PROKINETICS


    By: Dr. Vahid Nikoui

Email: nikoui@razi.tums.ac.ir
Normal GI Motility
Control pathways
 Both hormonal and neural
 Short pathways: involves automatic regulation within the enteric
  system itself
 Long pathways: involves the CNS (somatic and autonomic)
 Three phases: cephalic, gastric and intestinal phases
Cephalic phase: salivary and gastric secretions


 Salivary secretion stimulated by
   parasympathetic NS by odors,
   sight, taste  saliva fluid and
   rich in enzymes

 Stimulated by sympathetic NS
   thick secretion, rich in
   proteins

 Gastric secretion: increase acid
   and enzymes secretion in
   response to sight, smell and
   taste of food
Gastric phase

 Stimuli: presence of
  food in the stomach
  (both distention and
  nutrients)

 Stimulation of the
  parasympathetic NS
  and secretion of gastrin
  (hormone)

 Response: increased
  motility and juice
  secretion
Intestinal phase

 Arrival of nutrients in duodenum  decreased gastric
  secretion and motility

 Promotes secretion of cholecystokinin (CCK) and secretin

  - CCK promotes:
       - increased pancreatic enzyme secretion
       - gallbladder contraction and sphincter of Oddi
  relaxation

  - secretin promotes:
       - bicarbonate ion secretion (pancreas)
       - bile secretion
 Peristalsis:
      Waves of contraction of longitudinal muscle fibers
       moving down the GI tract

 Segmentation:
      In small intestine for mixing chyme
Gastric motility

 Gastrin



 CCK
 Secretin
 Gastric inhibitory peptide (GIP)
Control mechanisms

 During fasting, ghrelin and peptide YY (PYY)
  concentrations are abnormal

 Nutrient-stimulated concentrations of CCK
  and PYY are markedly elevated  delayed
  gastric emptying
Motility in the small intestine



 Segmentation and peristalsis increased by distention
  of the wall

 Intestino-intestinal reflex:
      Severe distention or injury inhibits motility in the region

 Ileo-gastric reflex:
      Distension of ileum inhibits gastric motility

 Gastro-ileal reflex:
      Presence of chyme in stomach increases motility in ileum
Motility in the colon

 Haustration:
      Like segmentation

 Colono-colonic reflex:
      Distension in one part of the colon induces relaxation in other parts

 Gastro-colic reflex:
      A meal in the stomach increases colonic motility

 Defecation:
       Triggered by distention of the rectal wall
       Signal sent to sacral parasympathetic and cortex
       Smooth muscle of anal sphincter open
       If the person decides to go to the bathroom  open
       voluntary muscle sphincter
Migrating motor complexes (MMCs):


☆Phase I:
      Quiescence


☆Phase II:
      Variable period of irregular contractile
  activity

☆Phase III:
      Short period (5~10 min) of intense, frequent, regular
       contractions (motilin receptor) clear bowel
Gastric emptying in the critically ill


 Delayed gastric emptying is more frequent in:
   ☆Burns
   ☆Multiple trauma
   ☆Severe sepsis


►80% of head injuries

►Hyperglycemia delays gastric emptying
      (pre-existing DM doesn’t affect)
 Drugs administered in ICU, particularly inotropes
  and those used for sedation

 Opiates  μ-receptors
 High levels of circulating catecholamines commonly seen 
  negative effect

 Adrenaline reduces gastric emptying by a β-adrenergic effect


 Dopamine reduces antral contractions and slows orocaecal
  transit

 High-dose catecholamines may reduce the prokinetic effect of
  erythromycin

 Anticholinergics and calcium channel blockers
Intestinal absorption in critically ill

 Glucose absorption is substantially reduced


 Fat absorption may also be reduced


 The reasons for impaired absorption are unclear
Agents      that     enhance    coordinated
contraction of the antrum & duodenum
Increases gastric emptying
Relief of gastric stasis
Decreases reflux oesophagitis / heart burn
Decreases regurgitation of gastric contents
& emesis
Achalasia    (esophagus       spasm,       lower
esophageal sphincter (LES) fails to relax)

GERD (gastroesophageal reflux disease)
(insufficient LES pressure)

Gastroparesis (delayed gastric emptying,
often occurs in people with diabetes due to
vagus nerve damage)
CATEGORY              PROTOTYPE        MECHANISM OF
                                            ACTION

Muscarinic agonists     Bethanachol          GI motility
Anticholinestrases      Neostigmine      GI motility, inhibit
                                         ACh degradation
  Dopamine D2         Metoclopramide &   Blocks inhibitory
   blockers            Domperidone          D2 receptor
                        Cisapride,          Activates
 5-HT4 agonists       Metoclopramide     excitatory 5-HT4
                        Tegaserod,          receptors
                       Prucalopride
                                         Activate neural &
Motilin Agonists        Erythromycin      smooth muscle
                                         motilin receptor
Bethanachol & Neostigmine:


Disadvantages:

    Non-specific effect
    Increases salivation
    Diarrhea, gastric & pancreatic secretion
Metoclopramide
D2 antagonist
5-HT4 agonist
5-HT3 antagonist

 Widely used in ICU

 Antagonizes the inhibitory effect of dopamine on motility
       Crosses the blood brain barrier
       Hyperprolactinemia
       Anti-emetic effect

 With repeated administration tachyphylaxis develops

 Ineffective and contraindicated in patients with head injuries
Domperidone

   D2 selective antagonist

   Does not cross blood brain barrier

   CNS related symptoms are least

   Causes hyperprolactinemia
Cisapride

 5-HT4 agonist
     Acetylcholine increase in enteric nervous system
      (parasympathomimetic)  increase esophageal
      sphincter tone and gastric emptying

     Has no D2 receptor activity, no CNS related side effects
     No hyperprolactinemia, no anti-emetic effect
     Causes upper G.I. motility, promote colonic hypermotility
     Relieves constipation
     Causes ventricular arrhythmia by torsades de pointes
     Block K+ channels in the heart & GIT
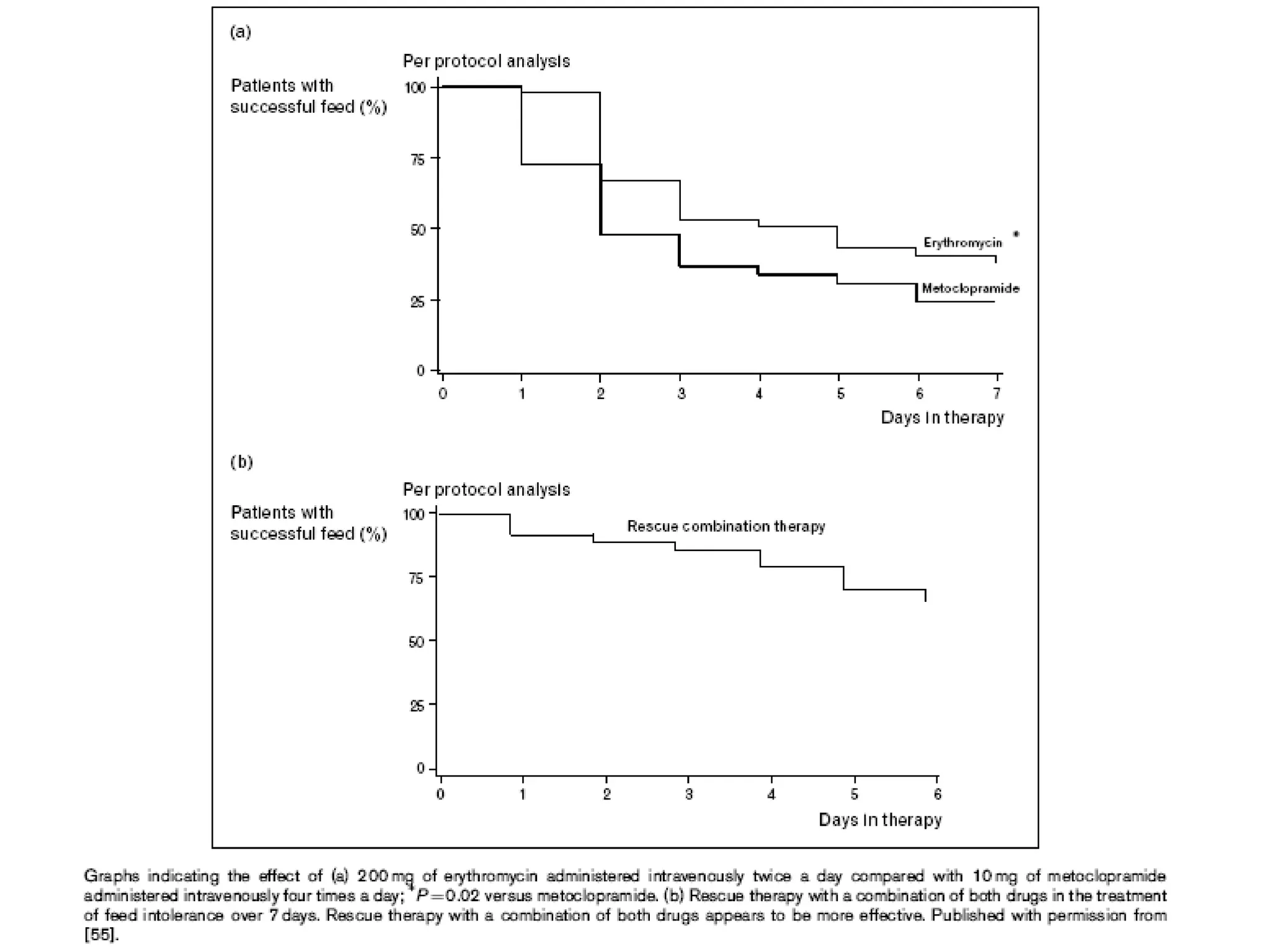
• Erythromycin


 Macrolide antibiotic & acts as a motilin agonist

 Low doses (1~3 mg/kg IV) of erythromycin act as a motilin
  agonist, triggering phase III activity in the stomach and small
  intestine

 In critically ill, it increases antral motility, accelerates gastric
  emptying and improves the success of feeding

 Efficacy reduced after 7-day use


 Cardiac toxicity and bacterial resistance
Combination therapy
 Combination      of     erythromycin     and
 metoclopramide for failure of nasogastric
 feeding, is superior to either drug alone and
 with less tachyphylaxis
Novel Therapies
 Elevated cholecystokinin levels slow gastric emptying
  and motility and are associated with feed intolerance in
  critically ill patients

☆Dexloxiglumide

      Selective and highly potent CCK-1 receptor antagonist
      Inhibits gall bladder contraction
      Improves lower oesophageal sphincter function
      Hastens colonic transit
μ Receptor Antagonists
 Opiates slow gastric emptying  opiate
 antagonist

☆Naloxone

   administered directly into the gut  avoid
    antagonism of the central effects of parenteral
    opiates
   improves the success of feeding and reduces
    pneumonia
☆Alvimopan

     High affinity for μ receptors

     Does not cross the blood–brain barrier

     No effect on gastric emptying

     hastened gut recovery and shortened time
      to hospital discharge in patients after
      bowel resection or hysterectomy
nhibit dopamine D2 receptors




                           Motor
                           neuron
 hibit
                                    Stimulate
HT3 receptors                       5HT4 receptors
 Thank   You !

Prokinetics

  • 1.
    PROKINETICS By: Dr. Vahid Nikoui Email: nikoui@razi.tums.ac.ir
  • 2.
  • 3.
    Control pathways  Bothhormonal and neural  Short pathways: involves automatic regulation within the enteric system itself  Long pathways: involves the CNS (somatic and autonomic)  Three phases: cephalic, gastric and intestinal phases
  • 4.
    Cephalic phase: salivaryand gastric secretions  Salivary secretion stimulated by parasympathetic NS by odors, sight, taste  saliva fluid and rich in enzymes  Stimulated by sympathetic NS thick secretion, rich in proteins  Gastric secretion: increase acid and enzymes secretion in response to sight, smell and taste of food
  • 5.
    Gastric phase  Stimuli:presence of food in the stomach (both distention and nutrients)  Stimulation of the parasympathetic NS and secretion of gastrin (hormone)  Response: increased motility and juice secretion
  • 6.
    Intestinal phase  Arrivalof nutrients in duodenum  decreased gastric secretion and motility  Promotes secretion of cholecystokinin (CCK) and secretin - CCK promotes: - increased pancreatic enzyme secretion - gallbladder contraction and sphincter of Oddi relaxation - secretin promotes: - bicarbonate ion secretion (pancreas) - bile secretion
  • 7.
     Peristalsis:  Waves of contraction of longitudinal muscle fibers moving down the GI tract  Segmentation:  In small intestine for mixing chyme
  • 8.
    Gastric motility  Gastrin CCK  Secretin  Gastric inhibitory peptide (GIP)
  • 9.
    Control mechanisms  Duringfasting, ghrelin and peptide YY (PYY) concentrations are abnormal  Nutrient-stimulated concentrations of CCK and PYY are markedly elevated  delayed gastric emptying
  • 10.
    Motility in thesmall intestine  Segmentation and peristalsis increased by distention of the wall  Intestino-intestinal reflex:  Severe distention or injury inhibits motility in the region  Ileo-gastric reflex:  Distension of ileum inhibits gastric motility  Gastro-ileal reflex:  Presence of chyme in stomach increases motility in ileum
  • 11.
    Motility in thecolon  Haustration:  Like segmentation  Colono-colonic reflex:  Distension in one part of the colon induces relaxation in other parts  Gastro-colic reflex:  A meal in the stomach increases colonic motility  Defecation:  Triggered by distention of the rectal wall  Signal sent to sacral parasympathetic and cortex  Smooth muscle of anal sphincter open  If the person decides to go to the bathroom  open voluntary muscle sphincter
  • 12.
    Migrating motor complexes(MMCs): ☆Phase I:  Quiescence ☆Phase II:  Variable period of irregular contractile activity ☆Phase III:  Short period (5~10 min) of intense, frequent, regular contractions (motilin receptor) clear bowel
  • 14.
    Gastric emptying inthe critically ill  Delayed gastric emptying is more frequent in: ☆Burns ☆Multiple trauma ☆Severe sepsis ►80% of head injuries ►Hyperglycemia delays gastric emptying  (pre-existing DM doesn’t affect)
  • 15.
     Drugs administeredin ICU, particularly inotropes and those used for sedation  Opiates  μ-receptors
  • 16.
     High levelsof circulating catecholamines commonly seen  negative effect  Adrenaline reduces gastric emptying by a β-adrenergic effect  Dopamine reduces antral contractions and slows orocaecal transit  High-dose catecholamines may reduce the prokinetic effect of erythromycin  Anticholinergics and calcium channel blockers
  • 17.
    Intestinal absorption incritically ill  Glucose absorption is substantially reduced  Fat absorption may also be reduced  The reasons for impaired absorption are unclear
  • 19.
    Agents that enhance coordinated contraction of the antrum & duodenum Increases gastric emptying Relief of gastric stasis Decreases reflux oesophagitis / heart burn Decreases regurgitation of gastric contents & emesis
  • 20.
    Achalasia (esophagus spasm, lower esophageal sphincter (LES) fails to relax) GERD (gastroesophageal reflux disease) (insufficient LES pressure) Gastroparesis (delayed gastric emptying, often occurs in people with diabetes due to vagus nerve damage)
  • 21.
    CATEGORY PROTOTYPE MECHANISM OF ACTION Muscarinic agonists Bethanachol GI motility Anticholinestrases Neostigmine GI motility, inhibit ACh degradation Dopamine D2 Metoclopramide & Blocks inhibitory blockers Domperidone D2 receptor Cisapride, Activates 5-HT4 agonists Metoclopramide excitatory 5-HT4 Tegaserod, receptors Prucalopride Activate neural & Motilin Agonists Erythromycin smooth muscle motilin receptor
  • 22.
    Bethanachol & Neostigmine: Disadvantages: Non-specific effect Increases salivation Diarrhea, gastric & pancreatic secretion
  • 23.
    Metoclopramide D2 antagonist 5-HT4 agonist 5-HT3antagonist  Widely used in ICU  Antagonizes the inhibitory effect of dopamine on motility  Crosses the blood brain barrier  Hyperprolactinemia  Anti-emetic effect  With repeated administration tachyphylaxis develops  Ineffective and contraindicated in patients with head injuries
  • 24.
    Domperidone  D2 selective antagonist  Does not cross blood brain barrier  CNS related symptoms are least  Causes hyperprolactinemia
  • 25.
    Cisapride  5-HT4 agonist  Acetylcholine increase in enteric nervous system (parasympathomimetic)  increase esophageal sphincter tone and gastric emptying  Has no D2 receptor activity, no CNS related side effects  No hyperprolactinemia, no anti-emetic effect  Causes upper G.I. motility, promote colonic hypermotility  Relieves constipation  Causes ventricular arrhythmia by torsades de pointes  Block K+ channels in the heart & GIT
  • 26.
    • Erythromycin  Macrolideantibiotic & acts as a motilin agonist  Low doses (1~3 mg/kg IV) of erythromycin act as a motilin agonist, triggering phase III activity in the stomach and small intestine  In critically ill, it increases antral motility, accelerates gastric emptying and improves the success of feeding  Efficacy reduced after 7-day use  Cardiac toxicity and bacterial resistance
  • 27.
    Combination therapy  Combination of erythromycin and metoclopramide for failure of nasogastric feeding, is superior to either drug alone and with less tachyphylaxis
  • 29.
  • 30.
     Elevated cholecystokininlevels slow gastric emptying and motility and are associated with feed intolerance in critically ill patients ☆Dexloxiglumide  Selective and highly potent CCK-1 receptor antagonist  Inhibits gall bladder contraction  Improves lower oesophageal sphincter function  Hastens colonic transit
  • 31.
    μ Receptor Antagonists Opiates slow gastric emptying  opiate antagonist ☆Naloxone  administered directly into the gut  avoid antagonism of the central effects of parenteral opiates  improves the success of feeding and reduces pneumonia
  • 32.
    ☆Alvimopan  High affinity for μ receptors  Does not cross the blood–brain barrier  No effect on gastric emptying  hastened gut recovery and shortened time to hospital discharge in patients after bowel resection or hysterectomy
  • 33.
    nhibit dopamine D2receptors Motor neuron hibit Stimulate HT3 receptors 5HT4 receptors
  • 34.