Unit VIII: Redox Reactions 04Periods
Concept of oxidation and reduction,
redox reactions, oxidation number,
balancing redox reactions,
in terms of loss and gain of electrons
and change in oxidation number.
Deleted topic: Applications of redox
reactions
• A number of phenomena, both physical as well as
biological, are concerned with redox reactions.
• Extensive use in pharmaceutical, biological,
industrial, metallurgical and agricultural areas. The
importance of these reactions is apparent from the
fact that burning of different types of fuels for
obtaining energy for domestic, transport and other
commercial purposes, electrochemical processes for
extraction of highly reactive metals and non-metals,
manufacturing of chemical compounds like caustic
soda, operation of dry and wet batteries and
corrosion of metals fall within the purview of redox
processes.
In terms of Classical concept:
Oxidation: Oxidation is defined as “addition of
oxygen or any electronegative element and
removal of hydrogen or any electropositive
element”.
• Reduction: Reduction is defined as” addition
of hydrogen or any electropositive element
and removal of oxygen or any electronegative
element”.
Substance that undergo oxidation itself and reduce
other is called reducing agent whereas the substance
that undergo reduction itself and oxidize other is
called oxidizing agent.
For example:-
CuO + H2 --> Cu + H2O
Copper Oxide +Hydrogen Copper+ Water
• In reaction, Cu is undergoing reduction and
oxidizing hydrogen. Therefore, Cu is oxidizing
agent and H is reducing agent.
• “As in this reaction both oxidation and reduction
occur simultaneously, therefore reaction is called
redox reaction.”
Oxidation Reduction
Additionofoxygen2Mg+O2MgO RemovalofoxygenCuO+CCu+CO
Removalofhydrogen.H2S+Cl22HCl+S AdditionofHydrogen S+H2H2S
IncreaseinpositivechargeFe2+
Fe3+
+e-
Decreaseinpositivecharge.Fe3+
+e-Fe2+
Increaseinoxidationnumber Decreaseinoxidationnumber
Removalofelectrons Additionofelectrons
Redox reaction In terms of Electron transfer
concept:
Oxidation: Is defined as loss of electrons that is:
M-electron --> M+
Metal Metal ion
Reduction: Is defined as gain of electrons that is
given below.
N + electron --> N-
Non metal non metal ion
Let’s consider equation: H2 + O2 -- > H2O
We can see in this example that H atom as going from
neutral to a positive state in water, the O atom goes
from zero state to di negative state in water. There is an
electron transfer from H to O and consequently H2 is
oxidized and O2 is reduced .The charge transfer is only
partial or we can say that it is electron shift rather than
calling it as complete loss of electron by H and gain by
O.
Another example of Redox reaction in terms of
electron transfer:
Mg + H2 --> MgH2
Magnesium Hydrogen MagnesiumHydride
In this Magnesium is losing electrons, that is
undergoing oxidation and hydrogen is gaining electrons
therefore, it is undergoing reduction. Mg is Reducing
agent in it and H is Oxidizing agent in it.
The oxidation of magnesium with
fluorine, chlorine and sulphur etc. occurs
according to the following reactions
Mg (s) + F2 (g)  MgF2 (s)
Mg (s) + Cl2 (g) MgCl2 (s)
Mg (s) + S (s) MgS (s)
In the above reaction removal of
electropositive element is an
oxidation.
We have already learnt that the reactions
2Na(s) + Cl2(g) 2NaCl (s)
4Na(s) + O2(g) 2Na2O(s)
2Na(s) + S(s) Na2S(s)
In the above equation sodium is oxidised due to
the addition of either oxygen or more
electronegative element to sodium.
Half reactions that involve loss of electrons are
called oxidation reactions. Similarly, the
half reactions that involve gain of electrons
are called reduction reactions.
Oxidation: Loss of electron(s) by any species.
Reduction: Gain of electron(s) by any species.
Oxidising agent : Acceptor of electron(s).
Reducing agent : Donor of electron(s).
Competitive electron transfer reactions:
To understand this concept let us do an
experiment.
Place a strip of metallic zinc in an aqueous
solution of copper nitrate as shown in Fig. After
one hour following changes will be noticed.
(i) Strips becomes coated with reddish metallic
copper.
(ii) Blue colour of the solution disappears.
(iii) If hydrogen sulphide gas is passed through
the solution appearance of white ZnS can be –
seen on making the solution alkaline with
ammonia.
• Redox reaction between zinc and aqueous
solution of copper nitrate occurring in a
beaker.
Let us extend electron transfer reaction now to
copper metal and silver nitrate solution in water
and arrange a set-up . The solution develops
blue colour due to the formation of Cu2+ ions
on account of the reaction.
• Here, Cu(s) is oxidised to Cu2+(aq) and Ag+(aq)
is reduced to Ag(s) Equilibrium greatly favours
the products Cu2+(aq) and Ag(s).
By way of contrast, let us also compare the
reaction of metallic cobalt placed in the nickel
sulphate solution . The reaction that occurs here
is
At equilibrium, chemical tests reveal that both Ni2+(aq) and
Co2+(aq) are present at moderate concentrations. In this case,
neither the reactants [Co(s) and Ni2+(aq)] nor the products
[Co2+(aq) and Ni (s)] are greatly favoured. This competition for
release of electrons incidently reminds us of the competition
for release of protons among acids.
The similarity suggests that we might develop a table in
which metals and their ions are listed on the basis of their
tendency to release electrons just as we do in the case of
acids to indicate the strength of the acids.
By comparison we have come to know that zinc releases
electrons to copper and copper releases electrons to silver
and, therefore, the electron releasing tendency of the metals
is in
the order: Zn>Cu>Ag.
The competition for electrons between various
metals help us to design a class of cells named
as Galvanic cells in which the chemical reactions
become the source of electrical energy.
Oxidation Number:
It is the oxidation state of an element in a
compound which is the charge assigned to an
atom of a compound is equal to the number of
electrons in the valence shell of an atom that
are gained or lost completely or to a large extent
by that atom while forming a bond in a
compound.
Rules to assign and calculate oxidation number
• The oxidation number of atoms in their elemental state is
taken as zero.
• The oxidation number of mono-atomic atoms like
Na+ etc is taken as 1.
• The oxidation number of Hydrogen is +1 when present
with non metals and -1 when present with metals.
• The oxidation number of oxygen is -2 in most of the
compounds but in peroxides it is -1.
• The metals always have oxidation number in positive
and non metal in negative when present together in ionic
compounds.
• In compounds that have two atoms with different electro
negativities, the oxidation number of more
electronegative is taken as –ve and for less
electronegative it is taken as positive. For example: In
OF2 the oxidation number of oxygen will be in positive
and oxidation of fluorine will be in negative.
• In poly atomic ion the sum of the oxidation no. of
all the atoms in the ion is equal to the net charge
on the ion.
For example, in (C03)2—Sum of carbon atoms and
three oxygen atoms is equal to -2.
Fluorine (F2) is so highly reactive non-metal that it
displaces oxygen from water.
• Disproportionation Reaction. In a
disproportionation reaction an element in one
oxidation state is simultaneously oxidises and
reduced.
• Hence, the oxygen of peroxide, which is present
in -1 oxidation state is connected to zero
oxidation state and in 02 and in H2O decreases
to -2 oxidation state.
• The algebraic sum of the oxidation number of
all the atoms in a compound must be zero.
Fractional Oxidation Numbers
Elements as such do not have any fractional
oxidation numbers. When the same element are
involved in different bonding in a species, their
actual oxidation states are whole numbers but
an average of these is fractional.
For example, In C302.
• In this method it is always assumed that
there is a complete transfer of electron from
a less electronegative atom to a more
electronegative atom . For example,
A term that is often used interchangeably
with the oxidation number is the oxidation
state. Thus in CO2, the oxidation state of
carbon is +4, that is also its oxidation number
and similarly the oxidation state as well as
oxidation number of oxygen is – 2. This implies
that the oxidation number denotes the
oxidation state of an element in a compound.
• The oxidation number is expressed by putting a
roman numeral representing the oxidation number
in parenthesis after the symbol of the metal in the
molecular formula.
• Oxidation: An increase in the oxidation number of
the element in the given substance.
• Reduction: A decrease in the oxidation number of
the element in the given substance.
• Oxidising agent: A reagent which can increase the
oxidation number of an element in a given
substance. These reagents are called as oxidants
also.
• Reducing agent: A reagent which lowers the
oxidation number of an element in a given
substance. These reagents are also called as
reductants.
• Redox reactions: Reactions which involve
change in oxidation number of the interacting
species.
Types of redox reactions:
Redox reactions in which two substances
combine to form a single compound are called
combination reaction.
C+O2CO2
0 +0+4&-2
Decomposition reaction:
Redox reaction in which a compound breaks
down into two or more compounds are called
decomposition reactions. These reactions are
opposite to combination reaction. In these
reactions, the oxidation number of the different
elements in the same substances is changed.
Displacement reaction:
In a displacement reaction, an ion (or an atom) in a
compound is replaced by an ion(or an atom) of
another element. It may be denoted as
X+YZXZ+Y
Displacement reactions can be classified as metal
displacement and non-metal displacement:
Metal displacement reactions:
Pure metals are obtained from their compounds in
ores.
• Non-metal displacement:
The non-metal displacement redox reactions
include hydrogen displacement and a rarely
occurring reaction involving oxygen
displacement.
All alkali metals and some alkaline earth
metals (Ca, Sr, and Ba) which are very good
reductants, will displace hydrogen from cold
water.
• Less active metals such as magnesium and iron
react with steam to produce dihydrogen gas.
• Very less active metals, which may occur in the
native state such as silver(Ag) and (Au) do not
react even with HCl.
• A few examples for the displacement of
hydrogen from acids are:
• Reactivity of metals is reflected in the rate of
hydrogen gas evolution, which is the slowest
for the least active metal Fe, and the fastest
for the most reactive metal Mg.
• As fluorine is so reactive that it attacks water
and displaces the oxygen of water:
• It is for this reason that the displacement
reactions of chlorine, bromine and iodine using
fluorine are not generally carried out in aqueous
solution.
• On the other hand, chlorine can displace
bromide and iodide ions in an aqueous solution
• As Br2 and I2 are coloured and dissolve in CCl4
can easily be identified from the colour of the
solution.
• Reactions forms the basis of identifying Br-
and I- in the laboratory through the test
popularly known as Layer Test.
• The halogen displacement reactions have a
direct industrial application. The recovery of
halogens from their halides requires an
oxidation process.
• Disproportionation reactions:
In some redox reactions, the same compound
can undergo both oxidation and reduction. In
such reactions, the oxidation state of one and
the same element is both increased and
decreased . These reactions are called
disproportionation reactions.
• Phosphorous, sulphur and chlorine undergo
disproportionation in the alkaline medium
• The reaction describes the formation of
household bleaching agents. The hypochlorite
ion(ClO-) formed in the reaction oxidises the
colour bearing stains of the substances to
colourless compounds.
• Fluorine shows deviation from the behaviour
when it reacts with alkali.
Balancing of Redox Reactions:
Step 1: Write the correct formula for each
reactant and product.
Step 2: Identify atoms which undergo change
in oxidation number in the reaction by
assigning the oxidation number to all elements
in the reaction.
Step 3: Calculate the increase or decrease in
the oxidation number per atom and for the
entire molecule/ion in which it occurs. If these
are not equal then multiply by suitable
number so that these become equal. (If you
realise that two substances are reduced and
nothing is oxidised or vice-versa, something
is wrong. Either the formulas of reactants or
products are wrong or the oxidation numbers
have not been assigned properly).
Step:4
If the reaction is carried out in acidic solution, use
H+ ions in the equation; if in basic solution, use
OH– ions.
Step:5
Make the numbers of hydrogen atoms in the
expression on the two sides equal by adding water
(H2O) molecules to the reactants or products. Now,
also check the number of oxygen atoms. If there are
the same number of oxygen atoms in the reactants
and products, the equation then represents the
balanced redox reaction.
• Rule: 1 Write the skeletal equation for the
given reaction.
• Rule:2 Write oxidation state of each atom.
• Rule :3 Determine the increase and decrease
of oxidation No per atom.
• Rule:4 If the increase/decrease are not equal
then equalise the increase or decrease in O.N
on the reactant side by multiplying the
respective formula with suitable integers.
• Rule:5 Balance all other atoms except
hydrogen and oxygen.
• Balance o atoms by adding OH- ions to the
side deficient in O atoms. To balance H atoms,
add H2O molecules for each H atom on the
side deficient in H atom. At the same time,
add an equal no. of OH- ions to the opposite
side.
• Permanganate ion reacts with bromide ion in
basic medium to give manganese dioxide and
bromate ion. Write the balanced ionic
equation for the reaction.
• Example: Permagnate ion reacts with bromide
ion in basic medium to give manganese
dioxide and Bromate ion .
• Step1: the skeletal ionic equation is :
MnO4
- (aq) +Br- (aq) ---> MnO2 +BrO3
-
• Step 2: assign oxidation numbers for Mn and
Br
• Step3: calculate the increase and decrease in
oxidation number and make the change equal
:
• Step: 4 as the reaction occurs in basic
medium, and the ionic charges are not equal
on both sides, add 2OH- ions on the right to
make it equal.
• Step5: finally count the hydrogen atoms and
add appropriate number of water molecules
on the left side to achieve balanced Redox
reaction.
(ii) Half Reaction Method. In this method two
half equation are balanced separately and than
added together to give balanced equation.
• Half-reaction method – ion exchange method
NO3
- + Bi  Bi3+ + NO2
Oxidation: BiBi3+ +3e-
Reduction: NO3
- +1e- NO2
NO3
-+ e- NO2+H2O x3
3NO3
-+3e- +6H+ 3NO2+3H2O
BiBi3+ +3e-
------------------------------------------
3NO3
-+Bi +6H+ 3NO2+Bi3+ +3H2O
-----------------------------------------
Titration is the process in which the solutions of two
reagents are allowed to react with each other.
Procedure:
In it one solution (known volume) is taken in Burette
and the solution is called titrant.
The other reagent is taken in flask called titration flask
and the solution is called as analyte.
The titration is carried out till both the reagents mix
completely.
The stage at which both the reagent mix completely is
called end point.
The end point is detected by indicator.
The objective of these titrations is to find out the
exact amount of an acid (or the base) present in a
given solution by reacting it against the solution of
standard base (or an acid) .
There are two types of Redox reactions
Direct Redox reaction
Indirect Redox reaction
Direct Redox reaction: In which oxidation and reduction both occur
in same beaker. In this electron so produced does not travel to large
distance.
For example: A beaker containing Zinc rod dipped in Copper sulphate
solution in this the following reaction occur:
Zn + CuSO4 --> ZnSO4 + Cu
Zinc Copper Sulphate Zinc Sulphate Copper
In this zinc being more reactive displaces copper from copper
sulphate and forms zinc sulphate and copper.
Indirect Redox reactions: In it oxidation and reduction occur in
different beakers. The electron so produced has to travel a certain
distance that leads to generation of current.
Example: Daniel cell: A cell containing Zn-Cu couple that we are going
to study in detail now as given below but before that let us make you
familiar with the general term used in redox reaction that is Redox
couple.
Redox reactions as the basis for titrations:
In acid-base systems we come across with a
titration method for finding out the strength
of one solution against the other using a pH
sensitive indicator.
In redox systems, the titration method can be
adopted to determine the strength of a
reductant/oxidant using a redox sensitive
indicator.
In one situation, the reagent itself is intensely
coloured, e.g., permanganate ion, MnO4 – . Here
MnO4 acts as the self indicator. The visible end
point in this case is achieved after the last of the
reductant (Fe2+ or C2O42–) is oxidised and the first
lasting tinge of pink colour appears at MnO4
concentration as low as 10–6 mol dm–3 (10–6 mol
L–1). This ensures a minimal ‘overshoot’ in colour
beyond the equivalence point, the point where the
reductant and the oxidant are equal in terms of
their mole stoichiometry.
Redox Reactions as the Basis for Titration
Potassium Permanganate Titration: In these
titrations potassium permanganate (pink in
colour) acts as an oxidising agent in the acidic
medium while oxalic acid or some ferrous salts
acts as a reducing agents.
The ionic equation can be written as:
If there is no dramatic auto-colour change (as
with MnO4 – titration), there are indicators
which are oxidised immediately after the last bit
of the reactant is consumed, producing a
dramatic colour change. The best example is
afforded by Cr2O72-. which is not a self-indicator,
but oxidises the indicator substance
diphenylamine just after the equivalence point
to produce an intense blue colour, thus
signalling the end point.
There is yet another method which is interesting
and quite common. Its use is restricted to those
reagents which are able to oxidise I– ions, say, for
example, Cu(II):
2Cu2+(aq) + 4I–(aq)Cu2I2(s) + I2(aq)
This method relies on the facts that iodine itself
gives an intense blue colour with starch and has a
very specific reaction with thiosulphate ions (S2O32–
), which too is a redox reaction:
I2(aq) + 2 S2O3
2–(aq)2I–(aq) + S4O6
2-
I2, though insoluble in water, remains in solution
containing KI as KI3.
On addition of starch after the liberation of
iodine from the reaction of Cu2+ ions on iodide
ions, an intense blue colour appears. This
colour disappears as soon as the iodine is
consumed by the thiosulphate ions. Thus, the
end-point can easily be tracked and the rest
is the stoichiometric calculation only.
• Limitations of Concept of Oxidation Number:
In fact the oxidation process is visualised as a
decrease in electron density and reduction process
as an increase in electron density around the atom(s)
involved in the reaction.
According to the concept of oxidation number,
oxidation means increase in oxidation number – by
loss of electrons and reduction means decrease in
oxidation number by the gain of electrons. However,
during oxidation there is decrease in electron density
while increase in electron density around the atom
undergoing reduction.
Electrochemical cell
Electrochemical cell is the cell in which chemical
energy gets converted to electric energy.
In it indirect redox reactions takes place.
These reactions are spontaneous that is free energy
change for this reaction is negative.
This cell consists of two half cells.
In one half cell , there is a aqueous 1molar Zinc
sulphate solution with Zinc rod dipped in it.
In other half cell, there is a 1 molar aqueous
solution of Copper sulphate solution with Copper
rod dipped in it.
These electrodes by means of wire are attached
to galvanometer.
A U-shaped tube is taken, which is sealed from
both the ends with cotton plug.
In this, the electrolyte that is inert electrolyte is
taken like Potassium nitrate, Ammonium nitrate
etc. The electrolyte present is in semi-liquid
state.
Observations:
With time we see that Zinc rod loses weight, as it has
more tendency to loose electrons that is:
Zn -2 electrons --> Zn2+ (Oxidation)
Zinc Zinc Ion
These electrons released by zinc, travel to another
beaker by means of wire. In doing so, they cause
deflection in galvanometer and produce current.
This current travel in the direction opposite to the
flow of electrons.
These electrons move to another half cell, where
copper ions gain these electrons that is reduction
occur. As a result, copper metal start depositing on
electrode. The reaction that occurs is shown below:
Cu2+ + 2electrons --> Cu(reduction)
Copper ions Copper Metal
Functions of salt bridge
It connects the circuit internally by connecting the
solutions.
It helps in maintain neutrality.
With passage of time, the left container will have excess
positive charge around electrode. Due to which further
oxidation stops .Whereas in other beaker negative
charge will exceeds, which will start repelling electrons.
Therefore, at that time salt bridge comes into action.
The oppositely charged electrolyte ions start diffusing
into half cells in order to neutralize the excess charge.
Hence, the cell keeps on working.
The electrolyte that is selected must fulfill two
conditions:
Size of its cation and anion should be equal.
Electrolyte in salt bridge should not interact with
the main electrolyte of half cells.
The overall reaction that takes place is:
Zn + Cu2+ --> Zn2+ + Cu
Zinc Copper ion Zinc Ion Copper Metal
• Representation of the cell:
Standard hydrogen electrode and its
application:
Standard hydrogen electrode is the reference
electrode that is used to calculate electrode
potential of any electrode. It is also called as SHE
or NHE.
• This apparatus consists of beaker having 1
molar HCL solution. In it, a sealed tube having
platinum wire is dipped. This platinum wire is
further attached to platinum foil. This
complete cell is connected to the cell. Then
continuously hydrogen gas maintained at 1
atm is bubbled. Platinum foil here acts as a
site of reaction.
• The Standard electrode potential of SHE is
zero volt. This SHE can act as anode or
cathode, depending upon the half cell that is
attached to it.
If it acts as cathode then following reaction
occurs:
2H+ + 2e- --> H2 (Reduction Occurs)
Hydrogen Ion Hydrogen Gas
If it acts as anode then following reaction occur:
2H - 2e- --> 2H+ (Oxidation occurs)
Hydrogen Gas Hydrogen Ions
Applications:
This is used to calculate the electrode potentials
of various half cells.
Let us calculate the electrode potential of Zn half-
cell. The apparatus is set as shown:
• We known Zinc is more reactive than
hydrogen, that is it has more tendency to
loose electrons. Therefore, the following
reactions occur:
Electrochemical series
Is the arrangement of elements in order of
increasing potential. It is the series has the
values starting from –ve to positive. The series is
shown below:
Application:
The series tells us about the strength of reducing or
oxidizing agents
“Lower the value of potential, stronger is the reducing
agent “or vice versa.
The series tells us how to calculate standard electrode
potential for cell that is :
E* = (Ec - Ea)
The series helps us to predict the feasibility of reaction.
‘If value of E* is positive , then the reaction is feasible
If not positive, than the given reaction is not feasible “
The series helps us to know which metal will evolve
hydrogen gas and which will not.
“All the metals with negative reduction potential will
evolve hydrogen and others do not.”
Redox reactions -class 11 chemistry cbse

Redox reactions -class 11 chemistry cbse

  • 1.
    Unit VIII: RedoxReactions 04Periods Concept of oxidation and reduction, redox reactions, oxidation number, balancing redox reactions, in terms of loss and gain of electrons and change in oxidation number. Deleted topic: Applications of redox reactions
  • 2.
    • A numberof phenomena, both physical as well as biological, are concerned with redox reactions. • Extensive use in pharmaceutical, biological, industrial, metallurgical and agricultural areas. The importance of these reactions is apparent from the fact that burning of different types of fuels for obtaining energy for domestic, transport and other commercial purposes, electrochemical processes for extraction of highly reactive metals and non-metals, manufacturing of chemical compounds like caustic soda, operation of dry and wet batteries and corrosion of metals fall within the purview of redox processes.
  • 3.
    In terms ofClassical concept: Oxidation: Oxidation is defined as “addition of oxygen or any electronegative element and removal of hydrogen or any electropositive element”.
  • 4.
    • Reduction: Reductionis defined as” addition of hydrogen or any electropositive element and removal of oxygen or any electronegative element”.
  • 5.
    Substance that undergooxidation itself and reduce other is called reducing agent whereas the substance that undergo reduction itself and oxidize other is called oxidizing agent. For example:- CuO + H2 --> Cu + H2O Copper Oxide +Hydrogen Copper+ Water • In reaction, Cu is undergoing reduction and oxidizing hydrogen. Therefore, Cu is oxidizing agent and H is reducing agent. • “As in this reaction both oxidation and reduction occur simultaneously, therefore reaction is called redox reaction.”
  • 6.
    Oxidation Reduction Additionofoxygen2Mg+O2MgO RemovalofoxygenCuO+CCu+CO Removalofhydrogen.H2S+Cl22HCl+SAdditionofHydrogen S+H2H2S IncreaseinpositivechargeFe2+ Fe3+ +e- Decreaseinpositivecharge.Fe3+ +e-Fe2+ Increaseinoxidationnumber Decreaseinoxidationnumber Removalofelectrons Additionofelectrons
  • 7.
    Redox reaction Interms of Electron transfer concept: Oxidation: Is defined as loss of electrons that is: M-electron --> M+ Metal Metal ion Reduction: Is defined as gain of electrons that is given below. N + electron --> N- Non metal non metal ion
  • 8.
    Let’s consider equation:H2 + O2 -- > H2O We can see in this example that H atom as going from neutral to a positive state in water, the O atom goes from zero state to di negative state in water. There is an electron transfer from H to O and consequently H2 is oxidized and O2 is reduced .The charge transfer is only partial or we can say that it is electron shift rather than calling it as complete loss of electron by H and gain by O. Another example of Redox reaction in terms of electron transfer: Mg + H2 --> MgH2 Magnesium Hydrogen MagnesiumHydride In this Magnesium is losing electrons, that is undergoing oxidation and hydrogen is gaining electrons therefore, it is undergoing reduction. Mg is Reducing agent in it and H is Oxidizing agent in it.
  • 9.
    The oxidation ofmagnesium with fluorine, chlorine and sulphur etc. occurs according to the following reactions Mg (s) + F2 (g)  MgF2 (s) Mg (s) + Cl2 (g) MgCl2 (s) Mg (s) + S (s) MgS (s) In the above reaction removal of electropositive element is an oxidation.
  • 10.
    We have alreadylearnt that the reactions 2Na(s) + Cl2(g) 2NaCl (s) 4Na(s) + O2(g) 2Na2O(s) 2Na(s) + S(s) Na2S(s) In the above equation sodium is oxidised due to the addition of either oxygen or more electronegative element to sodium.
  • 11.
    Half reactions thatinvolve loss of electrons are called oxidation reactions. Similarly, the half reactions that involve gain of electrons are called reduction reactions.
  • 12.
    Oxidation: Loss ofelectron(s) by any species. Reduction: Gain of electron(s) by any species. Oxidising agent : Acceptor of electron(s). Reducing agent : Donor of electron(s).
  • 13.
    Competitive electron transferreactions: To understand this concept let us do an experiment. Place a strip of metallic zinc in an aqueous solution of copper nitrate as shown in Fig. After one hour following changes will be noticed. (i) Strips becomes coated with reddish metallic copper. (ii) Blue colour of the solution disappears. (iii) If hydrogen sulphide gas is passed through the solution appearance of white ZnS can be – seen on making the solution alkaline with ammonia.
  • 14.
    • Redox reactionbetween zinc and aqueous solution of copper nitrate occurring in a beaker.
  • 15.
    Let us extendelectron transfer reaction now to copper metal and silver nitrate solution in water and arrange a set-up . The solution develops blue colour due to the formation of Cu2+ ions on account of the reaction.
  • 16.
    • Here, Cu(s)is oxidised to Cu2+(aq) and Ag+(aq) is reduced to Ag(s) Equilibrium greatly favours the products Cu2+(aq) and Ag(s). By way of contrast, let us also compare the reaction of metallic cobalt placed in the nickel sulphate solution . The reaction that occurs here is
  • 17.
    At equilibrium, chemicaltests reveal that both Ni2+(aq) and Co2+(aq) are present at moderate concentrations. In this case, neither the reactants [Co(s) and Ni2+(aq)] nor the products [Co2+(aq) and Ni (s)] are greatly favoured. This competition for release of electrons incidently reminds us of the competition for release of protons among acids. The similarity suggests that we might develop a table in which metals and their ions are listed on the basis of their tendency to release electrons just as we do in the case of acids to indicate the strength of the acids. By comparison we have come to know that zinc releases electrons to copper and copper releases electrons to silver and, therefore, the electron releasing tendency of the metals is in the order: Zn>Cu>Ag.
  • 18.
    The competition forelectrons between various metals help us to design a class of cells named as Galvanic cells in which the chemical reactions become the source of electrical energy. Oxidation Number: It is the oxidation state of an element in a compound which is the charge assigned to an atom of a compound is equal to the number of electrons in the valence shell of an atom that are gained or lost completely or to a large extent by that atom while forming a bond in a compound.
  • 19.
    Rules to assignand calculate oxidation number • The oxidation number of atoms in their elemental state is taken as zero. • The oxidation number of mono-atomic atoms like Na+ etc is taken as 1. • The oxidation number of Hydrogen is +1 when present with non metals and -1 when present with metals. • The oxidation number of oxygen is -2 in most of the compounds but in peroxides it is -1. • The metals always have oxidation number in positive and non metal in negative when present together in ionic compounds. • In compounds that have two atoms with different electro negativities, the oxidation number of more electronegative is taken as –ve and for less electronegative it is taken as positive. For example: In OF2 the oxidation number of oxygen will be in positive and oxidation of fluorine will be in negative.
  • 20.
    • In polyatomic ion the sum of the oxidation no. of all the atoms in the ion is equal to the net charge on the ion. For example, in (C03)2—Sum of carbon atoms and three oxygen atoms is equal to -2. Fluorine (F2) is so highly reactive non-metal that it displaces oxygen from water. • Disproportionation Reaction. In a disproportionation reaction an element in one oxidation state is simultaneously oxidises and reduced.
  • 21.
    • Hence, theoxygen of peroxide, which is present in -1 oxidation state is connected to zero oxidation state and in 02 and in H2O decreases to -2 oxidation state. • The algebraic sum of the oxidation number of all the atoms in a compound must be zero.
  • 22.
    Fractional Oxidation Numbers Elementsas such do not have any fractional oxidation numbers. When the same element are involved in different bonding in a species, their actual oxidation states are whole numbers but an average of these is fractional. For example, In C302.
  • 23.
    • In thismethod it is always assumed that there is a complete transfer of electron from a less electronegative atom to a more electronegative atom . For example,
  • 24.
    A term thatis often used interchangeably with the oxidation number is the oxidation state. Thus in CO2, the oxidation state of carbon is +4, that is also its oxidation number and similarly the oxidation state as well as oxidation number of oxygen is – 2. This implies that the oxidation number denotes the oxidation state of an element in a compound.
  • 26.
    • The oxidationnumber is expressed by putting a roman numeral representing the oxidation number in parenthesis after the symbol of the metal in the molecular formula. • Oxidation: An increase in the oxidation number of the element in the given substance. • Reduction: A decrease in the oxidation number of the element in the given substance. • Oxidising agent: A reagent which can increase the oxidation number of an element in a given substance. These reagents are called as oxidants also.
  • 27.
    • Reducing agent:A reagent which lowers the oxidation number of an element in a given substance. These reagents are also called as reductants. • Redox reactions: Reactions which involve change in oxidation number of the interacting species.
  • 29.
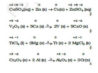
    Types of redoxreactions: Redox reactions in which two substances combine to form a single compound are called combination reaction. C+O2CO2 0 +0+4&-2
  • 30.
    Decomposition reaction: Redox reactionin which a compound breaks down into two or more compounds are called decomposition reactions. These reactions are opposite to combination reaction. In these reactions, the oxidation number of the different elements in the same substances is changed.
  • 32.
    Displacement reaction: In adisplacement reaction, an ion (or an atom) in a compound is replaced by an ion(or an atom) of another element. It may be denoted as X+YZXZ+Y Displacement reactions can be classified as metal displacement and non-metal displacement: Metal displacement reactions: Pure metals are obtained from their compounds in ores.
  • 34.
    • Non-metal displacement: Thenon-metal displacement redox reactions include hydrogen displacement and a rarely occurring reaction involving oxygen displacement. All alkali metals and some alkaline earth metals (Ca, Sr, and Ba) which are very good reductants, will displace hydrogen from cold water.
  • 35.
    • Less activemetals such as magnesium and iron react with steam to produce dihydrogen gas. • Very less active metals, which may occur in the native state such as silver(Ag) and (Au) do not react even with HCl.
  • 36.
    • A fewexamples for the displacement of hydrogen from acids are: • Reactivity of metals is reflected in the rate of hydrogen gas evolution, which is the slowest for the least active metal Fe, and the fastest for the most reactive metal Mg.
  • 37.
    • As fluorineis so reactive that it attacks water and displaces the oxygen of water: • It is for this reason that the displacement reactions of chlorine, bromine and iodine using fluorine are not generally carried out in aqueous solution. • On the other hand, chlorine can displace bromide and iodide ions in an aqueous solution
  • 38.
    • As Br2and I2 are coloured and dissolve in CCl4 can easily be identified from the colour of the solution. • Reactions forms the basis of identifying Br- and I- in the laboratory through the test popularly known as Layer Test.
  • 39.
    • The halogendisplacement reactions have a direct industrial application. The recovery of halogens from their halides requires an oxidation process. • Disproportionation reactions: In some redox reactions, the same compound can undergo both oxidation and reduction. In such reactions, the oxidation state of one and the same element is both increased and decreased . These reactions are called disproportionation reactions.
  • 40.
    • Phosphorous, sulphurand chlorine undergo disproportionation in the alkaline medium
  • 41.
    • The reactiondescribes the formation of household bleaching agents. The hypochlorite ion(ClO-) formed in the reaction oxidises the colour bearing stains of the substances to colourless compounds. • Fluorine shows deviation from the behaviour when it reacts with alkali.
  • 44.
    Balancing of RedoxReactions: Step 1: Write the correct formula for each reactant and product. Step 2: Identify atoms which undergo change in oxidation number in the reaction by assigning the oxidation number to all elements in the reaction.
  • 45.
    Step 3: Calculatethe increase or decrease in the oxidation number per atom and for the entire molecule/ion in which it occurs. If these are not equal then multiply by suitable number so that these become equal. (If you realise that two substances are reduced and nothing is oxidised or vice-versa, something is wrong. Either the formulas of reactants or products are wrong or the oxidation numbers have not been assigned properly).
  • 46.
    Step:4 If the reactionis carried out in acidic solution, use H+ ions in the equation; if in basic solution, use OH– ions. Step:5 Make the numbers of hydrogen atoms in the expression on the two sides equal by adding water (H2O) molecules to the reactants or products. Now, also check the number of oxygen atoms. If there are the same number of oxygen atoms in the reactants and products, the equation then represents the balanced redox reaction.
  • 47.
    • Rule: 1Write the skeletal equation for the given reaction. • Rule:2 Write oxidation state of each atom. • Rule :3 Determine the increase and decrease of oxidation No per atom. • Rule:4 If the increase/decrease are not equal then equalise the increase or decrease in O.N on the reactant side by multiplying the respective formula with suitable integers. • Rule:5 Balance all other atoms except hydrogen and oxygen.
  • 48.
    • Balance oatoms by adding OH- ions to the side deficient in O atoms. To balance H atoms, add H2O molecules for each H atom on the side deficient in H atom. At the same time, add an equal no. of OH- ions to the opposite side. • Permanganate ion reacts with bromide ion in basic medium to give manganese dioxide and bromate ion. Write the balanced ionic equation for the reaction.
  • 53.
    • Example: Permagnateion reacts with bromide ion in basic medium to give manganese dioxide and Bromate ion . • Step1: the skeletal ionic equation is : MnO4 - (aq) +Br- (aq) ---> MnO2 +BrO3 - • Step 2: assign oxidation numbers for Mn and Br • Step3: calculate the increase and decrease in oxidation number and make the change equal :
  • 54.
    • Step: 4as the reaction occurs in basic medium, and the ionic charges are not equal on both sides, add 2OH- ions on the right to make it equal. • Step5: finally count the hydrogen atoms and add appropriate number of water molecules on the left side to achieve balanced Redox reaction.
  • 55.
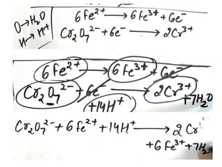
    (ii) Half ReactionMethod. In this method two half equation are balanced separately and than added together to give balanced equation.
  • 56.
    • Half-reaction method– ion exchange method
  • 60.
    NO3 - + Bi Bi3+ + NO2 Oxidation: BiBi3+ +3e- Reduction: NO3 - +1e- NO2 NO3 -+ e- NO2+H2O x3 3NO3 -+3e- +6H+ 3NO2+3H2O BiBi3+ +3e- ------------------------------------------ 3NO3 -+Bi +6H+ 3NO2+Bi3+ +3H2O -----------------------------------------
  • 62.
    Titration is theprocess in which the solutions of two reagents are allowed to react with each other. Procedure: In it one solution (known volume) is taken in Burette and the solution is called titrant. The other reagent is taken in flask called titration flask and the solution is called as analyte. The titration is carried out till both the reagents mix completely. The stage at which both the reagent mix completely is called end point. The end point is detected by indicator. The objective of these titrations is to find out the exact amount of an acid (or the base) present in a given solution by reacting it against the solution of standard base (or an acid) .
  • 63.
    There are twotypes of Redox reactions Direct Redox reaction Indirect Redox reaction Direct Redox reaction: In which oxidation and reduction both occur in same beaker. In this electron so produced does not travel to large distance. For example: A beaker containing Zinc rod dipped in Copper sulphate solution in this the following reaction occur: Zn + CuSO4 --> ZnSO4 + Cu Zinc Copper Sulphate Zinc Sulphate Copper In this zinc being more reactive displaces copper from copper sulphate and forms zinc sulphate and copper. Indirect Redox reactions: In it oxidation and reduction occur in different beakers. The electron so produced has to travel a certain distance that leads to generation of current. Example: Daniel cell: A cell containing Zn-Cu couple that we are going to study in detail now as given below but before that let us make you familiar with the general term used in redox reaction that is Redox couple.
  • 64.
    Redox reactions asthe basis for titrations: In acid-base systems we come across with a titration method for finding out the strength of one solution against the other using a pH sensitive indicator. In redox systems, the titration method can be adopted to determine the strength of a reductant/oxidant using a redox sensitive indicator.
  • 65.
    In one situation,the reagent itself is intensely coloured, e.g., permanganate ion, MnO4 – . Here MnO4 acts as the self indicator. The visible end point in this case is achieved after the last of the reductant (Fe2+ or C2O42–) is oxidised and the first lasting tinge of pink colour appears at MnO4 concentration as low as 10–6 mol dm–3 (10–6 mol L–1). This ensures a minimal ‘overshoot’ in colour beyond the equivalence point, the point where the reductant and the oxidant are equal in terms of their mole stoichiometry.
  • 66.
    Redox Reactions asthe Basis for Titration Potassium Permanganate Titration: In these titrations potassium permanganate (pink in colour) acts as an oxidising agent in the acidic medium while oxalic acid or some ferrous salts acts as a reducing agents. The ionic equation can be written as:
  • 67.
    If there isno dramatic auto-colour change (as with MnO4 – titration), there are indicators which are oxidised immediately after the last bit of the reactant is consumed, producing a dramatic colour change. The best example is afforded by Cr2O72-. which is not a self-indicator, but oxidises the indicator substance diphenylamine just after the equivalence point to produce an intense blue colour, thus signalling the end point.
  • 68.
    There is yetanother method which is interesting and quite common. Its use is restricted to those reagents which are able to oxidise I– ions, say, for example, Cu(II): 2Cu2+(aq) + 4I–(aq)Cu2I2(s) + I2(aq) This method relies on the facts that iodine itself gives an intense blue colour with starch and has a very specific reaction with thiosulphate ions (S2O32– ), which too is a redox reaction: I2(aq) + 2 S2O3 2–(aq)2I–(aq) + S4O6 2- I2, though insoluble in water, remains in solution containing KI as KI3.
  • 69.
    On addition ofstarch after the liberation of iodine from the reaction of Cu2+ ions on iodide ions, an intense blue colour appears. This colour disappears as soon as the iodine is consumed by the thiosulphate ions. Thus, the end-point can easily be tracked and the rest is the stoichiometric calculation only.
  • 70.
    • Limitations ofConcept of Oxidation Number: In fact the oxidation process is visualised as a decrease in electron density and reduction process as an increase in electron density around the atom(s) involved in the reaction. According to the concept of oxidation number, oxidation means increase in oxidation number – by loss of electrons and reduction means decrease in oxidation number by the gain of electrons. However, during oxidation there is decrease in electron density while increase in electron density around the atom undergoing reduction.
  • 71.
    Electrochemical cell Electrochemical cellis the cell in which chemical energy gets converted to electric energy. In it indirect redox reactions takes place. These reactions are spontaneous that is free energy change for this reaction is negative. This cell consists of two half cells. In one half cell , there is a aqueous 1molar Zinc sulphate solution with Zinc rod dipped in it. In other half cell, there is a 1 molar aqueous solution of Copper sulphate solution with Copper rod dipped in it.
  • 73.
    These electrodes bymeans of wire are attached to galvanometer. A U-shaped tube is taken, which is sealed from both the ends with cotton plug. In this, the electrolyte that is inert electrolyte is taken like Potassium nitrate, Ammonium nitrate etc. The electrolyte present is in semi-liquid state.
  • 74.
    Observations: With time wesee that Zinc rod loses weight, as it has more tendency to loose electrons that is: Zn -2 electrons --> Zn2+ (Oxidation) Zinc Zinc Ion These electrons released by zinc, travel to another beaker by means of wire. In doing so, they cause deflection in galvanometer and produce current. This current travel in the direction opposite to the flow of electrons. These electrons move to another half cell, where copper ions gain these electrons that is reduction occur. As a result, copper metal start depositing on electrode. The reaction that occurs is shown below:
  • 75.
    Cu2+ + 2electrons--> Cu(reduction) Copper ions Copper Metal Functions of salt bridge It connects the circuit internally by connecting the solutions. It helps in maintain neutrality. With passage of time, the left container will have excess positive charge around electrode. Due to which further oxidation stops .Whereas in other beaker negative charge will exceeds, which will start repelling electrons. Therefore, at that time salt bridge comes into action. The oppositely charged electrolyte ions start diffusing into half cells in order to neutralize the excess charge. Hence, the cell keeps on working.
  • 76.
    The electrolyte thatis selected must fulfill two conditions: Size of its cation and anion should be equal. Electrolyte in salt bridge should not interact with the main electrolyte of half cells. The overall reaction that takes place is: Zn + Cu2+ --> Zn2+ + Cu Zinc Copper ion Zinc Ion Copper Metal
  • 77.
  • 78.
    Standard hydrogen electrodeand its application: Standard hydrogen electrode is the reference electrode that is used to calculate electrode potential of any electrode. It is also called as SHE or NHE.
  • 79.
    • This apparatusconsists of beaker having 1 molar HCL solution. In it, a sealed tube having platinum wire is dipped. This platinum wire is further attached to platinum foil. This complete cell is connected to the cell. Then continuously hydrogen gas maintained at 1 atm is bubbled. Platinum foil here acts as a site of reaction. • The Standard electrode potential of SHE is zero volt. This SHE can act as anode or cathode, depending upon the half cell that is attached to it.
  • 80.
    If it actsas cathode then following reaction occurs: 2H+ + 2e- --> H2 (Reduction Occurs) Hydrogen Ion Hydrogen Gas If it acts as anode then following reaction occur: 2H - 2e- --> 2H+ (Oxidation occurs) Hydrogen Gas Hydrogen Ions Applications: This is used to calculate the electrode potentials of various half cells. Let us calculate the electrode potential of Zn half- cell. The apparatus is set as shown:
  • 82.
    • We knownZinc is more reactive than hydrogen, that is it has more tendency to loose electrons. Therefore, the following reactions occur:
  • 83.
    Electrochemical series Is thearrangement of elements in order of increasing potential. It is the series has the values starting from –ve to positive. The series is shown below:
  • 84.
    Application: The series tellsus about the strength of reducing or oxidizing agents “Lower the value of potential, stronger is the reducing agent “or vice versa. The series tells us how to calculate standard electrode potential for cell that is : E* = (Ec - Ea) The series helps us to predict the feasibility of reaction. ‘If value of E* is positive , then the reaction is feasible If not positive, than the given reaction is not feasible “ The series helps us to know which metal will evolve hydrogen gas and which will not. “All the metals with negative reduction potential will evolve hydrogen and others do not.”