Embed presentation
Downloaded 190 times










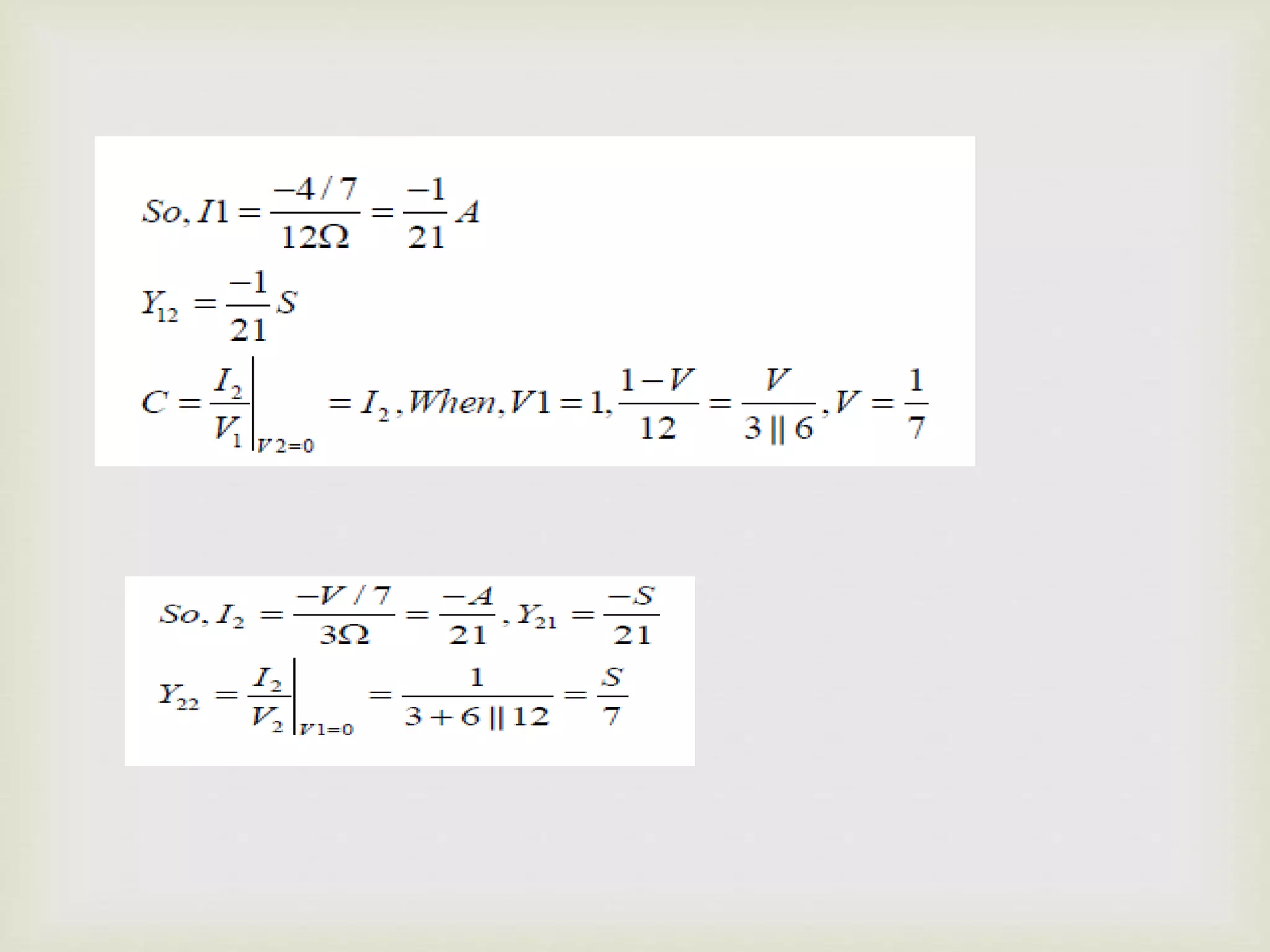
This document discusses Y or admittance parameters, which describe the behavior of linear two-port electrical systems using equations that relate currents and voltages. The Y parameters - Y11, Y12, Y21, and Y22 - are short circuit admittances that can be used to find the currents at each port if the voltages are known and one port is short circuited. Y parameters are useful for analyzing two-port networks and assessing the small signal stability of electrical systems.
Y parameters are short circuit admittance parameters for two-port networks defining currents in terms of voltages. Key formulas and definitions, including Y constants and their roles, are presented.








