Taylor’s and Picard’s methods 2
Dr. V. Ramachandra Murthy
Numerical Methods
Unit-I: Numerical Methods-I
Numerical solution of ordinary differential equations of first order
and first degree: Picard’s method, Taylor’s series method, Modified
Euler’s method, Runge-Kutta method of fourth order. Milne’s and
Adams-Bashforth predictor and corrector methods [ No derivation of
formulae]
Unit-II: Numerical Methods-II
Numerical solution of simultaneous first order differential
equations: Picard’s method, Runge-Kutta method of fourth order.
Numerical solution of second order ordinary differential equations:
Picard’s method, Runge-kutta method and Milne’s method.
Numerical Solution of Ordinary Differential Equations(ODE)
The most general form of an ODE of nth
order is given by
-------- (1)
A general solution of Eqn (1) is of the form
------- (2)
If particular values are given to the constants then the resulting solution
is called a particular solution.
To obtain a particular solution from the general solution (2), we
must be given n conditions so that the constants can be determined. If
all the n conditions are specified at the same value of x then the problem
is termed as initial value problem. If the conditions are specified at more
than one value of x, then the problem is termed as boundary value
problem.
0
dx
yd
....,,.........
dx
yd
,
dx
yd
,
dx
dy
y,x,φ n
n
3
3
2
2
=





( ) 0c....,,.........c,c,cy,x,ψ n321 =
Taylor’s and Picard’s methods 3
Dr. V. Ramachandra Murthy
Though there are many analytical methods for finding the solution
of the equation of the form (1), there exist large number of ODE’s whose
solution cannot be obtained by the known analytical methods. In such
cases, we use numerical methods to get an approximate solution of a
given differential equation under the prescribed conditions.
Numerical solution of a Differential Equation
Consider the first order differential equation
Let be the solution values at the points
We wish to find the approximate values to these solution
values.
Let the initial condition be . Let the exact solution y(x) of the
given differential equation be represented by a continuous curve. Divide
the interval on which the solution is derived into a finite number
of equispaced subintervals.
0x 1x 2x 1-mx mx
For each , the approximate values of the dependent variable y(x) are
calculated using a suitable recursive formula. These values are
and these are shown by points. Computation of these approximate
values is known as Numerical solution of the Differential equation.
Numerical solution of ODE’s of first order and first degree
Single step Methods:
• Taylor’s series method
y)f(x,
dx
dy
=
)x........y(),y(x),y(x m10 mx,...,1x,0x
m10 y........,,y,y
00 y)y(x =
[ ]mx,0x
Approximate
solution
Exact solution
ix
m10 y......,,y,y
00 y)y(x,y)f(x,
dx
dy
==
Taylor’s and Picard’s methods 4
Dr. V. Ramachandra Murthy
• Picard’s method
• Modified Euler’s method
• Runge-Kutta method of fourth order
Taylor’s Series method
Let y = f(x) be a solution of the equation
Expanding it by Taylor’s series about we get
This may be written as
Putting , we get
Similarly
In general,
Where
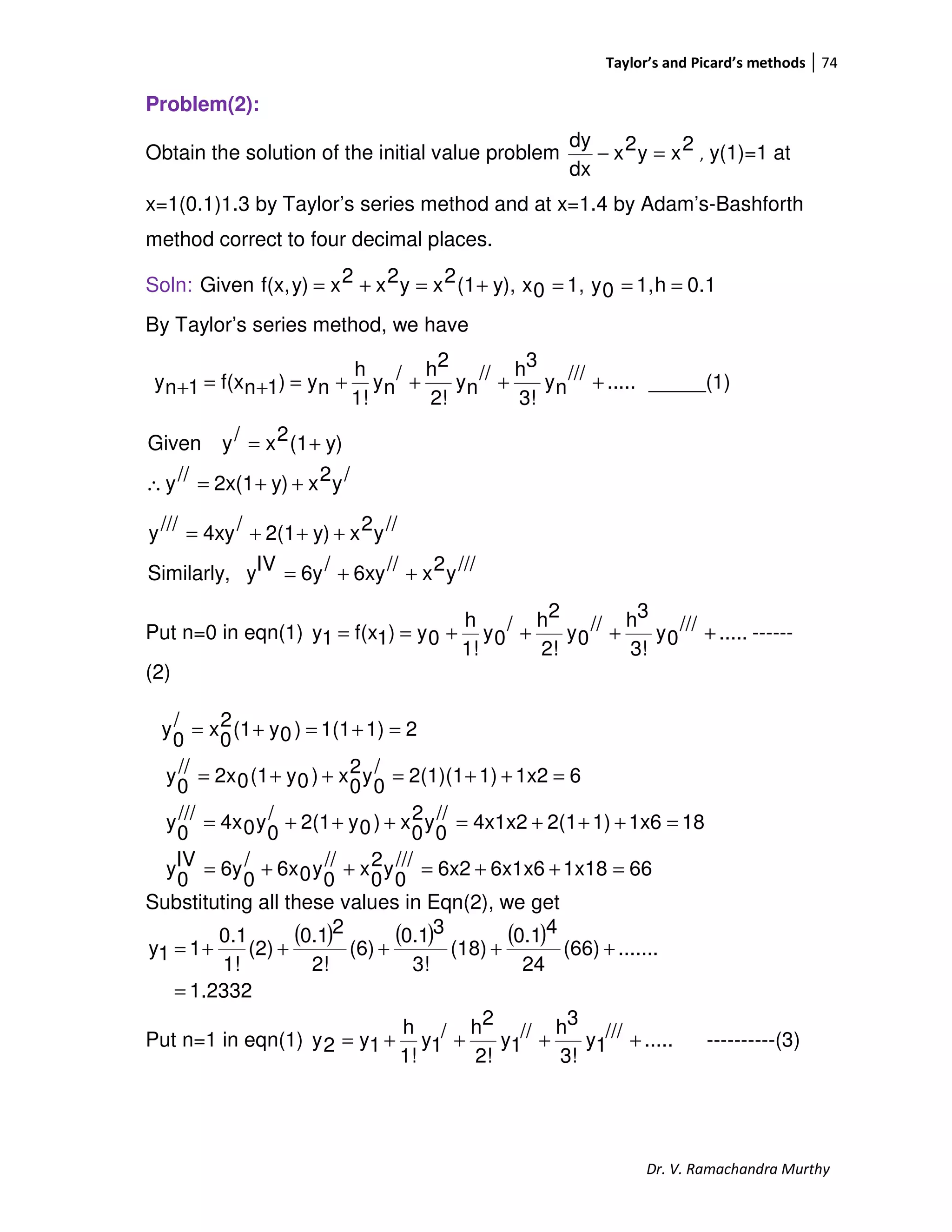
Problem (1):
Solve numerically up to x=1.2 with h=0.1 by Taylor’s
x0 =1 x1 =1.1 x2 =1.2
00 y)y(x,y)f(x,
dx
dy
==
0xx =
( ) ( ) ( ) .....)(xf
3!
xx
)(xf
2!
xx
)(xf
1!
xx
)f(xf(x) 0
///
3
0
0
//
2
0
0
/0
0 +
−
+
−
+
−
+=
( ) ( ) ( ) .....y
3!
xx
y
2!
xx
y
1!
xx
yy(x)
///
0
3
0//
0
2
0/
0
0
0 +
−
+
−
+
−
+=
hxxx 01 +==
.....y
3!
h
y
2!
h
y
1!
h
y)f(xy
///
0
3
//
0
2
/
0011 ++++==
.....y
3!
h
y
2!
h
y
1!
h
y)f(xy
///
1
3
//
1
2
/
1122 ++++==
.....y
3!
h
y
2!
h
y
1!
h
y)f(xy
///
n
3
//
n
2
/
nn1n1n ++++== ++
),........(xfy),(xfy),f(xy n
////
nn
//
nnn ===
0y(1)y,x
dx
dy
=+=
Taylor’s and Picard’s methods 5
Dr. V. Ramachandra Murthy
series method
correct to
four decimal places.
Soln: Given data: , h=0.1
From the Taylor’s series, we have
---------- (1)
Where n=0, 1, 2,…….
Put n=0 in Eqn (1)
----------- (2)
Substituting all these values in Eqn(2) we get
∴
y0 =0 y1 =? y2 =?
yxy/
+=
.....y
3!
h
y
2!
h
y
1!
h
y)f(xy
///
n
3
//
n
2
/
nn1n1n ++++== ++
yxy/
+=
///
y1y += /////
y1y +=
.....y
3!
h
y
2!
h
y
1!
h
y)f(xy
///
0
3
//
0
2
/
0011 ++++==
101yxy 00
/
0 =+=+=
211y1y
/
0
//
0 =+=+=
2yy
//
0
///
0 ==
( ) ( ) .....(2)
3!
0.1
(2)
2!
0.1
(1)
1!
0.1
0f(1.1)y
32
1 ++++==
0.1103y(1.1)y1 ==
Taylor’s and Picard’s methods 6
Dr. V. Ramachandra Murthy
Put n=1 in Eqn(1)
---------(3)
Substituting all these values in Eqn(3) we get
∴
_________________________________________________________
Problem (2):
Apply Taylor’s series method to find the value of y(1.1) and y(1.2)
correct to 4 decimal places given that ; y(1)=1 taking the
first four terms of the Taylor’s series expansion.
Soln: Given data: , h=0.1
From the Taylor’s series, we have
------------(1)
x0 =1 x1 =1.1 x2 =1.2
y0 =1 y1 =? y2 =?
.....y
3!
h
y
2!
h
y
1!
h
y)f(xy
///
1
3
//
1
2
/
1122 ++++==
1.21030.11031.1yxy 11
/
1 =+=+=
2.21031.21031y1y
/
1
//
1 =+=+=
2.2103yy
//
1
///
1 ==
( ) ( ) ...(2.2103)
3!
0.1
(2.2103)
2!
0.1
(1.2103)
1!
0.1
0.1103y
32
2 ++++=
0.2427y(1.2)y2 ==
3
1
/
xyy =
.....///
ny
3!
3h//
ny
2!
2h/
ny
1!
h
ny)1nf(x1ny ++++=+=+
3
1
xy
dx
dy
=
3
1
/
xyy = /3
2
3
1
//
.y.y
3
1
x.yy
−
+= ( ) 










 −
++=
−−
−
2/3
5
//3
2
/3
2
///
yy
3
2
yy
3
x
yy
3
2
y
Taylor’s and Picard’s methods 7
Dr. V. Ramachandra Murthy
Put n=0 in Eqn (1)
----------- (2)
Substituting all these values in Eqn(2) we get
∴
Put n=1 in Eqn(1)
---------(3)
Substituting all these values in Eqn(3) we get
∴
.....y
3!
h
y
2!
h
y
1!
h
y)f(xy
///
0
3
//
0
2
/
0011 ++++==
.....y
3!
h
y
2!
h
y
1!
h
y)f(xy
///
1
3
//
1
2
/
1122 ++++==
( )( ) 111yxy 3
1
3
1
00
/
0 ===
1.3333(1)
3
1
(1)(1).y.y
3
1
.xyy
3
2
3
1
/
0
3
2
00
3
1
0
//
0 =





+=+=
−
−
( ) 8888.0yy
3
2
yy
3
x
yy
3
2
y
2/
0
3
5
0
//
0
3
2
0
0/
0
3
2
0
///
0 =



−+=
−−−
( ) ( ) .....(0.8888)
3!
0.1
(1.3333)
2!
0.1
(1)
1!
0.1
1y
32
1 ++++=
1.1068y(1.1)y1 ==
( ) ( ) ( ) 4242.11.13781.1068(1.1)
3
1
1.1068.y.yx
3
1
yy 3
2-
3
1/
1
3
2-
11
3
1
1
//
1 =+=+=
( ) 1.13781.1068(1.1)yxy 3
1
3
1
11
/
1 ===
( ) 8438.0yy
3
2
yy
3
x
yy
3
2
y
2/
1
3
5
1
//
1
3
2
1
1/
1
3
2
1
///
1 =



−+=
−−−
( ) ( ) (0.8438)
3!
0.1
(1.4242)
2!
0.1
(1.1378)
1!
0.1
1.1068y
32
2 +++=
1.2278y(1.2)y2 ==
Taylor’s and Picard’s methods 8
Dr. V. Ramachandra Murthy
Problem (3):
Use Taylor’s series method to approximate y when x=0.1 correct to 4
decimal places given that and y=1 when x=0 by taking the
first five terms of the Taylor’s series expansion.
Soln: Given data: , h=0.1
From the Taylor’s series, we have
----------(1)
Where n=0, 1, 2,…….
Put n=0 in Eqn(1)
-----------(2)
12102
0030 =+=+=′ yxy
Substituting all these values in Eqn(2) we get
y(0.1)=1.1272
x0 =0 x1 =0.1
y0 =1 y1 =?
2/
yx3y +=
.....y
3!
h
y
2!
h
y
1!
h
y)f(xy
///
n
3
//
n
2
/
nn1n1n ++++== ++
2/
yx3y += ////
2yy3y +=
.....y
3!
h
y
2!
h
y
1!
h
y)f(xy
///
0
3
//
0
2
/
0011 ++++==
2
y3x
dx
dy
+=
( )( )2//////
yyy2y +=
( ) ( )///////////////IV
y3yyy2y2yyyyy2y +=++=
5(2)(1)(1)3y2y3y /
00
//
0 =+=+= ( )( ) ( )( ) 121(1)(5)2yyy2y
22/
0
//
00
///
0 =+=+=
( ) ( ) 54(3)(1)(5)(1)(12)2y3yyy2y //
0
/
0
///
00
IV
0 =+=+=
( ) ( ) ( ) 1.1272(54)
4!
0.1
(12)
3!
0.1
(5)
2!
0.1
(1)
1!
0.1
1y
432
1 =++++=
Taylor’s and Picard’s methods 9
Dr. V. Ramachandra Murthy
Problem (4):
Given with the initial condition y=1 when x=0. Compute
y(0.2) correct to 4 decimal places by using Taylor’s series method.
Soln: Given data: , h=0.2
From the Taylor’s series, we have
------------(1)
Put n=0 in Eqn(1)
-----------(2)
Substituting all these values in Eqn(2) we get
∴
x0 =0 x1 =0.2
y0 =1 y1 =?
xy1y/
+=
.....y
3!
h
y
2!
h
y
1!
h
y)f(xy
///
n
3
//
n
2
/
nn1n1n ++++== ++
.....y
3!
h
y
2!
h
y
1!
h
y)f(xy
///
0
3
//
0
2
/
0011 ++++==
xy1
dx
dy
+=
xy1y/
+= yxyy ///
+= //////////
2yxyyyxyy +=++=
////////////IV
3yxy2yyxyy +=++=
11(0)(1)yyxy 0
/
00
//
0 =+=+=
2(2)(1)(0)(1)2yyxy /
0
//
00
///
0 =+=+=
1(0)(1)10y0x1
/
0y =+=+=
3(3)(1)(0)(2)3yyxy //
0
///
00
IV
0 =+=+=
( ) ( ) ( ) ........(3)
4!
40.2
(2)
3!
30.2
(1)
2!
20.2
(1)
1!
0.2
11y +++++=
1.2228y(0.2)y1 ==
Taylor’s and Picard’s methods 10
Dr. V. Ramachandra Murthy
Problem (5):
Use Taylor’s series method to find the value of y at x=0.1 and x=0.2
correct to 5 decimal places from , y(0)=1.
Soln: Given data: , h=0.1
From the Taylor’s series, we have
----------(1)
Where n=0, 1, 2,…….
Put n=0 in Eqn(1)
-----------(2)
Substituting all these values in Eqn(2) we get
x0 =0 x1 =0.1 x2 =0.2
y0 =1 y1 =? y2 =?
1-yxy 2/
=
.....y
3!
h
y
2!
h
y
1!
h
y)f(xy
///
n
3
//
n
2
/
nn1n1n ++++== ++
.....y
3!
h
y
2!
h
y
1!
h
y)f(xy
///
0
3
//
0
2
/
0011 ++++==
1-yx
dx
dy 2
=
/2//
yx2xyy +=
//2///2/////
yx4xy2yyx2xy2xy2yy ++=+++=
///2//////2//////IV
yx6xy6yyx2xy4xy4y2yy ++=++++=
1-yxy 2/
=
0(0)(-1)2(0)(1)yxy2xy /
0
2
000
//
0 =+=+=
2(0)(0)4(0)(-1)2(1)yxy4x2yy //
0
2
0
/
000
///
0 =++=++=
11(0)(1)1-yxy 0
2
0
/
0 −=−==
-6(0)(2)6(0)(0)6(-1)yxy6x6yy ///
0
2
0
//
00
/
0
IV
0 =++=++=
( ) ( ) ( ) 0.90030...(-6)
4!
40.1
(2)
3!
30.1
(0)
2!
20.1
(-1)
1!
0.1
11y =+++++=
Taylor’s and Picard’s methods 11
Dr. V. Ramachandra Murthy
Put n=1 in Eqn(1)
---------(3)
Substituting all these values in Eqn(3) we get
∴
_________________________________________________________
Problem (6):
Using Taylor’s series method find y to five decimal places when x=1.02
given that and y=2 when x=1
x0 =1 x1 =1.02
y0 =2 y1 =?
.....y
3!
h
y
2!
h
y
1!
h
y)f(xy
///
1
3
//
1
2
/
1122 ++++==
1.40590=
0.990991(0.90030)1(0.1)-yxy 2
1
2
1
/
1 −=−=
( )( ) ( ) ( ) 17015.099099.01.09003.01.02yxy2xy
2/
1
2
111
//
1 =−+=+=
(0.17015)(0.1)99099)4(0.1)(-0.2(0.9003)yxy4x2yy 2//
1
2
1
/
111
///
1 ++=++=
( ) ( )
( ) (-5.82979)
4!
0.1
(1.40590)
3!
0.1
(0.17015)
2!
0.1
(-0.99099)
1!
0.1
0.9003y
4
32
2
+
+++=
0.80226y(0.2)y2 ==
-5.82979
(1.40590)(0.1)7015)6(0.1)(0.1)6(-0.99099
yxy6x6yy
2
///
1
2
1
//
11
/
1
IV
1
=
++=
++=
1)dx-(xydy =
Taylor’s and Picard’s methods 12
Dr. V. Ramachandra Murthy
Soln: Given data: , h=0.02
From the Taylor’s series, we have
------------(1)
Put n=0 in Eqn(1)
-----------(2)
Substituting all these values in Eqn(2) we get
∴
.....y
3!
h
y
2!
h
y
1!
h
y)f(xy
///
n
3
//
n
2
/
nn1n1n ++++== ++
.....y
3!
h
y
2!
h
y
1!
h
y)f(xy
///
0
3
//
0
2
/
0011 ++++==
1-xy
dx
dy
=
1-xyy/
= yxyy ///
+=
//////////
2yxyyyxyy +=++=
////////////IV
3yxyy2yxyy +=++=
32(1)(1)yyxy 0
/
00
//
0 =+=+=
52(1)(1)(3)2yyxy /
0
//
00
///
0 =+=+=
11(1)(2)1-yxy 00
/
0 =−==
14(3)(3)(1)(5)3yyxy //
0
///
00
IV
0 =+=+=
( ) ( ) ( ) ....(14)
4!
40.02
(5)
3!
30.02
(3)
2!
20.02
(1)
1!
0.02
21y +++++=
02000.2y(1.02)1y ==
Taylor’s and Picard’s methods 13
Dr. V. Ramachandra Murthy
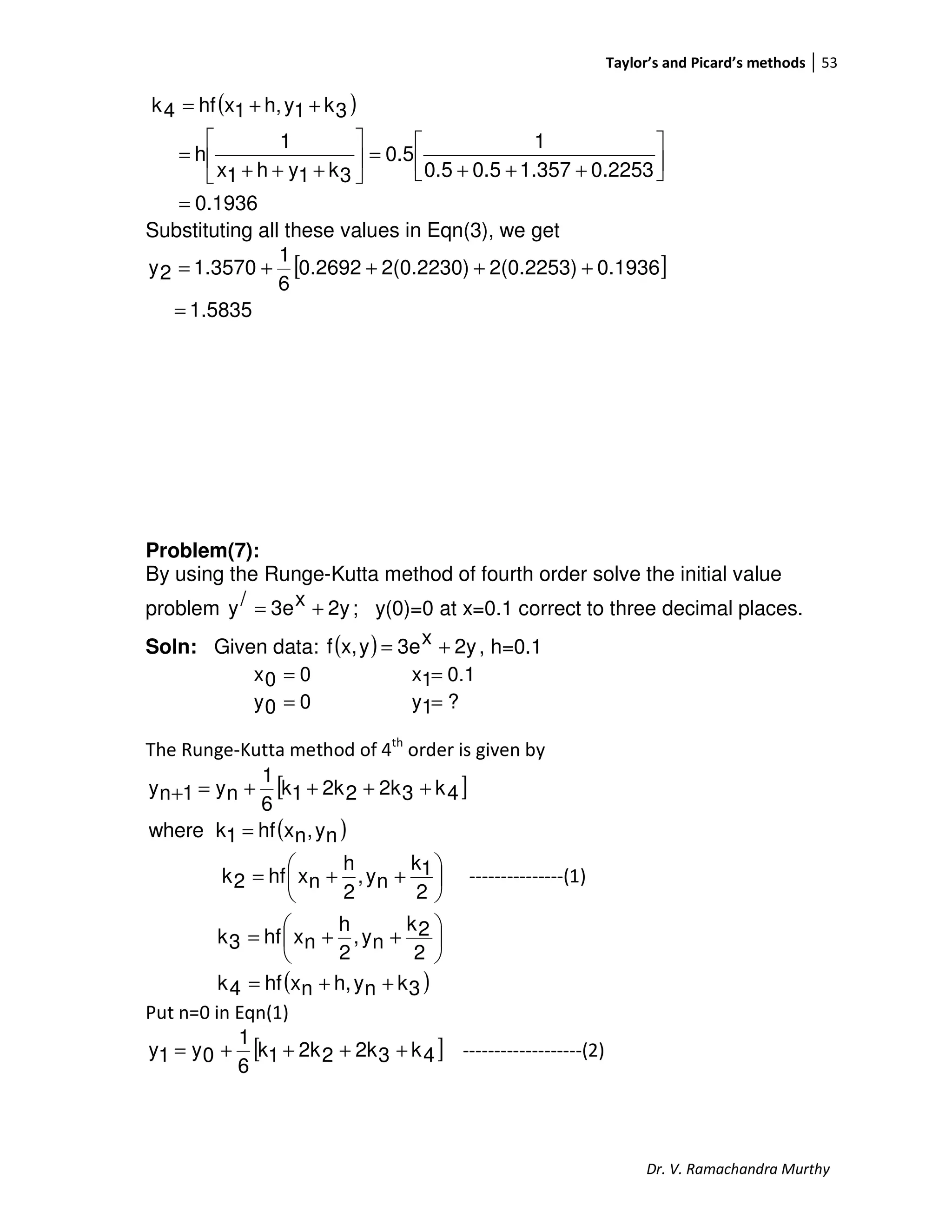
Problem (7):
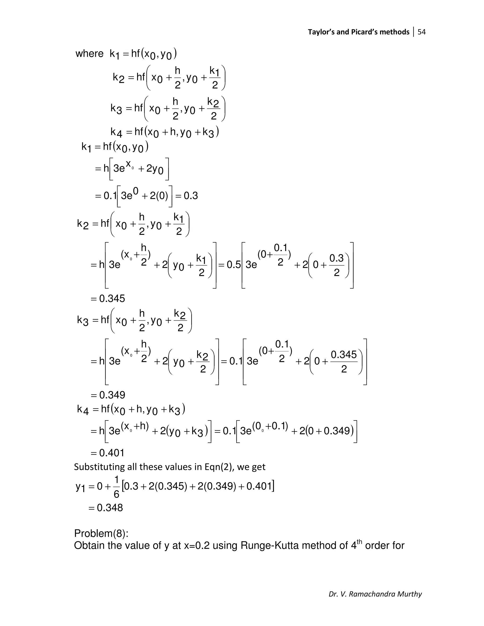
Employ Taylor’s method to obtain the approximate value of y at x=0.2 for
the differential equation y(0)=0, correct to three places of
decimal.
Soln: Given data: , h=0.2
From the Taylor’s series, we have
----------(1)
Where n=0, 1, 2,…….
Put n=0 in Eqn(1)
-----------(2)
x0 =0 x1 =0.2
y0 =0 y1 =?
.....y
3!
h
y
2!
h
y
1!
h
y)f(xy
///
n
3
//
n
2
/
nn1n1n ++++== ++
.....y
3!
h
y
2!
h
y
1!
h
y)f(xy
///
0
3
//
0
2
/
0011 ++++==
x
3e2y
dx
dy
+=
x/
3e2yy +=
x/
3e2yy +=
x///
3e2yy +=
x/////
3e2yy +=
x///IV
3e2yy +=
33e(2)(0)3e2yy 0x
0
/
0
0
=+=+=
93e(2)(3)3e2yy 0x/
0
//
0
0
=+=+=
213e(2)(9)3e2yy 0x//
0
///
0
0
=+=+=
453e(2)(21)3e2yy 0x///
0
IV
0
0
=+=+=
Taylor’s and Picard’s methods 14
Dr. V. Ramachandra Murthy
Substituting all these values in Eqn(2) we get
∴
_________________________________________________________
Problem (8):
Solve for x=1.1 and x=1.2, given y(1)=1 correct to four
decimal places by using Taylor’s series method.
Soln: Given data: , h=0.1
From the Taylor’s series, we have
----------(1)
Where n=0, 1, 2,…….
Put n=0 in Eqn(1)
-----------(2)
x0 =1 x1 =1.1 x2 =1.2
y0 =1 y1 =? y2 =?
( ) ( ) ( ) ....(45)
4!
40.2
(21)
3!
30.2
(9)
2!
20.2
(3)
1!
0.2
01y +++++=
0.811y(0.2)y1 ==
.....y
3!
h
y
2!
h
y
1!
h
y)f(xy
///
n
3
//
n
2
/
nn1n1n ++++== ++
.....y
3!
h
y
2!
h
y
1!
h
y)f(xy
///
0
3
//
0
2
/
0011 ++++==
3
xy
dx
dy
+=
3/
xyy +=
3/
xyy += 2///
3xyy += 6xyy /////
+= 6yy ///IV
+=
53(1)(2)3xyy 22
0
/
0
//
0 =+=+=
116(1)(5)6xyy 0
//
0
///
0 =+=+=
2(1)(1)xyy 33
00
/
0 =+=+=
176116yy ///
0
IV
0 =+=+=
Taylor’s and Picard’s methods 15
Dr. V. Ramachandra Murthy
Substituting all these values in Eqn(2) we get
Put n=1 in Eqn(1)
---------(3)
Substituting all these values in Eqn(3) we get
_________________________________
Problem(9):
Solve , y(0)=0 by Taylor’s series method for x=0.2 correct
to four decimal places. {Ans: y(0.2)=0.1947}
Problem(10):
Solve , y(0)=1 by Taylor’s series method for x=0.1 in steps
of 0.05 correct to four decimal places. {Ans: y(0.1)=0.9950}
.....///
1y
3!
3h//
1y
2!
2h/
1y
1!
h
1y)2f(x2y ++++==
( ) ( ) ( ) 1.2269....(17)
4!
40.1
(11)
3!
30.1
(5)
2!
20.1
(2)
1!
0.1
11y =+++++=
2.5579(1.1)(1.2269)xyy 33
11
/
1 =+=+=
6.18793(1.1)(2.5579)3xyy 22
1
/
1
//
1 =+=+=
12.78796(1.1)(6.1879)6xyy 1
//
1
///
1 =+=+=
18.7879612.78796yy ///
1
IV
1 =+=+=
( ) ( ) ( )
5158.1
...(18.7879)
4!
40.1
(12.7879)
3!
30.1
(6.1879)
2!
20.1
(2.5579)
1!
0.1
2269.12y
=
++++=
2xy-1
dx
dy
=
0xy
dx
dy
=+
Taylor’s and Picard’s methods 16
Dr. V. Ramachandra Murthy
Picard’s method
Consider the initial value problem ---------- (1)
Integrating Eqn(1) from , we get
---------- (2)
Equation (2) is called Integral equation. Such an equation can be
solved by successive approximation.
The first approximation y1 of y is given by
The second approximation is given by
Similarly
. .
. .
. .
The process of iteration is stopped when the values of and are
the same to the desired accuracy.
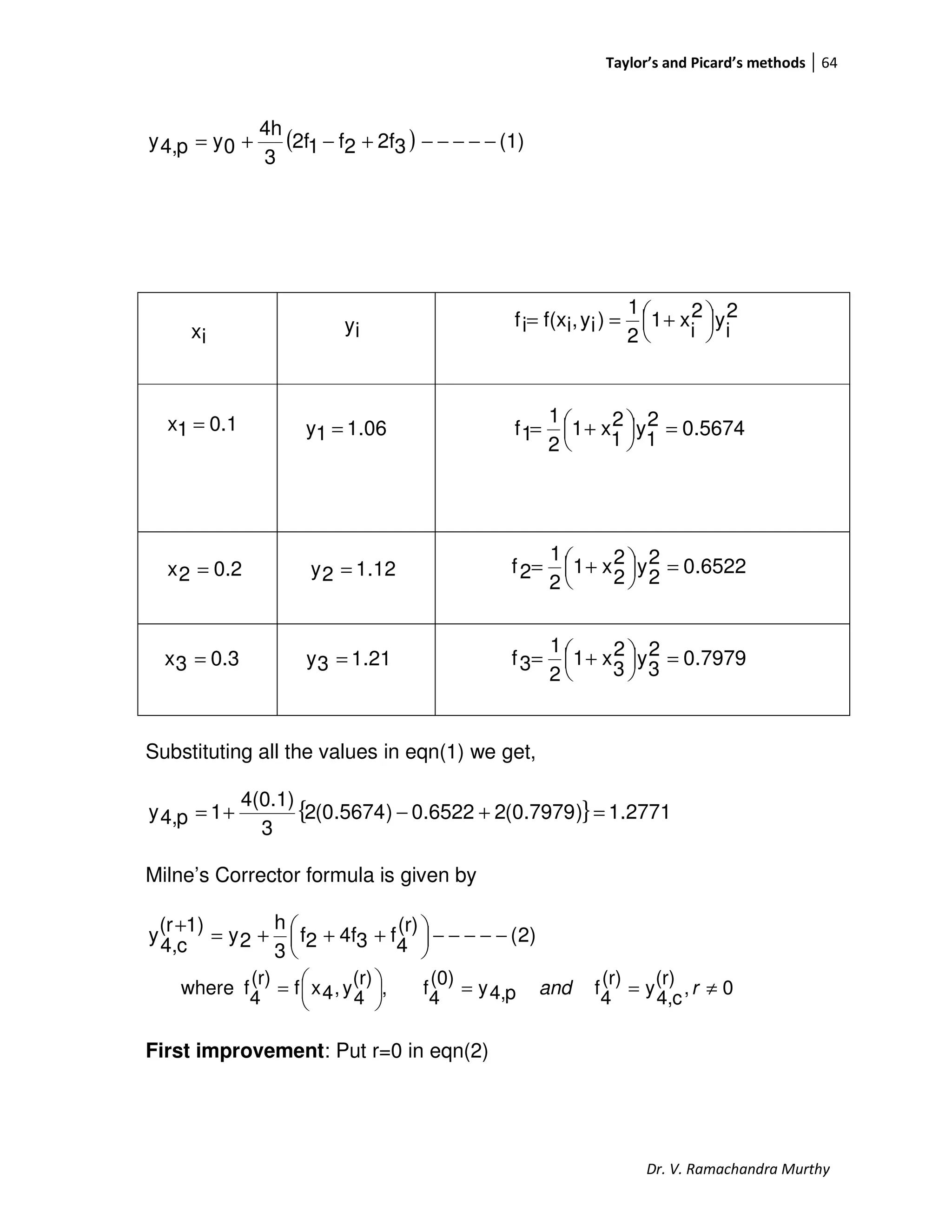
_________________________________________________________
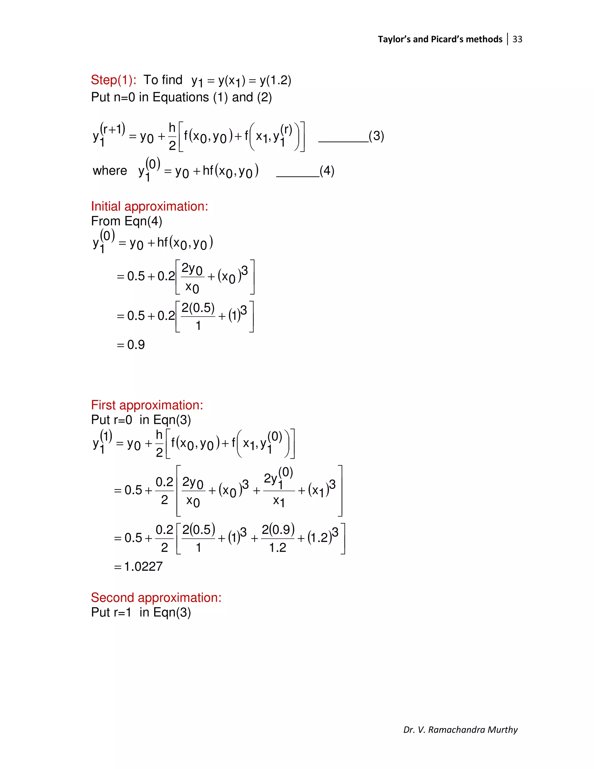
Problem (1):
Solve , y (0) =0 by Picard’s method up to third approximation.
Soln: Given data:
Picard’s iterative formula is given by
------- (1)
00 y)y(x,y)f(x,
dx
dy
==
xtox0
∫+=
x
x
0
0
y)dxf(x,yy
∫+=
x
x
001
0
)dxyf(x,yy
∫+=
x
x
102
0
)dxyf(x,yy
∫+=
x
x
203
0
)dxyf(x,yy
∫+=
x
x
1-n0n
0
)dxyf(x,yy
1-ny ny
2
y1
dx
dy
+=
0y;0x;y1y)f(x, 00
2
==+=
∫+=
x
x
1-n0n
0
)dxyf(x,yy
( ) ( )∫∫∫ +=++=
x
0
2
1-n
x
0
x
0
2
1-nn dxy1.dxdxy10y
( )∫+=
x
0
2
1-nn dxyxy
Taylor’s and Picard’s methods 17
Dr. V. Ramachandra Murthy
Put n=1 in Eqn(1)
Put n=2 in Eqn(1)
Put n=3 in Eqn(1)
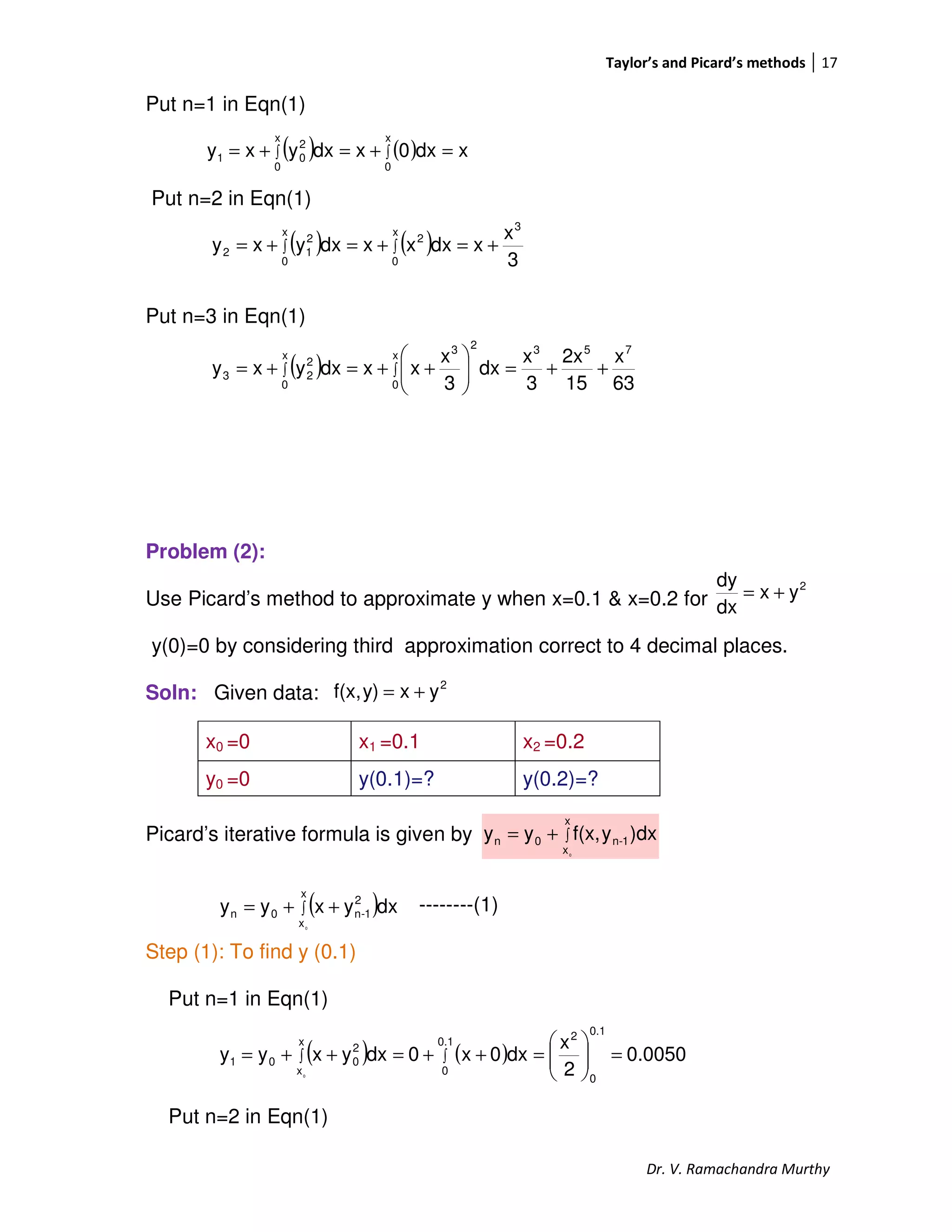
Problem (2):
Use Picard’s method to approximate y when x=0.1 & x=0.2 for
y(0)=0 by considering third approximation correct to 4 decimal places.
Soln: Given data:
Picard’s iterative formula is given by
--------(1)
Step (1): To find y (0.1)
Put n=1 in Eqn(1)
Put n=2 in Eqn(1)
x0 =0 x1 =0.1 x2 =0.2
y0 =0 y(0.1)=? y(0.2)=?
( ) ( ) xdx0xdxyxy
x
0
x
0
2
01 =+=+= ∫∫
( ) ( ) 3
x
xdxxxdxyxy
3
x
0
2
x
0
2
12 +=+=+= ∫∫
( )
63
x
15
2x
3
x
dx
3
x
xxdxyxy
753
x
0
23
x
0
2
23 ++=





++=+= ∫∫
2
yx
dx
dy
+=
2
yxy)f(x, +=
∫+=
x
x
1-n0n
0
)dxyf(x,yy
( )∫ ++=
x
x
2
1-n0n
0
dxyxyy
( ) ( ) 0.0050
2
x
dx0x0dxyxyy
0.1
0
20.1
0
x
x
2
001
0
=





=++=++= ∫∫
Taylor’s and Picard’s methods 18
Dr. V. Ramachandra Murthy
Put n=3 in Eqn(1)
Thus 0050.0)1.0( =y .
Step (2): To find y(0.2)
Let
---------- (2)
Put n=1 in Eqn(2)
Put n=2 in Eqn(2)
Similarly by putting n=3 in Eqn(2), we obtain
Thus
0200.0)2.0( =y _____________________________________________
___________
Problem (3):
Use Picard’s method to solve , y(0)=1 for x=0.2 .
x0 =0 x1 =0.2
y0 =1 y(0.2)=?
( ) ( )( ) 0.0050
2
x
dx0.0050x0dxyxyy
0.1
0
20.1
0
2x
x
2
102
0
=





=++=++= ∫∫
( ) ( )( ) 0.0050
2
x
dx0050.0x0dxyxyy
0.1
0
2
0.1
0
2x
x
2
203
0
=





=++=++= ∫∫
( ) ( )( ) 02.0dx0.0050x0050.0dxyx0050.0y
0.2
0.1
20.2
0.1
2
01 =++=++= ∫∫
1.0x0 = 0.0050y0 =
( )∫ ++=
0.2
0.1
2
1-nn dxyx0.0050y
( )( ) ( )( )
( )
0.0200
x0.02
2
x
0.0050
dx0.02x0.0050dxyx0.0050y
0.2
0.1
2
2
0.2
0.1
20.2
0.1
2
12
=






++=
++=++= ∫∫
( )( ) 0.0200dx0.02x0.0050y
0.2
0.1
2
3 =++= ∫
yx
dx
dy 2
−=
yxy)f(x, 2
−=
Taylor’s and Picard’s methods 19
Dr. V. Ramachandra Murthy
Soln: Given data:
Picard’s iterative formula is given by
-------(1)
Put n=1 in Eqn(1)
Put n=2 in Eqn(1)
Put n=3 in Eqn(1)
Put n=4 in Eqn(1)
Similarly
Since y4 & y5 are the same up to four places of decimals
y(0.2)=0.8355
_________________________________________________________
Problem (4):
Solve , y (0) =0 by Picard’s method up to the third
approximation.
Soln: Given data:
Picard’s iterative formula is given by
∫+=
x
x
1-n0n
0
)dxyf(x,yy
( )∫ −+=
0.2
0
1-n
2
n dxyx1y
( ) ( ) 0.8026dx1x1dxyx1y
0.2
0
2
0.2
0
0
2
1 =−+=−+= ∫∫
( ) ( ) 0.8421dx0.8026x1dxyx1y
0.2
0
2
0.2
0
1
2
2 =−+=−+= ∫∫
( ) ( ) 0.8342dx0.8421x1dxyx1y
0.2
0
2
0.2
0
2
2
3 =−+=−+= ∫∫
( ) ( ) 0.8358dx0.8342x1dxyx1y
0.2
0
2
0.2
0
3
2
4 =−+=−+= ∫∫
8355.0y5 = 8355.0y6 =
2xyx
dx
dy 2
+=
0y;0x;2xyxy)f(x, 00
2
==+=
∫+=
x
x
1-n0n
0
)dxyf(x,yy
( )∫ −++=
x
0
1n
2
n dx2xyx0y
Taylor’s and Picard’s methods 20
Dr. V. Ramachandra Murthy
--------(1)
Put n=1 in Eqn(1)
Put n=2 in Eqn(1)
Put n=3 in Eqn(1)
_________________________________________________________
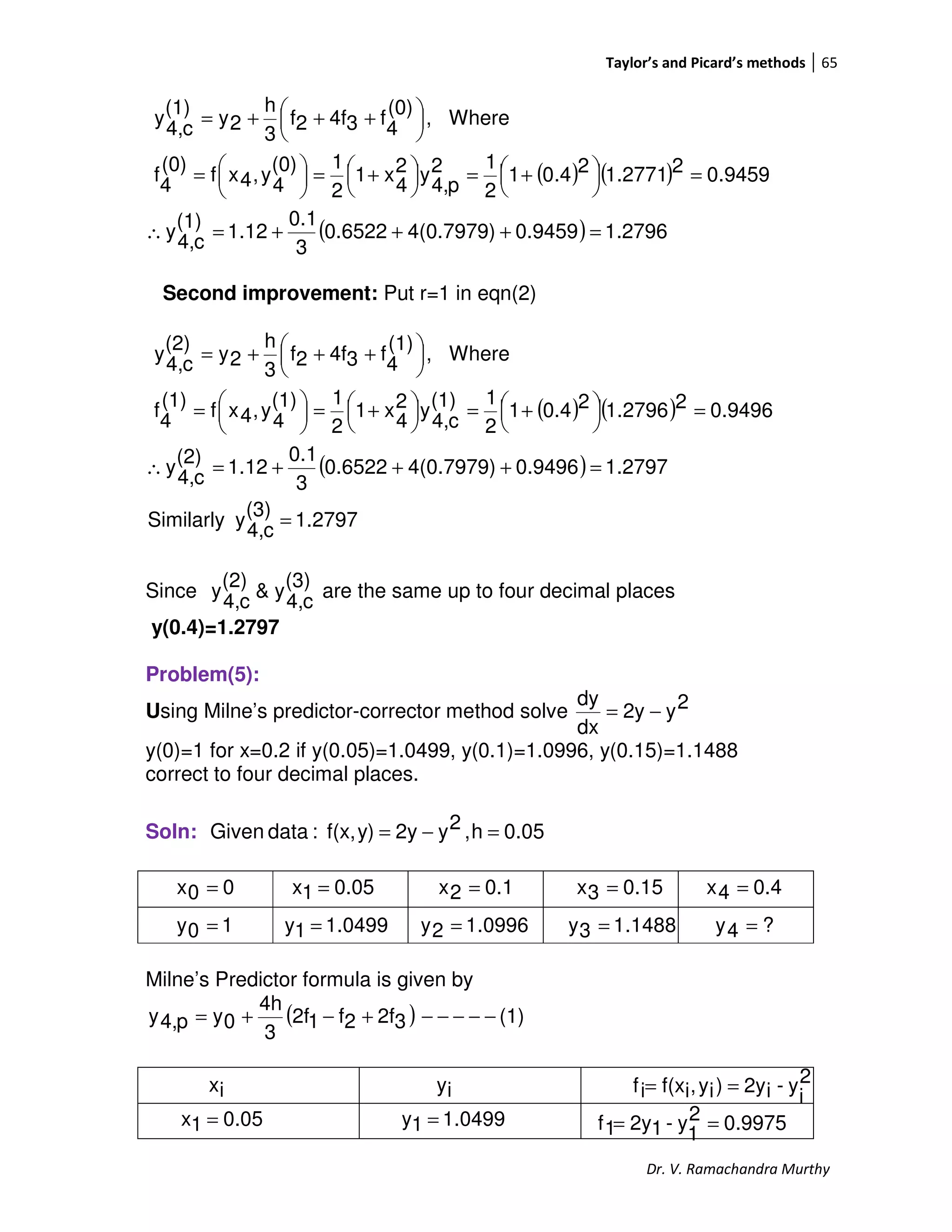
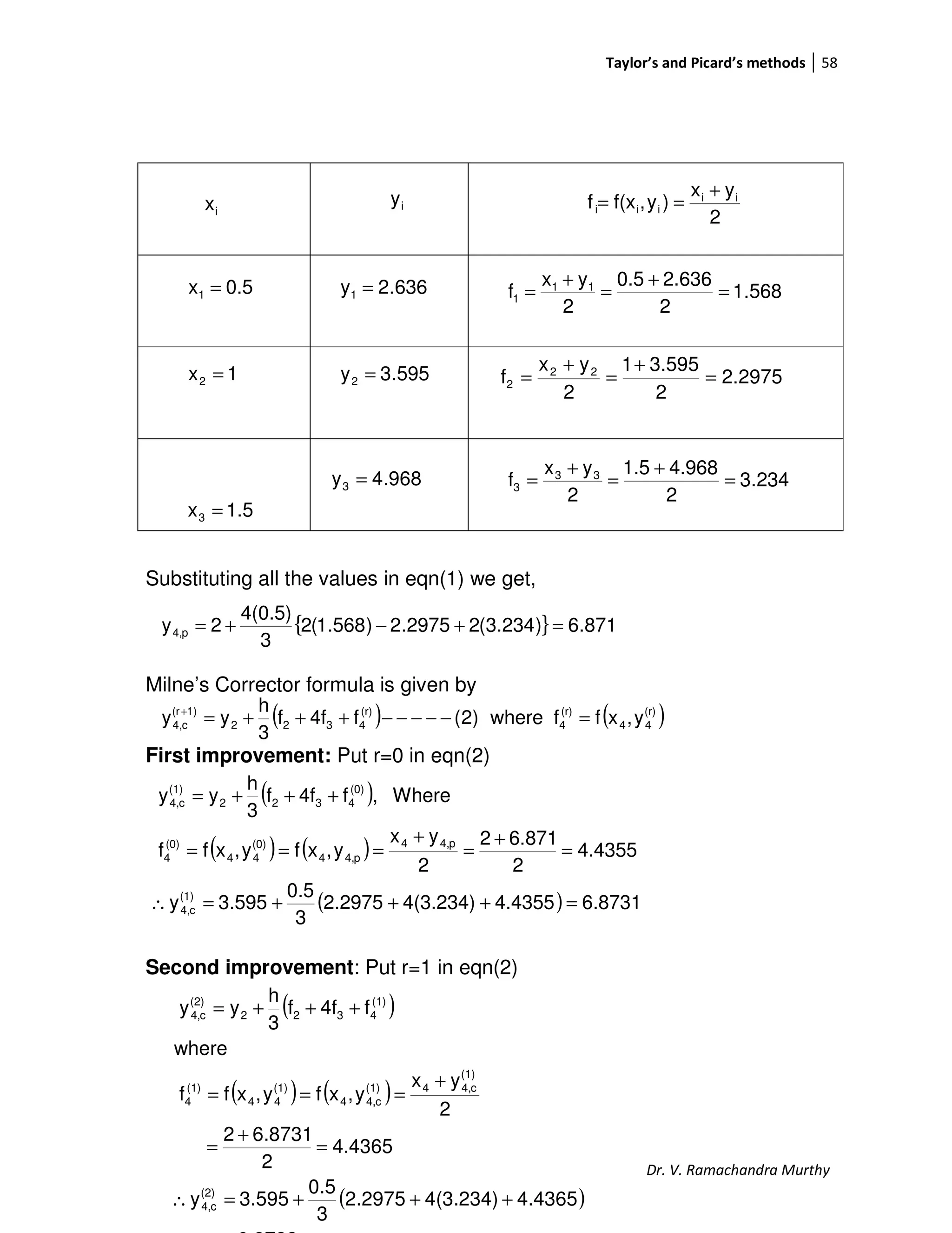
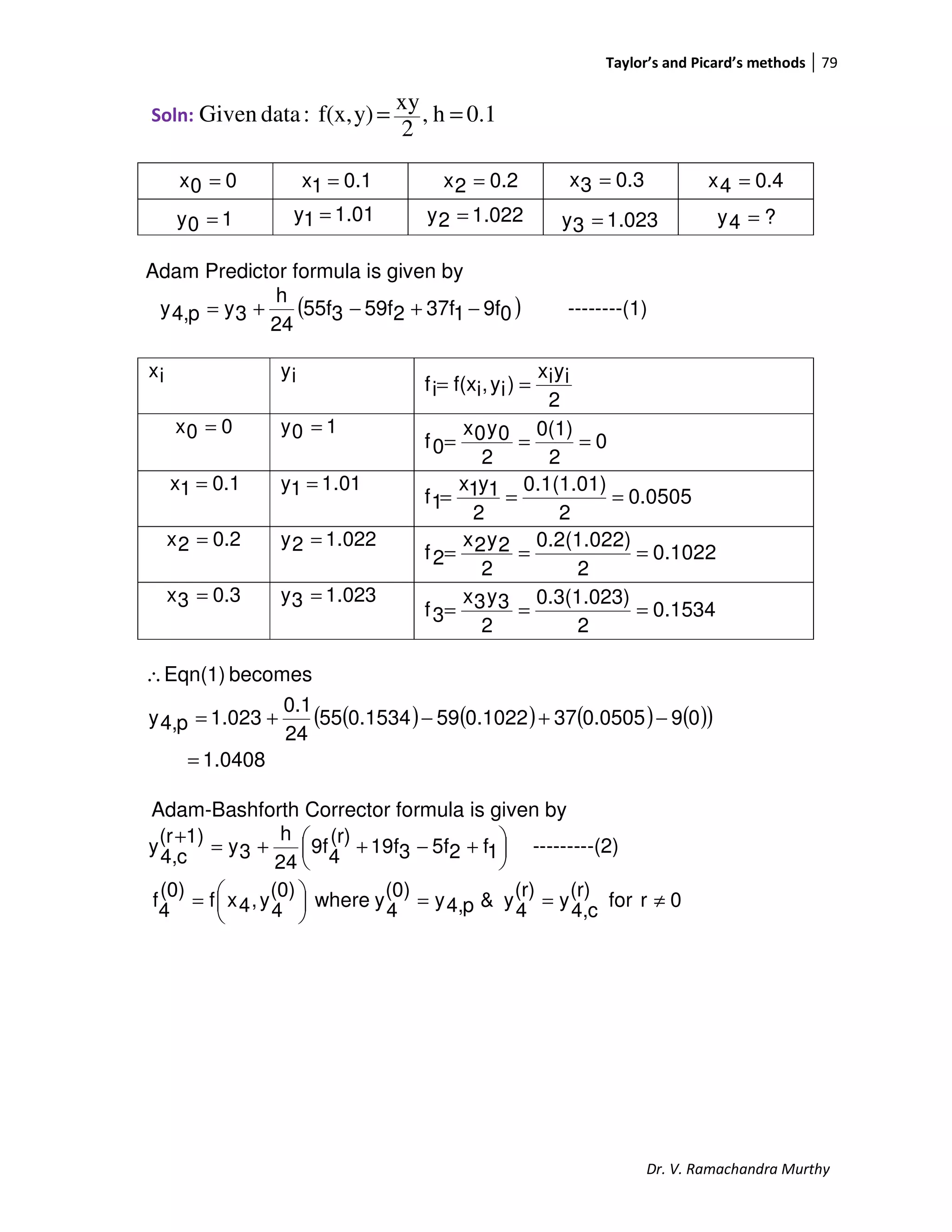
Problem(5):
Solve by Picard’s method , y(0)=1 for x=0.1 Correct to four
decimal places.
Soln: Given data:
Picard’s iterative formula is given by
---------(1)
Put n=1 in Eqn(1)
x0 =0 x1 =0.1
y0 =1 y(0.1)=?
( )
15
x
2
3
x
dx
3
x
2xxdx2xyxy
53
x
0
3
2
x
0
1
2
2 +=





+=+= ∫∫
( ) ( )
3
x
dxxdx2xyxy
3
x
0
2
x
0
0
2
1 ∫∫ ==+=
∫ ++=∫ +=





















x
0
dx
15
5
x
2
3
3
x
2x
2
x
x
0
dx22xy
2
x3y
7x
105
45x
15
2
3
3xx
0
dx6x
15
44x
3
22x3y ++=∫ ++= 







xy1
dx
dy
+=
xy1y)f(x, +=
∫+=
x
x
1-n0n
0
)dxyf(x,yy
( )∫ −++=
0.1
0
1nn dxxy11y
( ) ( ) 1.105
2
x
x1x11dxxy11y
0.1
0
0.1
0
2
0.1
0
01 =





++=++=++= ∫∫
Taylor’s and Picard’s methods 21
Dr. V. Ramachandra Murthy
Put n=2 in Eqn(1)
Put n=3 in Eqn(1)
Since y2 & y3 are the same up to four places of decimals y(0.1)=1.1055
Problem (6):
Given the differential equation , with the condition y=1 when
x=0, use Picard’s method to obtain y for x=0.2 correct to four decimal
places.
Soln: Given data:
Picard’s iterative formula is given by
---------(1)
Put n=1 in Eqn(1)
Put n=2 in Eqn(1)
Similarly,
x0 =0 x1 =0.2
y0 =1 y(0.2)=?
yx
dx
dy
−=
y-xy)f(x, =
∫+=
x
x
1-n0n
0
)dxyf(x,yy
( )∫ −+=
0.2
0
1nn dxy-x1y
( ) ( ) 0.82x
2
x
11-x1dxy-x1y
0.2
0
0.2
0
20.2
0
01 =





−+=+=+= ∫∫
( ) ( )
0.8560.82x-
2
x
1
dx0.82-x1dxy-x1y
0.2
0
2
0.2
0
0.2
0
12
=





+=
+=+= ∫∫
8500.0y7,n
8500.0y6,n
8499.0y5,n
8502.0y4,n
8488.0y3,nfor
7
6
5
4
3
==
==
==
==
==
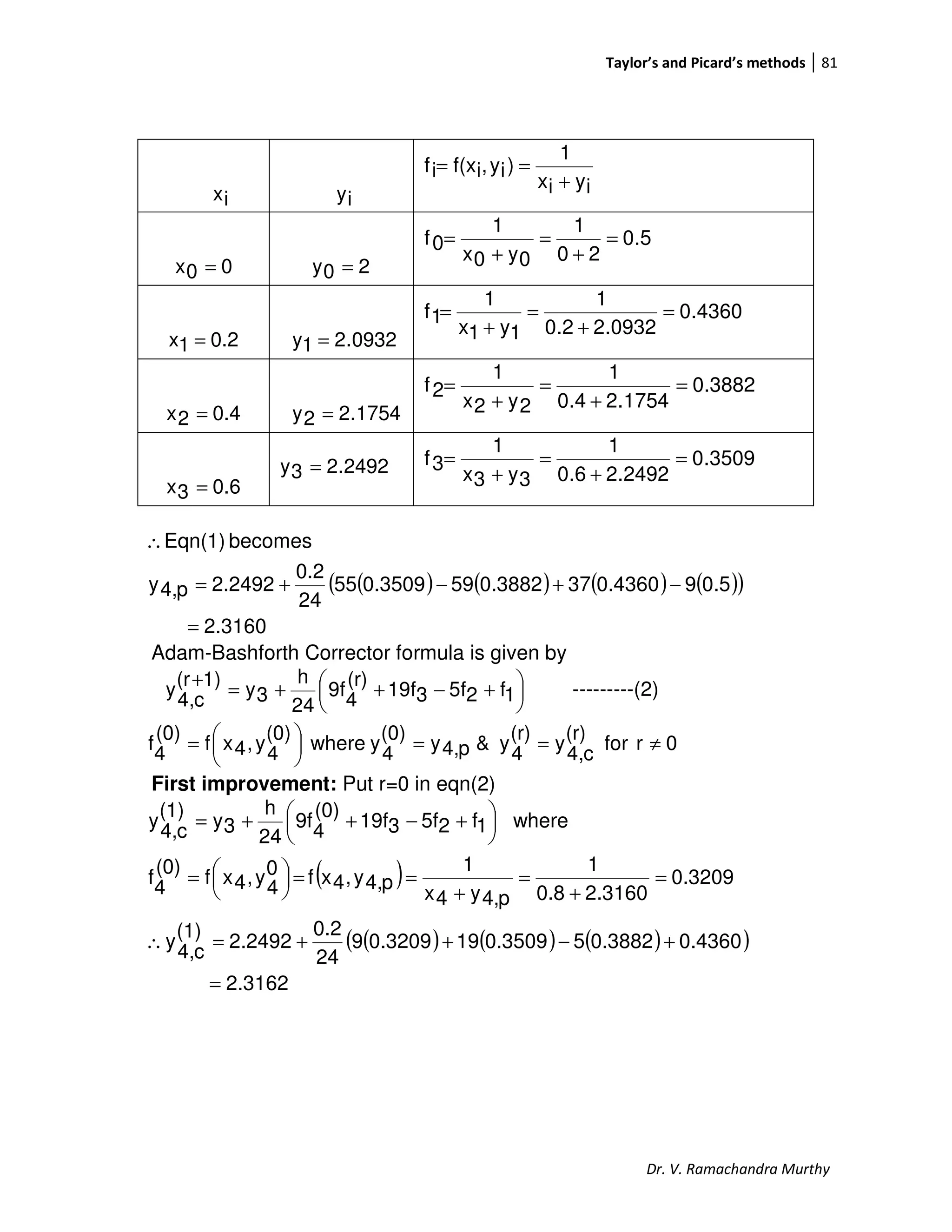
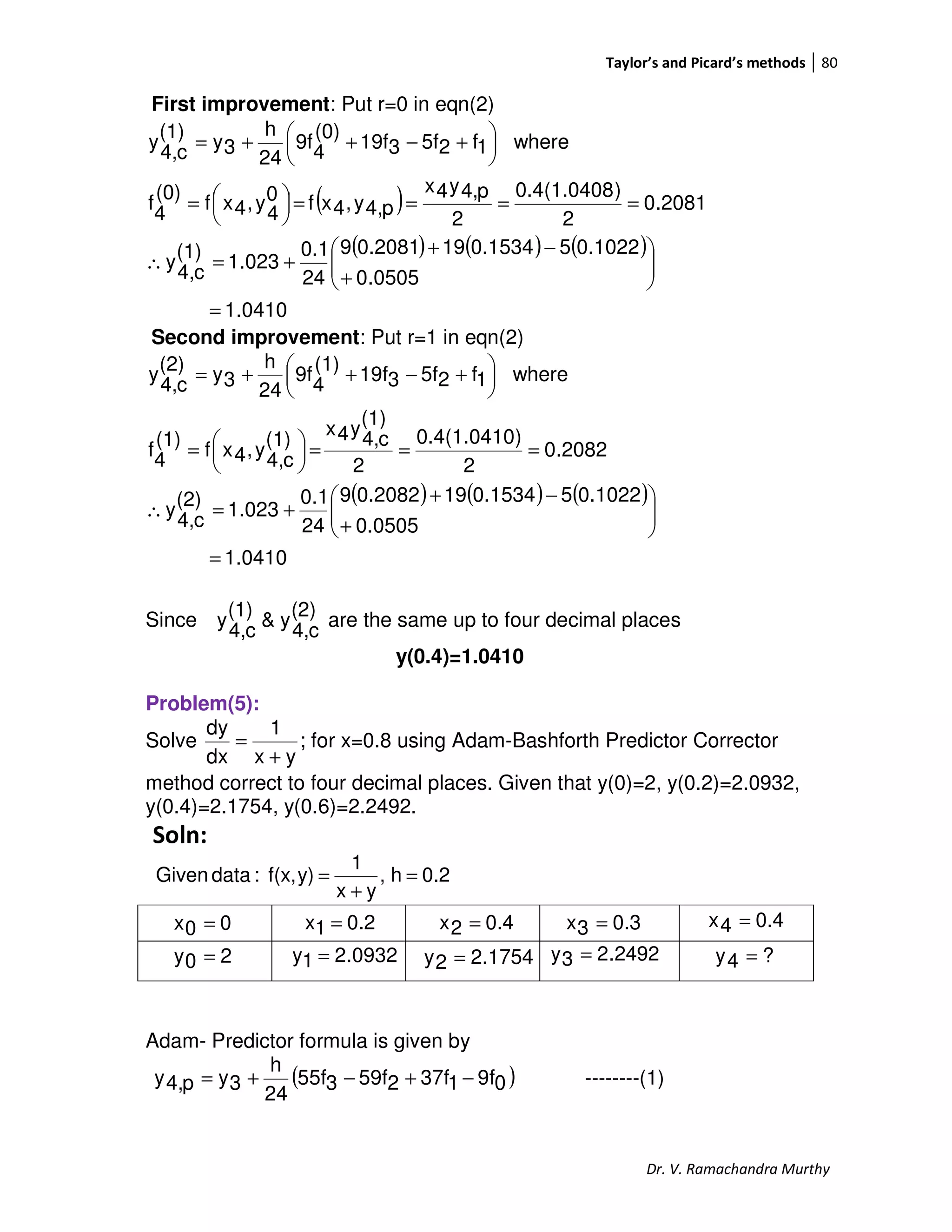
Taylor’s and Picard’s methods 22
Dr. V. Ramachandra Murthy
Since y6 & y7 are the same up to four places of decimals
y(0.2)=0.8500
Problem (7):
Given the differential equation , with the condition y=1 when
x=0. Use Picard’s method to obtain y for x=0.1 correct to three decimal
places.
Soln: Given data:
Picard’s iterative formula is given by
---------(1)
Put n=1 in Eqn(1)
Put n=2 in Eqn(1)
x0 =0 x1 =0.1
y0 =1 y(0.1)=?
∫+=
x
x
1-n0n
0
)dxyf(x,yy
xy
xy
dx
dy
+
−
=
xy
x-y
y)f(x,
+
=
∫ 





+
−
+=
−
−
0.1
0
1n
1n
n dx
xy
xy
1y
dx
1x
2
11dx
1x
2
1x
1x
1dx
1x
21x
1
dx
x1
1x
1dx
x1
x1
1dx
xy
xy
1y
0.1
0
0.1
0
0.1
0
0.1
0
0.1
0
0.1
0
0
0
1
∫∫∫
∫∫∫






+
−−=





+
−
+
+
−=





+
−+
−=






+
−
−+=





+
−
+=





+
−
+=
( ) ( )[ ] 090.11xlog2x1y
0.1
0
0.1
01 =++−=
( )[ ] ( )x1.090xlog2.181dx1
1.090x
2.18
1
dx
1.090x
1.090)(x-2(1.090)
1dx
x1.090
1.0901.090x-1.090
1
dx
x1.090
x1.090
1dx
xy
xy
1y
0.1
0
0.1
0
0.1
0
0.1
0
0.1
0
0.1
0
0.1
0
1
1
2
−++=





−
+
+=






+
+
+=





+
+−
+=






+
−
+=





+
−
+=
∫
∫∫
∫∫
Taylor’s and Picard’s methods 23
Dr. V. Ramachandra Murthy
Put n=3 in Eqn(1)
Since y2 & y3 are the same up to three places of decimals
y(0.1)=1.091
_________________________________________________________
Problem(8):
Solve , y(0)=1 by Picard’s method up to third approximation
and hence find the value of y at x=0.1.
Soln: Given data:
Picard’s iterative formula is given by
---------(1)
Put n=1 in Eqn(1)
( )[ ] ( )
1.091
0.1
0
x0.1
0
1.091xlog2.1821
dx
0.1
0
1
1.091x
2.182
1
dx
0.1
0
1.091x
1.091)(x-2(1.091)
1
dx
0.1
0
x1.091
1.0911.091x-1.091
1
dx
0.1
0
x1.091
x1.091
1
0.1
0
dx
x2y
x2y
13y
=
−++=






−
+
+=






+
+
+=






+
+−
+=






+
−
+=





+
−
+=
∫
∫
∫
∫∫
2
xy
dx
dy
−=
2
xyy)f(x, −=
∫+=
x
x
1-n0n
0
)dxyf(x,yy
( )∫ −+= −
x
0
2
1nn dxxy1y
( ) ( )
3
x
x1
3
x
x1dxx11dxxy1y
3x
0
3
x
0
2
x
0
2
01 −+=





−+=−+=−+= ∫∫
Taylor’s and Picard’s methods 24
Dr. V. Ramachandra Murthy
Put n=2 in Eqn(1)
Put n=3 in Eqn(1)
∴ y(0.1)=1.1051
_________________________________________________________
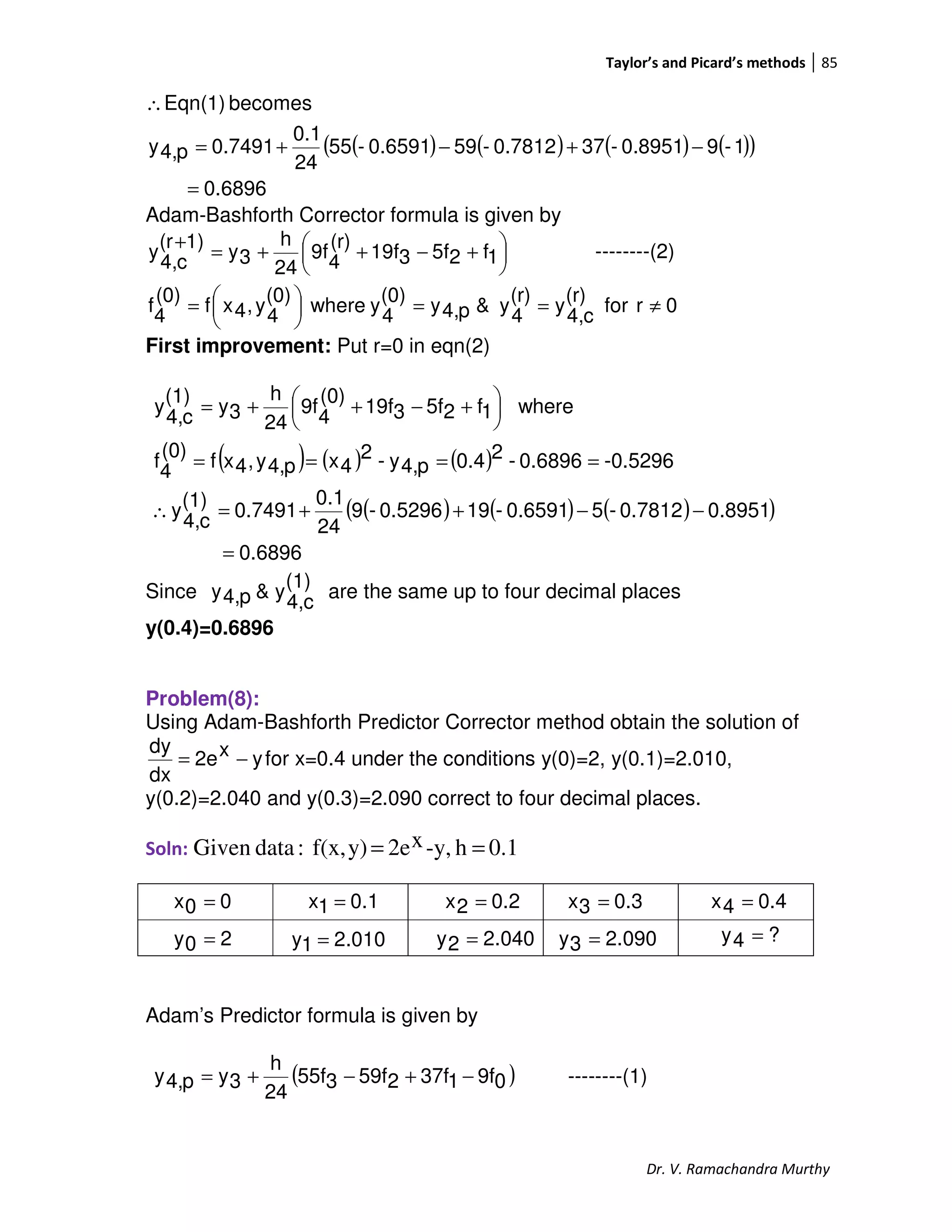
Problem(9):
Solve , y(0)=1 for x=0.1 by Picard’s method correct to four
decimal places. {Ans: y(0.1)=1.1270}
Problem(10):
Use Picard’s method to solve , y(0)=0 for x=0.4
{Ans: y(0.4)=0.0214}
( )
60
x
12
x
6
x
2
x
x1
dx
12
x
3
x
2
x
x11
dxx
3
x
12
x
2
x
x11dxxy1y
5432
x
0
432
x
0
2
342x
0
2
23
−−−++=






−−−++=






−−−+++=−+=
∫
∫∫
2
y3x
dx
dy
+=
22
yx
dx
dy
+=
Taylor’s and Picard’s methods 25
Dr. V. Ramachandra Murthy
Modified Euler’s method
Consider first order differential equation
00 y)y(x,y)f(x,
dx
dy
==
Modified Euler’s formula is given by
___________________________________________________
_________________________________________________________
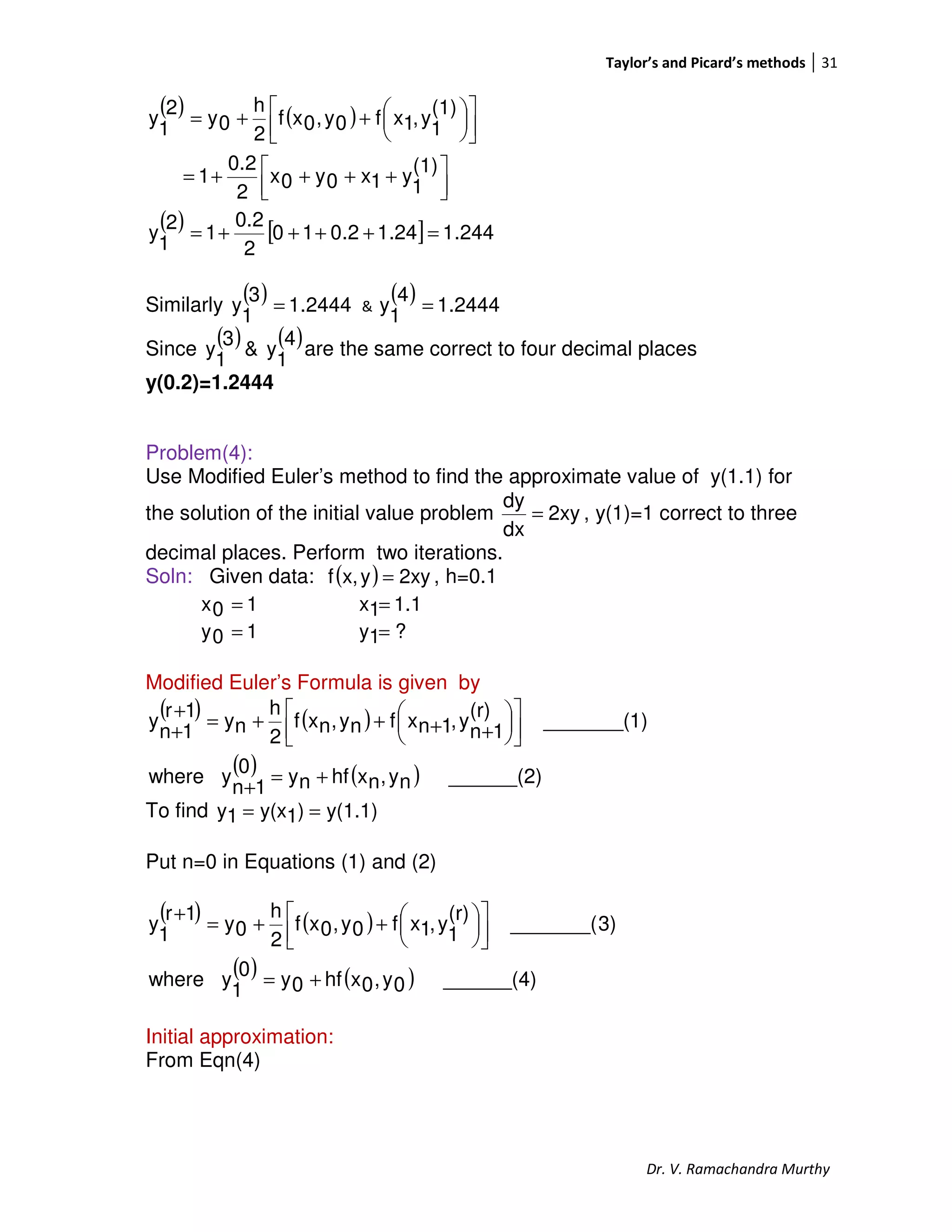
Problem(1):
Determine the value of y for x=0(0.05)0.1 given that
1y(0)y,2x
dx
dy
=+= , using Modified Euler’s method up to four places of
decimal.
Soln: Given data: ( ) y2xyx,f += , h=0.05
00x =
Modified Euler’s Formula is given by
( ) ( )
( ) ( )
0,1,2,...n
0,1,2,...r______(2)ny,nxhfny
0
1n
ywhere
1)_______(
(r)
1n
y,1nxfny,nxf
2
h
ny
1r
1n
y
=
=+=
+










++++=
+
+
Step-(1): (To find y(0.05))1y(x1y == )
Put n=0 in Equations (1) and (2)
( ) ( )
( ) ( ) 0,1,2,...nformula)s(Euler'ny,nxhfny
0
1n
ywhere
,..2,1,0
(r)
1n
y,1nxfny,nxf
2
h
ny
1r
1n
y
=→+=
+
=









++++=
+
+
r
0.051x = 0.12x =
10y = ?1y = ?2y =
Taylor’s and Picard’s methods 26
Dr. V. Ramachandra Murthy
( ) ( )
( ) ( ) ______(4)0y,0xhf0y
0
1
ywhere
3)_______(
(r)
1
y,1xf0y,0xf
2
h
0y
1r
1
y
+=









++=
+
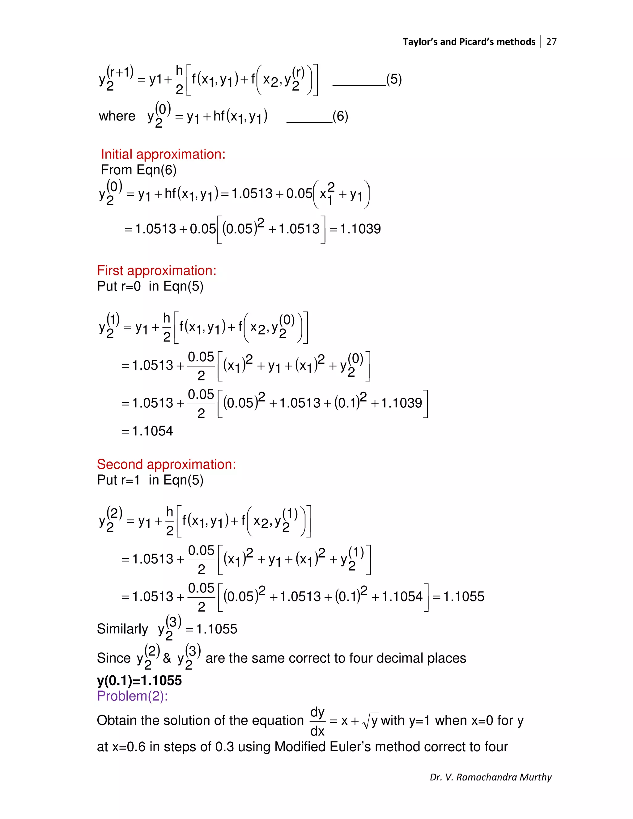
Initial approximation:
From Eqn(4)
( ) ( )
[ ] 1.05100.0510y2
0
x0.051
0y,0xhf0y
0
1
y
=++=



 ++=
+=
First approximation:
Put r=0 in Eqn(3)
( ) ( )
( ) ( )
( ) ( ) 0513.11.0520.05120
2
0.05
1
(0)
1
y2
1x0y2
0x
2
0.05
1
(0)
1
y,1xf0y,0xf
2
h
0y
1
1
y
=



 ++++=



 ++++=









++=
Second approximation:
Put r=1 in Eqn(3)
( ) ( )
( ) ( )
( ) ( ) 0513.11.051320.05120
2
0.05
1
(1)
1
y2
1x0y2
0x
2
0.05
1
(1)
1
y,1xf0y,0xf
2
h
0y
2
1
y
=



 ++++=



 ++++=









++=
Since
( )1
1
y and
( )2
1
y are the same correct to four decimal places
y(0.05)=1.0513
Step-(2): (To find y(0.1))2y(x2y == )
Put n=1 in Equations (1) and (2)
Taylor’s and Picard’s methods 27
Dr. V. Ramachandra Murthy
( ) ( )
( ) ( ) ______(6)1y,1xhf1y0
2
ywhere
_______(5)
(r)
2
y,2xf1y,1xf
2
h
y1
1r
2
y
+=









++=
+
Initial approximation:
From Eqn(6)
( ) ( )
( ) 1.10391.051320.050.051.0513
1y2
1
x0.051.05131y,1xhf1y0
2
y
=



 ++=




 ++=+=
First approximation:
Put r=0 in Eqn(5)
( ) ( )
( ) ( )
( ) ( )
1.1054
1.103920.11.051320.05
2
0.05
1.0513
(0)
2
y2
1x1y2
1x
2
0.05
1.0513
(0)
2
y,2xf1y,1xf
2
h
1y
1
2
y
=



 ++++=



 ++++=









++=
Second approximation:
Put r=1 in Eqn(5)
( ) ( )
( ) ( )
( ) ( ) 1055.11.105420.11.051320.05
2
0.05
1.0513
(1)
2
y2
1x1y2
1x
2
0.05
1.0513
(1)
2
y,2xf1y,1xf
2
h
1y
2
2
y
=



 ++++=



 ++++=









++=
Similarly
( ) 1055.1
3
2
y =
Since
( ) ( )3
2
y&
2
2
y are the same correct to four decimal places
y(0.1)=1.1055
Problem(2):
Obtain the solution of the equation yx
dx
dy
+= with y=1 when x=0 for y
at x=0.6 in steps of 0.3 using Modified Euler’s method correct to four
Taylor’s and Picard’s methods 28
Dr. V. Ramachandra Murthy
decimal places.
Soln: Given data: ( ) yxyx,f += , h=0.3
00x =
Modified Euler’s Formula is given by
( ) ( )
( ) ( ) ______(2)ny,nxhfny0
1n
ywhere
1)_______(
(r)
1n
y,1nxfny,nxf
2
h
ny
1r
1n
y
+=
+










++++=
+
+
Step-(1): (To find y(0.3))1y(x1y == )
Put n=0 in Equations (1) and (2)
( ) ( )
( ) ( ) ______(4)0y,0xhf0y0
1
ywhere
3)_______(
(r)
1
y,1xf0y,0xf
2
h
0y
1r
1
y
+=









++=
+
Initial approximation:
From Eqn(4)
( ) ( )
[ ] [ ] 1.3100.310y0x0.31
0y,0xhf0y
0
1
y
=++=++=
+=
First approximation:
Put r=0 in Eqn(3)
( ) ( )
( ) ( ) 





++++=









++=
(0)
1
y1x0y0x
2
0.3
1
(0)
1
y,1xf0y,0xf
2
h
0y
1
1
y
( ) ( )[ ] 3660.11.30.310
2
0.3
1 =++++=
Second approximation:
Put r=1 in Eqn(3)
0.31x = 0.62x =
10y = ?1y = ?2y =
Taylor’s and Picard’s methods 29
Dr. V. Ramachandra Murthy
( ) ( )
( ) ( )
( ) ( ) ( )[ ] 3703.11.36600.310
2
0.3
1
2
1
y
(1)
1
y1x0y0x
2
0.3
1
(1)
1
y,1xf0y,0xf
2
h
0y
2
1
y
=++++=






++++=









++=
Similarly
( ) 3703.1
3
1
y =
Since
( ) ( )3
1
y&
2
1
y are the same correct to four decimal places
y(0.3)=1.3703
Step-(2): (To find y(0.6))2y(x2y == )
Put n=1 in Equations (1) and (2)
( ) ( )
( ) ( ) ______(6)1y,1xhf1y0
2
ywhere
_______(5)
(r)
2
y,2xf1y,1xf
2
h
0y
1r
2
y
+=









++=
+
Initial approximation:
From Eqn(6)
( ) ( ) ( )
( )[ ] 1.81141.37030.30.31.3703
1y1x0.31.37031y,1xhf1y0
2
y
=++=
++=+=
First approximation:
Put r=0 in Eqn(5)
( ) ( )
( ) ( ) 





++++=









++=
(0)
2
y2x1y1x
2
0.3
3703.1
(0)
2
y,2xf1y,1xf
2
h
1y
1
2
y
( ) ( )[ ] 8827.11.81140.61.37030.3
2
0.3
3703.1 =++++=
Similarly
( ) ( ) ( ) 8869.1
4
2
y,8869.1
3
2
y,8667.1
2
2
y ===
∴∴∴∴ y(0.6)=1.8869
Taylor’s and Picard’s methods 30
Dr. V. Ramachandra Murthy
Problem(3):
Using Modified Euler’s method find y(0.2) given that yx
dx
dy
+= ; y(0)=1
correct to four decimal places.
Soln: Given data: ( ) yxyx,f += , h=0.2
00x = 0.21x =
10y = ?1y =
Modified Euler’s Formula is given by
( ) ( )
( ) ( ) ______(2)ny,nxhfny0
1n
ywhere
1)_______(
(r)
1n
y,1nxfny,nxf
2
h
ny
1r
1n
y
+=
+










++++=
+
+
To find y(0.2))1y(x1y ==
Put n=0 in Equations (1) and (2)
( ) ( )
( ) ( ) ______(4)0y,0xhf0y0
1
ywhere
3)_______(
(r)
1
y,1xf0y,0xf
2
h
0y
1r
1
y
+=









++=
+
Initial approximation:
From Eqn(4)
( ) ( )
[ ] [ ] 1.2100.210y0x0.21
0y,0xhf0y
0
1
y
=++=++=
+=
First approximation:
Put r=0 in Eqn(3)
( ) ( )
[ ] 24.12.12.010
2
0.2
1
(0)
1
y1x0y0x
2
0.2
1
(0)
1
y,1xf0y,0xf
2
h
0y
1
1
y
=++++=



 ++++=









++=
Second approximation:
Put r=1 in Eqn(3)
Taylor’s and Picard’s methods 31
Dr. V. Ramachandra Murthy
( ) ( )
( ) [ ] 244.124.12.010
2
0.2
1
2
1
y
(1)
1
y1x0y0x
2
0.2
1
(1)
1
y,1xf0y,0xf
2
h
0y
2
1
y
=++++=



 ++++=









++=
Similarly
( ) 2444.1
3
1
y = &
( ) 2444.1
4
1
y =
Since
( ) ( )4
1
y&
3
1
y are the same correct to four decimal places
y(0.2)=1.2444
Problem(4):
Use Modified Euler’s method to find the approximate value of y(1.1) for
the solution of the initial value problem 2xy
dx
dy
= , y(1)=1 correct to three
decimal places. Perform two iterations.
Soln: Given data: ( ) 2xyyx,f = , h=0.1
10x = 1.11x =
10y = ?1y =
Modified Euler’s Formula is given by
( ) ( )
( ) ( ) ______(2)ny,nxhfny0
1n
ywhere
1)_______(
(r)
1n
y,1nxfny,nxf
2
h
ny
1r
1n
y
+=
+










++++=
+
+
To find y(1.1))1y(x1y ==
Put n=0 in Equations (1) and (2)
( ) ( )
( ) ( ) ______(4)0y,0xhf0y0
1
ywhere
3)_______(
(r)
1
y,1xf0y,0xf
2
h
0y
1r
1
y
+=









++=
+
Initial approximation:
From Eqn(4)
Taylor’s and Picard’s methods 32
Dr. V. Ramachandra Murthy
( ) ( )
[ ] [ ] 1.2)1)(1)(2(0.110y02x0.11
0y,0xhf0y
0
1
y
=+=+=
+=
First approximation:
Put r=0 in Eqn(3)
( ) ( )
[ ] 1.232)2(1.1)(1.22(1)(1)
2
0.1
1
(0)
1
y12x0y02x
2
0.1
1
(0)
1
y,1xf0y,0xf
2
h
0y
1
1
y
=++=



 ++=









++=
Second approximation:
Put r=1 in Eqn(3)
( ) ( )
( ) [ ] 1.235532)2(1.1)(1.22(1)(1)
2
0.1
1
2
1
y
(1)
1
y12x0y02x
2
0.1
1
(1)
1
y,1xf0y,0xf
2
h
0y
2
1
y
=++=



 ++=









++=
∴ The value of y(1.1) after two iteration is y(0.2)=1.2355
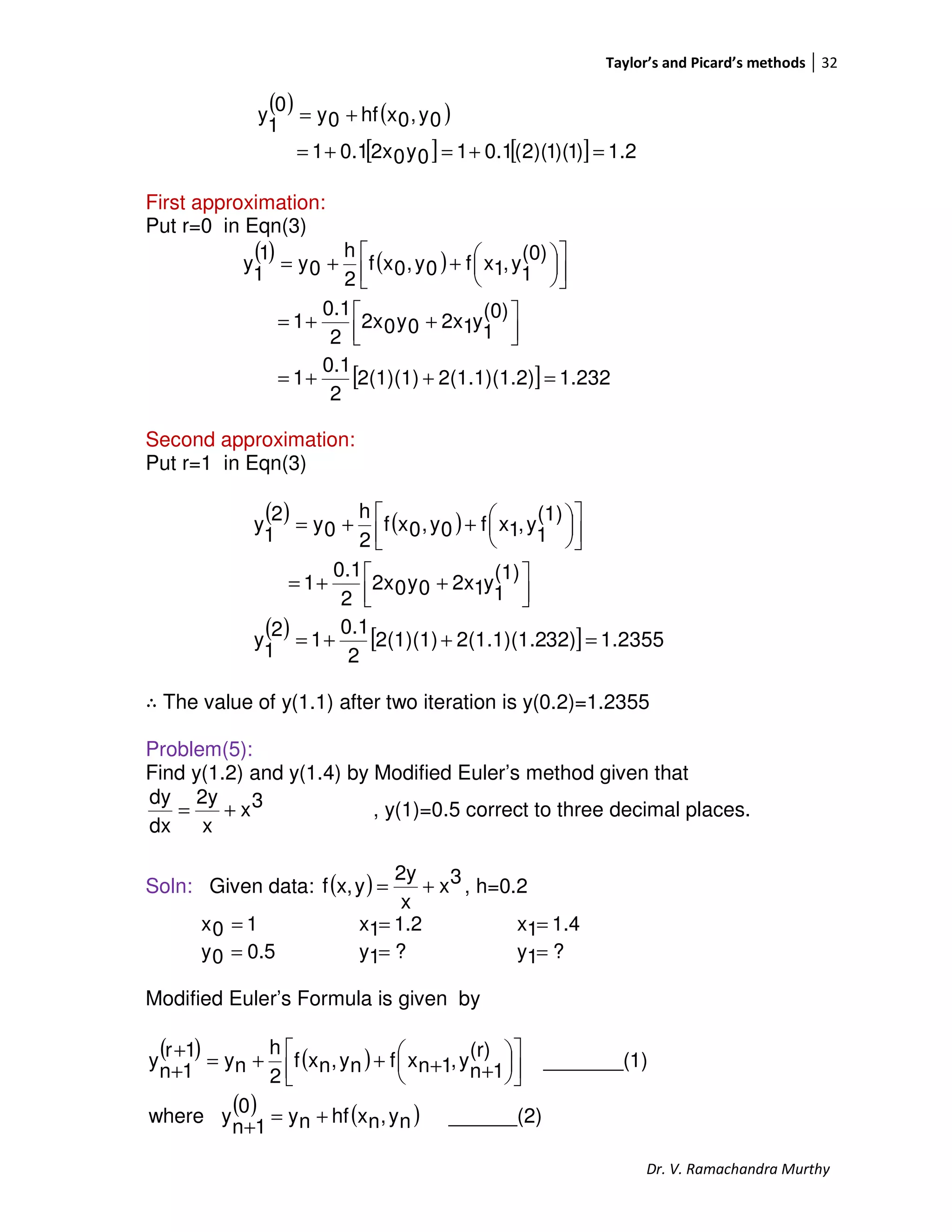
Problem(5):
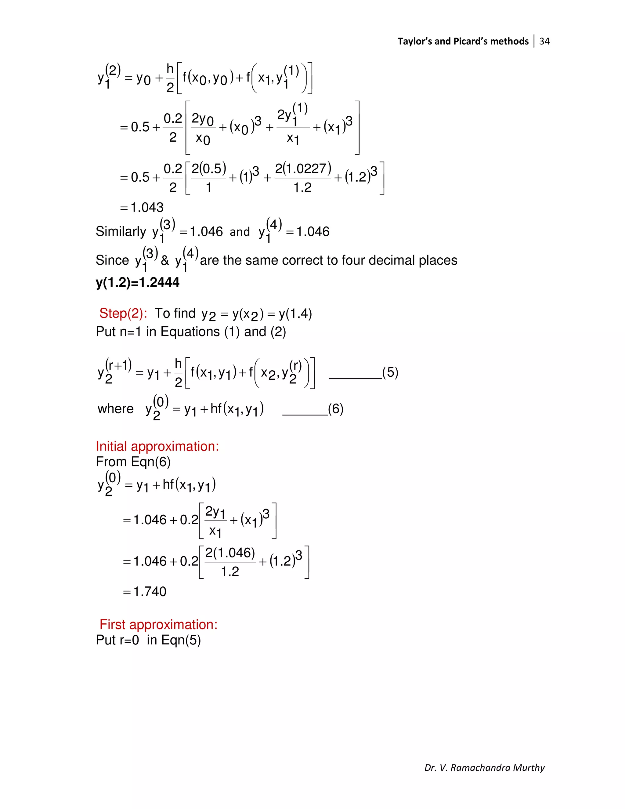
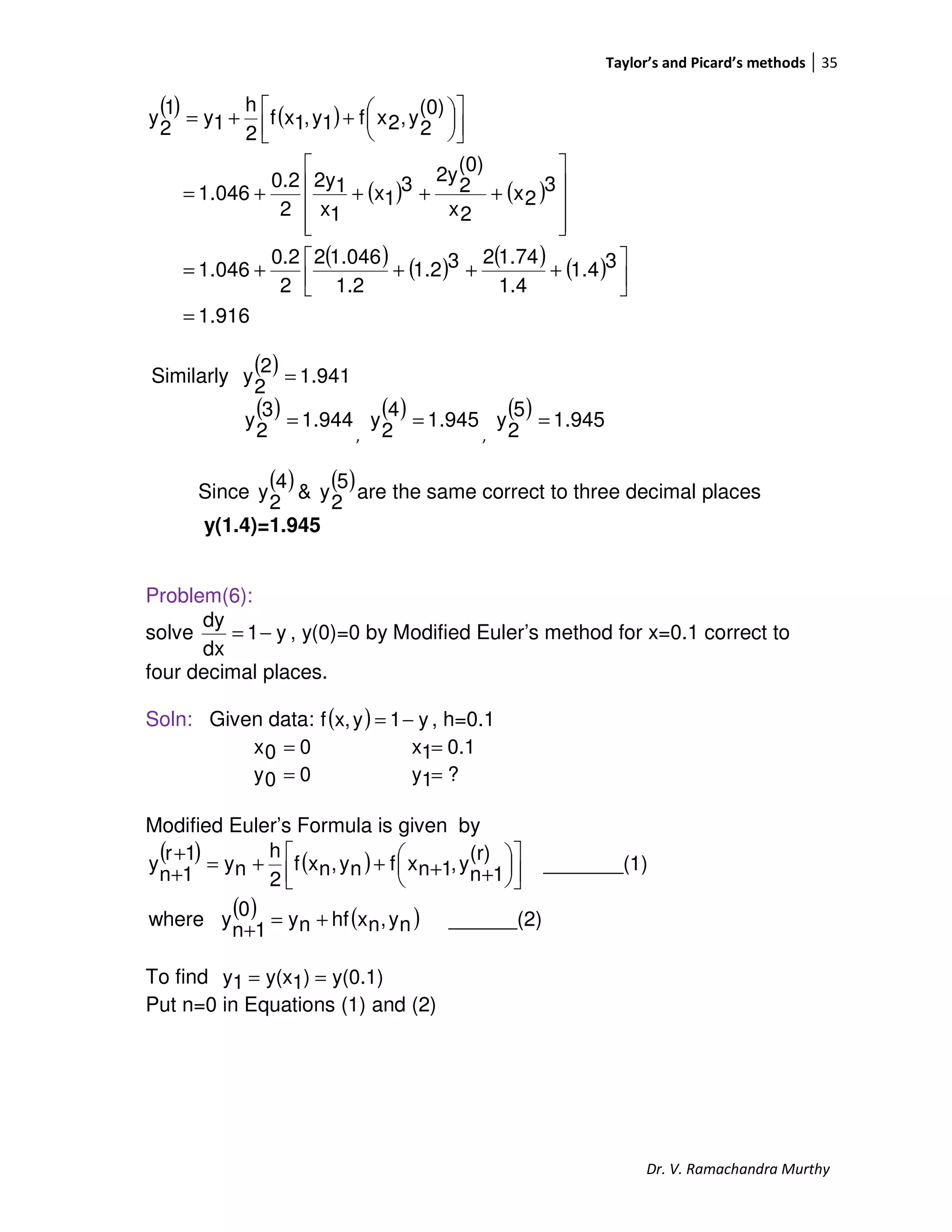
Find y(1.2) and y(1.4) by Modified Euler’s method given that
3x
x
2y
dx
dy
+= , y(1)=0.5 correct to three decimal places.
Soln: Given data: ( ) 3x
x
2y
yx,f += , h=0.2
10x = 1.21x = 1.41x =
0.50y = ?1y = ?1y =
Modified Euler’s Formula is given by
( ) ( )
( ) ( ) ______(2)ny,nxhfny0
1n
ywhere
1)_______(
(r)
1n
y,1nxfny,nxf
2
h
ny
1r
1n
y
+=
+










++++=
+
+
Taylor’s and Picard’s methods 33
Dr. V. Ramachandra Murthy
Step(1): To find y(1.2))1y(x1y ==
Put n=0 in Equations (1) and (2)
( ) ( )
( ) ( ) ______(4)0y,0xhf0y0
1
ywhere
3)_______(
(r)
1
y,1xf0y,0xf
2
h
0y
1r
1
y
+=









++=
+
Initial approximation:
From Eqn(4)
( ) ( )
( )
( )
0.9
31
1
2(0.5)
0.20.5
3
0x
0x
02y
0.20.5
0y,0xhf0y
0
1
y
=




++=






++=
+=
First approximation:
Put r=0 in Eqn(3)
( ) ( )
( ) ( )
( ) ( ) ( ) ( )
0227.1
31.2
1.2
0.9231
1
0.52
2
0.2
0.5
3
1x
1x
(0)
1
2y3
0x
0x
02y
2
0.2
0.5
(0)
1
y,1xf0y,0xf
2
h
0y
1
1
y
=




++++=










++++=









++=
Second approximation:
Put r=1 in Eqn(3)
Taylor’s and Picard’s methods 34
Dr. V. Ramachandra Murthy
( ) ( )
( ) ( )
( ) ( ) ( ) ( )
043.1
31.2
1.2
1.0227231
1
0.52
2
0.2
0.5
3
1x
1x
(1)
1
2y3
0x
0x
02y
2
0.2
0.5
(1)
1
y,1xf0y,0xf
2
h
0y
2
1
y
=




++++=










++++=









++=
Similarly
( ) 046.1
3
1
y = and
( ) 046.1
4
1
y =
Since
( ) ( )4
1
y&
3
1
y are the same correct to four decimal places
y(1.2)=1.2444
Step(2): To find y(1.4))2y(x2y ==
Put n=1 in Equations (1) and (2)
( ) ( )
( ) ( ) ______(6)1y,1xhf1y0
2
ywhere
5)_______(
(r)
2
y,2xf1y,1xf
2
h
1y
1r
2
y
+=









++=
+
Initial approximation:
From Eqn(6)
( ) ( )
( )
( )
1.740
31.2
1.2
2(1.046)
0.2046.1
3
1x
1x
12y
0.2046.1
1y,1xhf1y
0
2
y
=




++=






++=
+=
First approximation:
Put r=0 in Eqn(5)
Taylor’s and Picard’s methods 35
Dr. V. Ramachandra Murthy
( ) ( )
( ) ( )
( ) ( ) ( ) ( )
916.1
31.4
1.4
1.74231.2
1.2
1.0462
2
0.2
046.1
3
2x
2x
(0)
2
2y3
1x
1x
12y
2
0.2
046.1
(0)
2
y,2xf1y,1xf
2
h
1y
1
2
y
=




++++=










++++=









++=
Similarly
( ) 941.1
2
2
y =
( ) 944.1
3
2
y =
,
( ) 945.1
4
2
y =
,
( ) 945.1
5
2
y =
Since
( ) ( )5
2
y&
4
2
y are the same correct to three decimal places
y(1.4)=1.945
Problem(6):
solve y1
dx
dy
−= , y(0)=0 by Modified Euler’s method for x=0.1 correct to
four decimal places.
Soln: Given data: ( ) y1yx,f −= , h=0.1
00x = 0.11x =
00y = ?1y =
Modified Euler’s Formula is given by
( ) ( )
( ) ( ) ______(2)ny,nxhfny0
1n
ywhere
1)_______(
(r)
1n
y,1nxfny,nxf
2
h
ny
1r
1n
y
+=
+










++++=
+
+
To find y(0.1))1y(x1y ==
Put n=0 in Equations (1) and (2)
Taylor’s and Picard’s methods 36
Dr. V. Ramachandra Murthy
( ) ( )
( ) ( ) ______(4)0y,0xhf0y0
1
ywhere
3)_______(
(r)
1
y,1xf0y,0xf
2
h
0y
1r
1
y
+=









++=
+
Initial approximation:
From Eqn(4)
( ) ( )
[ ] 1.0010.10
]01[00y,0xhf0y
0
1
y
=−+=
−+=+= yhy
First approximation:
Put r=0 in Eqn(3)
( ) ( )
[ ] 095.01.0101
2
0.1
0
(0)
1
y101
2
h
0
(0)
1
y,1xf0y,0xf
2
h
0y
1
1
y
=−+−+=



 ++−+=








++= yy
Second approximation:
Put r=1 in Eqn(3)
( ) ( )
0952.0]095.0101[
2
0.1
0
(1)
1
y10y-1
2
h
0y
(1)
1
y,1xf0y,0xf
2
h
0y
2
1
y
=−+−+=



 −++=









++=
Similarly
( ) 0952.0
3
1
y = ,
Since
( ) ( )4
1
y&
3
1
y are the same correct to four decimal places
y(0.1)=0.0952
Problem(7):
Use Modified Euler’s method to solve the differential equation
2yx
dx
dy
+= ,y(0)=1 for x=0.2 in steps of 0.1 correct to three
decimal places.
Soln: Given data: ( ) 2yxyx,f += , h=0.1
00x = 0.11x = 0.22x =
Taylor’s and Picard’s methods 37
Dr. V. Ramachandra Murthy
10y = 1.11741y = 1.27622y =
Modified Euler’s Formula is given by
( ) ( )
( ) ( ) ______(2)ny,nxhfny0
1n
ywhere
1)_______(
(r)
1n
y,1nxfny,nxf
2
h
ny
1r
1n
y
+=
+










++++=
+
+
Step(1): To find y(0.1))1y(x1y ==
Put n=0 in Equations (1) and (2)
( ) ( )
( ) ( ) ______(4)0y,0xhf0y0
1
ywhere
3)_______(
(r)
1
y,1xf0y,0xf
2
h
0y
1r
1
y
+=









++=
+
Initial approximation:
From Eqn(4)
( ) ( )
( ) ( ) 1.12100.112
0y0x0.11
0y,0xhf0y
0
1
y
=



 ++=



 ++=
+=
First approximation:
Put r=0 in Eqn(3)
( ) ( ) ( )
( ) ( ) 1155.121.11.0210
2
0.1
1
2
(0)
1
y1x2
0y0x
2
h
0y
(0)
1
y,1xf0y,0xf
2
h
0y
1
1
y
=



 ++++=













++++=








++=
Second approximation:
Put r=1 in Eqn(3)
( ) ( )
( )
1172.1]2)1155.1(1.02)1(0[
2
0.1
1
2
(1)
1
y1x2
0y0x
2
h
0y
(1)
1
y,1xf0y,0xf
2
h
0y
2
1
y
=++++=













++++=









++=
Taylor’s and Picard’s methods 38
Dr. V. Ramachandra Murthy
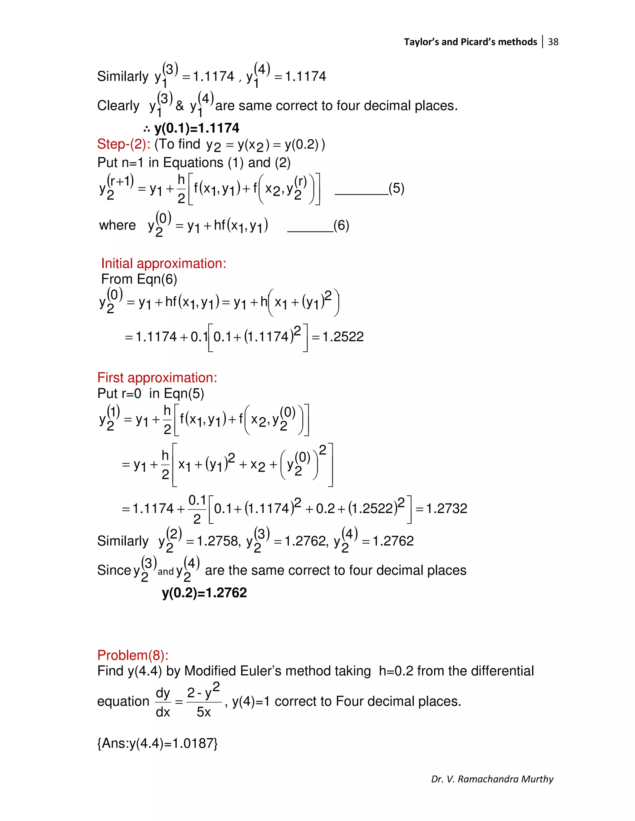
Similarly
( ) 1174.1
3
1
y = ,
( ) 1174.1
4
1
y =
Clearly
( ) ( )4
1
y&
3
1
y are same correct to four decimal places.
∴∴∴∴ y(0.1)=1.1174
Step-(2): (To find y(0.2))2y(x2y == )
Put n=1 in Equations (1) and (2)
( ) ( )
( ) ( ) ______(6)1y,1xhf1y0
2
ywhere
_______(5)
(r)
2
y,2xf1y,1xf
2
h
1y
1r
2
y
+=









++=
+
Initial approximation:
From Eqn(6)
( ) ( ) ( )
( ) 2522.121.11741.00.11.1174
2
1y1xh1y1y,1xhf1y
0
2
y
=



 ++=




 ++=+=
First approximation:
Put r=0 in Eqn(5)
( ) ( )
( )
( ) ( ) 1.273221.25220.221.11740.1
2
0.1
1.1174
2
(0)
2
y2x2
1y1x
2
h
1y
(0)
2
y,2xf1y,1xf
2
h
1y
1
2
y
=



 ++++=













++++=









++=
Similarly
( ) ( ) ( ) 2762.1
4
2
y,2762.1
3
2
y,2758.1
2
2
y ===
Since
( )3
2
y and
( )4
2
y are the same correct to four decimal places
y(0.2)=1.2762
Problem(8):
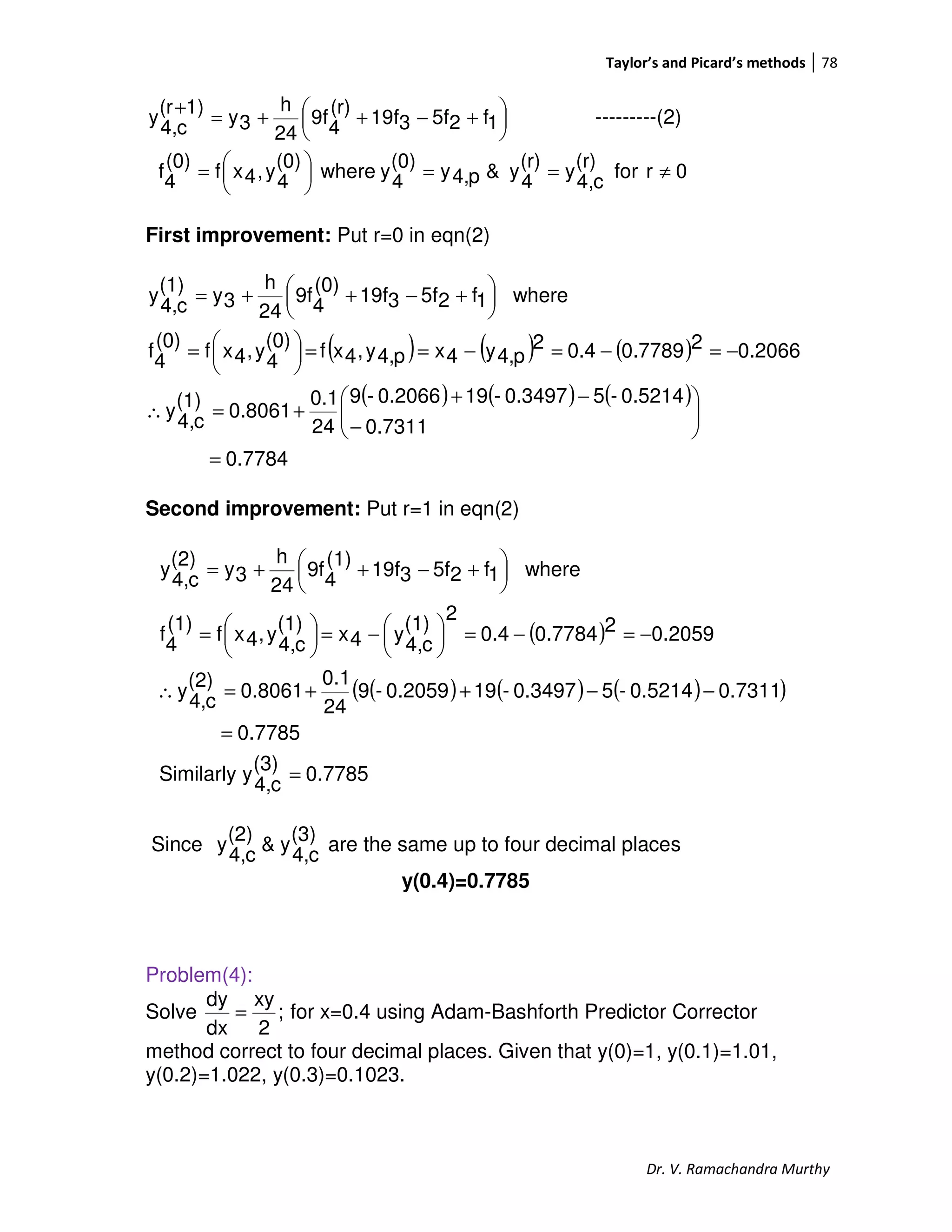
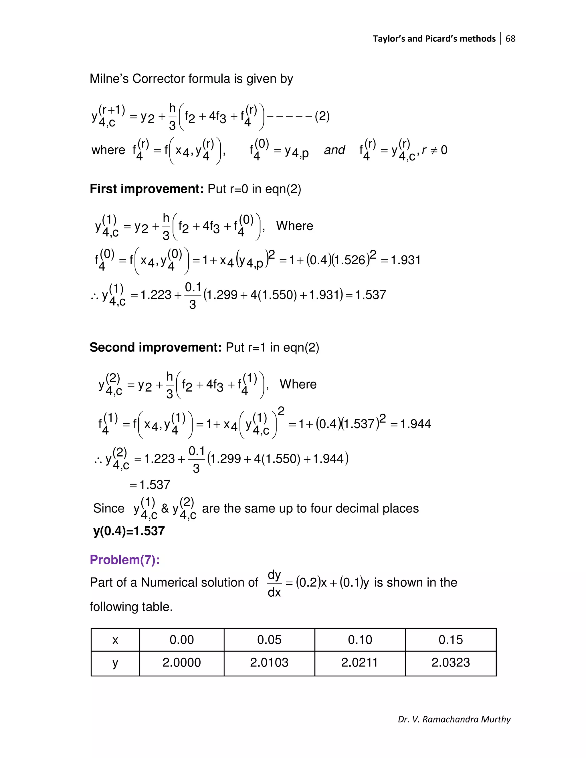
Find y(4.4) by Modified Euler’s method taking h=0.2 from the differential
equation
5x
2y-2
dx
dy
= , y(4)=1 correct to Four decimal places.
{Ans:y(4.4)=1.0187}
Taylor’s and Picard’s methods 39
Dr. V. Ramachandra Murthy
Problem(9):
Solve y2x
dx
dy
+= , y(0)=1 for x=0.02 taking h=0.01 by Modified Euler’s
method correct to Four decimal places. Carry out two iterations after
each step.
{Ans:y(0.02)=1.020}
_________________________________________________________
__
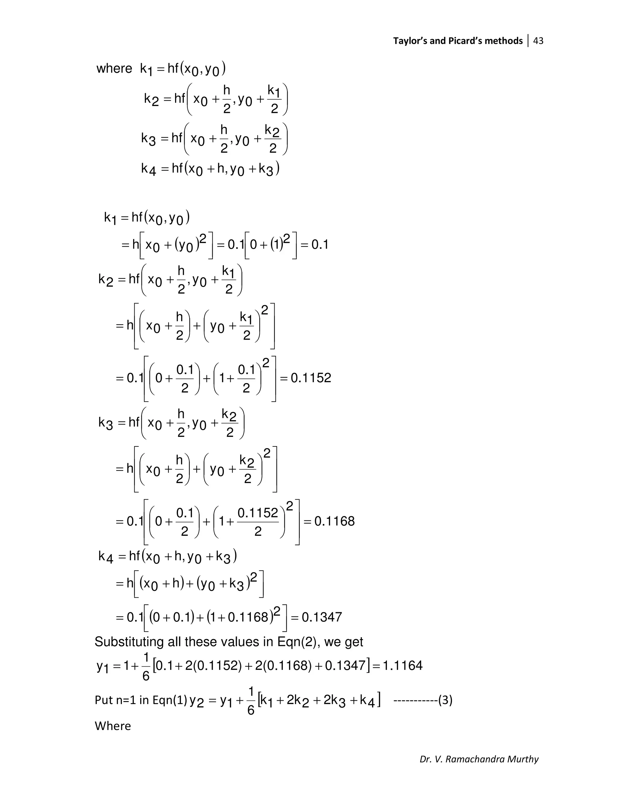
Runge-Kutta Method of 4th
order
Consider 0y)0y(x,y)f(x,
dx
dy
==
The Runge-Kutta method of 4th
order is given by
[ ]
( )
( )3knyh,nxhf4k
2
2k
ny,
2
h
nxhf3k
2
1k
ny,
2
h
nxhf2k
ny,nxhf1kwhere
4k32k22k1k
6
1
ny1ny
++=






++=






++=
=
++++=+
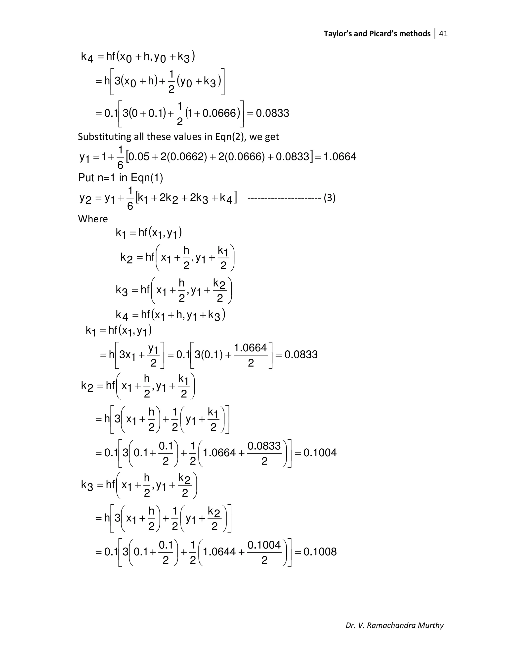
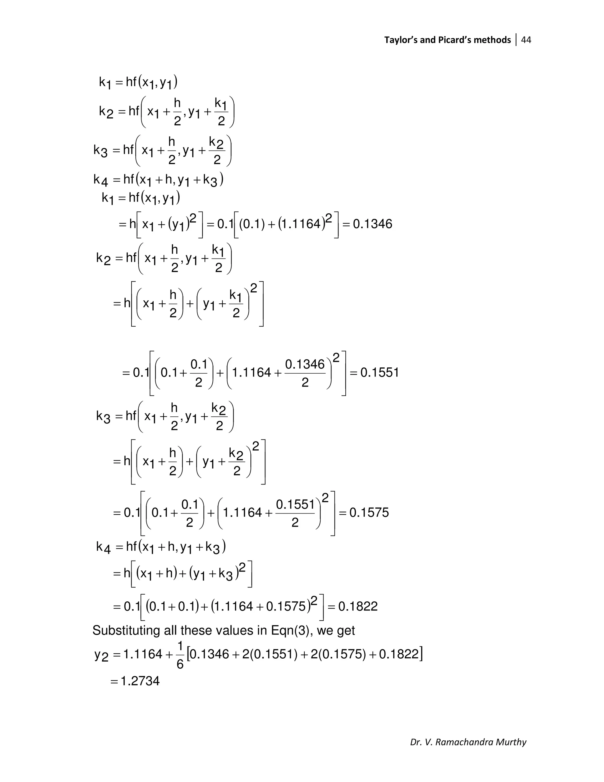
Problem(1):
By employing Runge-Kutta method of fourth order solve the differential
equation y6x/2y =− ,y(0)=1 for x=0.2 in steps of 0.1 correct to four
decimal places.
Soln: Given data: ( )
2
y
3xyx,f += , h=0.1
00x = 0.11x = 0.21x =
10y = 1.06641y = 1670.12y =
The Runge-Kutta method of 4th
order is given by
Taylor’s and Picard’s methods 40
Dr. V. Ramachandra Murthy
[ ]
( )
( ) 












++=






++=






++=
=
++++=+
3knyh,nxhf4k
2
2k
ny,
2
h
nxhf3k
2
1k
ny,
2
h
nxhf2k
ny,nxhf1kwhere
4k32k22k1k
6
1
ny1ny
-------------------- (1)
Put n=0 in Eqn(1)
[ ]4k32k22k1k
6
1
0y1y ++++= --------------------------- (2)
( )
( )









++=






++=






++=
=
3k0yh,0xhf4k
2
2k
0y,
2
h
0xhf3k
2
1k
0y,
2
h
0xhf2k
0y,0xhf1kwhere
( )
0.05
2
1
3(0)0.1
2
0y
03xh
0y,0xhf1k
=



+=





+=
=
0.0662
2
0.05
1
2
1
2
0.1
030.1
2
1k
0y
2
1
2
h
0x3h
2
1k
0y,
2
h
0xhf2k
=











++





+=












++





+=






++=
0.0666
2
0.0662
1
2
1
2
0.1
030.1
2
2k
0y
2
1
2
h
0x3h
2
2k
0y,
2
h
0xhf3k
=











++





+=












++





+=






++=
Taylor’s and Picard’s methods 41
Dr. V. Ramachandra Murthy
( )
( ) ( )
( ) ( ) 0.08330.06661
2
1
0.1030.1
3k0y
2
1
h0x3h
3k0yh,0xhf4k
=



+++=




+++=
++=
Substituting all these values in Eqn(2), we get
[ ] 1.06640.08332(0.0666)2(0.0662)0.05
6
1
11y =++++=
Put n=1 in Eqn(1)
[ ]4k32k22k1k
6
1
1y2y ++++= ---------------------- (3)
Where
( )
( )3k1yh,1xhf4k
2
2k
1y,
2
h
1xhf3k
2
1k
1y,
2
h
1xhf2k
1y,1xhf1k
++=






++=






++=
=
( )
0.0833
2
1.0664
3(0.1)0.1
2
1y
13xh
1y,1xhf1k
=



+=





+=
=
0.1004
2
0.0833
1.0664
2
1
2
0.1
0.130.1
2
1k
1y
2
1
2
h
1x3h
2
1k
1y,
2
h
1xhf2k
=











++





+=












++





+=






++=
0.1008
2
0.1004
1.0644
2
1
2
0.1
0.130.1
2
2k
1y
2
1
2
h
1x3h
2
2k
1y,
2
h
1xhf3k
=











++





+=












++





+=






++=
Taylor’s and Picard’s methods 42
Dr. V. Ramachandra Murthy
( )
( ) ( )
( ) ( ) 0.11830.10081.0664
2
1
0.10.130.1
3k1y
2
1
h1x3h
3k1yh,1xhf4k
=



+++=




+++=
++=
Substituting all these values in Eqn(3), we get
[ ]
1.1670
0.11832(0.1008)2(0.1004)0.0833
6
1
1.06642y
=
++++=
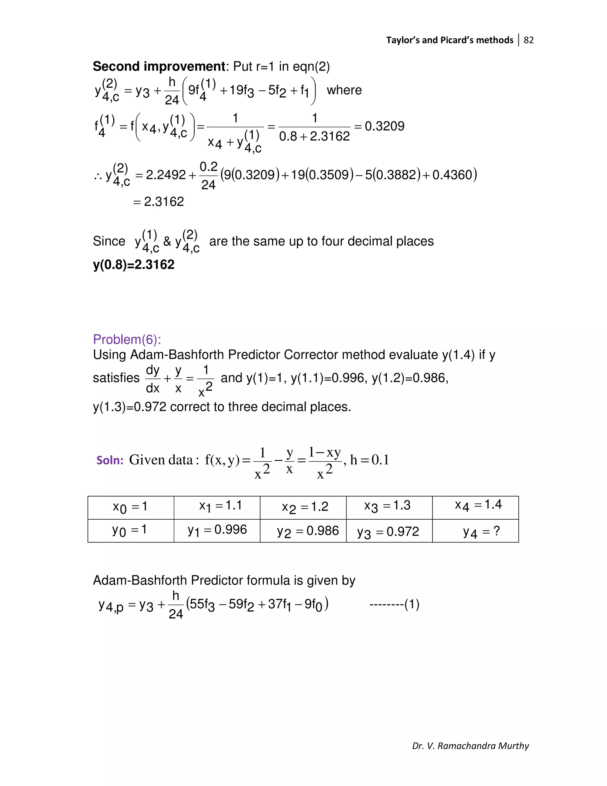
Problem(2):
Apply Runge-Kutta method of fourth order to find an approximate value
of y(0.1) and y(0.2) of 2yx
dx
dy
+= , y(0)=1 correct to three decimal
places.
Soln: Given data: ( ) 2yxyx,f += , h=0.1
00x = 0.11x = 0.22x =
10y = ?1y = ?2y =
The Runge-Kutta method of 4th
order is given by
[ ]
( )
( ) 












++=






++=






++=
=
++++=+
3knyh,nxhf4k
2
2k
ny,
2
h
nxhf3k
2
1k
ny,
2
h
nxhf2k
ny,nxhf1kwhere
4k32k22k1k
6
1
ny1ny
-------------------------(1)
Put n=0 in Eqn(1)
[ ]4k32k22k1k
6
1
0y1y ++++= --------------------------(2)
Taylor’s and Picard’s methods 43
Dr. V. Ramachandra Murthy
( )
( )3k0yh,0xhf4k
2
2k
0y,
2
h
0xhf3k
2
1k
0y,
2
h
0xhf2k
0y,0xhf1kwhere
++=






++=






++=
=
( )
( ) ( ) 0.12100.12
0y0xh
0y,0xhf1k
=



 +=



 +=
=
0.1152
2
2
0.1
1
2
0.1
00.1
2
2
1k
0y
2
h
0xh
2
1k
0y,
2
h
0xhf2k
=














++





+=














++





+=






++=
0.1168
2
2
0.1152
1
2
0.1
00.1
2
2
2k
0y
2
h
0xh
2
2k
0y,
2
h
0xhf3k
=














++





+=














++





+=






++=
( )
( ) ( )
( ) ( ) 0.134720.116810.100.1
2
3k0yh0xh
3k0yh,0xhf4k
=



 +++=



 +++=
++=
Substituting all these values in Eqn(2), we get
[ ] 1.11640.13472(0.1168)2(0.1152)0.1
6
1
11y =++++=
Put n=1 in Eqn(1) [ ]4k32k22k1k
6
1
1y2y ++++= -----------(3)
Where
Taylor’s and Picard’s methods 44
Dr. V. Ramachandra Murthy
( )
( )3k1yh,1xhf4k
2
2k
1y,
2
h
1xhf3k
2
1k
1y,
2
h
1xhf2k
1y,1xhf1k
++=






++=






++=
=
( )
( ) ( ) 0.134621164.1(0.1)0.12
1y1xh
1y,1xhf1k
=



 +=



 +=
=














++





+=






++=
2
2
1k
1y
2
h
1xh
2
1k
1y,
2
h
1xhf2k
0.1551
2
2
0.1346
1.1164
2
0.1
0.10.1 =














++





+=
0.1575
2
2
0.1551
1.1164
2
0.1
0.10.1
2
2
2k
1y
2
h
1xh
2
2k
1y,
2
h
1xhf3k
=














++





+=














++





+=






++=
( )
( ) ( )
( ) ( ) 0.182220.15751.11640.10.10.1
2
3k1yh1xh
3k1yh,1xhf4k
=



 +++=



 +++=
++=
Substituting all these values in Eqn(3), we get
[ ]
27341.
0.18222(0.1575)2(0.1551)0.1346
6
1
1.11642y
=
++++=
Taylor’s and Picard’s methods 45
Dr. V. Ramachandra Murthy
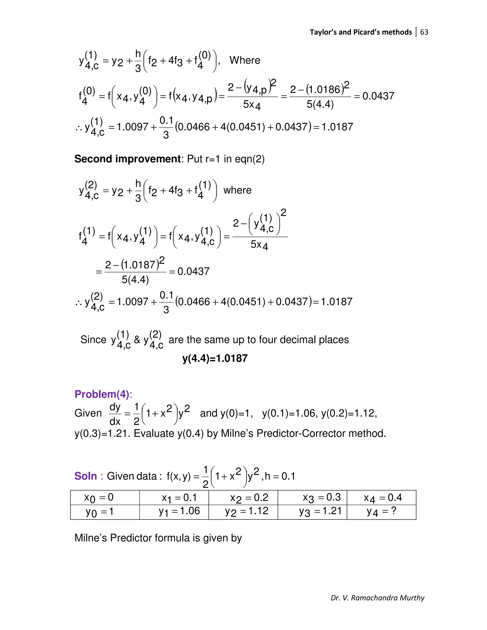
Problem(3):
Use Runge-Kutta method of fourth order to approximate y when x=0.1,
given that y=1 when x=0 and yx
dx
dy
+=
Soln: Given data: ( ) yxyx,f += , h=0.1
00x = 0.11x =
10y = ?1y =
The Runge-Kutta method of 4th
order is given by
[ ]
( )
( )3knyh,nxhf4k
2
2k
ny,
2
h
nxhf3k
2
1k
ny,
2
h
nxhf2k
ny,nxhf1kwhere
4k32k22k1k
6
1
ny1ny
++=






++=






++=
=
++++=+
------------------(1)
Put n=0 in Eqn(1)
[ ]4k32k22k1k
6
1
0y1y ++++= -------------------(2)
( )
( )3k0yh,0xhf4k
2
2k
0y,
2
h
0xhf3k
2
1k
0y,
2
h
0xhf2k
0y,0xhf1kwhere
++=






++=






++=
=
( )
( )[ ] [ ] 0.1100.10y0xh
0y,0xhf1k
=+=+=
=
Taylor’s and Picard’s methods 46
Dr. V. Ramachandra Murthy
0.11
2
0.1
1
2
0.1
00.1
2
1k
0y
2
h
0xh
2
1k
0y,
2
h
0xhf2k
=











++





+=












++





+=






++=
1105.0
2
0.11
1
2
0.1
00.1
2
2k
0y
2
h
0xh
2
2k
0y,
2
h
0xhf3k
=











++





+=












++





+=






++=
( )
( ) ( )[ ]
( ) ( )[ ] 0.12100.110510.100.1
3k0yh0xh
3k0yh,0xhf4k
=+++=
+++=
++=
Substituting all these values in Eqn(2), we get
[ ]
11031.
0.12102(0.1105)2(0.11)0.1
6
1
11y
=
++++=
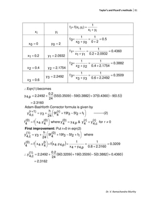
Problem(4):
Use Runge-Kutta method of fourth order to obtain an approximation to
y(1.5) for the solution of 2xy
dx
dy
= ;y(1)=1 correct to four decimal places.
Soln: Given data: ( ) 2xyyx,f = , h=0.5
10x = 1.51x =
10y = ?1y =
The Runge-Kutta method of 4th
order is given by
Taylor’s and Picard’s methods 47
Dr. V. Ramachandra Murthy
[ ]
( )
( ) 












++=






++=






++=
=
++++=+
3knyh,nxhf4k
2
2k
ny,
2
h
nxhf3k
2
1k
ny,
2
h
nxhf2k
ny,nxhf1kwhere
4k32k22k1k
6
1
ny1ny
------------------(1)
Put n=0 in Eqn(1)
[ ]4k32k22k1k
6
1
0y1y ++++= --------------------------(2)
( )
( )3k0yh,0xhf4k
2
2k
0y,
2
h
0xhf3k
2
1k
0y,
2
h
0xhf2k
0y,0xhf1kwhere
++=






++=






++=
=
( )
[ ] [ ] 12(1)(1)0.50y02xh
0y,0xhf1k
===
=
1.875
2
1
1
2
0.5
120.5
2
1k
0y
2
h
0x2h
2
1k
0y,
2
h
0xhf2k
=











+





+=












+





+=






++=
4218.2
2
1.875
1
2
0.5
120.5
2
2k
0y
2
h
0x2h
2
2k
0y,
2
h
0xhf3k
=











+





+=












+





+=






++=
Taylor’s and Picard’s methods 48
Dr. V. Ramachandra Murthy
( )
( )( )[ ]
( )( )[ ] 5.13272.421810.5120.5
3k0yh0x2
3k0yh,0xhf4k
=++=
++=
++=
h
Substituting all these values in Eqn(2), we get
[ ]
4543.3
5.13272(2.4218)2(1.875)1
6
1
11y
=
++++=
Problem(5):
Obtain the values of y at x=0.1, 0.2 using Runge-Kutta method of 4th
order for the differential equation y/y −= ; y(0)=1 correct to four decimal
places.
Soln: Given data: ( ) -yyx,f = , h=0.1
00x = 0.11x = 0.22x =
10y = ?1y = ?2y =
The Runge-Kutta method of 4th
order is given by
[ ]
( )
( ) 












++=






++=






++=
=
++++=+
3knyh,nxhf4k
2
2k
ny,
2
h
nxhf3k
2
1k
ny,
2
h
nxhf2k
ny,nxhf1kwhere
4k32k22k1k
6
1
ny1ny
-----------(1)
Put n=0 in Eqn(1)
[ ]4k32k22k1k
6
1
0y1y ++++= -------------(2)
( )
( )3k0yh,0xhf4k
2
2k
0y,
2
h
0xhf3k
2
1k
0y,
2
h
0xhf2k
0y,0xhf1kwhere
++=






++=






++=
=
Taylor’s and Picard’s methods 49
Dr. V. Ramachandra Murthy
( )
[ ] [ ] -0.11-0.10y-h
0y,0xhf1k
===
=
095.0
2
0.1
-10.1
2
1k
0yh
2
1k
0y,
2
h
0xhf2k
−=











−=












+−=






++=
0952.0
2
0.095
10.1
2
2k
0yh
2
2k
0y,
2
h
0xhf3k
−=











−−=












+−=






++=
( )
( )[ ]
( )[ ] -0.09040.0952-10.1
3k0yh
3k0yh,0xhf4k
=−=
+−=
++=
Substituting all these values in Eqn(2), we get
[ ] 9048.00.0904-2(-0.0952)2(-0.095)0.1-
6
1
11y =+++=
Put n=1 in Eqn(1) [ ]4k32k22k1k
6
1
1y2y ++++= -------------(3)
( )
( )3k1yh,1xhf4k
2
2k
1y,
2
h
1xhf3k
2
1k
1y,
2
h
1xhf2k
1y,1xhf1k
++=






++=






++=
=
( )
( )[ ] [ ] -0.09049048.00.11y-h
1y,1xhf1k
=−==
=
Taylor’s and Picard’s methods 50
Dr. V. Ramachandra Murthy
-0.0859
2
0.0904
0.90480.1
2
1k
1yh
2
1k
1y,
2
h
1xhf2k
=



−−=












+−=






++=
-0.0861
2
0.0859
0.90480.1
2
2k
1yh
2
2k
1y,
2
h
1xhf3k
=











−−=












+−=






++=
( )
( )[ ]
( )[ ] 0.08180.0861-0.90480.1
3k1yh
3k1yh,1xhf4k
−=−=
+−=
++=
Substituting all these values in Eqn(3), we get
[ ]
8187.0
0.0818-2(-0.0861)2(-0.0859)0.0904-
6
1
0.90482y
=
+++=
Problem(6):
By using the Runge-Kutta method of fourth order find the approximate
values of y(0.5) and y(1), given that
yx
1
dx
dy
+
= y(0)=1 correct to four
decimal places.
Soln: Given data:
yx
1
dx
dy
+
= , h=0.5
00x = 0.51x = 12x =
10y = ?1 =y ?2y =
The Runge-Kutta method of 4th
order is given by
Taylor’s and Picard’s methods 51
Dr. V. Ramachandra Murthy
[ ]
( )
( ) 












++=






++=






++=
=
++++=+
3knyh,nxhf4k
2
2k
ny,
2
h
nxhf3k
2
1k
ny,
2
h
nxhf2k
ny,nxhf1kwhere
4k32k22k1k
6
1
ny1ny
---------------------(1)
Put n=0 in Eqn(1)
[ ]4k32k22k1k
6
1
0y1y ++++= -----------------------(2)
( )
( )3k0yh,0xhf4k
2
2k
0y,
2
h
0xhf3k
2
1k
0y,
2
h
0xhf2k
0y,0xhf1kwhere
++=






++=






++=
=
( )
0.5
10
1
0.5
0y0x
1
h
0y,0xhf1k
=



+
=





+
=
=
3333.0
2
0.5
1
2
5.0
0
1
0.5
2
1k
0y
2
h
0x
1
h
2
1k
0y,
2
h
0xhf2k
=










+++
=










+++
=






++=
3529.0
2
0.3333
1
2
0.5
0
1
0.5
2
2k
0y
2
h
0x
1
h
2
2k
0y,
2
h
0xhf3k
=










+++
=










+++
=






++=
Taylor’s and Picard’s methods 52
Dr. V. Ramachandra Murthy
( )
0.2698
0.352910.50
1
0.5
3k0yh0x
1
h
3k0yh,0xhf4k
=




+++
=





+++
=
++=
Substituting all these values in Eqn(2), we get
[ ] 3570.10.26982(0.3529)2(0.3333)0.5
6
1
11y =++++=
Put n=1 in Eqn(1) [ ]4k32k22k1k
6
1
1y2y ++++= --------------(3)
( )
( )3k1yh,1xhf4k
2
2k
1y,
2
h
1xhf3k
2
1k
1y,
2
h
1xhf2k
1y,1xhf1k
++=






++=






++=
=
( )
0.2692
1.3570.5
1
0.5
1y1x
1
h
1y,1xhf1k
=



+
=





+
=
=
2230.0
2
0.2692
1.3570
2
5.0
0.5
1
0.5
2
1k
1y
2
h
1x
1
h
2
1k
1y,
2
h
1xhf2k
=










+++
=










+++
=






++=
2253.0
2
0.2230
1.357
2
0.5
0.5
1
0.5
2
2k
1y
2
h
1x
1
h
2
2k
1y,
2
h
1xhf3k
=










+++
=










+++
=






++=
Taylor’s and Picard’s methods 53
Dr. V. Ramachandra Murthy
( )
0.1936
0.22531.3570.50.5
1
0.5
3k1yh1x
1
h
3k1yh,1xhf4k
=




+++
=





+++
=
++=
Substituting all these values in Eqn(3), we get
[ ]
5835.1
0.19362(0.2253)2(0.2230)0.2692
6
1
1.35702y
=
++++=
Problem(7):
By using the Runge-Kutta method of fourth order solve the initial value
problem 2yx3e/y += ; y(0)=0 at x=0.1 correct to three decimal places.
Soln: Given data: ( ) 2yx3eyx,f += , h=0.1
00x = 0.11x =
00y = ?1y =
The Runge-Kutta method of 4th
order is given by
[ ]
( )
( )3knyh,nxhf4k
2
2k
ny,
2
h
nxhf3k
2
1k
ny,
2
h
nxhf2k
ny,nxhf1kwhere
4k32k22k1k
6
1
ny1ny
++=






++=






++=
=
++++=+
---------------(1)
Put n=0 in Eqn(1)
[ ]4k32k22k1k
6
1
0y1y ++++= -------------------(2)
Taylor’s and Picard’s methods 54
Dr. V. Ramachandra Murthy
( )
( )3k0yh,0xhf4k
2
2k
0y,
2
h
0xhf3k
2
1k
0y,
2
h
0xhf2k
0y,0xhf1kwhere
++=






++=






++=
=
( )
0.32(0)03e0.1
02yx3eh
0y,0xhf1k
0
=



 +=



 +=
=
0.345
2
0.3
02
)
2
0.1
(0
3e0.5
2
1k
0y2
)
2
h
(x
3eh
2
1k
0y,
2
h
0xhf2k
0
=
















++
+
=
















++
+
=






++=
0.349
2
0.345
02
)
2
0.1
(0
3e0.1
2
2k
0y2
)
2
h
(x
3eh
2
2k
0y,
2
h
0xhf3k
0
=
















++
+
=
















++
+
=






++=
( )
( ) ( )
401.0
349.002)1.0(03e1.03k0y2h)(x3eh
3k0yh,0xhf4k
00
=



 +++=



 +++=
++=
Substituting all these values in Eqn(2), we get
[ ]
348.0
0.4012(0.349)2(0.345)0.3
6
1
01y
=
++++=
Problem(8):
Obtain the value of y at x=0.2 using Runge-Kutta method of 4th
order for
Taylor’s and Picard’s methods 55
Dr. V. Ramachandra Murthy
the differential equation
xy
x-y/y
+
= ; y(0)=1 correct to four decimal
places.
Soln: Given data: ( )
xy
x-y
yx,f
+
= , h=0.2
00x = 0.21x =
10y = ?1y =
The Runge-Kutta method of 4th
order is given by
[ ]
( )
( )
)1.(..............................
3knyh,nxhf4k
2
2k
ny,
2
h
nxhf3k
2
1k
ny,
2
h
nxhf2k
ny,nxhf1kwhere
4k32k22k1k
6
1
ny1ny













++=






++=






++=
=
++++=+
Put n=0 in Eqn(1)
[ ]4k32k22k1k
6
1
0y1y ++++= -----------------(2)
( )
( )3k0yh,0xhf4k
2
2k
0y,
2
h
0xhf3k
2
1k
0y,
2
h
0xhf2k
0y,0xhf1kwhere
++=






++=






++=
=
( )
0.2
01
0-1
0.2
0x0y
0x0y
h
0y,0xhf1k
=



+
=





+
−
=
=
Taylor’s and Picard’s methods 56
Dr. V. Ramachandra Murthy
0.1666
2
0.2
0
2
0.2
1
2
0.2
0
2
0.2
1
0.2
2
h
0x
2
1k
0y
2
h
0x
2
1k
0y
h
2
1k
0y,
2
h
0xhf2k
=


















++





+






+−





+
=


















++





+






+−





+
=






++=
0.1661
2
0.2
0
2
0.1666
1
2
0.2
0
2
0.1666
1
0.2
2
h
0x
2
2k
0y
2
h
0x
2
2k
0y
h
2
2k
0y,
2
h
0xhf3k
=


















++





+






+−





+
=


















++





+






+−





+
=






++=
( )
( ) ( )
( ) ( )
( ) ( )
( ) ( )
1414.0
2.001661.01
2.001661.01
0.2
h0x3k0y
h0x3k0y
0.2
3k0yh,0xhf4k
=






+++
+−+
=





+++
+−+
=
++=
Substituting all these values in Eqn(2), we get
[ ]
1678.1
0.14142(0.1661)2(0.1666)0.2
6
1
11y
=
++++=
Problem(9):
Evaluate y(1.1) by fourth order Runge-Kutta method given that
2x
1
x
y/y =+ , y(1)=1 correct to four decimal places.
{Ans: y(1.1)=0.9958}
Problem(10):
Using Runge-Kutta method of fourth order solve
2x2y
2x2y
dx
dy
+
−
=
y(0)=1 at x=0.2 and 0.4.
{Ans: y(0.2)=1.1959,
y(0.4)=1.3751}
Taylor’s and Picard’s methods 57
Dr. V. Ramachandra Murthy
Numerical Methods
Predictor-Corrector methods
(Multi Step Methods)
The methods in which the construction of involves the use of not
only
the solution but also some of its predecessors
are called Multi step methods.
Milne’s Predictor-Corrector Method
Consider the differential equation
Milne’s predictor and corrector formula is given by
Problem(1)
Find y(2) if y(x) is the solution of , given that y(0)=2,
y(0.5)=2.636, y(1)=3.595, y(1.5)=4.968 using Milne’s Predictor-Corrector
method correct to four decimal places.
Soln: Given data , h=0.5
x0 = 0 x1 = 0.5 x2 = 1.0 x3 = 1.5 x4 = 2.0
y0 = 0 y1 = 2.636 y2 = 3.595 y3 = 4.968 y4 = ?
Milne’s Predictor formula is given by
1ny +
ny ,....etc)2-ny,1-ny(i.e
00 y)y(x;y)f(x,
dx
dy
==
( )
( ) ( ) ( )
0rfor
(r)
c4,
y
(r)
4
y&p4,y
(0)
4
ywhere
(0)
4
y,4xf
(0)
4
f:Note
(r)
4
y,4xf
(r)
4
f,3y,3xf3f,2y,2xf2f,1y,1xf1fwhere
formulaCorrector(2)
(r)
4
f34f2f
3
h
2y
1)(r
c4,
y
formulaPredictor(1)32f2f12f
3
4h
0yp4,y
≠==




=





====
→−−−−−




 +++=
+
→−−−−−+−+=
2
yx
dx
dy +
=
2
yx
y)f(x,
+
=
( ) (1)2ff2f
3
4h
yy 3210p4, −−−−−+−+=
Taylor’s and Picard’s methods 58
Dr. V. Ramachandra Murthy
Substituting all the values in eqn(1) we get,
Milne’s Corrector formula is given by
First improvement: Put r=0 in eqn(2)
Second improvement: Put r=1 in eqn(2)
2
yx
)y,f(xf ii
iii
+
==ix iy
0.5x1 =
1x2 =
1.5x3 =
636.2y1 =
595.3y2 =
968.4y3 =
568.1
2
2.6360.5
2
yx
f 11
1 =
+
=
+
=
2975.2
2
3.5951
2
yx
f 22
2 =
+
=
+
=
234.3
2
4.9681.5
2
yx
f 33
3 =
+
=
+
=
{ } 871.6)234.3(22975.2)568.1(2
3
4(0.5)
2y p4, =+−+=
( ) ( )(r)
44
(r)
4
(r)
4322
1)(r
c4, y,xffwhere)2(f4ff
3
h
yy =−−−−−+++=+
( )
( ) ( )
( ) 6.87314.43554(3.234)2.2975
3
0.5
3.595y
4.4355
2
6.8712
2
yx
y,xfy,xff
Where,f4ff
3
h
yy
(1)
c4,
p4,4
p4,4
(0)
44
(0)
4
(0)
4322
(1)
c4,
=+++=∴
=
+
=
+
===
+++=
( )
( ) ( )
( )4.43654(3.234)2.2975
3
0.5
3.595y
4.4365
2
6.87312
2
yx
y,xfy,xff
where
f4ff
3
h
yy
(2)
c4,
(1)
c4,4(1)
c4,4
(1)
44
(1)
4
(1)
4322
(2)
c4,
+++=∴
=
+
=
+
===
+++=
Taylor’s and Picard’s methods 59
Dr. V. Ramachandra Murthy
Third improvement: Put r=2 in eqn(2)
Since are the same up to four decimal places
y(2)=6.8733
Problem(2):
Use Milne’s method to find y(0.3) from , y(0)=1 after
computing y(-0.1),y(0.1) and y(0.2) by Taylor’s series method correct to
four decimal places..
Soln: Given data , h=0.1, ,
We shall first find y(-0.1),y(0.1) and y(0.2) by Taylor’s series method.
By Taylor’s series method, we have
_____(1)
Put n=0 in eqn(1)
____(2)
22
yx
dx
dy
+=
( )
( ) ( )
( ) 6.87334.43664(3.234)2.2975
3
0.5
3.595y
4.4366
2
6.87332
2
yx
y,xfy,xff
where
f4ff
3
h
yy
(3)
c4,
(2)
c4,4(2)
c4,4
(2)
44
(2)
4
(2)
4322
(3)
c4,
=+++=∴
=
+
=
+
===
+++=
(3)
c4,
(2)
c4, y&y
22
yxy)f(x, += 0x0 = 2y0 =
.....y
3!
h
y
2!
h
y
1!
h
y)f(xy
///
n
3
//
n
2
/
nn1n1n ++++== ++
( )( )
( ) ( )///////////////IV
2//////
///
22/
y3yyy2y2yyyyy2y
yyy22y
2yy2xy
yxyGiven
+=++=
++=
+=∴
+=
.....y
3!
h
y
2!
h
y
1!
h
y)f(xy
///
0
3
//
0
2
/
0011 ++++==
( )( )
( ) 28yy3yy2y
8yyy22y
2y2y2xy
1yxy
//
0
/
0
///
00
IV
0
2/
0
//
00
///
0
/
000
//
0
2
0
2
0
/
0
=+=
=++=
=+=
=+=
Taylor’s and Picard’s methods 60
Dr. V. Ramachandra Murthy
Substituting all these values in Eqn(2), we get
∴ y(0.1)=1.1114
similarly y(-0.1)=0.9087, y(0.2)=1.2529
Thus
Milne’s Predictor formula is given by
Substituting all the values in eqn(3) we get,
Milne’s Corrector formula is given by
First improvement: Put r=0 in eqn(4)
( ) ( ) ( )
1.1114
.......(28)
4!
0.1
(8)
3!
0.1
(2)
2!
0.1
(1)
1!
0.1
1y
432
1
=
+++++=
0.1x0 −=
1y1 =
0x1 = 0.1x2 = 0.2x3 = 0.3x4 =
9087.0y0 = 1114.1y2 = 2529.1y3 = ?y4 =
( ) (3)32f2f12f
3
4h
0yp4,y −−−−−+−+=
( ) ( )2
i
2
iiii yx)y,f(xf +==ix iy
0x1 = 1y1 = ( ) ( ) ( ) ( ) 110yxf
222
1
2
11 =+=+=
0.1x2 = 1114.1y2 = ( ) ( ) 2452.1yxf
2
2
2
22 =+=
0.2x3 = 2529.1y3 = ( ) ( ) 6097.1yxf
2
3
2
33 =+=
{ } 4385.1)6097.1(22452.1)1(2
3
4(0.1)
0.9087y p4, =+−+=
0,
(r)
c4,
y
(r)
4
fp4,y
(0)
4
f
(r)
4
y,4xf
(r)
4
fwhere)4(
(r)
4
f34f2f
3
h
2y
1)(r
c4,
y
≠==





=−−−−−




 +++=
+
rand
Taylor’s and Picard’s methods 61
Dr. V. Ramachandra Murthy
( ) ( ) ( ) ( )
( ) 4395.11592.24(1.6097)1.2452
3
0.1
1.1114
(1)
c4,
y
1592.221.438520.32
p4,y2
4x
(0)
4
f
(0)
4
y,4xf
(0)
4
fWhere,
(0)
4
f34f2f
3
h
2y
(1)
c4,
y
=+++=∴
=+=+=∴





=




 +++=
Second improvement: Put r=1 in eqn(4)
( )
( ) ( )
( )
4396.1
(3)
c4,
ysimilarly
1.43961621.24(1.6097)1.2452
3
0.1
1.1114
(2)
c4,
y
2.162121.439520.3
2
(1)
c4,
y2
4x
(1)
c4,
y,4xf
(1)
4
y,4xf
(1)
4
f
where
(1)
4
f34f2f
3
h
2y
(2)
c4,
y
=
=+++=∴
=+=





+=




=




=





 +++=
Since
(3)
c4,
y&
(2)
c4,
y are the same up to four decimal places
y(0.3)=1.4396
Problem(3):
Using Milne’s method find y(4.4) given that 022y/5xy =−+
y(4)=1, y(4.1)=1.0049, y(4.2)=1.0097, y(4.3)=1.0143 correct to four
decimal places.
Soln: 0.1h,
5x
2y2
y)f(x,:dataGiven =
−
=
Milne’s Predictor formula is given by
( ) (1)32f2f12f
3
4h
0yp4,y −−−−−+−+=
40x =
0049.11y =
4.11x = 4.22x = 4.33x = 4.44x =
10y = 0097.12y = 0143.13y = ?4y =
Taylor’s and Picard’s methods 62
Dr. V. Ramachandra Murthy
Substituting all the values in eqn(1) we get,
{ } 0816.1)0451.0(20466.0)0483.0(2
3
4(0.1)
1p4,y =+−+=
Milne’s Corrector formula is given by





=−−−−−




 +++=
+ (r)
4
y,4xf
(r)
4
fwhere)2(
(r)
4
f34f2f
3
h
2y
1)(r
c4,
y
0,
(r)
c4,
y
(r)
4
fp4,y
(0)
4
f ≠== rand
First improvement: Put r=0 in eqn(2)
( )
i5x
2
iy2
)iy,if(xif
−
==
ix iy
4.11x =
4.22x =
4.33x =
0049.11y =
0097.12y =
0143.13y =
( ) ( ) 0.0483
5(4.1)
21.00492
15x
2
1y2
1f =
−
=
−
=
( ) ( ) 0.0466
5(4.2)
21.00972
25x
2
2y2
2f =
−
=
−
=
( ) ( ) 0.0451
5(4.3)
21.01432
35x
2
3y2
3f =
−
=
−
=
Taylor’s and Picard’s methods 63
Dr. V. Ramachandra Murthy
( ) ( ) ( )
( ) 0187.10.04374(0.0451)0.0466
3
0.1
1.0097
(1)
c4,
y
0437.0
5(4.4)
21.01862
45x
2
p4,y2
p4,y,4xf
(0)
4
y,4xf
(0)
4
f
Where,
(0)
4
f34f2f
3
h
2y
(1)
c4,
y
=+++=∴
=
−
=
−
==




=





 +++=
Second improvement: Put r=1 in eqn(2)
( )
( ) 0187.10437.04(0.0451)0.0466
3
0.1
1.0097
(2)
c4,
y
0437.0
5(4.4)
21.01872
45x
2
(1)
c4,
y2
(1)
c4,
y,4xf
(1)
4
y,4xf
(1)
4
f
where
(1)
4
f34f2f
3
h
2y
(2)
c4,
y
=+++=∴
=
−
=





−
=




=




=





 +++=
Since
(2)
c4,
y&
(1)
c4,
y are the same up to four decimal places
y(4.4)=1.0187
Problem(4):
Given 2y2x1
2
1
dx
dy




 += and y(0)=1, y(0.1)=1.06, y(0.2)=1.12,
y(0.3)=1.21. Evaluate y(0.4) by Milne’s Predictor-Corrector method.
Soln : 0.1h,2y2x1
2
1
y)f(x,:dataGiven =



 +=
Milne’s Predictor formula is given by
00x =
06.11y =
0.11x = 0.22x = 0.33x =
10y = 12.12y = 21.13y = ?4y =
0.44x =
Taylor’s and Picard’s methods 64
Dr. V. Ramachandra Murthy
( ) (1)32f2f12f
3
4h
0yp4,y −−−−−+−+=
Substituting all the values in eqn(1) we get,
{ } 2771.1)7979.0(26522.0)5674.0(2
3
4(0.1)
1p4,y =+−+=
Milne’s Corrector formula is given by
)2(
(r)
4
f34f2f
3
h
2y
1)(r
c4,
y −−−−−




 +++=
+
0,
(r)
c4,
y
(r)
4
fp4,y
(0)
4
f,
(r)
4
y,4xf
(r)
4
fewher ≠==




= rand
First improvement: Put r=0 in eqn(2)
2
i
y2
i
x1
2
1
)iy,if(xif 



 +==
ix iy
0.11x =
0.22x =
0.33x =
06.11y =
12.12y =
21.13y =
5674.02
1
y2
1
x1
2
1
1f =



 +=
6522.02
2
y2
2
x1
2
1
2f =



 +=
7979.02
3
y2
3
x1
2
1
3f =



 +=
Taylor’s and Picard’s methods 65
Dr. V. Ramachandra Murthy
( ) ( )
( ) 2796.10.94594(0.7979)0.6522
3
0.1
1.12
(1)
c4,
y
9459.022771.124.01
2
12
p4,
y2
4
x1
2
1(0)
4
y,4xf
(0)
4
f
Where,
(0)
4
f34f2f
3
h
2y
(1)
c4,
y
=+++=∴
=



 +=



 +=




=





 +++=
Second improvement: Put r=1 in eqn(2)
( ) ( )
( )
1.2797
(3)
c4,
ySimilarly
1.27970.94964(0.7979)0.6522
3
0.1
1.12
(2)
c4,
y
0.949621.279620.41
2
1(1)
c4,
y2
4
x1
2
1(1)
4
y,4xf
(1)
4
f
Where,
(1)
4
f34f2f
3
h
2y
(2)
c4,
y
=
=+++=∴
=



 +=



 +=




=





 +++=
Since
(3)
c4,
y&
(2)
c4,
y are the same up to four decimal places
y(0.4)=1.2797
Problem(5):
Using Milne’s predictor-corrector method solve 2y2y
dx
dy
−=
y(0)=1 for x=0.2 if y(0.05)=1.0499, y(0.1)=1.0996, y(0.15)=1.1488
correct to four decimal places.
Soln: 0.05h,2y2yy)f(x,:dataGiven =−=
Milne’s Predictor formula is given by
( ) (1)32f2f12f
3
4h
0yp4,y −−−−−+−+=
00x =
0499.11y =
0.051x = 0.12x = 0.153x = 0.44x =
10y = 0996.12y = 1488.13y = ?4y =
2
i
y-i2y)iy,if(xif ==ix iy
0.051x = 0499.11y = 9975.02
1
y-12y1f ==
Taylor’s and Picard’s methods 66
Dr. V. Ramachandra Murthy
9960.02
2
y-22y2f ==
Substituting all the values in eqn(1) we get,
{ } 1969.1)9778.0(29960.0)9975.0(2
3
4(0.05)
1p4,y =+−+=
Milne’s Corrector formula is given by
0,
(r)
c4,
y
(r)
4
fp4,y
(0)
4
f,
(r)
4
y,4xf
(r)
4
fwhere
)2(
(r)
4
f34f2f
3
h
2y
1)(r
c4,
y
≠==




=
−−−−−




 +++=
+
rand
First improvement: Put r=0 in eqn(2)
( ) ( ) ( )
( ) 1.19740.96124(0.9778)0.9960
3
0.05
1.0996
(1)
c4,
y
0.961221.19691.196922
p4,yp4,2y
(0)
4
y,4xf
(0)
4
f
Where,
(0)
4
f34f2f
3
h
2y
(1)
c4,
y
=+++=∴
=−=−=




=





 +++=
Second improvement: Put r=1 in eqn(4)
( ) ( )
( )
1.1974
0.96104(0.9778)0.9960
3
0.05
1.0996
(2)
c4,
y
0.961021.19741.19742
2
(1)
c4,
y
(1)
c4,
2y
(1)
4
y,4xf
(1)
4
f
Where,
(1)
4
f34f2f
3
h
2y
(2)
c4,
y
=
+++=∴
=−=




−=




=





 +++=
Since
(2)
c4,
y&
(1)
c4,
y are the same up to four decimal places
y(0.2)=1.1974
0.12x =
0.153x =
0996.12y =
1488.13y = 9778.02
3
y-32y3f ==
Taylor’s and Picard’s methods 67
Dr. V. Ramachandra Murthy
Problem(6):
Solve the initial value problem 1y(0);2xy1
dx
dy
=+=
for x=0.4 by Milne’s predictor and corrector method correct to three
decimal places, given that
Soln: 0.1h,2y1y)f(x,:dataGiven =+= x
Milne’s Predictor formula is given by
( ) (1)32f2f12f
3
4h
0yp4,y −−−−−+−+=
( )( ) 122.12105.11.012
1
y1x11f =+=+=
( )( ) 299.12223.12.012
2
y2x12f =+=+=
( )( ) 1.55021.3550.312
3
y3x13f =+=+=
Substituting all the values in eqn(1) we get,
{ } 526.1)550.1(2299.1)122.1(2
3
4(0.1)
1p4,y =+−+=
x 0.1 0.2 0.3
y 1.105 1.223 1.355
00x =
105.11y =
0.11x = 0.22x = 0.33x = 0.44x =
10y = 223.12y = 355.13y = ?4y =
2
i
yix1)iy,if(xif +==ix iy
0.11x =
0.22x =
0.33x =
105.11y =
223.12y =
355.13y =
Taylor’s and Picard’s methods 68
Dr. V. Ramachandra Murthy
Milne’s Corrector formula is given by
0,
(r)
c4,
y
(r)
4
fp4,y
(0)
4
f,
(r)
4
y,4xf
(r)
4
fwhere
)2(
(r)
4
f34f2f
3
h
2y
1)(r
c4,
y
≠==




=
−−−−−




 +++=
+
rand
First improvement: Put r=0 in eqn(2)
( ) ( )( )
( ) 1.5371.9314(1.550)1.299
3
0.1
1.223
(1)
c4,
y
1.93121.5260.412
p4,y4x1
(0)
4
y,4xf
(0)
4
f
Where,
(0)
4
f34f2f
3
h
2y
(1)
c4,
y
=+++=∴
=+=+=




=





 +++=
Second improvement: Put r=1 in eqn(2)
( )( )
( )
1.537
1.9444(1.550)1.299
3
0.1
1.223
(2)
c4,
y
944.121.5370.41
2
(1)
c4,
y4x1
(1)
4
y,4xf
(1)
4
f
Where,
(1)
4
f34f2f
3
h
2y
(2)
c4,
y
=
+++=∴
=+=




+=




=





 +++=
Since
(2)
c4,
y&
(1)
c4,
y are the same up to four decimal places
y(0.4)=1.537
Problem(7):
Part of a Numerical solution of ( ) ( )y0.1x0.2
dx
dy
+= is shown in the
following table.
x 0.00 0.05 0.10 0.15
y 2.0000 2.0103 2.0211 2.0323
Taylor’s and Picard’s methods 69
Dr. V. Ramachandra Murthy
Use Milne’s Predictor and corrector method to find the next entry in the
table, correct to four decimal places.
Soln: ( ) ( ) 0.05h,y0.1x0.2y)f(x,:dataGiven =+=
Milne’s Predictor formula is given by
( ) (1)32f2f12f
3
4h
0yp4,y −−−−−+−+=
( ) ( ) iy0.1ix2.0)iy,if(xif +==
( ) ( ) 2110.00103.21.005.02.01f =+=
( ) ( ) 2221.00211.21.01.02.02f =+=
( ) ( ) 2332.00323.21.015.02.03f =+=
Substituting all the values in eqn(1) we get,
{ } 0444.2)2332.0(22221.0)2110.0(2
3
4(0.05)
1p4,y =+−+=
Milne’s Corrector formula is given by
0,
(r)
c4,
y
(r)
4
fp4,y
(0)
4
f,
(r)
4
y,4xf
(r)
4
fwhere
)2(
(r)
4
f34f2f
3
h
2y
1)(r
c4,
y
≠==




=
−−−−−




 +++=
+
rand
First improvement: Put r=0 in eqn(2)
00x =
0103.21y =
0.051x = 0.12x = 0.153x = 0.24x =
20y = 0211.22y = 0323.23y = ?4y =
ix iy
0.11x =
0.22x =
0.33x =
105.11y =
223.12y =
355.13y =
Taylor’s and Picard’s methods 70
Dr. V. Ramachandra Murthy
( )
( )
( ) 0444.20.24444(0.2332)0.2221
3
0.05
2.0211
(1)
c4,
y
0.24444(0.1)2.0440.22.0
p4,(0.1)y4x2.0
(0)
4
y,4xf
(0)
4
f
Where,
(0)
4
f34f2f
3
h
2y
(1)
c4,
y
=+++=∴
=+=
+=




=





 +++=
Since
(1)
c4,
y&p4,y are the same up to four decimal places
y(0.2)=2.0444
Problem(8):
Determine the value of y(0.4) using Milne’s predictor and corrector
method correct to four decimal places. Given that
1y(0);2yxy/y =+= Use Taylor’s series method to get the values of
y(0.1),y(0.2) and y(0.3).
{Ans: y(0.1)=1.1167, y(0.2)=1.2767, y(0.3)=1.5023
1.8376}y(0.4)
(4)
c4,
y1.8376(3)
c4,
y1.8375,(2)
c4,
y1.8369,(1)
c4,
y1.8397,p4,y
=∴
=====
Problem(9):
By using the Milne’s predictor-corrector method find an approximate
solution of the equation 0x,
x
2y/y ≠= at the point x=2 given that y(1)=2,
y(1.25)=3.13, y(1.5)=4.5 , y(1.75)=6.13.
{Ans:
8.00}y(2)
8.00(2)
c4,
y8.00,(1)
c4,
y8.01,p4,y
=∴
===
Taylor’s and Picard’s methods 71
Dr. V. Ramachandra Murthy
Adam-Bashforth Predictor-Corrector Method
Consider the differential equation 0y)0y(x;y)f(x,
dx
dy
==
Adam-Bashforth Predictor-Corrector formula is given by
( )
( ) ( ) ( )
0rfor
(r)
c4,y
(r)
4y&p4,y
(0)
4ywhere
(0)
4y,4xf
(0)
4f:Note
(r)
4
y,4xf(r)
4
f,3y,3xf3f,2y,2xf2f,1y,1xf1fwhere
formulaCorrector1f25f319f
(r)
4
9f
24
h
3y
1)(r
c4,
y
formulaPredictor09f137f259f355f
24
h
3yp4,y
≠==




=





====
→




 +−++=
+
→−+−+=
Problem(1):
Solve for y(2) given that ;
2
yx
dx
dy +
= y(0)=2, y(0.5)=2.636, y(1.0)=3.595,
y(1.5)=4.968 by Adam-Bashforth Predictor Corrector method correct to
four decimal places.
Soln: 0.5h,
2
yx
y)f(x,:dataGiven =
+
=
00x = 0.51x = 1.02x = 1.53x = 2.04x =
636.21y = 595.32y = 968.43y = ?4y =
Adam’s Predictor formula is given by
( ) -(1)-------09f137f259f355f
24
h
3yp4,y −+−+=
20y =
Taylor’s and Picard’s methods 72
Dr. V. Ramachandra Murthy
ix iy 2
iyix
)iy,if(xif
+
==
00x = 20y =
1
2
20
2
0y0x
)0y,0f(x0f =
+
=
+
==
0.51x = 636.21y =
568.1
2
636.25.0
2
1y1x
)1y,1f(x1f
=
+
=
+
==
12x = 595.32y = 2975.2
2
595.30.1
2
2y2x
)2y,2f(x2f
=
+
=
+
==
1.53x = 968.43y = 234.3
2
968.45.1
2
3y3x
)3y,3f(x3f
=
+
=
+
==
( ) ( ) ( ) ( )( )
8707.6
191.568372.2975593.23455
24
0.5
4.968p4,y
becomesEqn(1)
=
−+−+=
∴
Adam-Bashforth Corrector formula is given by
(2)1f25f319f
(r)
4
9f
24
h
3y
1)(r
c4,
y −−−−−−−




 +−++=
+
0rfor
(r)
c4,
y
(r)
4
y&p4,y
(0)
4
ywhere
(0)
4
y,4xf
(0)
4
f ≠==




=
First improvement: Put r=0 in eqn(2)
Taylor’s and Picard’s methods 73
Dr. V. Ramachandra Murthy
( )
( ) ( ) ( )( )
6.8730
1.5682.297553.234194.43539
24
0.5
4.968
(1)
c4,
y
4.4353
2
6.87072
2
p4,y4x
p4,y,4xf
(0)
4
y,4xf
(0)
4
fwhere
1f25f319f
(0)
4
9f
24
h
3y
(1)
c4,
y
=
+−++=∴
=
+
=
+
==




=





 +−++=
Second improvement: Put r=1 in eqn(2)
( ) ( ) ( )( )
6.8733
1.5682.297553.234194.43659
24
0.5
4.968
(2)
c4,
y
4.4365
2
6.87302
2
(1)
c4,
y4x
(1)
c4,
y,4xf
(1)
4
y,4xf
(1)
4
fwhere
1f25f319f
(1)
4
9f
24
h
3y
(2)
c4,
y
=
+−++=∴
=
+
=
+
=




=




=





 +−++=
Third improvement: Put r=2 in eqn(2)
( ) ( ) ( )( )
6.8733
1.5682.297553.234194.43669
24
0.5
4.968
(3)
c4,
y
4.4366
2
6.87332
2
(2)
c4,
y4x
(2)
c4,
y,4xf
(2)
4
y,4xf
(2)
4
f
1f25f319f
(2)
4
9f
24
h
3y
(3)
c4,
y
=
+−++=∴
=
+
=
+
=




=




=





 +−++=
Since
(3)
c4,
y&
(2)
c4,
y are the same up to four decimal places
y(2)=6.8733
Taylor’s and Picard’s methods 74
Dr. V. Ramachandra Murthy
Problem(2):
Obtain the solution of the initial value problem 2xy2x
dx
dy
=− , y(1)=1 at
x=1(0.1)1.3 by Taylor’s series method and at x=1.4 by Adam’s-Bashforth
method correct to four decimal places.
Soln: 0.1h1,0y1,0xy),(12xy2x2xy)f(x,Given ===+=+=
By Taylor’s series method, we have
.....///
ny
3!
3h//
ny
2!
2h/
ny
1!
h
ny)1nf(x1ny ++++=+=+ _____(1)
/y2xy)2x(1//y
y)(12x/yGiven
++=∴
+=
///y2x//6xy/6yIVySimilarly,
//y2xy)2(1/4xy///y
++=
+++=
Put n=0 in eqn(1) .....///
0y
3!
3h//
0y
2!
2h/
0y
1!
h
0y)1f(x1y ++++== ------
(2)
661x186x1x66x2///
0
y2
0
x//
0
y06x/
0
6yIV
0
y
181x61)2(14x1x2//
0
y2
0
x)0y2(1/
0
y04x///
0
y
61x21)2(1)(1/
0
y2
0
x)0y(102x//
0
y
21)1(1)0y(12
0
x/
0
y
=++=++=
=+++=+++=
=++=++=
=+=+=
Substituting all these values in Eqn(2), we get
( ) ( ) ( )
1.2332
.......(66)
24
40.1
(18)
3!
30.1
(6)
2!
20.1
(2)
1!
0.1
11y
=
+++++=
Put n=1 in eqn(1) .....///
1y
3!
3h//
1y
2!
2h/
1y
1!
h
1y2y ++++= ----------(3)
Taylor’s and Picard’s methods 75
Dr. V. Ramachandra Murthy
( )
( )
99.5907///
1
y2
1
x//
1
y16x/
1
6yIV
1
y
25.8968//
1
y2
1
x)1y2(1/
1
y14x///
1
y
7.8853
2.702121.11.2332)2(1.1)(1/
1
y2
1
x)1y(112x//
1
y
2.70211.2332)(121.1)1y(12
1
x/
1
y
=++=
=+++=
=
++=++=
=+=+=
Substituting all these values in Eqn(3), we get
( ) ( )
( )
1.5475
.......(99.5907)
4!
40.1
(25.8968)
3!
30.1
(7.8853)
2!
20.1
(2.7021)
1!
0.1
1.23322y
=
++
+++=
similarly 9785.13y =
Thus
5475.12y = 9785.13y =
Adam Predictor formula is given by
( )09f137f259f355f
24
h
3yp4,y −+−+= ---------(4)
( ) ( )iy12
ix)iy,if(xif +==
( ) ( ) ( ) ( ) 211210y12
0x0f =+=+=
( ) ( ) ( ) ( )
7021.2
1.2332121.11y12
1x1f
=
+=+=
( ) ( ) ( ) ( )
6684.3
1.5475121.22y12
2x2f
=
+=+=
( ) ( ) ( ) ( )
0336.5
1.9785121.33y12
3x3f
=
+=+=
10x =
2332.11y =
1.11x = 1.22x = 1.33x = 1.44x =
10y = ?4y =
ix iy
10x = 10y =
1.11x = 2332.11y =
1.22x = 5475.12y =
1.33x = 9785.13y =
Taylor’s and Picard’s methods 76
Dr. V. Ramachandra Murthy
( ) ( ) ( ) ( )( )
8707.6
191.568372.2975593.23455
24
0.5
4.968p4,y
becomesEqn(4)
=
−+−+=
∴
Adam-Bashforth Corrector formula is given by





 +−++=
+
1f25f319f
(r)
4
9f
24
h
3y
1)(r
c4,
y ---------(5)
0rfor
(r)
c4,
y
(r)
4
y&p4,y
(0)
4
ywhere
(0)
4
y,4xf
(0)
4
f ≠==




=
First improvement: Put r=0 in eqn(5)
( ) ( ) ( ) ( ) ( )
7.0005
2.5717121.4p4,y12
4xp4,y,4xf0
4
y,4xf
(0)
4
f
where1f25f319f
(0)
4
9f
24
h
3y
(1)
c4,
y
=
+=+==



=





 +−++=
( ) ( ) ( )( )
2.5743
2.70213.668455.0336197.00059
24
0.1
1.9785
(1)
c4,
y
=
+−++=∴
Second improvement: Put r=1 in eqn(5)
( ) ( ) ( )
2.5745
(3)
c4,
ySimilarly2.5745
(2)
c4,
y
7.0056
2.5743121.4
(1)
c4,
y12
4x
(1)
c4,
y,4xf
(1)
4
y,4xf
(1)
4
f
where1f25f319f
(1)
4
9f
24
h
3y
(2)
c4,
y
==∴
=
+=




 +=




=




=





 +−++=
Since
(3)
c4,
y&
(2)
c4,
y are the same up to four decimal places
y(1.4)=2.5745
Taylor’s and Picard’s methods 77
Dr. V. Ramachandra Murthy
Problem(3):
Solve for y(0.4) given that ;2yx
dx
dy
−= y(0)=1, y(0.1)=0.9117,
y(0.2)=0.8494, y(0.3)=0.8061 by Adam-Bashforth Predictor Corrector
method correct to four decimal places.
Soln 0.1h,2yxy)f(x,:dataGiven: =−=
Adam Predictor formula is given by
( )09f137f259f355f
24
h
3yp4,y −+−+= --------(1)
( )2
iy-ix)iy,if(xif ==
( ) ( ) 121-02
0y-0x0f −===
( ) ( )
7311.0
20.9117-0.12
1y-1x1f
−=
==
( ) ( )
0.5214
20.8494-0.22
2y-2x2f
−=
==
( ) ( )
0.3497
20.8061-0.32
3y-3x3f
−=
==
( ) ( ) ( ) ( )( )
7789.0
1-90.7311-370.5214-590.3497-55
24
0.1
0.8061p4,y
becomesEqn(1)
=
−+−+=
∴
Adam-Bashforth Corrector formula is given by
00x =
10y = 9117.01y =
0.11x = 0.22x =
8494.02y =
0.33x =
8061.03y =
0.44x =
?4y =
0.33x = 8061.03y =
0.22x = 8494.02y =
0.11x = 9117.01y =
00x = 10y =
ix iy
Taylor’s and Picard’s methods 78
Dr. V. Ramachandra Murthy





 +−++=
+
1f25f319f
(r)
4
9f
24
h
3y
1)(r
c4,
y ---------(2)
0rfor
(r)
c4,
y
(r)
4
y&p4,y
(0)
4
ywhere
(0)
4
y,4xf
(0)
4
f ≠==




=
First improvement: Put r=0 in eqn(2)
( ) ( ) ( )
( ) ( ) ( )
0.7784
0.7311
0.5214-50.3497-190.2066-9
24
0.1
0.8061
(1)
c4,
y
0.206620.77890.42
p4,y4xp4,y,4xf
(0)
4
y,4xf
(0)
4
f
where1f25f319f
(0)
4
9f
24
h
3y
(1)
c4,
y
=






−
−+
+=∴
−=−=−==




=





 +−++=
Second improvement: Put r=1 in eqn(2)
( )
( ) ( ) ( )( )
0.7785
(3)
c4,
ySimilarly
0.7785
0.73110.5214-50.3497-190.2059-9
24
0.1
0.8061
(2)
c4,
y
0.205920.77840.4
2
(1)
c4,
y4x
(1)
c4,
y,4xf
(1)
4
f
where1f25f319f
(1)
4
9f
24
h
3y
(2)
c4,
y
=
=
−−++=∴
−=−=




−=




=





 +−++=
Since
(3)
c4,
y&
(2)
c4,
y are the same up to four decimal places
y(0.4)=0.7785
Problem(4):
Solve ;
2
xy
dx
dy
= for x=0.4 using Adam-Bashforth Predictor Corrector
method correct to four decimal places. Given that y(0)=1, y(0.1)=1.01,
y(0.2)=1.022, y(0.3)=0.1023.
Taylor’s and Picard’s methods 79
Dr. V. Ramachandra Murthy
Soln: 0.1h,
2
xy
y)f(x,:dataGiven ==
Adam Predictor formula is given by
( )09f137f259f355f
24
h
3yp4,y −+−+= --------(1)
ix iy
2
iyix
)iy,if(xif ==
00x = 10y =
0
2
0(1)
2
0y0x
0f ===
0.11x = 01.11y =
0505.0
2
0.1(1.01)
2
1y1x
1f ===
0.22x = 022.12y =
1022.0
2
0.2(1.022)
2
2y2x
2f ===
0.33x = 023.13y =
1534.0
2
0.3(1.023)
2
3y3x
3f ===
( ) ( ) ( ) ( )( )
0408.1
090.0505370.1022590.153455
24
0.1
1.023p4,y
becomesEqn(1)
=
−+−+=
∴
Adam-Bashforth Corrector formula is given by





 +−++=
+
1f25f319f
(r)
4
9f
24
h
3y
1)(r
c4,
y ---------(2)
0rfor
(r)
c4,
y
(r)
4
y&p4,y
(0)
4
ywhere
(0)
4
y,4xf
(0)
4
f ≠==




=
00x =
10y = 01.11y =
0.11x = 0.22x =
022.12y =
0.33x = 0.44x =
023.13y = ?4y =
Taylor’s and Picard’s methods 80
Dr. V. Ramachandra Murthy
First improvement: Put r=0 in eqn(2)
( )
( ) ( ) ( )
1.0410
0505.0
0.102250.1534190.20819
24
0.1
023.1
(1)
c4,
y
2081.0
2
)0.4(1.0408
2
p4,y4x
p4,y,4xf0
4
y,4xf
(0)
4
f
where1f25f319f
(0)
4
9f
24
h
3y
(1)
c4,
y
=






+
−+
+=∴
====



=





 +−++=
Second improvement: Put r=1 in eqn(2)
( ) ( ) ( )
1.0410
0505.0
0.102250.1534190.20829
24
0.1
023.1
(2)
c4,
y
2082.0
2
)0.4(1.0410
2
(1)
c4,
y4x
(1)
c4,
y,4xf
(1)
4
f
where1f25f319f
(1)
4
9f
24
h
3y
(2)
c4,
y
=






+
−+
+=∴
===




=





 +−++=
Since
(2)
c4,
y&
(1)
c4,
y are the same up to four decimal places
y(0.4)=1.0410
Problem(5):
Solve ;
yx
1
dx
dy
+
= for x=0.8 using Adam-Bashforth Predictor Corrector
method correct to four decimal places. Given that y(0)=2, y(0.2)=2.0932,
y(0.4)=2.1754, y(0.6)=2.2492.
Soln:
0.2h,
yx
1
y)f(x,:dataGiven =
+
=
2492.23y =
Adam- Predictor formula is given by
( )09f137f259f355f
24
h
3yp4,y −+−+= --------(1)
00x =
0932.21y =
0.21x = 0.42x =
20y = 1754.22y =
0.33x = 0.44x =
?4y =
Taylor’s and Picard’s methods 81
Dr. V. Ramachandra Murthy
ix iy iyix
1
)iy,if(xif
+
==
00x = 20y =
5.0
20
1
0y0x
1
0f =
+
=
+
=
0.21x = 0932.21y =
4360.0
0932.22.0
1
1y1x
1
1f =
+
=
+
=
0.42x = 1754.22y =
3882.0
1754.24.0
1
2y2x
1
2f =
+
=
+
=
0.63x =
2492.23y = 3509.0
2492.26.0
1
3y3x
1
3f =
+
=
+
=
( ) ( ) ( ) ( )( )
2.3160
0.590.4360370.3882590.350955
24
0.2
2.2492p4,y
becomesEqn(1)
=
−+−+=
∴
Adam-Bashforth Corrector formula is given by





 +−++=
+
1f25f319f
(r)
4
9f
24
h
3y
1)(r
c4,
y ---------(2)
0rfor
(r)
c4,
y
(r)
4
y&p4,y
(0)
4
ywhere
(0)
4
y,4xf
(0)
4
f ≠==




=
First improvement: Put r=0 in eqn(2)
( )
( ) ( ) ( )( )
2.3162
0.43600.388250.3509190.32099
24
0.2
2.2492
(1)
c4,
y
0.3209
2.31600.8
1
p4,y4x
1
p4,y,4xf0
4
y,4xf
(0)
4
f
where1f25f319f
(0)
4
9f
24
h
3y
(1)
c4,
y
=
+−++=∴
=
+
=
+
==



=





 +−++=
Taylor’s and Picard’s methods 82
Dr. V. Ramachandra Murthy
Second improvement: Put r=1 in eqn(2)
( ) ( ) ( )( )
2.3162
0.43600.388250.3509190.32099
24
0.2
2.2492
(2)
c4,
y
0.3209
2.31620.8
1
(1)
c4,
y4x
1(1)
c4,
y,4xf
(1)
4
f
where1f25f319f
(1)
4
9f
24
h
3y
(2)
c4,
y
=
+−++=∴
=
+
=
+
=




=





 +−++=
Since
(2)
c4,
y&
(1)
c4,
y are the same up to four decimal places
y(0.8)=2.3162
Problem(6):
Using Adam-Bashforth Predictor Corrector method evaluate y(1.4) if y
satisfies
2x
1
x
y
dx
dy
=+ and y(1)=1, y(1.1)=0.996, y(1.2)=0.986,
y(1.3)=0.972 correct to three decimal places.
Soln: 0.1h,
2x
xy1
x
y
2x
1y)f(x,:dataGiven =
−
=−=
Adam-Bashforth Predictor formula is given by
( )09f137f259f355f
24
h
3yp4,y −+−+= --------(1)
10x =
996.01y =
1.11x = 1.22x =
10y = 986.02y =
1.33x = 1.44x =
972.03y = ?4y =
Taylor’s and Picard’s methods 83
Dr. V. Ramachandra Murthy
ix iy ( )2
ix
iyix-1
)iy,if(xif ==
00x = 10y = ( ) ( )
0
21
1x1-1
2
0x
0y0x-1
0f ===
.111x = 996.01y = ( ) ( )
0.079
21.1
1.1x0.996-1
2
1x
1y1x-1
1f
−=
==
1.22x = 986.02y = ( ) ( )
0.127
21.2
1.2x0.986-1
2
2x
2y2x-1
2f
−=
==
1.33x = 972.03y = ( ) ( )
155.0
21.3
1.3x0.972-1
2
3x
3y3x-1
3f
−=
==
( ) ( ) ( ) ( )( )
955.0
090.079-370.127-590.155-55
24
0.1
0.972p4,y
becomesEqn(1)
=
−+−+=
∴
Adam’s-Bashforth Corrector formula is given by





 +−++=
+
1f25f319f
(r)
4
9f
24
h
3y
1)(r
c4,
y --------(2)
0rfor
(r)
c4,
y
(r)
4
y&p4,y
(0)
4
ywhere
(0)
4
y,4xf
(0)
4
f ≠==




=
First improvement: Put r=0 in eqn(2)
( )
( ) ( )
( ) ( ) ( )( ) 955.00.0790.171-50.155-190.171-9
24
0.1
0.972
(1)
c4,
y
-0.171
21.4
)1.4)(0.955-1
2
4x
p4,y4x-1
p4,y,4xf)
(0)
4
y,4(
(0)
4
f
where1f25f319f
(0)
4
9f
24
h
3y
(1)
c4,
y
=−−++=∴
=====





 +−++=
xf
Since
(1)
c4,
y&p4,y are the same up to four decimal places
y(1.4)=0.955
Taylor’s and Picard’s methods 84
Dr. V. Ramachandra Murthy
Problem(7):
Using Adam-Bashforth Predictor Corrector method obtain the solution of
y2x
dx
dy
−= at x=0.4 correct to four places of decimals given that
x: 0 0.1 0.2 0.3
y: 1 0.9051 0.8212 0.7491
Soln: 0.1hy,-2xy)f(x,:dataGiven ==
Adam-Bashforth Predictor formula is given by
( )09f137f259f355f
24
h
3yp4,y −+−+= --------(1)
ix iy
( ) iy-2
ix)iy,if(xif ==
00x = 10y =
( ) ( ) 11-200y-2
0x0f −===
.101x = 9051.01y =
( ) ( ) 8951.09051.0-20.11y-2
1x1f −===
0.22x = 8212.02y =
( ) ( ) 7812.08212.0-20.22y-2
2x2f −===
0.33x = 7491.03y =
( ) ( ) 6591.07491.0-20.33y-2
3x3f −===
00x =
9051.01y =
0.11x = 0.22x =
10y = 8212.02y =
0.33x = 0.44x =
7491.03y = ?4y =
Taylor’s and Picard’s methods 85
Dr. V. Ramachandra Murthy
( ) ( ) ( ) ( )( )
6896.0
1-90.8951-370.7812-590.6591-55
24
0.1
0.7491p4,y
becomesEqn(1)
=
−+−+=
∴
Adam-Bashforth Corrector formula is given by





 +−++=
+
1f25f319f
(r)
4
9f
24
h
3y
1)(r
c4,
y --------(2)
0rfor
(r)
c4,
y
(r)
4
y&p4,y
(0)
4
ywhere
(0)
4
y,4xf
(0)
4
f ≠==




=
First improvement: Put r=0 in eqn(2)
( ) ( ) ( )
( ) ( ) ( )( )
.68960
0.89510.7812-50.6591-190.5296-9
24
0.1
0.7491(1)
c4,
y
-0.52960.6896-20.4p4,y-2
4xp4,y,4xf
(0)
4f
where1f25f319f
(0)
4
9f
24
h
3y
(1)
c4,
y
=
−−++=∴
====





 +−++=
Since
(1)
c4,
y&p4,y are the same up to four decimal places
y(0.4)=0.6896
Problem(8):
Using Adam-Bashforth Predictor Corrector method obtain the solution of
yx2e
dx
dy
−= for x=0.4 under the conditions y(0)=2, y(0.1)=2.010,
y(0.2)=2.040 and y(0.3)=2.090 correct to four decimal places.
Soln: 0.1h-y,x2ey)f(x,:dataGiven ==
Adam’s Predictor formula is given by
( )09f137f259f355f
24
h
3yp4,y −+−+= --------(1)
00x =
010.21y =
0.11x = 0.22x =
20y = 040.22y =
0.33x = 0.44x =
090.23y = ?4y =
Taylor’s and Picard’s methods 86
Dr. V. Ramachandra Murthy
ix iy
iyx2e)iy,if(xif i
−==
00x = 20y =
0202e0yx2e0f 0i
=−=−=
.101x = 010.21y =
0.20032.0100.12e1yx2e1f i
=−=−=
0.22x = 040.22y =
0.40282.0400.22e2yx2e2f 2
=−=−=
0.33x = 090.23y =
0.60972.0900.32e3yx2e3f 3
=−=−=
( ) ( ) ( ) ( )( )
2.1615
090.2003370.4028590.609755
24
0.1
2.090p4,y
becomesEqn(1)
=
−+−+=
∴
Adam-Bashforth Corrector formula is given by





 +−++=
+
1f25f319f
(r)
4
9f
24
h
3y
1)(r
c4,
y --------(2)
0rfor
(r)
c4,
y
(r)
4
y&p4,y
(0)
4
ywhere
(0)
4
y,4xf
(0)
4
f ≠==




=
First improvement: Put r=0 in eqn(2)
( )
( ) ( ) ( )( )
2.1615
0.20030.402850.6097190.82219
24
0.1
2.090(1)
c4,
y
2.16150.42ep4,yx2ep4,y,4xf)
(0)
4y,4(
(0)
4f
where1f25f319f
(0)
4
9f
24
h
3y
(1)
c4,
y
4
=
+−++=∴
−=−===





 +−++=
xf
Since
(1)
c4,
y&p4,y are the same up to four decimal places
y(0.4)=2.1615
Taylor’s and Picard’s methods 87
Dr. V. Ramachandra Murthy
Problem(8):
Using Adam-Bashforth Predictor Corrector method obtain the solution of
2yx
dx
dy
−= at x=0.8 correct to four places of decimals given that
x: 0 0.2 0.4 0.6
y: 0 0.0200 0.0795 0.1762
{Ans: y(0.8)=0.2416}

Unit1 vrs

  • 1.
    Taylor’s and Picard’smethods 2 Dr. V. Ramachandra Murthy Numerical Methods Unit-I: Numerical Methods-I Numerical solution of ordinary differential equations of first order and first degree: Picard’s method, Taylor’s series method, Modified Euler’s method, Runge-Kutta method of fourth order. Milne’s and Adams-Bashforth predictor and corrector methods [ No derivation of formulae] Unit-II: Numerical Methods-II Numerical solution of simultaneous first order differential equations: Picard’s method, Runge-Kutta method of fourth order. Numerical solution of second order ordinary differential equations: Picard’s method, Runge-kutta method and Milne’s method. Numerical Solution of Ordinary Differential Equations(ODE) The most general form of an ODE of nth order is given by -------- (1) A general solution of Eqn (1) is of the form ------- (2) If particular values are given to the constants then the resulting solution is called a particular solution. To obtain a particular solution from the general solution (2), we must be given n conditions so that the constants can be determined. If all the n conditions are specified at the same value of x then the problem is termed as initial value problem. If the conditions are specified at more than one value of x, then the problem is termed as boundary value problem. 0 dx yd ....,,......... dx yd , dx yd , dx dy y,x,φ n n 3 3 2 2 =      ( ) 0c....,,.........c,c,cy,x,ψ n321 =
  • 2.
    Taylor’s and Picard’smethods 3 Dr. V. Ramachandra Murthy Though there are many analytical methods for finding the solution of the equation of the form (1), there exist large number of ODE’s whose solution cannot be obtained by the known analytical methods. In such cases, we use numerical methods to get an approximate solution of a given differential equation under the prescribed conditions. Numerical solution of a Differential Equation Consider the first order differential equation Let be the solution values at the points We wish to find the approximate values to these solution values. Let the initial condition be . Let the exact solution y(x) of the given differential equation be represented by a continuous curve. Divide the interval on which the solution is derived into a finite number of equispaced subintervals. 0x 1x 2x 1-mx mx For each , the approximate values of the dependent variable y(x) are calculated using a suitable recursive formula. These values are and these are shown by points. Computation of these approximate values is known as Numerical solution of the Differential equation. Numerical solution of ODE’s of first order and first degree Single step Methods: • Taylor’s series method y)f(x, dx dy = )x........y(),y(x),y(x m10 mx,...,1x,0x m10 y........,,y,y 00 y)y(x = [ ]mx,0x Approximate solution Exact solution ix m10 y......,,y,y 00 y)y(x,y)f(x, dx dy ==
  • 3.
    Taylor’s and Picard’smethods 4 Dr. V. Ramachandra Murthy • Picard’s method • Modified Euler’s method • Runge-Kutta method of fourth order Taylor’s Series method Let y = f(x) be a solution of the equation Expanding it by Taylor’s series about we get This may be written as Putting , we get Similarly In general, Where Problem (1): Solve numerically up to x=1.2 with h=0.1 by Taylor’s x0 =1 x1 =1.1 x2 =1.2 00 y)y(x,y)f(x, dx dy == 0xx = ( ) ( ) ( ) .....)(xf 3! xx )(xf 2! xx )(xf 1! xx )f(xf(x) 0 /// 3 0 0 // 2 0 0 /0 0 + − + − + − += ( ) ( ) ( ) .....y 3! xx y 2! xx y 1! xx yy(x) /// 0 3 0// 0 2 0/ 0 0 0 + − + − + − += hxxx 01 +== .....y 3! h y 2! h y 1! h y)f(xy /// 0 3 // 0 2 / 0011 ++++== .....y 3! h y 2! h y 1! h y)f(xy /// 1 3 // 1 2 / 1122 ++++== .....y 3! h y 2! h y 1! h y)f(xy /// n 3 // n 2 / nn1n1n ++++== ++ ),........(xfy),(xfy),f(xy n //// nn // nnn === 0y(1)y,x dx dy =+=
  • 4.
    Taylor’s and Picard’smethods 5 Dr. V. Ramachandra Murthy series method correct to four decimal places. Soln: Given data: , h=0.1 From the Taylor’s series, we have ---------- (1) Where n=0, 1, 2,……. Put n=0 in Eqn (1) ----------- (2) Substituting all these values in Eqn(2) we get ∴ y0 =0 y1 =? y2 =? yxy/ += .....y 3! h y 2! h y 1! h y)f(xy /// n 3 // n 2 / nn1n1n ++++== ++ yxy/ += /// y1y += ///// y1y += .....y 3! h y 2! h y 1! h y)f(xy /// 0 3 // 0 2 / 0011 ++++== 101yxy 00 / 0 =+=+= 211y1y / 0 // 0 =+=+= 2yy // 0 /// 0 == ( ) ( ) .....(2) 3! 0.1 (2) 2! 0.1 (1) 1! 0.1 0f(1.1)y 32 1 ++++== 0.1103y(1.1)y1 ==
  • 5.
    Taylor’s and Picard’smethods 6 Dr. V. Ramachandra Murthy Put n=1 in Eqn(1) ---------(3) Substituting all these values in Eqn(3) we get ∴ _________________________________________________________ Problem (2): Apply Taylor’s series method to find the value of y(1.1) and y(1.2) correct to 4 decimal places given that ; y(1)=1 taking the first four terms of the Taylor’s series expansion. Soln: Given data: , h=0.1 From the Taylor’s series, we have ------------(1) x0 =1 x1 =1.1 x2 =1.2 y0 =1 y1 =? y2 =? .....y 3! h y 2! h y 1! h y)f(xy /// 1 3 // 1 2 / 1122 ++++== 1.21030.11031.1yxy 11 / 1 =+=+= 2.21031.21031y1y / 1 // 1 =+=+= 2.2103yy // 1 /// 1 == ( ) ( ) ...(2.2103) 3! 0.1 (2.2103) 2! 0.1 (1.2103) 1! 0.1 0.1103y 32 2 ++++= 0.2427y(1.2)y2 == 3 1 / xyy = ...../// ny 3! 3h// ny 2! 2h/ ny 1! h ny)1nf(x1ny ++++=+=+ 3 1 xy dx dy = 3 1 / xyy = /3 2 3 1 // .y.y 3 1 x.yy − += ( )             − ++= −− − 2/3 5 //3 2 /3 2 /// yy 3 2 yy 3 x yy 3 2 y
  • 6.
    Taylor’s and Picard’smethods 7 Dr. V. Ramachandra Murthy Put n=0 in Eqn (1) ----------- (2) Substituting all these values in Eqn(2) we get ∴ Put n=1 in Eqn(1) ---------(3) Substituting all these values in Eqn(3) we get ∴ .....y 3! h y 2! h y 1! h y)f(xy /// 0 3 // 0 2 / 0011 ++++== .....y 3! h y 2! h y 1! h y)f(xy /// 1 3 // 1 2 / 1122 ++++== ( )( ) 111yxy 3 1 3 1 00 / 0 === 1.3333(1) 3 1 (1)(1).y.y 3 1 .xyy 3 2 3 1 / 0 3 2 00 3 1 0 // 0 =      +=+= − − ( ) 8888.0yy 3 2 yy 3 x yy 3 2 y 2/ 0 3 5 0 // 0 3 2 0 0/ 0 3 2 0 /// 0 =    −+= −−− ( ) ( ) .....(0.8888) 3! 0.1 (1.3333) 2! 0.1 (1) 1! 0.1 1y 32 1 ++++= 1.1068y(1.1)y1 == ( ) ( ) ( ) 4242.11.13781.1068(1.1) 3 1 1.1068.y.yx 3 1 yy 3 2- 3 1/ 1 3 2- 11 3 1 1 // 1 =+=+= ( ) 1.13781.1068(1.1)yxy 3 1 3 1 11 / 1 === ( ) 8438.0yy 3 2 yy 3 x yy 3 2 y 2/ 1 3 5 1 // 1 3 2 1 1/ 1 3 2 1 /// 1 =    −+= −−− ( ) ( ) (0.8438) 3! 0.1 (1.4242) 2! 0.1 (1.1378) 1! 0.1 1.1068y 32 2 +++= 1.2278y(1.2)y2 ==
  • 7.
    Taylor’s and Picard’smethods 8 Dr. V. Ramachandra Murthy Problem (3): Use Taylor’s series method to approximate y when x=0.1 correct to 4 decimal places given that and y=1 when x=0 by taking the first five terms of the Taylor’s series expansion. Soln: Given data: , h=0.1 From the Taylor’s series, we have ----------(1) Where n=0, 1, 2,……. Put n=0 in Eqn(1) -----------(2) 12102 0030 =+=+=′ yxy Substituting all these values in Eqn(2) we get y(0.1)=1.1272 x0 =0 x1 =0.1 y0 =1 y1 =? 2/ yx3y += .....y 3! h y 2! h y 1! h y)f(xy /// n 3 // n 2 / nn1n1n ++++== ++ 2/ yx3y += //// 2yy3y += .....y 3! h y 2! h y 1! h y)f(xy /// 0 3 // 0 2 / 0011 ++++== 2 y3x dx dy += ( )( )2////// yyy2y += ( ) ( )///////////////IV y3yyy2y2yyyyy2y +=++= 5(2)(1)(1)3y2y3y / 00 // 0 =+=+= ( )( ) ( )( ) 121(1)(5)2yyy2y 22/ 0 // 00 /// 0 =+=+= ( ) ( ) 54(3)(1)(5)(1)(12)2y3yyy2y // 0 / 0 /// 00 IV 0 =+=+= ( ) ( ) ( ) 1.1272(54) 4! 0.1 (12) 3! 0.1 (5) 2! 0.1 (1) 1! 0.1 1y 432 1 =++++=
  • 8.
    Taylor’s and Picard’smethods 9 Dr. V. Ramachandra Murthy Problem (4): Given with the initial condition y=1 when x=0. Compute y(0.2) correct to 4 decimal places by using Taylor’s series method. Soln: Given data: , h=0.2 From the Taylor’s series, we have ------------(1) Put n=0 in Eqn(1) -----------(2) Substituting all these values in Eqn(2) we get ∴ x0 =0 x1 =0.2 y0 =1 y1 =? xy1y/ += .....y 3! h y 2! h y 1! h y)f(xy /// n 3 // n 2 / nn1n1n ++++== ++ .....y 3! h y 2! h y 1! h y)f(xy /// 0 3 // 0 2 / 0011 ++++== xy1 dx dy += xy1y/ += yxyy /// += ////////// 2yxyyyxyy +=++= ////////////IV 3yxy2yyxyy +=++= 11(0)(1)yyxy 0 / 00 // 0 =+=+= 2(2)(1)(0)(1)2yyxy / 0 // 00 /// 0 =+=+= 1(0)(1)10y0x1 / 0y =+=+= 3(3)(1)(0)(2)3yyxy // 0 /// 00 IV 0 =+=+= ( ) ( ) ( ) ........(3) 4! 40.2 (2) 3! 30.2 (1) 2! 20.2 (1) 1! 0.2 11y +++++= 1.2228y(0.2)y1 ==
  • 9.
    Taylor’s and Picard’smethods 10 Dr. V. Ramachandra Murthy Problem (5): Use Taylor’s series method to find the value of y at x=0.1 and x=0.2 correct to 5 decimal places from , y(0)=1. Soln: Given data: , h=0.1 From the Taylor’s series, we have ----------(1) Where n=0, 1, 2,……. Put n=0 in Eqn(1) -----------(2) Substituting all these values in Eqn(2) we get x0 =0 x1 =0.1 x2 =0.2 y0 =1 y1 =? y2 =? 1-yxy 2/ = .....y 3! h y 2! h y 1! h y)f(xy /// n 3 // n 2 / nn1n1n ++++== ++ .....y 3! h y 2! h y 1! h y)f(xy /// 0 3 // 0 2 / 0011 ++++== 1-yx dx dy 2 = /2// yx2xyy += //2///2///// yx4xy2yyx2xy2xy2yy ++=+++= ///2//////2//////IV yx6xy6yyx2xy4xy4y2yy ++=++++= 1-yxy 2/ = 0(0)(-1)2(0)(1)yxy2xy / 0 2 000 // 0 =+=+= 2(0)(0)4(0)(-1)2(1)yxy4x2yy // 0 2 0 / 000 /// 0 =++=++= 11(0)(1)1-yxy 0 2 0 / 0 −=−== -6(0)(2)6(0)(0)6(-1)yxy6x6yy /// 0 2 0 // 00 / 0 IV 0 =++=++= ( ) ( ) ( ) 0.90030...(-6) 4! 40.1 (2) 3! 30.1 (0) 2! 20.1 (-1) 1! 0.1 11y =+++++=
  • 10.
    Taylor’s and Picard’smethods 11 Dr. V. Ramachandra Murthy Put n=1 in Eqn(1) ---------(3) Substituting all these values in Eqn(3) we get ∴ _________________________________________________________ Problem (6): Using Taylor’s series method find y to five decimal places when x=1.02 given that and y=2 when x=1 x0 =1 x1 =1.02 y0 =2 y1 =? .....y 3! h y 2! h y 1! h y)f(xy /// 1 3 // 1 2 / 1122 ++++== 1.40590= 0.990991(0.90030)1(0.1)-yxy 2 1 2 1 / 1 −=−= ( )( ) ( ) ( ) 17015.099099.01.09003.01.02yxy2xy 2/ 1 2 111 // 1 =−+=+= (0.17015)(0.1)99099)4(0.1)(-0.2(0.9003)yxy4x2yy 2// 1 2 1 / 111 /// 1 ++=++= ( ) ( ) ( ) (-5.82979) 4! 0.1 (1.40590) 3! 0.1 (0.17015) 2! 0.1 (-0.99099) 1! 0.1 0.9003y 4 32 2 + +++= 0.80226y(0.2)y2 == -5.82979 (1.40590)(0.1)7015)6(0.1)(0.1)6(-0.99099 yxy6x6yy 2 /// 1 2 1 // 11 / 1 IV 1 = ++= ++= 1)dx-(xydy =
  • 11.
    Taylor’s and Picard’smethods 12 Dr. V. Ramachandra Murthy Soln: Given data: , h=0.02 From the Taylor’s series, we have ------------(1) Put n=0 in Eqn(1) -----------(2) Substituting all these values in Eqn(2) we get ∴ .....y 3! h y 2! h y 1! h y)f(xy /// n 3 // n 2 / nn1n1n ++++== ++ .....y 3! h y 2! h y 1! h y)f(xy /// 0 3 // 0 2 / 0011 ++++== 1-xy dx dy = 1-xyy/ = yxyy /// += ////////// 2yxyyyxyy +=++= ////////////IV 3yxyy2yxyy +=++= 32(1)(1)yyxy 0 / 00 // 0 =+=+= 52(1)(1)(3)2yyxy / 0 // 00 /// 0 =+=+= 11(1)(2)1-yxy 00 / 0 =−== 14(3)(3)(1)(5)3yyxy // 0 /// 00 IV 0 =+=+= ( ) ( ) ( ) ....(14) 4! 40.02 (5) 3! 30.02 (3) 2! 20.02 (1) 1! 0.02 21y +++++= 02000.2y(1.02)1y ==
  • 12.
    Taylor’s and Picard’smethods 13 Dr. V. Ramachandra Murthy Problem (7): Employ Taylor’s method to obtain the approximate value of y at x=0.2 for the differential equation y(0)=0, correct to three places of decimal. Soln: Given data: , h=0.2 From the Taylor’s series, we have ----------(1) Where n=0, 1, 2,……. Put n=0 in Eqn(1) -----------(2) x0 =0 x1 =0.2 y0 =0 y1 =? .....y 3! h y 2! h y 1! h y)f(xy /// n 3 // n 2 / nn1n1n ++++== ++ .....y 3! h y 2! h y 1! h y)f(xy /// 0 3 // 0 2 / 0011 ++++== x 3e2y dx dy += x/ 3e2yy += x/ 3e2yy += x/// 3e2yy += x///// 3e2yy += x///IV 3e2yy += 33e(2)(0)3e2yy 0x 0 / 0 0 =+=+= 93e(2)(3)3e2yy 0x/ 0 // 0 0 =+=+= 213e(2)(9)3e2yy 0x// 0 /// 0 0 =+=+= 453e(2)(21)3e2yy 0x/// 0 IV 0 0 =+=+=
  • 13.
    Taylor’s and Picard’smethods 14 Dr. V. Ramachandra Murthy Substituting all these values in Eqn(2) we get ∴ _________________________________________________________ Problem (8): Solve for x=1.1 and x=1.2, given y(1)=1 correct to four decimal places by using Taylor’s series method. Soln: Given data: , h=0.1 From the Taylor’s series, we have ----------(1) Where n=0, 1, 2,……. Put n=0 in Eqn(1) -----------(2) x0 =1 x1 =1.1 x2 =1.2 y0 =1 y1 =? y2 =? ( ) ( ) ( ) ....(45) 4! 40.2 (21) 3! 30.2 (9) 2! 20.2 (3) 1! 0.2 01y +++++= 0.811y(0.2)y1 == .....y 3! h y 2! h y 1! h y)f(xy /// n 3 // n 2 / nn1n1n ++++== ++ .....y 3! h y 2! h y 1! h y)f(xy /// 0 3 // 0 2 / 0011 ++++== 3 xy dx dy += 3/ xyy += 3/ xyy += 2/// 3xyy += 6xyy ///// += 6yy ///IV += 53(1)(2)3xyy 22 0 / 0 // 0 =+=+= 116(1)(5)6xyy 0 // 0 /// 0 =+=+= 2(1)(1)xyy 33 00 / 0 =+=+= 176116yy /// 0 IV 0 =+=+=
  • 14.
    Taylor’s and Picard’smethods 15 Dr. V. Ramachandra Murthy Substituting all these values in Eqn(2) we get Put n=1 in Eqn(1) ---------(3) Substituting all these values in Eqn(3) we get _________________________________ Problem(9): Solve , y(0)=0 by Taylor’s series method for x=0.2 correct to four decimal places. {Ans: y(0.2)=0.1947} Problem(10): Solve , y(0)=1 by Taylor’s series method for x=0.1 in steps of 0.05 correct to four decimal places. {Ans: y(0.1)=0.9950} ...../// 1y 3! 3h// 1y 2! 2h/ 1y 1! h 1y)2f(x2y ++++== ( ) ( ) ( ) 1.2269....(17) 4! 40.1 (11) 3! 30.1 (5) 2! 20.1 (2) 1! 0.1 11y =+++++= 2.5579(1.1)(1.2269)xyy 33 11 / 1 =+=+= 6.18793(1.1)(2.5579)3xyy 22 1 / 1 // 1 =+=+= 12.78796(1.1)(6.1879)6xyy 1 // 1 /// 1 =+=+= 18.7879612.78796yy /// 1 IV 1 =+=+= ( ) ( ) ( ) 5158.1 ...(18.7879) 4! 40.1 (12.7879) 3! 30.1 (6.1879) 2! 20.1 (2.5579) 1! 0.1 2269.12y = ++++= 2xy-1 dx dy = 0xy dx dy =+
  • 15.
    Taylor’s and Picard’smethods 16 Dr. V. Ramachandra Murthy Picard’s method Consider the initial value problem ---------- (1) Integrating Eqn(1) from , we get ---------- (2) Equation (2) is called Integral equation. Such an equation can be solved by successive approximation. The first approximation y1 of y is given by The second approximation is given by Similarly . . . . . . The process of iteration is stopped when the values of and are the same to the desired accuracy. _________________________________________________________ Problem (1): Solve , y (0) =0 by Picard’s method up to third approximation. Soln: Given data: Picard’s iterative formula is given by ------- (1) 00 y)y(x,y)f(x, dx dy == xtox0 ∫+= x x 0 0 y)dxf(x,yy ∫+= x x 001 0 )dxyf(x,yy ∫+= x x 102 0 )dxyf(x,yy ∫+= x x 203 0 )dxyf(x,yy ∫+= x x 1-n0n 0 )dxyf(x,yy 1-ny ny 2 y1 dx dy += 0y;0x;y1y)f(x, 00 2 ==+= ∫+= x x 1-n0n 0 )dxyf(x,yy ( ) ( )∫∫∫ +=++= x 0 2 1-n x 0 x 0 2 1-nn dxy1.dxdxy10y ( )∫+= x 0 2 1-nn dxyxy
  • 16.
    Taylor’s and Picard’smethods 17 Dr. V. Ramachandra Murthy Put n=1 in Eqn(1) Put n=2 in Eqn(1) Put n=3 in Eqn(1) Problem (2): Use Picard’s method to approximate y when x=0.1 & x=0.2 for y(0)=0 by considering third approximation correct to 4 decimal places. Soln: Given data: Picard’s iterative formula is given by --------(1) Step (1): To find y (0.1) Put n=1 in Eqn(1) Put n=2 in Eqn(1) x0 =0 x1 =0.1 x2 =0.2 y0 =0 y(0.1)=? y(0.2)=? ( ) ( ) xdx0xdxyxy x 0 x 0 2 01 =+=+= ∫∫ ( ) ( ) 3 x xdxxxdxyxy 3 x 0 2 x 0 2 12 +=+=+= ∫∫ ( ) 63 x 15 2x 3 x dx 3 x xxdxyxy 753 x 0 23 x 0 2 23 ++=      ++=+= ∫∫ 2 yx dx dy += 2 yxy)f(x, += ∫+= x x 1-n0n 0 )dxyf(x,yy ( )∫ ++= x x 2 1-n0n 0 dxyxyy ( ) ( ) 0.0050 2 x dx0x0dxyxyy 0.1 0 20.1 0 x x 2 001 0 =      =++=++= ∫∫
  • 17.
    Taylor’s and Picard’smethods 18 Dr. V. Ramachandra Murthy Put n=3 in Eqn(1) Thus 0050.0)1.0( =y . Step (2): To find y(0.2) Let ---------- (2) Put n=1 in Eqn(2) Put n=2 in Eqn(2) Similarly by putting n=3 in Eqn(2), we obtain Thus 0200.0)2.0( =y _____________________________________________ ___________ Problem (3): Use Picard’s method to solve , y(0)=1 for x=0.2 . x0 =0 x1 =0.2 y0 =1 y(0.2)=? ( ) ( )( ) 0.0050 2 x dx0.0050x0dxyxyy 0.1 0 20.1 0 2x x 2 102 0 =      =++=++= ∫∫ ( ) ( )( ) 0.0050 2 x dx0050.0x0dxyxyy 0.1 0 2 0.1 0 2x x 2 203 0 =      =++=++= ∫∫ ( ) ( )( ) 02.0dx0.0050x0050.0dxyx0050.0y 0.2 0.1 20.2 0.1 2 01 =++=++= ∫∫ 1.0x0 = 0.0050y0 = ( )∫ ++= 0.2 0.1 2 1-nn dxyx0.0050y ( )( ) ( )( ) ( ) 0.0200 x0.02 2 x 0.0050 dx0.02x0.0050dxyx0.0050y 0.2 0.1 2 2 0.2 0.1 20.2 0.1 2 12 =       ++= ++=++= ∫∫ ( )( ) 0.0200dx0.02x0.0050y 0.2 0.1 2 3 =++= ∫ yx dx dy 2 −= yxy)f(x, 2 −=
  • 18.
    Taylor’s and Picard’smethods 19 Dr. V. Ramachandra Murthy Soln: Given data: Picard’s iterative formula is given by -------(1) Put n=1 in Eqn(1) Put n=2 in Eqn(1) Put n=3 in Eqn(1) Put n=4 in Eqn(1) Similarly Since y4 & y5 are the same up to four places of decimals y(0.2)=0.8355 _________________________________________________________ Problem (4): Solve , y (0) =0 by Picard’s method up to the third approximation. Soln: Given data: Picard’s iterative formula is given by ∫+= x x 1-n0n 0 )dxyf(x,yy ( )∫ −+= 0.2 0 1-n 2 n dxyx1y ( ) ( ) 0.8026dx1x1dxyx1y 0.2 0 2 0.2 0 0 2 1 =−+=−+= ∫∫ ( ) ( ) 0.8421dx0.8026x1dxyx1y 0.2 0 2 0.2 0 1 2 2 =−+=−+= ∫∫ ( ) ( ) 0.8342dx0.8421x1dxyx1y 0.2 0 2 0.2 0 2 2 3 =−+=−+= ∫∫ ( ) ( ) 0.8358dx0.8342x1dxyx1y 0.2 0 2 0.2 0 3 2 4 =−+=−+= ∫∫ 8355.0y5 = 8355.0y6 = 2xyx dx dy 2 += 0y;0x;2xyxy)f(x, 00 2 ==+= ∫+= x x 1-n0n 0 )dxyf(x,yy ( )∫ −++= x 0 1n 2 n dx2xyx0y
  • 19.
    Taylor’s and Picard’smethods 20 Dr. V. Ramachandra Murthy --------(1) Put n=1 in Eqn(1) Put n=2 in Eqn(1) Put n=3 in Eqn(1) _________________________________________________________ Problem(5): Solve by Picard’s method , y(0)=1 for x=0.1 Correct to four decimal places. Soln: Given data: Picard’s iterative formula is given by ---------(1) Put n=1 in Eqn(1) x0 =0 x1 =0.1 y0 =1 y(0.1)=? ( ) 15 x 2 3 x dx 3 x 2xxdx2xyxy 53 x 0 3 2 x 0 1 2 2 +=      +=+= ∫∫ ( ) ( ) 3 x dxxdx2xyxy 3 x 0 2 x 0 0 2 1 ∫∫ ==+= ∫ ++=∫ +=                      x 0 dx 15 5 x 2 3 3 x 2x 2 x x 0 dx22xy 2 x3y 7x 105 45x 15 2 3 3xx 0 dx6x 15 44x 3 22x3y ++=∫ ++=         xy1 dx dy += xy1y)f(x, += ∫+= x x 1-n0n 0 )dxyf(x,yy ( )∫ −++= 0.1 0 1nn dxxy11y ( ) ( ) 1.105 2 x x1x11dxxy11y 0.1 0 0.1 0 2 0.1 0 01 =      ++=++=++= ∫∫
  • 20.
    Taylor’s and Picard’smethods 21 Dr. V. Ramachandra Murthy Put n=2 in Eqn(1) Put n=3 in Eqn(1) Since y2 & y3 are the same up to four places of decimals y(0.1)=1.1055 Problem (6): Given the differential equation , with the condition y=1 when x=0, use Picard’s method to obtain y for x=0.2 correct to four decimal places. Soln: Given data: Picard’s iterative formula is given by ---------(1) Put n=1 in Eqn(1) Put n=2 in Eqn(1) Similarly, x0 =0 x1 =0.2 y0 =1 y(0.2)=? yx dx dy −= y-xy)f(x, = ∫+= x x 1-n0n 0 )dxyf(x,yy ( )∫ −+= 0.2 0 1nn dxy-x1y ( ) ( ) 0.82x 2 x 11-x1dxy-x1y 0.2 0 0.2 0 20.2 0 01 =      −+=+=+= ∫∫ ( ) ( ) 0.8560.82x- 2 x 1 dx0.82-x1dxy-x1y 0.2 0 2 0.2 0 0.2 0 12 =      += +=+= ∫∫ 8500.0y7,n 8500.0y6,n 8499.0y5,n 8502.0y4,n 8488.0y3,nfor 7 6 5 4 3 == == == == ==
  • 21.
    Taylor’s and Picard’smethods 22 Dr. V. Ramachandra Murthy Since y6 & y7 are the same up to four places of decimals y(0.2)=0.8500 Problem (7): Given the differential equation , with the condition y=1 when x=0. Use Picard’s method to obtain y for x=0.1 correct to three decimal places. Soln: Given data: Picard’s iterative formula is given by ---------(1) Put n=1 in Eqn(1) Put n=2 in Eqn(1) x0 =0 x1 =0.1 y0 =1 y(0.1)=? ∫+= x x 1-n0n 0 )dxyf(x,yy xy xy dx dy + − = xy x-y y)f(x, + = ∫       + − += − − 0.1 0 1n 1n n dx xy xy 1y dx 1x 2 11dx 1x 2 1x 1x 1dx 1x 21x 1 dx x1 1x 1dx x1 x1 1dx xy xy 1y 0.1 0 0.1 0 0.1 0 0.1 0 0.1 0 0.1 0 0 0 1 ∫∫∫ ∫∫∫       + −−=      + − + + −=      + −+ −=       + − −+=      + − +=      + − += ( ) ( )[ ] 090.11xlog2x1y 0.1 0 0.1 01 =++−= ( )[ ] ( )x1.090xlog2.181dx1 1.090x 2.18 1 dx 1.090x 1.090)(x-2(1.090) 1dx x1.090 1.0901.090x-1.090 1 dx x1.090 x1.090 1dx xy xy 1y 0.1 0 0.1 0 0.1 0 0.1 0 0.1 0 0.1 0 0.1 0 1 1 2 −++=      − + +=       + + +=      + +− +=       + − +=      + − += ∫ ∫∫ ∫∫
  • 22.
    Taylor’s and Picard’smethods 23 Dr. V. Ramachandra Murthy Put n=3 in Eqn(1) Since y2 & y3 are the same up to three places of decimals y(0.1)=1.091 _________________________________________________________ Problem(8): Solve , y(0)=1 by Picard’s method up to third approximation and hence find the value of y at x=0.1. Soln: Given data: Picard’s iterative formula is given by ---------(1) Put n=1 in Eqn(1) ( )[ ] ( ) 1.091 0.1 0 x0.1 0 1.091xlog2.1821 dx 0.1 0 1 1.091x 2.182 1 dx 0.1 0 1.091x 1.091)(x-2(1.091) 1 dx 0.1 0 x1.091 1.0911.091x-1.091 1 dx 0.1 0 x1.091 x1.091 1 0.1 0 dx x2y x2y 13y = −++=       − + +=       + + +=       + +− +=       + − +=      + − += ∫ ∫ ∫ ∫∫ 2 xy dx dy −= 2 xyy)f(x, −= ∫+= x x 1-n0n 0 )dxyf(x,yy ( )∫ −+= − x 0 2 1nn dxxy1y ( ) ( ) 3 x x1 3 x x1dxx11dxxy1y 3x 0 3 x 0 2 x 0 2 01 −+=      −+=−+=−+= ∫∫
  • 23.
    Taylor’s and Picard’smethods 24 Dr. V. Ramachandra Murthy Put n=2 in Eqn(1) Put n=3 in Eqn(1) ∴ y(0.1)=1.1051 _________________________________________________________ Problem(9): Solve , y(0)=1 for x=0.1 by Picard’s method correct to four decimal places. {Ans: y(0.1)=1.1270} Problem(10): Use Picard’s method to solve , y(0)=0 for x=0.4 {Ans: y(0.4)=0.0214} ( ) 60 x 12 x 6 x 2 x x1 dx 12 x 3 x 2 x x11 dxx 3 x 12 x 2 x x11dxxy1y 5432 x 0 432 x 0 2 342x 0 2 23 −−−++=       −−−++=       −−−+++=−+= ∫ ∫∫ 2 y3x dx dy += 22 yx dx dy +=
  • 24.
    Taylor’s and Picard’smethods 25 Dr. V. Ramachandra Murthy Modified Euler’s method Consider first order differential equation 00 y)y(x,y)f(x, dx dy == Modified Euler’s formula is given by ___________________________________________________ _________________________________________________________ Problem(1): Determine the value of y for x=0(0.05)0.1 given that 1y(0)y,2x dx dy =+= , using Modified Euler’s method up to four places of decimal. Soln: Given data: ( ) y2xyx,f += , h=0.05 00x = Modified Euler’s Formula is given by ( ) ( ) ( ) ( ) 0,1,2,...n 0,1,2,...r______(2)ny,nxhfny 0 1n ywhere 1)_______( (r) 1n y,1nxfny,nxf 2 h ny 1r 1n y = =+= +           ++++= + + Step-(1): (To find y(0.05))1y(x1y == ) Put n=0 in Equations (1) and (2) ( ) ( ) ( ) ( ) 0,1,2,...nformula)s(Euler'ny,nxhfny 0 1n ywhere ,..2,1,0 (r) 1n y,1nxfny,nxf 2 h ny 1r 1n y =→+= + =          ++++= + + r 0.051x = 0.12x = 10y = ?1y = ?2y =
  • 25.
    Taylor’s and Picard’smethods 26 Dr. V. Ramachandra Murthy ( ) ( ) ( ) ( ) ______(4)0y,0xhf0y 0 1 ywhere 3)_______( (r) 1 y,1xf0y,0xf 2 h 0y 1r 1 y +=          ++= + Initial approximation: From Eqn(4) ( ) ( ) [ ] 1.05100.0510y2 0 x0.051 0y,0xhf0y 0 1 y =++=     ++= += First approximation: Put r=0 in Eqn(3) ( ) ( ) ( ) ( ) ( ) ( ) 0513.11.0520.05120 2 0.05 1 (0) 1 y2 1x0y2 0x 2 0.05 1 (0) 1 y,1xf0y,0xf 2 h 0y 1 1 y =     ++++=     ++++=          ++= Second approximation: Put r=1 in Eqn(3) ( ) ( ) ( ) ( ) ( ) ( ) 0513.11.051320.05120 2 0.05 1 (1) 1 y2 1x0y2 0x 2 0.05 1 (1) 1 y,1xf0y,0xf 2 h 0y 2 1 y =     ++++=     ++++=          ++= Since ( )1 1 y and ( )2 1 y are the same correct to four decimal places y(0.05)=1.0513 Step-(2): (To find y(0.1))2y(x2y == ) Put n=1 in Equations (1) and (2)
  • 26.
    Taylor’s and Picard’smethods 27 Dr. V. Ramachandra Murthy ( ) ( ) ( ) ( ) ______(6)1y,1xhf1y0 2 ywhere _______(5) (r) 2 y,2xf1y,1xf 2 h y1 1r 2 y +=          ++= + Initial approximation: From Eqn(6) ( ) ( ) ( ) 1.10391.051320.050.051.0513 1y2 1 x0.051.05131y,1xhf1y0 2 y =     ++=      ++=+= First approximation: Put r=0 in Eqn(5) ( ) ( ) ( ) ( ) ( ) ( ) 1.1054 1.103920.11.051320.05 2 0.05 1.0513 (0) 2 y2 1x1y2 1x 2 0.05 1.0513 (0) 2 y,2xf1y,1xf 2 h 1y 1 2 y =     ++++=     ++++=          ++= Second approximation: Put r=1 in Eqn(5) ( ) ( ) ( ) ( ) ( ) ( ) 1055.11.105420.11.051320.05 2 0.05 1.0513 (1) 2 y2 1x1y2 1x 2 0.05 1.0513 (1) 2 y,2xf1y,1xf 2 h 1y 2 2 y =     ++++=     ++++=          ++= Similarly ( ) 1055.1 3 2 y = Since ( ) ( )3 2 y& 2 2 y are the same correct to four decimal places y(0.1)=1.1055 Problem(2): Obtain the solution of the equation yx dx dy += with y=1 when x=0 for y at x=0.6 in steps of 0.3 using Modified Euler’s method correct to four
  • 27.
    Taylor’s and Picard’smethods 28 Dr. V. Ramachandra Murthy decimal places. Soln: Given data: ( ) yxyx,f += , h=0.3 00x = Modified Euler’s Formula is given by ( ) ( ) ( ) ( ) ______(2)ny,nxhfny0 1n ywhere 1)_______( (r) 1n y,1nxfny,nxf 2 h ny 1r 1n y += +           ++++= + + Step-(1): (To find y(0.3))1y(x1y == ) Put n=0 in Equations (1) and (2) ( ) ( ) ( ) ( ) ______(4)0y,0xhf0y0 1 ywhere 3)_______( (r) 1 y,1xf0y,0xf 2 h 0y 1r 1 y +=          ++= + Initial approximation: From Eqn(4) ( ) ( ) [ ] [ ] 1.3100.310y0x0.31 0y,0xhf0y 0 1 y =++=++= += First approximation: Put r=0 in Eqn(3) ( ) ( ) ( ) ( )       ++++=          ++= (0) 1 y1x0y0x 2 0.3 1 (0) 1 y,1xf0y,0xf 2 h 0y 1 1 y ( ) ( )[ ] 3660.11.30.310 2 0.3 1 =++++= Second approximation: Put r=1 in Eqn(3) 0.31x = 0.62x = 10y = ?1y = ?2y =
  • 28.
    Taylor’s and Picard’smethods 29 Dr. V. Ramachandra Murthy ( ) ( ) ( ) ( ) ( ) ( ) ( )[ ] 3703.11.36600.310 2 0.3 1 2 1 y (1) 1 y1x0y0x 2 0.3 1 (1) 1 y,1xf0y,0xf 2 h 0y 2 1 y =++++=       ++++=          ++= Similarly ( ) 3703.1 3 1 y = Since ( ) ( )3 1 y& 2 1 y are the same correct to four decimal places y(0.3)=1.3703 Step-(2): (To find y(0.6))2y(x2y == ) Put n=1 in Equations (1) and (2) ( ) ( ) ( ) ( ) ______(6)1y,1xhf1y0 2 ywhere _______(5) (r) 2 y,2xf1y,1xf 2 h 0y 1r 2 y +=          ++= + Initial approximation: From Eqn(6) ( ) ( ) ( ) ( )[ ] 1.81141.37030.30.31.3703 1y1x0.31.37031y,1xhf1y0 2 y =++= ++=+= First approximation: Put r=0 in Eqn(5) ( ) ( ) ( ) ( )       ++++=          ++= (0) 2 y2x1y1x 2 0.3 3703.1 (0) 2 y,2xf1y,1xf 2 h 1y 1 2 y ( ) ( )[ ] 8827.11.81140.61.37030.3 2 0.3 3703.1 =++++= Similarly ( ) ( ) ( ) 8869.1 4 2 y,8869.1 3 2 y,8667.1 2 2 y === ∴∴∴∴ y(0.6)=1.8869
  • 29.
    Taylor’s and Picard’smethods 30 Dr. V. Ramachandra Murthy Problem(3): Using Modified Euler’s method find y(0.2) given that yx dx dy += ; y(0)=1 correct to four decimal places. Soln: Given data: ( ) yxyx,f += , h=0.2 00x = 0.21x = 10y = ?1y = Modified Euler’s Formula is given by ( ) ( ) ( ) ( ) ______(2)ny,nxhfny0 1n ywhere 1)_______( (r) 1n y,1nxfny,nxf 2 h ny 1r 1n y += +           ++++= + + To find y(0.2))1y(x1y == Put n=0 in Equations (1) and (2) ( ) ( ) ( ) ( ) ______(4)0y,0xhf0y0 1 ywhere 3)_______( (r) 1 y,1xf0y,0xf 2 h 0y 1r 1 y +=          ++= + Initial approximation: From Eqn(4) ( ) ( ) [ ] [ ] 1.2100.210y0x0.21 0y,0xhf0y 0 1 y =++=++= += First approximation: Put r=0 in Eqn(3) ( ) ( ) [ ] 24.12.12.010 2 0.2 1 (0) 1 y1x0y0x 2 0.2 1 (0) 1 y,1xf0y,0xf 2 h 0y 1 1 y =++++=     ++++=          ++= Second approximation: Put r=1 in Eqn(3)
  • 30.
    Taylor’s and Picard’smethods 31 Dr. V. Ramachandra Murthy ( ) ( ) ( ) [ ] 244.124.12.010 2 0.2 1 2 1 y (1) 1 y1x0y0x 2 0.2 1 (1) 1 y,1xf0y,0xf 2 h 0y 2 1 y =++++=     ++++=          ++= Similarly ( ) 2444.1 3 1 y = & ( ) 2444.1 4 1 y = Since ( ) ( )4 1 y& 3 1 y are the same correct to four decimal places y(0.2)=1.2444 Problem(4): Use Modified Euler’s method to find the approximate value of y(1.1) for the solution of the initial value problem 2xy dx dy = , y(1)=1 correct to three decimal places. Perform two iterations. Soln: Given data: ( ) 2xyyx,f = , h=0.1 10x = 1.11x = 10y = ?1y = Modified Euler’s Formula is given by ( ) ( ) ( ) ( ) ______(2)ny,nxhfny0 1n ywhere 1)_______( (r) 1n y,1nxfny,nxf 2 h ny 1r 1n y += +           ++++= + + To find y(1.1))1y(x1y == Put n=0 in Equations (1) and (2) ( ) ( ) ( ) ( ) ______(4)0y,0xhf0y0 1 ywhere 3)_______( (r) 1 y,1xf0y,0xf 2 h 0y 1r 1 y +=          ++= + Initial approximation: From Eqn(4)
  • 31.
    Taylor’s and Picard’smethods 32 Dr. V. Ramachandra Murthy ( ) ( ) [ ] [ ] 1.2)1)(1)(2(0.110y02x0.11 0y,0xhf0y 0 1 y =+=+= += First approximation: Put r=0 in Eqn(3) ( ) ( ) [ ] 1.232)2(1.1)(1.22(1)(1) 2 0.1 1 (0) 1 y12x0y02x 2 0.1 1 (0) 1 y,1xf0y,0xf 2 h 0y 1 1 y =++=     ++=          ++= Second approximation: Put r=1 in Eqn(3) ( ) ( ) ( ) [ ] 1.235532)2(1.1)(1.22(1)(1) 2 0.1 1 2 1 y (1) 1 y12x0y02x 2 0.1 1 (1) 1 y,1xf0y,0xf 2 h 0y 2 1 y =++=     ++=          ++= ∴ The value of y(1.1) after two iteration is y(0.2)=1.2355 Problem(5): Find y(1.2) and y(1.4) by Modified Euler’s method given that 3x x 2y dx dy += , y(1)=0.5 correct to three decimal places. Soln: Given data: ( ) 3x x 2y yx,f += , h=0.2 10x = 1.21x = 1.41x = 0.50y = ?1y = ?1y = Modified Euler’s Formula is given by ( ) ( ) ( ) ( ) ______(2)ny,nxhfny0 1n ywhere 1)_______( (r) 1n y,1nxfny,nxf 2 h ny 1r 1n y += +           ++++= + +
  • 32.
    Taylor’s and Picard’smethods 33 Dr. V. Ramachandra Murthy Step(1): To find y(1.2))1y(x1y == Put n=0 in Equations (1) and (2) ( ) ( ) ( ) ( ) ______(4)0y,0xhf0y0 1 ywhere 3)_______( (r) 1 y,1xf0y,0xf 2 h 0y 1r 1 y +=          ++= + Initial approximation: From Eqn(4) ( ) ( ) ( ) ( ) 0.9 31 1 2(0.5) 0.20.5 3 0x 0x 02y 0.20.5 0y,0xhf0y 0 1 y =     ++=       ++= += First approximation: Put r=0 in Eqn(3) ( ) ( ) ( ) ( ) ( ) ( ) ( ) ( ) 0227.1 31.2 1.2 0.9231 1 0.52 2 0.2 0.5 3 1x 1x (0) 1 2y3 0x 0x 02y 2 0.2 0.5 (0) 1 y,1xf0y,0xf 2 h 0y 1 1 y =     ++++=           ++++=          ++= Second approximation: Put r=1 in Eqn(3)
  • 33.
    Taylor’s and Picard’smethods 34 Dr. V. Ramachandra Murthy ( ) ( ) ( ) ( ) ( ) ( ) ( ) ( ) 043.1 31.2 1.2 1.0227231 1 0.52 2 0.2 0.5 3 1x 1x (1) 1 2y3 0x 0x 02y 2 0.2 0.5 (1) 1 y,1xf0y,0xf 2 h 0y 2 1 y =     ++++=           ++++=          ++= Similarly ( ) 046.1 3 1 y = and ( ) 046.1 4 1 y = Since ( ) ( )4 1 y& 3 1 y are the same correct to four decimal places y(1.2)=1.2444 Step(2): To find y(1.4))2y(x2y == Put n=1 in Equations (1) and (2) ( ) ( ) ( ) ( ) ______(6)1y,1xhf1y0 2 ywhere 5)_______( (r) 2 y,2xf1y,1xf 2 h 1y 1r 2 y +=          ++= + Initial approximation: From Eqn(6) ( ) ( ) ( ) ( ) 1.740 31.2 1.2 2(1.046) 0.2046.1 3 1x 1x 12y 0.2046.1 1y,1xhf1y 0 2 y =     ++=       ++= += First approximation: Put r=0 in Eqn(5)
  • 34.
    Taylor’s and Picard’smethods 35 Dr. V. Ramachandra Murthy ( ) ( ) ( ) ( ) ( ) ( ) ( ) ( ) 916.1 31.4 1.4 1.74231.2 1.2 1.0462 2 0.2 046.1 3 2x 2x (0) 2 2y3 1x 1x 12y 2 0.2 046.1 (0) 2 y,2xf1y,1xf 2 h 1y 1 2 y =     ++++=           ++++=          ++= Similarly ( ) 941.1 2 2 y = ( ) 944.1 3 2 y = , ( ) 945.1 4 2 y = , ( ) 945.1 5 2 y = Since ( ) ( )5 2 y& 4 2 y are the same correct to three decimal places y(1.4)=1.945 Problem(6): solve y1 dx dy −= , y(0)=0 by Modified Euler’s method for x=0.1 correct to four decimal places. Soln: Given data: ( ) y1yx,f −= , h=0.1 00x = 0.11x = 00y = ?1y = Modified Euler’s Formula is given by ( ) ( ) ( ) ( ) ______(2)ny,nxhfny0 1n ywhere 1)_______( (r) 1n y,1nxfny,nxf 2 h ny 1r 1n y += +           ++++= + + To find y(0.1))1y(x1y == Put n=0 in Equations (1) and (2)
  • 35.
    Taylor’s and Picard’smethods 36 Dr. V. Ramachandra Murthy ( ) ( ) ( ) ( ) ______(4)0y,0xhf0y0 1 ywhere 3)_______( (r) 1 y,1xf0y,0xf 2 h 0y 1r 1 y +=          ++= + Initial approximation: From Eqn(4) ( ) ( ) [ ] 1.0010.10 ]01[00y,0xhf0y 0 1 y =−+= −+=+= yhy First approximation: Put r=0 in Eqn(3) ( ) ( ) [ ] 095.01.0101 2 0.1 0 (0) 1 y101 2 h 0 (0) 1 y,1xf0y,0xf 2 h 0y 1 1 y =−+−+=     ++−+=         ++= yy Second approximation: Put r=1 in Eqn(3) ( ) ( ) 0952.0]095.0101[ 2 0.1 0 (1) 1 y10y-1 2 h 0y (1) 1 y,1xf0y,0xf 2 h 0y 2 1 y =−+−+=     −++=          ++= Similarly ( ) 0952.0 3 1 y = , Since ( ) ( )4 1 y& 3 1 y are the same correct to four decimal places y(0.1)=0.0952 Problem(7): Use Modified Euler’s method to solve the differential equation 2yx dx dy += ,y(0)=1 for x=0.2 in steps of 0.1 correct to three decimal places. Soln: Given data: ( ) 2yxyx,f += , h=0.1 00x = 0.11x = 0.22x =
  • 36.
    Taylor’s and Picard’smethods 37 Dr. V. Ramachandra Murthy 10y = 1.11741y = 1.27622y = Modified Euler’s Formula is given by ( ) ( ) ( ) ( ) ______(2)ny,nxhfny0 1n ywhere 1)_______( (r) 1n y,1nxfny,nxf 2 h ny 1r 1n y += +           ++++= + + Step(1): To find y(0.1))1y(x1y == Put n=0 in Equations (1) and (2) ( ) ( ) ( ) ( ) ______(4)0y,0xhf0y0 1 ywhere 3)_______( (r) 1 y,1xf0y,0xf 2 h 0y 1r 1 y +=          ++= + Initial approximation: From Eqn(4) ( ) ( ) ( ) ( ) 1.12100.112 0y0x0.11 0y,0xhf0y 0 1 y =     ++=     ++= += First approximation: Put r=0 in Eqn(3) ( ) ( ) ( ) ( ) ( ) 1155.121.11.0210 2 0.1 1 2 (0) 1 y1x2 0y0x 2 h 0y (0) 1 y,1xf0y,0xf 2 h 0y 1 1 y =     ++++=              ++++=         ++= Second approximation: Put r=1 in Eqn(3) ( ) ( ) ( ) 1172.1]2)1155.1(1.02)1(0[ 2 0.1 1 2 (1) 1 y1x2 0y0x 2 h 0y (1) 1 y,1xf0y,0xf 2 h 0y 2 1 y =++++=              ++++=          ++=
  • 37.
    Taylor’s and Picard’smethods 38 Dr. V. Ramachandra Murthy Similarly ( ) 1174.1 3 1 y = , ( ) 1174.1 4 1 y = Clearly ( ) ( )4 1 y& 3 1 y are same correct to four decimal places. ∴∴∴∴ y(0.1)=1.1174 Step-(2): (To find y(0.2))2y(x2y == ) Put n=1 in Equations (1) and (2) ( ) ( ) ( ) ( ) ______(6)1y,1xhf1y0 2 ywhere _______(5) (r) 2 y,2xf1y,1xf 2 h 1y 1r 2 y +=          ++= + Initial approximation: From Eqn(6) ( ) ( ) ( ) ( ) 2522.121.11741.00.11.1174 2 1y1xh1y1y,1xhf1y 0 2 y =     ++=      ++=+= First approximation: Put r=0 in Eqn(5) ( ) ( ) ( ) ( ) ( ) 1.273221.25220.221.11740.1 2 0.1 1.1174 2 (0) 2 y2x2 1y1x 2 h 1y (0) 2 y,2xf1y,1xf 2 h 1y 1 2 y =     ++++=              ++++=          ++= Similarly ( ) ( ) ( ) 2762.1 4 2 y,2762.1 3 2 y,2758.1 2 2 y === Since ( )3 2 y and ( )4 2 y are the same correct to four decimal places y(0.2)=1.2762 Problem(8): Find y(4.4) by Modified Euler’s method taking h=0.2 from the differential equation 5x 2y-2 dx dy = , y(4)=1 correct to Four decimal places. {Ans:y(4.4)=1.0187}
  • 38.
    Taylor’s and Picard’smethods 39 Dr. V. Ramachandra Murthy Problem(9): Solve y2x dx dy += , y(0)=1 for x=0.02 taking h=0.01 by Modified Euler’s method correct to Four decimal places. Carry out two iterations after each step. {Ans:y(0.02)=1.020} _________________________________________________________ __ Runge-Kutta Method of 4th order Consider 0y)0y(x,y)f(x, dx dy == The Runge-Kutta method of 4th order is given by [ ] ( ) ( )3knyh,nxhf4k 2 2k ny, 2 h nxhf3k 2 1k ny, 2 h nxhf2k ny,nxhf1kwhere 4k32k22k1k 6 1 ny1ny ++=       ++=       ++= = ++++=+ Problem(1): By employing Runge-Kutta method of fourth order solve the differential equation y6x/2y =− ,y(0)=1 for x=0.2 in steps of 0.1 correct to four decimal places. Soln: Given data: ( ) 2 y 3xyx,f += , h=0.1 00x = 0.11x = 0.21x = 10y = 1.06641y = 1670.12y = The Runge-Kutta method of 4th order is given by
  • 39.
    Taylor’s and Picard’smethods 40 Dr. V. Ramachandra Murthy [ ] ( ) ( )              ++=       ++=       ++= = ++++=+ 3knyh,nxhf4k 2 2k ny, 2 h nxhf3k 2 1k ny, 2 h nxhf2k ny,nxhf1kwhere 4k32k22k1k 6 1 ny1ny -------------------- (1) Put n=0 in Eqn(1) [ ]4k32k22k1k 6 1 0y1y ++++= --------------------------- (2) ( ) ( )          ++=       ++=       ++= = 3k0yh,0xhf4k 2 2k 0y, 2 h 0xhf3k 2 1k 0y, 2 h 0xhf2k 0y,0xhf1kwhere ( ) 0.05 2 1 3(0)0.1 2 0y 03xh 0y,0xhf1k =    +=      += = 0.0662 2 0.05 1 2 1 2 0.1 030.1 2 1k 0y 2 1 2 h 0x3h 2 1k 0y, 2 h 0xhf2k =            ++      +=             ++      +=       ++= 0.0666 2 0.0662 1 2 1 2 0.1 030.1 2 2k 0y 2 1 2 h 0x3h 2 2k 0y, 2 h 0xhf3k =            ++      +=             ++      +=       ++=
  • 40.
    Taylor’s and Picard’smethods 41 Dr. V. Ramachandra Murthy ( ) ( ) ( ) ( ) ( ) 0.08330.06661 2 1 0.1030.1 3k0y 2 1 h0x3h 3k0yh,0xhf4k =    +++=     +++= ++= Substituting all these values in Eqn(2), we get [ ] 1.06640.08332(0.0666)2(0.0662)0.05 6 1 11y =++++= Put n=1 in Eqn(1) [ ]4k32k22k1k 6 1 1y2y ++++= ---------------------- (3) Where ( ) ( )3k1yh,1xhf4k 2 2k 1y, 2 h 1xhf3k 2 1k 1y, 2 h 1xhf2k 1y,1xhf1k ++=       ++=       ++= = ( ) 0.0833 2 1.0664 3(0.1)0.1 2 1y 13xh 1y,1xhf1k =    +=      += = 0.1004 2 0.0833 1.0664 2 1 2 0.1 0.130.1 2 1k 1y 2 1 2 h 1x3h 2 1k 1y, 2 h 1xhf2k =            ++      +=             ++      +=       ++= 0.1008 2 0.1004 1.0644 2 1 2 0.1 0.130.1 2 2k 1y 2 1 2 h 1x3h 2 2k 1y, 2 h 1xhf3k =            ++      +=             ++      +=       ++=
  • 41.
    Taylor’s and Picard’smethods 42 Dr. V. Ramachandra Murthy ( ) ( ) ( ) ( ) ( ) 0.11830.10081.0664 2 1 0.10.130.1 3k1y 2 1 h1x3h 3k1yh,1xhf4k =    +++=     +++= ++= Substituting all these values in Eqn(3), we get [ ] 1.1670 0.11832(0.1008)2(0.1004)0.0833 6 1 1.06642y = ++++= Problem(2): Apply Runge-Kutta method of fourth order to find an approximate value of y(0.1) and y(0.2) of 2yx dx dy += , y(0)=1 correct to three decimal places. Soln: Given data: ( ) 2yxyx,f += , h=0.1 00x = 0.11x = 0.22x = 10y = ?1y = ?2y = The Runge-Kutta method of 4th order is given by [ ] ( ) ( )              ++=       ++=       ++= = ++++=+ 3knyh,nxhf4k 2 2k ny, 2 h nxhf3k 2 1k ny, 2 h nxhf2k ny,nxhf1kwhere 4k32k22k1k 6 1 ny1ny -------------------------(1) Put n=0 in Eqn(1) [ ]4k32k22k1k 6 1 0y1y ++++= --------------------------(2)
  • 42.
    Taylor’s and Picard’smethods 43 Dr. V. Ramachandra Murthy ( ) ( )3k0yh,0xhf4k 2 2k 0y, 2 h 0xhf3k 2 1k 0y, 2 h 0xhf2k 0y,0xhf1kwhere ++=       ++=       ++= = ( ) ( ) ( ) 0.12100.12 0y0xh 0y,0xhf1k =     +=     += = 0.1152 2 2 0.1 1 2 0.1 00.1 2 2 1k 0y 2 h 0xh 2 1k 0y, 2 h 0xhf2k =               ++      +=               ++      +=       ++= 0.1168 2 2 0.1152 1 2 0.1 00.1 2 2 2k 0y 2 h 0xh 2 2k 0y, 2 h 0xhf3k =               ++      +=               ++      +=       ++= ( ) ( ) ( ) ( ) ( ) 0.134720.116810.100.1 2 3k0yh0xh 3k0yh,0xhf4k =     +++=     +++= ++= Substituting all these values in Eqn(2), we get [ ] 1.11640.13472(0.1168)2(0.1152)0.1 6 1 11y =++++= Put n=1 in Eqn(1) [ ]4k32k22k1k 6 1 1y2y ++++= -----------(3) Where
  • 43.
    Taylor’s and Picard’smethods 44 Dr. V. Ramachandra Murthy ( ) ( )3k1yh,1xhf4k 2 2k 1y, 2 h 1xhf3k 2 1k 1y, 2 h 1xhf2k 1y,1xhf1k ++=       ++=       ++= = ( ) ( ) ( ) 0.134621164.1(0.1)0.12 1y1xh 1y,1xhf1k =     +=     += =               ++      +=       ++= 2 2 1k 1y 2 h 1xh 2 1k 1y, 2 h 1xhf2k 0.1551 2 2 0.1346 1.1164 2 0.1 0.10.1 =               ++      += 0.1575 2 2 0.1551 1.1164 2 0.1 0.10.1 2 2 2k 1y 2 h 1xh 2 2k 1y, 2 h 1xhf3k =               ++      +=               ++      +=       ++= ( ) ( ) ( ) ( ) ( ) 0.182220.15751.11640.10.10.1 2 3k1yh1xh 3k1yh,1xhf4k =     +++=     +++= ++= Substituting all these values in Eqn(3), we get [ ] 27341. 0.18222(0.1575)2(0.1551)0.1346 6 1 1.11642y = ++++=
  • 44.
    Taylor’s and Picard’smethods 45 Dr. V. Ramachandra Murthy Problem(3): Use Runge-Kutta method of fourth order to approximate y when x=0.1, given that y=1 when x=0 and yx dx dy += Soln: Given data: ( ) yxyx,f += , h=0.1 00x = 0.11x = 10y = ?1y = The Runge-Kutta method of 4th order is given by [ ] ( ) ( )3knyh,nxhf4k 2 2k ny, 2 h nxhf3k 2 1k ny, 2 h nxhf2k ny,nxhf1kwhere 4k32k22k1k 6 1 ny1ny ++=       ++=       ++= = ++++=+ ------------------(1) Put n=0 in Eqn(1) [ ]4k32k22k1k 6 1 0y1y ++++= -------------------(2) ( ) ( )3k0yh,0xhf4k 2 2k 0y, 2 h 0xhf3k 2 1k 0y, 2 h 0xhf2k 0y,0xhf1kwhere ++=       ++=       ++= = ( ) ( )[ ] [ ] 0.1100.10y0xh 0y,0xhf1k =+=+= =
  • 45.
    Taylor’s and Picard’smethods 46 Dr. V. Ramachandra Murthy 0.11 2 0.1 1 2 0.1 00.1 2 1k 0y 2 h 0xh 2 1k 0y, 2 h 0xhf2k =            ++      +=             ++      +=       ++= 1105.0 2 0.11 1 2 0.1 00.1 2 2k 0y 2 h 0xh 2 2k 0y, 2 h 0xhf3k =            ++      +=             ++      +=       ++= ( ) ( ) ( )[ ] ( ) ( )[ ] 0.12100.110510.100.1 3k0yh0xh 3k0yh,0xhf4k =+++= +++= ++= Substituting all these values in Eqn(2), we get [ ] 11031. 0.12102(0.1105)2(0.11)0.1 6 1 11y = ++++= Problem(4): Use Runge-Kutta method of fourth order to obtain an approximation to y(1.5) for the solution of 2xy dx dy = ;y(1)=1 correct to four decimal places. Soln: Given data: ( ) 2xyyx,f = , h=0.5 10x = 1.51x = 10y = ?1y = The Runge-Kutta method of 4th order is given by
  • 46.
    Taylor’s and Picard’smethods 47 Dr. V. Ramachandra Murthy [ ] ( ) ( )              ++=       ++=       ++= = ++++=+ 3knyh,nxhf4k 2 2k ny, 2 h nxhf3k 2 1k ny, 2 h nxhf2k ny,nxhf1kwhere 4k32k22k1k 6 1 ny1ny ------------------(1) Put n=0 in Eqn(1) [ ]4k32k22k1k 6 1 0y1y ++++= --------------------------(2) ( ) ( )3k0yh,0xhf4k 2 2k 0y, 2 h 0xhf3k 2 1k 0y, 2 h 0xhf2k 0y,0xhf1kwhere ++=       ++=       ++= = ( ) [ ] [ ] 12(1)(1)0.50y02xh 0y,0xhf1k === = 1.875 2 1 1 2 0.5 120.5 2 1k 0y 2 h 0x2h 2 1k 0y, 2 h 0xhf2k =            +      +=             +      +=       ++= 4218.2 2 1.875 1 2 0.5 120.5 2 2k 0y 2 h 0x2h 2 2k 0y, 2 h 0xhf3k =            +      +=             +      +=       ++=
  • 47.
    Taylor’s and Picard’smethods 48 Dr. V. Ramachandra Murthy ( ) ( )( )[ ] ( )( )[ ] 5.13272.421810.5120.5 3k0yh0x2 3k0yh,0xhf4k =++= ++= ++= h Substituting all these values in Eqn(2), we get [ ] 4543.3 5.13272(2.4218)2(1.875)1 6 1 11y = ++++= Problem(5): Obtain the values of y at x=0.1, 0.2 using Runge-Kutta method of 4th order for the differential equation y/y −= ; y(0)=1 correct to four decimal places. Soln: Given data: ( ) -yyx,f = , h=0.1 00x = 0.11x = 0.22x = 10y = ?1y = ?2y = The Runge-Kutta method of 4th order is given by [ ] ( ) ( )              ++=       ++=       ++= = ++++=+ 3knyh,nxhf4k 2 2k ny, 2 h nxhf3k 2 1k ny, 2 h nxhf2k ny,nxhf1kwhere 4k32k22k1k 6 1 ny1ny -----------(1) Put n=0 in Eqn(1) [ ]4k32k22k1k 6 1 0y1y ++++= -------------(2) ( ) ( )3k0yh,0xhf4k 2 2k 0y, 2 h 0xhf3k 2 1k 0y, 2 h 0xhf2k 0y,0xhf1kwhere ++=       ++=       ++= =
  • 48.
    Taylor’s and Picard’smethods 49 Dr. V. Ramachandra Murthy ( ) [ ] [ ] -0.11-0.10y-h 0y,0xhf1k === = 095.0 2 0.1 -10.1 2 1k 0yh 2 1k 0y, 2 h 0xhf2k −=            −=             +−=       ++= 0952.0 2 0.095 10.1 2 2k 0yh 2 2k 0y, 2 h 0xhf3k −=            −−=             +−=       ++= ( ) ( )[ ] ( )[ ] -0.09040.0952-10.1 3k0yh 3k0yh,0xhf4k =−= +−= ++= Substituting all these values in Eqn(2), we get [ ] 9048.00.0904-2(-0.0952)2(-0.095)0.1- 6 1 11y =+++= Put n=1 in Eqn(1) [ ]4k32k22k1k 6 1 1y2y ++++= -------------(3) ( ) ( )3k1yh,1xhf4k 2 2k 1y, 2 h 1xhf3k 2 1k 1y, 2 h 1xhf2k 1y,1xhf1k ++=       ++=       ++= = ( ) ( )[ ] [ ] -0.09049048.00.11y-h 1y,1xhf1k =−== =
  • 49.
    Taylor’s and Picard’smethods 50 Dr. V. Ramachandra Murthy -0.0859 2 0.0904 0.90480.1 2 1k 1yh 2 1k 1y, 2 h 1xhf2k =    −−=             +−=       ++= -0.0861 2 0.0859 0.90480.1 2 2k 1yh 2 2k 1y, 2 h 1xhf3k =            −−=             +−=       ++= ( ) ( )[ ] ( )[ ] 0.08180.0861-0.90480.1 3k1yh 3k1yh,1xhf4k −=−= +−= ++= Substituting all these values in Eqn(3), we get [ ] 8187.0 0.0818-2(-0.0861)2(-0.0859)0.0904- 6 1 0.90482y = +++= Problem(6): By using the Runge-Kutta method of fourth order find the approximate values of y(0.5) and y(1), given that yx 1 dx dy + = y(0)=1 correct to four decimal places. Soln: Given data: yx 1 dx dy + = , h=0.5 00x = 0.51x = 12x = 10y = ?1 =y ?2y = The Runge-Kutta method of 4th order is given by
  • 50.
    Taylor’s and Picard’smethods 51 Dr. V. Ramachandra Murthy [ ] ( ) ( )              ++=       ++=       ++= = ++++=+ 3knyh,nxhf4k 2 2k ny, 2 h nxhf3k 2 1k ny, 2 h nxhf2k ny,nxhf1kwhere 4k32k22k1k 6 1 ny1ny ---------------------(1) Put n=0 in Eqn(1) [ ]4k32k22k1k 6 1 0y1y ++++= -----------------------(2) ( ) ( )3k0yh,0xhf4k 2 2k 0y, 2 h 0xhf3k 2 1k 0y, 2 h 0xhf2k 0y,0xhf1kwhere ++=       ++=       ++= = ( ) 0.5 10 1 0.5 0y0x 1 h 0y,0xhf1k =    + =      + = = 3333.0 2 0.5 1 2 5.0 0 1 0.5 2 1k 0y 2 h 0x 1 h 2 1k 0y, 2 h 0xhf2k =           +++ =           +++ =       ++= 3529.0 2 0.3333 1 2 0.5 0 1 0.5 2 2k 0y 2 h 0x 1 h 2 2k 0y, 2 h 0xhf3k =           +++ =           +++ =       ++=
  • 51.
    Taylor’s and Picard’smethods 52 Dr. V. Ramachandra Murthy ( ) 0.2698 0.352910.50 1 0.5 3k0yh0x 1 h 3k0yh,0xhf4k =     +++ =      +++ = ++= Substituting all these values in Eqn(2), we get [ ] 3570.10.26982(0.3529)2(0.3333)0.5 6 1 11y =++++= Put n=1 in Eqn(1) [ ]4k32k22k1k 6 1 1y2y ++++= --------------(3) ( ) ( )3k1yh,1xhf4k 2 2k 1y, 2 h 1xhf3k 2 1k 1y, 2 h 1xhf2k 1y,1xhf1k ++=       ++=       ++= = ( ) 0.2692 1.3570.5 1 0.5 1y1x 1 h 1y,1xhf1k =    + =      + = = 2230.0 2 0.2692 1.3570 2 5.0 0.5 1 0.5 2 1k 1y 2 h 1x 1 h 2 1k 1y, 2 h 1xhf2k =           +++ =           +++ =       ++= 2253.0 2 0.2230 1.357 2 0.5 0.5 1 0.5 2 2k 1y 2 h 1x 1 h 2 2k 1y, 2 h 1xhf3k =           +++ =           +++ =       ++=
  • 52.
    Taylor’s and Picard’smethods 53 Dr. V. Ramachandra Murthy ( ) 0.1936 0.22531.3570.50.5 1 0.5 3k1yh1x 1 h 3k1yh,1xhf4k =     +++ =      +++ = ++= Substituting all these values in Eqn(3), we get [ ] 5835.1 0.19362(0.2253)2(0.2230)0.2692 6 1 1.35702y = ++++= Problem(7): By using the Runge-Kutta method of fourth order solve the initial value problem 2yx3e/y += ; y(0)=0 at x=0.1 correct to three decimal places. Soln: Given data: ( ) 2yx3eyx,f += , h=0.1 00x = 0.11x = 00y = ?1y = The Runge-Kutta method of 4th order is given by [ ] ( ) ( )3knyh,nxhf4k 2 2k ny, 2 h nxhf3k 2 1k ny, 2 h nxhf2k ny,nxhf1kwhere 4k32k22k1k 6 1 ny1ny ++=       ++=       ++= = ++++=+ ---------------(1) Put n=0 in Eqn(1) [ ]4k32k22k1k 6 1 0y1y ++++= -------------------(2)
  • 53.
    Taylor’s and Picard’smethods 54 Dr. V. Ramachandra Murthy ( ) ( )3k0yh,0xhf4k 2 2k 0y, 2 h 0xhf3k 2 1k 0y, 2 h 0xhf2k 0y,0xhf1kwhere ++=       ++=       ++= = ( ) 0.32(0)03e0.1 02yx3eh 0y,0xhf1k 0 =     +=     += = 0.345 2 0.3 02 ) 2 0.1 (0 3e0.5 2 1k 0y2 ) 2 h (x 3eh 2 1k 0y, 2 h 0xhf2k 0 =                 ++ + =                 ++ + =       ++= 0.349 2 0.345 02 ) 2 0.1 (0 3e0.1 2 2k 0y2 ) 2 h (x 3eh 2 2k 0y, 2 h 0xhf3k 0 =                 ++ + =                 ++ + =       ++= ( ) ( ) ( ) 401.0 349.002)1.0(03e1.03k0y2h)(x3eh 3k0yh,0xhf4k 00 =     +++=     +++= ++= Substituting all these values in Eqn(2), we get [ ] 348.0 0.4012(0.349)2(0.345)0.3 6 1 01y = ++++= Problem(8): Obtain the value of y at x=0.2 using Runge-Kutta method of 4th order for
  • 54.
    Taylor’s and Picard’smethods 55 Dr. V. Ramachandra Murthy the differential equation xy x-y/y + = ; y(0)=1 correct to four decimal places. Soln: Given data: ( ) xy x-y yx,f + = , h=0.2 00x = 0.21x = 10y = ?1y = The Runge-Kutta method of 4th order is given by [ ] ( ) ( ) )1.(.............................. 3knyh,nxhf4k 2 2k ny, 2 h nxhf3k 2 1k ny, 2 h nxhf2k ny,nxhf1kwhere 4k32k22k1k 6 1 ny1ny              ++=       ++=       ++= = ++++=+ Put n=0 in Eqn(1) [ ]4k32k22k1k 6 1 0y1y ++++= -----------------(2) ( ) ( )3k0yh,0xhf4k 2 2k 0y, 2 h 0xhf3k 2 1k 0y, 2 h 0xhf2k 0y,0xhf1kwhere ++=       ++=       ++= = ( ) 0.2 01 0-1 0.2 0x0y 0x0y h 0y,0xhf1k =    + =      + − = =
  • 55.
    Taylor’s and Picard’smethods 56 Dr. V. Ramachandra Murthy 0.1666 2 0.2 0 2 0.2 1 2 0.2 0 2 0.2 1 0.2 2 h 0x 2 1k 0y 2 h 0x 2 1k 0y h 2 1k 0y, 2 h 0xhf2k =                   ++      +       +−      + =                   ++      +       +−      + =       ++= 0.1661 2 0.2 0 2 0.1666 1 2 0.2 0 2 0.1666 1 0.2 2 h 0x 2 2k 0y 2 h 0x 2 2k 0y h 2 2k 0y, 2 h 0xhf3k =                   ++      +       +−      + =                   ++      +       +−      + =       ++= ( ) ( ) ( ) ( ) ( ) ( ) ( ) ( ) ( ) 1414.0 2.001661.01 2.001661.01 0.2 h0x3k0y h0x3k0y 0.2 3k0yh,0xhf4k =       +++ +−+ =      +++ +−+ = ++= Substituting all these values in Eqn(2), we get [ ] 1678.1 0.14142(0.1661)2(0.1666)0.2 6 1 11y = ++++= Problem(9): Evaluate y(1.1) by fourth order Runge-Kutta method given that 2x 1 x y/y =+ , y(1)=1 correct to four decimal places. {Ans: y(1.1)=0.9958} Problem(10): Using Runge-Kutta method of fourth order solve 2x2y 2x2y dx dy + − = y(0)=1 at x=0.2 and 0.4. {Ans: y(0.2)=1.1959, y(0.4)=1.3751}
  • 56.
    Taylor’s and Picard’smethods 57 Dr. V. Ramachandra Murthy Numerical Methods Predictor-Corrector methods (Multi Step Methods) The methods in which the construction of involves the use of not only the solution but also some of its predecessors are called Multi step methods. Milne’s Predictor-Corrector Method Consider the differential equation Milne’s predictor and corrector formula is given by Problem(1) Find y(2) if y(x) is the solution of , given that y(0)=2, y(0.5)=2.636, y(1)=3.595, y(1.5)=4.968 using Milne’s Predictor-Corrector method correct to four decimal places. Soln: Given data , h=0.5 x0 = 0 x1 = 0.5 x2 = 1.0 x3 = 1.5 x4 = 2.0 y0 = 0 y1 = 2.636 y2 = 3.595 y3 = 4.968 y4 = ? Milne’s Predictor formula is given by 1ny + ny ,....etc)2-ny,1-ny(i.e 00 y)y(x;y)f(x, dx dy == ( ) ( ) ( ) ( ) 0rfor (r) c4, y (r) 4 y&p4,y (0) 4 ywhere (0) 4 y,4xf (0) 4 f:Note (r) 4 y,4xf (r) 4 f,3y,3xf3f,2y,2xf2f,1y,1xf1fwhere formulaCorrector(2) (r) 4 f34f2f 3 h 2y 1)(r c4, y formulaPredictor(1)32f2f12f 3 4h 0yp4,y ≠==     =      ==== →−−−−−      +++= + →−−−−−+−+= 2 yx dx dy + = 2 yx y)f(x, + = ( ) (1)2ff2f 3 4h yy 3210p4, −−−−−+−+=
  • 57.
    Taylor’s and Picard’smethods 58 Dr. V. Ramachandra Murthy Substituting all the values in eqn(1) we get, Milne’s Corrector formula is given by First improvement: Put r=0 in eqn(2) Second improvement: Put r=1 in eqn(2) 2 yx )y,f(xf ii iii + ==ix iy 0.5x1 = 1x2 = 1.5x3 = 636.2y1 = 595.3y2 = 968.4y3 = 568.1 2 2.6360.5 2 yx f 11 1 = + = + = 2975.2 2 3.5951 2 yx f 22 2 = + = + = 234.3 2 4.9681.5 2 yx f 33 3 = + = + = { } 871.6)234.3(22975.2)568.1(2 3 4(0.5) 2y p4, =+−+= ( ) ( )(r) 44 (r) 4 (r) 4322 1)(r c4, y,xffwhere)2(f4ff 3 h yy =−−−−−+++=+ ( ) ( ) ( ) ( ) 6.87314.43554(3.234)2.2975 3 0.5 3.595y 4.4355 2 6.8712 2 yx y,xfy,xff Where,f4ff 3 h yy (1) c4, p4,4 p4,4 (0) 44 (0) 4 (0) 4322 (1) c4, =+++=∴ = + = + === +++= ( ) ( ) ( ) ( )4.43654(3.234)2.2975 3 0.5 3.595y 4.4365 2 6.87312 2 yx y,xfy,xff where f4ff 3 h yy (2) c4, (1) c4,4(1) c4,4 (1) 44 (1) 4 (1) 4322 (2) c4, +++=∴ = + = + === +++=
  • 58.
    Taylor’s and Picard’smethods 59 Dr. V. Ramachandra Murthy Third improvement: Put r=2 in eqn(2) Since are the same up to four decimal places y(2)=6.8733 Problem(2): Use Milne’s method to find y(0.3) from , y(0)=1 after computing y(-0.1),y(0.1) and y(0.2) by Taylor’s series method correct to four decimal places.. Soln: Given data , h=0.1, , We shall first find y(-0.1),y(0.1) and y(0.2) by Taylor’s series method. By Taylor’s series method, we have _____(1) Put n=0 in eqn(1) ____(2) 22 yx dx dy += ( ) ( ) ( ) ( ) 6.87334.43664(3.234)2.2975 3 0.5 3.595y 4.4366 2 6.87332 2 yx y,xfy,xff where f4ff 3 h yy (3) c4, (2) c4,4(2) c4,4 (2) 44 (2) 4 (2) 4322 (3) c4, =+++=∴ = + = + === +++= (3) c4, (2) c4, y&y 22 yxy)f(x, += 0x0 = 2y0 = .....y 3! h y 2! h y 1! h y)f(xy /// n 3 // n 2 / nn1n1n ++++== ++ ( )( ) ( ) ( )///////////////IV 2////// /// 22/ y3yyy2y2yyyyy2y yyy22y 2yy2xy yxyGiven +=++= ++= +=∴ += .....y 3! h y 2! h y 1! h y)f(xy /// 0 3 // 0 2 / 0011 ++++== ( )( ) ( ) 28yy3yy2y 8yyy22y 2y2y2xy 1yxy // 0 / 0 /// 00 IV 0 2/ 0 // 00 /// 0 / 000 // 0 2 0 2 0 / 0 =+= =++= =+= =+=
  • 59.
    Taylor’s and Picard’smethods 60 Dr. V. Ramachandra Murthy Substituting all these values in Eqn(2), we get ∴ y(0.1)=1.1114 similarly y(-0.1)=0.9087, y(0.2)=1.2529 Thus Milne’s Predictor formula is given by Substituting all the values in eqn(3) we get, Milne’s Corrector formula is given by First improvement: Put r=0 in eqn(4) ( ) ( ) ( ) 1.1114 .......(28) 4! 0.1 (8) 3! 0.1 (2) 2! 0.1 (1) 1! 0.1 1y 432 1 = +++++= 0.1x0 −= 1y1 = 0x1 = 0.1x2 = 0.2x3 = 0.3x4 = 9087.0y0 = 1114.1y2 = 2529.1y3 = ?y4 = ( ) (3)32f2f12f 3 4h 0yp4,y −−−−−+−+= ( ) ( )2 i 2 iiii yx)y,f(xf +==ix iy 0x1 = 1y1 = ( ) ( ) ( ) ( ) 110yxf 222 1 2 11 =+=+= 0.1x2 = 1114.1y2 = ( ) ( ) 2452.1yxf 2 2 2 22 =+= 0.2x3 = 2529.1y3 = ( ) ( ) 6097.1yxf 2 3 2 33 =+= { } 4385.1)6097.1(22452.1)1(2 3 4(0.1) 0.9087y p4, =+−+= 0, (r) c4, y (r) 4 fp4,y (0) 4 f (r) 4 y,4xf (r) 4 fwhere)4( (r) 4 f34f2f 3 h 2y 1)(r c4, y ≠==      =−−−−−      +++= + rand
  • 60.
    Taylor’s and Picard’smethods 61 Dr. V. Ramachandra Murthy ( ) ( ) ( ) ( ) ( ) 4395.11592.24(1.6097)1.2452 3 0.1 1.1114 (1) c4, y 1592.221.438520.32 p4,y2 4x (0) 4 f (0) 4 y,4xf (0) 4 fWhere, (0) 4 f34f2f 3 h 2y (1) c4, y =+++=∴ =+=+=∴      =      +++= Second improvement: Put r=1 in eqn(4) ( ) ( ) ( ) ( ) 4396.1 (3) c4, ysimilarly 1.43961621.24(1.6097)1.2452 3 0.1 1.1114 (2) c4, y 2.162121.439520.3 2 (1) c4, y2 4x (1) c4, y,4xf (1) 4 y,4xf (1) 4 f where (1) 4 f34f2f 3 h 2y (2) c4, y = =+++=∴ =+=      +=     =     =       +++= Since (3) c4, y& (2) c4, y are the same up to four decimal places y(0.3)=1.4396 Problem(3): Using Milne’s method find y(4.4) given that 022y/5xy =−+ y(4)=1, y(4.1)=1.0049, y(4.2)=1.0097, y(4.3)=1.0143 correct to four decimal places. Soln: 0.1h, 5x 2y2 y)f(x,:dataGiven = − = Milne’s Predictor formula is given by ( ) (1)32f2f12f 3 4h 0yp4,y −−−−−+−+= 40x = 0049.11y = 4.11x = 4.22x = 4.33x = 4.44x = 10y = 0097.12y = 0143.13y = ?4y =
  • 61.
    Taylor’s and Picard’smethods 62 Dr. V. Ramachandra Murthy Substituting all the values in eqn(1) we get, { } 0816.1)0451.0(20466.0)0483.0(2 3 4(0.1) 1p4,y =+−+= Milne’s Corrector formula is given by      =−−−−−      +++= + (r) 4 y,4xf (r) 4 fwhere)2( (r) 4 f34f2f 3 h 2y 1)(r c4, y 0, (r) c4, y (r) 4 fp4,y (0) 4 f ≠== rand First improvement: Put r=0 in eqn(2) ( ) i5x 2 iy2 )iy,if(xif − == ix iy 4.11x = 4.22x = 4.33x = 0049.11y = 0097.12y = 0143.13y = ( ) ( ) 0.0483 5(4.1) 21.00492 15x 2 1y2 1f = − = − = ( ) ( ) 0.0466 5(4.2) 21.00972 25x 2 2y2 2f = − = − = ( ) ( ) 0.0451 5(4.3) 21.01432 35x 2 3y2 3f = − = − =
  • 62.
    Taylor’s and Picard’smethods 63 Dr. V. Ramachandra Murthy ( ) ( ) ( ) ( ) 0187.10.04374(0.0451)0.0466 3 0.1 1.0097 (1) c4, y 0437.0 5(4.4) 21.01862 45x 2 p4,y2 p4,y,4xf (0) 4 y,4xf (0) 4 f Where, (0) 4 f34f2f 3 h 2y (1) c4, y =+++=∴ = − = − ==     =       +++= Second improvement: Put r=1 in eqn(2) ( ) ( ) 0187.10437.04(0.0451)0.0466 3 0.1 1.0097 (2) c4, y 0437.0 5(4.4) 21.01872 45x 2 (1) c4, y2 (1) c4, y,4xf (1) 4 y,4xf (1) 4 f where (1) 4 f34f2f 3 h 2y (2) c4, y =+++=∴ = − =      − =     =     =       +++= Since (2) c4, y& (1) c4, y are the same up to four decimal places y(4.4)=1.0187 Problem(4): Given 2y2x1 2 1 dx dy      += and y(0)=1, y(0.1)=1.06, y(0.2)=1.12, y(0.3)=1.21. Evaluate y(0.4) by Milne’s Predictor-Corrector method. Soln : 0.1h,2y2x1 2 1 y)f(x,:dataGiven =     += Milne’s Predictor formula is given by 00x = 06.11y = 0.11x = 0.22x = 0.33x = 10y = 12.12y = 21.13y = ?4y = 0.44x =
  • 63.
    Taylor’s and Picard’smethods 64 Dr. V. Ramachandra Murthy ( ) (1)32f2f12f 3 4h 0yp4,y −−−−−+−+= Substituting all the values in eqn(1) we get, { } 2771.1)7979.0(26522.0)5674.0(2 3 4(0.1) 1p4,y =+−+= Milne’s Corrector formula is given by )2( (r) 4 f34f2f 3 h 2y 1)(r c4, y −−−−−      +++= + 0, (r) c4, y (r) 4 fp4,y (0) 4 f, (r) 4 y,4xf (r) 4 fewher ≠==     = rand First improvement: Put r=0 in eqn(2) 2 i y2 i x1 2 1 )iy,if(xif      +== ix iy 0.11x = 0.22x = 0.33x = 06.11y = 12.12y = 21.13y = 5674.02 1 y2 1 x1 2 1 1f =     += 6522.02 2 y2 2 x1 2 1 2f =     += 7979.02 3 y2 3 x1 2 1 3f =     +=
  • 64.
    Taylor’s and Picard’smethods 65 Dr. V. Ramachandra Murthy ( ) ( ) ( ) 2796.10.94594(0.7979)0.6522 3 0.1 1.12 (1) c4, y 9459.022771.124.01 2 12 p4, y2 4 x1 2 1(0) 4 y,4xf (0) 4 f Where, (0) 4 f34f2f 3 h 2y (1) c4, y =+++=∴ =     +=     +=     =       +++= Second improvement: Put r=1 in eqn(2) ( ) ( ) ( ) 1.2797 (3) c4, ySimilarly 1.27970.94964(0.7979)0.6522 3 0.1 1.12 (2) c4, y 0.949621.279620.41 2 1(1) c4, y2 4 x1 2 1(1) 4 y,4xf (1) 4 f Where, (1) 4 f34f2f 3 h 2y (2) c4, y = =+++=∴ =     +=     +=     =       +++= Since (3) c4, y& (2) c4, y are the same up to four decimal places y(0.4)=1.2797 Problem(5): Using Milne’s predictor-corrector method solve 2y2y dx dy −= y(0)=1 for x=0.2 if y(0.05)=1.0499, y(0.1)=1.0996, y(0.15)=1.1488 correct to four decimal places. Soln: 0.05h,2y2yy)f(x,:dataGiven =−= Milne’s Predictor formula is given by ( ) (1)32f2f12f 3 4h 0yp4,y −−−−−+−+= 00x = 0499.11y = 0.051x = 0.12x = 0.153x = 0.44x = 10y = 0996.12y = 1488.13y = ?4y = 2 i y-i2y)iy,if(xif ==ix iy 0.051x = 0499.11y = 9975.02 1 y-12y1f ==
  • 65.
    Taylor’s and Picard’smethods 66 Dr. V. Ramachandra Murthy 9960.02 2 y-22y2f == Substituting all the values in eqn(1) we get, { } 1969.1)9778.0(29960.0)9975.0(2 3 4(0.05) 1p4,y =+−+= Milne’s Corrector formula is given by 0, (r) c4, y (r) 4 fp4,y (0) 4 f, (r) 4 y,4xf (r) 4 fwhere )2( (r) 4 f34f2f 3 h 2y 1)(r c4, y ≠==     = −−−−−      +++= + rand First improvement: Put r=0 in eqn(2) ( ) ( ) ( ) ( ) 1.19740.96124(0.9778)0.9960 3 0.05 1.0996 (1) c4, y 0.961221.19691.196922 p4,yp4,2y (0) 4 y,4xf (0) 4 f Where, (0) 4 f34f2f 3 h 2y (1) c4, y =+++=∴ =−=−=     =       +++= Second improvement: Put r=1 in eqn(4) ( ) ( ) ( ) 1.1974 0.96104(0.9778)0.9960 3 0.05 1.0996 (2) c4, y 0.961021.19741.19742 2 (1) c4, y (1) c4, 2y (1) 4 y,4xf (1) 4 f Where, (1) 4 f34f2f 3 h 2y (2) c4, y = +++=∴ =−=     −=     =       +++= Since (2) c4, y& (1) c4, y are the same up to four decimal places y(0.2)=1.1974 0.12x = 0.153x = 0996.12y = 1488.13y = 9778.02 3 y-32y3f ==
  • 66.
    Taylor’s and Picard’smethods 67 Dr. V. Ramachandra Murthy Problem(6): Solve the initial value problem 1y(0);2xy1 dx dy =+= for x=0.4 by Milne’s predictor and corrector method correct to three decimal places, given that Soln: 0.1h,2y1y)f(x,:dataGiven =+= x Milne’s Predictor formula is given by ( ) (1)32f2f12f 3 4h 0yp4,y −−−−−+−+= ( )( ) 122.12105.11.012 1 y1x11f =+=+= ( )( ) 299.12223.12.012 2 y2x12f =+=+= ( )( ) 1.55021.3550.312 3 y3x13f =+=+= Substituting all the values in eqn(1) we get, { } 526.1)550.1(2299.1)122.1(2 3 4(0.1) 1p4,y =+−+= x 0.1 0.2 0.3 y 1.105 1.223 1.355 00x = 105.11y = 0.11x = 0.22x = 0.33x = 0.44x = 10y = 223.12y = 355.13y = ?4y = 2 i yix1)iy,if(xif +==ix iy 0.11x = 0.22x = 0.33x = 105.11y = 223.12y = 355.13y =
  • 67.
    Taylor’s and Picard’smethods 68 Dr. V. Ramachandra Murthy Milne’s Corrector formula is given by 0, (r) c4, y (r) 4 fp4,y (0) 4 f, (r) 4 y,4xf (r) 4 fwhere )2( (r) 4 f34f2f 3 h 2y 1)(r c4, y ≠==     = −−−−−      +++= + rand First improvement: Put r=0 in eqn(2) ( ) ( )( ) ( ) 1.5371.9314(1.550)1.299 3 0.1 1.223 (1) c4, y 1.93121.5260.412 p4,y4x1 (0) 4 y,4xf (0) 4 f Where, (0) 4 f34f2f 3 h 2y (1) c4, y =+++=∴ =+=+=     =       +++= Second improvement: Put r=1 in eqn(2) ( )( ) ( ) 1.537 1.9444(1.550)1.299 3 0.1 1.223 (2) c4, y 944.121.5370.41 2 (1) c4, y4x1 (1) 4 y,4xf (1) 4 f Where, (1) 4 f34f2f 3 h 2y (2) c4, y = +++=∴ =+=     +=     =       +++= Since (2) c4, y& (1) c4, y are the same up to four decimal places y(0.4)=1.537 Problem(7): Part of a Numerical solution of ( ) ( )y0.1x0.2 dx dy += is shown in the following table. x 0.00 0.05 0.10 0.15 y 2.0000 2.0103 2.0211 2.0323
  • 68.
    Taylor’s and Picard’smethods 69 Dr. V. Ramachandra Murthy Use Milne’s Predictor and corrector method to find the next entry in the table, correct to four decimal places. Soln: ( ) ( ) 0.05h,y0.1x0.2y)f(x,:dataGiven =+= Milne’s Predictor formula is given by ( ) (1)32f2f12f 3 4h 0yp4,y −−−−−+−+= ( ) ( ) iy0.1ix2.0)iy,if(xif +== ( ) ( ) 2110.00103.21.005.02.01f =+= ( ) ( ) 2221.00211.21.01.02.02f =+= ( ) ( ) 2332.00323.21.015.02.03f =+= Substituting all the values in eqn(1) we get, { } 0444.2)2332.0(22221.0)2110.0(2 3 4(0.05) 1p4,y =+−+= Milne’s Corrector formula is given by 0, (r) c4, y (r) 4 fp4,y (0) 4 f, (r) 4 y,4xf (r) 4 fwhere )2( (r) 4 f34f2f 3 h 2y 1)(r c4, y ≠==     = −−−−−      +++= + rand First improvement: Put r=0 in eqn(2) 00x = 0103.21y = 0.051x = 0.12x = 0.153x = 0.24x = 20y = 0211.22y = 0323.23y = ?4y = ix iy 0.11x = 0.22x = 0.33x = 105.11y = 223.12y = 355.13y =
  • 69.
    Taylor’s and Picard’smethods 70 Dr. V. Ramachandra Murthy ( ) ( ) ( ) 0444.20.24444(0.2332)0.2221 3 0.05 2.0211 (1) c4, y 0.24444(0.1)2.0440.22.0 p4,(0.1)y4x2.0 (0) 4 y,4xf (0) 4 f Where, (0) 4 f34f2f 3 h 2y (1) c4, y =+++=∴ =+= +=     =       +++= Since (1) c4, y&p4,y are the same up to four decimal places y(0.2)=2.0444 Problem(8): Determine the value of y(0.4) using Milne’s predictor and corrector method correct to four decimal places. Given that 1y(0);2yxy/y =+= Use Taylor’s series method to get the values of y(0.1),y(0.2) and y(0.3). {Ans: y(0.1)=1.1167, y(0.2)=1.2767, y(0.3)=1.5023 1.8376}y(0.4) (4) c4, y1.8376(3) c4, y1.8375,(2) c4, y1.8369,(1) c4, y1.8397,p4,y =∴ ===== Problem(9): By using the Milne’s predictor-corrector method find an approximate solution of the equation 0x, x 2y/y ≠= at the point x=2 given that y(1)=2, y(1.25)=3.13, y(1.5)=4.5 , y(1.75)=6.13. {Ans: 8.00}y(2) 8.00(2) c4, y8.00,(1) c4, y8.01,p4,y =∴ ===
  • 70.
    Taylor’s and Picard’smethods 71 Dr. V. Ramachandra Murthy Adam-Bashforth Predictor-Corrector Method Consider the differential equation 0y)0y(x;y)f(x, dx dy == Adam-Bashforth Predictor-Corrector formula is given by ( ) ( ) ( ) ( ) 0rfor (r) c4,y (r) 4y&p4,y (0) 4ywhere (0) 4y,4xf (0) 4f:Note (r) 4 y,4xf(r) 4 f,3y,3xf3f,2y,2xf2f,1y,1xf1fwhere formulaCorrector1f25f319f (r) 4 9f 24 h 3y 1)(r c4, y formulaPredictor09f137f259f355f 24 h 3yp4,y ≠==     =      ==== →      +−++= + →−+−+= Problem(1): Solve for y(2) given that ; 2 yx dx dy + = y(0)=2, y(0.5)=2.636, y(1.0)=3.595, y(1.5)=4.968 by Adam-Bashforth Predictor Corrector method correct to four decimal places. Soln: 0.5h, 2 yx y)f(x,:dataGiven = + = 00x = 0.51x = 1.02x = 1.53x = 2.04x = 636.21y = 595.32y = 968.43y = ?4y = Adam’s Predictor formula is given by ( ) -(1)-------09f137f259f355f 24 h 3yp4,y −+−+= 20y =
  • 71.
    Taylor’s and Picard’smethods 72 Dr. V. Ramachandra Murthy ix iy 2 iyix )iy,if(xif + == 00x = 20y = 1 2 20 2 0y0x )0y,0f(x0f = + = + == 0.51x = 636.21y = 568.1 2 636.25.0 2 1y1x )1y,1f(x1f = + = + == 12x = 595.32y = 2975.2 2 595.30.1 2 2y2x )2y,2f(x2f = + = + == 1.53x = 968.43y = 234.3 2 968.45.1 2 3y3x )3y,3f(x3f = + = + == ( ) ( ) ( ) ( )( ) 8707.6 191.568372.2975593.23455 24 0.5 4.968p4,y becomesEqn(1) = −+−+= ∴ Adam-Bashforth Corrector formula is given by (2)1f25f319f (r) 4 9f 24 h 3y 1)(r c4, y −−−−−−−      +−++= + 0rfor (r) c4, y (r) 4 y&p4,y (0) 4 ywhere (0) 4 y,4xf (0) 4 f ≠==     = First improvement: Put r=0 in eqn(2)
  • 72.
    Taylor’s and Picard’smethods 73 Dr. V. Ramachandra Murthy ( ) ( ) ( ) ( )( ) 6.8730 1.5682.297553.234194.43539 24 0.5 4.968 (1) c4, y 4.4353 2 6.87072 2 p4,y4x p4,y,4xf (0) 4 y,4xf (0) 4 fwhere 1f25f319f (0) 4 9f 24 h 3y (1) c4, y = +−++=∴ = + = + ==     =       +−++= Second improvement: Put r=1 in eqn(2) ( ) ( ) ( )( ) 6.8733 1.5682.297553.234194.43659 24 0.5 4.968 (2) c4, y 4.4365 2 6.87302 2 (1) c4, y4x (1) c4, y,4xf (1) 4 y,4xf (1) 4 fwhere 1f25f319f (1) 4 9f 24 h 3y (2) c4, y = +−++=∴ = + = + =     =     =       +−++= Third improvement: Put r=2 in eqn(2) ( ) ( ) ( )( ) 6.8733 1.5682.297553.234194.43669 24 0.5 4.968 (3) c4, y 4.4366 2 6.87332 2 (2) c4, y4x (2) c4, y,4xf (2) 4 y,4xf (2) 4 f 1f25f319f (2) 4 9f 24 h 3y (3) c4, y = +−++=∴ = + = + =     =     =       +−++= Since (3) c4, y& (2) c4, y are the same up to four decimal places y(2)=6.8733
  • 73.
    Taylor’s and Picard’smethods 74 Dr. V. Ramachandra Murthy Problem(2): Obtain the solution of the initial value problem 2xy2x dx dy =− , y(1)=1 at x=1(0.1)1.3 by Taylor’s series method and at x=1.4 by Adam’s-Bashforth method correct to four decimal places. Soln: 0.1h1,0y1,0xy),(12xy2x2xy)f(x,Given ===+=+= By Taylor’s series method, we have ...../// ny 3! 3h// ny 2! 2h/ ny 1! h ny)1nf(x1ny ++++=+=+ _____(1) /y2xy)2x(1//y y)(12x/yGiven ++=∴ += ///y2x//6xy/6yIVySimilarly, //y2xy)2(1/4xy///y ++= +++= Put n=0 in eqn(1) ...../// 0y 3! 3h// 0y 2! 2h/ 0y 1! h 0y)1f(x1y ++++== ------ (2) 661x186x1x66x2/// 0 y2 0 x// 0 y06x/ 0 6yIV 0 y 181x61)2(14x1x2// 0 y2 0 x)0y2(1/ 0 y04x/// 0 y 61x21)2(1)(1/ 0 y2 0 x)0y(102x// 0 y 21)1(1)0y(12 0 x/ 0 y =++=++= =+++=+++= =++=++= =+=+= Substituting all these values in Eqn(2), we get ( ) ( ) ( ) 1.2332 .......(66) 24 40.1 (18) 3! 30.1 (6) 2! 20.1 (2) 1! 0.1 11y = +++++= Put n=1 in eqn(1) ...../// 1y 3! 3h// 1y 2! 2h/ 1y 1! h 1y2y ++++= ----------(3)
  • 74.
    Taylor’s and Picard’smethods 75 Dr. V. Ramachandra Murthy ( ) ( ) 99.5907/// 1 y2 1 x// 1 y16x/ 1 6yIV 1 y 25.8968// 1 y2 1 x)1y2(1/ 1 y14x/// 1 y 7.8853 2.702121.11.2332)2(1.1)(1/ 1 y2 1 x)1y(112x// 1 y 2.70211.2332)(121.1)1y(12 1 x/ 1 y =++= =+++= = ++=++= =+=+= Substituting all these values in Eqn(3), we get ( ) ( ) ( ) 1.5475 .......(99.5907) 4! 40.1 (25.8968) 3! 30.1 (7.8853) 2! 20.1 (2.7021) 1! 0.1 1.23322y = ++ +++= similarly 9785.13y = Thus 5475.12y = 9785.13y = Adam Predictor formula is given by ( )09f137f259f355f 24 h 3yp4,y −+−+= ---------(4) ( ) ( )iy12 ix)iy,if(xif +== ( ) ( ) ( ) ( ) 211210y12 0x0f =+=+= ( ) ( ) ( ) ( ) 7021.2 1.2332121.11y12 1x1f = +=+= ( ) ( ) ( ) ( ) 6684.3 1.5475121.22y12 2x2f = +=+= ( ) ( ) ( ) ( ) 0336.5 1.9785121.33y12 3x3f = +=+= 10x = 2332.11y = 1.11x = 1.22x = 1.33x = 1.44x = 10y = ?4y = ix iy 10x = 10y = 1.11x = 2332.11y = 1.22x = 5475.12y = 1.33x = 9785.13y =
  • 75.
    Taylor’s and Picard’smethods 76 Dr. V. Ramachandra Murthy ( ) ( ) ( ) ( )( ) 8707.6 191.568372.2975593.23455 24 0.5 4.968p4,y becomesEqn(4) = −+−+= ∴ Adam-Bashforth Corrector formula is given by       +−++= + 1f25f319f (r) 4 9f 24 h 3y 1)(r c4, y ---------(5) 0rfor (r) c4, y (r) 4 y&p4,y (0) 4 ywhere (0) 4 y,4xf (0) 4 f ≠==     = First improvement: Put r=0 in eqn(5) ( ) ( ) ( ) ( ) ( ) 7.0005 2.5717121.4p4,y12 4xp4,y,4xf0 4 y,4xf (0) 4 f where1f25f319f (0) 4 9f 24 h 3y (1) c4, y = +=+==    =       +−++= ( ) ( ) ( )( ) 2.5743 2.70213.668455.0336197.00059 24 0.1 1.9785 (1) c4, y = +−++=∴ Second improvement: Put r=1 in eqn(5) ( ) ( ) ( ) 2.5745 (3) c4, ySimilarly2.5745 (2) c4, y 7.0056 2.5743121.4 (1) c4, y12 4x (1) c4, y,4xf (1) 4 y,4xf (1) 4 f where1f25f319f (1) 4 9f 24 h 3y (2) c4, y ==∴ = +=      +=     =     =       +−++= Since (3) c4, y& (2) c4, y are the same up to four decimal places y(1.4)=2.5745
  • 76.
    Taylor’s and Picard’smethods 77 Dr. V. Ramachandra Murthy Problem(3): Solve for y(0.4) given that ;2yx dx dy −= y(0)=1, y(0.1)=0.9117, y(0.2)=0.8494, y(0.3)=0.8061 by Adam-Bashforth Predictor Corrector method correct to four decimal places. Soln 0.1h,2yxy)f(x,:dataGiven: =−= Adam Predictor formula is given by ( )09f137f259f355f 24 h 3yp4,y −+−+= --------(1) ( )2 iy-ix)iy,if(xif == ( ) ( ) 121-02 0y-0x0f −=== ( ) ( ) 7311.0 20.9117-0.12 1y-1x1f −= == ( ) ( ) 0.5214 20.8494-0.22 2y-2x2f −= == ( ) ( ) 0.3497 20.8061-0.32 3y-3x3f −= == ( ) ( ) ( ) ( )( ) 7789.0 1-90.7311-370.5214-590.3497-55 24 0.1 0.8061p4,y becomesEqn(1) = −+−+= ∴ Adam-Bashforth Corrector formula is given by 00x = 10y = 9117.01y = 0.11x = 0.22x = 8494.02y = 0.33x = 8061.03y = 0.44x = ?4y = 0.33x = 8061.03y = 0.22x = 8494.02y = 0.11x = 9117.01y = 00x = 10y = ix iy
  • 77.
    Taylor’s and Picard’smethods 78 Dr. V. Ramachandra Murthy       +−++= + 1f25f319f (r) 4 9f 24 h 3y 1)(r c4, y ---------(2) 0rfor (r) c4, y (r) 4 y&p4,y (0) 4 ywhere (0) 4 y,4xf (0) 4 f ≠==     = First improvement: Put r=0 in eqn(2) ( ) ( ) ( ) ( ) ( ) ( ) 0.7784 0.7311 0.5214-50.3497-190.2066-9 24 0.1 0.8061 (1) c4, y 0.206620.77890.42 p4,y4xp4,y,4xf (0) 4 y,4xf (0) 4 f where1f25f319f (0) 4 9f 24 h 3y (1) c4, y =       − −+ +=∴ −=−=−==     =       +−++= Second improvement: Put r=1 in eqn(2) ( ) ( ) ( ) ( )( ) 0.7785 (3) c4, ySimilarly 0.7785 0.73110.5214-50.3497-190.2059-9 24 0.1 0.8061 (2) c4, y 0.205920.77840.4 2 (1) c4, y4x (1) c4, y,4xf (1) 4 f where1f25f319f (1) 4 9f 24 h 3y (2) c4, y = = −−++=∴ −=−=     −=     =       +−++= Since (3) c4, y& (2) c4, y are the same up to four decimal places y(0.4)=0.7785 Problem(4): Solve ; 2 xy dx dy = for x=0.4 using Adam-Bashforth Predictor Corrector method correct to four decimal places. Given that y(0)=1, y(0.1)=1.01, y(0.2)=1.022, y(0.3)=0.1023.
  • 78.
    Taylor’s and Picard’smethods 79 Dr. V. Ramachandra Murthy Soln: 0.1h, 2 xy y)f(x,:dataGiven == Adam Predictor formula is given by ( )09f137f259f355f 24 h 3yp4,y −+−+= --------(1) ix iy 2 iyix )iy,if(xif == 00x = 10y = 0 2 0(1) 2 0y0x 0f === 0.11x = 01.11y = 0505.0 2 0.1(1.01) 2 1y1x 1f === 0.22x = 022.12y = 1022.0 2 0.2(1.022) 2 2y2x 2f === 0.33x = 023.13y = 1534.0 2 0.3(1.023) 2 3y3x 3f === ( ) ( ) ( ) ( )( ) 0408.1 090.0505370.1022590.153455 24 0.1 1.023p4,y becomesEqn(1) = −+−+= ∴ Adam-Bashforth Corrector formula is given by       +−++= + 1f25f319f (r) 4 9f 24 h 3y 1)(r c4, y ---------(2) 0rfor (r) c4, y (r) 4 y&p4,y (0) 4 ywhere (0) 4 y,4xf (0) 4 f ≠==     = 00x = 10y = 01.11y = 0.11x = 0.22x = 022.12y = 0.33x = 0.44x = 023.13y = ?4y =
  • 79.
    Taylor’s and Picard’smethods 80 Dr. V. Ramachandra Murthy First improvement: Put r=0 in eqn(2) ( ) ( ) ( ) ( ) 1.0410 0505.0 0.102250.1534190.20819 24 0.1 023.1 (1) c4, y 2081.0 2 )0.4(1.0408 2 p4,y4x p4,y,4xf0 4 y,4xf (0) 4 f where1f25f319f (0) 4 9f 24 h 3y (1) c4, y =       + −+ +=∴ ====    =       +−++= Second improvement: Put r=1 in eqn(2) ( ) ( ) ( ) 1.0410 0505.0 0.102250.1534190.20829 24 0.1 023.1 (2) c4, y 2082.0 2 )0.4(1.0410 2 (1) c4, y4x (1) c4, y,4xf (1) 4 f where1f25f319f (1) 4 9f 24 h 3y (2) c4, y =       + −+ +=∴ ===     =       +−++= Since (2) c4, y& (1) c4, y are the same up to four decimal places y(0.4)=1.0410 Problem(5): Solve ; yx 1 dx dy + = for x=0.8 using Adam-Bashforth Predictor Corrector method correct to four decimal places. Given that y(0)=2, y(0.2)=2.0932, y(0.4)=2.1754, y(0.6)=2.2492. Soln: 0.2h, yx 1 y)f(x,:dataGiven = + = 2492.23y = Adam- Predictor formula is given by ( )09f137f259f355f 24 h 3yp4,y −+−+= --------(1) 00x = 0932.21y = 0.21x = 0.42x = 20y = 1754.22y = 0.33x = 0.44x = ?4y =
  • 80.
    Taylor’s and Picard’smethods 81 Dr. V. Ramachandra Murthy ix iy iyix 1 )iy,if(xif + == 00x = 20y = 5.0 20 1 0y0x 1 0f = + = + = 0.21x = 0932.21y = 4360.0 0932.22.0 1 1y1x 1 1f = + = + = 0.42x = 1754.22y = 3882.0 1754.24.0 1 2y2x 1 2f = + = + = 0.63x = 2492.23y = 3509.0 2492.26.0 1 3y3x 1 3f = + = + = ( ) ( ) ( ) ( )( ) 2.3160 0.590.4360370.3882590.350955 24 0.2 2.2492p4,y becomesEqn(1) = −+−+= ∴ Adam-Bashforth Corrector formula is given by       +−++= + 1f25f319f (r) 4 9f 24 h 3y 1)(r c4, y ---------(2) 0rfor (r) c4, y (r) 4 y&p4,y (0) 4 ywhere (0) 4 y,4xf (0) 4 f ≠==     = First improvement: Put r=0 in eqn(2) ( ) ( ) ( ) ( )( ) 2.3162 0.43600.388250.3509190.32099 24 0.2 2.2492 (1) c4, y 0.3209 2.31600.8 1 p4,y4x 1 p4,y,4xf0 4 y,4xf (0) 4 f where1f25f319f (0) 4 9f 24 h 3y (1) c4, y = +−++=∴ = + = + ==    =       +−++=
  • 81.
    Taylor’s and Picard’smethods 82 Dr. V. Ramachandra Murthy Second improvement: Put r=1 in eqn(2) ( ) ( ) ( )( ) 2.3162 0.43600.388250.3509190.32099 24 0.2 2.2492 (2) c4, y 0.3209 2.31620.8 1 (1) c4, y4x 1(1) c4, y,4xf (1) 4 f where1f25f319f (1) 4 9f 24 h 3y (2) c4, y = +−++=∴ = + = + =     =       +−++= Since (2) c4, y& (1) c4, y are the same up to four decimal places y(0.8)=2.3162 Problem(6): Using Adam-Bashforth Predictor Corrector method evaluate y(1.4) if y satisfies 2x 1 x y dx dy =+ and y(1)=1, y(1.1)=0.996, y(1.2)=0.986, y(1.3)=0.972 correct to three decimal places. Soln: 0.1h, 2x xy1 x y 2x 1y)f(x,:dataGiven = − =−= Adam-Bashforth Predictor formula is given by ( )09f137f259f355f 24 h 3yp4,y −+−+= --------(1) 10x = 996.01y = 1.11x = 1.22x = 10y = 986.02y = 1.33x = 1.44x = 972.03y = ?4y =
  • 82.
    Taylor’s and Picard’smethods 83 Dr. V. Ramachandra Murthy ix iy ( )2 ix iyix-1 )iy,if(xif == 00x = 10y = ( ) ( ) 0 21 1x1-1 2 0x 0y0x-1 0f === .111x = 996.01y = ( ) ( ) 0.079 21.1 1.1x0.996-1 2 1x 1y1x-1 1f −= == 1.22x = 986.02y = ( ) ( ) 0.127 21.2 1.2x0.986-1 2 2x 2y2x-1 2f −= == 1.33x = 972.03y = ( ) ( ) 155.0 21.3 1.3x0.972-1 2 3x 3y3x-1 3f −= == ( ) ( ) ( ) ( )( ) 955.0 090.079-370.127-590.155-55 24 0.1 0.972p4,y becomesEqn(1) = −+−+= ∴ Adam’s-Bashforth Corrector formula is given by       +−++= + 1f25f319f (r) 4 9f 24 h 3y 1)(r c4, y --------(2) 0rfor (r) c4, y (r) 4 y&p4,y (0) 4 ywhere (0) 4 y,4xf (0) 4 f ≠==     = First improvement: Put r=0 in eqn(2) ( ) ( ) ( ) ( ) ( ) ( )( ) 955.00.0790.171-50.155-190.171-9 24 0.1 0.972 (1) c4, y -0.171 21.4 )1.4)(0.955-1 2 4x p4,y4x-1 p4,y,4xf) (0) 4 y,4( (0) 4 f where1f25f319f (0) 4 9f 24 h 3y (1) c4, y =−−++=∴ =====       +−++= xf Since (1) c4, y&p4,y are the same up to four decimal places y(1.4)=0.955
  • 83.
    Taylor’s and Picard’smethods 84 Dr. V. Ramachandra Murthy Problem(7): Using Adam-Bashforth Predictor Corrector method obtain the solution of y2x dx dy −= at x=0.4 correct to four places of decimals given that x: 0 0.1 0.2 0.3 y: 1 0.9051 0.8212 0.7491 Soln: 0.1hy,-2xy)f(x,:dataGiven == Adam-Bashforth Predictor formula is given by ( )09f137f259f355f 24 h 3yp4,y −+−+= --------(1) ix iy ( ) iy-2 ix)iy,if(xif == 00x = 10y = ( ) ( ) 11-200y-2 0x0f −=== .101x = 9051.01y = ( ) ( ) 8951.09051.0-20.11y-2 1x1f −=== 0.22x = 8212.02y = ( ) ( ) 7812.08212.0-20.22y-2 2x2f −=== 0.33x = 7491.03y = ( ) ( ) 6591.07491.0-20.33y-2 3x3f −=== 00x = 9051.01y = 0.11x = 0.22x = 10y = 8212.02y = 0.33x = 0.44x = 7491.03y = ?4y =
  • 84.
    Taylor’s and Picard’smethods 85 Dr. V. Ramachandra Murthy ( ) ( ) ( ) ( )( ) 6896.0 1-90.8951-370.7812-590.6591-55 24 0.1 0.7491p4,y becomesEqn(1) = −+−+= ∴ Adam-Bashforth Corrector formula is given by       +−++= + 1f25f319f (r) 4 9f 24 h 3y 1)(r c4, y --------(2) 0rfor (r) c4, y (r) 4 y&p4,y (0) 4 ywhere (0) 4 y,4xf (0) 4 f ≠==     = First improvement: Put r=0 in eqn(2) ( ) ( ) ( ) ( ) ( ) ( )( ) .68960 0.89510.7812-50.6591-190.5296-9 24 0.1 0.7491(1) c4, y -0.52960.6896-20.4p4,y-2 4xp4,y,4xf (0) 4f where1f25f319f (0) 4 9f 24 h 3y (1) c4, y = −−++=∴ ====       +−++= Since (1) c4, y&p4,y are the same up to four decimal places y(0.4)=0.6896 Problem(8): Using Adam-Bashforth Predictor Corrector method obtain the solution of yx2e dx dy −= for x=0.4 under the conditions y(0)=2, y(0.1)=2.010, y(0.2)=2.040 and y(0.3)=2.090 correct to four decimal places. Soln: 0.1h-y,x2ey)f(x,:dataGiven == Adam’s Predictor formula is given by ( )09f137f259f355f 24 h 3yp4,y −+−+= --------(1) 00x = 010.21y = 0.11x = 0.22x = 20y = 040.22y = 0.33x = 0.44x = 090.23y = ?4y =
  • 85.
    Taylor’s and Picard’smethods 86 Dr. V. Ramachandra Murthy ix iy iyx2e)iy,if(xif i −== 00x = 20y = 0202e0yx2e0f 0i =−=−= .101x = 010.21y = 0.20032.0100.12e1yx2e1f i =−=−= 0.22x = 040.22y = 0.40282.0400.22e2yx2e2f 2 =−=−= 0.33x = 090.23y = 0.60972.0900.32e3yx2e3f 3 =−=−= ( ) ( ) ( ) ( )( ) 2.1615 090.2003370.4028590.609755 24 0.1 2.090p4,y becomesEqn(1) = −+−+= ∴ Adam-Bashforth Corrector formula is given by       +−++= + 1f25f319f (r) 4 9f 24 h 3y 1)(r c4, y --------(2) 0rfor (r) c4, y (r) 4 y&p4,y (0) 4 ywhere (0) 4 y,4xf (0) 4 f ≠==     = First improvement: Put r=0 in eqn(2) ( ) ( ) ( ) ( )( ) 2.1615 0.20030.402850.6097190.82219 24 0.1 2.090(1) c4, y 2.16150.42ep4,yx2ep4,y,4xf) (0) 4y,4( (0) 4f where1f25f319f (0) 4 9f 24 h 3y (1) c4, y 4 = +−++=∴ −=−===       +−++= xf Since (1) c4, y&p4,y are the same up to four decimal places y(0.4)=2.1615
  • 86.
    Taylor’s and Picard’smethods 87 Dr. V. Ramachandra Murthy Problem(8): Using Adam-Bashforth Predictor Corrector method obtain the solution of 2yx dx dy −= at x=0.8 correct to four places of decimals given that x: 0 0.2 0.4 0.6 y: 0 0.0200 0.0795 0.1762 {Ans: y(0.8)=0.2416}