 Introduction-Fact technology
 Applications
 Fact key device-SSSC
 Theory of SSSC
 Digital simulation model
 Operation of SSSC
 Rating of SSSC
 Advantages
 References
FACTS-Technology
 Flexible AC Transmission System (Facts) is a new
integrated concept based on power electronic
switching converters and dynamic controllers to
enhance the system utilization and power transfer
capacity as well as the stability, security, reliability
and power quality of AC system interconnections
 Power Flow Control
 Series Compensation
 Voltage Regulation of Long Transmission System
 Economic Operation
 Voltage Stability Enhancement
 Harmonic SSR Torsional Mode Damping by Detuning
Resonance Conditions
 The SSSC has been applied to different power system
studies to improve the system performance.
 A static synchronous Series Compensator operated
without an external energy source as Reactive Power with
output voltage.
 SSSC controls the electric power flow by increasing or
decreasing the overall reactive voltage drop across the
transmission line.
 The SSSC FACTS device can provide either capacitive or
inductive injected voltage compensation.
 If SSSC-AC injected voltage, (Vs), lags the line current
IL by 90º, a capacitive series voltage compensation is
obtained in the transmission line .
 if leads IL by 90º, an inductive series compensation is
achieved.
 Figure 1 shows a single line diagram of a
simple Transmission line with an inductive
transmission reactance, XL, connecting a sending-
end (S.E.) voltage source, , and a receiving end
(R.E.) voltage source, respectively.
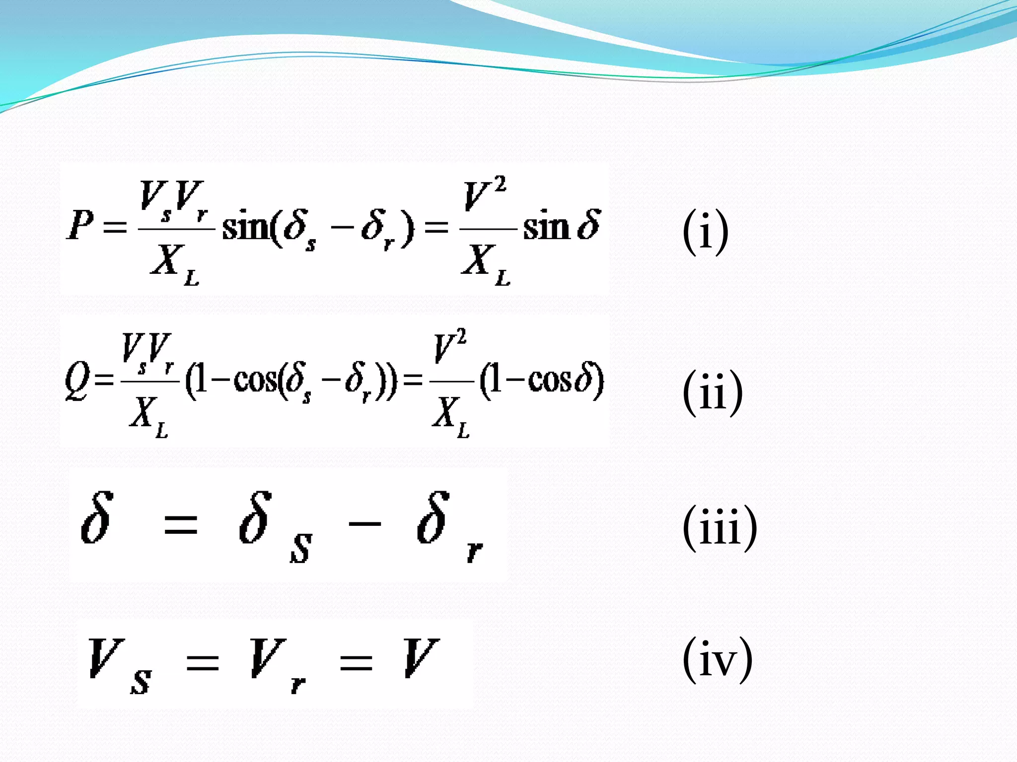
(i)
(iii)
(ii)
(iv)
expression of power flow given in eq.1 and eq.
2 become :
Where Xeff is the effective total transmission line reactance between its
sending and Receiving power system ends, including the equivalent
“variable reactance” inserted by the equivalent injected voltage (Vs)
(Buck or Boost) by the SSSC-FACTS Compensator.
 Figure 2 shows a simple power system 230-kV
network grid equipped with SSSC rated at ±70 Mvar
and its novel controllers which connected in series with
the transmission system. The 48 pulse (VSC) SSSC
connected in series with transmission line at bus B1 by
coupling transformer T1.
Figure 2: The single line diagram
representing the SSSC interface at S.E. of
a Radial Distribution System
 The feeding AC network is represented by an equivalent
Thevenin is at (bus B1) where the voltage source is a 230
kV with 10000 MVA short circuit level (resistor 0.1 pu
and an equivalent reactance of 0.3 pu) followed by the 230
kV radial transmission line connected to bus B2. The full
system parameters are given in Table 1.
Table 1
The power system parameter
 A SSSC can work like a controllable serial condenser
and a serial reactance.
 The main difference is that the voltage infected through a
SSSC is not related to the line intensity and can be
controlled independently.
 SSSC can be used with excellent results with low loads
as well as with high loads.
 The main function of the SSSC device is to regulate the feeder
power flow.
 This can be accomplished by either direct control of the AC
line current or indirect control by compensating the impedance,
Xs via a (Buck/Boost) compensating injected voltage, Vs.
 SSSC is made to operate capacitor by inducing a
voltage 90 deg lagging to that of the line current
 It is also operated as an inductor by making the
induced voltage lead the line current by 90 deg.
 The simulation results of both inductive and
capacitive regions are obtained.
0 0.2 0.4 0.6 0.8 1 1.20.1 0.5 0.9
0
0.1
0.2
0.3
0.4
0.5
0.6
0.7
0.8
0.9
Active & Reactive Power of the Trans. Line (pu)
Time (sec)
PL&QLoftheTrans.Line(pu)
SSSC
Connected
Load 2
Injected
Load 2
Rejected
QL
PL
0.4 0.41 0.42 0.43 0.44 0.45 0.46 0.47 0.48 0.49 0.5
-0.8
-0.6
-0.4
-0.2
0
0.2
0.4
0.6
0.8
Time (sec)
Vs&IL(pu)
Seies Injected Voltage & Line Current vs t
Vs
IL
0 0.2 0.4 0.6 0.8 1 1.20.1 0.5 0.9
-0.6
-0.4
-0.2
0
0.2
0.4
0.6
0.8
1
1.2
Active & Reactive Power in Trans. Line vs t
Time (sec)
PL&QLoftheTrans.Line(pu)
Load 2
Injected
Load 2
Rejected
PL
QL
0.6 0.65 0.7
-1
-0.8
-0.6
-0.4
-0.2
0
0.2
0.4
0.6
0.8
1
Series Injected Voltage & Line Current (pu) vs t
Time (sec)
Vs&IL(pu)
Vs
IL
 The SSSC can provide capacitive or inductive compensating
voltage independent of the line current.
 The VA rating of the SSSC (solid-state inverter and
coupling transformer) is simply the product of the
maximum line current (at which compensation is still
desired) and the maximum series compensating voltage:
VA = Imax *Vmax.
 An SSSC of 1 p.u. VA rating covers a control range
corresponding to 2 p.u. compensating VARs, that is the
control range is continuous from -1 p.u. (inductive) VARs to
+1 p.u. (capacitive) VARs.
 These devices (SSSC, DVR, UVC) correct the voltage
when there is a fault in the network but also have a lot
of advantages in normal use, when there are no
disturbances, like:
 Due to the continuous voltage injection and in
combination with a properly structured controller, it is
possible to control the power factor of connected loads.
 In the interconnected distribution network topologies, the
additional voltage with its controllable magnitude and
phase, can be used to work on the power flows.
 It can also help to cover the capacitive reactive power
demand if cable networks, which is higher than in
aerial lines, mainly during low load periods that cause
inadmissible load elevations.
 It balances loads in interconnected distribution
networks, providing a balanced system.
 It reduces the harmonics caused because of the use of
distributed electrical generation pants at a distribution
network level, by active filtering by injecting voltage
with the converter at the load side.
1- The SSSC device is a controlled/injected voltage
source that injects a near sinusoidal AC voltage in
series with the transmission line.
2- The dynamic power flow in the Transmission line
always decreases when the injected voltage by the
SSSC in an inductive reactance mode and the power
flow increases when the injected voltage by the SSSC
in a capacitive reactance mode.
 SSSC with its superior characteristics like immunity to
sub synchronous resonance, power oscillation
damping, quick response time, wider control range,
and lower maintenance cost can be used effectively for
series compensation of the Transmission line.
 Thus due to above superior characteristics SSSC is
going to replace all the conventional series
compensators.
 A.M. Sharaf & M. S. El-Moursi, Department of
Electrical/Computer Engineering, University of New
Brunswick.
 N.G. Hingorani, L. Gyugyi, Understanding FACTS,
Concepts and Technology of Flexible AC
Transmission Systems, IEEE press 2000.
 Chintan R Patel, Sanjay N Patel and Dr. Axay J
Mehta, B.V.M. Engineering College,
V.V.Nagar,Gujarat,India.
 www.google.com
static series synchronus compensator

static series synchronus compensator

  • 2.
     Introduction-Fact technology Applications  Fact key device-SSSC  Theory of SSSC  Digital simulation model  Operation of SSSC  Rating of SSSC  Advantages  References
  • 3.
    FACTS-Technology  Flexible ACTransmission System (Facts) is a new integrated concept based on power electronic switching converters and dynamic controllers to enhance the system utilization and power transfer capacity as well as the stability, security, reliability and power quality of AC system interconnections
  • 4.
     Power FlowControl  Series Compensation  Voltage Regulation of Long Transmission System  Economic Operation  Voltage Stability Enhancement  Harmonic SSR Torsional Mode Damping by Detuning Resonance Conditions
  • 5.
     The SSSChas been applied to different power system studies to improve the system performance.  A static synchronous Series Compensator operated without an external energy source as Reactive Power with output voltage.  SSSC controls the electric power flow by increasing or decreasing the overall reactive voltage drop across the transmission line.
  • 6.
     The SSSCFACTS device can provide either capacitive or inductive injected voltage compensation.  If SSSC-AC injected voltage, (Vs), lags the line current IL by 90º, a capacitive series voltage compensation is obtained in the transmission line .  if leads IL by 90º, an inductive series compensation is achieved.
  • 8.
     Figure 1shows a single line diagram of a simple Transmission line with an inductive transmission reactance, XL, connecting a sending- end (S.E.) voltage source, , and a receiving end (R.E.) voltage source, respectively.
  • 10.
  • 11.
    expression of powerflow given in eq.1 and eq. 2 become : Where Xeff is the effective total transmission line reactance between its sending and Receiving power system ends, including the equivalent “variable reactance” inserted by the equivalent injected voltage (Vs) (Buck or Boost) by the SSSC-FACTS Compensator.
  • 12.
     Figure 2shows a simple power system 230-kV network grid equipped with SSSC rated at ±70 Mvar and its novel controllers which connected in series with the transmission system. The 48 pulse (VSC) SSSC connected in series with transmission line at bus B1 by coupling transformer T1.
  • 13.
    Figure 2: Thesingle line diagram representing the SSSC interface at S.E. of a Radial Distribution System
  • 14.
     The feedingAC network is represented by an equivalent Thevenin is at (bus B1) where the voltage source is a 230 kV with 10000 MVA short circuit level (resistor 0.1 pu and an equivalent reactance of 0.3 pu) followed by the 230 kV radial transmission line connected to bus B2. The full system parameters are given in Table 1.
  • 15.
    Table 1 The powersystem parameter
  • 16.
     A SSSCcan work like a controllable serial condenser and a serial reactance.  The main difference is that the voltage infected through a SSSC is not related to the line intensity and can be controlled independently.  SSSC can be used with excellent results with low loads as well as with high loads.  The main function of the SSSC device is to regulate the feeder power flow.  This can be accomplished by either direct control of the AC line current or indirect control by compensating the impedance, Xs via a (Buck/Boost) compensating injected voltage, Vs.
  • 17.
     SSSC ismade to operate capacitor by inducing a voltage 90 deg lagging to that of the line current  It is also operated as an inductor by making the induced voltage lead the line current by 90 deg.  The simulation results of both inductive and capacitive regions are obtained.
  • 18.
    0 0.2 0.40.6 0.8 1 1.20.1 0.5 0.9 0 0.1 0.2 0.3 0.4 0.5 0.6 0.7 0.8 0.9 Active & Reactive Power of the Trans. Line (pu) Time (sec) PL&QLoftheTrans.Line(pu) SSSC Connected Load 2 Injected Load 2 Rejected QL PL
  • 19.
    0.4 0.41 0.420.43 0.44 0.45 0.46 0.47 0.48 0.49 0.5 -0.8 -0.6 -0.4 -0.2 0 0.2 0.4 0.6 0.8 Time (sec) Vs&IL(pu) Seies Injected Voltage & Line Current vs t Vs IL
  • 20.
    0 0.2 0.40.6 0.8 1 1.20.1 0.5 0.9 -0.6 -0.4 -0.2 0 0.2 0.4 0.6 0.8 1 1.2 Active & Reactive Power in Trans. Line vs t Time (sec) PL&QLoftheTrans.Line(pu) Load 2 Injected Load 2 Rejected PL QL
  • 21.
    0.6 0.65 0.7 -1 -0.8 -0.6 -0.4 -0.2 0 0.2 0.4 0.6 0.8 1 SeriesInjected Voltage & Line Current (pu) vs t Time (sec) Vs&IL(pu) Vs IL
  • 22.
     The SSSCcan provide capacitive or inductive compensating voltage independent of the line current.  The VA rating of the SSSC (solid-state inverter and coupling transformer) is simply the product of the maximum line current (at which compensation is still desired) and the maximum series compensating voltage: VA = Imax *Vmax.  An SSSC of 1 p.u. VA rating covers a control range corresponding to 2 p.u. compensating VARs, that is the control range is continuous from -1 p.u. (inductive) VARs to +1 p.u. (capacitive) VARs.
  • 23.
     These devices(SSSC, DVR, UVC) correct the voltage when there is a fault in the network but also have a lot of advantages in normal use, when there are no disturbances, like:  Due to the continuous voltage injection and in combination with a properly structured controller, it is possible to control the power factor of connected loads.  In the interconnected distribution network topologies, the additional voltage with its controllable magnitude and phase, can be used to work on the power flows.
  • 24.
     It canalso help to cover the capacitive reactive power demand if cable networks, which is higher than in aerial lines, mainly during low load periods that cause inadmissible load elevations.  It balances loads in interconnected distribution networks, providing a balanced system.  It reduces the harmonics caused because of the use of distributed electrical generation pants at a distribution network level, by active filtering by injecting voltage with the converter at the load side.
  • 26.
    1- The SSSCdevice is a controlled/injected voltage source that injects a near sinusoidal AC voltage in series with the transmission line. 2- The dynamic power flow in the Transmission line always decreases when the injected voltage by the SSSC in an inductive reactance mode and the power flow increases when the injected voltage by the SSSC in a capacitive reactance mode.
  • 27.
     SSSC withits superior characteristics like immunity to sub synchronous resonance, power oscillation damping, quick response time, wider control range, and lower maintenance cost can be used effectively for series compensation of the Transmission line.  Thus due to above superior characteristics SSSC is going to replace all the conventional series compensators.
  • 28.
     A.M. Sharaf& M. S. El-Moursi, Department of Electrical/Computer Engineering, University of New Brunswick.  N.G. Hingorani, L. Gyugyi, Understanding FACTS, Concepts and Technology of Flexible AC Transmission Systems, IEEE press 2000.  Chintan R Patel, Sanjay N Patel and Dr. Axay J Mehta, B.V.M. Engineering College, V.V.Nagar,Gujarat,India.  www.google.com