SCHOOL OF ARCHITECTURE • BUILDING • DESIGN
BACHELOR OF QUANTITY SURVEYING (HONOURS)
QSB 60103 – SITE SURVRYING
Fieldwork Report 2
Traversing
Name Student ID Marks
Yong Seen Yee 0315883
Yeoh Pooi Ching 0315540
Yee Algel 0315890
Yong Boon Xiong 0321754
Content
Table of content Page
Cover Page 1
Table of Content 2
Introduction to Traversing 3-5
Outline of Apparatus 6-8
Objective 9
Field Data 10-17
Discussion 18
Conclusion 19
Reference 20
Introduction to Traversing
A traverse survey is one in which consists of connected series of line form, the lengths and
direction of the survey line which are measured with the help of tape or chain and an angle
measuring instrument. A series of points set out on the ground called traverse stations. A
traverse survey can also measure the distances between the stations and the angle between the
lines. (Ashadi Hamdan, 2015)
There are consists of two types of traverse which are open traverse and closed traverse.
Open Traverse
Open traverse is a series of measured straight lines and angles that do not geometrically close
or a surveying traverse that fails to terminate at the starting point and therefore does not
completely encloses a polygon. Normally, the open traverse is applied in the long narrow
strip of land such as road, railway and others.
(ArtillerySurveyors,n.d.)
ClosedTraverse
Closed traverse is a series of connected line which end at the starting point. It is an enclosed
area which can be used to show out the shape of an area. There are consists of two types of
closed traverse which are closed loop traverse and closed connecting traverse.
i)Closed Loop traverse
In surveying, loop traverse starts and ends with the same survey point, forming a polygon.
(Integrated,n.d.)
ii) Closed connecting traverse
Connecting traverse is looks like an open traverse, the only different between connecting
traverse and open traverse is it begins and ends at point of know position at each end of the
traverse.
(Global Security.org,2015)
OVERALL TRAVERSE
(Integrated,n.d.)
Selectionofstation
-The line between the stations should be free of obstacles if the distance is measured by using
the tape.
-It should keep a minimum number of stations to reduce the accumulative of errors.
-Traverse legs should be approximately equal in same length
Azimuth
•Angles measured clockwise horizontal angle from any reference direction or meridian
•Azimuths are referenced from north
•True bearings are based on true north.
•Magnetic azimuths are based on magnetic north
•Azimuths angle range between 0 and 360°
Bearing
•Designate the direction of a line by an angle and quadrant letters. (e.g. N30° E)
•Bearings are never greater than 90°
•Bearings are referenced from north or south and the angle to the east or west from the north-
south meridian.
•True bearings are based on true north.
•Magnetic bearings are based on magnetic north.
(Pennstate,2014)
Outline of apparatus
a) Theodolite
- A precision instrument for measuring angles in the horizontal and vertical planes.
- Used mainly for land surveying and adapted for specialized purposes in fields.
- Mounted on its tripod head.
(HD IMAGE gallery.net,n.d.)
b) Adjustable leg- tripod
- Surveyor’s tripod is a device used to support any one of a number of surveying
instruments, such as automatic level.
- This tripods are more common in the construction world, especially outdoors
because of generally uneven surfaces.
(Ebay,n.d.)
c) Plumb bob
- Usually placed with a pointed tip on the bottom, that is suspended from a
string and use as a vertical reference line.
- It is essentially the vertical equivalent of a water level.
(Archtools,n.d.)
d) Ranging rod
- Is a surveying instrument used for make position of stations for the straight
lines.
- Thin and straight bamboo or wood and shod with iron at the bottom and
surmounted with a flag.
(indiamart,n.d.)
e) Tape- Measure
- Fibre or plastic tape that typically comes in different type of lengths.
(AliExpress,n.d.)
Objectives
- To enable students to fully understand the traversing procedure.
- To enable students to learn the correct method of using theodolite.
- To enable students to gain experience on doing fieldwork with theodolite.
- To enable students to obtain data required for the fieldwork report on traversing.
- To allow students to apply both practical and theory knowledge that had been taught
in lecture classes.
- To enable students to identify the error and make adjustment to the data.
FIELD DATA
A
Station Field Angles
A 88° 59’ 40’’
B 90° 22’ 20’’
C 90° 41’ 20’’
D 90° 02’ 40’’
Sum= 358° 124’ 120’’
360° 6’ 0’’
B
CD
88˚59’40” 90˚22’20”
90˚41’20”
90˚02’40”
4.1 Angular Error & Angle Adjustments
(4-2)(180°) = 2(180°) = 360°, since there are 4 angles. Therefore, the total interior angles will
be 360°.
Total angular error = 360°6’0’’- 360° = 0° 6’0 ’’
Therefore, error per angle = 0° 6’ 0’’÷4 = 1’30’’ per angle.
Station Field Angles Correction Adjusted Angles
A 88° 59’ 40’’ -1’30’’ 88° 58’ 10’’
B 90° 22’ 20’’ -1’30’’ 90° 20’ 50’’
C 90° 41’ 20’’ -1’30’’ 90° 39’ 50’’
D 90° 02’ 40’’ -1’30’’ 90° 01’ 10’’
Sum= 360° 6’ 0’’ 360° 00’ 00’’
Stadia method
As we do not have any enough measuring tape to measure the length between the
points. Therefore, Mr Chai had suggested us to use the stadia method to calculate the length
between the points.
However, extra precaution has to be taken as the differences between the top stadia
reading and the bottom stadia reading must be the same while conducting the survey.
Stadia Formula:
D= K x s x Cos2 (ø) +C x Cos (ø)
K= multiplying constant given by the manufacturer of Theodolite (normally= 100)
Ø= vertical angle of telescope from the horizontal line when capturing the stadia readings
S= difference between top stadia and bottom stadia
C= additive factor given by the manufacturer of the Theodolite, (normally= 0)
Point A to B
Dab = 100x (0.29) x Cos2 (0) + 0 x Cos (0)= 28.9956m
Dbc = 100x (0.197) x Cos2 (0) + 0 x Cos (0) =19.6969m
Dcd = 100x (0.292) x Cos2 (0) + 0 x Cos (0) = 29.1956m
Dda = 100x (0.202) x Cos2 (0) + 0 x Cos (0) = 20.1969m
Course Latitude & Departure
Accuracy= 1 : (P/Ec), typical=1:3000
Ec = [(sum of latitude)2 + (sum of departure)2 ]1/2
= (0.0102 2 + 0.03032)½
=0.03197
P = 98.085
Accuracy = 1: (98.085/0.03197)
= 1: 3068
∴The traversing is acceptable.
Station Bearing, β Length, L
Cosine,
Cos β
Sine,
Sin β
Latitude,
Lcosβ
Departur,
Lsinβ
A N88’58’10’E 28.9956 0.0179856 0.9998382 0.5215 28.9909
B N0°41’0’’W 19.6969 0.9999288 0.0119261 19.6955 0.2349
C S89°58’50’’W 29.1956 0.0003394 0.999999942 -0.0099 -29.1955
D S0°00’00’’E 20.1969 1 0 -20.1969 0
Total 98.085 0.0102 0.0303
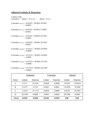
Adjusted Latitude & Departure
Compass Rule:
Correction = - [∑Δy] ÷ P x L or - [∑Δx] ÷ P x L
Correction AB Lat= - (0.0102) ÷ 98.085x 28.9956
= -0.0030
Correction BC Lat= - (0.0102) ÷ 98.085x 19.6969
= -0.0021
Correction CD Lat= - (0.0102) ÷ 98.085x 29.1956
= -0.0030
Correction DA Lat= - (0.0102) ÷ 98.085x 20.1969
= -0.0021
Correction AB Dep= - (0.0303) ÷ 98.085x 28.9956
= -0.0090
Correction BC Dep= - (0.0303) ÷ 98.085x 19.6969
= -0.0061
Correction CD Dep= - (0.0303) ÷ 98.085x 29.1956
= -0.0090
Correction DA Dep= - (0.0303) ÷ 98.085x 20.1969
= -0.0062
Unadjusted Corrections Adjusted
Station Latitude Departure Latitude Departure Latitude Departure
A 0.5215 28.9909 -0.0030 -0.0090 +0.5185 +28.9819
B 19.6955 0.2349 -0.0021 -0.0061 +19.6934 +0.2288
C -0.0099 -29.1955 -0.0030 -0.0090 -0.0129 -29.2045
D -20.1969 0.0000 -0.0021 -0.0062 -20.1990 -0.0062
Check -0.0102 -0.0303 -0.0102 -0.0303 0.00 0.00
6.0 Table & Graph of Station Coordinates
N2 = N1 + Lat1-2
E2 = E1 + Dep1-2
Where:
N2 and E2 = the Y and X coordinates of station 2
N1 and E1 = the Y and X coordinates of station 1
Lat1-2 = the latitude course 1-2
Dep1-2 = the departure course 1-2
Course Adjusted
Latitude
Adjusted
Departure
Statio
n
N Coordinate
Latitude (y-axis)
E Coordinate
Departure (x-axis)
A 100.0000(Assumed) 100.0000(Assumed)
AB +0.5185 +28.9819 B 100.5185 128.9819
BC +19.6934 +0.2288 C 120.2119 129.2107
CD -0.0129 -29.2045 D 120.199 100.0062
DA -20.1990 -0.0062 A 100.0000 (Checked) 100.0000 (Checked)
Discussion
From this field work, we learnt to conduct a transverse survey by using a theodolite
and several formulas that we learnt from the site surveying subject. We applied the technique
and knowledge taught by Mr Chai.
Commonly, there will be errors in every site survey. For average land surveying an
accuracy of about 1:3000 is typical. Therefore, by applying correct technique and skill, we
successfully achieved the accuracy about 1:3068.
Our angular error that we obtained is of a 360° is 0° 6’ 0’’. A 0°1’30’’ of correction is
needed to be reduced to every angle. By determining the bearing we are able to calculate the
error. The error in latitude is -0.0100 while error in departure is -0.0303.
Since the error is acceptable to proceed to use the Compass Rule:
Correction= - [∑Δy] ÷ P x L or - [∑Δx] ÷ P x L to adjust the error exist in the latitude and
departure, where:
∑Δy or ∑Δx = the error in latitude & departure
P = the total length or perimeter of the traverse
L = the length of the particular traverse
Finally, we tabulated the data and adjusted the all data and manage to present it in the
Graph of Station Coordinates.
Conclusion
In conclusion, we are able to use the theodolite provided by our lecturer, Mr. Chai and obtain
the data needed for this fieldwork. We used closed loop transverse in this fieldwork. The
sums of the reading of internal angles are not exact 360. Hence, we identified the error and
made adjustment towards the data we obtained. We appreciate to have this opportunity to use
this equipment especially, theodolite, as we know the fact that the equipment cost a
handsome of money.
Reference
1.) Ashadi Hamdan.(n.d.).V3-TraverseSurveyReport.(Website) Retrievedfrom
http://www.scribd.com/doc/102059989/V3-Traverse-Survey-Report#scribd
2.) BearingsandAzimuths.(n.d.).BearingandAzimuths.(Website) Retrievedfrom
https://engineering.purdue.edu/~asm215/topics/bearings.html
3.) EngineerSupply.(n.d.).Theodolites.(Website) Retrievedfrom
http://www.engineersupply.com/theodolites.aspx
4.) Bobvila.(2015). The plumbbob.(website) Retrievedfrom
http://www.bobvila.com/articles/495-the-plumb-bob/#.VZN3uiFXjIU
5.) FAO. (n.d.). Elementary Surveying Equipment (Website) Retrieved from
http://www.fao.org/docrep/r7021e/r7021e02.htm
6.) Acquavir International. (2008). Surveying Equipment (Website) Retrieved from
http://www.acquavirinternational.com/surveying-equipment.html

Project 2- traversing

  • 1.
    SCHOOL OF ARCHITECTURE• BUILDING • DESIGN BACHELOR OF QUANTITY SURVEYING (HONOURS) QSB 60103 – SITE SURVRYING Fieldwork Report 2 Traversing Name Student ID Marks Yong Seen Yee 0315883 Yeoh Pooi Ching 0315540 Yee Algel 0315890 Yong Boon Xiong 0321754
  • 2.
    Content Table of contentPage Cover Page 1 Table of Content 2 Introduction to Traversing 3-5 Outline of Apparatus 6-8 Objective 9 Field Data 10-17 Discussion 18 Conclusion 19 Reference 20
  • 3.
    Introduction to Traversing Atraverse survey is one in which consists of connected series of line form, the lengths and direction of the survey line which are measured with the help of tape or chain and an angle measuring instrument. A series of points set out on the ground called traverse stations. A traverse survey can also measure the distances between the stations and the angle between the lines. (Ashadi Hamdan, 2015) There are consists of two types of traverse which are open traverse and closed traverse. Open Traverse Open traverse is a series of measured straight lines and angles that do not geometrically close or a surveying traverse that fails to terminate at the starting point and therefore does not completely encloses a polygon. Normally, the open traverse is applied in the long narrow strip of land such as road, railway and others. (ArtillerySurveyors,n.d.) ClosedTraverse Closed traverse is a series of connected line which end at the starting point. It is an enclosed area which can be used to show out the shape of an area. There are consists of two types of closed traverse which are closed loop traverse and closed connecting traverse. i)Closed Loop traverse In surveying, loop traverse starts and ends with the same survey point, forming a polygon. (Integrated,n.d.)
  • 4.
    ii) Closed connectingtraverse Connecting traverse is looks like an open traverse, the only different between connecting traverse and open traverse is it begins and ends at point of know position at each end of the traverse. (Global Security.org,2015) OVERALL TRAVERSE (Integrated,n.d.)
  • 5.
    Selectionofstation -The line betweenthe stations should be free of obstacles if the distance is measured by using the tape. -It should keep a minimum number of stations to reduce the accumulative of errors. -Traverse legs should be approximately equal in same length Azimuth •Angles measured clockwise horizontal angle from any reference direction or meridian •Azimuths are referenced from north •True bearings are based on true north. •Magnetic azimuths are based on magnetic north •Azimuths angle range between 0 and 360° Bearing •Designate the direction of a line by an angle and quadrant letters. (e.g. N30° E) •Bearings are never greater than 90° •Bearings are referenced from north or south and the angle to the east or west from the north- south meridian. •True bearings are based on true north. •Magnetic bearings are based on magnetic north. (Pennstate,2014)
  • 6.
    Outline of apparatus a)Theodolite - A precision instrument for measuring angles in the horizontal and vertical planes. - Used mainly for land surveying and adapted for specialized purposes in fields. - Mounted on its tripod head. (HD IMAGE gallery.net,n.d.) b) Adjustable leg- tripod - Surveyor’s tripod is a device used to support any one of a number of surveying instruments, such as automatic level. - This tripods are more common in the construction world, especially outdoors because of generally uneven surfaces. (Ebay,n.d.)
  • 7.
    c) Plumb bob -Usually placed with a pointed tip on the bottom, that is suspended from a string and use as a vertical reference line. - It is essentially the vertical equivalent of a water level. (Archtools,n.d.) d) Ranging rod - Is a surveying instrument used for make position of stations for the straight lines. - Thin and straight bamboo or wood and shod with iron at the bottom and surmounted with a flag. (indiamart,n.d.)
  • 8.
    e) Tape- Measure -Fibre or plastic tape that typically comes in different type of lengths. (AliExpress,n.d.)
  • 9.
    Objectives - To enablestudents to fully understand the traversing procedure. - To enable students to learn the correct method of using theodolite. - To enable students to gain experience on doing fieldwork with theodolite. - To enable students to obtain data required for the fieldwork report on traversing. - To allow students to apply both practical and theory knowledge that had been taught in lecture classes. - To enable students to identify the error and make adjustment to the data.
  • 10.
    FIELD DATA A Station FieldAngles A 88° 59’ 40’’ B 90° 22’ 20’’ C 90° 41’ 20’’ D 90° 02’ 40’’ Sum= 358° 124’ 120’’ 360° 6’ 0’’ B CD 88˚59’40” 90˚22’20” 90˚41’20” 90˚02’40”
  • 11.
    4.1 Angular Error& Angle Adjustments (4-2)(180°) = 2(180°) = 360°, since there are 4 angles. Therefore, the total interior angles will be 360°. Total angular error = 360°6’0’’- 360° = 0° 6’0 ’’ Therefore, error per angle = 0° 6’ 0’’÷4 = 1’30’’ per angle. Station Field Angles Correction Adjusted Angles A 88° 59’ 40’’ -1’30’’ 88° 58’ 10’’ B 90° 22’ 20’’ -1’30’’ 90° 20’ 50’’ C 90° 41’ 20’’ -1’30’’ 90° 39’ 50’’ D 90° 02’ 40’’ -1’30’’ 90° 01’ 10’’ Sum= 360° 6’ 0’’ 360° 00’ 00’’
  • 12.
    Stadia method As wedo not have any enough measuring tape to measure the length between the points. Therefore, Mr Chai had suggested us to use the stadia method to calculate the length between the points. However, extra precaution has to be taken as the differences between the top stadia reading and the bottom stadia reading must be the same while conducting the survey. Stadia Formula: D= K x s x Cos2 (ø) +C x Cos (ø) K= multiplying constant given by the manufacturer of Theodolite (normally= 100) Ø= vertical angle of telescope from the horizontal line when capturing the stadia readings S= difference between top stadia and bottom stadia C= additive factor given by the manufacturer of the Theodolite, (normally= 0) Point A to B Dab = 100x (0.29) x Cos2 (0) + 0 x Cos (0)= 28.9956m Dbc = 100x (0.197) x Cos2 (0) + 0 x Cos (0) =19.6969m Dcd = 100x (0.292) x Cos2 (0) + 0 x Cos (0) = 29.1956m Dda = 100x (0.202) x Cos2 (0) + 0 x Cos (0) = 20.1969m
  • 13.
    Course Latitude &Departure Accuracy= 1 : (P/Ec), typical=1:3000 Ec = [(sum of latitude)2 + (sum of departure)2 ]1/2 = (0.0102 2 + 0.03032)½ =0.03197 P = 98.085 Accuracy = 1: (98.085/0.03197) = 1: 3068 ∴The traversing is acceptable. Station Bearing, β Length, L Cosine, Cos β Sine, Sin β Latitude, Lcosβ Departur, Lsinβ A N88’58’10’E 28.9956 0.0179856 0.9998382 0.5215 28.9909 B N0°41’0’’W 19.6969 0.9999288 0.0119261 19.6955 0.2349 C S89°58’50’’W 29.1956 0.0003394 0.999999942 -0.0099 -29.1955 D S0°00’00’’E 20.1969 1 0 -20.1969 0 Total 98.085 0.0102 0.0303
  • 14.
    Adjusted Latitude &Departure Compass Rule: Correction = - [∑Δy] ÷ P x L or - [∑Δx] ÷ P x L Correction AB Lat= - (0.0102) ÷ 98.085x 28.9956 = -0.0030 Correction BC Lat= - (0.0102) ÷ 98.085x 19.6969 = -0.0021 Correction CD Lat= - (0.0102) ÷ 98.085x 29.1956 = -0.0030 Correction DA Lat= - (0.0102) ÷ 98.085x 20.1969 = -0.0021 Correction AB Dep= - (0.0303) ÷ 98.085x 28.9956 = -0.0090 Correction BC Dep= - (0.0303) ÷ 98.085x 19.6969 = -0.0061 Correction CD Dep= - (0.0303) ÷ 98.085x 29.1956 = -0.0090 Correction DA Dep= - (0.0303) ÷ 98.085x 20.1969 = -0.0062 Unadjusted Corrections Adjusted Station Latitude Departure Latitude Departure Latitude Departure A 0.5215 28.9909 -0.0030 -0.0090 +0.5185 +28.9819 B 19.6955 0.2349 -0.0021 -0.0061 +19.6934 +0.2288 C -0.0099 -29.1955 -0.0030 -0.0090 -0.0129 -29.2045 D -20.1969 0.0000 -0.0021 -0.0062 -20.1990 -0.0062 Check -0.0102 -0.0303 -0.0102 -0.0303 0.00 0.00
  • 15.
    6.0 Table &Graph of Station Coordinates N2 = N1 + Lat1-2 E2 = E1 + Dep1-2 Where: N2 and E2 = the Y and X coordinates of station 2 N1 and E1 = the Y and X coordinates of station 1 Lat1-2 = the latitude course 1-2 Dep1-2 = the departure course 1-2 Course Adjusted Latitude Adjusted Departure Statio n N Coordinate Latitude (y-axis) E Coordinate Departure (x-axis) A 100.0000(Assumed) 100.0000(Assumed) AB +0.5185 +28.9819 B 100.5185 128.9819 BC +19.6934 +0.2288 C 120.2119 129.2107 CD -0.0129 -29.2045 D 120.199 100.0062 DA -20.1990 -0.0062 A 100.0000 (Checked) 100.0000 (Checked)
  • 16.
    Discussion From this fieldwork, we learnt to conduct a transverse survey by using a theodolite and several formulas that we learnt from the site surveying subject. We applied the technique and knowledge taught by Mr Chai. Commonly, there will be errors in every site survey. For average land surveying an accuracy of about 1:3000 is typical. Therefore, by applying correct technique and skill, we successfully achieved the accuracy about 1:3068. Our angular error that we obtained is of a 360° is 0° 6’ 0’’. A 0°1’30’’ of correction is needed to be reduced to every angle. By determining the bearing we are able to calculate the error. The error in latitude is -0.0100 while error in departure is -0.0303. Since the error is acceptable to proceed to use the Compass Rule: Correction= - [∑Δy] ÷ P x L or - [∑Δx] ÷ P x L to adjust the error exist in the latitude and departure, where: ∑Δy or ∑Δx = the error in latitude & departure P = the total length or perimeter of the traverse L = the length of the particular traverse Finally, we tabulated the data and adjusted the all data and manage to present it in the Graph of Station Coordinates.
  • 17.
    Conclusion In conclusion, weare able to use the theodolite provided by our lecturer, Mr. Chai and obtain the data needed for this fieldwork. We used closed loop transverse in this fieldwork. The sums of the reading of internal angles are not exact 360. Hence, we identified the error and made adjustment towards the data we obtained. We appreciate to have this opportunity to use this equipment especially, theodolite, as we know the fact that the equipment cost a handsome of money.
  • 18.
    Reference 1.) Ashadi Hamdan.(n.d.).V3-TraverseSurveyReport.(Website)Retrievedfrom http://www.scribd.com/doc/102059989/V3-Traverse-Survey-Report#scribd 2.) BearingsandAzimuths.(n.d.).BearingandAzimuths.(Website) Retrievedfrom https://engineering.purdue.edu/~asm215/topics/bearings.html 3.) EngineerSupply.(n.d.).Theodolites.(Website) Retrievedfrom http://www.engineersupply.com/theodolites.aspx 4.) Bobvila.(2015). The plumbbob.(website) Retrievedfrom http://www.bobvila.com/articles/495-the-plumb-bob/#.VZN3uiFXjIU 5.) FAO. (n.d.). Elementary Surveying Equipment (Website) Retrieved from http://www.fao.org/docrep/r7021e/r7021e02.htm 6.) Acquavir International. (2008). Surveying Equipment (Website) Retrieved from http://www.acquavirinternational.com/surveying-equipment.html