In the Name of Allah Most Gracious Most
Merciful




      Ordinary Differential
           Equations

 Prepared by
 Ahmed Haider Ahmed
 B.Sc. Physics - Dept. of Physics – Faculty of
 Science
TO my mother , my brothers
    and my best friend
     Abd El-Razek
Preface
Differential equations are introduce in different
 fields and its importance appears not only in
 mathematics but also in Engineering , Natural
 science ,Chemical science , Medicine ,Ecology
 and Economy.

Due to its importance in different fields I collected
 the laws and methods of solution of ordinary
 differential equations as an introduction to study
 it and to be as base to study theoretical physics
 and understand the physical meaning of
 relations.

               LET’S UNDERSTAND

        Ahmed Haider Ahmed – B.Sc. Physics
Definitions
Differential equation is an equation involving an
unknown function and its derivatives.
Ordinary Differential equation is differential equation
involving one independent variable and its differentials
are ordinary.
Partial Differential equation is differential equation
involving two or more independent variables and its
differentials are partial.
Order of Differential equation is the order of the highest
derivative appearing in the equation.
Degree of Differential equation is the power of highest
derivative appearing in the equation.
 particular solution of a differential equation is any one
    solution.
 The general solution of a differential equation is the set
    of all solutions.
Solutions of First Order Differential Equations

    1- Separable Equations
    2- Homogeneous Equation
    3- Exact Equations
    4- Linear Equations
    5- Bernoulli Equations
1- Separable Equations             (separation variable)
General form of differential equation is
                 (x ,y) dx + (x ,y) dy = 0
By separation variable
Then       1 (x)  2 (y) dx + 1(x) 2(y) dy = 0

         1( x)         2 ( y)
                dx            dy     0
         1 ( x)        2 ( y)
by integrating we find the solution of this equation.

Ex) find general solution for
             xydx x 2 dy 0
             1     1
                dx   dy      by integration
              x    y
             ln y ln x c
2- Homogeneous Equation
The condition of homogeneous function is
                       n
            f ( x , y) = f (x ,y)
and n is Homogeneous degree

             (x ,y) dy + (x ,y) dx = 0
and      , is Homogeneous function and have the
  same degree
so the solution is
put y = xz , dy = x dz + z dx      and substituting in
  the last equation


the equation will be separable equation, so
  separate variables and then integrate to find the
  solution.
3- Exact Equations

         (x ,y) dy + (x ,y) dx = 0

The required condition of equation to be exact equation is

                 x      y
and its general solution is
                  dx      dy   c
note : take repeated factor one time only.
if
                 x     y
The equation will be not exact,
to convertit to be exact multiply it by integral factor
as following .

integral factor is

                       1
   ( x)     exp            (   y    x   ) dx
                       1
   ( y)      exp           (   x    y   ) dy
Examples
i ) (2x + 3cosy) dx + (2y – 3x siny) dy = 0
Solution
it is exact so,
  (2x + 3cosy) dx = x + 3x cosy
  (2y - 3x siny) dy = y + 3x cosy
The solution is
              x + 3x cosy + y = c

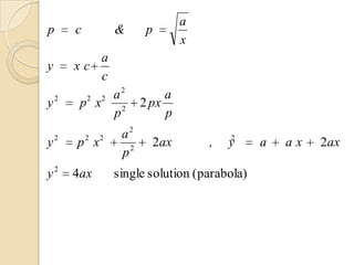
ii) (1 – xy) dx + (xy – x ) dy = 0
(1 xy)           ( xy x 2 )
               x                               y 2x
      x                y
 So, its not exact

                                 1
Since        ( x)        exp         (   y         x   ) dx
                                    1
Then         ( x)        exp    ( xy y )     ( x        y 2 x) dx
               1                                        1
   exp         x    dx     exp ln x          exp ln x
        1
                  (by multiplyin g this value by equation ii)
        x
   1
        y dx ( y x)dy 0                      thi equation is exact
                                               s
   x
   1
   x        y dx         ( y x)dy c
              y
ln x xy              c
              2
                                 note :- we took the repeated factor one time only
4- Linear Equations
Linear Equation form is
              dy
                    P( x) y     Q( x)
              dx
the integral factor that convert Linear Equations to
  exact equation is :-
                   = exp p(x) dx
by multiplying integral factor by Linear Equation
 form
   dy
          P( x) y   Q( x )     his equation is exact
                               t
   dx

so the general solution is :-
                y=         Q dx + c
dy
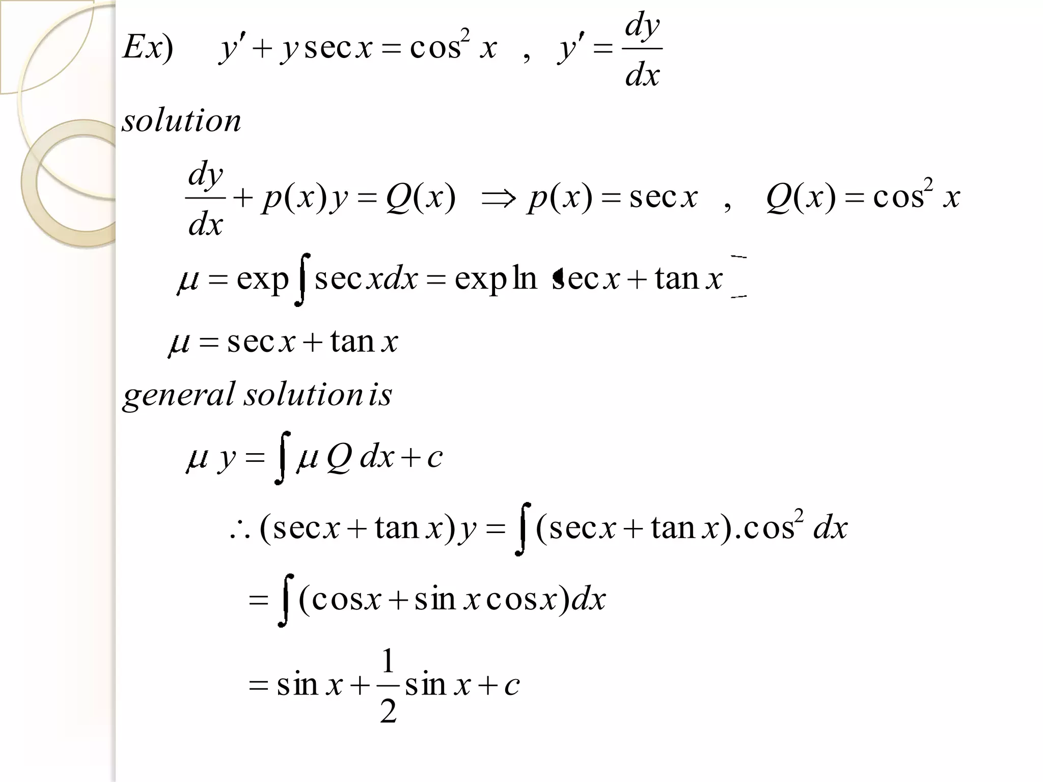
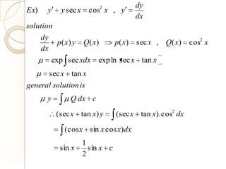
Ex)    y      y sec x    cos2 x , y
                                            dx
solution
      dy
             p( x) y    Q( x)       p( x)   sec x , Q( x)   cos2 x
      dx
           exp sec xdx      exp ln sec x tan x
           sec x tan x
general solution is
       y          Q dx c

             (sec x tan x) y        (sec x tan x).cos2 dx

               (cos x sin x cos x)dx
                        1
              sin x       sin x c
                        2
5- Bernoulli Equation
 Bernoulli Equation form is
            dy                   n
                 P( x) y Q( x) y
            dx                                      note :-
To solve Bernoulli Equation                         if n = 0 the
                                                    Bernoulli Equation
a) Divide Bernoulli Equation over y n               will be linear
1 dy                                                equation.
          P( x) y(1      n)
                               Q( x)
y n dx
                                   dz           dy if n = 1 Bernoulli
b) Put   z   y (1   n)
                              then      (1 n) y    Equation will be
                                   dx           dx separable
    1      dz                                    equation
                p( x) Q( x)
  (1 n) dx
dz
      (1 n) p ( x) z (1 n)Q ( x)
dx
this is linear equation and its solution as w e told before.
dy     y2
 Ex) y        –        3 sin x
          dx      x
 solution
  dy     y
      –      3 sin x. y 1
  dx     x
                            dz       dy
 put z y andthen                 2y
                            dx       dx
 dz        z
        2     6 sin x       thisequation is linear
 dx        x
     exp pdx exp        2
                        x   dx exp 2 ln x   exp ln x 2
       x2
the general solution will be
     x2 y      6 x 2 sin xdx c
     x2 y     6 ( x 2 cos x        sin x      cos x)     c
Solution of 1st order and high degree
    differential equation :-

 1- Acceptable solution on p.
 2- Acceptable solution on y.
 3- Acceptable solution on x.
 4- Lagrange’s Equation.
 5- Clairaut’s Equation.
 6- Linear homogeneous differential
  Equations with Constant Coefficients.
 7- Linear non-homogeneous differential
  Equations with Constant Coefficients.
1- Acceptable solution on p
if we can analysis the equation then the equation
   will be acceptable solution on p
Ex) x 2 p 2      3 xpy     2 y2         0
Sol
 xp y xp          2y       0
xp y 0                    or            xp         2y   0
  dy                     dy
x     y 0        or x         2y 0
  dx                     dx
  dy     dx           dy         dx
                or             2
   y      x            y          x
ln y ln x ln c1    or      ln y 2 ln x                      ln c2
xy   c1     0                  or           x2 y   c2   0
  ( xy    c1 )( x 2 y   c2 )        0
and this is the general solution of the equation.
2- Acceptable solution on
  y
If we can not analysis the equation then the
   equation will be acceptable solution on y
   or x

firstly , to solve the equation that acceptable solution on y
there are three steps :-
1- Let y be in term alone .
2- By differentiation the equation with respect to x
  and solve the differential equation .
3- By deleting p from two equations (the origin
  equation and the equation that we got after second
  step) if we can not delete it the solution called
  the parametric solution .
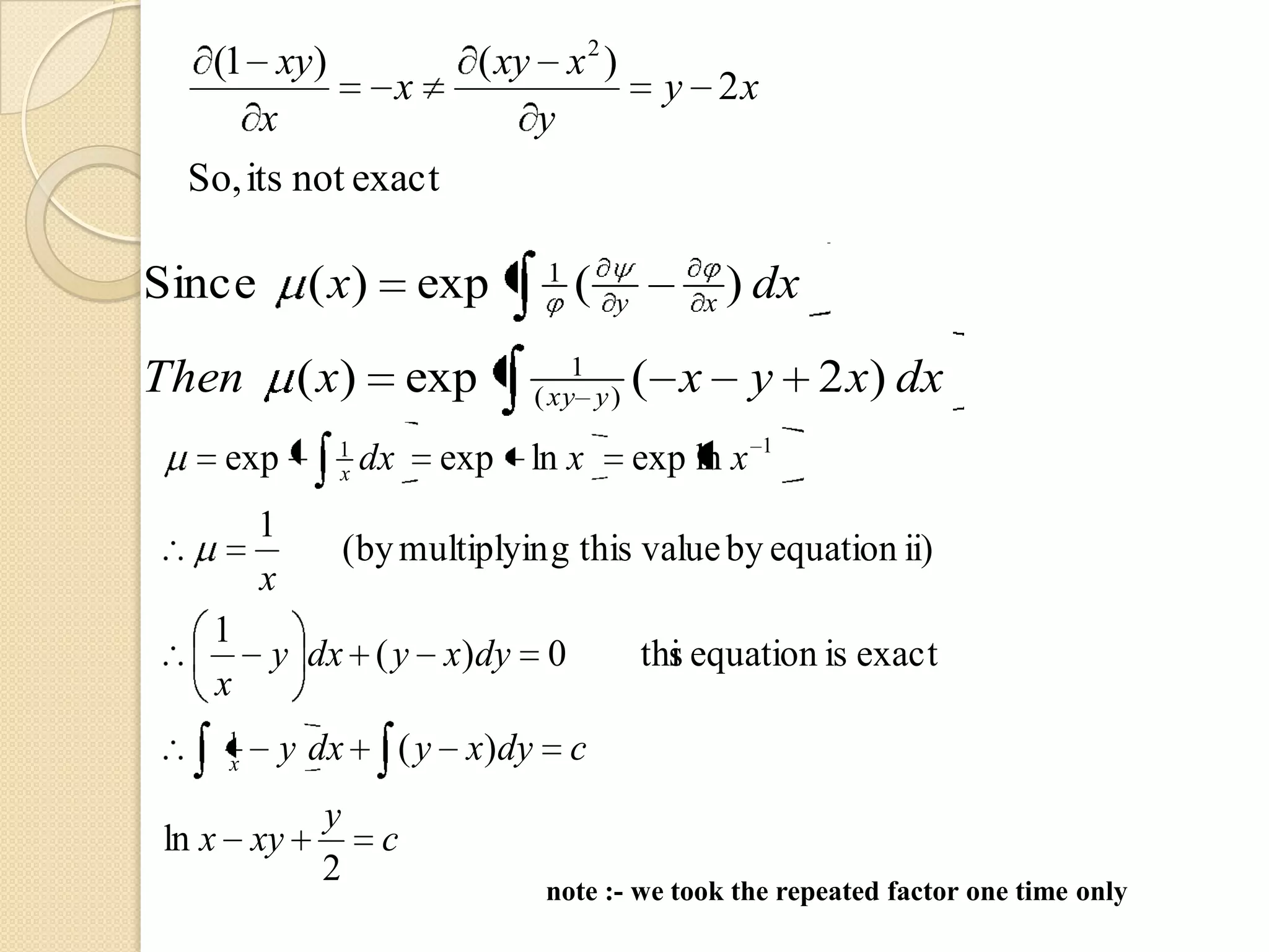
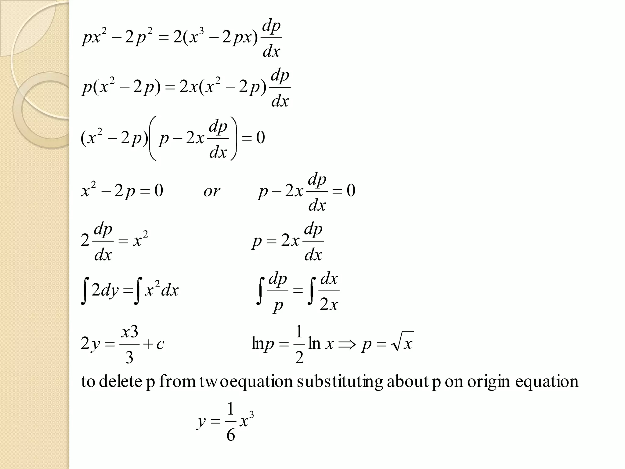
p2            dy
Ex)   3y   2 px 2        , p
                  x             dx
Solution
   2     2 p2
y    px           by differentiation with respect tox
   3     3 x
dy      2 dp    2    1 dp   2 p2
     p   x        2p
dx      3 dx    3    x dx   3 x2


1   2 p2     2   4 p dp
  p            x               , multiplyin g by 3
3   3 x2     3   3 x dx
   p2            p dp
p 2 2      2 x 2               , multiplyin g by x 2
   x             x dx
2      2       3       dp
px 2 p 2( x 2 px)
                         dx
                          dp
p( x 2 2 p) 2 x( x 2 2 p)
                          dx
   2             dp
( x 2 p) p 2 x          0
                 dx
                                dp
x2 2 p       0   or     p 2x         0
                                dx
  dp                            dp
2       x2              p 2x
  dx                            dx
           2               dp     dx
  2dy x dx
                            p     2x
      x3                      1
2y         c            ln p    ln x   p     x
       3                      2
to delete p from two equation substituting about p on origin equation
                    1 3
                y     x
                    6
3- Acceptable solution on x

secondly, to solve the equation that acceptable solution on
  x


there are three steps :-
1- Let x be in term alone .
2- By differentiation the equation with respect
  to y and solve the differential equation .
3- By deleting p from the two equations (the
  origin
equation and the equation that we got after second
  step
if we can not delete it the solution called the
dy
Ex)     x       p   p3   , p
                               dx
by differentiation with respect toy
dx dp         2 dp           1 dx
           3p          , but
dy dy           dy           p dy
1          2 dp
    (1 3 p )
p             dy
dp        1
dy p (1 3 p 2 )
 dy     ( p 3 p 3 )dp
               1 2 3 4
            y    p       p
               2       4
            x p p3            (the origin equation)
we can not delete p from the last tow equations so
this the parametric solution.
4- Lagrange’s
Equation
Lagrange’s Equation form
               y = x g (p) + f (p)
Ex)        y       2 xp    p
dy            dp        dp
           2 p 2x    2p
dx             dx       dx                                 Note
                   dp                      dp    the method of solution
p   2 p(2 x 2 p)            p (2 x 2 p)              in the example
                   dx                      dx
     2x       dp       dx      2x
1 (        2)                       2
      p       dx       dp       p
dx 2 x
           2      linear differential equation
dp p
           dp
   exp 2            integral factor
            p
e 2 ln p   p2       p2 x       2 p 2 dp

   2        2 p3
p x                  c
             3
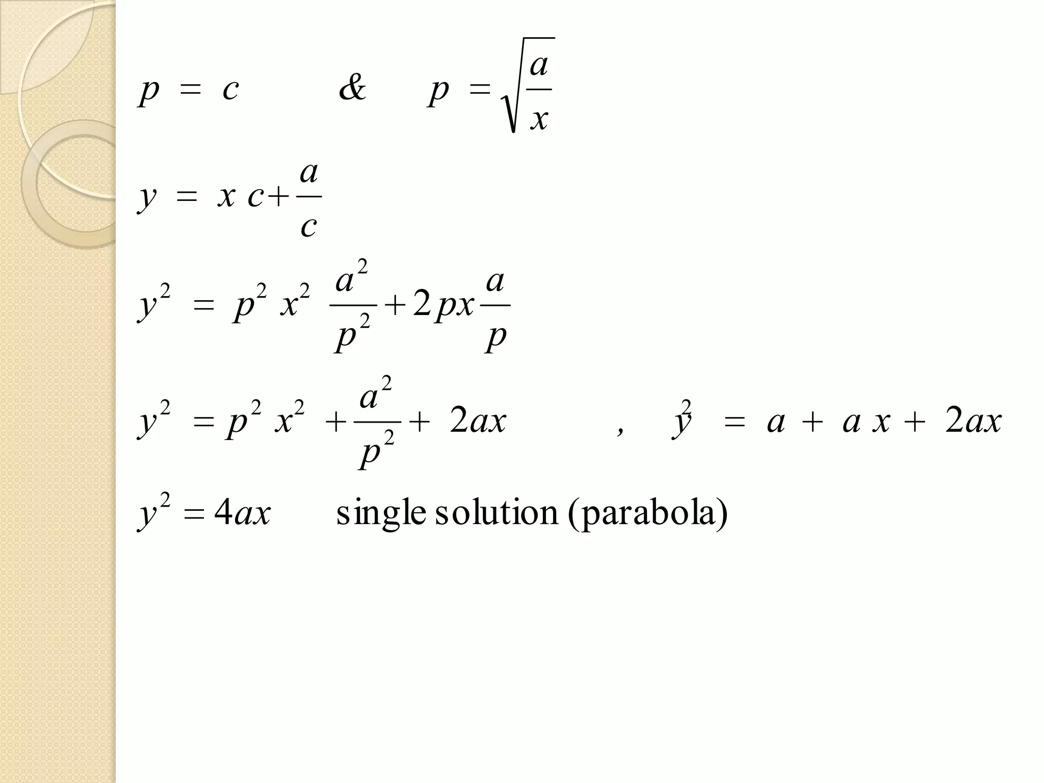
5- Clairaut’s Equation
Clairaut’s Equation is special case of Lagrange’s
  Equation
Clairaut’s Equation form :-
                     y = x p + f (p)
                        a                             Note
Ex)       y       px
                        p                   the method of solution
                                                in the example
dy                dp   a dp
          p   x
dx                dx   p 2 dx
                   a dp
p     p       x
                   p 2 dx
      a dp
 x                 0
      p dx
dp                              a
          0        o
                   r    (x        2
                                    )   0
dx                              p
a
p       c        &      p
                                x
           a
y       xc
           c
    2          a2           a
y        p2 x2 2       2 px
               p            p
                  a2
y2      p 2 x2           2ax        ,   2
                                        y     a   ax   2ax
                  p2
y2      4ax      single solution (parabola)
6 - Linear homogeneous Differential Equations with
Constant Coefficients


(a0 D n   a1 D n   1
                           a2 D n   2
                                        ........ an ) y         f ( x)
     d
D                      ,        a0 , a1 , a2 , a3 ,..... n are constant
                                                       a
     dx


               L(D) y = f (x)                 non-homogeneous
           but L(D) y = 0                      homogeneous
          then L( ) = 0                        assistant equation

Roots of this equation are                1   ,   2   ,   3   ,……,   n


This roots take different forms as following:-
1- if roots are real and different each other then the
complement solution is

                1x           2x                     nx
  yc     C1e         C2 e          ......... Cn e
2- if roots are real and equal each other then
complement solution is

           x                                  r 1
 yc     e (C1 C2 x ......... Cn x                   )
3- if roots are imaginary then complement solution is
            x
 yc      e (C1 cos x              C2 sin x )
examples
 :-
1) y             y           0                             3)( y a ) y                      0
(D3             D) y             0                         (D          2
                                                                             a )y    2
                                                                                             0
        3                                     2
(                ) 0   (                          1)   0           2             2
                                                           (                a ) 0
    (           1)( 1) 0
    1       0,       2       1,      3        1                             ai
yc          C1 C2 e                  x
                                         C3 e x            yc               C1 cos ax C2 sin ax

2) y             3y          2y          0                 4)(D 2 2 D 2) y                       0
( D 2 3 D 2) y                           0
                                                           (           1)( 2 1) 0
(           3            2) 0
                                                               1         1, 2   i
(           1)(              2) 0
                                                                                 x
                1,                   2                     yc              C1e           C2 cos x C3 sin x
    1                    2
                         x               2x
yc          C1e                  C2 e
7- Linear non-homogeneous Differential Equations with
Constant Coefficients
L(D) y = f (x)    non-homogeneous
the general solution of non-homogeneous is
                        y = yc + yp
yc complement solution
[solution of homogeneous equation L(D) y = 0 look last slide]
y p particular solution is                             Note
                                                       L(D) is differential
                                1                      effective
                         y          f ( x)             1 / L(D) is integral
                              L( D)                     effective

We knew how to get the complement
solution last slide. To get the particular solution it depends on the type
  of function we will know the different types and example to every
  one as following .
1
                Particular solution is y                f ( x)
                                                  L( D)
i) if f (x) is exponential function
            1             e ax
     y          e ax                  ;       L(a)   0    ;    D   a
          L( D)          L(a )
ii) special case in exponential function at L (a) = 0
                         1               e ax
                  y          e ax
                       L( D)          L( D a )

iii) if exponential function multiplied f(x)
                    1                            1
            y            f ( x)e ax   e ax            f ( x)
                  L( D )                     L( D a )
iv) if f (x) is trigonometric function sin x or cos x
            1                                  1
 y            2
                sin ax or cos ax                 2
                                                    sin ax or cos ax
         L( D )                              L( a )
v) if f (x) is trigonometric function sin x or cos x multiplied
  exponential function

         1                                        1
   y         e ax sin x or cos x       e ax            sin x or cos x
       L( D)                                  L( D a )



 vi ) If f (x) is polynomial

   L( D)        f ( x)
        1
  y         f ( x)
      L( D)
  and then use partial fractions or use the following series : -
            1
  (1 - x)           1    x   x2   x3      ..
                1
  (1       x)       1    x   x2   x3
solved example :-
y     y       6 y 8e3 x
(D2       D 6) y            0
 2
        6 0
      2   3 0
 1    2 ,   2                      3
yc    C1e 2 x C2 e           3x


                      1                          1
yp            2
                           8e3 x        yp           8e3 x
          D            D 6                     9 3 6
                  D    a

    8 3x      4 3x
yp    e         e
    6         3
general solution y                     yc     yp
                  2x              3x   4 3x
y      C1 e                C2 e          e
                                       3
general problems
1) ( xy 2     y )dx ( x 2 y x)dy     0
2) (2 xy tan y )dx ( x 2 sec2 y )dy          0
3) (e x     4 y )dx (4 x sin y )dy       0
4) ( x 2 y 2 ) dx xy dy 0
        dx
5)           y y 2 ln x
        dy
       dy
6) 3         2 y y 4e3 x
       dx
7) y x p p 2
           x
8) y            p
           p
9) y y 4 y 4 y           0
10) y       2y - 8y     0
2                       3x
11) ( D       6 D 9) y e
          4        3                              x
12) ( D       2D       2 D 1 )y             4e
13) ( D 2 5 D 6) y              x3 e 2 x
          2                      2 x
14) ( D       D 12) y           xe
15) ( D 2 7 D 12) y              ( x 5 x )e 2 x
          2                            5x
16) ( D       7 D 12) y 8e sin 2 x
17) ( D 2 4 D 8) y              e 2 x cos x
          2                 2
18) ( D       4 D) y    x        7
19) ( D 2     D 1) y        x3 6
          2
20) ( D       10 D 25) y             30 x 3
                                            

Finally , this course of ordinary differential equations is
  useful
to different student special students of physics.
  Theoretical
physics required to be know the bases of mathematics
specially differential equations such that quantum
  mechanics
depend on Schrödinger equation and this equation is
differential equation so this branch of physics depend
  upon
differential equations . I made slide of problems in
  different
types of differential equations to examine yourself .
Finally don’t forget these words for Napoleon “the
  advancing
and perfecting of mathematics are closely related by
prosperity of the nation”
Ahmed Haider Ahmed

Nuclear Physics Lab

Faculty of Science
Minia university
Minia City
Egypt

Ordinary differential equations

  • 1.
    In the Nameof Allah Most Gracious Most Merciful Ordinary Differential Equations Prepared by Ahmed Haider Ahmed B.Sc. Physics - Dept. of Physics – Faculty of Science
  • 2.
    TO my mother, my brothers and my best friend Abd El-Razek
  • 3.
    Preface Differential equations areintroduce in different fields and its importance appears not only in mathematics but also in Engineering , Natural science ,Chemical science , Medicine ,Ecology and Economy. Due to its importance in different fields I collected the laws and methods of solution of ordinary differential equations as an introduction to study it and to be as base to study theoretical physics and understand the physical meaning of relations. LET’S UNDERSTAND Ahmed Haider Ahmed – B.Sc. Physics
  • 4.
    Definitions Differential equation isan equation involving an unknown function and its derivatives. Ordinary Differential equation is differential equation involving one independent variable and its differentials are ordinary. Partial Differential equation is differential equation involving two or more independent variables and its differentials are partial. Order of Differential equation is the order of the highest derivative appearing in the equation. Degree of Differential equation is the power of highest derivative appearing in the equation. particular solution of a differential equation is any one solution. The general solution of a differential equation is the set of all solutions.
  • 5.
    Solutions of FirstOrder Differential Equations  1- Separable Equations  2- Homogeneous Equation  3- Exact Equations  4- Linear Equations  5- Bernoulli Equations
  • 6.
    1- Separable Equations (separation variable) General form of differential equation is (x ,y) dx + (x ,y) dy = 0 By separation variable Then 1 (x) 2 (y) dx + 1(x) 2(y) dy = 0 1( x) 2 ( y) dx dy 0 1 ( x) 2 ( y) by integrating we find the solution of this equation. Ex) find general solution for xydx x 2 dy 0 1 1 dx dy by integration x y ln y ln x c
  • 7.
    2- Homogeneous Equation Thecondition of homogeneous function is n f ( x , y) = f (x ,y) and n is Homogeneous degree (x ,y) dy + (x ,y) dx = 0 and , is Homogeneous function and have the same degree so the solution is put y = xz , dy = x dz + z dx and substituting in the last equation the equation will be separable equation, so separate variables and then integrate to find the solution.
  • 8.
    3- Exact Equations (x ,y) dy + (x ,y) dx = 0 The required condition of equation to be exact equation is x y and its general solution is dx dy c note : take repeated factor one time only.
  • 9.
    if x y The equation will be not exact, to convertit to be exact multiply it by integral factor as following . integral factor is 1 ( x) exp ( y x ) dx 1 ( y) exp ( x y ) dy
  • 10.
    Examples i ) (2x+ 3cosy) dx + (2y – 3x siny) dy = 0 Solution it is exact so, (2x + 3cosy) dx = x + 3x cosy (2y - 3x siny) dy = y + 3x cosy The solution is x + 3x cosy + y = c ii) (1 – xy) dx + (xy – x ) dy = 0
  • 11.
    (1 xy) ( xy x 2 ) x y 2x x y So, its not exact 1 Since ( x) exp ( y x ) dx 1 Then ( x) exp ( xy y ) ( x y 2 x) dx 1 1 exp x dx exp ln x exp ln x 1 (by multiplyin g this value by equation ii) x 1 y dx ( y x)dy 0 thi equation is exact s x 1 x y dx ( y x)dy c y ln x xy c 2 note :- we took the repeated factor one time only
  • 12.
    4- Linear Equations LinearEquation form is dy P( x) y Q( x) dx the integral factor that convert Linear Equations to exact equation is :- = exp p(x) dx by multiplying integral factor by Linear Equation form dy P( x) y Q( x ) his equation is exact t dx so the general solution is :- y= Q dx + c
  • 13.
    dy Ex) y y sec x cos2 x , y dx solution dy p( x) y Q( x) p( x) sec x , Q( x) cos2 x dx exp sec xdx exp ln sec x tan x sec x tan x general solution is y Q dx c (sec x tan x) y (sec x tan x).cos2 dx (cos x sin x cos x)dx 1 sin x sin x c 2
  • 14.
    5- Bernoulli Equation Bernoulli Equation form is dy n P( x) y Q( x) y dx note :- To solve Bernoulli Equation if n = 0 the Bernoulli Equation a) Divide Bernoulli Equation over y n will be linear 1 dy equation. P( x) y(1 n) Q( x) y n dx dz dy if n = 1 Bernoulli b) Put z y (1 n) then (1 n) y Equation will be dx dx separable 1 dz equation p( x) Q( x) (1 n) dx dz (1 n) p ( x) z (1 n)Q ( x) dx this is linear equation and its solution as w e told before.
  • 15.
    dy y2 Ex) y – 3 sin x dx x solution dy y – 3 sin x. y 1 dx x dz dy put z y andthen 2y dx dx dz z 2 6 sin x thisequation is linear dx x exp pdx exp 2 x dx exp 2 ln x exp ln x 2 x2 the general solution will be x2 y 6 x 2 sin xdx c x2 y 6 ( x 2 cos x sin x cos x) c
  • 16.
    Solution of 1storder and high degree differential equation :-  1- Acceptable solution on p.  2- Acceptable solution on y.  3- Acceptable solution on x.  4- Lagrange’s Equation.  5- Clairaut’s Equation.  6- Linear homogeneous differential Equations with Constant Coefficients.  7- Linear non-homogeneous differential Equations with Constant Coefficients.
  • 17.
    1- Acceptable solutionon p if we can analysis the equation then the equation will be acceptable solution on p Ex) x 2 p 2 3 xpy 2 y2 0 Sol xp y xp 2y 0 xp y 0 or xp 2y 0 dy dy x y 0 or x 2y 0 dx dx dy dx dy dx or 2 y x y x ln y ln x ln c1 or ln y 2 ln x ln c2 xy c1 0 or x2 y c2 0 ( xy c1 )( x 2 y c2 ) 0 and this is the general solution of the equation.
  • 18.
    2- Acceptable solutionon y If we can not analysis the equation then the equation will be acceptable solution on y or x firstly , to solve the equation that acceptable solution on y there are three steps :- 1- Let y be in term alone . 2- By differentiation the equation with respect to x and solve the differential equation . 3- By deleting p from two equations (the origin equation and the equation that we got after second step) if we can not delete it the solution called the parametric solution .
  • 19.
    p2 dy Ex) 3y 2 px 2 , p x dx Solution 2 2 p2 y px by differentiation with respect tox 3 3 x dy 2 dp 2 1 dp 2 p2 p x 2p dx 3 dx 3 x dx 3 x2 1 2 p2 2 4 p dp p x , multiplyin g by 3 3 3 x2 3 3 x dx p2 p dp p 2 2 2 x 2 , multiplyin g by x 2 x x dx
  • 20.
    2 2 3 dp px 2 p 2( x 2 px) dx dp p( x 2 2 p) 2 x( x 2 2 p) dx 2 dp ( x 2 p) p 2 x 0 dx dp x2 2 p 0 or p 2x 0 dx dp dp 2 x2 p 2x dx dx 2 dp dx 2dy x dx p 2x x3 1 2y c ln p ln x p x 3 2 to delete p from two equation substituting about p on origin equation 1 3 y x 6
  • 21.
    3- Acceptable solutionon x secondly, to solve the equation that acceptable solution on x there are three steps :- 1- Let x be in term alone . 2- By differentiation the equation with respect to y and solve the differential equation . 3- By deleting p from the two equations (the origin equation and the equation that we got after second step if we can not delete it the solution called the
  • 22.
    dy Ex) x p p3 , p dx by differentiation with respect toy dx dp 2 dp 1 dx 3p , but dy dy dy p dy 1 2 dp (1 3 p ) p dy dp 1 dy p (1 3 p 2 ) dy ( p 3 p 3 )dp 1 2 3 4 y p p 2 4 x p p3 (the origin equation) we can not delete p from the last tow equations so this the parametric solution.
  • 23.
    4- Lagrange’s Equation Lagrange’s Equationform y = x g (p) + f (p) Ex) y 2 xp p dy dp dp 2 p 2x 2p dx dx dx Note dp dp the method of solution p 2 p(2 x 2 p) p (2 x 2 p) in the example dx dx 2x dp dx 2x 1 ( 2) 2 p dx dp p dx 2 x 2 linear differential equation dp p dp exp 2 integral factor p e 2 ln p p2 p2 x 2 p 2 dp 2 2 p3 p x c 3
  • 24.
    5- Clairaut’s Equation Clairaut’sEquation is special case of Lagrange’s Equation Clairaut’s Equation form :- y = x p + f (p) a Note Ex) y px p the method of solution in the example dy dp a dp p x dx dx p 2 dx a dp p p x p 2 dx a dp x 0 p dx dp a 0 o r (x 2 ) 0 dx p
  • 25.
    a p c & p x a y xc c 2 a2 a y p2 x2 2 2 px p p a2 y2 p 2 x2 2ax , 2 y a ax 2ax p2 y2 4ax single solution (parabola)
  • 26.
    6 - Linearhomogeneous Differential Equations with Constant Coefficients (a0 D n a1 D n 1 a2 D n 2 ........ an ) y f ( x) d D , a0 , a1 , a2 , a3 ,..... n are constant a dx L(D) y = f (x) non-homogeneous but L(D) y = 0 homogeneous then L( ) = 0 assistant equation Roots of this equation are 1 , 2 , 3 ,……, n This roots take different forms as following:-
  • 27.
    1- if rootsare real and different each other then the complement solution is 1x 2x nx yc C1e C2 e ......... Cn e 2- if roots are real and equal each other then complement solution is x r 1 yc e (C1 C2 x ......... Cn x ) 3- if roots are imaginary then complement solution is x yc e (C1 cos x C2 sin x )
  • 28.
    examples :- 1) y y 0 3)( y a ) y 0 (D3 D) y 0 (D 2 a )y 2 0 3 2 ( ) 0 ( 1) 0 2 2 ( a ) 0 ( 1)( 1) 0 1 0, 2 1, 3 1 ai yc C1 C2 e x C3 e x yc C1 cos ax C2 sin ax 2) y 3y 2y 0 4)(D 2 2 D 2) y 0 ( D 2 3 D 2) y 0 ( 1)( 2 1) 0 ( 3 2) 0 1 1, 2 i ( 1)( 2) 0 x 1, 2 yc C1e C2 cos x C3 sin x 1 2 x 2x yc C1e C2 e
  • 29.
    7- Linear non-homogeneousDifferential Equations with Constant Coefficients L(D) y = f (x) non-homogeneous the general solution of non-homogeneous is y = yc + yp yc complement solution [solution of homogeneous equation L(D) y = 0 look last slide] y p particular solution is Note L(D) is differential 1 effective y f ( x) 1 / L(D) is integral L( D) effective We knew how to get the complement solution last slide. To get the particular solution it depends on the type of function we will know the different types and example to every one as following .
  • 30.
    1 Particular solution is y f ( x) L( D) i) if f (x) is exponential function 1 e ax y e ax ; L(a) 0 ; D a L( D) L(a ) ii) special case in exponential function at L (a) = 0 1 e ax y e ax L( D) L( D a ) iii) if exponential function multiplied f(x) 1 1 y f ( x)e ax e ax f ( x) L( D ) L( D a ) iv) if f (x) is trigonometric function sin x or cos x 1 1 y 2 sin ax or cos ax 2 sin ax or cos ax L( D ) L( a )
  • 31.
    v) if f(x) is trigonometric function sin x or cos x multiplied exponential function 1 1 y e ax sin x or cos x e ax sin x or cos x L( D) L( D a ) vi ) If f (x) is polynomial L( D) f ( x) 1 y f ( x) L( D) and then use partial fractions or use the following series : - 1 (1 - x) 1 x x2 x3 .. 1 (1 x) 1 x x2 x3
  • 32.
    solved example :- y y 6 y 8e3 x (D2 D 6) y 0 2 6 0 2 3 0 1 2 , 2 3 yc C1e 2 x C2 e 3x 1 1 yp 2 8e3 x yp 8e3 x D D 6 9 3 6 D a 8 3x 4 3x yp e e 6 3 general solution y yc yp 2x 3x 4 3x y C1 e C2 e e 3
  • 33.
    general problems 1) (xy 2 y )dx ( x 2 y x)dy 0 2) (2 xy tan y )dx ( x 2 sec2 y )dy 0 3) (e x 4 y )dx (4 x sin y )dy 0 4) ( x 2 y 2 ) dx xy dy 0 dx 5) y y 2 ln x dy dy 6) 3 2 y y 4e3 x dx 7) y x p p 2 x 8) y p p 9) y y 4 y 4 y 0 10) y 2y - 8y 0
  • 34.
    2 3x 11) ( D 6 D 9) y e 4 3 x 12) ( D 2D 2 D 1 )y 4e 13) ( D 2 5 D 6) y x3 e 2 x 2 2 x 14) ( D D 12) y xe 15) ( D 2 7 D 12) y ( x 5 x )e 2 x 2 5x 16) ( D 7 D 12) y 8e sin 2 x 17) ( D 2 4 D 8) y e 2 x cos x 2 2 18) ( D 4 D) y x 7 19) ( D 2 D 1) y x3 6 2 20) ( D 10 D 25) y 30 x 3
  • 35.
     Finally , this course of ordinary differential equations is useful to different student special students of physics. Theoretical physics required to be know the bases of mathematics specially differential equations such that quantum mechanics depend on Schrödinger equation and this equation is differential equation so this branch of physics depend upon differential equations . I made slide of problems in different types of differential equations to examine yourself . Finally don’t forget these words for Napoleon “the advancing and perfecting of mathematics are closely related by prosperity of the nation”
  • 36.
    Ahmed Haider Ahmed NuclearPhysics Lab Faculty of Science Minia university Minia City Egypt