SELVAM COLLEGE OF TECHNOLOGY NAMAKKAL-3
DEPARTMENT OF MATHEMATICS
SUB: NUMERICAL METHODS
UNIT I
1) Write the Descartes rule of signs
Sol:
1) An equation )(xf = 0 cannot have more number of positive roots than there are
changes of sign in the terms of the polynomial )(xf .
2)An equation )(xf = 0 cannot have more number of positive roots than there are
changes of sign in the terms of the polynomial )(xf .
2) What is the order of convergence of Newton Raphson method if the multiplicity of the
root is one.
Sol: Order of convergence of N.R method is 2.
3) Newton Raphson method is also known as the method of ………..
Sol: Iteration ( Newton’s iteration method)
Derive newtons algorithm to derive th
p root of a number N.
Sol: If p
Nx
1
= then 0=− Nx p
is the equation to be solved.
Let 1
)(,)( −
=′−= pp
pxxfNxxf
By NR rule ,if rx is the th
r iterate
)(
)(
1
r
r
rr
xf
xf
xx
′
−=+
11
)1(
−−
+−
=
−
−= p
r
p
r
p
r
p
r
r
px
Nxp
px
Nx
x
4) When would we not use N-R method .
Sol: If 1x is the exact root and 0x is its approximate value of the equation
)(xf = 0.we know that 1x = 0x -
)(
)(
0
0
xf
xf
′
If )( 0xf ′ is small,the error
)(
)(
0
0
xf
xf
′
will be large and the computation of the root by
this,method will be a slow process or may even be impossible.
Hence the method should not be used in cases where the graph of the function when it
crosses the x axis is nearly horizontal.
5) What is the convergence in NR method?
Sol: The rate of convergence in NR method is of order 2.
6) Write the iterative formula of NR method.
www.Vidyarthiplus.in
www.Vidyarthiplus.in
Sol: 1+nx = nx -
)(
)(
n
n
xf
xf
′
7) State the order of convergence and convergence condition for NR method?
Sol: The order of convergence is 2
Condition of convergence is
2
)()()( xfxfxf ′<′′
8) If g(x) is continuous in [a , b] then under what condition the iterative method x = g(x) has
a unique solution in [a , b].
Sol: Let x = r be a root of x = g(x) .Let I = [a , b] be the given interval combining the
point x = r.if 1)( <′ xg for all x in I, the sequence of approximation nxxx ,......, 10 will
converge to the root r,provided that the initial approximation 0x is chosen in r.
9) Write a sufficient condition for Guass siedel method to converge .(or)
State a sufficient condition for Guass Jacobi method to converge.
Sol: The process of iteration by Guass siedel method will converge if in each equation of
the system the absolute value of the largest coefficient is greater than the sum of the
absolute values of the remaining coefficients.
10) Give two indirect method to solve a system of linear equations?
Sol: (i) Guass Jacobi method (ii) Guass Siedel method
11) State True or False : “Guass siedel iteration converges only if the coefficient matrix is
diagonally dominant”
Sol: True.
12) Compare Guass Siedel and Guass elimination method?
Sol:
Guass Jacobi method Guass siedel method.
1.
2.
3.
Convergence method is slow
Direct method
Condition for convergence is the
coefficient matrix diagonally
dominant
The rate of convergence of Guass
Siedel method is roughly twice
that of Guass Jacobi.
Indirect method
Condition for convergence is the
coefficient matrix diagonally
dominant
13) Is the iteration method a self correcting method always?
Sol: In general iteration is a self correcting method since the round off error is smaller.
14) State the principle used in Gauss Jordan method?
Sol: Coefficient matrix is transformed into diagonal matrix.
www.Vidyarthiplus.in
www.Vidyarthiplus.in
15) For solving a linear system, compare Gauss elimination method and Gauss Jordan
method.
Sol:
Gauss elimination method Gauss Jordan method.
1.
2.
3.
Coefficient matrix is
transformed into upper triangular
matrix
Direct method
We obtain the solution by back
substitution method
Coefficient matrix is transformed
into diagonal matrix
Direct method
No need for substitution method
16) The numerical methods of solving linear equations are of two types : one is direct and the
other is ………….
Sol: iterative.
17) Define round off error?
Sol: The round off error is the quantity R which must be added to the finite representation
of a computed number in order to make it the true representation of that number.
18) Explain the term pivoting.
Sol: In the elimination process if any one of the pivot elements nnaaa ,........, 2211 vanishes
are become very small compared to other elements in that column ,then we attempt to
rearrange the remaining rows so as to obtain a non vanishing pivot or to avoid the
multiplication by a large number.this strategy is called pivoting.
The pivoting is of two types
1) Partial pivoting
2) Complete pivoting.
19) Why Guass siedel method is better than Jacobi’s iterative method?
Sol: since the current values of the unknowns at each stage of iteration are used in
proceeding to the next stage of iteration,the convergence in Guass siedel method will be
more rapid than in Guass Jacobi method.
20) Say true or false.
Newton’s method is useful in cases where the graph of the function when it crosses the x
axis is nearly vertical.
Sol:True
21) In the case of fixed point iteration method ,the convergence is ………..
Sol: Linear.
22) If the eigen values of A are 1,3,4 then the dominant eigen value of A is ……
Sol:4
23) If the eigen values of A are 1,3,-4 then the dominant eigen value of A is ……
Sol:-4
24) If the eigen values of A are 1,3,-3 then the dominant eigen value of A is ……
www.Vidyarthiplus.in
www.Vidyarthiplus.in
Sol:No Dominant eigen value.
25) The power method will work satisfactory only if A has a ……..
Sol:Dominant eigen value.
26) Say true or false:
The convergence in the Gauss –Siedel method is thrice as fast as in jacobi’s method.
Sol: False.The rate of convergence of Guass siedel methodb is roughly twicw that of the
Jacobi’s method.
27) Distinguish between direct and iterative method of solving simultaneous equation.
Sol:
Direct method Iterative method.
1.
2.
We get exact solution
Simple take less time
Approximjate solution
Time consuming laborious
www.Vidyarthiplus.in
www.Vidyarthiplus.in
SELVAM COLLEGE OF TECHNOLOGY, NAMAKKAL-3
MA1251-NUMERICAL METHODS
UNIT-IV
INTERPOLATION AND NUMERICAL INTEGRATION AND DIFFERENTIATION
Two Marks Q&A
1. State Lagrange’s interpolation formula.
Let 0)( =xf be a function which takes the values nyyyyy ...,,.........,,, 3210 corresponding to
....,,.........,,, 3210 nxxxxxx =
Thus Lagrange’s interpolation formula is
( )( )
( ) ( )
( )( )
( ) ( )
( )( )
( ) ( )
.
.........)(
)....(..........
........................
............
.........)(
)....(..........
.........)(
)....(..........
)(
110
110
1
12101
20
0
02010
21
n
nnnn
n
n
n
n
n
y
xxxxxx
xxxxxx
y
xxxxxx
xxxxxx
y
xxxxxx
xxxxxx
xfy
−
−
−−−
−−−
+
+
−−−
−−−
+
−−−
−−−
==
2. What is the Lagrange’s formula to find y, if three sets of values
( ) ( ) ( )221100 ,&,,, yxyxyx are given.
The Lagrange’s interpolation formula is
( )( )
( )
( )( )
( )
( )( )
( )
.
)()()(
)( 2
1202
10
1
2101
20
0
2010
21
y
xxxx
xxxx
y
xxxx
xxxx
y
xxxx
xxxx
xfy
−−
−−
+
−−
−−
+
−−
−−
==
3. Using Lagrange’s interpolation, find the polynomial through (0,0),(1,1) and (2,2).
The polynomial through the given points is given by
( )( )
( )
( )( )
( )
( )( )
( )
.
)()()(
)( 2
1202
10
1
2101
20
0
2010
21
y
xxxx
xxxx
y
xxxx
xxxx
y
xxxx
xxxx
xfy
−−
−−
+
−−
−−
+
−−
−−
==
( )( )
( )( )
( )( )
( )( )
( )( )
( )( )
( ) xxxxx
xxxxxx
=−+−−=
−−
−−
+
−−
−−
+
−−
−−
=
22
)2(
)2(
1202
10
)1(
2101
20
)0(
2010
21
4. When do we apply Lagrange’s interpolation?
Lagrange’s interpolation formula can be used when the values of “x” are equally spaced or
not. It is mainly used when the values are unevenly spaced.
5. Give the inverse of Lagrange’s interpolation formula.
The inverse Lagrange’s interpolation formula is
( )( )
( ) ( )
( )( )
( ) ( )
( )( )
( ) ( )
.
.........)(
)....(..........
........................
............
.........)(
)....(..........
.........)(
)....(..........
110
110
1
12101
20
0
02010
21
n
nnnn
n
n
n
n
n
x
yyyyyy
yyyyyy
x
yyyyyy
yyyyyy
x
yyyyyy
yyyyyy
x
−
−
−−−
−−−
+
+
−−−
−−−
+
−−−
−−−
=
6. What do you understand by inverse interpolation?
The process of finding a value of “x” for the corresponding value of “y” is called inverse interpolation. The
Lagrange’s inverse interpolation formula can be obtained by interchanging “x” and “y” in Lagrange’s interpolation
formula.
7. Define divided difference.
Let the function )(xfy = take the values )(.......),........(),(),( 210 nxfxfxfxf corresponding to the
values nxxxx ....,.........,, 210 of the argument ‘x’ where 11201 ...,........., −−−− nn xxxxxx need not
necessarily be equal.
The first divided difference of )(xf for the arguments 10 , xx is
01
01
10
)()(
),(
xx
xfxf
xxf
−
−
= .
similarly,
12
12
21
)()(
),(
xx
xfxf
xxf
−
−
= etc.
The second divided difference of f(x) for three arguments 210 ,, xxx is defined as
www.Vidyarthiplus.in
www.Vidyarthiplus.in
13
2132
321
02
1021
210
),(),(
),,(,
),(),(
),,(
xx
xxfxxf
xxxf
xx
xxfxxf
xxxf
−
−
=
−
−
= etc.
8. Show that the divided difference operator ∆ is linear. Sol:
[ ] [ ] [ ] ( ) ( ))()(
)()()()()()()()(
)()(
01
01
01
01
01
0011
xgxf
xx
xgxg
xx
xfxf
xx
xgxfxgxf
xgxf ∆±∆=
−
−
±
−
−
=
−
±−±
=±∆
9. Evaluate ( )( )( ) ( )xxxx 101.............3121110
−−−−∆ ,by taking h =1.
Sol: ( )( )( ) ( ) ( )210
!10)!10)(10.9.8.7.6.5.4.3.2.1(101.............31211 ==−−−−∆ xxxx
10. Obtain a divided difference table for the following data:
X: 5 7 11 13 17
Y: 150 392 1452 2366 5202.
Sol:
x y ∆ f(x) )(2
xf∆ )(3
xf∆
5 150
121
2
242
57
150392
==
−
−
245
4
1060
711
3921452
==
−
−
457
2
914
1113
14522366
==
−
−
709
4
2836
1317
23665202
==
−
−
67.20
6
124
511
121245
==
−
−
33.35
6
212
713
245457
==
−
−
42
6
252
1117
457709
==
−
−
83.1
8
66.14
513
67.2033.35
==
−
−
667.0
10
67.6
717
33.3542
==
−
−
7 392
11 1452
13 2366
17 5202
11. Write the Newton’s divided difference interpolation formula for unequal intervals.
( ) ( )( ) ............),,(),()()( 210101000 +−−+−+= xxxfxxxxxxfxxxfxf
( ) ),.....,()).......(( 10110 nn xxxfxxxxxx −−−−+ .
12. Write the Newton’s forward difference interpolation formula.
Let )(xfy = be a function which takes the values nyyyyy ...,,.........,,, 3210 corresponding to the values
nxxxxx ...,,.........,,, 3210 where the values of x are equally spaced.
Then the Newton’s forward difference interpolation formula is given by
( ) ( ) ..............................
!3
)2(1
!2
1
!1
0
3
0
2
00 +∆
−−
+∆
−
+∆+= y
uuu
y
uu
y
u
yyn
Where
h
xx
u 0−
=
13. If 2
1
)(
x
xf = ,find ),,(&),( cbafbaf by using divided differences.
Sol: Given, 2
1
)(
x
xf = .
( )
.
)(
11
)()(
),( 2222
2222
ba
ab
abba
ba
ab
ab
ab
afbf
baf
+
−=
−
−
=
−
−
=
−
−
=
www.Vidyarthiplus.in
www.Vidyarthiplus.in
( )accba
cbbaabcb
ac
ba
ab
bc
bc
ac
bafcbf
cbaf
−
+−+
=
−
+
+
+
−
=
−
−
= 222
22222222 )()(
)(
),(),(
),,(
( ) 222222
)())((
cba
cabcab
accba
accabcab ++
=
−
−++
=
14. What is the nature of
th
n divided differences of a polynomial of
th
n degree?
Sol: Let =)(xf a polynomial of degree “n”.
=∆ )(xfn
nth
divided difference = constant.
15. Find the second divided differences with arguments a,b,c if
x
xf
1
)( = .
Sol:Given,
x
xf
1
)( =
abab
ab
ab
afbf
baf
1
11
)()(
),(
−
=
−
−
=
−
−
=
.
1
11
),(),(
),,(
abcac
abbc
ac
bafcbf
cbaf =
−
+−
=
−
−
=
16. Obtain a divided difference table for the following data:
X: -1 0 2 3
f(x): -8 3 1 12.
x y ∆ f(x) )(2
xf∆ )(3
xf∆
-1 -8
11
10
83
=
+
+
1
02
31
−=
−
−
11
23
112
=
−
−
4
12
111
−=
+
−−
4
03
111
=
−
+ 2
13
44
=
+
+
0 3
2 1
3 12
17. Find the polynomial which takes the following values:
X: 0 1 2
Y: 1 2 1
Sol: The Lagrange’s interpolation formula is
( )( )
( )
( )( )
( )
( )( )
( )
.
)()()(
)( 2
1202
10
1
2101
20
0
2010
21
y
xxxx
xxxx
y
xxxx
xxxx
y
xxxx
xxxx
xfy
−−
−−
+
−−
−−
+
−−
−−
==
( )( )
( )
( )( )
( )
( )( )
( )
).1(
12)02(
10
)2(
21)01(
20
)1(
20)10(
21
)(
−−
−−
+
−−
−−
+
−−
−−
==
xxxxxx
xfy
242
2)1(
)2(2
2
23 2
222
++−=
−
+
−
−
+
+−
= xx
xxxxxx
18. Obtain a divided difference table for the following data:
X: 2 3 5
f(x): 0 14 102.
www.Vidyarthiplus.in
www.Vidyarthiplus.in
Sol:
x y ∆ f(x) )(2
xf∆
2 0
14
23
014
=
−
−
44
35
14102
=
−
−
10
25
1444
=
−
−3 14
5 102
19. Write the Newton’s backward difference interpolation formula.
Let )(xfy = be a function which takes the values nyyyyy ...,,.........,,, 3210 corresponding to the values
nxxxxx ...,,.........,,, 3210 where the values of x are equally spaced.
Then the Newton’s backward difference interpolation formula is given by
( ) ( ) ..............................
!3
)2(1
!2
1
!1
0
3
0
2
00 +∇
++
+∇
+
+∇+= y
vvv
y
vv
y
v
yyn
Where
h
xx
v 0−
= .
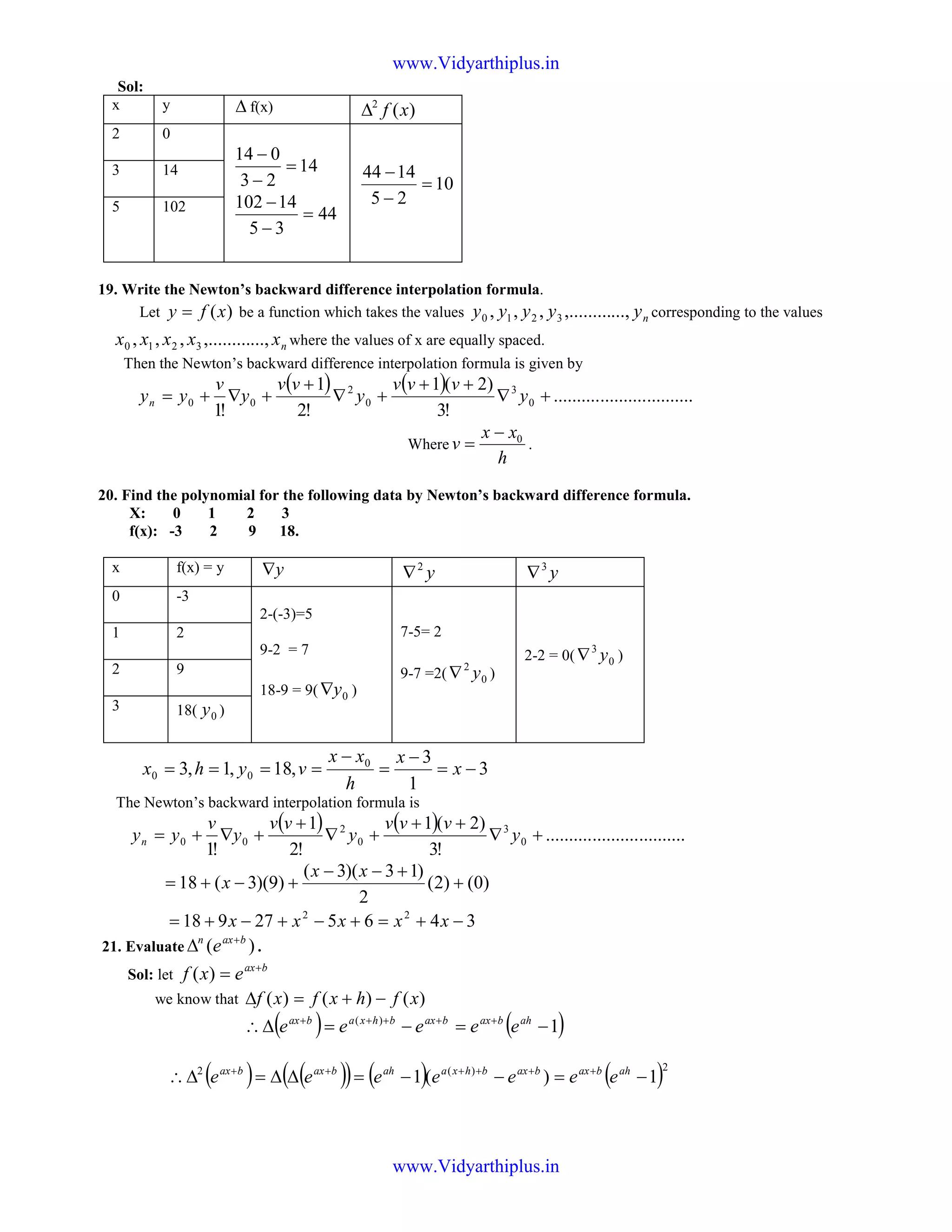
20. Find the polynomial for the following data by Newton’s backward difference formula.
X: 0 1 2 3
f(x): -3 2 9 18.
x f(x) = y y∇ y2
∇ y3
∇
0 -3
2-(-3)=5
9-2 = 7
18-9 = 9( 0y∇ )
7-5= 2
9-7 =2( 0
2
y∇ )
2-2 = 0( 0
3
y∇ )
1 2
2 9
3 18( 0y )
3
1
3
,18,1,3 0
00 −=
−
=
−
==== x
x
h
xx
vyhx
The Newton’s backward interpolation formula is
( ) ( ) ..............................
!3
)2(1
!2
1
!1
0
3
0
2
00 +∇
++
+∇
+
+∇+= y
vvv
y
vv
y
v
yyn
)0()2(
2
)13)(3(
)9)(3(18 +
+−−
+−+=
xx
x
346527918 22
−+=+−+−+= xxxxx
21. Evaluate )( baxn
e +
∆ .
Sol: let
bax
exf +
=)(
we know that )()()( xfhxfxf −+=∆
( ) ( )1)(
−=−=∆∴ +++++ ahbaxbaxbhxabax
eeeee
( ) ( )( ) ( ) ( )2)(2
1)(1 −=−−=∆∆=∆∴ ++++++ ahbaxbaxbhxaahbaxbax
eeeeeee
www.Vidyarthiplus.in
www.Vidyarthiplus.in
In general, ( ) ( ) .1
nahbaxbaxn
eee −=∆∴ ++
22. What are the advantages of Lagrange’s formula over Newton’s formula?
The forward and backward interpolation formulae of Newton can be used only when the values of the
independent variable x are equally spaced and can also be used when the differences of the dependent variable y
become smaller ultimately. But Lagrange’s interpolation formula can be used whether the values of x, the
independent variable are equally spaced or not and whether the difference of y become smaller or not.
23. Find the second degree polynomial fitting the following data:
X: 1 2 4
f(x): 4 5 13.
x Y ∆ f(x) )(2
xf∆
1 4
1
12
45
=
−
−
4
24
513
=
−
−
1
14
14
=
−
−2 5
4 13
( ) ( )( ) ...........),,(),()()( 210101000 +−−+−+= xxxfxxxxxxfxxxfxf
522314)1)(2)(1()1)(1(4 22
+−=+−+−+=−−+−+= xxxxxxxx .
24. What are the disadvantages in practice in applying Lagrange’s interpolation formula?
1. It takes time.
2. It is laborious.
25. State the properties of divided differences.
1. Divided differences are symmetrical in all their arguments.
2. Divided differences operator is linear. ( ) ( ) ( ))()()()( xgxfxgxf ∆±∆=±∆
3. ( ) ( ))()( xfcxcf ∆=∆ .
4. The
th
n divided differences of a polynomial of the
th
n degree are constant.
26. When Newton’s backward interpolation formula is used.
The formula is used mainly to interpolate the values of ‘y’ near the end of a set of tabular values.
27. When Newton’s forward interpolation formula is used.
The formula is used mainly to interpolate the values of ‘y’ near the beginnig of a set of tabular values.
28. When do we use Newton’s divided differences formula?
This is used when the data are unequally spaced.
29. Newton’s forward interpolation formula used only foe equidistant (or) equal interval.
30. Say true or false:
Newton’s interpolation formulae are not suited to estimate the value of a function near the middle of a table.
Sol:TRUE
31. Say true or false:
Newton’s forward and Newton’s backward interpolation formulae are applicable for
interpolation near the beginning and the end respectively of tabulated values.
Sol:TRUE.
32. Given f(0) = -2,f(1) = 2 and f(2) = 8 Find the root of Newton’s interpolating polynomial
equation f(x) = 0.
Sol:
X f(x) ∆ f(x) 2
∆ f(x)
0 -2
2-(-2)=4
8-2 = 6
6-4 =21 2
2 8
www.Vidyarthiplus.in
www.Vidyarthiplus.in
x
x
h
xx
uhy =
−
=
−
==−=
1
)0(
,1,2 0
0
Newton’s forward interpolation formula is
( ) ( ) ..............................
!3
)2(1
!2
1
!1
0
3
0
2
00 +∆
−−
+∆
−
+∆+= y
uuu
y
uu
y
u
yy
)2(
!2
)1)((
)4)((2
−
++−=
xx
x
.2342 22
−+=−++−= xxxxx
Now,
2
173
2
893
023)( 2 ±−
=
+±−
=⇒=−+= xxxxf .)
33.Forward difference operator.
Let )(xfy = be a function of x and let ,.....,, 210 yyy of the values of .y corresponding to
,....2,, 000 hxhxx ++ of the values of .x Here,the independent variable (or argument), x proceeds at equally
spaced intervals and h(constant),the difference between two consecutive values of x is called the interval of
differencing.
Now the forward difference operator is defined as
nnn yyy
yyy
yyy
−=∆
−=∆
−=∆
+1
121
010
......................
These are called first differences.
34.Forward difference table.
0x
1x
2x
3x
4x
0y
1y
2y
3y
4y
0y∆
1y∆ 0
2
y∆
1
2
y∆
2
2
y∆
0
3
y∆
1
3
y∆ 0
4
y∆
35. Backward difference operator.
The backward difference operator ∇ is defined as
1−−=∇ nnn yyy
For ...2,1,0=n
and so on.
3211
223
21
2
33
2
−−−−
−−
−+−=∇−∇=∇
+−=∇
nnnnnnn
nnnn
yyyyyyy
yyyy
The image part with
relationship ID rId315 was
not found in the file.
The image part with
relationship ID rId316 was
not found in the file.
122
011
100
yyy
yyy
yyy
−=∇
−=∇
−=∇ −
www.Vidyarthiplus.in
www.Vidyarthiplus.in
36 Backward difference table.
x y2
∇ y3
∇ y4
∇
4−x
3−x
2−x
1−x
0x
4−y
3−y
2−y
1−y
0y
3−∇y
2−∇y
1−∇y
0y∇
2
2
−∇ y
1
2
−∇ y
0
2
y∇
1
3
−∇ y
0
3
y∇ 0
4
y∇
Newton’s backward interpolation formula is
( ) ( ) ..............................
!3
)2(1
!2
1
!1
0
3
0
2
00 +∇
++
+∇
+
+∇+= y
vvv
y
vv
y
v
yyn
37. { } { } { })()()()( xgxfxgxf ∆±∆=±∆
(ie)The divided difference (of any order) of the sum (or) difference of two functions is equal to the
sum(or)difference of the corresponding separate divided differences.
Proof:
If )(),( xgxf are two functions and 10 , xx be two arguments,
{ }
[ ] [ ]
( )
),(
)()()()(
)()(
10
01
0011
xx
xx
xgxfxgxf
xgxf
−
±−±
=±∆
=
[ ] [ ]
( )01
0101 )()()()(
xx
xgxgxfxf
−
−±−
{ } { }
),(
)()(
10 xx
xgxf ∆±∆=
Similarly the result is true for any higher order difference.
38. { } { })()( xfcxcf ∆=∆ (ie) the divided difference of the product of a constant and a function is equal to the
product of the constant and the divided difference of the function.
Proof:
{ } { })(
)()()()(
)(
01
01
01
01
xfc
xx
xfxf
c
xx
xcfxcf
xcf ∆=






−
−
=
−
−
=∆
{ } { })()( xfcxcf ∆=∆∴
Similarly the result is true for any higher order difference.
39.The divided differences are symmetrical in all their arguments.
01
1
10
0
01
10
10
01
01
10
)()(
),(
)()()()(
),(
xx
xf
xx
xf
xxf
xx
xfxf
xx
xfxf
xxf
−
+
−
==
−
−
=
−
−
=
Now,
02
1021
210
),(),(
),,(
xx
xxfxxf
xxxf
−
−
= =
02
10
02
21 ),(),(
xx
xxf
xx
xxf
−
−
−
=
( )( ) ( )( )0102
01
1202
12 )()()()(
xxxx
xfxf
xxxx
xfxf
−−
−
−
−−
−
=
( )( ) ( )( ) ( )( ) ( )( )0102
0
0102
1
1202
1
1202
2 )()()()(
xxxx
xf
xxxx
xf
xxxx
xf
xxxx
xf
−−
+
−−
−
−−
−
−−
The image
part with
relationship
ID rId343
was not
found in the
file.
The image part with
relationship ID rId344
was not found in the
file.
The image part with relationship ID rId394 was not found in the file.
www.Vidyarthiplus.in
www.Vidyarthiplus.in
=
( )( ) ( ) ( )( ) ( )( )0102
0
0112
1201
02
1
1202
2 )()()(
xxxx
xf
xxxx
xxxx
xx
xf
xxxx
xf
−−
+






−−
−+−
−
−
−−
=
( )( ) ( ) ( )( ) ( )( )0102
0
0112
02
02
1
1202
2 )()()(
xxxx
xf
xxxx
xx
xx
xf
xxxx
xf
−−
+






−−
−
−
−
−−
),,( 210 xxxf =
( )( ) ( )( ) ( )( )2101
2
0121
1
2010
0 )()()(
xxxx
xf
xxxx
xf
xxxx
xf
−−
+
−−
−
−−
Similarly ,we can prove the result for higher differences
Hence the divided differences are symmetrical in their arguments.
40. State Newton’s formula to find )(&)(),( xfxfxf ′′′′′′ at the interior points, using forward difference.
Sol:
( ) ( ) ( )






+∆
−+−
+∆
+−
+∆
−
+∆==′ ..................
!4
622184
!3
263
!2
121
)( 0
4
23
0
3
2
0
2
0 y
uuu
y
uu
y
u
y
hdx
dy
xf
( )






+∆
+−
+∆−+∆==′′ ..................
12
11186
)1(
1
)( 0
4
2
0
3
0
2
22
2
y
uu
yuy
hdx
yd
xf
( )






+∆
−
+∆==′′′ ..................
2
321
)( 0
4
0
3
33
3
y
u
y
hdx
yd
xf .
41. State Newton’s formula to find )(&)(),( xfxfxf ′′′′′′ at the point 0xx = , using forward difference.
Sol: At 0xx = ,






+∆−∆+∆−∆==′ ..................
4
1
3
1
2
11
)( 0
4
0
3
0
2
0 yyyy
hdx
dy
xf






+∆+∆−∆==′′ ..................
12
111
)( 0
4
0
3
0
2
22
2
yyy
hdx
yd
xf






+∆−∆==′′′ ..................
2
31
)( 0
4
0
3
33
3
yy
hdx
yd
xf
42. State Newton’s formula to find )(&)(),( xfxfxf ′′′′′′ at the interior points, using backward difference.
Sol:
( ) ( ) ( )






+∇
+++
+∇
++
+∇
+
+∇==′ ..................
!4
622184
!3
263
!2
121
)( 4
23
3
2
2
nnnn y
vvv
y
vv
y
v
y
hdx
dy
xf
( )






+∇
++
+∇++∇==′′ ..................
12
11186
)1(
1
)( 4
2
32
22
2
nnn y
vv
yvy
hdx
yd
xf
( )






+∇
+
+∇==′′′ ..................
2
321
)( 43
33
3
nn y
v
y
hdx
yd
xf .
43. State Newton’s formula to find )(&)(),( xfxfxf ′′′′′′ at the point nxx = , using backward difference.
Sol: At nxx = ,






+∇+∆+∇+∇==′ ..................
4
1
3
1
2
11
)( 4
0
32
nnn yyyy
hdx
dy
xf
www.Vidyarthiplus.in
www.Vidyarthiplus.in






+∇+∇+∇==′′ ..................
12
111
)( 432
22
2
nnn yyy
hdx
yd
xf






+∇+∇==′′′ ..................
2
31
)( 43
33
3
nn yy
hdx
yd
xf
44. Find
dx
dy
at x = 1 from the following table:
Sol:
Here, h = 1& 10 =x
The Newton’s forward difference formula for
dx
dy
at 10 == xx is






+∆−∆+∆−∆= ..................
4
1
3
1
2
11
0
4
0
3
0
2
0 yyyy
hdx
dy
( ) 36
3
1
)12(
2
1
7 =






+−=
45.what is cubic Spline?
A cubic polynomial which has continuous slope and curvature is called a cubic spline
46.What is a natural cubic spline?
A cubic spline fitted to the given data such that the end cubies approach linearity at their entremities is
called natural cubic spline
47.Define a cubic spline S(x) which is commonly used for interpolation.
We define a cubic, S(x) as follows:
i)S(x) is a polynomial of degree one for X <X0 and X>Xn
ii)S(x) is at most a cubic polynomial in each interval (xi-1, xi) ,i=1,2,3,…….,n
iii)S(x),S’
(x) and S’’
(x) are continuous at each point (xi,yi), i=0,1,2,…….n and
iv)S(xi) = yi i =0,1,2,3………n
48. If y(xi)= yi, i = 0,1,2,…….n write down the formula for the cubic spline polynomial y(x) , valid in
Xi-1 ≤X≤Xi
Solution:
Here h =1
Y(x) = 1/6 [(xi - x)3
Mi -1 + (x –xi-1)3
]+ (xi - x)[yi-1 -1/6 Mi -1] +(x –xi-1) [yi -1/6 Mi]
49.Write the end conditions on Mi(x) in natural cubic splines
Solution: M0(x) = 0 , Mn(x) = 0
50. Write the relation between the second derivatives Mi(x) in cubic splines with equal mesh spacing.
Solution :
Mi-1 + 4 Mi +Mi+1 = 6/h2
[yi-1 – 2yi +yi+1], i = 1,2,3,…..n-1
X: 1 2 3 4
Y: 1 8 27 64
X: Y: ∆ 2
∆ 3
∆
1 1
7
19
37
12
18
6
2 8
3 27
4 64
www.Vidyarthiplus.in
www.Vidyarthiplus.in
www.Vidyarthiplus.in
www.Vidyarthiplus.in
SELVAM COLLEGE OF TECHNOLOGY, NAMAKKAL-3
NUMERICAL METHODS
UNIT III- NUMERICAL DIFFERENTIATION AND INTEGRATION
Two Marks Q&A Branch: III CSE, III IT& II EEE
1. State Newton’s formula to find )(&)(),( xfxfxf ′′′′′′ at the interior points, using forward
difference.
Sol:
( ) ( ) ( )






+∆
−+−
+∆
+−
+∆
−
+∆==′ ..................
!4
622184
!3
263
!2
121
)( 0
4
23
0
3
2
0
2
0 y
uuu
y
uu
y
u
y
hdx
dy
xf
( )






+∆
+−
+∆−+∆==′′ ..................
12
11186
)1(
1
)( 0
4
2
0
3
0
2
22
2
y
uu
yuy
hdx
yd
xf
( )






+∆
−
+∆==′′′ ..................
2
321
)( 0
4
0
3
33
3
y
u
y
hdx
yd
xf .
2. State Newton’s formula to find )(&)(),( xfxfxf ′′′′′′ at the point 0xx = , using forward
difference.
Sol: At 0xx = ,






+∆−∆+∆−∆==′ ..................
4
1
3
1
2
11
)( 0
4
0
3
0
2
0 yyyy
hdx
dy
xf






+∆+∆−∆==′′ ..................
12
111
)( 0
4
0
3
0
2
22
2
yyy
hdx
yd
xf






+∆−∆==′′′ ..................
2
31
)( 0
4
0
3
33
3
yy
hdx
yd
xf
3. State Newton’s formula to find )(&)(),( xfxfxf ′′′′′′ at the interior points, using
backward difference.
Sol:
( ) ( ) ( )






+∇
+++
+∇
++
+∇
+
+∇==′ ..................
!4
622184
!3
263
!2
121
)( 4
23
3
2
2
nnnn y
vvv
y
vv
y
v
y
hdx
dy
xf
( )






+∇
++
+∇++∇==′′ ..................
12
11186
)1(
1
)( 4
2
32
22
2
nnn y
vv
yvy
hdx
yd
xf
( )






+∇
+
+∇==′′′ ..................
2
321
)( 43
33
3
nn y
v
y
hdx
yd
xf .
4. State Newton’s formula to find )(&)(),( xfxfxf ′′′′′′ at the point nxx = , using backward
difference.
Sol: At nxx = ,






+∇+∆+∇+∇==′ ..................
4
1
3
1
2
11
)( 4
0
32
nnn yyyy
hdx
dy
xf






+∇+∇+∇==′′ ..................
12
111
)( 432
22
2
nnn yyy
hdx
yd
xf
www.Vidyarthiplus.in
www.Vidyarthiplus.in






+∇+∇==′′′ ..................
2
31
)( 43
33
3
nn yy
hdx
yd
xf
5. Find
dx
dy
at x = 1 from the following table:
Sol:
Here, h = 1& 10 =x
The Newton’s forward difference formula for
dx
dy
at 10 == xx is






+∆−∆+∆−∆= ..................
4
1
3
1
2
11
0
4
0
3
0
2
0 yyyy
hdx
dy
( ) 36
3
1
)12(
2
1
7 =






+−=
6. In Numerical integration, what should be the number of intervals to apply Simpson’s
one-third rule and Simpson’s three-eight rule.
Sol: To apply Simpon’s 1/3rd
rule, the number of subintervals must be EVEN.
To apply Simpon’s 1/8th
rule, the number of subintervals must be a multiple of 3.
7. Compare Trapezoidal rule and Simpson’s one-third rule for evaluating numerical
integration.
Sol:
8. State the formula of Trapezoidal rule.
Sol: The Trapezoidal rule is given by
( ){ }nn
nhx
x
yyyyyy
h
dxxf +++++= −
+
∫ 13210 ..........2
2
)(
0
0
9. State the formula of Simpson’s one-third rule.
Sol: Simpson’s one-third rule is given by
X: 1 2 3 4
Y: 1 8 27 64
X: Y: ∆ 2
∆ 3
∆
1 1
7
19
37
12
18
6
2 8
3 27
4 64
Trapezoidal rule Simpson’s one-third rule
Any number of
intervals
Number of intervals must
be even.
Least accuracy More accuracy
www.Vidyarthiplus.in
www.Vidyarthiplus.in
( ) ( ){ }.........2..........4
3
)( 42310
0
0
n
nhx
x
yyyyyy
h
dxxf +++++++=∫
+
Provided when “n” is
even.
.
15. Write down the order of truncation error of trapezoidal rule and Simpson’s 1/3rd
rule.
Sol: The error in the trapezoidal formula is of the order 2
h .
The truncation error in the trapezoidal rule is ( )1210
3
.........
12
−
′′+′′+′′+′′
−
= nyyyy
h
E
16. Compute ∫
2/1
0
ydx using trapezoidal rule if y (0) = 1, y (1/4) = 1.01049, y (1/2) = 1.04291.
Sol: Given,
Here, h = ¼
The Trapezoidal rule is
{ }210
2/1
0
2
2
yyy
h
ydx ++=∫
( ){ } 50798.004291.1)01049.1(21
2
4/1
=++=
17. Write down the order of truncation error of Simpson’s 1/3rd
rule.
Sol: The error in the Simpson’s 1/3rd
rule formula is of the order 4
h .
The truncation error in the Simpson’s 1/3rd
l rule is ( ).........
90
30
5
++
−
= iviv
yy
h
E .
20. A curve passes through (0,1),(0.25,0.9412),(0.5,0.8),(0.75,0.64),(1,0.5).
Find ∫
1
0
)( dxxf by trapezoidal rule.
Sol:
Here, h = 0.5
The Trapezoidal rule is
{ }43210
2/1
0
)(2
2
yyyyy
h
ydx ++++=∫ { } 4748.0054.0)129.0242.0352.0(2399.0
2
5.0
=++++=
22. When does Simpson’s rule give exact result?
Sol: Simpson’s rule will give exact result, if the entire curve )(xfy = is itself a parabola.
23. State true or false.
Whenever Trapezoidal rule is applicable Simpson’s rule can be applied.
Sol: False
24. From the following table find the area bounded by the curve and the x axis from x = 2
to x = 7
x 2 3 4 5 6 7
X: 0 0.25 0.5 0.75 1
F(x) 1
( )0y
0.9412
( )1y
0.8
( )2y
0.64
( )3y
0.5
( )4y
www.Vidyarthiplus.in
www.Vidyarthiplus.in
)(xf 8 27 64 125 216 343
Sol: Here h = 1 and only 6 ordinates are given
We use trapezoidal rule
Area = [ ])(42)(
2
21240
2
0
yyyyy
h
ydx ++++=∫ = 53.8733
26. For what type of functions, Simpson’s rule and direct integration will give exact result?
Sol: Simpson’s rule will give exact result, if the entire curve )(xfy = is itself a parabola.
27. Why is trapezoidal rule so called?
Sol: The trapezoidal rule is so called,because it approximates the integral by the sum of n
trapezoids.
28. How the accuracy can be increased in trapezoidal rule of evaluating a given definite
integral?
Sol: If the number of points of the base segment b-a, (the range of integration) is increased,a
better approximation to the area given by the definite integral will be obtained.
29. Evaluate dx
x∫
1
2
1
1
by trapezoidal rule, dividing the range into 4 equal parts.
Sol: h = 1/8
x 4/8 5/8 6/8 7/8 8/8
)(xf 8/4 8/5 8/6 8/7 8/8
dx
x∫
1
2
1
1
= 0.6971.
30. In Numerical integration, what should be the number of intervals to apply Simpson’s one-third rule and
Simpson’s three-eight rule.
Sol: To apply Simpon’s 1/3rd
rule, the number of subintervals must be EVEN.
To apply Simpon’s 1/8th
rule, the number of subintervals must be a multiple of 3.
31.Compare Trapezoidal rule and Simpson’s one-third rule for evaluating numerical integration.
Sol:
32. State the formula of Trapezoidal rule.
Sol: The Trapezoidal rule is given by
( ){ }nn
nhx
x
yyyyyy
h
dxxf +++++= −
+
∫ 13210 ..........2
2
)(
0
0
33. State the formula of Simpson’s one-third rule.
Sol: Simpson’s one-third rule is given by
( ) ( ){ }.........2..........4
3
)( 42310
0
0
n
nhx
x
yyyyyy
h
dxxf +++++++=∫
+
Provided when “n” is even.
.
Trapezoidal rule Simpson’s one-third rule
Any number of
intervals
Number of intervals must be
even.
Least accuracy More accuracy
www.Vidyarthiplus.in
www.Vidyarthiplus.in
34. Write down the order of truncation error of trapezoidal rule and Simpson’s 1/3rd
rule.
Sol: The error in the trapezoidal formula is of the order
2
h .
The truncation error in the trapezoidal rule is ( )1210
3
.........
12
−
′′+′′+′′+′′
−
= nyyyy
h
E
35. Compute ∫
2/1
0
ydx using trapezoidal rule if y (0) = 1, y (1/4) = 1.01049, y (1/2) = 1.04291.
Sol: Given,
Here, h = ¼
The Trapezoidal rule is
{ }210
2/1
0
2
2
yyy
h
ydx ++=∫
( ){ } 50798.004291.1)01049.1(21
2
4/1
=++=
36. Write down the order of truncation error of Simpson’s 1/3rd
rule.
Sol: The error in the Simpson’s 1/3rd
rule formula is of the order
4
h .
The truncation error in the Simpson’s 1/3rd
l rule is ( ).........
90
30
5
++
−
= iviv
yy
h
E .
37. A curve passes through (0,1),(0.25,0.9412),(0.5,0.8),(0.75,0.64),(1,0.5).
Find ∫
1
0
)( dxxf by trapezoidal rule.
Sol:
Here, h = 0.5
The Trapezoidal rule is
{ }43210
2/1
0
)(2
2
yyyyy
h
ydx ++++=∫ { } 4748.0054.0)129.0242.0352.0(2399.0
2
5.0
=++++=
38. When does Simpson’s rule give exact result?
Sol: Simpson’s rule will give exact result, if the entire curve )(xfy = is itself a parabola.
39. State true or false.
Whenever Trapezoidal rule is applicable Simpson’s rule can be applied.
Sol: False
40. From the following table find the area bounded by the curve and the x axis from x = 2 to x = 7
x 2 3 4 5 6 7
)(xf 8 27 64 125 216 343
Sol: Here h = 1 and only 6 ordinates are given
We use trapezoidal rule
Area = [ ])(42)(
2
21240
2
0
yyyyy
h
ydx ++++=∫ = 53.8733
41. For what type of functions, Simpson’s rule and direct integration will give exact result?
Sol: Simpson’s rule will give exact result, if the entire curve )(xfy = is itself a parabola.
42. Why is trapezoidal rule so called?
Sol: The trapezoidal rule is so called,because it approximates the integral by the sum of n trapezoids.
43. How the accuracy can be increased in trapezoidal rule of evaluating a given definite integral?
X: 0 0.25 0.5 0.75 1
F(x) 1
( )0y
0.9412
( )1y
0.8
( )2y
0.64
( )3y
0.5
( )4y
www.Vidyarthiplus.in
www.Vidyarthiplus.in
Sol: If the number of points of the base segment b-a, (the range of integration) is increased,a better approximation
to the area given by the definite integral will be obtained.
44. Evaluate dx
x∫
1
2
1
1
by trapezoidal rule, dividing the range into 4 equal parts.
Sol: h = 1/8
x 4/8 5/8 6/8 7/8 8/8
)(xf 8/4 8/5 8/6 8/7 8/8
dx
x∫
1
2
1
1
= 0.6971.
www.Vidyarthiplus.in
www.Vidyarthiplus.in
SELVAM COLLEGE OF TECHNOLOGY, NAMAKKAL-3
NUMERICAL METHODS
UNIT IV – INITIAL VALUE PROBLEMS FOR ORDINARY DIFFERENTIAL EQUATIONS
Two Marks Q&A
1. Write down Euler algorithm to the differential equation ),( yxf
dx
dy
=
Solution:
),(1 nnnn yxhfyy +=+ When ,...2,1,0=n This is Euler’s algorithm. It can also be
written as ),()()( yxhfxyhxy +=+
2. State true or false.
In Euler’s method, if “h” is small, the method is too slow and if “h” is large, it
gives inaccurate value.
Solution: The statement is true.
3. State Modified Euler algorithm to solve 00 )(),,( yxyyxfy ==′ at hxx += 0 .
Solution:




+++=






+++=+
),(
2
,
2
),(
2
,
2
000001
1
yxf
h
y
h
xhfyy
yxf
h
y
h
xhfyy nnnnnn
4. The Modified Euler method is based on the average of points.
Solution: The statement is true.
5. State the disadvantage of Taylor series method.
Solution:
In the differential equation ),,( yxf
dx
dy
= the function ),,( yxf may have a
complicated algebraical structure. Then the evaluation of higher order derivatives may
become tedious. This is the demerit of this method.
6. Write down the fourth order Taylor Algorithm.
Solution:
iv
mmmmmm y
h
y
h
y
h
hyyy
432
432
1
Γ
+
″′
Γ
+
″
Γ
+
′
+=+
Here
n
my denotes the th
r derivative with respect to x at the point ( )mm yx ,
7. Write the merits and demerits of the Taylor method of solution.
Solution:
The method gives a straight forward adaptation of classic to develop the solution
as an infinite series. It is a powerful single step method if we are able to find the
successive derivatives easily. If ).( yxf involves some complicated algebraic structures
then the calculation of higher derivatives becomes tedious and the method fails.This is
the major drawback of this method. However the method will be very useful for finding
the starting values for powerful methods like Runge - Kutta method, Milne’s method etc.
www.Vidyarthiplus.in
www.Vidyarthiplus.in
8. Which is better Taylor’s method or R. K. Method?
Solution:
R.K Methods do not require prior calculation of higher derivatives of )(xy ,as the
Taylor method does. Since the differential equations using in applications are often
complicated, the calculation of derivatives may be difficult.
Also the R.K formulas involve the computation of ),( yxf at various positions, instead
of derivatives and this function occurs in the given equation.
9. Taylor series method will be very useful to give some…………for powerful
numerical methods such as Runge-kutta method,Milne’s method etc.
Solution: Initial starting values.
10. State Taylor series algorithm for the first order differential equation.
Solution:
To find the numerical solution of ),( yxf
dx
dy
= with the condition 00 )( yxy = .We
expand )(xy at a general point mx in a Taylor series, getting
....
21
2
1 +
″
Γ
+
′
Γ
+=+ mmmm y
h
y
h
yy
Here
r
my denotes the r th derivatives of y w .r .to x at the point ( )mm yx , .
11. Write the Runge-Kutta method algorithm of second order for solving
.)(),,( 00 yxyyxfy ==′
Solution:
Let h denote the interval between equidistant values of .x If the initial values
are ),,( 00 yx the first increment in y is computed from the formulas.
2
1
002
001
2
,
2
),(
kyand
k
y
h
xhfk
yxhfk
=∆





++=
=
Then yyyhxx ∆+=+= 0101 ,
The increment is y in the second interval is computed in a similar manner using the
same three formulas,using the values 11, yx in the place of 00 , yx respectively.
12. State the third order R.K method algorithm to find the numerical solution of the
first order differential equation.
Solution:
www.Vidyarthiplus.in
www.Vidyarthiplus.in
To solve the differential equation ),( yxfy =′ by the third order R.K method, we use
the following algorithm.
)4(
6
1
)2,(
2
,
2
),(
321
123
1
2
1
kkkyand
kkyhxhfk
k
y
h
xhfk
yxhfk
++=∆
−++=






++=
=
13. Write down the Runge-Kutta formula of fourth order to solve
.00 )(),( yxwithyyxf
dx
dy
==
Solution:
Let hdenote the interval between equidistant values of .x If the initial values are
),( 00 yx ,the first increment in is computed from the formulas.
yyyhxthenx
kkkkyand
kyhxhfk
k
y
h
xhfk
k
y
h
xhfk
yxhfk
∆+=+=
+++=∆
++=
++=






++=
=
0101
4321
3004
2
003
1
002
001
,
)22(
6
1
),(
)
2
,
2
(
2
,
2
),(
The increment in y in the second interval is computed in a similar manner using the
same four formulas,using the values 11, yx in the place of 00 , yx respectively.
14. State the special advantage of Runge-Kutta method over taylor series method.
Solution:
Runge-Kutta methods do not require prior calculation of higher derivatives of
),(xy as the Taylor method does.since the differential equations using in applications
are often complicated,the calculation of derivatives may be difficult.
Also the Runge-Kutta formulas involve the computation of ),( yxf at various
positions,instead of derivatives and this function occurs in the given equation.
15. Say true or false.
Modified Euler’s method is the Runge-Kutta method of second order.
Solution: the statement is true.
16. Is Euler’s method formula, a particular case of second order Runge-Kutta
method?
Solution:
Yes, Euler’s modified formula is a particular case of second order Runge-Kutta
method.
The image
part with
relationship
ID rId675
was not
found in the
file.
www.Vidyarthiplus.in
www.Vidyarthiplus.in
17. State which is better. Taylor’s method or R-K method? why?
(or) What are the advantages of R.K method over Taylor’s method.
(or) State the special advantage of R.K method over Taylor method.
(or) Why is Runge-Kutta method preferred to Taylor series method.
(or) Compare Taylor’s series and R.K method.
Solution:
R-K methods do not require prior calculation of higher derivatives of )(xy as the taylor
method does.
Since the differential equations are using in applications often complicated, the
calculation of derivatives may be difficult.
Also the R-K formulas involve the computation of ),( yxf at various positions, instead
of derivatives and this function occurs in the given equation.
18. The fourth order Runge-Kutta methods are used widely in………to differential
equations.
Solution: Getting numerical solutions.
19. How many prior values are required to predict the next value in Milne’s method?
Solution:
Four prior values.
20. Pick out the correct answer:
The error term in Milne’s Predictor formula is
(a)
′
∆ 0
4
45
14
y
h
(b) 0
4
45
14
y
h
∆ (c) 0
4
720
19
y
h
∆− (d)
′
∆ 0
4
90
y
h
Solution: The error term is
′
∆ 0
4
45
14
y
h
.Correct answer is (a).
21. What is the error term in Milne’s corrector formula?
Solution:The error term is
′
∆− 0
4
90
y
h
22. Say ‘True or False’.
Milne’s method is a self starting method.
Solution:The statement is false.
23. Say True or False.
Predictor-Corrector methods are single –step methods.
Solution:The statement is false.
24. Predictor corrector methods are………starting methods.
Solution: Not self starting methods.
25. How many prior values are required to predict the next value in Adam’s method?
Solution:Four prior values.
26. Say True or False.
Adams Bash forth method is a self starting method.
www.Vidyarthiplus.in
www.Vidyarthiplus.in
Solution:The statement is false.
27. What will you do,if there is a considerable difference between predicted value and
corrected value,in predictor corrector methods?
Solution:
If there is a considerable difference between predicted value and corrected
value,we take the corrected value as the predicted value and find out the new corrected
value.This process is repeated till there is no great difference between two consecutive
corrected values.
28.Compare Runge-Kutta methods and predictor – corrector methods for solution of
initial value problem.
Solution:Runge-Kutta methods
1.Runge-methods are self starting,since they do not use information from previously
calculated points.
2.As mesne are self starting,an easy change in the step size can be made at any stage.
3.Since these methods require several evaluations of the function ),,( yxf they are time
consuming.
4.In these methods,it is not possible to get any information about truncation error.
Predictor Corrector methods:
1.These methods require information about prior points and so they are not self starting.
2.In these methods it is not possible to get easily a good estimate of the truncation error.
29. Say True or False.
Predictor-Collector methods are single –step methods.
Solution:The statement is false
30.What is a Predictor-collector method of solving a differential equation?
Solution:
Predictor-collector methods are methods which require the values of y at
,....,, 21 −− nnn xxx for computing the value of y at .1+nx We first use a formula to find the
value of y at .1+nx and this is known as a predictor formula.The value of y so got is
improved or corrected by another formula known as corrector formula.
31. Write Milne’s Predictor formula.
Solution:
Milne’s Predictor formula is



 ′
+
′
−
′
+= 3210,4 22
3
4
yyy
h
yy p
Where ),( 114 yxfy =
′
32. Write Milne’s corrector formula.
Solution:
Milne’s corrector formula is



 ′
+
′
+
′
+= 4322,4 4
3
yyy
h
yy c
Where ),( ,444 pyxfy =
′
www.Vidyarthiplus.in
www.Vidyarthiplus.in
33. Write down Adams-bashforth Predictor formula.
Solution:
Adams-bashforth Predictor formula is



 ′
−
′
+
′
−
′
+= 01233,4 9375955
24
yyyy
h
yy p
34. Write down Adams-bashforth Corrector formula.
Solution:
Adams-bashforth Corrector formula is



 ′
+
′
−
′
+
′
+= 12343,4 5199
24
yyyy
h
yy c
Where ),( ,444 pyxfy =
′
35. Using Euler’s method find )2.0(y from 1)0(, =+= yyx
dx
dy
with h=0.2.
Solution:
By Euler’s method
),( 0001 yxhfyy +=
= )1,0()2.0(1 f+
= )10)(2.0(1 ++
= )2.0(1+
=1.2
2.1)2.0(1 == yy
www.Vidyarthiplus.in
www.Vidyarthiplus.in
SELVAM COLLEGE OF TECHNOLOGY, NAMAKKAL-3
NUMERICAL METHODS
UNIT V – BOUNDARY VALUE PROBLEMS IN ORDINARY
AND PARTIAL DIFFERENTIAL EQUATIONS
Two Marks Q&A
1. The number of conditions required to solve the Laplace equation is……
Solution: Four
2. What is the purpose of Liebmann’s process?
Solution:
The purpose of Liebmann’s process is to find the solution of the Laplace equation
0=+ yyxx UU by iteration.
3. If u satisfies Laplace equation and u=100 on the boundary of a square what will be the
value of u at an interior grid point.
Solution:
Since u satisfies the laplace equation and u=100 on the boundary of a square
( )100100100100
4
1
, +++=jiu
100=
4. For the following mesh in solving 02
=∇ u find one set of rough values of u at interior
mesh points.
Solution:
By symmetry, 32 uu =
Assume .32 =u ( 2uQ is at
3
1
distance from 2=u )
Therefore the rough values are
2)211(
4
1
21 =++= uu
32 =u
3)42(
4
1
4)255(
4
1
414
23
=+++=
=++=
uuu
uu
5. Write the Laplace equations 0=+ yyxx UU in difference quotients.
Solution:
0
22
2
1,,1,
2
,1,,1
=
+−
+
+− +−+−
k
uuu
h
uuu jijijijijiji
6. Write down the standard five point formula to solve Laplace equation .02
2
2
2
=
∂
∂
+
∂
∂
y
u
x
u
Solution:
[ ]1,1,,1,1,
4
1
+−+− +++= jijijijiji uuuuu
www.Vidyarthiplus.in
www.Vidyarthiplus.in
7. Define a difference quotient.
Solution:
A difference quotient is the quotient obtained by dividing the difference between
two values of a function by the difference between two corresponding values of the
independent variable.
8. State Liebmann’s iteration process formulae.
Solution:
[ ])1(
1,
)(
1,
)(
,1
)1(
,1
1
,
4
1 +
+−+
+
−
+
+++=
n
ji
n
ji
n
ji
n
ji
n
ji uuuuu
9. Write the diagonal five-point formula to solve the Laplace equation 0=+ yyxx UU
Solution:
[ ]1,11,11,11,1,
4
1
++−++−−− +++= jijijijiji uuuuu
10. Write the difference scheme for solving the Laplace equation.
Solution:
The five point difference for 02
=∇ φ is
[ ]1,1,,1,1,
4
1
+−+− +++= jijijijiji uuuuu
11. Write down the finite difference form of the equation. ),(2
yxfu =∇
Solution:
),(4 2
,1,1,,1,1 jhihfhuuuuu jijijijiji =−+++ +−+−
12. Write the difference scheme for ).,(2
yxfu =∇
Solution:
Consider a square mesh with interval of differencing as h.
Taking jhyihx == , the difference equation reduces to
),(4).(
),(
22
2
,1,,1,1
2
1,,1,
2
,1,,1
jhihfhuuuuei
ihihf
h
uuu
h
uuu
jijijiji
jijijijijiji
=−++
=
+−
+
+−
+=−
+−+−
13. State the five point formula to solve the Poisson equation .100=+ yyxx uu
Solution:
100),(4 2
,1,1,,1,1 ==−+++ +−+− jhihfhuuuuu jijijijiji (Since h=1)
14. State the general form of Poisson’s equation in partial derivatives.
Solution:
).,(2
2
2
2
yxf
y
u
x
u
=
∂
∂
+
∂
∂
15. Write a note on the stability and convergence of the solution of the difference
equation corresponding to the hyperbolic equation .2
xxtt uau =
www.Vidyarthiplus.in
www.Vidyarthiplus.in
Solution:
For ,
1
a
=λ the solution of the difference equation is stable and coincides with the
solution of the differential equation. For
a
1
>λ ,the solution is unstable.
For
a
1
<λ ,the solution is stable but not convergent.
16. State the explicit scheme formula for the solution of the wave equation.
Solution:
The formula to solve numerically the wave equation 02
=− ttxx uua is
( ) 1,,1,1
22
,
22
, )1(2 −−+ −++−= jijijijiji uuuauau λλ
The schematic representation is shown below.
The solution value at any point (i,j+1) on the th
j )1( + level is expressed in terms of solution
values on the previous j and (j-1) levels (and not interms of values on the same level).Hence this
is an explicit difference formula.
17. Write down the general and simplest forms of the difference equation corresponding to
the hyperbolic equation .2
xxtt uau =
Solution:
the general form of the difference equation to solve the equation
.2
xxtt uau = is
( ) )1........()1(2 1,,1,1
22
,
22
1, −−++ −++−= jijijijiji uuuauau λλ
If ,122
=aλ coefficient of jiu , in (1) is =0
The recurrence equation (1) takes the simplified form
1,,1,11, −−++ −+= jijijiji uuuu
18. State the conditions for the equation.
GFuEuDuCuBuAu yxyyxyxx =+++++ where A,B,C,D,E,F,G are function of x and y to
be (i)elliptic,(ii)parabolic(iii)hyperbolic.
Solution:
The given equation is said to be
(i)elliptic at a point ),( yx in the plane if 042
<− ACB
(ii)Parabolic if 042
=− ACB
(iii)hyperbolicif 042
>− ACB
19. State the condition for the equation ),,,(2 yxuufCuBuAu yxyyxyxx =++ to be
(i) elliptic,(ii)parabolic(iii)hyperbolic when A,B,C are functions of x and y
Solution:
The equation is elliptic if 04)2( 2
<− ACB
(i.e) .02
<− ACB It is parabolic if 02
=− ACB and hyperbolic if 042
>− ACB
www.Vidyarthiplus.in
www.Vidyarthiplus.in
20. Fill up the blank.
The equation 0=+ yyxx uyu is hyperbolic in the region……
Solution:
Here A=y,B=0,C=1
yyACB 44042
−=−=−
The equation is hyperbolic in the region (x,y) where 042
>− ACB
i.e., 04 >− y or 0<y
It is hyperbolic in the region 0<y
21. What is the classification of ?0=− yyx ff
Solution:
Here A=0,B=0,C=-1
0104042
=−××−=− ACB
So the equation is parabolic.
22. Give an example of a parabolic equation.
Solution:
The one dimensional heat equation 2
2
2
x
u
t
u
∂
∂
=
∂
∂
α is parabolic.
23. State Schmidt’s explicit formula for solving heat flow equation.
Solution:
jijijiji uuuu ,1,,11, )21( −++ +−+= λλλ
If [ ]jijiji uuu ,1,11,
2
1
,
2
1
−++ +==λ
24. Fill up the blank.
Bender-Schmidt recurrence scheme is useful to solve………equation.
Solution:
One dimensional heat
25. Write an explicit formula to solve numerically the heat equation (parabolic equation)
0=− txx auu
Solution:
jijijiji uuuu ,1,,11, )21( −++ +−+= λλλ
Where
ah
k
2
=λ (h is the space for the variable x and k is the space in the time direction).
The above formula is a relation between the function values at the two levels j+1 and j and is
called a two level formula. The solution value at any point (i,j+1) on the (j+1)th level is
expressed in terms of the solution values at the points (i-1,j),(i,j) and (i+1,j) on the j th level.Such
a method is called explicit formula. the formula is geometrically represented below.
26. What is the value of k to solve xxu
t
u
2
1
=
∂
∂
by Bender-schmidt method with 1=h if h
and k are the increments of x and t respectively?
Solution:
www.Vidyarthiplus.in
www.Vidyarthiplus.in
Given : xxu
t
u
=
∂
∂
2
Here
4
1
2
1
0
2
1
2
2
1
)2(
1,2
2
2
2
=




≤<==
===
==
k
k
k
k
h
k
h
λλ
α
λ
α
Q
27. What is the classification of one dimensional heat flow equation.
Solution:
One dimensional heat flow equation is
t
u
x
u
∂
∂
=
∂
∂
22
2
1
α
Here A=1,B=0,C=0
042
=−∴ ACB
Hence the one dimensional heat flow equation is parabolic.
28. Write down the Crank-Nicholson formula to solve xxt uu =
Solution:
1,1,11,1 )1(
2
1
2
1
++−++ +−+ jijiji uuu λλλ
jijiji uuu ,,1,1 )1(
2
1
2
1
−−−= −+ λλλ
(Or)
1,1,11,1 )1(2)( ++−++ +−+ jijiji uuu λλλ
= )()1(2 ,1,1, jijiji uuu −+ +−− λλ
29. Write down the implicit formula to solve one dimensional heat flow equation.
txx u
c
u 2
1
=
Solution:
Same as before question.
30. Why is Crank Nicholson’s scheme called an implicit scheme?
Solution:
The Schematic representation of crank Nicholson method is shown below.
The solution value at any point (i,j+1) on the ( )th
j 1+ level is dependent on the solution values at
the neighboring points on the same level and on three values on the th
j level. Hence it is an
implicit method.
31. Fill up the blanks.
In the parabolic equation. xxt uu 2
α= if 2
2
h
kα
λ =
Where tk ∆= and ,xh ∆= then
www.Vidyarthiplus.in
www.Vidyarthiplus.in
(a) explicit method is stable only if .......=λ
(b) implicit method is convergent when ......=λ
Solution:
(a)Explicit method is stable only if
2
1
<λ
(b)Implicit method is convergent when
2
1
=λ
32. What type of equations can be solved by using Crank-Nicholson’s difference formula?
Solution:
Crank-Nicholson’s difference formula is used to solve parabolic equations of the form.
txx auu =
33. Write the crank Nicholson difference scheme to solve txx auu = with
10 ),(,),0( TtluTtu == and the initial condition as )()0,( xfxu =
Solution:
The scheme is
1,1,11,1 )1(
2
1
2
1
++++− +−+ jijiji uuu λλλ jijiji uuu ,,1,1 )1(
2
1
2
1
−−−= +− λλλ
34. For what purpose Bender-Schmidt recurrence relation is used?
Solution:
To solve one dimensional heat equation.
35. What are the methods to solve second order boundary-value problems?
Solution:
(i)Finite difference method
(ii)Shooting method.
www.Vidyarthiplus.in
www.Vidyarthiplus.in

Numerical

  • 1.
    SELVAM COLLEGE OFTECHNOLOGY NAMAKKAL-3 DEPARTMENT OF MATHEMATICS SUB: NUMERICAL METHODS UNIT I 1) Write the Descartes rule of signs Sol: 1) An equation )(xf = 0 cannot have more number of positive roots than there are changes of sign in the terms of the polynomial )(xf . 2)An equation )(xf = 0 cannot have more number of positive roots than there are changes of sign in the terms of the polynomial )(xf . 2) What is the order of convergence of Newton Raphson method if the multiplicity of the root is one. Sol: Order of convergence of N.R method is 2. 3) Newton Raphson method is also known as the method of ……….. Sol: Iteration ( Newton’s iteration method) Derive newtons algorithm to derive th p root of a number N. Sol: If p Nx 1 = then 0=− Nx p is the equation to be solved. Let 1 )(,)( − =′−= pp pxxfNxxf By NR rule ,if rx is the th r iterate )( )( 1 r r rr xf xf xx ′ −=+ 11 )1( −− +− = − −= p r p r p r p r r px Nxp px Nx x 4) When would we not use N-R method . Sol: If 1x is the exact root and 0x is its approximate value of the equation )(xf = 0.we know that 1x = 0x - )( )( 0 0 xf xf ′ If )( 0xf ′ is small,the error )( )( 0 0 xf xf ′ will be large and the computation of the root by this,method will be a slow process or may even be impossible. Hence the method should not be used in cases where the graph of the function when it crosses the x axis is nearly horizontal. 5) What is the convergence in NR method? Sol: The rate of convergence in NR method is of order 2. 6) Write the iterative formula of NR method. www.Vidyarthiplus.in www.Vidyarthiplus.in
  • 2.
    Sol: 1+nx =nx - )( )( n n xf xf ′ 7) State the order of convergence and convergence condition for NR method? Sol: The order of convergence is 2 Condition of convergence is 2 )()()( xfxfxf ′<′′ 8) If g(x) is continuous in [a , b] then under what condition the iterative method x = g(x) has a unique solution in [a , b]. Sol: Let x = r be a root of x = g(x) .Let I = [a , b] be the given interval combining the point x = r.if 1)( <′ xg for all x in I, the sequence of approximation nxxx ,......, 10 will converge to the root r,provided that the initial approximation 0x is chosen in r. 9) Write a sufficient condition for Guass siedel method to converge .(or) State a sufficient condition for Guass Jacobi method to converge. Sol: The process of iteration by Guass siedel method will converge if in each equation of the system the absolute value of the largest coefficient is greater than the sum of the absolute values of the remaining coefficients. 10) Give two indirect method to solve a system of linear equations? Sol: (i) Guass Jacobi method (ii) Guass Siedel method 11) State True or False : “Guass siedel iteration converges only if the coefficient matrix is diagonally dominant” Sol: True. 12) Compare Guass Siedel and Guass elimination method? Sol: Guass Jacobi method Guass siedel method. 1. 2. 3. Convergence method is slow Direct method Condition for convergence is the coefficient matrix diagonally dominant The rate of convergence of Guass Siedel method is roughly twice that of Guass Jacobi. Indirect method Condition for convergence is the coefficient matrix diagonally dominant 13) Is the iteration method a self correcting method always? Sol: In general iteration is a self correcting method since the round off error is smaller. 14) State the principle used in Gauss Jordan method? Sol: Coefficient matrix is transformed into diagonal matrix. www.Vidyarthiplus.in www.Vidyarthiplus.in
  • 3.
    15) For solvinga linear system, compare Gauss elimination method and Gauss Jordan method. Sol: Gauss elimination method Gauss Jordan method. 1. 2. 3. Coefficient matrix is transformed into upper triangular matrix Direct method We obtain the solution by back substitution method Coefficient matrix is transformed into diagonal matrix Direct method No need for substitution method 16) The numerical methods of solving linear equations are of two types : one is direct and the other is …………. Sol: iterative. 17) Define round off error? Sol: The round off error is the quantity R which must be added to the finite representation of a computed number in order to make it the true representation of that number. 18) Explain the term pivoting. Sol: In the elimination process if any one of the pivot elements nnaaa ,........, 2211 vanishes are become very small compared to other elements in that column ,then we attempt to rearrange the remaining rows so as to obtain a non vanishing pivot or to avoid the multiplication by a large number.this strategy is called pivoting. The pivoting is of two types 1) Partial pivoting 2) Complete pivoting. 19) Why Guass siedel method is better than Jacobi’s iterative method? Sol: since the current values of the unknowns at each stage of iteration are used in proceeding to the next stage of iteration,the convergence in Guass siedel method will be more rapid than in Guass Jacobi method. 20) Say true or false. Newton’s method is useful in cases where the graph of the function when it crosses the x axis is nearly vertical. Sol:True 21) In the case of fixed point iteration method ,the convergence is ……….. Sol: Linear. 22) If the eigen values of A are 1,3,4 then the dominant eigen value of A is …… Sol:4 23) If the eigen values of A are 1,3,-4 then the dominant eigen value of A is …… Sol:-4 24) If the eigen values of A are 1,3,-3 then the dominant eigen value of A is …… www.Vidyarthiplus.in www.Vidyarthiplus.in
  • 4.
    Sol:No Dominant eigenvalue. 25) The power method will work satisfactory only if A has a …….. Sol:Dominant eigen value. 26) Say true or false: The convergence in the Gauss –Siedel method is thrice as fast as in jacobi’s method. Sol: False.The rate of convergence of Guass siedel methodb is roughly twicw that of the Jacobi’s method. 27) Distinguish between direct and iterative method of solving simultaneous equation. Sol: Direct method Iterative method. 1. 2. We get exact solution Simple take less time Approximjate solution Time consuming laborious www.Vidyarthiplus.in www.Vidyarthiplus.in
  • 5.
    SELVAM COLLEGE OFTECHNOLOGY, NAMAKKAL-3 MA1251-NUMERICAL METHODS UNIT-IV INTERPOLATION AND NUMERICAL INTEGRATION AND DIFFERENTIATION Two Marks Q&A 1. State Lagrange’s interpolation formula. Let 0)( =xf be a function which takes the values nyyyyy ...,,.........,,, 3210 corresponding to ....,,.........,,, 3210 nxxxxxx = Thus Lagrange’s interpolation formula is ( )( ) ( ) ( ) ( )( ) ( ) ( ) ( )( ) ( ) ( ) . .........)( )....(.......... ........................ ............ .........)( )....(.......... .........)( )....(.......... )( 110 110 1 12101 20 0 02010 21 n nnnn n n n n n y xxxxxx xxxxxx y xxxxxx xxxxxx y xxxxxx xxxxxx xfy − − −−− −−− + + −−− −−− + −−− −−− == 2. What is the Lagrange’s formula to find y, if three sets of values ( ) ( ) ( )221100 ,&,,, yxyxyx are given. The Lagrange’s interpolation formula is ( )( ) ( ) ( )( ) ( ) ( )( ) ( ) . )()()( )( 2 1202 10 1 2101 20 0 2010 21 y xxxx xxxx y xxxx xxxx y xxxx xxxx xfy −− −− + −− −− + −− −− == 3. Using Lagrange’s interpolation, find the polynomial through (0,0),(1,1) and (2,2). The polynomial through the given points is given by ( )( ) ( ) ( )( ) ( ) ( )( ) ( ) . )()()( )( 2 1202 10 1 2101 20 0 2010 21 y xxxx xxxx y xxxx xxxx y xxxx xxxx xfy −− −− + −− −− + −− −− == ( )( ) ( )( ) ( )( ) ( )( ) ( )( ) ( )( ) ( ) xxxxx xxxxxx =−+−−= −− −− + −− −− + −− −− = 22 )2( )2( 1202 10 )1( 2101 20 )0( 2010 21 4. When do we apply Lagrange’s interpolation? Lagrange’s interpolation formula can be used when the values of “x” are equally spaced or not. It is mainly used when the values are unevenly spaced. 5. Give the inverse of Lagrange’s interpolation formula. The inverse Lagrange’s interpolation formula is ( )( ) ( ) ( ) ( )( ) ( ) ( ) ( )( ) ( ) ( ) . .........)( )....(.......... ........................ ............ .........)( )....(.......... .........)( )....(.......... 110 110 1 12101 20 0 02010 21 n nnnn n n n n n x yyyyyy yyyyyy x yyyyyy yyyyyy x yyyyyy yyyyyy x − − −−− −−− + + −−− −−− + −−− −−− = 6. What do you understand by inverse interpolation? The process of finding a value of “x” for the corresponding value of “y” is called inverse interpolation. The Lagrange’s inverse interpolation formula can be obtained by interchanging “x” and “y” in Lagrange’s interpolation formula. 7. Define divided difference. Let the function )(xfy = take the values )(.......),........(),(),( 210 nxfxfxfxf corresponding to the values nxxxx ....,.........,, 210 of the argument ‘x’ where 11201 ...,........., −−−− nn xxxxxx need not necessarily be equal. The first divided difference of )(xf for the arguments 10 , xx is 01 01 10 )()( ),( xx xfxf xxf − − = . similarly, 12 12 21 )()( ),( xx xfxf xxf − − = etc. The second divided difference of f(x) for three arguments 210 ,, xxx is defined as www.Vidyarthiplus.in www.Vidyarthiplus.in
  • 6.
    13 2132 321 02 1021 210 ),(),( ),,(, ),(),( ),,( xx xxfxxf xxxf xx xxfxxf xxxf − − = − − = etc. 8. Showthat the divided difference operator ∆ is linear. Sol: [ ] [ ] [ ] ( ) ( ))()( )()()()()()()()( )()( 01 01 01 01 01 0011 xgxf xx xgxg xx xfxf xx xgxfxgxf xgxf ∆±∆= − − ± − − = − ±−± =±∆ 9. Evaluate ( )( )( ) ( )xxxx 101.............3121110 −−−−∆ ,by taking h =1. Sol: ( )( )( ) ( ) ( )210 !10)!10)(10.9.8.7.6.5.4.3.2.1(101.............31211 ==−−−−∆ xxxx 10. Obtain a divided difference table for the following data: X: 5 7 11 13 17 Y: 150 392 1452 2366 5202. Sol: x y ∆ f(x) )(2 xf∆ )(3 xf∆ 5 150 121 2 242 57 150392 == − − 245 4 1060 711 3921452 == − − 457 2 914 1113 14522366 == − − 709 4 2836 1317 23665202 == − − 67.20 6 124 511 121245 == − − 33.35 6 212 713 245457 == − − 42 6 252 1117 457709 == − − 83.1 8 66.14 513 67.2033.35 == − − 667.0 10 67.6 717 33.3542 == − − 7 392 11 1452 13 2366 17 5202 11. Write the Newton’s divided difference interpolation formula for unequal intervals. ( ) ( )( ) ............),,(),()()( 210101000 +−−+−+= xxxfxxxxxxfxxxfxf ( ) ),.....,()).......(( 10110 nn xxxfxxxxxx −−−−+ . 12. Write the Newton’s forward difference interpolation formula. Let )(xfy = be a function which takes the values nyyyyy ...,,.........,,, 3210 corresponding to the values nxxxxx ...,,.........,,, 3210 where the values of x are equally spaced. Then the Newton’s forward difference interpolation formula is given by ( ) ( ) .............................. !3 )2(1 !2 1 !1 0 3 0 2 00 +∆ −− +∆ − +∆+= y uuu y uu y u yyn Where h xx u 0− = 13. If 2 1 )( x xf = ,find ),,(&),( cbafbaf by using divided differences. Sol: Given, 2 1 )( x xf = . ( ) . )( 11 )()( ),( 2222 2222 ba ab abba ba ab ab ab afbf baf + −= − − = − − = − − = www.Vidyarthiplus.in www.Vidyarthiplus.in
  • 7.
    ( )accba cbbaabcb ac ba ab bc bc ac bafcbf cbaf − +−+ = − + + + − = − − = 222 22222222)()( )( ),(),( ),,( ( ) 222222 )())(( cba cabcab accba accabcab ++ = − −++ = 14. What is the nature of th n divided differences of a polynomial of th n degree? Sol: Let =)(xf a polynomial of degree “n”. =∆ )(xfn nth divided difference = constant. 15. Find the second divided differences with arguments a,b,c if x xf 1 )( = . Sol:Given, x xf 1 )( = abab ab ab afbf baf 1 11 )()( ),( − = − − = − − = . 1 11 ),(),( ),,( abcac abbc ac bafcbf cbaf = − +− = − − = 16. Obtain a divided difference table for the following data: X: -1 0 2 3 f(x): -8 3 1 12. x y ∆ f(x) )(2 xf∆ )(3 xf∆ -1 -8 11 10 83 = + + 1 02 31 −= − − 11 23 112 = − − 4 12 111 −= + −− 4 03 111 = − + 2 13 44 = + + 0 3 2 1 3 12 17. Find the polynomial which takes the following values: X: 0 1 2 Y: 1 2 1 Sol: The Lagrange’s interpolation formula is ( )( ) ( ) ( )( ) ( ) ( )( ) ( ) . )()()( )( 2 1202 10 1 2101 20 0 2010 21 y xxxx xxxx y xxxx xxxx y xxxx xxxx xfy −− −− + −− −− + −− −− == ( )( ) ( ) ( )( ) ( ) ( )( ) ( ) ).1( 12)02( 10 )2( 21)01( 20 )1( 20)10( 21 )( −− −− + −− −− + −− −− == xxxxxx xfy 242 2)1( )2(2 2 23 2 222 ++−= − + − − + +− = xx xxxxxx 18. Obtain a divided difference table for the following data: X: 2 3 5 f(x): 0 14 102. www.Vidyarthiplus.in www.Vidyarthiplus.in
  • 8.
    Sol: x y ∆f(x) )(2 xf∆ 2 0 14 23 014 = − − 44 35 14102 = − − 10 25 1444 = − −3 14 5 102 19. Write the Newton’s backward difference interpolation formula. Let )(xfy = be a function which takes the values nyyyyy ...,,.........,,, 3210 corresponding to the values nxxxxx ...,,.........,,, 3210 where the values of x are equally spaced. Then the Newton’s backward difference interpolation formula is given by ( ) ( ) .............................. !3 )2(1 !2 1 !1 0 3 0 2 00 +∇ ++ +∇ + +∇+= y vvv y vv y v yyn Where h xx v 0− = . 20. Find the polynomial for the following data by Newton’s backward difference formula. X: 0 1 2 3 f(x): -3 2 9 18. x f(x) = y y∇ y2 ∇ y3 ∇ 0 -3 2-(-3)=5 9-2 = 7 18-9 = 9( 0y∇ ) 7-5= 2 9-7 =2( 0 2 y∇ ) 2-2 = 0( 0 3 y∇ ) 1 2 2 9 3 18( 0y ) 3 1 3 ,18,1,3 0 00 −= − = − ==== x x h xx vyhx The Newton’s backward interpolation formula is ( ) ( ) .............................. !3 )2(1 !2 1 !1 0 3 0 2 00 +∇ ++ +∇ + +∇+= y vvv y vv y v yyn )0()2( 2 )13)(3( )9)(3(18 + +−− +−+= xx x 346527918 22 −+=+−+−+= xxxxx 21. Evaluate )( baxn e + ∆ . Sol: let bax exf + =)( we know that )()()( xfhxfxf −+=∆ ( ) ( )1)( −=−=∆∴ +++++ ahbaxbaxbhxabax eeeee ( ) ( )( ) ( ) ( )2)(2 1)(1 −=−−=∆∆=∆∴ ++++++ ahbaxbaxbhxaahbaxbax eeeeeee www.Vidyarthiplus.in www.Vidyarthiplus.in
  • 9.
    In general, () ( ) .1 nahbaxbaxn eee −=∆∴ ++ 22. What are the advantages of Lagrange’s formula over Newton’s formula? The forward and backward interpolation formulae of Newton can be used only when the values of the independent variable x are equally spaced and can also be used when the differences of the dependent variable y become smaller ultimately. But Lagrange’s interpolation formula can be used whether the values of x, the independent variable are equally spaced or not and whether the difference of y become smaller or not. 23. Find the second degree polynomial fitting the following data: X: 1 2 4 f(x): 4 5 13. x Y ∆ f(x) )(2 xf∆ 1 4 1 12 45 = − − 4 24 513 = − − 1 14 14 = − −2 5 4 13 ( ) ( )( ) ...........),,(),()()( 210101000 +−−+−+= xxxfxxxxxxfxxxfxf 522314)1)(2)(1()1)(1(4 22 +−=+−+−+=−−+−+= xxxxxxxx . 24. What are the disadvantages in practice in applying Lagrange’s interpolation formula? 1. It takes time. 2. It is laborious. 25. State the properties of divided differences. 1. Divided differences are symmetrical in all their arguments. 2. Divided differences operator is linear. ( ) ( ) ( ))()()()( xgxfxgxf ∆±∆=±∆ 3. ( ) ( ))()( xfcxcf ∆=∆ . 4. The th n divided differences of a polynomial of the th n degree are constant. 26. When Newton’s backward interpolation formula is used. The formula is used mainly to interpolate the values of ‘y’ near the end of a set of tabular values. 27. When Newton’s forward interpolation formula is used. The formula is used mainly to interpolate the values of ‘y’ near the beginnig of a set of tabular values. 28. When do we use Newton’s divided differences formula? This is used when the data are unequally spaced. 29. Newton’s forward interpolation formula used only foe equidistant (or) equal interval. 30. Say true or false: Newton’s interpolation formulae are not suited to estimate the value of a function near the middle of a table. Sol:TRUE 31. Say true or false: Newton’s forward and Newton’s backward interpolation formulae are applicable for interpolation near the beginning and the end respectively of tabulated values. Sol:TRUE. 32. Given f(0) = -2,f(1) = 2 and f(2) = 8 Find the root of Newton’s interpolating polynomial equation f(x) = 0. Sol: X f(x) ∆ f(x) 2 ∆ f(x) 0 -2 2-(-2)=4 8-2 = 6 6-4 =21 2 2 8 www.Vidyarthiplus.in www.Vidyarthiplus.in
  • 10.
    x x h xx uhy = − = − ==−= 1 )0( ,1,2 0 0 Newton’sforward interpolation formula is ( ) ( ) .............................. !3 )2(1 !2 1 !1 0 3 0 2 00 +∆ −− +∆ − +∆+= y uuu y uu y u yy )2( !2 )1)(( )4)((2 − ++−= xx x .2342 22 −+=−++−= xxxxx Now, 2 173 2 893 023)( 2 ±− = +±− =⇒=−+= xxxxf .) 33.Forward difference operator. Let )(xfy = be a function of x and let ,.....,, 210 yyy of the values of .y corresponding to ,....2,, 000 hxhxx ++ of the values of .x Here,the independent variable (or argument), x proceeds at equally spaced intervals and h(constant),the difference between two consecutive values of x is called the interval of differencing. Now the forward difference operator is defined as nnn yyy yyy yyy −=∆ −=∆ −=∆ +1 121 010 ...................... These are called first differences. 34.Forward difference table. 0x 1x 2x 3x 4x 0y 1y 2y 3y 4y 0y∆ 1y∆ 0 2 y∆ 1 2 y∆ 2 2 y∆ 0 3 y∆ 1 3 y∆ 0 4 y∆ 35. Backward difference operator. The backward difference operator ∇ is defined as 1−−=∇ nnn yyy For ...2,1,0=n and so on. 3211 223 21 2 33 2 −−−− −− −+−=∇−∇=∇ +−=∇ nnnnnnn nnnn yyyyyyy yyyy The image part with relationship ID rId315 was not found in the file. The image part with relationship ID rId316 was not found in the file. 122 011 100 yyy yyy yyy −=∇ −=∇ −=∇ − www.Vidyarthiplus.in www.Vidyarthiplus.in
  • 11.
    36 Backward differencetable. x y2 ∇ y3 ∇ y4 ∇ 4−x 3−x 2−x 1−x 0x 4−y 3−y 2−y 1−y 0y 3−∇y 2−∇y 1−∇y 0y∇ 2 2 −∇ y 1 2 −∇ y 0 2 y∇ 1 3 −∇ y 0 3 y∇ 0 4 y∇ Newton’s backward interpolation formula is ( ) ( ) .............................. !3 )2(1 !2 1 !1 0 3 0 2 00 +∇ ++ +∇ + +∇+= y vvv y vv y v yyn 37. { } { } { })()()()( xgxfxgxf ∆±∆=±∆ (ie)The divided difference (of any order) of the sum (or) difference of two functions is equal to the sum(or)difference of the corresponding separate divided differences. Proof: If )(),( xgxf are two functions and 10 , xx be two arguments, { } [ ] [ ] ( ) ),( )()()()( )()( 10 01 0011 xx xx xgxfxgxf xgxf − ±−± =±∆ = [ ] [ ] ( )01 0101 )()()()( xx xgxgxfxf − −±− { } { } ),( )()( 10 xx xgxf ∆±∆= Similarly the result is true for any higher order difference. 38. { } { })()( xfcxcf ∆=∆ (ie) the divided difference of the product of a constant and a function is equal to the product of the constant and the divided difference of the function. Proof: { } { })( )()()()( )( 01 01 01 01 xfc xx xfxf c xx xcfxcf xcf ∆=       − − = − − =∆ { } { })()( xfcxcf ∆=∆∴ Similarly the result is true for any higher order difference. 39.The divided differences are symmetrical in all their arguments. 01 1 10 0 01 10 10 01 01 10 )()( ),( )()()()( ),( xx xf xx xf xxf xx xfxf xx xfxf xxf − + − == − − = − − = Now, 02 1021 210 ),(),( ),,( xx xxfxxf xxxf − − = = 02 10 02 21 ),(),( xx xxf xx xxf − − − = ( )( ) ( )( )0102 01 1202 12 )()()()( xxxx xfxf xxxx xfxf −− − − −− − = ( )( ) ( )( ) ( )( ) ( )( )0102 0 0102 1 1202 1 1202 2 )()()()( xxxx xf xxxx xf xxxx xf xxxx xf −− + −− − −− − −− The image part with relationship ID rId343 was not found in the file. The image part with relationship ID rId344 was not found in the file. The image part with relationship ID rId394 was not found in the file. www.Vidyarthiplus.in www.Vidyarthiplus.in
  • 12.
    = ( )( )( ) ( )( ) ( )( )0102 0 0112 1201 02 1 1202 2 )()()( xxxx xf xxxx xxxx xx xf xxxx xf −− +       −− −+− − − −− = ( )( ) ( ) ( )( ) ( )( )0102 0 0112 02 02 1 1202 2 )()()( xxxx xf xxxx xx xx xf xxxx xf −− +       −− − − − −− ),,( 210 xxxf = ( )( ) ( )( ) ( )( )2101 2 0121 1 2010 0 )()()( xxxx xf xxxx xf xxxx xf −− + −− − −− Similarly ,we can prove the result for higher differences Hence the divided differences are symmetrical in their arguments. 40. State Newton’s formula to find )(&)(),( xfxfxf ′′′′′′ at the interior points, using forward difference. Sol: ( ) ( ) ( )       +∆ −+− +∆ +− +∆ − +∆==′ .................. !4 622184 !3 263 !2 121 )( 0 4 23 0 3 2 0 2 0 y uuu y uu y u y hdx dy xf ( )       +∆ +− +∆−+∆==′′ .................. 12 11186 )1( 1 )( 0 4 2 0 3 0 2 22 2 y uu yuy hdx yd xf ( )       +∆ − +∆==′′′ .................. 2 321 )( 0 4 0 3 33 3 y u y hdx yd xf . 41. State Newton’s formula to find )(&)(),( xfxfxf ′′′′′′ at the point 0xx = , using forward difference. Sol: At 0xx = ,       +∆−∆+∆−∆==′ .................. 4 1 3 1 2 11 )( 0 4 0 3 0 2 0 yyyy hdx dy xf       +∆+∆−∆==′′ .................. 12 111 )( 0 4 0 3 0 2 22 2 yyy hdx yd xf       +∆−∆==′′′ .................. 2 31 )( 0 4 0 3 33 3 yy hdx yd xf 42. State Newton’s formula to find )(&)(),( xfxfxf ′′′′′′ at the interior points, using backward difference. Sol: ( ) ( ) ( )       +∇ +++ +∇ ++ +∇ + +∇==′ .................. !4 622184 !3 263 !2 121 )( 4 23 3 2 2 nnnn y vvv y vv y v y hdx dy xf ( )       +∇ ++ +∇++∇==′′ .................. 12 11186 )1( 1 )( 4 2 32 22 2 nnn y vv yvy hdx yd xf ( )       +∇ + +∇==′′′ .................. 2 321 )( 43 33 3 nn y v y hdx yd xf . 43. State Newton’s formula to find )(&)(),( xfxfxf ′′′′′′ at the point nxx = , using backward difference. Sol: At nxx = ,       +∇+∆+∇+∇==′ .................. 4 1 3 1 2 11 )( 4 0 32 nnn yyyy hdx dy xf www.Vidyarthiplus.in www.Vidyarthiplus.in
  • 13.
          +∇+∇+∇==′′ .................. 12 111 )( 432 22 2 nnnyyy hdx yd xf       +∇+∇==′′′ .................. 2 31 )( 43 33 3 nn yy hdx yd xf 44. Find dx dy at x = 1 from the following table: Sol: Here, h = 1& 10 =x The Newton’s forward difference formula for dx dy at 10 == xx is       +∆−∆+∆−∆= .................. 4 1 3 1 2 11 0 4 0 3 0 2 0 yyyy hdx dy ( ) 36 3 1 )12( 2 1 7 =       +−= 45.what is cubic Spline? A cubic polynomial which has continuous slope and curvature is called a cubic spline 46.What is a natural cubic spline? A cubic spline fitted to the given data such that the end cubies approach linearity at their entremities is called natural cubic spline 47.Define a cubic spline S(x) which is commonly used for interpolation. We define a cubic, S(x) as follows: i)S(x) is a polynomial of degree one for X <X0 and X>Xn ii)S(x) is at most a cubic polynomial in each interval (xi-1, xi) ,i=1,2,3,…….,n iii)S(x),S’ (x) and S’’ (x) are continuous at each point (xi,yi), i=0,1,2,…….n and iv)S(xi) = yi i =0,1,2,3………n 48. If y(xi)= yi, i = 0,1,2,…….n write down the formula for the cubic spline polynomial y(x) , valid in Xi-1 ≤X≤Xi Solution: Here h =1 Y(x) = 1/6 [(xi - x)3 Mi -1 + (x –xi-1)3 ]+ (xi - x)[yi-1 -1/6 Mi -1] +(x –xi-1) [yi -1/6 Mi] 49.Write the end conditions on Mi(x) in natural cubic splines Solution: M0(x) = 0 , Mn(x) = 0 50. Write the relation between the second derivatives Mi(x) in cubic splines with equal mesh spacing. Solution : Mi-1 + 4 Mi +Mi+1 = 6/h2 [yi-1 – 2yi +yi+1], i = 1,2,3,…..n-1 X: 1 2 3 4 Y: 1 8 27 64 X: Y: ∆ 2 ∆ 3 ∆ 1 1 7 19 37 12 18 6 2 8 3 27 4 64 www.Vidyarthiplus.in www.Vidyarthiplus.in
  • 14.
  • 15.
    SELVAM COLLEGE OFTECHNOLOGY, NAMAKKAL-3 NUMERICAL METHODS UNIT III- NUMERICAL DIFFERENTIATION AND INTEGRATION Two Marks Q&A Branch: III CSE, III IT& II EEE 1. State Newton’s formula to find )(&)(),( xfxfxf ′′′′′′ at the interior points, using forward difference. Sol: ( ) ( ) ( )       +∆ −+− +∆ +− +∆ − +∆==′ .................. !4 622184 !3 263 !2 121 )( 0 4 23 0 3 2 0 2 0 y uuu y uu y u y hdx dy xf ( )       +∆ +− +∆−+∆==′′ .................. 12 11186 )1( 1 )( 0 4 2 0 3 0 2 22 2 y uu yuy hdx yd xf ( )       +∆ − +∆==′′′ .................. 2 321 )( 0 4 0 3 33 3 y u y hdx yd xf . 2. State Newton’s formula to find )(&)(),( xfxfxf ′′′′′′ at the point 0xx = , using forward difference. Sol: At 0xx = ,       +∆−∆+∆−∆==′ .................. 4 1 3 1 2 11 )( 0 4 0 3 0 2 0 yyyy hdx dy xf       +∆+∆−∆==′′ .................. 12 111 )( 0 4 0 3 0 2 22 2 yyy hdx yd xf       +∆−∆==′′′ .................. 2 31 )( 0 4 0 3 33 3 yy hdx yd xf 3. State Newton’s formula to find )(&)(),( xfxfxf ′′′′′′ at the interior points, using backward difference. Sol: ( ) ( ) ( )       +∇ +++ +∇ ++ +∇ + +∇==′ .................. !4 622184 !3 263 !2 121 )( 4 23 3 2 2 nnnn y vvv y vv y v y hdx dy xf ( )       +∇ ++ +∇++∇==′′ .................. 12 11186 )1( 1 )( 4 2 32 22 2 nnn y vv yvy hdx yd xf ( )       +∇ + +∇==′′′ .................. 2 321 )( 43 33 3 nn y v y hdx yd xf . 4. State Newton’s formula to find )(&)(),( xfxfxf ′′′′′′ at the point nxx = , using backward difference. Sol: At nxx = ,       +∇+∆+∇+∇==′ .................. 4 1 3 1 2 11 )( 4 0 32 nnn yyyy hdx dy xf       +∇+∇+∇==′′ .................. 12 111 )( 432 22 2 nnn yyy hdx yd xf www.Vidyarthiplus.in www.Vidyarthiplus.in
  • 16.
          +∇+∇==′′′ .................. 2 31 )( 43 33 3 nnyy hdx yd xf 5. Find dx dy at x = 1 from the following table: Sol: Here, h = 1& 10 =x The Newton’s forward difference formula for dx dy at 10 == xx is       +∆−∆+∆−∆= .................. 4 1 3 1 2 11 0 4 0 3 0 2 0 yyyy hdx dy ( ) 36 3 1 )12( 2 1 7 =       +−= 6. In Numerical integration, what should be the number of intervals to apply Simpson’s one-third rule and Simpson’s three-eight rule. Sol: To apply Simpon’s 1/3rd rule, the number of subintervals must be EVEN. To apply Simpon’s 1/8th rule, the number of subintervals must be a multiple of 3. 7. Compare Trapezoidal rule and Simpson’s one-third rule for evaluating numerical integration. Sol: 8. State the formula of Trapezoidal rule. Sol: The Trapezoidal rule is given by ( ){ }nn nhx x yyyyyy h dxxf +++++= − + ∫ 13210 ..........2 2 )( 0 0 9. State the formula of Simpson’s one-third rule. Sol: Simpson’s one-third rule is given by X: 1 2 3 4 Y: 1 8 27 64 X: Y: ∆ 2 ∆ 3 ∆ 1 1 7 19 37 12 18 6 2 8 3 27 4 64 Trapezoidal rule Simpson’s one-third rule Any number of intervals Number of intervals must be even. Least accuracy More accuracy www.Vidyarthiplus.in www.Vidyarthiplus.in
  • 17.
    ( ) (){ }.........2..........4 3 )( 42310 0 0 n nhx x yyyyyy h dxxf +++++++=∫ + Provided when “n” is even. . 15. Write down the order of truncation error of trapezoidal rule and Simpson’s 1/3rd rule. Sol: The error in the trapezoidal formula is of the order 2 h . The truncation error in the trapezoidal rule is ( )1210 3 ......... 12 − ′′+′′+′′+′′ − = nyyyy h E 16. Compute ∫ 2/1 0 ydx using trapezoidal rule if y (0) = 1, y (1/4) = 1.01049, y (1/2) = 1.04291. Sol: Given, Here, h = ¼ The Trapezoidal rule is { }210 2/1 0 2 2 yyy h ydx ++=∫ ( ){ } 50798.004291.1)01049.1(21 2 4/1 =++= 17. Write down the order of truncation error of Simpson’s 1/3rd rule. Sol: The error in the Simpson’s 1/3rd rule formula is of the order 4 h . The truncation error in the Simpson’s 1/3rd l rule is ( )......... 90 30 5 ++ − = iviv yy h E . 20. A curve passes through (0,1),(0.25,0.9412),(0.5,0.8),(0.75,0.64),(1,0.5). Find ∫ 1 0 )( dxxf by trapezoidal rule. Sol: Here, h = 0.5 The Trapezoidal rule is { }43210 2/1 0 )(2 2 yyyyy h ydx ++++=∫ { } 4748.0054.0)129.0242.0352.0(2399.0 2 5.0 =++++= 22. When does Simpson’s rule give exact result? Sol: Simpson’s rule will give exact result, if the entire curve )(xfy = is itself a parabola. 23. State true or false. Whenever Trapezoidal rule is applicable Simpson’s rule can be applied. Sol: False 24. From the following table find the area bounded by the curve and the x axis from x = 2 to x = 7 x 2 3 4 5 6 7 X: 0 0.25 0.5 0.75 1 F(x) 1 ( )0y 0.9412 ( )1y 0.8 ( )2y 0.64 ( )3y 0.5 ( )4y www.Vidyarthiplus.in www.Vidyarthiplus.in
  • 18.
    )(xf 8 2764 125 216 343 Sol: Here h = 1 and only 6 ordinates are given We use trapezoidal rule Area = [ ])(42)( 2 21240 2 0 yyyyy h ydx ++++=∫ = 53.8733 26. For what type of functions, Simpson’s rule and direct integration will give exact result? Sol: Simpson’s rule will give exact result, if the entire curve )(xfy = is itself a parabola. 27. Why is trapezoidal rule so called? Sol: The trapezoidal rule is so called,because it approximates the integral by the sum of n trapezoids. 28. How the accuracy can be increased in trapezoidal rule of evaluating a given definite integral? Sol: If the number of points of the base segment b-a, (the range of integration) is increased,a better approximation to the area given by the definite integral will be obtained. 29. Evaluate dx x∫ 1 2 1 1 by trapezoidal rule, dividing the range into 4 equal parts. Sol: h = 1/8 x 4/8 5/8 6/8 7/8 8/8 )(xf 8/4 8/5 8/6 8/7 8/8 dx x∫ 1 2 1 1 = 0.6971. 30. In Numerical integration, what should be the number of intervals to apply Simpson’s one-third rule and Simpson’s three-eight rule. Sol: To apply Simpon’s 1/3rd rule, the number of subintervals must be EVEN. To apply Simpon’s 1/8th rule, the number of subintervals must be a multiple of 3. 31.Compare Trapezoidal rule and Simpson’s one-third rule for evaluating numerical integration. Sol: 32. State the formula of Trapezoidal rule. Sol: The Trapezoidal rule is given by ( ){ }nn nhx x yyyyyy h dxxf +++++= − + ∫ 13210 ..........2 2 )( 0 0 33. State the formula of Simpson’s one-third rule. Sol: Simpson’s one-third rule is given by ( ) ( ){ }.........2..........4 3 )( 42310 0 0 n nhx x yyyyyy h dxxf +++++++=∫ + Provided when “n” is even. . Trapezoidal rule Simpson’s one-third rule Any number of intervals Number of intervals must be even. Least accuracy More accuracy www.Vidyarthiplus.in www.Vidyarthiplus.in
  • 19.
    34. Write downthe order of truncation error of trapezoidal rule and Simpson’s 1/3rd rule. Sol: The error in the trapezoidal formula is of the order 2 h . The truncation error in the trapezoidal rule is ( )1210 3 ......... 12 − ′′+′′+′′+′′ − = nyyyy h E 35. Compute ∫ 2/1 0 ydx using trapezoidal rule if y (0) = 1, y (1/4) = 1.01049, y (1/2) = 1.04291. Sol: Given, Here, h = ¼ The Trapezoidal rule is { }210 2/1 0 2 2 yyy h ydx ++=∫ ( ){ } 50798.004291.1)01049.1(21 2 4/1 =++= 36. Write down the order of truncation error of Simpson’s 1/3rd rule. Sol: The error in the Simpson’s 1/3rd rule formula is of the order 4 h . The truncation error in the Simpson’s 1/3rd l rule is ( )......... 90 30 5 ++ − = iviv yy h E . 37. A curve passes through (0,1),(0.25,0.9412),(0.5,0.8),(0.75,0.64),(1,0.5). Find ∫ 1 0 )( dxxf by trapezoidal rule. Sol: Here, h = 0.5 The Trapezoidal rule is { }43210 2/1 0 )(2 2 yyyyy h ydx ++++=∫ { } 4748.0054.0)129.0242.0352.0(2399.0 2 5.0 =++++= 38. When does Simpson’s rule give exact result? Sol: Simpson’s rule will give exact result, if the entire curve )(xfy = is itself a parabola. 39. State true or false. Whenever Trapezoidal rule is applicable Simpson’s rule can be applied. Sol: False 40. From the following table find the area bounded by the curve and the x axis from x = 2 to x = 7 x 2 3 4 5 6 7 )(xf 8 27 64 125 216 343 Sol: Here h = 1 and only 6 ordinates are given We use trapezoidal rule Area = [ ])(42)( 2 21240 2 0 yyyyy h ydx ++++=∫ = 53.8733 41. For what type of functions, Simpson’s rule and direct integration will give exact result? Sol: Simpson’s rule will give exact result, if the entire curve )(xfy = is itself a parabola. 42. Why is trapezoidal rule so called? Sol: The trapezoidal rule is so called,because it approximates the integral by the sum of n trapezoids. 43. How the accuracy can be increased in trapezoidal rule of evaluating a given definite integral? X: 0 0.25 0.5 0.75 1 F(x) 1 ( )0y 0.9412 ( )1y 0.8 ( )2y 0.64 ( )3y 0.5 ( )4y www.Vidyarthiplus.in www.Vidyarthiplus.in
  • 20.
    Sol: If thenumber of points of the base segment b-a, (the range of integration) is increased,a better approximation to the area given by the definite integral will be obtained. 44. Evaluate dx x∫ 1 2 1 1 by trapezoidal rule, dividing the range into 4 equal parts. Sol: h = 1/8 x 4/8 5/8 6/8 7/8 8/8 )(xf 8/4 8/5 8/6 8/7 8/8 dx x∫ 1 2 1 1 = 0.6971. www.Vidyarthiplus.in www.Vidyarthiplus.in
  • 21.
    SELVAM COLLEGE OFTECHNOLOGY, NAMAKKAL-3 NUMERICAL METHODS UNIT IV – INITIAL VALUE PROBLEMS FOR ORDINARY DIFFERENTIAL EQUATIONS Two Marks Q&A 1. Write down Euler algorithm to the differential equation ),( yxf dx dy = Solution: ),(1 nnnn yxhfyy +=+ When ,...2,1,0=n This is Euler’s algorithm. It can also be written as ),()()( yxhfxyhxy +=+ 2. State true or false. In Euler’s method, if “h” is small, the method is too slow and if “h” is large, it gives inaccurate value. Solution: The statement is true. 3. State Modified Euler algorithm to solve 00 )(),,( yxyyxfy ==′ at hxx += 0 . Solution:     +++=       +++=+ ),( 2 , 2 ),( 2 , 2 000001 1 yxf h y h xhfyy yxf h y h xhfyy nnnnnn 4. The Modified Euler method is based on the average of points. Solution: The statement is true. 5. State the disadvantage of Taylor series method. Solution: In the differential equation ),,( yxf dx dy = the function ),,( yxf may have a complicated algebraical structure. Then the evaluation of higher order derivatives may become tedious. This is the demerit of this method. 6. Write down the fourth order Taylor Algorithm. Solution: iv mmmmmm y h y h y h hyyy 432 432 1 Γ + ″′ Γ + ″ Γ + ′ +=+ Here n my denotes the th r derivative with respect to x at the point ( )mm yx , 7. Write the merits and demerits of the Taylor method of solution. Solution: The method gives a straight forward adaptation of classic to develop the solution as an infinite series. It is a powerful single step method if we are able to find the successive derivatives easily. If ).( yxf involves some complicated algebraic structures then the calculation of higher derivatives becomes tedious and the method fails.This is the major drawback of this method. However the method will be very useful for finding the starting values for powerful methods like Runge - Kutta method, Milne’s method etc. www.Vidyarthiplus.in www.Vidyarthiplus.in
  • 22.
    8. Which isbetter Taylor’s method or R. K. Method? Solution: R.K Methods do not require prior calculation of higher derivatives of )(xy ,as the Taylor method does. Since the differential equations using in applications are often complicated, the calculation of derivatives may be difficult. Also the R.K formulas involve the computation of ),( yxf at various positions, instead of derivatives and this function occurs in the given equation. 9. Taylor series method will be very useful to give some…………for powerful numerical methods such as Runge-kutta method,Milne’s method etc. Solution: Initial starting values. 10. State Taylor series algorithm for the first order differential equation. Solution: To find the numerical solution of ),( yxf dx dy = with the condition 00 )( yxy = .We expand )(xy at a general point mx in a Taylor series, getting .... 21 2 1 + ″ Γ + ′ Γ +=+ mmmm y h y h yy Here r my denotes the r th derivatives of y w .r .to x at the point ( )mm yx , . 11. Write the Runge-Kutta method algorithm of second order for solving .)(),,( 00 yxyyxfy ==′ Solution: Let h denote the interval between equidistant values of .x If the initial values are ),,( 00 yx the first increment in y is computed from the formulas. 2 1 002 001 2 , 2 ),( kyand k y h xhfk yxhfk =∆      ++= = Then yyyhxx ∆+=+= 0101 , The increment is y in the second interval is computed in a similar manner using the same three formulas,using the values 11, yx in the place of 00 , yx respectively. 12. State the third order R.K method algorithm to find the numerical solution of the first order differential equation. Solution: www.Vidyarthiplus.in www.Vidyarthiplus.in
  • 23.
    To solve thedifferential equation ),( yxfy =′ by the third order R.K method, we use the following algorithm. )4( 6 1 )2,( 2 , 2 ),( 321 123 1 2 1 kkkyand kkyhxhfk k y h xhfk yxhfk ++=∆ −++=       ++= = 13. Write down the Runge-Kutta formula of fourth order to solve .00 )(),( yxwithyyxf dx dy == Solution: Let hdenote the interval between equidistant values of .x If the initial values are ),( 00 yx ,the first increment in is computed from the formulas. yyyhxthenx kkkkyand kyhxhfk k y h xhfk k y h xhfk yxhfk ∆+=+= +++=∆ ++= ++=       ++= = 0101 4321 3004 2 003 1 002 001 , )22( 6 1 ),( ) 2 , 2 ( 2 , 2 ),( The increment in y in the second interval is computed in a similar manner using the same four formulas,using the values 11, yx in the place of 00 , yx respectively. 14. State the special advantage of Runge-Kutta method over taylor series method. Solution: Runge-Kutta methods do not require prior calculation of higher derivatives of ),(xy as the Taylor method does.since the differential equations using in applications are often complicated,the calculation of derivatives may be difficult. Also the Runge-Kutta formulas involve the computation of ),( yxf at various positions,instead of derivatives and this function occurs in the given equation. 15. Say true or false. Modified Euler’s method is the Runge-Kutta method of second order. Solution: the statement is true. 16. Is Euler’s method formula, a particular case of second order Runge-Kutta method? Solution: Yes, Euler’s modified formula is a particular case of second order Runge-Kutta method. The image part with relationship ID rId675 was not found in the file. www.Vidyarthiplus.in www.Vidyarthiplus.in
  • 24.
    17. State whichis better. Taylor’s method or R-K method? why? (or) What are the advantages of R.K method over Taylor’s method. (or) State the special advantage of R.K method over Taylor method. (or) Why is Runge-Kutta method preferred to Taylor series method. (or) Compare Taylor’s series and R.K method. Solution: R-K methods do not require prior calculation of higher derivatives of )(xy as the taylor method does. Since the differential equations are using in applications often complicated, the calculation of derivatives may be difficult. Also the R-K formulas involve the computation of ),( yxf at various positions, instead of derivatives and this function occurs in the given equation. 18. The fourth order Runge-Kutta methods are used widely in………to differential equations. Solution: Getting numerical solutions. 19. How many prior values are required to predict the next value in Milne’s method? Solution: Four prior values. 20. Pick out the correct answer: The error term in Milne’s Predictor formula is (a) ′ ∆ 0 4 45 14 y h (b) 0 4 45 14 y h ∆ (c) 0 4 720 19 y h ∆− (d) ′ ∆ 0 4 90 y h Solution: The error term is ′ ∆ 0 4 45 14 y h .Correct answer is (a). 21. What is the error term in Milne’s corrector formula? Solution:The error term is ′ ∆− 0 4 90 y h 22. Say ‘True or False’. Milne’s method is a self starting method. Solution:The statement is false. 23. Say True or False. Predictor-Corrector methods are single –step methods. Solution:The statement is false. 24. Predictor corrector methods are………starting methods. Solution: Not self starting methods. 25. How many prior values are required to predict the next value in Adam’s method? Solution:Four prior values. 26. Say True or False. Adams Bash forth method is a self starting method. www.Vidyarthiplus.in www.Vidyarthiplus.in
  • 25.
    Solution:The statement isfalse. 27. What will you do,if there is a considerable difference between predicted value and corrected value,in predictor corrector methods? Solution: If there is a considerable difference between predicted value and corrected value,we take the corrected value as the predicted value and find out the new corrected value.This process is repeated till there is no great difference between two consecutive corrected values. 28.Compare Runge-Kutta methods and predictor – corrector methods for solution of initial value problem. Solution:Runge-Kutta methods 1.Runge-methods are self starting,since they do not use information from previously calculated points. 2.As mesne are self starting,an easy change in the step size can be made at any stage. 3.Since these methods require several evaluations of the function ),,( yxf they are time consuming. 4.In these methods,it is not possible to get any information about truncation error. Predictor Corrector methods: 1.These methods require information about prior points and so they are not self starting. 2.In these methods it is not possible to get easily a good estimate of the truncation error. 29. Say True or False. Predictor-Collector methods are single –step methods. Solution:The statement is false 30.What is a Predictor-collector method of solving a differential equation? Solution: Predictor-collector methods are methods which require the values of y at ,....,, 21 −− nnn xxx for computing the value of y at .1+nx We first use a formula to find the value of y at .1+nx and this is known as a predictor formula.The value of y so got is improved or corrected by another formula known as corrector formula. 31. Write Milne’s Predictor formula. Solution: Milne’s Predictor formula is     ′ + ′ − ′ += 3210,4 22 3 4 yyy h yy p Where ),( 114 yxfy = ′ 32. Write Milne’s corrector formula. Solution: Milne’s corrector formula is     ′ + ′ + ′ += 4322,4 4 3 yyy h yy c Where ),( ,444 pyxfy = ′ www.Vidyarthiplus.in www.Vidyarthiplus.in
  • 26.
    33. Write downAdams-bashforth Predictor formula. Solution: Adams-bashforth Predictor formula is     ′ − ′ + ′ − ′ += 01233,4 9375955 24 yyyy h yy p 34. Write down Adams-bashforth Corrector formula. Solution: Adams-bashforth Corrector formula is     ′ + ′ − ′ + ′ += 12343,4 5199 24 yyyy h yy c Where ),( ,444 pyxfy = ′ 35. Using Euler’s method find )2.0(y from 1)0(, =+= yyx dx dy with h=0.2. Solution: By Euler’s method ),( 0001 yxhfyy += = )1,0()2.0(1 f+ = )10)(2.0(1 ++ = )2.0(1+ =1.2 2.1)2.0(1 == yy www.Vidyarthiplus.in www.Vidyarthiplus.in
  • 27.
    SELVAM COLLEGE OFTECHNOLOGY, NAMAKKAL-3 NUMERICAL METHODS UNIT V – BOUNDARY VALUE PROBLEMS IN ORDINARY AND PARTIAL DIFFERENTIAL EQUATIONS Two Marks Q&A 1. The number of conditions required to solve the Laplace equation is…… Solution: Four 2. What is the purpose of Liebmann’s process? Solution: The purpose of Liebmann’s process is to find the solution of the Laplace equation 0=+ yyxx UU by iteration. 3. If u satisfies Laplace equation and u=100 on the boundary of a square what will be the value of u at an interior grid point. Solution: Since u satisfies the laplace equation and u=100 on the boundary of a square ( )100100100100 4 1 , +++=jiu 100= 4. For the following mesh in solving 02 =∇ u find one set of rough values of u at interior mesh points. Solution: By symmetry, 32 uu = Assume .32 =u ( 2uQ is at 3 1 distance from 2=u ) Therefore the rough values are 2)211( 4 1 21 =++= uu 32 =u 3)42( 4 1 4)255( 4 1 414 23 =+++= =++= uuu uu 5. Write the Laplace equations 0=+ yyxx UU in difference quotients. Solution: 0 22 2 1,,1, 2 ,1,,1 = +− + +− +−+− k uuu h uuu jijijijijiji 6. Write down the standard five point formula to solve Laplace equation .02 2 2 2 = ∂ ∂ + ∂ ∂ y u x u Solution: [ ]1,1,,1,1, 4 1 +−+− +++= jijijijiji uuuuu www.Vidyarthiplus.in www.Vidyarthiplus.in
  • 28.
    7. Define adifference quotient. Solution: A difference quotient is the quotient obtained by dividing the difference between two values of a function by the difference between two corresponding values of the independent variable. 8. State Liebmann’s iteration process formulae. Solution: [ ])1( 1, )( 1, )( ,1 )1( ,1 1 , 4 1 + +−+ + − + +++= n ji n ji n ji n ji n ji uuuuu 9. Write the diagonal five-point formula to solve the Laplace equation 0=+ yyxx UU Solution: [ ]1,11,11,11,1, 4 1 ++−++−−− +++= jijijijiji uuuuu 10. Write the difference scheme for solving the Laplace equation. Solution: The five point difference for 02 =∇ φ is [ ]1,1,,1,1, 4 1 +−+− +++= jijijijiji uuuuu 11. Write down the finite difference form of the equation. ),(2 yxfu =∇ Solution: ),(4 2 ,1,1,,1,1 jhihfhuuuuu jijijijiji =−+++ +−+− 12. Write the difference scheme for ).,(2 yxfu =∇ Solution: Consider a square mesh with interval of differencing as h. Taking jhyihx == , the difference equation reduces to ),(4).( ),( 22 2 ,1,,1,1 2 1,,1, 2 ,1,,1 jhihfhuuuuei ihihf h uuu h uuu jijijiji jijijijijiji =−++ = +− + +− +=− +−+− 13. State the five point formula to solve the Poisson equation .100=+ yyxx uu Solution: 100),(4 2 ,1,1,,1,1 ==−+++ +−+− jhihfhuuuuu jijijijiji (Since h=1) 14. State the general form of Poisson’s equation in partial derivatives. Solution: ).,(2 2 2 2 yxf y u x u = ∂ ∂ + ∂ ∂ 15. Write a note on the stability and convergence of the solution of the difference equation corresponding to the hyperbolic equation .2 xxtt uau = www.Vidyarthiplus.in www.Vidyarthiplus.in
  • 29.
    Solution: For , 1 a =λ thesolution of the difference equation is stable and coincides with the solution of the differential equation. For a 1 >λ ,the solution is unstable. For a 1 <λ ,the solution is stable but not convergent. 16. State the explicit scheme formula for the solution of the wave equation. Solution: The formula to solve numerically the wave equation 02 =− ttxx uua is ( ) 1,,1,1 22 , 22 , )1(2 −−+ −++−= jijijijiji uuuauau λλ The schematic representation is shown below. The solution value at any point (i,j+1) on the th j )1( + level is expressed in terms of solution values on the previous j and (j-1) levels (and not interms of values on the same level).Hence this is an explicit difference formula. 17. Write down the general and simplest forms of the difference equation corresponding to the hyperbolic equation .2 xxtt uau = Solution: the general form of the difference equation to solve the equation .2 xxtt uau = is ( ) )1........()1(2 1,,1,1 22 , 22 1, −−++ −++−= jijijijiji uuuauau λλ If ,122 =aλ coefficient of jiu , in (1) is =0 The recurrence equation (1) takes the simplified form 1,,1,11, −−++ −+= jijijiji uuuu 18. State the conditions for the equation. GFuEuDuCuBuAu yxyyxyxx =+++++ where A,B,C,D,E,F,G are function of x and y to be (i)elliptic,(ii)parabolic(iii)hyperbolic. Solution: The given equation is said to be (i)elliptic at a point ),( yx in the plane if 042 <− ACB (ii)Parabolic if 042 =− ACB (iii)hyperbolicif 042 >− ACB 19. State the condition for the equation ),,,(2 yxuufCuBuAu yxyyxyxx =++ to be (i) elliptic,(ii)parabolic(iii)hyperbolic when A,B,C are functions of x and y Solution: The equation is elliptic if 04)2( 2 <− ACB (i.e) .02 <− ACB It is parabolic if 02 =− ACB and hyperbolic if 042 >− ACB www.Vidyarthiplus.in www.Vidyarthiplus.in
  • 30.
    20. Fill upthe blank. The equation 0=+ yyxx uyu is hyperbolic in the region…… Solution: Here A=y,B=0,C=1 yyACB 44042 −=−=− The equation is hyperbolic in the region (x,y) where 042 >− ACB i.e., 04 >− y or 0<y It is hyperbolic in the region 0<y 21. What is the classification of ?0=− yyx ff Solution: Here A=0,B=0,C=-1 0104042 =−××−=− ACB So the equation is parabolic. 22. Give an example of a parabolic equation. Solution: The one dimensional heat equation 2 2 2 x u t u ∂ ∂ = ∂ ∂ α is parabolic. 23. State Schmidt’s explicit formula for solving heat flow equation. Solution: jijijiji uuuu ,1,,11, )21( −++ +−+= λλλ If [ ]jijiji uuu ,1,11, 2 1 , 2 1 −++ +==λ 24. Fill up the blank. Bender-Schmidt recurrence scheme is useful to solve………equation. Solution: One dimensional heat 25. Write an explicit formula to solve numerically the heat equation (parabolic equation) 0=− txx auu Solution: jijijiji uuuu ,1,,11, )21( −++ +−+= λλλ Where ah k 2 =λ (h is the space for the variable x and k is the space in the time direction). The above formula is a relation between the function values at the two levels j+1 and j and is called a two level formula. The solution value at any point (i,j+1) on the (j+1)th level is expressed in terms of the solution values at the points (i-1,j),(i,j) and (i+1,j) on the j th level.Such a method is called explicit formula. the formula is geometrically represented below. 26. What is the value of k to solve xxu t u 2 1 = ∂ ∂ by Bender-schmidt method with 1=h if h and k are the increments of x and t respectively? Solution: www.Vidyarthiplus.in www.Vidyarthiplus.in
  • 31.
    Given : xxu t u = ∂ ∂ 2 Here 4 1 2 1 0 2 1 2 2 1 )2( 1,2 2 2 2 =     ≤<== === == k k k k h k h λλ α λ α Q 27.What is the classification of one dimensional heat flow equation. Solution: One dimensional heat flow equation is t u x u ∂ ∂ = ∂ ∂ 22 2 1 α Here A=1,B=0,C=0 042 =−∴ ACB Hence the one dimensional heat flow equation is parabolic. 28. Write down the Crank-Nicholson formula to solve xxt uu = Solution: 1,1,11,1 )1( 2 1 2 1 ++−++ +−+ jijiji uuu λλλ jijiji uuu ,,1,1 )1( 2 1 2 1 −−−= −+ λλλ (Or) 1,1,11,1 )1(2)( ++−++ +−+ jijiji uuu λλλ = )()1(2 ,1,1, jijiji uuu −+ +−− λλ 29. Write down the implicit formula to solve one dimensional heat flow equation. txx u c u 2 1 = Solution: Same as before question. 30. Why is Crank Nicholson’s scheme called an implicit scheme? Solution: The Schematic representation of crank Nicholson method is shown below. The solution value at any point (i,j+1) on the ( )th j 1+ level is dependent on the solution values at the neighboring points on the same level and on three values on the th j level. Hence it is an implicit method. 31. Fill up the blanks. In the parabolic equation. xxt uu 2 α= if 2 2 h kα λ = Where tk ∆= and ,xh ∆= then www.Vidyarthiplus.in www.Vidyarthiplus.in
  • 32.
    (a) explicit methodis stable only if .......=λ (b) implicit method is convergent when ......=λ Solution: (a)Explicit method is stable only if 2 1 <λ (b)Implicit method is convergent when 2 1 =λ 32. What type of equations can be solved by using Crank-Nicholson’s difference formula? Solution: Crank-Nicholson’s difference formula is used to solve parabolic equations of the form. txx auu = 33. Write the crank Nicholson difference scheme to solve txx auu = with 10 ),(,),0( TtluTtu == and the initial condition as )()0,( xfxu = Solution: The scheme is 1,1,11,1 )1( 2 1 2 1 ++++− +−+ jijiji uuu λλλ jijiji uuu ,,1,1 )1( 2 1 2 1 −−−= +− λλλ 34. For what purpose Bender-Schmidt recurrence relation is used? Solution: To solve one dimensional heat equation. 35. What are the methods to solve second order boundary-value problems? Solution: (i)Finite difference method (ii)Shooting method. www.Vidyarthiplus.in www.Vidyarthiplus.in