Page 1 of 32
DOS & R in Organic Chemistry, Tumkur University, Tumakuru
TUMKUR UNIVERSITY
TUMAKURU
DEPARTMENT OF STUDIES AND
RESEARCH IN ORGANIC CHEMISTRY
ORGANIC CHEMISTRY PRACTICAL
MANUAL
Prepared By
Dr. S. Sreenivasa Ph.D., D.Sc.
Associate Professor
Dr. G. Krishnaswamy Ph.D.
Faculty
2018-19
Page 2 of 32
DOS & R in Organic Chemistry, Tumkur University, Tumakuru
SEPERATION OF BINARY ORGANIC MIXTURE FLOW CHART
Page 3 of 32
DOS & R in Organic Chemistry, Tumkur University, Tumakuru
Systematic analysis and identification of Organic Compounds
In Qualitative analysis the given mixture is analyzed for functional groups that it contains.
Depending upon the quantity of sample used it is classified as
Macro Analysis ------------- 0.1 – 1g
Semi-micro Analysis ------ 10 – 100 mg
Micro Analysis ------------- 1 – 10 mg
The analysis of the given organic compound is carried out in the order.
I. Preliminary tests.
II. Determination of physical constant (boiling point or melting point)
III. Detection of elements (nitrogen, sulphur and halogens).
IV. Solubility test.
V. Characteristic reactions of the functional group.
VI. Preparation of suitable solid derivative.
VII. Report
I. PRELIMINARY TESTS:
Test Observation Inference
a) Physical State Solid/Liquid
b) Color
colorless
Hydrocarbons, Carbohydrates,
Alcohols, Phenols, Aldehydes,
Ketones, acids, esters
Yellow Nitro compounds
Greenish yellow p-Nitroso compounds
Reddish orange
Nitroamines, azocompounds,
Napthaquinones
c) Odor Pleasant -fruity Esters
Bitter almond odor
Benzaldehyde, nitrobenzene,
benzonitrile
Odor of carbolic soap Phenols, Cresols
Pungent or irritating
Lower acids, aldehydes, acid
halides
Fishy odor
Aliphatic amines, side chain
aromatic amines
Sweet odor Chloroform, alcohols
Vinegar like Acetic acid
Cinnamon like Cinnamaldehyde
d) Ignition test:
Heat the organic compound
on a spatula over a low
flame, raising the
temperature
gradually
Burns with a sooty flame Aromatic compounds
Burns without sooty flame Aliphatic compounds
Ammoniacal odour Urea, Thiourea
Charring with the smell of
burnt sugar
Carbohydrates , tartarates,
Citrates
Page 4 of 32
DOS & R in Organic Chemistry, Tumkur University, Tumakuru
e) (Test for unsaturation)
A)Baeyer’s test:
A pinch or a drop of the
organic compound + about
one cm3
of 5% Sodium
carbonate solution +one
drop of 1% KMnO4
solution
Pink color discharged without
brown precipitate
Unsaturated compound
Pink color discharged with
brown precipitate
Or
No decolorisation
Saturated compound
B) Bromine water test:
A pinch or a drop of the
organic compound + Br2
water
Decolorization of Br2 water Unsaturated compound
C) Bromine in CCl4 test:
Dissolve a pinch or a drop
of the organic compound in
about 2 ml of CCl4, add 2%
solution of Br2 in CCl4
Decolorization without
evolution of HBr Unsaturated compound
Decolorization with evolution
of HBr Saturated compound
Page 5 of 32
DOS & R in Organic Chemistry, Tumkur University, Tumakuru
f) Beilstein’s test:
A copper wire is ignited in non
luminous flame till it does not
impart green color. Then it is
plunged into the given organic
compound and again ignited.
Green edged flame
The given compound may be
special amide
Or
The given compound contains
halogen.
g) Litmus test:
Substance (if liquid) or the solution of the substance in neutral aq. alcohol + moist litmus paper
i)Blue litmus turns red Acidic compounds(carboxylic acids, phenols)
ii)Red litmus turns blue Basic compounds(amines)
iii)No change of color Neutral compounds
II. DETERMINATION OF PHYSICAL CONSTANT: (BOILING POINT OR
MELTING POINT)
If the given compound is a solid determine the melting point is determined, if it is a liquid
determine its boiling point is determined.
Note: Since the boiling point decreases by one degree for every 1000 feet altitude above
the sea level;
Corrected boiling point = observed boiling point +/- 3 % correction
Physical constant
Melting point: o
C
Boiling point: o
C
Observed boiling point
3% correction
Corrected boiling point o
C
o
C
III. DETECTION OF ELEMENTS BY SODIUM FUSION TEST OR
LASSAIGNE’S TEST ( NITROGEN , SULPHUR AND HALOGENS):
In order to detect the elements in organic compounds, it is necessary to convert them into
ionizable inorganic substances so that the ionic tests of inorganic qualitative analysis may be
applied.
This conversion may be accomplished by several methods, but the best procedure is to fuse
the organic compound with metallic sodium (Lassaigne’s test).
Lassaigne’s test consists of
(a) Preparation of Sodium fusion extract
(b) Test for elements(Nitrogen, Sulphur or halogen)
Cu O2 2 CuO 4R-X 2CuX2
2CuX2 Blue-Gree Light
Page 6 of 32
DOS & R in Organic Chemistry, Tumkur University, Tumakuru
(a) Preparation of Sodium fusion extract:
Take a small piece of clean dry sodium (approx.50-75 mg) in a clean dry ignition tube. Heat
the tube slowly just to melt the Sodium into a silvery globule. Remove it from the flame and
add the compound (20-25 mg or a drop).First heat on a low flame and then on a stronger
flame until it becomes red hot. Keep it in the red hot condition for 1-2 minutes (until the
compound completely reacted) and then plunge into 10-15 ml of distilled water kept in a
porcelain basin. Boil the contents of the porcelain basin for 2-3 minutes and filter .This
filtrate is called Sodium fusion extract or stock solution .The filtrate, the Lassaigne’s extract,
is used for testing the extra elements.
Note: The filtrate should be colorless. Repeat the experiment if the filtrate is not colorless.
Na +C + N → NaCN
2Na+S →Na2S
Na + X →NaX (X= Cl , Br , I)
Na+ C+ N+ S → NaSCN
Precautions:
1. Do not touch Sodium with your fingers; handle it with forceps.
2. There may be a slight explosion with compounds like nitroalkanes , azides, diazonium
salts, chloroform and carbon tetrachloride.(safety goggles should be worn to avoid getting
hurt by accidents).
Page 7 of 32
DOS & R in Organic Chemistry, Tumkur University, Tumakuru
(b) Test for elements(Nitrogen, Sulphur or halogens)
Test for Nitrogen
Experiment Observation Inference
1cm3
of stock solution+ few
crystals of Ferrous sulphate
(50-70mg), boiled; cooled +
dil.H2SO4 or dil. HCl
A blue precipitate
or
A Green solution
Nitrogen is present
Test for Sulphur:
1cm3
of stock solution + few drops
of 1% sodium nitroprusside
solution and shake well.
Purple or pink colour Sulphur is present
S2- + [Fe(CN)5NO]2- → [Fe(CN)5NOS]4-
1cm3
of stock solution+ acetic acid
+ lead acetate
Black precipitate Sulphur is present
Pb(CH3COO)2 + S2-→ PbS ↓ + 2CH3COO-
Test for halogens:
a)1cm3
of stock solution + a few
drops of Conc.HNO3
Boiled, cooled + Silver nitrate
solution drop by drop.(If N and S are
absent ,boiling is not required)
White precipitate easily
soluble in NH4OH
Chlorine is present
Pale yellow precipitate
sparingly soluble in NH4OH
Bromine is present
Yellow precipitate soluble
in NH4OH
Iodine is present
NaCl + AgNO3 AgCl↓ + NaNO3
white precipitate
AgCl↓ + NH4OH → [Ag(NH3)2]Cl + 2H2O
Soluble complex
FeSO4 2 NaOH Fe(OH)2 Na2SO4
Fe(OH)2 2 NaCN Fe(CN)2 2 NaOH
Fe(CN)2 2 NaCN Na4[Fe(CN)6]
3 Na4[Fe(CN)6] 4 FeCl3 Fe4[Fe(CN)6]3 12 NaCl
Ferric ferrocyanide
(Prussian blue color)
Na4[Fe(CN)6] 2 Fe2(SO4)3 Fe4[Fe(CN)6]3 Na2SO4
Ferric ferrocyanide
(Prussian blue color)
[OR]
Page 8 of 32
DOS & R in Organic Chemistry, Tumkur University, Tumakuru
NaBr + AgNO3 AgBr↓ + NaNO3
Pale yellow precipitate
NaI + AgNO 3 AgI↓ + NaNO3
Yellow precipitate
i) Globule test:(Distinction among halogens : To be performed if the above test is positive)
b) 1cm3
of stock solution add about 2
ml of dil.HCl till acidic + few
drops of CCl4+dropwise addition of
freshly prepared Chlorine water &
shaken well.
Colorless globule Chlorine is present
Orange red globule Bromine is present
Violet globule Iodine is present
Preparation of Chlorine water:
A drop of KMnO4+Conc.HCl is added dropwise till colorless. The clear solution contains
dissolved Chlorine.
Globule test:
Acidify a small portion of Lassaigne’s extrct with dil HCl and add a few drops of CCl4.Now
add freshly prepred Chlorine water and shake vigorously.
(a) Cl2 + NaBr → Br2 + 2NaCl
( From sodium fusion extract)
Appearance of orange color in the CCl4 layer indicates the presence of Bromine
(b) Cl2 + NaI → Br2 + 2NaI
( From sodium fusion extract)Appearance of violet color in the CCl4 layer indicates the
presence of Iodine.
Page 9 of 32
DOS & R in Organic Chemistry, Tumkur University, Tumakuru
IV. SOLUBILITY TEST:
The purpose of this test is to find out the correct group to which the organic compound
belongs. For this purpose different solvents are tried and the solubility of the compound is
determined. This gives the group and probable functional group in that solubility group. Then
characteristic reactions for the various classes of compounds of that group are carried out to
find the extra functional group.
A drop of the organic liquid or a pinch of the organic solid is shaken well with the following
order.
1. Water
2. Ether (if soluble in water)
3. 5% HCl
4. 5% NaOH
5. 5% NaHCO3
6. Conc.H2SO4
The following instructions must be followed while carrying the solubility test:
1. If the compound is soluble in water, solubility in ether should not be carried out .
2. While doing the solubility test with Conc. H2SO4 or ether , a dry test tube must be
used.
3. The above order of solvents should not be changed.
4. If the organic compound is soluble in earlier groups , it is not necessary to proceed
further
5. If the compound contains Nitrogen and is insoluble in water and 5% HCl it belongs to
VII group. Then solubility in 5% NaOH and Conc.H2SO4 need not be carried out.
6. Solubility of organic solid or liquid is indicated by the formation of homogeneous
solution.
7. Formation of a precipitate or color or evolution of heat is also an indication of
solubility in con. H2SO4.
8. Write the solubility chart and use (+) or (-) sign (i.e. leave it blank) for the groups for
which the solubility test is not carried out.
9. Write the inference indicating the solubility (group) and classes of compounds.
Page 10 of 32
DOS & R in Organic Chemistry, Tumkur University, Tumakuru
SOLUBILITY TABLE
Soluble In water Insoluble in Water
Soluble in ether
Insoluble in
ether
(Nitrogen
present or
absent)
Soluble in 5%
HCl
(Nitrogen
present)
Soluble in 5% NaOH Nitrogen absent Nitrogen present
Soluble in 5%
NaHCO3
Insoluble in
5%
NaHCO3
Soluble in cold
concentrated
H2SO4
Insoluble in
cold
concentrated
H2SO4
Indifferent group
I Group II Group III Group IV A Group IV B Group V Group VI Group VII Group
R-NH2
R-OH
R-COOH
R-CHO
R-CO-R’
(low MW)
H2N NH2
O
CHO
OHH
HHO
OHH
OHH
CH2OH
NH2
R R
OH
O OH
R
R
H
O
R
R'
O
R
OR
O
X
X
NHR
O
H
N
O
NO2
Page 11 of 32
DOS & R in Organic Chemistry, Tumkur University, Tumakuru
V. FUNCTIONAL GROUP ANALYSIS
CHARACTERISTICS REACTIONS FOR I GROUP COMPOUNDS
REACTIONS OF ALCOHOLS
EXPERIMENT OBSERVATION INFERENCE
Neutral Ferric chloride Test
A pinch or a drop of organic
compound dissolved in water
+ a few drops of neutral
ferric chloride solution.
No Violet or pink
Or
Dirty green solution
It is a Alcohol
Ceric ammonium nitrate
A pinch or a drop of organic
compound dissolved in water
+ a few drops of ceric
ammonium nitrate solution
Red color observed It is a Alcohol
Bromine water Test
A pinch or a drop of organic
compound + water + bromine
water drop wisely with
shaking
No white precipitate It is a Alcohol
Chromic acid Test
A pinch or a drop of organic
compound + few crystals of
K2Cr2O7 + dil. HCl
Green precipitate Primary / Secondary alcohol
No green precipitate Tertiary alcohol
Lucas test
A pinch or a drop of organic
compound + A solution of
zinc chloride in concentrated
hydrochloric acid.
Cloudy dispersion or separate
layer immediately
Tertiary alcohol
Cloudy dispersion upon
standing
Secondary alcohol
Heating required to reaction to
occur
Primary alcohol
2 R OH (NH4)2Ce(NO3)6 (ROH)2Ce(NO3)6 2 NH4NO3
Alkoxy cerium (IV)compound
(Pink or Red color)
Page 12 of 32
DOS & R in Organic Chemistry, Tumkur University, Tumakuru
CHARACTERISTIC REACTIONS FOR II GROUP COMPOUNDS:
REACTIONS OF AMIDES
EXPERIMENT OBSERVATION INFERENCE
Alkali test
A pinch or a drop of organic
compound + 10 % NaOH, boiled
and exposed to a wet red litmus
paper to the vapours.
A glass rod dipped in Conc. HCl
is exposed to the vapours.
Pungent smelling gas
which turns red litmus
blue.
Dense white fumes are
formed
It is an Amide
Biuret test
A pinch or a drop of organic
compound is heated in a dry test
tube till all ammonia is expelled
in the form of white fumes. The
solid melts and then solidifies on
cooling. To the white residue a
few drops of NaOH solution + A
few drops of CuSO4 Solution
along the sides of the test tube.
Pink or purple solution. It is a special Amide ( Urea )
Page 13 of 32
DOS & R in Organic Chemistry, Tumkur University, Tumakuru
REACTIONS OF SUGARS: (Carbohydrates)
EXPERIMENT OBSERVATION INFERENCE
A pinch or a drop of organic
compound + con. H2SO4 and
heated.
Charring takes place and
a black product is formed
It is a carbohydrates
Molisch’s test
Solution of the compound in
water + alcoholic α- napthol
soloution + Conc. H2SO4 along
the sides of the test tube.
Violet ring is formed It is a carbohydrate
Sliver mirror test
Solution of the compound in
water + Tollen’s reagent. The
test tube is heated on a water
bath.
Silver mirror
Or
Black precipitate
Reducing Sugar
No silver mirror
Or
No black precipitate
Non reducing sugar
Preparation of Tollen’s regent: A few drops of silver nitrate + a drop of sodium hydroxide
to get a brown ppt + ammonium hydroxide drop wisely till the brown ppt. Just disappears.
The clear solution is called Tollen’s reagent
Benedict’s test
Solution of the compound in
water + Benedict’s solution,
boiled
Green brown or red
colour
Reducing sugar
No change Non reducing sugar
CHO
OHH
HHO
OHH
OHH
CH2OH
O
HO
CHO
OH
OHO
O
OH
H2SO4
-3H2O
H2SO4
-H2O
Purple- colored dye
[O]
Hexose
5-hydroxymethyl
furfural 1-naphthol
CHO
OHH
HHO
OHH
OHH
CH2OH
[Ag(NH3)2]OH
Hexose
(Tollens reagent)
COO-
NH4
+
OHH
HHO
OHH
OHH
CH2OH
Gluconic acid
Ag
Silver
mirror
Page 14 of 32
DOS & R in Organic Chemistry, Tumkur University, Tumakuru
.
CHO
OHH
HHO
OHH
OHH
CH2OH
Cu(Citrate) complex
Hexose
(Benedicts reagent)
COOH
OHH
HHO
OHH
OHH
CH2OH
Gluconic acid
Cu2O
Brick-Red
Precipitate
HO
O
OH
OOH
OHO
Cu2+
Page 15 of 32
DOS & R in Organic Chemistry, Tumkur University, Tumakuru
CHARACTERISTIC REACTIONS OF III GROUP COMPOUNDS
REACTIONS OF AMINES
EXPERIMENT OBSERVATION INFERENCE
A pinch or a drop of organic
compound in a dry test tube + acetyl
chloride or benzoyl chloride drop by
drop with shaking.
A vigorous reaction takes place
with the evolution of heat and a
solid separates out.
It is a primary amine
or secondary amine.
Carbylamine test
A pinch or a drop of organic
compound + a few drops of
chloroform + Alcoholic KOH
solution. Heat the mixture for few
minutes.
A foul smell of carbylamine
[foul smell is destroyed by
adding con.HCl]
It is a primary amine.
Diazotisation and coupling reaction:
A pinch or a drop of organic
compound is dissolved in excess of
dil.HCl and cooled in ice + ice cold
solution of sodium nitrite.
A pale yellow clear
solution.
Primary amine
Yellow oil Secondary amine
Red oil Tertiary amine
R NH2
Cl
O
R
N
H
O
HCl
R
N
H
R'
R
N
O
R'
or or
Cl
O R
N
H
O
HCl
R NH2
R
N
H
R'
R
N
O
R'
or or
Aliphatic-NH2
CHCl3 3KOH
Aliphatic-NC
3KCl 3H2O
Aromatic-NH2 Aromatic-NC
or or
NH2 N
NaNO2
HCl N
Cl-
R-N2
+
Cl-
or or
R-NH2 (Unstable)
1o
-amine
NH N
NaNO2
HCl
R R
NO
N
NO
RR'
H
N
R'R
or or
2o
-amine
Page 16 of 32
DOS & R in Organic Chemistry, Tumkur University, Tumakuru
a) The above pale yellow clear
solution + beta-napthol in NaOH.
A red dye is formed.
Primary amine is
confirmed.
b) The above yellow oil +
con.H2SO4 slowly. Diluted with
water + excess of NaOH
Red solution turns blue or green.
Secondary amine is
confirmed.
N
NaNO2
HCl
R'
R
N
R'
R
ON
N
R'R
R"
N
R'R
R"
N=O
Cl-
3o
-amine
or or
N
N
Cl-
OH
NaOH
HO
N
N
Red-dye
Page 17 of 32
DOS & R in Organic Chemistry, Tumkur University, Tumakuru
CHARACTERISTIC REACTIONS OF GROUP IV (A):
REACTION OF CARBOXYLIC ACIDS
EXPERIMENT OBSERVATION INFERENCE
Litmus test
A pinch or a drop of organic
compound + water a piece of blue
litmus paper, shaken well.
Blue litmus paper turns red. It is a carboxylic acid.
Bicarbonate test
A pinch or a drop of organic
compound + 5% NaHCO3 solution,
shaken well.
Slow effervescence takes
place with the evolution of
CO2.
It is a carboxylic acid.
Esterification test
A pinch or a drop of organic
compound + 3-4 drops of ethyl
alcohol + 2-3 drops of con.H2SO4.
The mixture is heated and poured
into a beaker containing Na2CO3
solution.
Fruity odour
Carboxylic acid is
confirmed.
Neutral Ferric chloride test
A pinch or a drop of organic
compound + 2cm3
of water +
neutral Fecl3 solution.
Violet colour It is a phenolic acid.
No violet colour It is a carboxylic acid.
R COOH NaHCO3 R COONa CO2 H2O
warm
R COOH H2OC2H5OH R COOC2H5
Con.H2SO4
COOH
OH
FeCl3
COO
O
H
Fe
3
HCl
(Violet color)
Page 18 of 32
DOS & R in Organic Chemistry, Tumkur University, Tumakuru
CHARACTERISTIC REACTIONS OF GROUP IV (B):
REACTIONS OF PHENOLS
EXPERIMENT OBSERVATION INFERENCE
Ferric Chloride test
A pinch or a drop of organic
compound dissolved in water
+ a few drops of neutral
ferric chloride solution.
Violet or pink
Or
Dirty green solution
It is a phenolic compound
Bromine-water test
A pinch or a drop of organic
compound + bromine water
drop wisely with shaking
Reddish brown color of
bromine is discharged with
white precipitate
It is a phenolic compound
Phthalein fusion test
A pinch or a drop of organic
compound in a dry test tube +
same quantity of phthalic
anhydride + 2 drops of conc.
H2SO4, heat gently. Cooled
and poured into excess of dil
NaOH solution taken in a
beaker.
Pink solution
Or
Yellowish red with green
fluorescence
Or
Blue solution
Phenolic compound is
confirmed
OH
FeCl3
O
Fe
O
O
3HCl
Blue-Violet
OH
Br2 3HBr
OH
BrBr
Br
White Precipitate
Page 19 of 32
DOS & R in Organic Chemistry, Tumkur University, Tumakuru
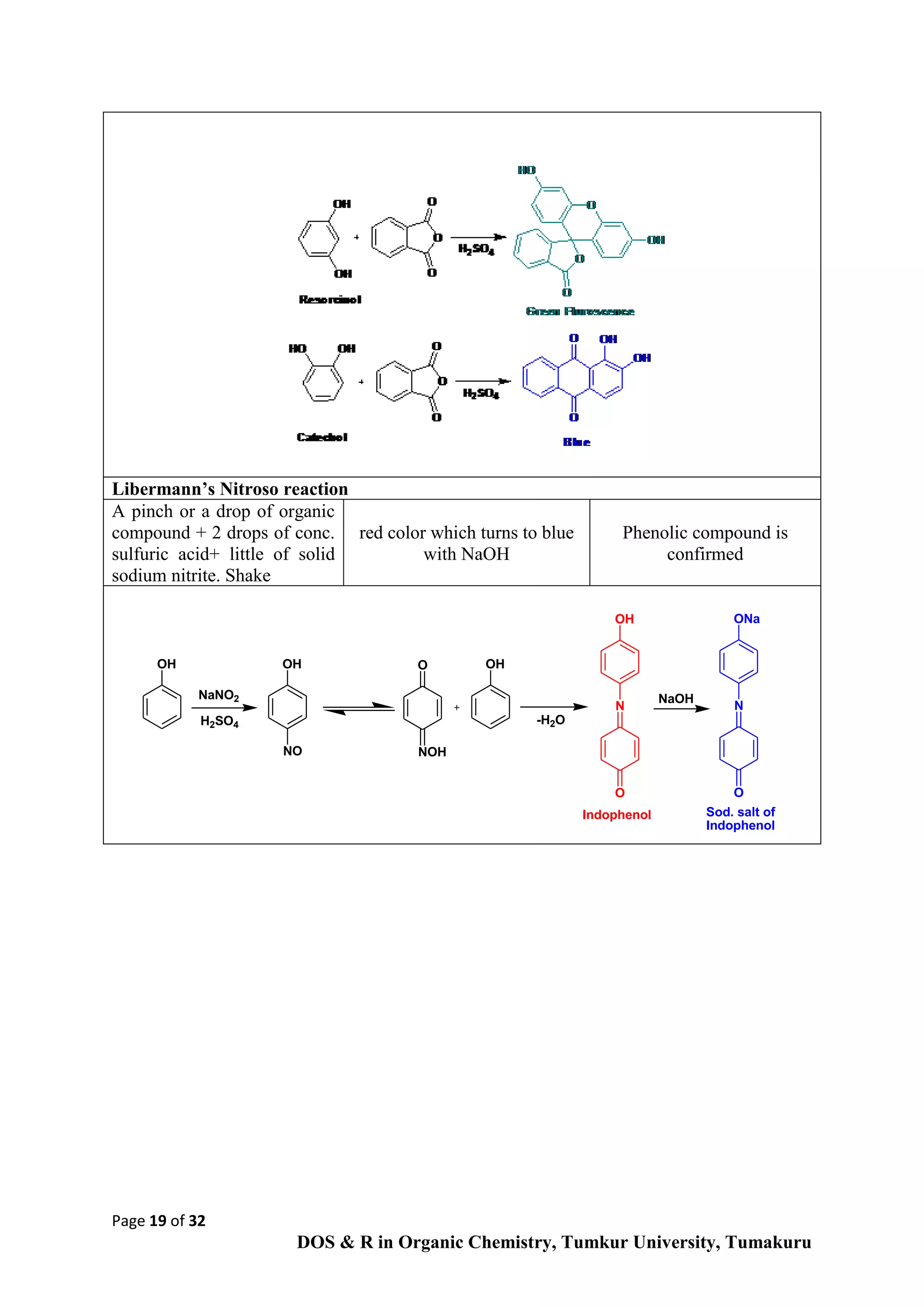
Libermann’s Nitroso reaction
A pinch or a drop of organic
compound + 2 drops of conc.
sulfuric acid+ little of solid
sodium nitrite. Shake
red color which turns to blue
with NaOH
Phenolic compound is
confirmed
OH OH
NO
O
NOH
OH
OH
N
O
ONa
N
O
NaNO2
H2SO4 -H2O
NaOH
Indophenol Sod. salt of
Indophenol
Page 20 of 32
DOS & R in Organic Chemistry, Tumkur University, Tumakuru
CHARACTERISTIC REACTIONS FOR V GROUP COMPOUNDS
REACTIONS OF ALDEHYDES AND KETONES
EXPERIMENT OBSERVATION INFERENCE
2,4 – Dinitrophenyl hydrazine test
A pinch or a drop of organic compound
+ few drops of 2, 4–dinitrophenyl
hydrazine reagent.
Yellow or orange red
precipitate
It is an aldehyde or
ketone.
Schiff ’s reagent test
A pinch or a drop of organic compound
+ 2-3 drops of Schiff’s reagent shaken
well.
Pink colored solution. It is an aldehyde.
No pink colored solution. It is a ketone.
Tollen’s reagent test
A pinch or a drop of organic compound
+ Tollen’s reagent, heat on a water bath
Silver mirror or black
precipitate.
It is an aldehyde
No silver mirror or black
precipitate
It is a ketone
Sodium nitroprusside test
HN
HN
H2N
S
O
OH
S
HO
O
SO3H
NH
NHHN
S
O
S O
HSO3
-
H
R
HO
O
O
H
R
OH
H
O
R2
NH2
H2N
Cl-
NH2
NaHSO3
p-Rosaniline
NH
H2N
NO2
NO2R
O
H
R
O
R'
or
NH
N
NO2
NO2
R H
NH
N
NO2
NO2
R R'
or
H3O+
2,4-dinitrophenylhydrazine
[Ag(NH3)2]OH
(Tollens reagent)
Ag
Silver
mirror
R H
O
R O-
NH4
+
O
Aldehyde carboxylate
salt
3NH3 H2O
Page 21 of 32
DOS & R in Organic Chemistry, Tumkur University, Tumakuru
A pinch or a drop of organic compound
+ few drops of sodium nitroprusside +
NaOH solution.
A red solution It is a ketone
Iodoform reaction
A pinch or a drop of organic compound
+ iodine solution + excess of NaOH
solution, warm.
Yellow precipitate is
formed or hospital smell
It is a methyl ketone
R CH3
O
R CH2
-
O
Methyl Ketone
NaOH Fe(CN)5NONa2
[Fe(CN)5NO(CH2COR)]2-
Red solution
Sodiumnitroprusside
R CH3
O
R O-
Na+
O
Methyl Ketone
4 NaOH3 I2 CHI3 3 NaI 3 H2O
Iodoform solid
warm
Page 22 of 32
DOS & R in Organic Chemistry, Tumkur University, Tumakuru
REACTION OF ESTERS
Phenolpthalein test
A pinch or a drop of organic
compound + 2 drops of NaOH + 1
drop of phenolphthalein,
continuously shaken for few
minutes.
Pink color disappears It is an ester.
Saponification test
Compound + 20% NaOH boiled for
about 10 minutes, cooled + excess
of dil.H2SO4
A white precipitate is formed
It is an ester of aromatic
acid
ONa
O
O
OH
R OR'
O
NaOH
R OH
O
R'OH
O
O
HO
OH
(Pink) (Colorless)
OR'
O
NaOH
ONa
O
R'OH
OH
O
Heat H2SO4
Page 23 of 32
DOS & R in Organic Chemistry, Tumkur University, Tumakuru
CHARACTERISTIC REACTIONS FOR VI GROUP COMPOUNDS
REACTIONS FOR HYDROCARBONS
If halogen is absent, reactions for hydrocarbons are carried out. If halogen is present,
raactions for halogenated hydrocarbons are carried out.
EXPERIMENT OBSERVATION INFERENCE
Sulphonation
2-3 drops of liquid or a pinch of solid in
the dry test tube + 5cm3
of con.H2SO4
treated with shaking.
Compound dissolves to
form a homogeneous
solution
It is an aromatic
hydrocarbon
Nitration
2-3 drops of con.HNO3 + 2-3 drops of
con.H2SO4 in dry test tube. Add 5 drops
of liquid or a pinch of solid of given
compound. Heated on water bath on a
low flame and poured into ice water.
Yellow solid or yellow oil
is formed
It is an aromatic
hydrocarbon
Con.H2SO4
SO3H
Con. HNO3
Con. H2SO4
NO2
NO2
Page 24 of 32
DOS & R in Organic Chemistry, Tumkur University, Tumakuru
REACTIONS OF HALOGENATED HYDROCARBONS
EXPERIMENT OBSERVATION INFERENCE
Nitration
2-3 drops of con.HNO3+ 2-3
drops of con.H2SO4 in dry
test tube + 2-3 drops of liquid
or a pinch of solid of given
compound. Heated carefully
with shaking cooled, poured
into ice water.
Yellow oil or yellow solid
separates out.
Aromatic hydrocarbon or
halogenated aromatic
hydrocarbon.
Beilstein’s test
A copper wire is ignited in
non-luminous flame till it
doesn’t impart green color.
Then it is plunged into given
organic compound and again
ignited.
A bluish green color is
imparted to the flame.
Given compound contains
halogen.
Silver nitrate test
A pinch or a drop of organic
compound + alcoholic silver
nitrate. Shake and warm on a
water bath.
Curdy white precipitate
Halogen is in side chain of
hydrocarbon (Aralkyl
halide).
No precipitate
Halogen is on nucleus of
hydrocarbon (Aryl halide)
Con. HNO3
Con. H2SO4
Cl
NO2
Cl
Con. HNO3
Con. H2SO4
NO2
Cl Cl
Cu O2 2 CuO 4R-X 2CuX2
2CuX2 Blue-Gree Light
Page 25 of 32
DOS & R in Organic Chemistry, Tumkur University, Tumakuru
CHARACTERISTIC REACTIONS FOR VII GROUP COMPOUNDS
REACTIONS OF ANILIDES
EXPERIMENT OBSERVATION INFERENCE
Hydrolysis, diazotization and coupling
A pinch or a drop of organic
compound + few drops of
con.H2SO4 boiled for few
minutes, cooled in ice + ice
cold NaNO2 and ice cold β-
napthol in NaOH
Red dye is formed Anilide is present
Carbylamine test
A pinch or a drop of organic
compound + 2cm3
of 10%
NaOH and heated, cooled+
few drops of chloroform and
it is heated.
A foul smell of carbylamine Anilide is present
N
N
Cl-
OH
NaOH
HO
N
N
Red-dye
HN
O
NH2
H2SO4
NaNO2
HCl
HN
O
NH2
NaOH CHCl3
NaOH
NC
Page 26 of 32
DOS & R in Organic Chemistry, Tumkur University, Tumakuru
REACTIONS FOR AMIDES
EXPERIMENT OBSERVATION INFERENCE
Alkali test
A pinch or a drop of organic
compound + 10 % NaOH,
boiled and exposed to a wet
red litmus paper to the
vapors.
A glass rod dipped in conc.
HCl is exposed to the vapors.
Pungent smelling gas which
turns red litmus blue.
Dense white fumes are
formed
Amide is present
Alkaline Hydrolysis
A pinch or a drop of organic
compound + 2cm3
of 10%
NaOH and heated, cooled +
dil. HCl
White precipitate Aromatic amide is present
Hydroxamic acid test
A pinch or a drop of organic
compound + H2O2 + FeCl3
solution
Violet color Aromatic amide is present
R NH2
O
NaOH
R ONa
O
NH3
NH2
O
NaOH
ONa
O
NH3
OH
O
H3O+
NH2
O
H2O2
NHOH
O
NHO
O
FeCl3
H2O
Fe
3
Ferric hydroxamate
complex
Page 27 of 32
DOS & R in Organic Chemistry, Tumkur University, Tumakuru
REACTIONS OF NITRO COMPOUND
EXPERIMENT OBSERVATION INFERENCE
Reduction test
3-4 drops of compound + tin granules + con. HCl boiled with shaking till the yellow
compound dissolves completely to form a colorless solution, filtered and decanted. The clear
solution is divided into two parts
Part I is cooled in ice + ice
cold nitrite solution + β-
napthol in NaOH
A red dye is formed It is a nitro compound
Part II + chloroform +
excess of NaOH, warmed
A foul smell of carbylamine Nitro compound is confirmed
Janowsky’s reaction
A pinch or a drop of organic
compound + acetone +
NaOH solution, shaken well
Pale yellow or colorless
solution
It is mono nitro compound
Pink or blue solution It is dinitro compound
NO2 NH2
Sn
HCl
N
N
Cl-
OH
NaOH
HO
N
N
Red-dye
NaNO2
HCl
NH2
NH2
CHCl3
NaOH
NC
O NaOH O
NO2
NO2
NO2
N
O
O
H
O
Pink
Na
Page 28 of 32
DOS & R in Organic Chemistry, Tumkur University, Tumakuru
CHARACTERISTIC DERIVATIVES FOR THE FUNCTIONAL
GROUPS:
PHENOLS
a) Benzoyl derivative :
1 gm of phenol is dissolved in 5ml of 10% NaOH in a test tube + a few drops of
benzoyl chloride, shaken well, filtered, washed and the sample is dried.
OH O C6H5
O
C6H5
O
Cl
b) Bromo derivative:
Dissolve the given compound in 2-3ml of water and add saturated bromine water
dropwise until a solid seperates out. Shaken well, filtered, washed and dried.
AMIDES
Acid Derivative:- Amide + 10% NaOH. Boiled till there is no smell of ammonia, cooled and
acidified with conc. HCl .White precipitate of acid is filtered, washed and dried.
SPECIAL AMIDE
Urea-nitrate Derivative for Urea:- Concentrate solution of urea in small amount of water +
conc. HNO3 with shaking till white precipitate of urea nitrate is formed, cooled filtered and
dried.
H2N
O
NH2
HNO3
H2N
OH
NH2
NO3
OH
Br2 3HBr
OH
BrBr
Br
White Precipitate
NH2
O
NaOH
ONa
O
NH3
OH
O
H3O+
Page 29 of 32
DOS & R in Organic Chemistry, Tumkur University, Tumakuru
AMINES
a) Acetyl Derivative:- (For primary and secondary amines): 1 g of amine in a dry test
tube + acetyl chloride or acetyl anhydride drop wise. Vigorous reaction takes place
with the formation of white solid of acetyl derivative. Filtered, washed, and dried.
b) Benzoyl Derivative:- (For primary and secondary amines): Amine in a dry test tube +
benzoyl chloride drop wise. Vigorous reaction takes place with the formation of a
white solid of benzoyl derivative. Filtered, washed and dried
c) Picrate Derivative for Tertiary Amine:- Amine + alcohol +saturated solution of
picric acid in hot alcohol, cooled. The picrate derivative separates. Filtered, washed,
dried.
OH
O2N NO2
NO2
N
R'
R"
R
N R'
R"
R
H
O
O2N NO2
NO2
CARBOXYLIC ACIDS
a) Acetyl Derivative for Phenolic acid:- Compound + acetic acid anhydride and glacial
acetic acid. Heated and poured the mixture into water. Acetyl derivative separates.
Filtered, washed and dried.
COOH
OH
COOH
O
O
O
O
O
OH
O
Cl
O R
N
H
O
HCl
R NH2
R
N
H
R'
R
N
O
R'
or or
R NH2
Cl
O
R
N
H
O
HCl
R
N
H
R'
R
N
O
R'
or or
Page 30 of 32
DOS & R in Organic Chemistry, Tumkur University, Tumakuru
b) Bromo Derivative for Phenolic acid:- Phenolic acid + water. Bromine – bromide
solution slowly till color of bromine persists, shaken well. Filtered, washed and dried.
COOH
OH
COOH
OH
Br2
Br
c) Dibromo Derivative for Unsaturated acids:- Compound in a dry test tube +
bromine in acetic acid. Heated for about 5 minutes on a water bath, cool the contents
under the tap water when dibromo derivative separates as a solid. Filter, wash and
dried.
Br2
OH
O
OH
OBr
Br
d) Nitro Derivative for acids:- Compound + 2 cm3
of nitrating mixture (equal volume
of conc. HNO3 + conc. H2SO4) Heated for some time, cooled and poured into water
when nitro derivative separates as a solid. Filtered, washed and dried.
COOH COOH
NO2
Con. H2SO4
Con. HNO3
ALDEHYDES AND KETONES
a) 2,4-Dinitrophenyl hydrazine derivative: compound + a few drops of 2,4-
dinitrophenyl hydrazine when orange red or yellow ppt of 2,4-Dinitrophenyl
hydrazone separates, filtered, washed and dried.
b) Oxime derivatives: Hydroxylamine hydrochloride is dissolved in water. 10% sodium
hydroxide and carbonyl compound dissolved in alcohol are added, the mixture
warmed on a steam bath for 10 min and then cooled in ice. Crystallisation is induced
by scratching the sides of the test tube with a glass rod.
NH
H2N
NO2
NO2R
O
H
R
O
R'
or
NH
N
NO2
NO2
R H
NH
N
NO2
NO2
R R'
or
H3O+
2,4-dinitrophenylhydrazine
Page 31 of 32
DOS & R in Organic Chemistry, Tumkur University, Tumakuru
R
O
H
R
O
R'
NH2OH. HCl
R
N
H
R
N
R'
OH
OH
or or H2O
ALCOHOLS
a) Acid derivative for aromatic alcohols: Compound + 5 cm3
of Na2CO3 solution.
Heated carefully+ excess saturated solution of potassium permanganate till pink color
remains filter. Filtrate + dil.H2SO4 till the solution acidic. On cooling solid derivative
separates filtered, washed and dried.
AROMATIC ESTERS
Acid derivative: Compound + 10 cm3
of 20% NaOH solution, Boiled for 10-15 minutes.
Acidified with dil. HCl and cooled. White precipitate of acid derivative separates as a solid.
Filtered, washed and dried.
HYDROCARBONS
Nitro derivative: (For nuclear halogenated hydrocarbons and Mono nitro compounds)
Compound in a dry test tube + 2cm3
of Nitrating mixture (Equal volume of Conc.H2SO4and
Conc.HNO3) Heat for some time. Cooled and poured into water when nitro derivative
separates as a solid filtered, washed and dried.
NO2
NO2
NO2
Con. H2SO4
Con. HNO3
OR'
O
NaOH
ONa
O
R'OH
OH
O
Heat H2SO4
Con. HNO3
Con. H2SO4
Cl
NO2
Cl
Page 32 of 32
DOS & R in Organic Chemistry, Tumkur University, Tumakuru
ANILIDES
Bromo derivative: Compound + acetic acid + bromine in acetic acid, shaken well and
poured into water. Bromo derivative separates as a solid. Filtered, washed and dried.
H
N Br2 H
N
OO
Br
CARBOHYDRATES
Osazone derivative: Sugar is heated with acetic acid, sodium acetate and phenylhydrazine
hydrochloride solution. Yellow crystals of Osazone derivative separates out. Filtered, washed
and dried.
CHO
OHH
HHO
OHH
OHH
CH2OH
N
HHO
OHH
OHH
CH2OH
HN
NH2
N NH Ph
NH Ph
Phenylosazone derivative
REFERENCES
1. Comprehensive Practical Organic Chemistry: Qualitative
Analysis- V.K. Ahluwalia and S. Dhingra
2. Practical Organic Chemistry- F. G. Mann and B. C. Saunders
3. Online resources

Semi Micro Qualitative Organic chemistry lab manual

  • 1.
    Page 1 of32 DOS & R in Organic Chemistry, Tumkur University, Tumakuru TUMKUR UNIVERSITY TUMAKURU DEPARTMENT OF STUDIES AND RESEARCH IN ORGANIC CHEMISTRY ORGANIC CHEMISTRY PRACTICAL MANUAL Prepared By Dr. S. Sreenivasa Ph.D., D.Sc. Associate Professor Dr. G. Krishnaswamy Ph.D. Faculty 2018-19
  • 2.
    Page 2 of32 DOS & R in Organic Chemistry, Tumkur University, Tumakuru SEPERATION OF BINARY ORGANIC MIXTURE FLOW CHART
  • 3.
    Page 3 of32 DOS & R in Organic Chemistry, Tumkur University, Tumakuru Systematic analysis and identification of Organic Compounds In Qualitative analysis the given mixture is analyzed for functional groups that it contains. Depending upon the quantity of sample used it is classified as Macro Analysis ------------- 0.1 – 1g Semi-micro Analysis ------ 10 – 100 mg Micro Analysis ------------- 1 – 10 mg The analysis of the given organic compound is carried out in the order. I. Preliminary tests. II. Determination of physical constant (boiling point or melting point) III. Detection of elements (nitrogen, sulphur and halogens). IV. Solubility test. V. Characteristic reactions of the functional group. VI. Preparation of suitable solid derivative. VII. Report I. PRELIMINARY TESTS: Test Observation Inference a) Physical State Solid/Liquid b) Color colorless Hydrocarbons, Carbohydrates, Alcohols, Phenols, Aldehydes, Ketones, acids, esters Yellow Nitro compounds Greenish yellow p-Nitroso compounds Reddish orange Nitroamines, azocompounds, Napthaquinones c) Odor Pleasant -fruity Esters Bitter almond odor Benzaldehyde, nitrobenzene, benzonitrile Odor of carbolic soap Phenols, Cresols Pungent or irritating Lower acids, aldehydes, acid halides Fishy odor Aliphatic amines, side chain aromatic amines Sweet odor Chloroform, alcohols Vinegar like Acetic acid Cinnamon like Cinnamaldehyde d) Ignition test: Heat the organic compound on a spatula over a low flame, raising the temperature gradually Burns with a sooty flame Aromatic compounds Burns without sooty flame Aliphatic compounds Ammoniacal odour Urea, Thiourea Charring with the smell of burnt sugar Carbohydrates , tartarates, Citrates
  • 4.
    Page 4 of32 DOS & R in Organic Chemistry, Tumkur University, Tumakuru e) (Test for unsaturation) A)Baeyer’s test: A pinch or a drop of the organic compound + about one cm3 of 5% Sodium carbonate solution +one drop of 1% KMnO4 solution Pink color discharged without brown precipitate Unsaturated compound Pink color discharged with brown precipitate Or No decolorisation Saturated compound B) Bromine water test: A pinch or a drop of the organic compound + Br2 water Decolorization of Br2 water Unsaturated compound C) Bromine in CCl4 test: Dissolve a pinch or a drop of the organic compound in about 2 ml of CCl4, add 2% solution of Br2 in CCl4 Decolorization without evolution of HBr Unsaturated compound Decolorization with evolution of HBr Saturated compound
  • 5.
    Page 5 of32 DOS & R in Organic Chemistry, Tumkur University, Tumakuru f) Beilstein’s test: A copper wire is ignited in non luminous flame till it does not impart green color. Then it is plunged into the given organic compound and again ignited. Green edged flame The given compound may be special amide Or The given compound contains halogen. g) Litmus test: Substance (if liquid) or the solution of the substance in neutral aq. alcohol + moist litmus paper i)Blue litmus turns red Acidic compounds(carboxylic acids, phenols) ii)Red litmus turns blue Basic compounds(amines) iii)No change of color Neutral compounds II. DETERMINATION OF PHYSICAL CONSTANT: (BOILING POINT OR MELTING POINT) If the given compound is a solid determine the melting point is determined, if it is a liquid determine its boiling point is determined. Note: Since the boiling point decreases by one degree for every 1000 feet altitude above the sea level; Corrected boiling point = observed boiling point +/- 3 % correction Physical constant Melting point: o C Boiling point: o C Observed boiling point 3% correction Corrected boiling point o C o C III. DETECTION OF ELEMENTS BY SODIUM FUSION TEST OR LASSAIGNE’S TEST ( NITROGEN , SULPHUR AND HALOGENS): In order to detect the elements in organic compounds, it is necessary to convert them into ionizable inorganic substances so that the ionic tests of inorganic qualitative analysis may be applied. This conversion may be accomplished by several methods, but the best procedure is to fuse the organic compound with metallic sodium (Lassaigne’s test). Lassaigne’s test consists of (a) Preparation of Sodium fusion extract (b) Test for elements(Nitrogen, Sulphur or halogen) Cu O2 2 CuO 4R-X 2CuX2 2CuX2 Blue-Gree Light
  • 6.
    Page 6 of32 DOS & R in Organic Chemistry, Tumkur University, Tumakuru (a) Preparation of Sodium fusion extract: Take a small piece of clean dry sodium (approx.50-75 mg) in a clean dry ignition tube. Heat the tube slowly just to melt the Sodium into a silvery globule. Remove it from the flame and add the compound (20-25 mg or a drop).First heat on a low flame and then on a stronger flame until it becomes red hot. Keep it in the red hot condition for 1-2 minutes (until the compound completely reacted) and then plunge into 10-15 ml of distilled water kept in a porcelain basin. Boil the contents of the porcelain basin for 2-3 minutes and filter .This filtrate is called Sodium fusion extract or stock solution .The filtrate, the Lassaigne’s extract, is used for testing the extra elements. Note: The filtrate should be colorless. Repeat the experiment if the filtrate is not colorless. Na +C + N → NaCN 2Na+S →Na2S Na + X →NaX (X= Cl , Br , I) Na+ C+ N+ S → NaSCN Precautions: 1. Do not touch Sodium with your fingers; handle it with forceps. 2. There may be a slight explosion with compounds like nitroalkanes , azides, diazonium salts, chloroform and carbon tetrachloride.(safety goggles should be worn to avoid getting hurt by accidents).
  • 7.
    Page 7 of32 DOS & R in Organic Chemistry, Tumkur University, Tumakuru (b) Test for elements(Nitrogen, Sulphur or halogens) Test for Nitrogen Experiment Observation Inference 1cm3 of stock solution+ few crystals of Ferrous sulphate (50-70mg), boiled; cooled + dil.H2SO4 or dil. HCl A blue precipitate or A Green solution Nitrogen is present Test for Sulphur: 1cm3 of stock solution + few drops of 1% sodium nitroprusside solution and shake well. Purple or pink colour Sulphur is present S2- + [Fe(CN)5NO]2- → [Fe(CN)5NOS]4- 1cm3 of stock solution+ acetic acid + lead acetate Black precipitate Sulphur is present Pb(CH3COO)2 + S2-→ PbS ↓ + 2CH3COO- Test for halogens: a)1cm3 of stock solution + a few drops of Conc.HNO3 Boiled, cooled + Silver nitrate solution drop by drop.(If N and S are absent ,boiling is not required) White precipitate easily soluble in NH4OH Chlorine is present Pale yellow precipitate sparingly soluble in NH4OH Bromine is present Yellow precipitate soluble in NH4OH Iodine is present NaCl + AgNO3 AgCl↓ + NaNO3 white precipitate AgCl↓ + NH4OH → [Ag(NH3)2]Cl + 2H2O Soluble complex FeSO4 2 NaOH Fe(OH)2 Na2SO4 Fe(OH)2 2 NaCN Fe(CN)2 2 NaOH Fe(CN)2 2 NaCN Na4[Fe(CN)6] 3 Na4[Fe(CN)6] 4 FeCl3 Fe4[Fe(CN)6]3 12 NaCl Ferric ferrocyanide (Prussian blue color) Na4[Fe(CN)6] 2 Fe2(SO4)3 Fe4[Fe(CN)6]3 Na2SO4 Ferric ferrocyanide (Prussian blue color) [OR]
  • 8.
    Page 8 of32 DOS & R in Organic Chemistry, Tumkur University, Tumakuru NaBr + AgNO3 AgBr↓ + NaNO3 Pale yellow precipitate NaI + AgNO 3 AgI↓ + NaNO3 Yellow precipitate i) Globule test:(Distinction among halogens : To be performed if the above test is positive) b) 1cm3 of stock solution add about 2 ml of dil.HCl till acidic + few drops of CCl4+dropwise addition of freshly prepared Chlorine water & shaken well. Colorless globule Chlorine is present Orange red globule Bromine is present Violet globule Iodine is present Preparation of Chlorine water: A drop of KMnO4+Conc.HCl is added dropwise till colorless. The clear solution contains dissolved Chlorine. Globule test: Acidify a small portion of Lassaigne’s extrct with dil HCl and add a few drops of CCl4.Now add freshly prepred Chlorine water and shake vigorously. (a) Cl2 + NaBr → Br2 + 2NaCl ( From sodium fusion extract) Appearance of orange color in the CCl4 layer indicates the presence of Bromine (b) Cl2 + NaI → Br2 + 2NaI ( From sodium fusion extract)Appearance of violet color in the CCl4 layer indicates the presence of Iodine.
  • 9.
    Page 9 of32 DOS & R in Organic Chemistry, Tumkur University, Tumakuru IV. SOLUBILITY TEST: The purpose of this test is to find out the correct group to which the organic compound belongs. For this purpose different solvents are tried and the solubility of the compound is determined. This gives the group and probable functional group in that solubility group. Then characteristic reactions for the various classes of compounds of that group are carried out to find the extra functional group. A drop of the organic liquid or a pinch of the organic solid is shaken well with the following order. 1. Water 2. Ether (if soluble in water) 3. 5% HCl 4. 5% NaOH 5. 5% NaHCO3 6. Conc.H2SO4 The following instructions must be followed while carrying the solubility test: 1. If the compound is soluble in water, solubility in ether should not be carried out . 2. While doing the solubility test with Conc. H2SO4 or ether , a dry test tube must be used. 3. The above order of solvents should not be changed. 4. If the organic compound is soluble in earlier groups , it is not necessary to proceed further 5. If the compound contains Nitrogen and is insoluble in water and 5% HCl it belongs to VII group. Then solubility in 5% NaOH and Conc.H2SO4 need not be carried out. 6. Solubility of organic solid or liquid is indicated by the formation of homogeneous solution. 7. Formation of a precipitate or color or evolution of heat is also an indication of solubility in con. H2SO4. 8. Write the solubility chart and use (+) or (-) sign (i.e. leave it blank) for the groups for which the solubility test is not carried out. 9. Write the inference indicating the solubility (group) and classes of compounds.
  • 10.
    Page 10 of32 DOS & R in Organic Chemistry, Tumkur University, Tumakuru SOLUBILITY TABLE Soluble In water Insoluble in Water Soluble in ether Insoluble in ether (Nitrogen present or absent) Soluble in 5% HCl (Nitrogen present) Soluble in 5% NaOH Nitrogen absent Nitrogen present Soluble in 5% NaHCO3 Insoluble in 5% NaHCO3 Soluble in cold concentrated H2SO4 Insoluble in cold concentrated H2SO4 Indifferent group I Group II Group III Group IV A Group IV B Group V Group VI Group VII Group R-NH2 R-OH R-COOH R-CHO R-CO-R’ (low MW) H2N NH2 O CHO OHH HHO OHH OHH CH2OH NH2 R R OH O OH R R H O R R' O R OR O X X NHR O H N O NO2
  • 11.
    Page 11 of32 DOS & R in Organic Chemistry, Tumkur University, Tumakuru V. FUNCTIONAL GROUP ANALYSIS CHARACTERISTICS REACTIONS FOR I GROUP COMPOUNDS REACTIONS OF ALCOHOLS EXPERIMENT OBSERVATION INFERENCE Neutral Ferric chloride Test A pinch or a drop of organic compound dissolved in water + a few drops of neutral ferric chloride solution. No Violet or pink Or Dirty green solution It is a Alcohol Ceric ammonium nitrate A pinch or a drop of organic compound dissolved in water + a few drops of ceric ammonium nitrate solution Red color observed It is a Alcohol Bromine water Test A pinch or a drop of organic compound + water + bromine water drop wisely with shaking No white precipitate It is a Alcohol Chromic acid Test A pinch or a drop of organic compound + few crystals of K2Cr2O7 + dil. HCl Green precipitate Primary / Secondary alcohol No green precipitate Tertiary alcohol Lucas test A pinch or a drop of organic compound + A solution of zinc chloride in concentrated hydrochloric acid. Cloudy dispersion or separate layer immediately Tertiary alcohol Cloudy dispersion upon standing Secondary alcohol Heating required to reaction to occur Primary alcohol 2 R OH (NH4)2Ce(NO3)6 (ROH)2Ce(NO3)6 2 NH4NO3 Alkoxy cerium (IV)compound (Pink or Red color)
  • 12.
    Page 12 of32 DOS & R in Organic Chemistry, Tumkur University, Tumakuru CHARACTERISTIC REACTIONS FOR II GROUP COMPOUNDS: REACTIONS OF AMIDES EXPERIMENT OBSERVATION INFERENCE Alkali test A pinch or a drop of organic compound + 10 % NaOH, boiled and exposed to a wet red litmus paper to the vapours. A glass rod dipped in Conc. HCl is exposed to the vapours. Pungent smelling gas which turns red litmus blue. Dense white fumes are formed It is an Amide Biuret test A pinch or a drop of organic compound is heated in a dry test tube till all ammonia is expelled in the form of white fumes. The solid melts and then solidifies on cooling. To the white residue a few drops of NaOH solution + A few drops of CuSO4 Solution along the sides of the test tube. Pink or purple solution. It is a special Amide ( Urea )
  • 13.
    Page 13 of32 DOS & R in Organic Chemistry, Tumkur University, Tumakuru REACTIONS OF SUGARS: (Carbohydrates) EXPERIMENT OBSERVATION INFERENCE A pinch or a drop of organic compound + con. H2SO4 and heated. Charring takes place and a black product is formed It is a carbohydrates Molisch’s test Solution of the compound in water + alcoholic α- napthol soloution + Conc. H2SO4 along the sides of the test tube. Violet ring is formed It is a carbohydrate Sliver mirror test Solution of the compound in water + Tollen’s reagent. The test tube is heated on a water bath. Silver mirror Or Black precipitate Reducing Sugar No silver mirror Or No black precipitate Non reducing sugar Preparation of Tollen’s regent: A few drops of silver nitrate + a drop of sodium hydroxide to get a brown ppt + ammonium hydroxide drop wisely till the brown ppt. Just disappears. The clear solution is called Tollen’s reagent Benedict’s test Solution of the compound in water + Benedict’s solution, boiled Green brown or red colour Reducing sugar No change Non reducing sugar CHO OHH HHO OHH OHH CH2OH O HO CHO OH OHO O OH H2SO4 -3H2O H2SO4 -H2O Purple- colored dye [O] Hexose 5-hydroxymethyl furfural 1-naphthol CHO OHH HHO OHH OHH CH2OH [Ag(NH3)2]OH Hexose (Tollens reagent) COO- NH4 + OHH HHO OHH OHH CH2OH Gluconic acid Ag Silver mirror
  • 14.
    Page 14 of32 DOS & R in Organic Chemistry, Tumkur University, Tumakuru . CHO OHH HHO OHH OHH CH2OH Cu(Citrate) complex Hexose (Benedicts reagent) COOH OHH HHO OHH OHH CH2OH Gluconic acid Cu2O Brick-Red Precipitate HO O OH OOH OHO Cu2+
  • 15.
    Page 15 of32 DOS & R in Organic Chemistry, Tumkur University, Tumakuru CHARACTERISTIC REACTIONS OF III GROUP COMPOUNDS REACTIONS OF AMINES EXPERIMENT OBSERVATION INFERENCE A pinch or a drop of organic compound in a dry test tube + acetyl chloride or benzoyl chloride drop by drop with shaking. A vigorous reaction takes place with the evolution of heat and a solid separates out. It is a primary amine or secondary amine. Carbylamine test A pinch or a drop of organic compound + a few drops of chloroform + Alcoholic KOH solution. Heat the mixture for few minutes. A foul smell of carbylamine [foul smell is destroyed by adding con.HCl] It is a primary amine. Diazotisation and coupling reaction: A pinch or a drop of organic compound is dissolved in excess of dil.HCl and cooled in ice + ice cold solution of sodium nitrite. A pale yellow clear solution. Primary amine Yellow oil Secondary amine Red oil Tertiary amine R NH2 Cl O R N H O HCl R N H R' R N O R' or or Cl O R N H O HCl R NH2 R N H R' R N O R' or or Aliphatic-NH2 CHCl3 3KOH Aliphatic-NC 3KCl 3H2O Aromatic-NH2 Aromatic-NC or or NH2 N NaNO2 HCl N Cl- R-N2 + Cl- or or R-NH2 (Unstable) 1o -amine NH N NaNO2 HCl R R NO N NO RR' H N R'R or or 2o -amine
  • 16.
    Page 16 of32 DOS & R in Organic Chemistry, Tumkur University, Tumakuru a) The above pale yellow clear solution + beta-napthol in NaOH. A red dye is formed. Primary amine is confirmed. b) The above yellow oil + con.H2SO4 slowly. Diluted with water + excess of NaOH Red solution turns blue or green. Secondary amine is confirmed. N NaNO2 HCl R' R N R' R ON N R'R R" N R'R R" N=O Cl- 3o -amine or or N N Cl- OH NaOH HO N N Red-dye
  • 17.
    Page 17 of32 DOS & R in Organic Chemistry, Tumkur University, Tumakuru CHARACTERISTIC REACTIONS OF GROUP IV (A): REACTION OF CARBOXYLIC ACIDS EXPERIMENT OBSERVATION INFERENCE Litmus test A pinch or a drop of organic compound + water a piece of blue litmus paper, shaken well. Blue litmus paper turns red. It is a carboxylic acid. Bicarbonate test A pinch or a drop of organic compound + 5% NaHCO3 solution, shaken well. Slow effervescence takes place with the evolution of CO2. It is a carboxylic acid. Esterification test A pinch or a drop of organic compound + 3-4 drops of ethyl alcohol + 2-3 drops of con.H2SO4. The mixture is heated and poured into a beaker containing Na2CO3 solution. Fruity odour Carboxylic acid is confirmed. Neutral Ferric chloride test A pinch or a drop of organic compound + 2cm3 of water + neutral Fecl3 solution. Violet colour It is a phenolic acid. No violet colour It is a carboxylic acid. R COOH NaHCO3 R COONa CO2 H2O warm R COOH H2OC2H5OH R COOC2H5 Con.H2SO4 COOH OH FeCl3 COO O H Fe 3 HCl (Violet color)
  • 18.
    Page 18 of32 DOS & R in Organic Chemistry, Tumkur University, Tumakuru CHARACTERISTIC REACTIONS OF GROUP IV (B): REACTIONS OF PHENOLS EXPERIMENT OBSERVATION INFERENCE Ferric Chloride test A pinch or a drop of organic compound dissolved in water + a few drops of neutral ferric chloride solution. Violet or pink Or Dirty green solution It is a phenolic compound Bromine-water test A pinch or a drop of organic compound + bromine water drop wisely with shaking Reddish brown color of bromine is discharged with white precipitate It is a phenolic compound Phthalein fusion test A pinch or a drop of organic compound in a dry test tube + same quantity of phthalic anhydride + 2 drops of conc. H2SO4, heat gently. Cooled and poured into excess of dil NaOH solution taken in a beaker. Pink solution Or Yellowish red with green fluorescence Or Blue solution Phenolic compound is confirmed OH FeCl3 O Fe O O 3HCl Blue-Violet OH Br2 3HBr OH BrBr Br White Precipitate
  • 19.
    Page 19 of32 DOS & R in Organic Chemistry, Tumkur University, Tumakuru Libermann’s Nitroso reaction A pinch or a drop of organic compound + 2 drops of conc. sulfuric acid+ little of solid sodium nitrite. Shake red color which turns to blue with NaOH Phenolic compound is confirmed OH OH NO O NOH OH OH N O ONa N O NaNO2 H2SO4 -H2O NaOH Indophenol Sod. salt of Indophenol
  • 20.
    Page 20 of32 DOS & R in Organic Chemistry, Tumkur University, Tumakuru CHARACTERISTIC REACTIONS FOR V GROUP COMPOUNDS REACTIONS OF ALDEHYDES AND KETONES EXPERIMENT OBSERVATION INFERENCE 2,4 – Dinitrophenyl hydrazine test A pinch or a drop of organic compound + few drops of 2, 4–dinitrophenyl hydrazine reagent. Yellow or orange red precipitate It is an aldehyde or ketone. Schiff ’s reagent test A pinch or a drop of organic compound + 2-3 drops of Schiff’s reagent shaken well. Pink colored solution. It is an aldehyde. No pink colored solution. It is a ketone. Tollen’s reagent test A pinch or a drop of organic compound + Tollen’s reagent, heat on a water bath Silver mirror or black precipitate. It is an aldehyde No silver mirror or black precipitate It is a ketone Sodium nitroprusside test HN HN H2N S O OH S HO O SO3H NH NHHN S O S O HSO3 - H R HO O O H R OH H O R2 NH2 H2N Cl- NH2 NaHSO3 p-Rosaniline NH H2N NO2 NO2R O H R O R' or NH N NO2 NO2 R H NH N NO2 NO2 R R' or H3O+ 2,4-dinitrophenylhydrazine [Ag(NH3)2]OH (Tollens reagent) Ag Silver mirror R H O R O- NH4 + O Aldehyde carboxylate salt 3NH3 H2O
  • 21.
    Page 21 of32 DOS & R in Organic Chemistry, Tumkur University, Tumakuru A pinch or a drop of organic compound + few drops of sodium nitroprusside + NaOH solution. A red solution It is a ketone Iodoform reaction A pinch or a drop of organic compound + iodine solution + excess of NaOH solution, warm. Yellow precipitate is formed or hospital smell It is a methyl ketone R CH3 O R CH2 - O Methyl Ketone NaOH Fe(CN)5NONa2 [Fe(CN)5NO(CH2COR)]2- Red solution Sodiumnitroprusside R CH3 O R O- Na+ O Methyl Ketone 4 NaOH3 I2 CHI3 3 NaI 3 H2O Iodoform solid warm
  • 22.
    Page 22 of32 DOS & R in Organic Chemistry, Tumkur University, Tumakuru REACTION OF ESTERS Phenolpthalein test A pinch or a drop of organic compound + 2 drops of NaOH + 1 drop of phenolphthalein, continuously shaken for few minutes. Pink color disappears It is an ester. Saponification test Compound + 20% NaOH boiled for about 10 minutes, cooled + excess of dil.H2SO4 A white precipitate is formed It is an ester of aromatic acid ONa O O OH R OR' O NaOH R OH O R'OH O O HO OH (Pink) (Colorless) OR' O NaOH ONa O R'OH OH O Heat H2SO4
  • 23.
    Page 23 of32 DOS & R in Organic Chemistry, Tumkur University, Tumakuru CHARACTERISTIC REACTIONS FOR VI GROUP COMPOUNDS REACTIONS FOR HYDROCARBONS If halogen is absent, reactions for hydrocarbons are carried out. If halogen is present, raactions for halogenated hydrocarbons are carried out. EXPERIMENT OBSERVATION INFERENCE Sulphonation 2-3 drops of liquid or a pinch of solid in the dry test tube + 5cm3 of con.H2SO4 treated with shaking. Compound dissolves to form a homogeneous solution It is an aromatic hydrocarbon Nitration 2-3 drops of con.HNO3 + 2-3 drops of con.H2SO4 in dry test tube. Add 5 drops of liquid or a pinch of solid of given compound. Heated on water bath on a low flame and poured into ice water. Yellow solid or yellow oil is formed It is an aromatic hydrocarbon Con.H2SO4 SO3H Con. HNO3 Con. H2SO4 NO2 NO2
  • 24.
    Page 24 of32 DOS & R in Organic Chemistry, Tumkur University, Tumakuru REACTIONS OF HALOGENATED HYDROCARBONS EXPERIMENT OBSERVATION INFERENCE Nitration 2-3 drops of con.HNO3+ 2-3 drops of con.H2SO4 in dry test tube + 2-3 drops of liquid or a pinch of solid of given compound. Heated carefully with shaking cooled, poured into ice water. Yellow oil or yellow solid separates out. Aromatic hydrocarbon or halogenated aromatic hydrocarbon. Beilstein’s test A copper wire is ignited in non-luminous flame till it doesn’t impart green color. Then it is plunged into given organic compound and again ignited. A bluish green color is imparted to the flame. Given compound contains halogen. Silver nitrate test A pinch or a drop of organic compound + alcoholic silver nitrate. Shake and warm on a water bath. Curdy white precipitate Halogen is in side chain of hydrocarbon (Aralkyl halide). No precipitate Halogen is on nucleus of hydrocarbon (Aryl halide) Con. HNO3 Con. H2SO4 Cl NO2 Cl Con. HNO3 Con. H2SO4 NO2 Cl Cl Cu O2 2 CuO 4R-X 2CuX2 2CuX2 Blue-Gree Light
  • 25.
    Page 25 of32 DOS & R in Organic Chemistry, Tumkur University, Tumakuru CHARACTERISTIC REACTIONS FOR VII GROUP COMPOUNDS REACTIONS OF ANILIDES EXPERIMENT OBSERVATION INFERENCE Hydrolysis, diazotization and coupling A pinch or a drop of organic compound + few drops of con.H2SO4 boiled for few minutes, cooled in ice + ice cold NaNO2 and ice cold β- napthol in NaOH Red dye is formed Anilide is present Carbylamine test A pinch or a drop of organic compound + 2cm3 of 10% NaOH and heated, cooled+ few drops of chloroform and it is heated. A foul smell of carbylamine Anilide is present N N Cl- OH NaOH HO N N Red-dye HN O NH2 H2SO4 NaNO2 HCl HN O NH2 NaOH CHCl3 NaOH NC
  • 26.
    Page 26 of32 DOS & R in Organic Chemistry, Tumkur University, Tumakuru REACTIONS FOR AMIDES EXPERIMENT OBSERVATION INFERENCE Alkali test A pinch or a drop of organic compound + 10 % NaOH, boiled and exposed to a wet red litmus paper to the vapors. A glass rod dipped in conc. HCl is exposed to the vapors. Pungent smelling gas which turns red litmus blue. Dense white fumes are formed Amide is present Alkaline Hydrolysis A pinch or a drop of organic compound + 2cm3 of 10% NaOH and heated, cooled + dil. HCl White precipitate Aromatic amide is present Hydroxamic acid test A pinch or a drop of organic compound + H2O2 + FeCl3 solution Violet color Aromatic amide is present R NH2 O NaOH R ONa O NH3 NH2 O NaOH ONa O NH3 OH O H3O+ NH2 O H2O2 NHOH O NHO O FeCl3 H2O Fe 3 Ferric hydroxamate complex
  • 27.
    Page 27 of32 DOS & R in Organic Chemistry, Tumkur University, Tumakuru REACTIONS OF NITRO COMPOUND EXPERIMENT OBSERVATION INFERENCE Reduction test 3-4 drops of compound + tin granules + con. HCl boiled with shaking till the yellow compound dissolves completely to form a colorless solution, filtered and decanted. The clear solution is divided into two parts Part I is cooled in ice + ice cold nitrite solution + β- napthol in NaOH A red dye is formed It is a nitro compound Part II + chloroform + excess of NaOH, warmed A foul smell of carbylamine Nitro compound is confirmed Janowsky’s reaction A pinch or a drop of organic compound + acetone + NaOH solution, shaken well Pale yellow or colorless solution It is mono nitro compound Pink or blue solution It is dinitro compound NO2 NH2 Sn HCl N N Cl- OH NaOH HO N N Red-dye NaNO2 HCl NH2 NH2 CHCl3 NaOH NC O NaOH O NO2 NO2 NO2 N O O H O Pink Na
  • 28.
    Page 28 of32 DOS & R in Organic Chemistry, Tumkur University, Tumakuru CHARACTERISTIC DERIVATIVES FOR THE FUNCTIONAL GROUPS: PHENOLS a) Benzoyl derivative : 1 gm of phenol is dissolved in 5ml of 10% NaOH in a test tube + a few drops of benzoyl chloride, shaken well, filtered, washed and the sample is dried. OH O C6H5 O C6H5 O Cl b) Bromo derivative: Dissolve the given compound in 2-3ml of water and add saturated bromine water dropwise until a solid seperates out. Shaken well, filtered, washed and dried. AMIDES Acid Derivative:- Amide + 10% NaOH. Boiled till there is no smell of ammonia, cooled and acidified with conc. HCl .White precipitate of acid is filtered, washed and dried. SPECIAL AMIDE Urea-nitrate Derivative for Urea:- Concentrate solution of urea in small amount of water + conc. HNO3 with shaking till white precipitate of urea nitrate is formed, cooled filtered and dried. H2N O NH2 HNO3 H2N OH NH2 NO3 OH Br2 3HBr OH BrBr Br White Precipitate NH2 O NaOH ONa O NH3 OH O H3O+
  • 29.
    Page 29 of32 DOS & R in Organic Chemistry, Tumkur University, Tumakuru AMINES a) Acetyl Derivative:- (For primary and secondary amines): 1 g of amine in a dry test tube + acetyl chloride or acetyl anhydride drop wise. Vigorous reaction takes place with the formation of white solid of acetyl derivative. Filtered, washed, and dried. b) Benzoyl Derivative:- (For primary and secondary amines): Amine in a dry test tube + benzoyl chloride drop wise. Vigorous reaction takes place with the formation of a white solid of benzoyl derivative. Filtered, washed and dried c) Picrate Derivative for Tertiary Amine:- Amine + alcohol +saturated solution of picric acid in hot alcohol, cooled. The picrate derivative separates. Filtered, washed, dried. OH O2N NO2 NO2 N R' R" R N R' R" R H O O2N NO2 NO2 CARBOXYLIC ACIDS a) Acetyl Derivative for Phenolic acid:- Compound + acetic acid anhydride and glacial acetic acid. Heated and poured the mixture into water. Acetyl derivative separates. Filtered, washed and dried. COOH OH COOH O O O O O OH O Cl O R N H O HCl R NH2 R N H R' R N O R' or or R NH2 Cl O R N H O HCl R N H R' R N O R' or or
  • 30.
    Page 30 of32 DOS & R in Organic Chemistry, Tumkur University, Tumakuru b) Bromo Derivative for Phenolic acid:- Phenolic acid + water. Bromine – bromide solution slowly till color of bromine persists, shaken well. Filtered, washed and dried. COOH OH COOH OH Br2 Br c) Dibromo Derivative for Unsaturated acids:- Compound in a dry test tube + bromine in acetic acid. Heated for about 5 minutes on a water bath, cool the contents under the tap water when dibromo derivative separates as a solid. Filter, wash and dried. Br2 OH O OH OBr Br d) Nitro Derivative for acids:- Compound + 2 cm3 of nitrating mixture (equal volume of conc. HNO3 + conc. H2SO4) Heated for some time, cooled and poured into water when nitro derivative separates as a solid. Filtered, washed and dried. COOH COOH NO2 Con. H2SO4 Con. HNO3 ALDEHYDES AND KETONES a) 2,4-Dinitrophenyl hydrazine derivative: compound + a few drops of 2,4- dinitrophenyl hydrazine when orange red or yellow ppt of 2,4-Dinitrophenyl hydrazone separates, filtered, washed and dried. b) Oxime derivatives: Hydroxylamine hydrochloride is dissolved in water. 10% sodium hydroxide and carbonyl compound dissolved in alcohol are added, the mixture warmed on a steam bath for 10 min and then cooled in ice. Crystallisation is induced by scratching the sides of the test tube with a glass rod. NH H2N NO2 NO2R O H R O R' or NH N NO2 NO2 R H NH N NO2 NO2 R R' or H3O+ 2,4-dinitrophenylhydrazine
  • 31.
    Page 31 of32 DOS & R in Organic Chemistry, Tumkur University, Tumakuru R O H R O R' NH2OH. HCl R N H R N R' OH OH or or H2O ALCOHOLS a) Acid derivative for aromatic alcohols: Compound + 5 cm3 of Na2CO3 solution. Heated carefully+ excess saturated solution of potassium permanganate till pink color remains filter. Filtrate + dil.H2SO4 till the solution acidic. On cooling solid derivative separates filtered, washed and dried. AROMATIC ESTERS Acid derivative: Compound + 10 cm3 of 20% NaOH solution, Boiled for 10-15 minutes. Acidified with dil. HCl and cooled. White precipitate of acid derivative separates as a solid. Filtered, washed and dried. HYDROCARBONS Nitro derivative: (For nuclear halogenated hydrocarbons and Mono nitro compounds) Compound in a dry test tube + 2cm3 of Nitrating mixture (Equal volume of Conc.H2SO4and Conc.HNO3) Heat for some time. Cooled and poured into water when nitro derivative separates as a solid filtered, washed and dried. NO2 NO2 NO2 Con. H2SO4 Con. HNO3 OR' O NaOH ONa O R'OH OH O Heat H2SO4 Con. HNO3 Con. H2SO4 Cl NO2 Cl
  • 32.
    Page 32 of32 DOS & R in Organic Chemistry, Tumkur University, Tumakuru ANILIDES Bromo derivative: Compound + acetic acid + bromine in acetic acid, shaken well and poured into water. Bromo derivative separates as a solid. Filtered, washed and dried. H N Br2 H N OO Br CARBOHYDRATES Osazone derivative: Sugar is heated with acetic acid, sodium acetate and phenylhydrazine hydrochloride solution. Yellow crystals of Osazone derivative separates out. Filtered, washed and dried. CHO OHH HHO OHH OHH CH2OH N HHO OHH OHH CH2OH HN NH2 N NH Ph NH Ph Phenylosazone derivative REFERENCES 1. Comprehensive Practical Organic Chemistry: Qualitative Analysis- V.K. Ahluwalia and S. Dhingra 2. Practical Organic Chemistry- F. G. Mann and B. C. Saunders 3. Online resources