Bipolar Junction
Transistor:
Hybrid Parameter
Arpan Deyasi
Dept of ECE, RCCIIT, Kolkata, India
12/27/2020 Arpan Deyasi, RCCIIT 1
12/27/2020 Arpan Deyasi, RCCIIT 2
Hybrid Parameter
1 11 1 12 2V h I h V= + 2 21 1 22 2I h I h V= +
12/27/2020 Arpan Deyasi, RCCIIT 3
Hybrid Parameter
2
1
11
1 0V
V
h
I =
=
1
1
12
2 0I
V
h
V =
=
2
2
21
1 0V
I
h
I =
=
1
2
22
2 0I
I
h
V =
=
12/27/2020 Arpan Deyasi, RCCIIT 4
Hybrid Parameter: Notations used in transistor circuits
11 ih h=
short-circuit
input impedance
21 fh h=
short-circuit
forward current gain
12 rh h=
open-circuit
reverse voltage transfer ratio
22 oh h=
open-circuit
output admittance
12/27/2020 Arpan Deyasi, RCCIIT 5
12/27/2020 Arpan Deyasi, RCCIIT 6
Transistor Hybrid Model
1 1 1 2( , )v f i v=
2 2 1 2( , )i f i v=
1 1 2i rv hi h v= +
2 1 2f oi h i h v= +
12/27/2020 Arpan Deyasi, RCCIIT 7
Complete Hybrid Parameter Circuit
12/27/2020 Arpan Deyasi, RCCIIT 8
CurrentGain
2 1 2f oI h I h V= +
2 1f o L LI h I h I Z= +
2 1 2f o LI h I h I Z= −
2 2 1o L fI h I Z h I+ =
12/27/2020 Arpan Deyasi, RCCIIT 9
CurrentGain
2
1 1 (1 )
fL
I
o L
hI I
A
I I h Z
= =− =−
+
2 1(1 )o L fI h Z h I+ =
2
1 (1 )
f
o L
hI
I h Z
=
+
(1 )
f
I
o L
h
A
h Z
= −
+
12/27/2020 Arpan Deyasi, RCCIIT 10
InputImpedance
1 1 2i rV h I h V= +
1 1i r L LV h I h I Z= +
1 1 1i r I LV h I h A I Z= +
1 1 2i r LV h I h I Z= −
12/27/2020 Arpan Deyasi, RCCIIT 11
InputImpedance
1
1
I i r I L
V
Z h h A Z
I
= = +
(1 )
f
I i r L
o L
h
Z h h Z
h Z
= −
+
f r
I i
L o
h h
Z h
Y h
= −
+
12/27/2020 Arpan Deyasi, RCCIIT 12
VoltageGain
2 2 LV I Z= −
2 1I LV A I Z=
2 1
1 1
I L
V
V A I Z
A
V V
= =
2
1
I L
V
I
V A Z
A
V Z
= =
12/27/2020 Arpan Deyasi, RCCIIT 13
VoltageGain
.
(1 )
f L
V
o L I
h Z
A
h Z Z
= −
+
.
(1 )
(1 )
f L
V
fo L
i r L
o L
h Z
A
hh Z
h h Z
h Z
= −
+  
− 
+ 
12/27/2020 Arpan Deyasi, RCCIIT 14
OutputAdmittance
2 1 2f oI h I h V= +
2 1
2 2
f o
I I
h h
V V
= +
With VS = 0 1 1 2 0S i rR I h I h V+ + =
1
2
r
S i
I h
V R h
= −
+
12/27/2020 Arpan Deyasi, RCCIIT 15
2
2
r
f o
S i
I h
h h
V R h
=− +
+
OutputAdmittance
0
r f
o
S i
h h
Y h
R h
= −
+
12/27/2020 Arpan Deyasi, RCCIIT 16
CurrentGainwithSourceResistance
1 1I S S SI Z I R I R+ =
1( )I S S SI Z R I R+ =
1
( )
S
S I S
RI
I Z R
=
+
12/27/2020 Arpan Deyasi, RCCIIT 17
CurrentGainwithSourceResistance 2 2 1
1
IS
S S
I I I
A
I I I
=− =−
S
IS I
R
A A
→∝
→
( )
S
IS I
I S
R
A A
Z R
=
+
.
(1 ) ( )
f S
IS
o L I S
h R
A
h Z Z R
= −
+ +
1
IS I
S
I
A A
I
=
12/27/2020 Arpan Deyasi, RCCIIT 18
VoltageGainwithSourceResistance
1 1I S S IV Z V R V Z+ =
1( )I S S IV Z R V Z+ =
1
( )
S I
I S
V Z
V
Z R
=
+
12/27/2020 Arpan Deyasi, RCCIIT 19
VoltageGainwithSourceResistance
2 2 1
1
VS
S S
V V V
A
V V V
= =
1
VS V
S
V
A A
V
=
( )
S I
VS V
I S
V Z
A A
Z R
=
+
12/27/2020 Arpan Deyasi, RCCIIT 20
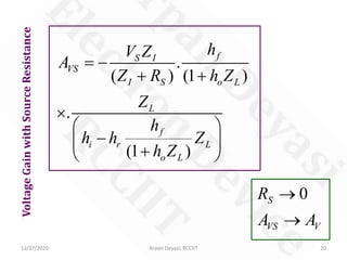
VoltageGainwithSourceResistance
.
( ) (1 )
.
(1 )
fS I
VS
I S o L
L
f
i r L
o L
hV Z
A
Z R h Z
Z
h
h h Z
h Z
= −
+ +
×
 
− 
+ 
0S
VS V
R
A A
→
→
12/27/2020 Arpan Deyasi, RCCIIT 21
PowerGain
2
1
P
P
A
P
=
2 2
1 1
P
V I
A
V I
= −
P V IA A A=
12/27/2020 Arpan Deyasi, RCCIIT 22
PowerGain
2
(1 )
(1 )
f
P
o L
L
f
i r L
o L
h
A
h Z
Z
h
h h Z
h Z
 
= × 
+ 
 
− 
+ 
12/27/2020 Arpan Deyasi, RCCIIT 23
Calculation of Hybrid Parameters [NPN]
IB
VBE
VCE1
11
C
BE
i
B V const
V
h h
I =
∆
= =
∆
Input Resistance
2 1
2 1
BE BE
i
B B
V V
h
I I
−
=
−
VBE1 VBE2
IB2
IB1
12/27/2020 Arpan Deyasi, RCCIIT 24
Calculation of Hybrid Parameters [NPN]
IB
VBE
VCE2VCE1
Reverse Transfer Ratio
12
B
BE
r
CE I const
V
h h
V =
∆
= =
∆
2 1
2 1
BE BE
r
CE CE
V V
h
V V
−
=
−
VBE1 VBE2
12/27/2020 25Arpan Deyasi, RCCIIT
VCE
IC
IB1
IB2
Calculation of Hybrid Parameters [NPN]
Forward Current Transfer Ratio
21
C
C
f
B V const
I
h h
I =
∆
= =
∆
2 1
2 1 C
C C
f
B B V const
I I
h
I I =
−
=
−
IC2
IC1
12/27/2020 26Arpan Deyasi, RCCIIT
VCE
IC
IB2
Calculation of Hybrid Parameters [NPN]
Output Transconductance
22
B
C
o
C I const
I
h h
V =
∆
= =
∆
2 1
2 1 C
C C
o
CE CE V const
I I
h
V V =
−
=
−
IC2
IC1
VCE1 VCE2
12/27/2020 Arpan Deyasi, RCCIIT 27
h-parameters are Real Numbers up to radio frequency
They are easy to measure
They can be determined from transistor static characteristic
They are convenient to use in circuit analysis and design
Easily convertible from one configuration to other
Readily supplied by manufacturers
What are the salient features of hybrid parameters?
12/27/2020 Arpan Deyasi, RCCIIT 28
Dataset for Different Configurations
12/27/2020 Arpan Deyasi, RCCIIT 29
Conversation of h-parameters

Hybrid Parameter in BJT

  • 1.
    Bipolar Junction Transistor: Hybrid Parameter ArpanDeyasi Dept of ECE, RCCIIT, Kolkata, India 12/27/2020 Arpan Deyasi, RCCIIT 1
  • 2.
    12/27/2020 Arpan Deyasi,RCCIIT 2 Hybrid Parameter 1 11 1 12 2V h I h V= + 2 21 1 22 2I h I h V= +
  • 3.
    12/27/2020 Arpan Deyasi,RCCIIT 3 Hybrid Parameter 2 1 11 1 0V V h I = = 1 1 12 2 0I V h V = = 2 2 21 1 0V I h I = = 1 2 22 2 0I I h V = =
  • 4.
    12/27/2020 Arpan Deyasi,RCCIIT 4 Hybrid Parameter: Notations used in transistor circuits 11 ih h= short-circuit input impedance 21 fh h= short-circuit forward current gain 12 rh h= open-circuit reverse voltage transfer ratio 22 oh h= open-circuit output admittance
  • 5.
  • 6.
    12/27/2020 Arpan Deyasi,RCCIIT 6 Transistor Hybrid Model 1 1 1 2( , )v f i v= 2 2 1 2( , )i f i v= 1 1 2i rv hi h v= + 2 1 2f oi h i h v= +
  • 7.
    12/27/2020 Arpan Deyasi,RCCIIT 7 Complete Hybrid Parameter Circuit
  • 8.
    12/27/2020 Arpan Deyasi,RCCIIT 8 CurrentGain 2 1 2f oI h I h V= + 2 1f o L LI h I h I Z= + 2 1 2f o LI h I h I Z= − 2 2 1o L fI h I Z h I+ =
  • 9.
    12/27/2020 Arpan Deyasi,RCCIIT 9 CurrentGain 2 1 1 (1 ) fL I o L hI I A I I h Z = =− =− + 2 1(1 )o L fI h Z h I+ = 2 1 (1 ) f o L hI I h Z = + (1 ) f I o L h A h Z = − +
  • 10.
    12/27/2020 Arpan Deyasi,RCCIIT 10 InputImpedance 1 1 2i rV h I h V= + 1 1i r L LV h I h I Z= + 1 1 1i r I LV h I h A I Z= + 1 1 2i r LV h I h I Z= −
  • 11.
    12/27/2020 Arpan Deyasi,RCCIIT 11 InputImpedance 1 1 I i r I L V Z h h A Z I = = + (1 ) f I i r L o L h Z h h Z h Z = − + f r I i L o h h Z h Y h = − +
  • 12.
    12/27/2020 Arpan Deyasi,RCCIIT 12 VoltageGain 2 2 LV I Z= − 2 1I LV A I Z= 2 1 1 1 I L V V A I Z A V V = = 2 1 I L V I V A Z A V Z = =
  • 13.
    12/27/2020 Arpan Deyasi,RCCIIT 13 VoltageGain . (1 ) f L V o L I h Z A h Z Z = − + . (1 ) (1 ) f L V fo L i r L o L h Z A hh Z h h Z h Z = − +   −  + 
  • 14.
    12/27/2020 Arpan Deyasi,RCCIIT 14 OutputAdmittance 2 1 2f oI h I h V= + 2 1 2 2 f o I I h h V V = + With VS = 0 1 1 2 0S i rR I h I h V+ + = 1 2 r S i I h V R h = − +
  • 15.
    12/27/2020 Arpan Deyasi,RCCIIT 15 2 2 r f o S i I h h h V R h =− + + OutputAdmittance 0 r f o S i h h Y h R h = − +
  • 16.
    12/27/2020 Arpan Deyasi,RCCIIT 16 CurrentGainwithSourceResistance 1 1I S S SI Z I R I R+ = 1( )I S S SI Z R I R+ = 1 ( ) S S I S RI I Z R = +
  • 17.
    12/27/2020 Arpan Deyasi,RCCIIT 17 CurrentGainwithSourceResistance 2 2 1 1 IS S S I I I A I I I =− =− S IS I R A A →∝ → ( ) S IS I I S R A A Z R = + . (1 ) ( ) f S IS o L I S h R A h Z Z R = − + + 1 IS I S I A A I =
  • 18.
    12/27/2020 Arpan Deyasi,RCCIIT 18 VoltageGainwithSourceResistance 1 1I S S IV Z V R V Z+ = 1( )I S S IV Z R V Z+ = 1 ( ) S I I S V Z V Z R = +
  • 19.
    12/27/2020 Arpan Deyasi,RCCIIT 19 VoltageGainwithSourceResistance 2 2 1 1 VS S S V V V A V V V = = 1 VS V S V A A V = ( ) S I VS V I S V Z A A Z R = +
  • 20.
    12/27/2020 Arpan Deyasi,RCCIIT 20 VoltageGainwithSourceResistance . ( ) (1 ) . (1 ) fS I VS I S o L L f i r L o L hV Z A Z R h Z Z h h h Z h Z = − + + ×   −  +  0S VS V R A A → →
  • 21.
    12/27/2020 Arpan Deyasi,RCCIIT 21 PowerGain 2 1 P P A P = 2 2 1 1 P V I A V I = − P V IA A A=
  • 22.
    12/27/2020 Arpan Deyasi,RCCIIT 22 PowerGain 2 (1 ) (1 ) f P o L L f i r L o L h A h Z Z h h h Z h Z   = ×  +    −  + 
  • 23.
    12/27/2020 Arpan Deyasi,RCCIIT 23 Calculation of Hybrid Parameters [NPN] IB VBE VCE1 11 C BE i B V const V h h I = ∆ = = ∆ Input Resistance 2 1 2 1 BE BE i B B V V h I I − = − VBE1 VBE2 IB2 IB1
  • 24.
    12/27/2020 Arpan Deyasi,RCCIIT 24 Calculation of Hybrid Parameters [NPN] IB VBE VCE2VCE1 Reverse Transfer Ratio 12 B BE r CE I const V h h V = ∆ = = ∆ 2 1 2 1 BE BE r CE CE V V h V V − = − VBE1 VBE2
  • 25.
    12/27/2020 25Arpan Deyasi,RCCIIT VCE IC IB1 IB2 Calculation of Hybrid Parameters [NPN] Forward Current Transfer Ratio 21 C C f B V const I h h I = ∆ = = ∆ 2 1 2 1 C C C f B B V const I I h I I = − = − IC2 IC1
  • 26.
    12/27/2020 26Arpan Deyasi,RCCIIT VCE IC IB2 Calculation of Hybrid Parameters [NPN] Output Transconductance 22 B C o C I const I h h V = ∆ = = ∆ 2 1 2 1 C C C o CE CE V const I I h V V = − = − IC2 IC1 VCE1 VCE2
  • 27.
    12/27/2020 Arpan Deyasi,RCCIIT 27 h-parameters are Real Numbers up to radio frequency They are easy to measure They can be determined from transistor static characteristic They are convenient to use in circuit analysis and design Easily convertible from one configuration to other Readily supplied by manufacturers What are the salient features of hybrid parameters?
  • 28.
    12/27/2020 Arpan Deyasi,RCCIIT 28 Dataset for Different Configurations
  • 29.
    12/27/2020 Arpan Deyasi,RCCIIT 29 Conversation of h-parameters