C
X
Y
A B
Relation
between
X & Y
TOPICITY
By
Dr. G. Krishnaswamy
Faculty
DOS & R in Organic Chemistry
Tumkur University
Tumakuru
Bottom face
Top face
10/6/2019 1
Earlier part of stereochemistry was concentrated on the stereo
center.
(TOPOs in Greek means place)
C
X
Y
A B
Stereo center
*
C
X
Y
A B
Relation
between
X & Y
Now we start to see the relationship between the ligands
attached to stereo center if the attached ligands are
homomorphic in nature.
10/6/2019 2
Homomorphic Groups / Ligands / Atoms
The Groups / ligands / atoms which are in isolation look the
same or super imposable mirror images of each other are
called homomorphic groups / ligands / atoms.
C
CH3
CH3
H H Homomorphic
groups
Homomorphic atoms
Homo in greek means same
Morph in greek means form
10/6/2019 3
In case of atoms, they must be of same element example two
H’s or two Br atoms.
C
CH3
CH3
HH
H H
Isolated Isolated
Identical and super imposable
If we isolate the two H’s, then they are same and super
imposable to each other hence they are called homomorphic
hydrogen's.
10/6/2019 4
In case of groups, they must have same constitution and
configuration. Example two methyl or two Ph groups of same
chirality R or S.
They are called homomorphic groups / ligands / atoms.
TOPICITY can be defined as geometrical or
sterochemical relationship between homorphic groups / ligands
/ atoms and structure of the molecule.
Different types of relationships are possible for homorphic
ligands / groups / atoms.
1. Homo topic (Homo-same; topo-place)
2. Hetero topic (Hetero-different; topo-place)
10/6/2019 5
Ligands can not by itself be called homotopic or heterotopic, in
order to use this terminologies a comparison with other
homomorphic ligand or ligands present either in the same
molecule (internal comparison) or in a different molecule
(external comparison) is necessary.
Two criteria are used to decide whether the ligands / groups are
equivalent or not
1. Substitution-addition criteria
2. Symmetry criteria
Are employed to determine the topic relationship of
homomorphic ligands
10/6/2019 6
1. (a) Homo topic ligands
Two or more ligands that are identical when viewed in isolation
but individual replacement of two identical ligands by another
give rise to identical molecule, then they are called homotopic
ligands.
1. Substitution-addition criteria
Two homomorphic ligands are homotopic if substitution
(replacement) of first one and other by different test ligand
leads to homomers or identical product.
10/6/2019 7
Br
Br
Ha Hb
Ha D
Hb D
Br
Br
D H
Br
Br
H D
Identical
product
HOMOTOPIC
Hence, Ha & Hb are
homotopic atoms
10/6/2019 8
Ha X
Hb X
Identical
productC C C
Hb
HaH
H
C C C
H
XH
H
C C C
X
HH
H
Hence, Ha & Hb are
homotopic atoms
10/6/2019 9
Hence, Ha, Hb & Hc are
homotopic atoms
Ha F
Hb F
Identical
products
COOH
Hc
Ha Hb
Hc F
COOH
H
F H
COOH
H
H F
COOH
F
H H
10/6/2019 10
Ha D
Identical
products
COOH
Ha OH
Hb D
COOH
D OH
COOH
H OH
HbHO
COOH
HO D
COOH
HO H
COOH
Hence, Ha & Hb are
homotopic atoms
Turn the
molecule 180o in
plane
10/6/2019 11
1. (b) Homo topic faces
Two faces of a pi system or a double bond are homotopic
if addition to either face gives same or identical product.
Bottom face
Top face
Backface
Frontface
OR
10/6/2019 12
O
Bottom face
Top face
OR
O
Frontface
Backface
10/6/2019 13
Identical
productsO
H3C
H3C
NaBH4
NaBH4
H
H
H3C
H3C
H
OH
H3C
H3C
OH
H
Two products are homomers. Hence,
acetone has homotopic face
10/6/2019 14
Identical
products
H
H
Br2
Br2
H
H
Br
H
H
Br
H
H
Br
H
H
Br
H
H
Br2
Br2
Hence, ethylene has homotopic face
10/6/2019 15
2. Symmetry criteria
2. (a) Homo topic ligands
Two homomorphic ligands are homotopic if they can
interchange position by rotation around Cn axis.
HbHa
H3C CH3
C2
HaHb
H3C CH3
180o
rotation
They are identical and hence homotopic ligands10/6/2019 16
C
H3C CH3
C2
180o
rotation
C
C
Ha Hb
C
H3C CH3
C
C
Hb Ha
They are identical and hence homotopic ligands
10/6/2019 17
2. (b) Homo topic faces
C2
180o
rotationCC
H3C
H
CH3
H
CC
H3C
H
CH3
H
Two faces of pi system are homotopic if they can
interchange face result in same structure by rotation
around C2 axis.
They are identical and hence it has homotopic face10/6/2019 18
H H
H H
O
C2
H H
H H
O
180o
rotation
They are identical and hence it has homotopic face
10/6/2019 19
NMR Spectroscopy of Homotopic Hydrogen
If the hydrogen atoms in the molecule are homotopic, then
they are chemically equivalent. Hence they will resonate at
same chemical shift values.
H
C
H
Cl
Cl
C
O
CC
H
H
H
H
H
H
10/6/2019 20
SUMMARY
Between homotopic groups and faces no differentiation is
possible either by enzyme or by NMR or by human being
because they are homomers or identical.
Topicity
Substitution-
addition
criteria
Symmetry
criteria
Reactivity
Homotopic
groups and
faces
Homomers /
Identical
Cn or C2
No
differentiation
possible
10/6/2019 21
2. Hetero topic ligands
Two or more ligands that are identical when viewed in
isolation but individual replacement of two identical ligands
by another ligand give rise to two structurally different
(isomeric) molecule, then they are called heterotopic
ligands.
10/6/2019 22
Heterotopic ligands
Same connectivity
Stereo chemically heterotopicConstitutionally heterotopic
Enantiomers Diastereomers
Enantiotopic Diastereotopic
YESNO
10/6/2019 23
Two or more ligands in a molecule that are identical on
individual replacement by another ligand give rise to two
molecule that constitutional isomers of each other, then the
original two ligands are said to be constitutionally
heterotopic ligands.
Constitutionally Hetero topic ligands
10/6/2019 24
C C
H3C
H
CH3
COOH
C C
X
H
CH3
COOH
C C
H3C
H
X
COOH
CH3 X CH3 X
1
23
1
23
10/6/2019 25
H F H F
NO2
H
H
NO2
F
H
NO2
H
F10/6/2019 26
Stereo chemically heterotopic
Two or more ligands in a molecule that are identical on
individual replacement by another ligand give rise to two
molecule that are enantiomers / super imposable mirror
images of each other, then the original two ligands are said
to be enantiotopic ligands.
Two or more ligands in a molecule that are identical on
individual replacement by another ligand give rise to two
molecule that are diastereomers / non super imposable not
mirror images of each other, then the original two ligands
are said to be diastereotopic ligands.
10/6/2019 27
(a) Enantiotopic ligands
1. Substitution-addition criteria
Two homomorphic ligands are enantiotopic if substitution
(replacement) of first one and other by different test ligand
leads to enantiomers.
COOH
C
CH3
Ha Hb
COOH
C

CH3
Br H
COOH
C

CH3
H Br
Ha
Br
Hb
Br
1
2
3
4
1
2
3
4
(S)
(R)
They are
enantiomers and
hence enantiotopic
ligands
10/6/2019 28
C CC
(R)(S)
H
Cl
Ha
Hb
Ha Cl Hb Cl
C CC
H
Cl
Cl
H
CC C
H
Cl
Cl
H
1
23
41
23
4
They are enantiomers and hence enantiotopic ligands
10/6/2019 29
(R) (S)
OH
O
Hb Ha
Ha D Hb D
OH
O
H D
OH
O
D H
They are enantiomers and hence Ha & Hb are enantiotopic ligands10/6/2019 30
(R)(S)
Ha D Hb D
H3C
CH3
Ha
H
Hb
H
H3C
CH3
D
H
H
H
H3C
CH3
H
H
D
H
They are enantiomers and hence Ha & Hb are enantiotopic ligands10/6/2019 31
(b) Enantiotopic faces
Two faces of a pi system or a double bond are enantiotopic if
addition to either face gives enantiomeric product.
(R) (S)
O
H
Ph
Top face
Bottom face

H
Ph
Et
OH

H
Ph
OH
Et
EtMgBr EtMgBr
Addition reaction
from either face leads
to formation of
enantiomers and
hence two faces are
enantiotopic
10/6/2019 32
O
H
Ph
Top face
Bottom face

H
Ph

H
Ph
OH
CN
CN
OHHCN
HCN
(S)
(R)
Addition reaction from either face leads to formation of
enantiomers and hence two faces are enantiotopic
10/6/2019 33
Molecules having stereo heterotopic ligands (enantiotopic)
exhibit prostereoisomerism or prochirality
Prochiral molecules are those which are achiral can be
converted into chiral molecule in a single step.
Prostereoisomerism or Prochirality
Prochirality may be the result of substitution reaction of Sp3
carbon substituent (usually hydrogen) with other substituent
results in chiral center.
OR
Prochirality may be the result of addition reaction of an Sp2
carbon to a chiral Sp3 carbon with nucleophile.
10/6/2019 34
(R) (S)
Ha Cl Hb Cl
12
3
1
2
3
4
C
CH3
Hb
Ha
4
C 
CH3
H
Cl
C

CH3
Cl
H
4th group on wedge bond hence
clock wise "S" configuration
PROCHIRAL
CHIRAL CHIRAL
PROCHIRAL
HYDROGENS
Prochirality may be the result of substitution reaction of Sp3
carbon substituent.
10/6/2019 35
Prochirality may be the result of addition reaction of an Sp2
carbon.
(R)(S)
NaBH4
1
2
3
1
2
3
4
CH2H3C
C
H3C
4
View the molecule through C-H bond for assigning the
configuration
PROCHIRAL
CHIRAL CHIRAL
O
C 
H
OH
H3C
C
H2
C 
OH
H
H3C
C
H2
H3C H3C
NaBH4
10/6/2019 36
2. Symmetry criteria
(a) Enantiotopic ligands
Two homomorphic ligands are enantiotopic if they can
interchangeable through plane of symmetry or center of
inversion or Sn axis.
COOH
Ha OH
Hb OH
COOH
plane of symmetry
10/6/2019 37
H3C OH
Ha
Hb
Rotation Reflection
HO CH3
Hb
Ha
H3C OH
Hb
Ha
Cl
Cl
OH
OH
Inversion center
10/6/2019 38
O
H
Ph
Top face
Bottom face
O
Ph
H
Top face
Bottom face
(b) Enantiotopic faces
Two faces are enantiotopic if they can interchangeable
through plane of symmetry or center of inversion or Sn axis.
Structure is not same upon rotation hence mirror plane
exists.
10/6/2019 39
O
Ph
H
Top face
Bottom face
Molecular mirror plane exists
10/6/2019 40
NMR Spectroscopy of Enantiotopic Hydrogen
If the hydrogen atoms in the molecule are enantiotopic, then
they are chemically equivalent. Hence they will resonate at
same chemical shift values.
10/6/2019 41
SUMMARY
Between enantiotopic groups and faces differentiation is
possible either by enzyme or by NMR in chiral reagent or
catalyst.
Topicity
Substitution-
addition
criteria
Symmetry
criteria
Reactivity
Enantiotopic
groups and
faces
Enantiomers σh or Sn
Differentiatio
n possible
10/6/2019 42
(a) Diastereotopic ligands
Substitution-addition criteria
Two homomorphic ligands are diastereotopic if substitution
(replacement) of first one and other by different test ligand
not already attached to the molecule leads to diastereomers
/ non super imposable not mirror images.
10/6/2019 43
Substitution of Ha & Hb by Cl leads to formation of trans
and cis products which are diastereomers and hence two
hydrogens are diastereotopic
H3C
C C
H
Hb
Ha
H3C
C C
H
H
Cl
H3C
C C
H
Cl
H
Ha
Cl
Hb
Cl
-CH3 & -Cl
are
Cis
-CH3 & -Cl
are
Trans
10/6/2019 44
Ha
Cl
Hb
Cl
-Br & -Cl
are
Trans
-Br & -Cl
are
Cis
Br
H
Ha
Hb
Br
H
Cl
H
Br
H
H
Cl
Substitution of Ha & Hb by Cl leads to formation of trans
and cis products which are diastereomers and hence two
hydrogens are diastereotopic10/6/2019 45
Geminal methylene protons adjacent to a stereocenter on
substitution test by other ligands not already present in the
molecule usually leads to diastereomers and are usually
diastereotopic.
O

Hb Ha
Stereo center
Adjacent to a stereo
center hence they are
usually diastereotopic
10/6/2019 46
Ha
Cl
Hb
Cl
O

Hb Ha

O

Cl H

O

H Cl
(S)
(R) (R)
(R)
RR SS
RS SR
Enantiomers
Enantiomers
Diastereomers
Diastereomers
Diastereomers
Substitution of Ha
& Hb by Cl leads to
formation of
diastereomers and
hence two
hydrogens are
diastereotopic
10/6/2019 47
Ha
D
Hb
D
(S)
(R) (R)
(R)
CH3

H Cl
Hb Ha
Cl
CH3

H Cl
D H
Cl
CH3

H Cl
H D
Cl
(R)
Substitution of Ha
& Hb by D leads to
formation of
diastereomers and
hence two
hydrogens are
diastereotopic
10/6/2019 48
(b) Diastereotopic faces
Two faces of a carbonyl group adjacent to a stereo center on
addition reaction leads to diastereomers and possess
diastereotopic face.
Stereo center
CH3

O
H3C H
C6H5
Two faces of a
carbonyl group
adjacent to a stereo
center
10/6/2019 49
HCNHCN
(S) (R)
(R)
CH3

O
H3C H
C6H5
Top face
Bottom face
(R)
CH3


OH
H3C H
C6H5
(R)
CH3


CN
H3C H
C6H5
NC HO
Additon of HCN two
face of carbonyl adjcent
to stereo center leads to
formation of
diastereomers and hence
two faces are
diastereotopic.
10/6/2019 50
NMR Spectroscopy of Diastereotopic Hydrogen
If the hydrogen atoms in the molecule are diastereotopic,
then they are chemically and magnetically non equivalent.
Hence they will resonate at different chemical shift values.
H
H
HO
H
CH3
Diastereotopic hydrogens
Due to non equivalent nature of protons
it splits into multiplet.
10/6/2019 51
SUMMARY
Between diastereotopic groups and faces differentiation is
possible either by enzyme or by reagent or by NMR.
Topicity
Substitution-
addition
criteria
Symmetry
criteria
Reactivity
Diastereotopic
groups and
faces
Diastereomers
Not
applicable
Differentiation
possible
10/6/2019 52
EXAMPLES
H
Br
Ha
Hb
H
Br
D
H
H
Br
H
D
trans
Cis
Substitution of Ha &
Hb by D leads to
formation of
diastereomers and
hence two hydrogens
are diastereotopic.
10/6/2019 53
Ha
Hb
D
H
H
D
Substitution of Ha & Hb by D
leads to formation of
homomers and hence two
hydrogens are homotopic.
MeO OMe
H H
MeO OMe
D H
MeO OMe
H D
Substitution of H & H by D
leads to formation of
homomers and hence two
hydrogens are homotopic.
10/6/2019 54
Substitution of H & H by D
leads to formation of
homomers and hence two
hydrogens are homotopic.
Cl Cl
H H
Cl Cl
D H
Cl Cl
H D
R R
R R
R R
O O
H
Ph CH3
H3C Ph
H
O O
H
Ph CH3
H3C Ph
H
C2
H & H are
interchangeable by C2
rotation and hence two
hydrogens are homotopic.
10/6/2019 55
H
H
D
H
H
D
Substitution of H & H by D
leads to formation of homomers
and hence two hydrogens are
homotopic.
H
H
D
H
H
D
Substitution of H & H by D
leads to formation of
enantiomers and hence two
hydrogens are enantiotopic.
10/6/2019 56
H H
Cl
D H
Cl
H D
Cl
Substitution of H & H by D
leads to formation of
enantiomers and hence two
hydrogens are enantiotopic.
H
H
D
H
H
D
Exo Endo
Substitution of H & H by D
leads to formation of
diastereomers and hence two
hydrogens are diastereotopic.
10/6/2019 57
H
H
D
H
H
D
Substitution of H & H by D
leads to formation of
diastereomers and hence two
hydrogens are diastereotopic.
10/6/2019 58

Topicity

  • 1.
    C X Y A B Relation between X &Y TOPICITY By Dr. G. Krishnaswamy Faculty DOS & R in Organic Chemistry Tumkur University Tumakuru Bottom face Top face 10/6/2019 1
  • 2.
    Earlier part ofstereochemistry was concentrated on the stereo center. (TOPOs in Greek means place) C X Y A B Stereo center * C X Y A B Relation between X & Y Now we start to see the relationship between the ligands attached to stereo center if the attached ligands are homomorphic in nature. 10/6/2019 2
  • 3.
    Homomorphic Groups /Ligands / Atoms The Groups / ligands / atoms which are in isolation look the same or super imposable mirror images of each other are called homomorphic groups / ligands / atoms. C CH3 CH3 H H Homomorphic groups Homomorphic atoms Homo in greek means same Morph in greek means form 10/6/2019 3
  • 4.
    In case ofatoms, they must be of same element example two H’s or two Br atoms. C CH3 CH3 HH H H Isolated Isolated Identical and super imposable If we isolate the two H’s, then they are same and super imposable to each other hence they are called homomorphic hydrogen's. 10/6/2019 4
  • 5.
    In case ofgroups, they must have same constitution and configuration. Example two methyl or two Ph groups of same chirality R or S. They are called homomorphic groups / ligands / atoms. TOPICITY can be defined as geometrical or sterochemical relationship between homorphic groups / ligands / atoms and structure of the molecule. Different types of relationships are possible for homorphic ligands / groups / atoms. 1. Homo topic (Homo-same; topo-place) 2. Hetero topic (Hetero-different; topo-place) 10/6/2019 5
  • 6.
    Ligands can notby itself be called homotopic or heterotopic, in order to use this terminologies a comparison with other homomorphic ligand or ligands present either in the same molecule (internal comparison) or in a different molecule (external comparison) is necessary. Two criteria are used to decide whether the ligands / groups are equivalent or not 1. Substitution-addition criteria 2. Symmetry criteria Are employed to determine the topic relationship of homomorphic ligands 10/6/2019 6
  • 7.
    1. (a) Homotopic ligands Two or more ligands that are identical when viewed in isolation but individual replacement of two identical ligands by another give rise to identical molecule, then they are called homotopic ligands. 1. Substitution-addition criteria Two homomorphic ligands are homotopic if substitution (replacement) of first one and other by different test ligand leads to homomers or identical product. 10/6/2019 7
  • 8.
    Br Br Ha Hb Ha D HbD Br Br D H Br Br H D Identical product HOMOTOPIC Hence, Ha & Hb are homotopic atoms 10/6/2019 8
  • 9.
    Ha X Hb X Identical productCC C Hb HaH H C C C H XH H C C C X HH H Hence, Ha & Hb are homotopic atoms 10/6/2019 9
  • 10.
    Hence, Ha, Hb& Hc are homotopic atoms Ha F Hb F Identical products COOH Hc Ha Hb Hc F COOH H F H COOH H H F COOH F H H 10/6/2019 10
  • 11.
    Ha D Identical products COOH Ha OH HbD COOH D OH COOH H OH HbHO COOH HO D COOH HO H COOH Hence, Ha & Hb are homotopic atoms Turn the molecule 180o in plane 10/6/2019 11
  • 12.
    1. (b) Homotopic faces Two faces of a pi system or a double bond are homotopic if addition to either face gives same or identical product. Bottom face Top face Backface Frontface OR 10/6/2019 12
  • 13.
  • 14.
  • 15.
  • 16.
    2. Symmetry criteria 2.(a) Homo topic ligands Two homomorphic ligands are homotopic if they can interchange position by rotation around Cn axis. HbHa H3C CH3 C2 HaHb H3C CH3 180o rotation They are identical and hence homotopic ligands10/6/2019 16
  • 17.
    C H3C CH3 C2 180o rotation C C Ha Hb C H3CCH3 C C Hb Ha They are identical and hence homotopic ligands 10/6/2019 17
  • 18.
    2. (b) Homotopic faces C2 180o rotationCC H3C H CH3 H CC H3C H CH3 H Two faces of pi system are homotopic if they can interchange face result in same structure by rotation around C2 axis. They are identical and hence it has homotopic face10/6/2019 18
  • 19.
    H H H H O C2 HH H H O 180o rotation They are identical and hence it has homotopic face 10/6/2019 19
  • 20.
    NMR Spectroscopy ofHomotopic Hydrogen If the hydrogen atoms in the molecule are homotopic, then they are chemically equivalent. Hence they will resonate at same chemical shift values. H C H Cl Cl C O CC H H H H H H 10/6/2019 20
  • 21.
    SUMMARY Between homotopic groupsand faces no differentiation is possible either by enzyme or by NMR or by human being because they are homomers or identical. Topicity Substitution- addition criteria Symmetry criteria Reactivity Homotopic groups and faces Homomers / Identical Cn or C2 No differentiation possible 10/6/2019 21
  • 22.
    2. Hetero topicligands Two or more ligands that are identical when viewed in isolation but individual replacement of two identical ligands by another ligand give rise to two structurally different (isomeric) molecule, then they are called heterotopic ligands. 10/6/2019 22
  • 23.
    Heterotopic ligands Same connectivity Stereochemically heterotopicConstitutionally heterotopic Enantiomers Diastereomers Enantiotopic Diastereotopic YESNO 10/6/2019 23
  • 24.
    Two or moreligands in a molecule that are identical on individual replacement by another ligand give rise to two molecule that constitutional isomers of each other, then the original two ligands are said to be constitutionally heterotopic ligands. Constitutionally Hetero topic ligands 10/6/2019 24
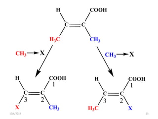
  • 25.
    C C H3C H CH3 COOH C C X H CH3 COOH CC H3C H X COOH CH3 X CH3 X 1 23 1 23 10/6/2019 25
  • 26.
    H F HF NO2 H H NO2 F H NO2 H F10/6/2019 26
  • 27.
    Stereo chemically heterotopic Twoor more ligands in a molecule that are identical on individual replacement by another ligand give rise to two molecule that are enantiomers / super imposable mirror images of each other, then the original two ligands are said to be enantiotopic ligands. Two or more ligands in a molecule that are identical on individual replacement by another ligand give rise to two molecule that are diastereomers / non super imposable not mirror images of each other, then the original two ligands are said to be diastereotopic ligands. 10/6/2019 27
  • 28.
    (a) Enantiotopic ligands 1.Substitution-addition criteria Two homomorphic ligands are enantiotopic if substitution (replacement) of first one and other by different test ligand leads to enantiomers. COOH C CH3 Ha Hb COOH C  CH3 Br H COOH C  CH3 H Br Ha Br Hb Br 1 2 3 4 1 2 3 4 (S) (R) They are enantiomers and hence enantiotopic ligands 10/6/2019 28
  • 29.
    C CC (R)(S) H Cl Ha Hb Ha ClHb Cl C CC H Cl Cl H CC C H Cl Cl H 1 23 41 23 4 They are enantiomers and hence enantiotopic ligands 10/6/2019 29
  • 30.
    (R) (S) OH O Hb Ha HaD Hb D OH O H D OH O D H They are enantiomers and hence Ha & Hb are enantiotopic ligands10/6/2019 30
  • 31.
    (R)(S) Ha D HbD H3C CH3 Ha H Hb H H3C CH3 D H H H H3C CH3 H H D H They are enantiomers and hence Ha & Hb are enantiotopic ligands10/6/2019 31
  • 32.
    (b) Enantiotopic faces Twofaces of a pi system or a double bond are enantiotopic if addition to either face gives enantiomeric product. (R) (S) O H Ph Top face Bottom face  H Ph Et OH  H Ph OH Et EtMgBr EtMgBr Addition reaction from either face leads to formation of enantiomers and hence two faces are enantiotopic 10/6/2019 32
  • 33.
    O H Ph Top face Bottom face  H Ph  H Ph OH CN CN OHHCN HCN (S) (R) Additionreaction from either face leads to formation of enantiomers and hence two faces are enantiotopic 10/6/2019 33
  • 34.
    Molecules having stereoheterotopic ligands (enantiotopic) exhibit prostereoisomerism or prochirality Prochiral molecules are those which are achiral can be converted into chiral molecule in a single step. Prostereoisomerism or Prochirality Prochirality may be the result of substitution reaction of Sp3 carbon substituent (usually hydrogen) with other substituent results in chiral center. OR Prochirality may be the result of addition reaction of an Sp2 carbon to a chiral Sp3 carbon with nucleophile. 10/6/2019 34
  • 35.
    (R) (S) Ha ClHb Cl 12 3 1 2 3 4 C CH3 Hb Ha 4 C  CH3 H Cl C  CH3 Cl H 4th group on wedge bond hence clock wise "S" configuration PROCHIRAL CHIRAL CHIRAL PROCHIRAL HYDROGENS Prochirality may be the result of substitution reaction of Sp3 carbon substituent. 10/6/2019 35
  • 36.
    Prochirality may bethe result of addition reaction of an Sp2 carbon. (R)(S) NaBH4 1 2 3 1 2 3 4 CH2H3C C H3C 4 View the molecule through C-H bond for assigning the configuration PROCHIRAL CHIRAL CHIRAL O C  H OH H3C C H2 C  OH H H3C C H2 H3C H3C NaBH4 10/6/2019 36
  • 37.
    2. Symmetry criteria (a)Enantiotopic ligands Two homomorphic ligands are enantiotopic if they can interchangeable through plane of symmetry or center of inversion or Sn axis. COOH Ha OH Hb OH COOH plane of symmetry 10/6/2019 37
  • 38.
    H3C OH Ha Hb Rotation Reflection HOCH3 Hb Ha H3C OH Hb Ha Cl Cl OH OH Inversion center 10/6/2019 38
  • 39.
    O H Ph Top face Bottom face O Ph H Topface Bottom face (b) Enantiotopic faces Two faces are enantiotopic if they can interchangeable through plane of symmetry or center of inversion or Sn axis. Structure is not same upon rotation hence mirror plane exists. 10/6/2019 39
  • 40.
    O Ph H Top face Bottom face Molecularmirror plane exists 10/6/2019 40
  • 41.
    NMR Spectroscopy ofEnantiotopic Hydrogen If the hydrogen atoms in the molecule are enantiotopic, then they are chemically equivalent. Hence they will resonate at same chemical shift values. 10/6/2019 41
  • 42.
    SUMMARY Between enantiotopic groupsand faces differentiation is possible either by enzyme or by NMR in chiral reagent or catalyst. Topicity Substitution- addition criteria Symmetry criteria Reactivity Enantiotopic groups and faces Enantiomers σh or Sn Differentiatio n possible 10/6/2019 42
  • 43.
    (a) Diastereotopic ligands Substitution-additioncriteria Two homomorphic ligands are diastereotopic if substitution (replacement) of first one and other by different test ligand not already attached to the molecule leads to diastereomers / non super imposable not mirror images. 10/6/2019 43
  • 44.
    Substitution of Ha& Hb by Cl leads to formation of trans and cis products which are diastereomers and hence two hydrogens are diastereotopic H3C C C H Hb Ha H3C C C H H Cl H3C C C H Cl H Ha Cl Hb Cl -CH3 & -Cl are Cis -CH3 & -Cl are Trans 10/6/2019 44
  • 45.
    Ha Cl Hb Cl -Br & -Cl are Trans -Br& -Cl are Cis Br H Ha Hb Br H Cl H Br H H Cl Substitution of Ha & Hb by Cl leads to formation of trans and cis products which are diastereomers and hence two hydrogens are diastereotopic10/6/2019 45
  • 46.
    Geminal methylene protonsadjacent to a stereocenter on substitution test by other ligands not already present in the molecule usually leads to diastereomers and are usually diastereotopic. O  Hb Ha Stereo center Adjacent to a stereo center hence they are usually diastereotopic 10/6/2019 46
  • 47.
    Ha Cl Hb Cl O  Hb Ha  O  Cl H  O  HCl (S) (R) (R) (R) RR SS RS SR Enantiomers Enantiomers Diastereomers Diastereomers Diastereomers Substitution of Ha & Hb by Cl leads to formation of diastereomers and hence two hydrogens are diastereotopic 10/6/2019 47
  • 48.
    Ha D Hb D (S) (R) (R) (R) CH3  H Cl HbHa Cl CH3  H Cl D H Cl CH3  H Cl H D Cl (R) Substitution of Ha & Hb by D leads to formation of diastereomers and hence two hydrogens are diastereotopic 10/6/2019 48
  • 49.
    (b) Diastereotopic faces Twofaces of a carbonyl group adjacent to a stereo center on addition reaction leads to diastereomers and possess diastereotopic face. Stereo center CH3  O H3C H C6H5 Two faces of a carbonyl group adjacent to a stereo center 10/6/2019 49
  • 50.
    HCNHCN (S) (R) (R) CH3  O H3C H C6H5 Topface Bottom face (R) CH3   OH H3C H C6H5 (R) CH3   CN H3C H C6H5 NC HO Additon of HCN two face of carbonyl adjcent to stereo center leads to formation of diastereomers and hence two faces are diastereotopic. 10/6/2019 50
  • 51.
    NMR Spectroscopy ofDiastereotopic Hydrogen If the hydrogen atoms in the molecule are diastereotopic, then they are chemically and magnetically non equivalent. Hence they will resonate at different chemical shift values. H H HO H CH3 Diastereotopic hydrogens Due to non equivalent nature of protons it splits into multiplet. 10/6/2019 51
  • 52.
    SUMMARY Between diastereotopic groupsand faces differentiation is possible either by enzyme or by reagent or by NMR. Topicity Substitution- addition criteria Symmetry criteria Reactivity Diastereotopic groups and faces Diastereomers Not applicable Differentiation possible 10/6/2019 52
  • 53.
    EXAMPLES H Br Ha Hb H Br D H H Br H D trans Cis Substitution of Ha& Hb by D leads to formation of diastereomers and hence two hydrogens are diastereotopic. 10/6/2019 53
  • 54.
    Ha Hb D H H D Substitution of Ha& Hb by D leads to formation of homomers and hence two hydrogens are homotopic. MeO OMe H H MeO OMe D H MeO OMe H D Substitution of H & H by D leads to formation of homomers and hence two hydrogens are homotopic. 10/6/2019 54
  • 55.
    Substitution of H& H by D leads to formation of homomers and hence two hydrogens are homotopic. Cl Cl H H Cl Cl D H Cl Cl H D R R R R R R O O H Ph CH3 H3C Ph H O O H Ph CH3 H3C Ph H C2 H & H are interchangeable by C2 rotation and hence two hydrogens are homotopic. 10/6/2019 55
  • 56.
    H H D H H D Substitution of H& H by D leads to formation of homomers and hence two hydrogens are homotopic. H H D H H D Substitution of H & H by D leads to formation of enantiomers and hence two hydrogens are enantiotopic. 10/6/2019 56
  • 57.
    H H Cl D H Cl HD Cl Substitution of H & H by D leads to formation of enantiomers and hence two hydrogens are enantiotopic. H H D H H D Exo Endo Substitution of H & H by D leads to formation of diastereomers and hence two hydrogens are diastereotopic. 10/6/2019 57
  • 58.
    H H D H H D Substitution of H& H by D leads to formation of diastereomers and hence two hydrogens are diastereotopic. 10/6/2019 58