + C + H = 6 + 6 + 1 = 13
H
C
Cl
C
C
CH3
H
H3C
H
H
CH3
1
2
3
4
Cl 17
C 6
H 1
Atomic
Number
C 6
Same atomic number. Hence, look for next atom
to decide priority
C + H + H = 6 + 1 + 1 = 8
C+ H + H = 6 + 1 + 1 = 8
C
H2
C
C
H2
Br
H C
H3C
CH3
CH3
C+ C + C = 6 + 6 + 6 = 18
C+ H + H = 6 + 1 + 1 = 8
C 6
C 6
H 1
Atomic
Number
C 6
Same atomic number. Hence, look for next atom
to decide priority
C+ C + H = 6 + 6 + 1 = 13
1
4
CH C
C
H2
Br
H C
H3C
CH3
CH3
C+ H + H = 6 + 1 + 1 = 8
1
2
3
4
CH C
C
H2
Br
H C
H3C
CH3
CH3
Rule-3: In the case of double or triple bond, either atoms or
groups are considered as duplicate or triplicate.
C A C A
A C
C A C A
A
A C
C
Duplicate Triplicate
1
2
3
4
C
H
C
C
C
H
H2C CH3
H2C
H
C C
C
C C
C
C
C
H
C
C
H
C + C + C = 6 + 6 + 6 =18
C + C + H = 6 + 6 + 1 =13
H
H
Rule-4: Orient the molecule so that the groups or atoms with lowest
priority are directed away from the observer.
Rule-5: Draw an arrow from the group or atom with highest priority to the
group or atom with next priority (decreasing priority).
If you trace a circular path from 1 to 2 to 3 and the path describes a
clockwise rotation, then the center is called R (Latin: rectus means right).
If the path shows a counter clockwise rotation, then the chiral center is
called S (L.: sinister means left).
High
Priority
Low
Priority
Low
Priority
High
Priority
R S
Clock wise Counter Clock wise
Case-1: When the group or atom of lowest priority is on continuous solid line, one
can look along C-lowest priority group bond.
H
CH3
I
Br
4
1
2
3
View the molecule
along C-H bond
I
Br
CH3
H
1 2
3
4
R
If the fourth group is on the plane then do double interchange in such a way
that the 4th group goes below the plane.
OR
H
CH3
I
Br
4
1
2
3
R
I
CH3
H
Br
4
1
2
3
First
interchange
I
Br
H
H3C
4
1
2
3
Second
interchange
Case-2: When the group or atom of lowest priority is oriented towards the
observer, one may rotate the molecule so that priority 4th group point back.
4
1
2
3
S
4
1
2
3
Rotate
OR
If fourth group is above the plane,
then
clock wise movement is “S”
while
counter clock wise movement is “R”
High
Priority
Low
Priority
Low
Priority
High
Priority
S R
Clock wise Counter Clock wise
Case-I: If the 4th group is present on top or bottom of the vertical line in the
Fischer projection.
R-S nomenclature for Fischer projection
High
Priority
Low
Priority
Low
Priority
High
Priority
R S
Clock wise Counter Clock wise
H
NH2
H3C COOH
1
2
3
4
S
NH2
H
COOH
1
2
3
4
R
Case-II: If the 4th group is present on left or right of the horizontal line in
the Fischer projection.
High
Priority
Low
Priority
Low
Priority
High
Priority
S R
Clock wise Counter Clock wise
COOH
NH2
CH3
H
1
2
3
4
S
Ph
C2H5
OH
H3C 1
2
3
4
R
•Ethyl(R)-2-methyl-4-oxocyclohex-2-enecarboxylate
•Ethyl (S)-2-methyl-4-oxocyclohex-2-enecarboxylate
•(R)-4-ethoxycarbonyl-3-methylcylcohex-2-enone
•(S)-4- ethoxycarbonyl-3-methylcylcohex-2-enone
IUPAC name of the compound given below is
(a) 2R,3S (b) 2S,3R (c)2S, 3S (d) 2R, 3R
The absolute configuration of C2 and C3 in the following compound is
•The absolute configuration of
(a) 2S, 3S (b) 2S, 3R (c) 2S, 3S (d) 2R, 3R
CH3
H3C
H2N
HO
Cl
H
CH3
CH3
NH2
HO
H
Cl
Assign absolute configuration for Dash Wedge and Fischer
Projection Formula. Verify it is proper interconversion
CHO
CH2OH
OH
H H
CH2OH
HO
CHO
D-Glyceraldehyde L-Glyceraldehyde
Assign absolute configuration for Fischer Projection Formula.
Chirality is also observed in compounds that lack a stereogenic
carbon atom.
•Quaternary ammonium salts
R4
N
R3
R1
R2
Cl
R4
N
Cl
R2
R3
R1
•Phosphine oxides
O
P
R3
R1
R2
O
P
R2
R3
R1
•Silicon containing compounds
R4
Si
R3
R1
R2
R4
Si
R2
R3
R1
•Sulfones due to different isotopes
S CH3
O16
O18
H3C

Basics of Stereochemistry

  • 1.
    Prepared By Dr. Krishnaswamy.G Faculty DOS & R in Organic Chemistry Tumkur University Tumakuru For I M.Sc., I Semester DOS & R in Organic Chemistry Tumkur University Tumakuru Stereochemistry
  • 2.
    Do the compoundshave same molecular formula? NO YES ISOMERS Do the compounds have same connectivity STEREOISOMERS (Do the compound be converted by rotation about C-C bond) CONSTITUTION ISOMERS (Do the compounds have different) NOT ISOMERS Functional group isomers Positional isomers Skeleton isomers Metamers NO YES Conformational isomers Configurational isomers (Isomers due to restricted rotation) NO YES Geometrical isomers Optical isomers (Are compounds are non super imposable mirror images) YES NO Diastereomers Enantiomers O H O Propanone Propanal OH OH 2-Propanol 1-Propanol Iso-butane n-butane O O Diethyl ether Methylpropyl ether YES NO E Z
  • 3.
    Christian Huygens (1629-1695)discovered plane polarized light. Jean Baptiste Biot in 1815 noted that certain natural organic compounds rotate plane polarized light.
  • 4.
    Louis Pasteur in1847 carried out crystallization of sodium ammonium salt tartaric acid and separated mirror image crystals by hand. The equimolar solution of separated crystals have equal but opposite optical activity. In 1847 Joseph A Lebel and Jacobs H Van’t Hoff proposed carbon with four attachment is tetrahedral and showed that carbon with four different attachments may exists as a pair of isomers.
  • 5.
    Thalidomide disaster showedsignificance of stereochemistry. This drug was used to treat morning sickness in pregnant women. However, drug caused deformation in babies. It was found that one isomer was safe but other had tetratogenic (agent that disturb development of embryo) effect causing serious genetic damage. R-(+)-Thalidomide Acts as Sedative S-(-)-Thalidomide Acts as Tetratogenic Significance of Stereochemistry
  • 6.
    It is branchof chemistry that involves the study of the different spatial orientation or arrangement of atoms or groups in the molecule. This branch of chemistry is commonly referred to as 3-Dimensional chemistry. Since, it focuses on stereoisomers (i.e. chemical compounds with same molecular formula but different spatial arrangement in three dimensions). What is Stereochemistry? Three terms are used to designate a carbon atom bonded tetrahedrally to four different substituents in a chiral molecule. (a) Asymmetric atom (LeBell & Vant Hoff) (b) Chiral centre (c) Stereocentre
  • 7.
    Optical activity -the ability of chiral substances to rotate the plane of polarized light by a specific angle Racemic mixture - an equimolar (1:1) pair of enantiomers is called a racemic mixture. A racemic mixture has an optical rotation of zero. Scalemic mixture - Any unequal molar pair of enantiomers or non-racemic chiral substance is called Scalemic. Dextrorotatory (+): an optically active compound that rotates plane polarized light in a clockwise direction. Levorotatory (-): an optically active compound that rotates plane polarized light in a counter clockwise direction. Device used to measure optical rotation: Polarimeter Terminologies
  • 8.
    The specific rotationof a compound is calculated using the following formula: Molecules with one stereocenter can be R or S = 2 possible stereoisomers. Molecules with n stereocenters can have all the possible combination of R and S for each stereocenter = 2n possible stereoisomers.
  • 9.
    Essential criteria fora molecule to be chiral Criteria – 1: The carbon in the molecule should be attacked to four different groups. Criteria – 2: There must be lack of element of symmetry Improper Axis Symmetry (Sn) Plane of Symmetry (σ) Center of Symmetry (i)
  • 10.
    (1) Proper Axisof Symmetry (Cn) (2) Improper Axis Symmetry (Sn) (3) Plane of Symmetry (σ) (4) Center of Symmetry (i) (5) Identity Element (E) Elements of symmetry The super-imposability of a molecule can be inspected conveniently by the following five elements of symmetry. CHIRAL
  • 11.
    Identity Element (E) Doingnothing to the molecule is called Identity element.
  • 12.
    Proper Axis ofSymmetry (Cn) An imaginary line passing through the molecule in such a way that when the molecule is rotated about it by an angle of 360o / n, an indistinguishable arrangement obtained. Such an axis is called Proper axis of symmetry. A molecule with Proper Axis of symmetry is chiral.
  • 13.
    Plane of Symmetry(σ) A plane of symmetry is defined as an imaginary plane which divides a molecule in such a way that one half is mirror image of the other half. A molecule with atleast one plane of symmetry can be superimposed on its mirror image and is achiral.
  • 14.
    Center of Symmetry(i) A Center of symmetry (Center of inversion) is defined as a point within the molecule such that if an atom is joined to it by a straight line which if extrapolated to an equal distance in opposite direction meets an equivalent atom. A molecule with atleast one Center of symmetry is achiral.
  • 15.
  • 16.
    Representation of threedimensional molecules (1) Dashed Wedge or Flying Wedge formula (2) Fischer projection (3) Sawhorse formula (4) Newmann projection Assigning configuration of a chiral molecule in three dimensional structure is not very easy to depict on a paper having only two dimensions. To overcome this problem four 2-dimesional structure s known as projections have been used.
  • 17.
    (1) Dashed Wedgeor Flying Wedge formula In this representation a solid continuous lines represent bond is in the plane A solid wedge line represent bond is above the plane i.e. towards the observer A broken wedge / dashed line represent the bond is below the plane i.e. away from the observer ) ) In Plane Towards Observer Away from Observer
  • 18.
  • 19.
    (2) Fischer projection Inthis representation, bonds are drawn as solid lines. The bonds are placed vertical and horizontal to each other. Vertical bond Horizontal bond Asymmetric / Stereocenter
  • 20.
    Horizontal line iscoming out of the plane of the page (towards observer) and Vertical line is going back behind the plane of the paper (away from observer) Away from Observer Towards Observer
  • 21.
    In Fischer representation Mostoxidized carbon atom is placed on the vertical line at the top COOH CH3 NH2 H D-Alanine Most oxidize carbon COOH CH3 NH2 H D-Alanine
  • 22.
    Disadvantage These projections canbe turned or rotated only in certain specified way. In compounds more than one stereocenters, a Fischer projection implies an eclipsing relationship of groups attached to two stereo centers but staggered is more stable than eclipsed.
  • 23.
  • 24.
    (3) Saw-horse representation Inthis representation each carbon atoms may be viewed as a letter “Y” CHO OH H CH2OH H Cl Front carbon Rear carbon H Cl CH2OH H OH CHO
  • 25.
    CHO OH H CH2OH H Cl 1 2 3 4 4 3 2 1CH2OH CHO 4 3 2 1 Cl CH2OH H OH CHO 4 3 2 1 H Cl CH2OH 4 3 2 1 H CHO HO H Eclipsed Staggered Fischer projection Sawhorse projection Rotate C-2 by 180o
  • 26.
    (4) Newmann Projections Inthis representation the molecule is viewed along the bond joining the two carbon atoms The front carbon shown by three solid lines i.e. “Y” The rear carbon is shown by a circle with three bonds pointing out from it i.e.
  • 27.
    Combining the frontand rear results in the eclipsed Newmann projection which on rotation through 180o results in stable staggered Newmann projection Staggered Eclipsed Newmann projection
  • 28.
    Propane staggered Newmannprojection from two views is shown below
  • 29.
    Dashed Wedge FischerProjection Saw Horse Newmann SUMMARY
  • 30.
  • 33.
    H Br H OH H Br H OH HBr H OH Br H H OH Dash Wedge Fischer Saw Horse Newmann (3S, 4R)-4-Bromohexan-3-ol OH Br
  • 34.
    INTER CONVERSION OFREPRESENTATIONS Conversion of Dash Wedge formula to Fischer projection Method-1: By viewing the molecule in between dash line and wedge line one can convert Dash formula to Fischer projection
  • 36.
    If the solidlines are on right side in the first step solid line is written vertical. In the second step horizontal line is drawn and substituent present on wedge bond will be placed on right side. CH3 CHO Br H Right side CH3 CHO CH3 CHO H Br Step-1 Step-2 Method-2: To see whether the solid continuous line is left or right side
  • 37.
    CH3 CHO Br H Right side CH3 CHO CH3 CHO H Br Step-1Step-2 CH3 CHO H Br Rotate 180o in the plane of the paper Most oxidised carbon in bottom Finally look for whether the most oxidized carbon is placed on top of the vertical line. If not rotate the Fischer projection through 180o in the plane of the paper.
  • 38.
    If the solidlines are on left side in the first step solid line is written vertical line. In the second step horizontal line is drawn and substituent which is placed on wedge bond will be placed on left side. COOH H Left side COOH NH2 COOH NH2 CH3 H Step-1 Step-2 H2N CH3 Most oxidised carbon in top
  • 40.
    Conversion of Fischerprojection to Dash Wedge formula In this conversion first step is Fischer vertical line will be written in solid line of Dash formula. In the second step horizontal line will be written in dashed line and wedge line. To place the substituent on dash and wedge line configuration of Fischer projection is used. Left side COOH NH2 CH3 H Step-1 COOH H2N Step-2 COOH H H2N CH3 (S)-Alanine (S)-Alanine COOH NH2 (S)-Alanine COOH NH2 H H3C Step-1 Step-2 Right side
  • 41.
  • 42.
  • 43.
    Conversion of Fischerprojection to Newmann projection to Sawhorse formula Fischer projection is viewed either from front carbon or rear cabon atom which results in eclipsed Newmann projection. CH3 CH3 NH2 HO H Cl CH3 Cl H HO NH2 CH3 View through carbon attached to NH2, OH & CH3 Eclipsed
  • 44.
    Rotation of eitherfront carbon or rear carbon 180o gives staggered Newmann projection. CH3 Cl H HO NH2 CH3 Eclipsed Cl H CH3 HO NH2 CH3 Staggered Newmann Projection Rotate rear carbon attached to Cl, H & CH3
  • 45.
    Cl H CH3 HO NH2 CH3 CH3 CH3 NH2 HO Cl H View fromside Staggered Newmann Projection Staggered Sawhorse Projection
  • 47.
    Conversion of Sawhorseformula to Newmann projection to Fischer projection Staggered Sawhorse formula is viewed either from front carbon or rear cabon atom which results in staggered Newmann projection. Rotation of either front carbon or rear carbon 180o gives eclipsed Newmann projection. This Newmann projection holding in vertical plane results in Fischer projection.
  • 49.
    Conversion of Sawhorseformula to Fischer projection Staggered Sawhorse formula is converted into eclipsed projection by rotating either front carbon or rear carbon 180o. It is then held in vertical plane in such manner that the two groups pointing upwords are shown on the vertical line results in Fischer projection.
  • 51.
    Three dimensional arrangementsof atoms or groups around an asymmetric carbon atom or chiral centre are known as configuration. Configuration
  • 52.
    Two systems havebeen developed to study the configuration of organic compounds Relative configuration D-L configuration Cis-Trans configuration Configuration relative to that of standard ((+)-Glyceraldehyde) were determined. This system of configuration is known as D-L configuration. Configuration relative to that of substituents were determined. This system of configuration is known as Cis-Trans configuration. CHO CH2OH OH H H CH2OH HO CHO D-Glyceraldehyde L-Glyceraldehyde OH CH3 OH CH3 Cis Trans
  • 53.
    Absolute configuration Due tosome draw backs of D-L configuration a new system called R-S system of configuration was developed by Robert. S. Cahn (Royal Institute of Chemistry, London), Christopher K. Ingold (University College, London) and Vladimir Prelog (Swiss Federal Institute of Technology, Zurich) in the 1950's, and is thus called the Cahn-Ingold- Prelog convention. OH CH3 OH CH3 Cis Trans (1R, 2S) (1S, 2S) Absolute configuration Relative configuration
  • 54.
    D-L configuration D-L systemis seldom used today except for some class of compounds like carbohydrates and amino acids. D- & L - Glyceraldehyde are used as standard references for D-L system of configuration of carbohydrates. D- & L - Alanine are used as standard reference for alpha amino acid with D-L system of configuration.
  • 55.
    D-series of sugarsare those with –OH group attached to highest numbered stereo center on the right side in Fischer projection.
  • 56.
    L-series of sugarsare those with –OH group attached to highest numbered stereo center on the left side in Fischer projection.
  • 57.
    D- & L-configuration of α-amino acid refers to the configuration of the regardless of the number of asymmetric carbon in the molecule.
  • 58.
    D- & L-configurations are not related to the optical rotation of sugars. The D- & L- system has the disadvantage of specifying configuration of only one stereocenter.
  • 59.
    Threo and Erythrosystem A molecule with two adjacent stereocenters and with two groups are common to each carbon while third group is different i.e. Cabx-Caby gives rise to threo and erythro diastereomers. When similar groups are on the same side = Erythro
  • 60.
    When similar groupsare on the opposite side = Threo
  • 61.
    The term erythroand threo are generally applied only to those molecules which do not have symmetric ends. Instead Meso or (d, l) will be used.
  • 62.
    R-S Configuration Sequence (CIP)Rule is the method whereby the four substituents on an asymmetric carbon may be assigned priorities 1, 2, 3 or 4 so that the absolute configuration R or S may be determined. Rule-1: Rank the groups or atoms boned to the asymmetric carbon in order of priority. Priorities depend on atomic number; the atom of higher atomic number is assigned higher priority Cl 17 I 53 S 16 H 1 Atomic Number
  • 63.
    Cl 17 Br 35 C6 H 1 Atomic Number If two atoms are isotopes of same element, the atom of higher mass number has the higher priority. Br 35 C 6 H 1 Atomic Number D 1 Mass Number 2 1 3 T > 2 D 1 H > Isotopes of Hydrogen
  • 64.
    Rule-2: If therelative priority of two groups can not be determined as above, then look for next atom, often it may be necessary to proceed atom by atom till a point of difference is obtained. C + C + H = 6 + 6 + 1 = 13 H C Cl C C CH3 H H3C H H CH3 1 2 3 4 Cl 17 C 6 H 1 Atomic Number C 6 Same atomic number. Hence, look for next atom to decide priority C + H + H = 6 + 1 + 1 = 8
  • 65.
    C+ H +H = 6 + 1 + 1 = 8 C H2 C C H2 Br H C H3C CH3 CH3 C+ C + C = 6 + 6 + 6 = 18 C+ H + H = 6 + 1 + 1 = 8 C 6 C 6 H 1 Atomic Number C 6 Same atomic number. Hence, look for next atom to decide priority C+ C + H = 6 + 6 + 1 = 13 1 4 CH C C H2 Br H C H3C CH3 CH3 C+ H + H = 6 + 1 + 1 = 8 1 2 3 4 CH C C H2 Br H C H3C CH3 CH3
  • 66.
    Rule-3: In thecase of double or triple bond, either atoms or groups are considered as duplicate or triplicate. C A C A A C C A C A A A C C Duplicate Triplicate 1 2 3 4 C H C C C H H2C CH3 H2C H C C C C C C C C H C C H C + C + C = 6 + 6 + 6 =18 C + C + H = 6 + 6 + 1 =13 H H
  • 67.
    Rule-4: Orient themolecule so that the groups or atoms with lowest priority are directed away from the observer. Rule-5: Draw an arrow from the group or atom with highest priority to the group or atom with next priority (decreasing priority). If you trace a circular path from 1 to 2 to 3 and the path describes a clockwise rotation, then the center is called R (Latin: rectus means right). If the path shows a counter clockwise rotation, then the chiral center is called S (L.: sinister means left). High Priority Low Priority Low Priority High Priority R S Clock wise Counter Clock wise
  • 68.
    Case-1: When thegroup or atom of lowest priority is on continuous solid line, one can look along C-lowest priority group bond. H CH3 I Br 4 1 2 3 View the molecule along C-H bond I Br CH3 H 1 2 3 4 R
  • 69.
    If the fourthgroup is on the plane then do double interchange in such a way that the 4th group goes below the plane. OR H CH3 I Br 4 1 2 3 R I CH3 H Br 4 1 2 3 First interchange I Br H H3C 4 1 2 3 Second interchange
  • 70.
    Case-2: When thegroup or atom of lowest priority is oriented towards the observer, one may rotate the molecule so that priority 4th group point back. 4 1 2 3 S 4 1 2 3 Rotate
  • 71.
    OR If fourth groupis above the plane, then clock wise movement is “S” while counter clock wise movement is “R” High Priority Low Priority Low Priority High Priority S R Clock wise Counter Clock wise
  • 72.
    Case-I: If the4th group is present on top or bottom of the vertical line in the Fischer projection. R-S nomenclature for Fischer projection High Priority Low Priority Low Priority High Priority R S Clock wise Counter Clock wise H NH2 H3C COOH 1 2 3 4 S NH2 H COOH 1 2 3 4 R
  • 73.
    Case-II: If the4th group is present on left or right of the horizontal line in the Fischer projection. High Priority Low Priority Low Priority High Priority S R Clock wise Counter Clock wise COOH NH2 CH3 H 1 2 3 4 S Ph C2H5 OH H3C 1 2 3 4 R
  • 74.
  • 75.
    (a) 2R,3S (b)2S,3R (c)2S, 3S (d) 2R, 3R The absolute configuration of C2 and C3 in the following compound is
  • 76.
    •The absolute configurationof (a) 2S, 3S (b) 2S, 3R (c) 2S, 3S (d) 2R, 3R
  • 77.
    CH3 H3C H2N HO Cl H CH3 CH3 NH2 HO H Cl Assign absolute configurationfor Dash Wedge and Fischer Projection Formula. Verify it is proper interconversion
  • 78.
    CHO CH2OH OH H H CH2OH HO CHO D-Glyceraldehyde L-Glyceraldehyde Assignabsolute configuration for Fischer Projection Formula.
  • 79.
    Chirality is alsoobserved in compounds that lack a stereogenic carbon atom. •Quaternary ammonium salts R4 N R3 R1 R2 Cl R4 N Cl R2 R3 R1
  • 80.
  • 81.
    •Sulfones due todifferent isotopes S CH3 O16 O18 H3C