ALGEBRA
Math 10-3
LESSON 7
QUADRATIC EQUATIONS
Definition of a Quadratic Equation
A quadratic equation in x is an equation that can be written in
the standard quadratic form
ax2 + bx + c = 0
where a, b and c are real numbers and a  0.
Several methods can be used to solve a quadratic equation.
SOLVING QUADRATIC EQUATIONS
There are four algebraic methods of solving quadratic
equation in one variable, namely:
•solution by factoring
•solution by extraction of roots or taking square roots
•solution by completing the square
•solution by quadratic formula
SOLVING QUADRATIC EQUATIONS BY FACTORING
SOLVING QUADRATIC EQUATIONS BY FACTORING
For instance, if you can factor ax2 + bx + c into linear factors, then
ax2 + bx + c = 0 can be solved by applying
the following property.
The Zero Product Principle
If A and B are algebraic expressions such that AB = 0, then A = 0
or B = 0.
The zero product principle states that if the product of two
factors is zero, then at least one of the factors must be zero.
In Example 1, the zero product principle is used to solve a
quadratic equation.
SOLVE BY FACTORING
Solve each quadratic equation by factoring.
a. x2 + 2x – 15 = 0 b. 2x2 – 5x = 12
Solution:
a. x2 + 2x – 15 = 0
(x – 3)(x + 5) = 0
x – 3 = 0 or x + 5 = 0
x = 3 x = –5
A check shows that 3 and –5 are both solutions of
x2 + 2x – 15 = 0.
Factor.
Set each factor equal to zero.
Solve each linear equation.
EXAMPLE
SOLUTION
b. 2x2 – 5x = 12
2x2 – 5x – 12 = 0
(x – 4)(2x + 3) = 0
x – 4 = 0 or 2x + 3 = 0
x = 4 2x = –3
x =
A check shows that 4 and are both solutions of
2x2 – 5x = 12.
cont’d
Write in standard quadratic form.
Factor.
Set each factor equal to zero.
Solve each linear equation.
SOLVING QUADRATIC EQUATIONS BY FACTORING
Some quadratic equations have a solution that is called a double
root. For instance, consider x2 – 8x + 16 = 0.
Solving this equation by factoring, we have
x2 – 8x + 16 = 0
(x – 4)(x – 4) = 0
x – 4 = 0 or x – 4 = 0
x = 4 x = 4
Factor.
Set each factor equal to zero
Solve each linear equation.
SOLVING QUADRATIC EQUATIONS BY FACTORING
The only solution of x2 – 8x + 16 = 0 is 4. In this situation,
the single solution 4 is called a double solution or double
root because it was produced by solving the two identical
equations x – 4 = 0, both of which have 4 as a solution.
EXERCISES: SOLVE EACH QUADRATIC EQUATIONS
xx
xxxx
x
x
xx
xxxx
xxxx
xxxx
55.11
0644.100103.5
34
2
.9093025.4
13)13)(14(.801024.3
3)52(.7.0168.2
15812.6030.1
2
22
2
2
2
22






SOLVING QUADRATIC EQUATIONS BY TAKING SQUARE ROOTS
SOLVING QUADRATIC EQUATIONS BY TAKING SQUARE ROOTS
Recall that This principle can be used to solve some
quadratic equations by taking the square root of each side of the
equation.
In the following example, we use this idea to solve x2 = 25.
x2 = 25
=
| x | = 5
x = –5 or x = 5
The solutions are –5 and 5.
Take the square root of each side.
Use the fact that = |x| and
= 5.
Solve the absolute value equation.
We will refer to the preceding method of solving a quadratic
equation as the square root procedure.
The Square Root Procedure
If x2 = c, then x = or x = , which can also be written as
x = .
Example
If x2 = 9, then x = = 3 or x = = –3.
This can be written as x = 3.
SOLVING QUADRATIC EQUATIONS BY TAKING SQUARE ROOTS
If x2 = 7, then x = or x = .
This can be written as x =  .
If x2 = –4, then x = = 2i or x = = –2i.
This can be written as x = 2i.
SOLVING QUADRATIC EQUATIONS BY TAKING SQUARE ROOTS
SOLVE BY USING THE SQUARE ROOT PROCEDURE
Use the square root procedure to solve each equation.
a. 3x2 + 12 = 0 b. (x + 1)2 = 48
Solution:
a. 3x2 + 12 = 0
3x2 = –12
x2 = –4
x =
Solve for x2.
Take the square root of each side of the
equation and insert a plus-or-minus sign
in front of the radical.
EXAMPLE
SOLUTION
x = –2i or x = 2i
The solutions are –2i and 2i.
b. (x + 1)2 = 48
cont’d
Take the square root of each side of the
equation and insert a plus-or-minus sign
in front of the radical.
Simplify.
The solutions are and .
cont’d
SOLUTION
EXERCISES: SOLVE EACH QUADRATIC EQUATIONS
0582.5
01255.4
0)7(2y8.09.3
49)3(7.17)3(.2
202076.04.1
2
2
22
22
22





w
x
x
xx
xx
SOLVING QUADRATIC EQUATIONS BY COMPLETING THE
SQUARE
SOLVING QUADRATIC EQUATIONS BY COMPLETING THE
SQUARE
Consider two binomial squares and their perfect-square
trinomial products.
In each of the preceding perfect-square trinomials, the
coefficient of x2 is 1 and the constant term is the square of half
the coefficient of the x term.
x2 + 10x + 25,
x2 – 6x + 9,
Adding to a binomial of the form x2 + bx the constant term that
makes the binomial a perfect-square trinomial is called
completing the square.
For example, to complete the square of x2 + 8x, add
to produce the perfect-square trinomial x2 + 8x + 16.
SOLVING QUADRATIC EQUATIONS BY COMPLETING THE
SQUARE
Completing the square is a powerful procedure that can be used
to solve any quadratic equation.
For instance, to solve x2 – 6x + 13 = 0, first isolate the variable
terms on one side of the equation and the constant term on the
other side.
x2 – 6x = –13
x2 – 6x + 9 = –13 + 9
Subtract 13 from each side of
the equation.
Complete the square by adding
to each side of the
equation.
SOLVING QUADRATIC EQUATIONS BY COMPLETING THE
SQUARE
(x – 3)2 = –4
x – 3 =
x – 3 = 2i
x = 3  2i
The solutions of x2 – 6x + 13 = 0 are 3 – 2i and 3 + 2i.
You can check these solutions by substituting each solution into
the original equation.
Factor and solve by the square
root procedure.
SOLVING QUADRATIC EQUATIONS BY COMPLETING THE
SQUARE
For instance, the following check shows that 3 – 2i does satisfy
the original equation.
x2 – 6x + 13 = 0
(3 – 2i )2 – 6(3 – 2i ) + 13 ≟ 0
9 – 12i + 4i 2 – 18 + 12i + 13 ≟ 0
4 + 4(–1) ≟ 0
0 = 0
Substitute 3 – 2i for x.
Simplify.
The left side equals the right
side, so 3 – 2i checks.
SOLVING QUADRATIC EQUATIONS BY COMPLETING THE
SQUARE
Solve x2 = 2x + 6 by completing the square.
Solution:
x2 = 2x + 6
x2 – 2x = 6
x2 – 2x + 1 = 6 + 1
(x – 1)2 = 7
Isolate the constant term.
Complete the square.
Factor and simplify.
SOLVE BY COMPLETING THE SQUARE
SOLUTION
x – 1 =
x = 1
The exact solutions of x2 = 2x + 6 are and .
A calculator can be used to show that
and
The decimals –1.646 and 3.646 are approximate solutions of
x2 = 2x + 6.
cont’d
Apply the square root procedure.
Solve for x.
Completing the square by adding the square of half the
coefficient of the x term requires that the coefficient of the
x2 term be 1.
If the coefficient of the x2 term is not 1, then first multiply each
term on each side of the equation by the reciprocal of the
coefficient of x2 to produce a coefficient of 1 for the x2 term.
SOLVE BY COMPLETING THE SQUARE
EXERCISES: SOLVE EACH QUADRATIC EQUATIONS
78.5
8103.4
0372.3
1567.48.2
06426.1144.1
2
2
2
22
22





xx
xx
xx
xxxx
xxxx
SOLVING QUADRATIC EQUATIONS BY USING THE QUADRATIC
FORMULA
Completing the square for ax2 + bx + c = 0 (a  0) produces a
formula for x in terms of the coefficients a, b, and c.
The formula is known as the quadratic formula, and it can
be used to solve any quadratic equation.
The Quadratic Formula
If ax2 + bx + c = 0, a  0, then
As a general rule, you should first try to solve quadratic
equations by factoring. If the factoring process proves difficult,
then solve by using the quadratic formula.
SOLVING QUADRATIC EQUATIONS BY USING THE QUADRATIC
FORMULA
SOLVE BY USING THE QUADRATIC FORMULA
Use the quadratic formula to solve each of the following.
a. x2 = 3x + 5 b. 4x2 – 4x + 3 = 0
Solution:
a. x2 = 3x + 5
x2 – 3x – 5 = 0
Write the equation
in standard form.
Use the quadratic
formula.
a = 1, b = –3, c = – 5.
SOLUTION
The solutions are and .
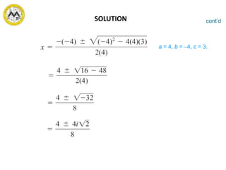
b. 4x2 – 4x + 3 = 0
cont’d
The equation is in standard
form.
Use the quadratic formula.
cont’d
a = 4, b = –4, c = 3.
SOLUTION
The solutions are and .
cont’dSOLUTION
583.3
0181895.584.2
02104.0253.1
2
22
22



xx
xxxx
xxxx
EXERCISES: SOLVE EACH QUADRATIC EQUATIONS
THE DISCRIMINANT OF A QUADRATIC EQUATION
THE DISCRIMINANT OF A QUADRATIC EQUATION
The solutions of ax2 + bx + c = 0, (a  0), are given by
The expression under the radical, b2 – 4ac, is called the
discriminant of the equation ax2 + bx + c = 0.
If b2 – 4ac  0, then is a real number.
If b2 – 4ac  0, then is not a real number.
Thus the sign of the discriminant can be used to determine
whether the solutions of a quadratic equation are real numbers.
The Discriminant and the Solutions of a Quadratic Equation
The equation ax2 + bx + c = 0, with real coefficients and
a  0, has as its discriminant b2 – 4ac.
If b2 – 4ac  0, then ax2 + bx + c = 0 has two distinct real
solutions.
If b2 – 4ac = 0, then ax2 + bx + c = 0 has one real
solution. The solution is a double solution.
If b2 – 4ac  0, then ax2 + bx + c = 0 has two distinct
nonreal complex solutions. The solutions are conjugates
of each other.
THE DISCRIMINANT OF A QUADRATIC EQUATION
USE THE DISCRIMINANT TO DETERMINE THE NUMBER OF REAL
SOLUTIONS
For each equation, determine the discriminant and state
the number of real solutions.
a. 2x2 – 5x + 1 = 0
b. 3x2 + 6x + 7 = 0
c. x2 + 6x + 9 = 0
SOLUTION
a. The discriminant of 2x2 – 5x + 1 = 0 is
b2 – 4ac = (–5)2 – 4(2)(1)
= 17.
Because the discriminant is positive,
2x2 – 5x + 1 = 0 has two distinct real solutions.
b. The discriminant of 3x2 + 6x + 7 = 0 is
b2 – 4ac = 62 – 4(3)(7)
= –48.
Because the discriminant is negative,
3x2 + 6x + 7 = 0 has no real solutions.
c. The discriminant of x2 + 6x + 9 = 0 is
b2 – 4ac = 62 – 4(1)(9)
= 0.
Because the discriminant is 0,
x2 + 6x + 9 = 0 has one real solution.
cont’d
SOLUTION
036.5
04129.4
09124.3
052.2
054.1
2
2
2
2
2





xx
xx
xx
xx
xx
EXERCISES: DETERMINE THE NATURE OF ROOTS OF EACH QUADRATIC
EQUATIONS.
EQUATIONS IN QUADRATIC FORM (OTHER TYPES)
In solving equations in quadratic form, use the following steps:
1.Rewrite the equation in quadratic form using a substitute
variable.
2. Solve the resulting quadratic equation for the substitute
variable.
3. Replace the substitute variable with the original variable and
solve.
4. Check your answer in the original equation.
SOLVE EACH QUADRATIC EQUATION.
1.4
064.3
081.2
9.1
.
3
4
26
35




x
xx
xx
xx
A
0)9(4)9(.4
03649.3
01025.2
01243.1
.
224
246
23
23




xxx
xxx
xxx
xxx
B
4
5
2
1
1
1
.2
5
4
3
2
.32
2
53
.1
.










xx
x
x
x
x
xx
C
22.4
55.3
0
441
.6215.2
065.5212.1
.
23




xx
xx
xxx
xx
xxxx
D
   
089x.4
088x.3
0292-x.2
08
1
16
1
1.1
.
36
24
35
2
















x
x
x
xx
E
     
0x16x8x.4
01x1x51x4.3
06x5x.2
02xx.1
.F
2
1
2
1
2
3
2
5
2
3
2
1
3
2
3
4
6
1
3
1





SUM AND PRODUCT OF ROOTS
Recall from the quadratic formula that when
a2
ac4bb
x0cbxax
2
2 













a2
ac4bb
s
a2
ac4bb
r
sandrberootstheLet
2
2
SUM OF ROOTS
a
b
a2
b2
sr
a2
ac4bbac4bb
a2
ac4bb
a2
ac4bb
22
22









sr
sr
Sum of roots = r + s
PRODUCT OF ROOTS
 
a
c
s)((r)
a4
ac4bb
)s)(r(
a4
ac4b)b(
a2
ac4bb
*
a2
ac4bb
)s(r)(
2
22
2
2
22
22







Product of roots = (r) (s)
EXAMPLE
DETERMINE THE VALUE OF K THAT SATISFIES THE GIVEN CONDITION
 
   
signsopposite
withbutequalynumericallrootsthe0;6-x5-kx1-2k4.
0.isrootstheofone0;65kk10x-x12k3.
1.-isrootsofproduct0;1-k2x2)x(3k2.
20.isrootsofsum0;45xxk1.
2
22
2
2




FINDING THE QUADRATIC EQUATION GIVEN THE ROOTS
   0sxr-x
isequationquadraticthes,andrberootstheLet

i21andi213
27and252
2
1
and
4
3
1


.
.
.
Example: Find the quadratic equations with the given roots.
APPLICATIONS OF QUADRATIC EQUATIONS
APPLICATIONS OF QUADRATIC EQUATIONS
A right triangle contains one 90 angle. The side opposite the
90 angle is called the hypotenuse. The other two sides are
called legs.
The lengths of the sides of a right triangle are related by a
theorem known as the Pythagorean Theorem.
The Pythagorean Theorem states that the square of the length of
the hypotenuse of a right triangle is equal to the sum of the
squares of the lengths of the legs.
This theorem is often used to solve applications that involve right
triangles.
The Pythagorean Theorem
If a and b denote the lengths of the legs of a right triangle and c
the length of the hypotenuse, then c2 = a2 + b2 .
APPLICATIONS OF QUADRATIC EQUATIONS
A television screen measures 60 inches diagonally, and its aspect
ratio is 16 to 9. This means that the ratio of the width of the
screen to the height of the screen is 16 to 9.
Find the width and height of the screen.
A 60-inch television screen with a 16:9 aspect ratio.
APPLICATIONS OF QUADRATIC EQUATIONS
EXAMPLE
SOLUTION
Let 16x represent the width of the screen and let 9x represent
the height of the screen.
Applying the Pythagorean Theorem gives us
(16x)2 + (9x)2 = 602
256x2 + 81x2 = 3600
337x2 = 3600
Solve for x.
 3.268 inches
The height of the screen is about 9(3.268)  29.4 inches, and the
width of the screen is about 16(3.268)  52.3 inches.
cont’d
Apply the square root procedure. The
plus-or-minus sign is not used in this
application because we know x is
positive.
SOLUTION
APPLICATIONS OF QUADRATIC EQUATIONS
Quadratic equations are often used to determine the height
(position) of an object that has been dropped or projected.
For instance, the position equation s = –16t 2 + v0t + s0 can be
used to estimate the height of a projected object near the
surface of Earth at a given time t in seconds.
In this equation, v0 is the initial velocity of the object in feet per
second and s0 is the initial height of the object in feet.
SOLVE THE FOLLOWING PROBLEMS.
1. The product of two consecutive positive integers is 56. Find the
lowest integer. ans. 7
2. Paul can finish a job in 2 hrs less than John. Working together they
can finish it in 2 hours and 24 minutes. How long would it take Paul to
finish the job working alone? ans. 4 hours
3.The length of a rectangle is five more than twice its width. The area of
the rectangle is 52 sqm. Find the dimensions of the rectangle.
ans. 4 and 13
4.A tank can be filled in 2 hours by 2 pipes together. The larger pipe can
fill it in 3 hours less than the smaller. How long will it take each pipe to
fill the tank? ans. 6 and 3
APPLICATIONS OF QUADRATIC EQUATIONS
5. A car traveled the first 100 kilometers of a trip at one speed and the
last 135 kilometers at an average of 5 kilometers per hour less. If the
entire trip took 5 hours, what was the average speed of the car for
the first part of the trip? ans. 50 kph
6. Find a number whose square exceeds 14 times the number by 51.
7. The denominator of a fraction is 1 more than the
numerator. When 5/6 is added to the fraction, the terms
of the fraction are reversed. What is the original fraction?
8. A boy can row 16 kilometers downstream and return a
distance of 16 kilometers upstream in 5 hours. If the rate
of the current is 6 km/hr, what is the boy’s rate of rowing in
still water?
APPLICATIONS OF QUADRATIC EQUATIONS
9. A box is to be formed from a rectangular piece of wood by
cutting equal squares of 10 inches out of the corners and
folding the sides. The piece of wood is thrice as long as it
is wide. If the volume of the box is 7680 in3, What are the
dimensions of the original piece of wood?
10. The science club bought a Php 2400 worth of apparatus for their
experiment. If there had been 8 more students in the club, then
the cost per member to buy the apparatus would have been Php
10 less. How many students are in the club?
APPLICATIONS OF QUADRATIC EQUATIONS

MIT Math Syllabus 10-3 Lesson 7: Quadratic equations

  • 1.
  • 2.
  • 3.
    Definition of aQuadratic Equation A quadratic equation in x is an equation that can be written in the standard quadratic form ax2 + bx + c = 0 where a, b and c are real numbers and a  0. Several methods can be used to solve a quadratic equation.
  • 4.
    SOLVING QUADRATIC EQUATIONS Thereare four algebraic methods of solving quadratic equation in one variable, namely: •solution by factoring •solution by extraction of roots or taking square roots •solution by completing the square •solution by quadratic formula
  • 5.
  • 6.
    SOLVING QUADRATIC EQUATIONSBY FACTORING For instance, if you can factor ax2 + bx + c into linear factors, then ax2 + bx + c = 0 can be solved by applying the following property. The Zero Product Principle If A and B are algebraic expressions such that AB = 0, then A = 0 or B = 0. The zero product principle states that if the product of two factors is zero, then at least one of the factors must be zero. In Example 1, the zero product principle is used to solve a quadratic equation.
  • 7.
    SOLVE BY FACTORING Solveeach quadratic equation by factoring. a. x2 + 2x – 15 = 0 b. 2x2 – 5x = 12 Solution: a. x2 + 2x – 15 = 0 (x – 3)(x + 5) = 0 x – 3 = 0 or x + 5 = 0 x = 3 x = –5 A check shows that 3 and –5 are both solutions of x2 + 2x – 15 = 0. Factor. Set each factor equal to zero. Solve each linear equation. EXAMPLE
  • 8.
    SOLUTION b. 2x2 –5x = 12 2x2 – 5x – 12 = 0 (x – 4)(2x + 3) = 0 x – 4 = 0 or 2x + 3 = 0 x = 4 2x = –3 x = A check shows that 4 and are both solutions of 2x2 – 5x = 12. cont’d Write in standard quadratic form. Factor. Set each factor equal to zero. Solve each linear equation.
  • 9.
    SOLVING QUADRATIC EQUATIONSBY FACTORING Some quadratic equations have a solution that is called a double root. For instance, consider x2 – 8x + 16 = 0. Solving this equation by factoring, we have x2 – 8x + 16 = 0 (x – 4)(x – 4) = 0 x – 4 = 0 or x – 4 = 0 x = 4 x = 4 Factor. Set each factor equal to zero Solve each linear equation.
  • 10.
    SOLVING QUADRATIC EQUATIONSBY FACTORING The only solution of x2 – 8x + 16 = 0 is 4. In this situation, the single solution 4 is called a double solution or double root because it was produced by solving the two identical equations x – 4 = 0, both of which have 4 as a solution.
  • 11.
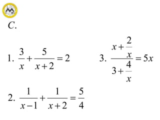
    EXERCISES: SOLVE EACHQUADRATIC EQUATIONS xx xxxx x x xx xxxx xxxx xxxx 55.11 0644.100103.5 34 2 .9093025.4 13)13)(14(.801024.3 3)52(.7.0168.2 15812.6030.1 2 22 2 2 2 22      
  • 12.
    SOLVING QUADRATIC EQUATIONSBY TAKING SQUARE ROOTS
  • 13.
    SOLVING QUADRATIC EQUATIONSBY TAKING SQUARE ROOTS Recall that This principle can be used to solve some quadratic equations by taking the square root of each side of the equation. In the following example, we use this idea to solve x2 = 25. x2 = 25 = | x | = 5 x = –5 or x = 5 The solutions are –5 and 5. Take the square root of each side. Use the fact that = |x| and = 5. Solve the absolute value equation.
  • 14.
    We will referto the preceding method of solving a quadratic equation as the square root procedure. The Square Root Procedure If x2 = c, then x = or x = , which can also be written as x = . Example If x2 = 9, then x = = 3 or x = = –3. This can be written as x = 3. SOLVING QUADRATIC EQUATIONS BY TAKING SQUARE ROOTS
  • 15.
    If x2 =7, then x = or x = . This can be written as x =  . If x2 = –4, then x = = 2i or x = = –2i. This can be written as x = 2i. SOLVING QUADRATIC EQUATIONS BY TAKING SQUARE ROOTS
  • 16.
    SOLVE BY USINGTHE SQUARE ROOT PROCEDURE Use the square root procedure to solve each equation. a. 3x2 + 12 = 0 b. (x + 1)2 = 48 Solution: a. 3x2 + 12 = 0 3x2 = –12 x2 = –4 x = Solve for x2. Take the square root of each side of the equation and insert a plus-or-minus sign in front of the radical. EXAMPLE
  • 17.
    SOLUTION x = –2ior x = 2i The solutions are –2i and 2i. b. (x + 1)2 = 48 cont’d Take the square root of each side of the equation and insert a plus-or-minus sign in front of the radical. Simplify.
  • 18.
    The solutions areand . cont’d SOLUTION
  • 19.
    EXERCISES: SOLVE EACHQUADRATIC EQUATIONS 0582.5 01255.4 0)7(2y8.09.3 49)3(7.17)3(.2 202076.04.1 2 2 22 22 22      w x x xx xx
  • 20.
    SOLVING QUADRATIC EQUATIONSBY COMPLETING THE SQUARE
  • 21.
    SOLVING QUADRATIC EQUATIONSBY COMPLETING THE SQUARE Consider two binomial squares and their perfect-square trinomial products. In each of the preceding perfect-square trinomials, the coefficient of x2 is 1 and the constant term is the square of half the coefficient of the x term. x2 + 10x + 25,
  • 22.
    x2 – 6x+ 9, Adding to a binomial of the form x2 + bx the constant term that makes the binomial a perfect-square trinomial is called completing the square. For example, to complete the square of x2 + 8x, add to produce the perfect-square trinomial x2 + 8x + 16. SOLVING QUADRATIC EQUATIONS BY COMPLETING THE SQUARE
  • 23.
    Completing the squareis a powerful procedure that can be used to solve any quadratic equation. For instance, to solve x2 – 6x + 13 = 0, first isolate the variable terms on one side of the equation and the constant term on the other side. x2 – 6x = –13 x2 – 6x + 9 = –13 + 9 Subtract 13 from each side of the equation. Complete the square by adding to each side of the equation. SOLVING QUADRATIC EQUATIONS BY COMPLETING THE SQUARE
  • 24.
    (x – 3)2= –4 x – 3 = x – 3 = 2i x = 3  2i The solutions of x2 – 6x + 13 = 0 are 3 – 2i and 3 + 2i. You can check these solutions by substituting each solution into the original equation. Factor and solve by the square root procedure. SOLVING QUADRATIC EQUATIONS BY COMPLETING THE SQUARE
  • 25.
    For instance, thefollowing check shows that 3 – 2i does satisfy the original equation. x2 – 6x + 13 = 0 (3 – 2i )2 – 6(3 – 2i ) + 13 ≟ 0 9 – 12i + 4i 2 – 18 + 12i + 13 ≟ 0 4 + 4(–1) ≟ 0 0 = 0 Substitute 3 – 2i for x. Simplify. The left side equals the right side, so 3 – 2i checks. SOLVING QUADRATIC EQUATIONS BY COMPLETING THE SQUARE
  • 26.
    Solve x2 =2x + 6 by completing the square. Solution: x2 = 2x + 6 x2 – 2x = 6 x2 – 2x + 1 = 6 + 1 (x – 1)2 = 7 Isolate the constant term. Complete the square. Factor and simplify. SOLVE BY COMPLETING THE SQUARE
  • 27.
    SOLUTION x – 1= x = 1 The exact solutions of x2 = 2x + 6 are and . A calculator can be used to show that and The decimals –1.646 and 3.646 are approximate solutions of x2 = 2x + 6. cont’d Apply the square root procedure. Solve for x.
  • 28.
    Completing the squareby adding the square of half the coefficient of the x term requires that the coefficient of the x2 term be 1. If the coefficient of the x2 term is not 1, then first multiply each term on each side of the equation by the reciprocal of the coefficient of x2 to produce a coefficient of 1 for the x2 term. SOLVE BY COMPLETING THE SQUARE
  • 29.
    EXERCISES: SOLVE EACHQUADRATIC EQUATIONS 78.5 8103.4 0372.3 1567.48.2 06426.1144.1 2 2 2 22 22      xx xx xx xxxx xxxx
  • 30.
    SOLVING QUADRATIC EQUATIONSBY USING THE QUADRATIC FORMULA
  • 31.
    Completing the squarefor ax2 + bx + c = 0 (a  0) produces a formula for x in terms of the coefficients a, b, and c. The formula is known as the quadratic formula, and it can be used to solve any quadratic equation. The Quadratic Formula If ax2 + bx + c = 0, a  0, then As a general rule, you should first try to solve quadratic equations by factoring. If the factoring process proves difficult, then solve by using the quadratic formula. SOLVING QUADRATIC EQUATIONS BY USING THE QUADRATIC FORMULA
  • 32.
    SOLVE BY USINGTHE QUADRATIC FORMULA Use the quadratic formula to solve each of the following. a. x2 = 3x + 5 b. 4x2 – 4x + 3 = 0 Solution: a. x2 = 3x + 5 x2 – 3x – 5 = 0 Write the equation in standard form. Use the quadratic formula. a = 1, b = –3, c = – 5.
  • 33.
    SOLUTION The solutions areand . b. 4x2 – 4x + 3 = 0 cont’d The equation is in standard form. Use the quadratic formula.
  • 34.
    cont’d a = 4,b = –4, c = 3. SOLUTION
  • 35.
    The solutions areand . cont’dSOLUTION
  • 36.
  • 37.
    THE DISCRIMINANT OFA QUADRATIC EQUATION
  • 38.
    THE DISCRIMINANT OFA QUADRATIC EQUATION The solutions of ax2 + bx + c = 0, (a  0), are given by The expression under the radical, b2 – 4ac, is called the discriminant of the equation ax2 + bx + c = 0. If b2 – 4ac  0, then is a real number. If b2 – 4ac  0, then is not a real number. Thus the sign of the discriminant can be used to determine whether the solutions of a quadratic equation are real numbers.
  • 39.
    The Discriminant andthe Solutions of a Quadratic Equation The equation ax2 + bx + c = 0, with real coefficients and a  0, has as its discriminant b2 – 4ac. If b2 – 4ac  0, then ax2 + bx + c = 0 has two distinct real solutions. If b2 – 4ac = 0, then ax2 + bx + c = 0 has one real solution. The solution is a double solution. If b2 – 4ac  0, then ax2 + bx + c = 0 has two distinct nonreal complex solutions. The solutions are conjugates of each other. THE DISCRIMINANT OF A QUADRATIC EQUATION
  • 40.
    USE THE DISCRIMINANTTO DETERMINE THE NUMBER OF REAL SOLUTIONS For each equation, determine the discriminant and state the number of real solutions. a. 2x2 – 5x + 1 = 0 b. 3x2 + 6x + 7 = 0 c. x2 + 6x + 9 = 0
  • 41.
    SOLUTION a. The discriminantof 2x2 – 5x + 1 = 0 is b2 – 4ac = (–5)2 – 4(2)(1) = 17. Because the discriminant is positive, 2x2 – 5x + 1 = 0 has two distinct real solutions. b. The discriminant of 3x2 + 6x + 7 = 0 is b2 – 4ac = 62 – 4(3)(7) = –48. Because the discriminant is negative, 3x2 + 6x + 7 = 0 has no real solutions.
  • 42.
    c. The discriminantof x2 + 6x + 9 = 0 is b2 – 4ac = 62 – 4(1)(9) = 0. Because the discriminant is 0, x2 + 6x + 9 = 0 has one real solution. cont’d SOLUTION
  • 43.
  • 44.
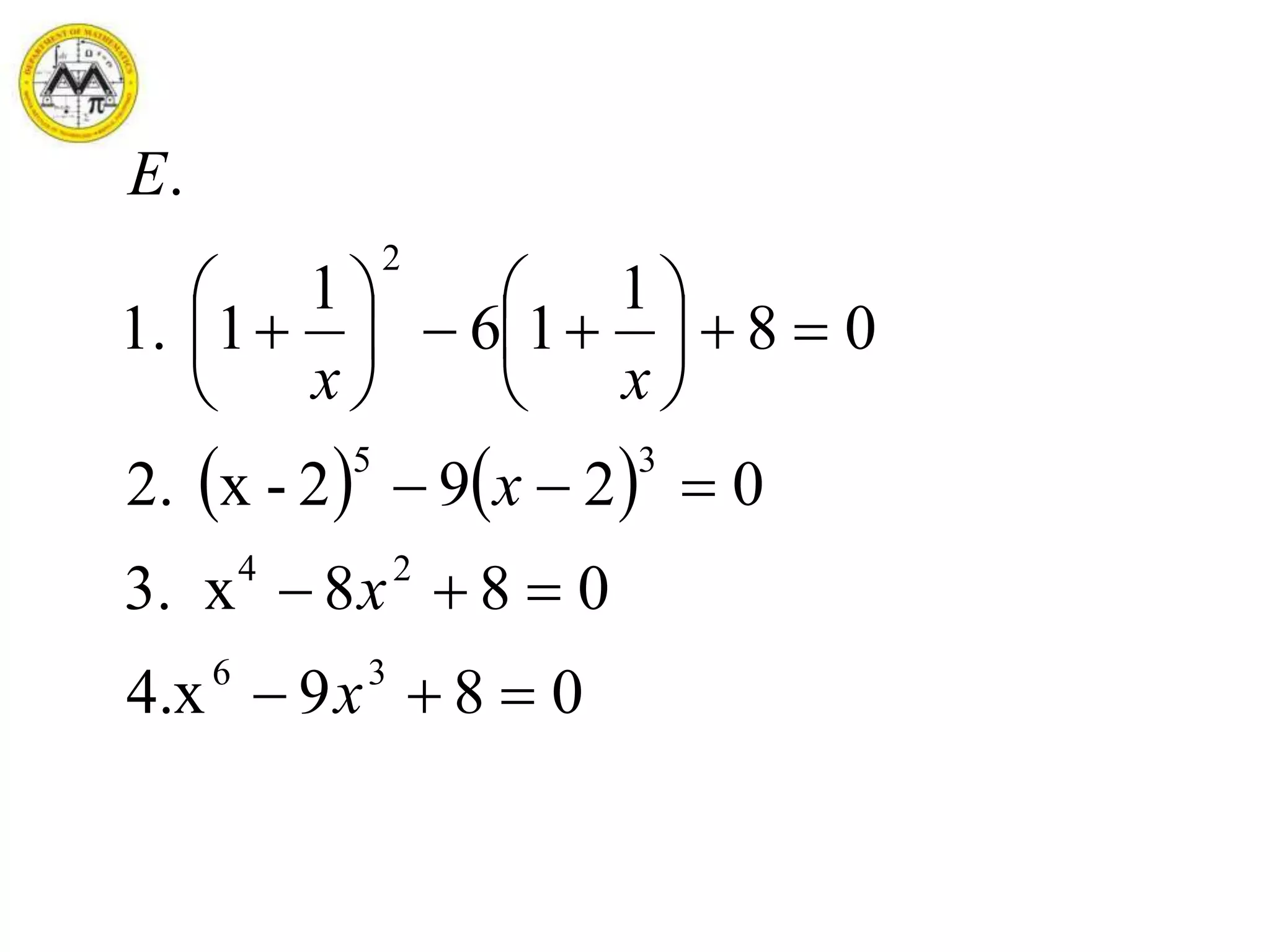
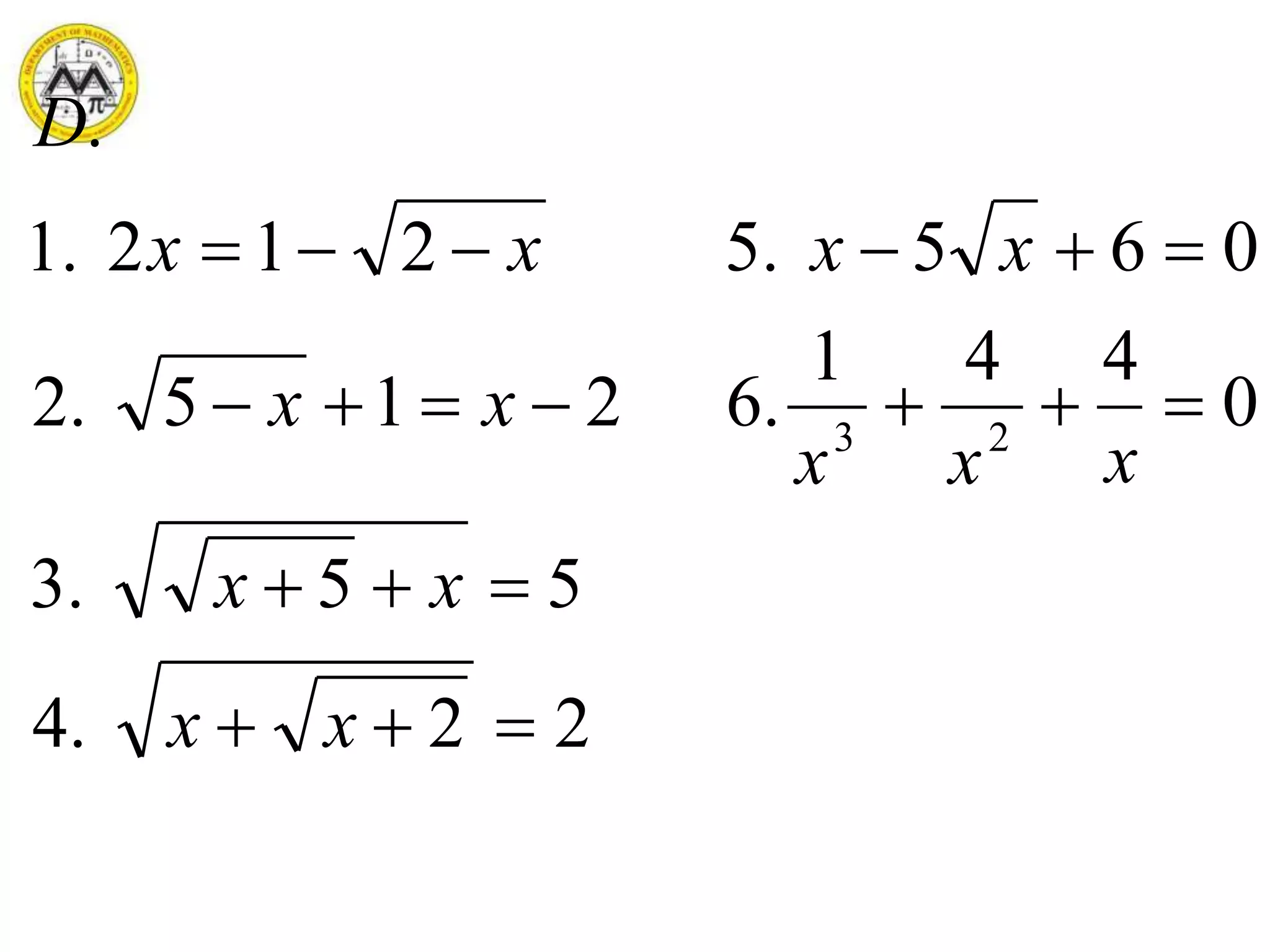
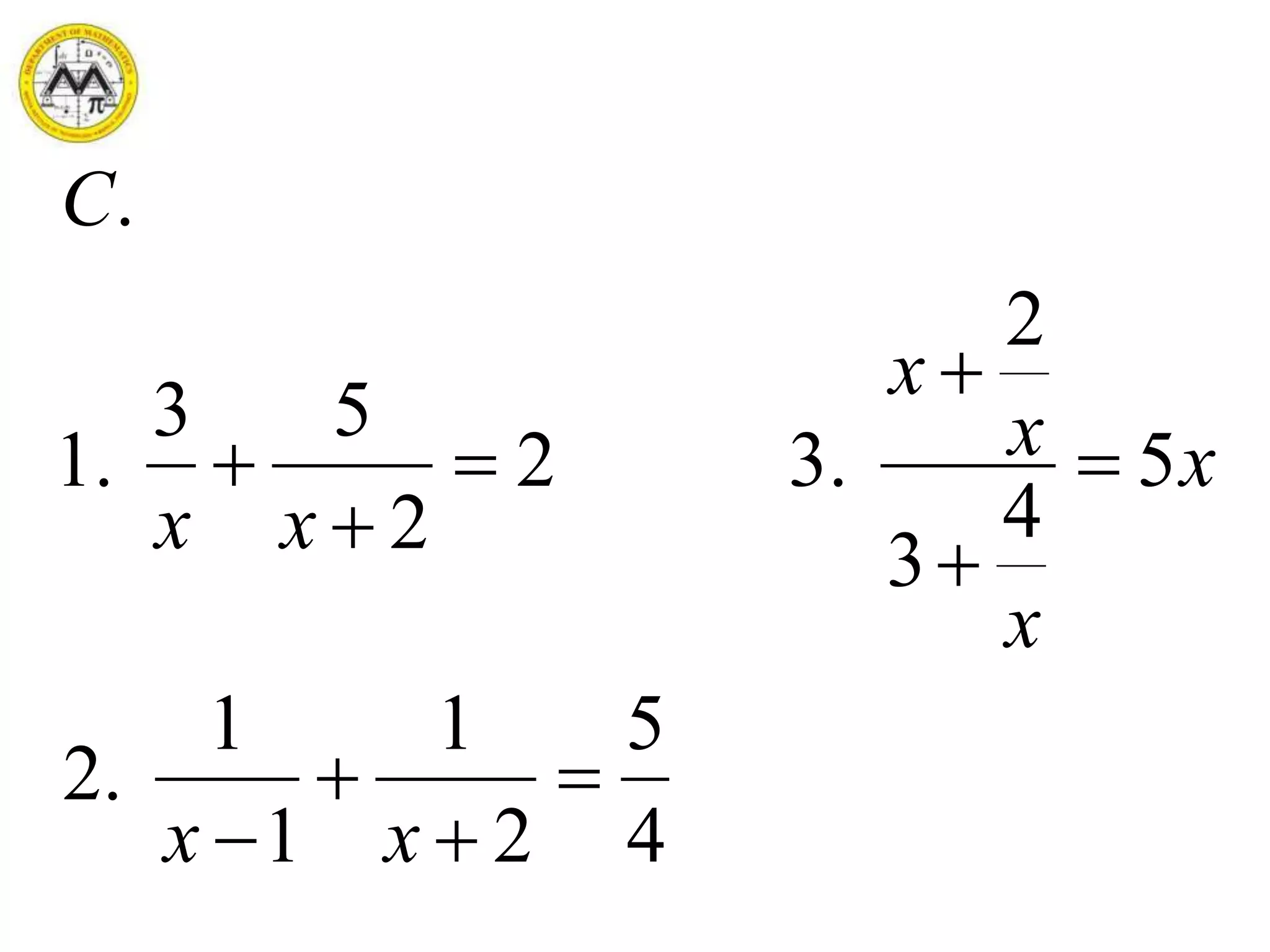
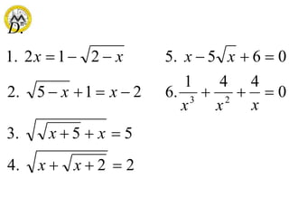
    EQUATIONS IN QUADRATICFORM (OTHER TYPES) In solving equations in quadratic form, use the following steps: 1.Rewrite the equation in quadratic form using a substitute variable. 2. Solve the resulting quadratic equation for the substitute variable. 3. Replace the substitute variable with the original variable and solve. 4. Check your answer in the original equation.
  • 45.
    SOLVE EACH QUADRATICEQUATION. 1.4 064.3 081.2 9.1 . 3 4 26 35     x xx xx xx A 0)9(4)9(.4 03649.3 01025.2 01243.1 . 224 246 23 23     xxx xxx xxx xxx B
  • 46.
  • 47.
  • 48.
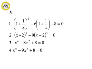
       089x.4 088x.3 0292-x.2 08 1 16 1 1.1 . 36 24 35 2                 x x x xx E
  • 49.
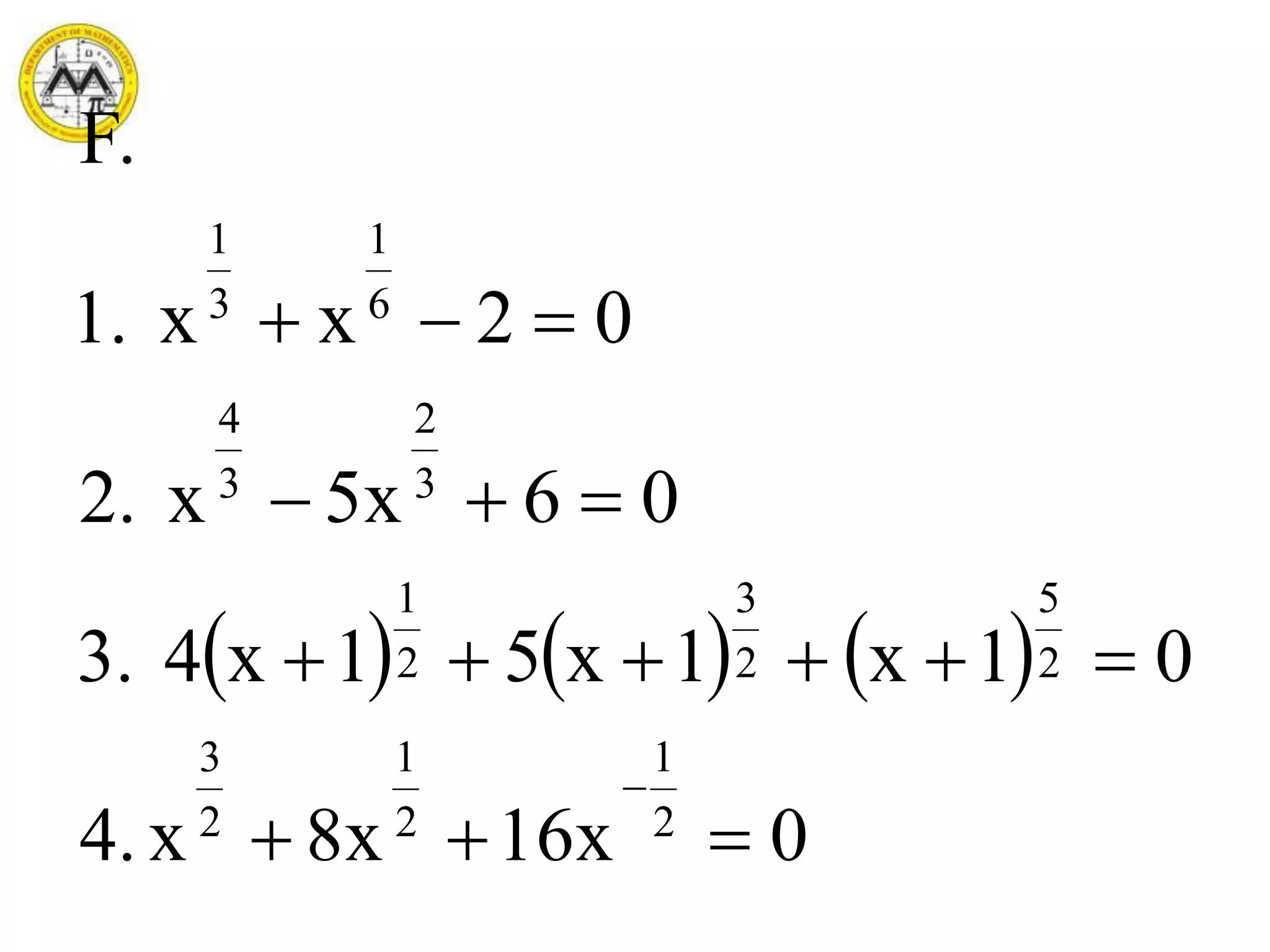
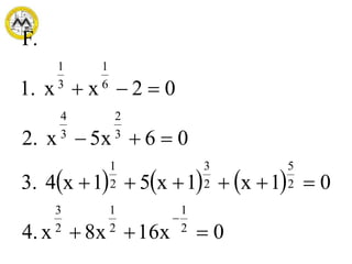
         0x16x8x.4 01x1x51x4.3 06x5x.2 02xx.1 .F 2 1 2 1 2 3 2 5 2 3 2 1 3 2 3 4 6 1 3 1     
  • 50.
    SUM AND PRODUCTOF ROOTS Recall from the quadratic formula that when a2 ac4bb x0cbxax 2 2               a2 ac4bb s a2 ac4bb r sandrberootstheLet 2 2
  • 51.
  • 52.
    PRODUCT OF ROOTS  a c s)((r) a4 ac4bb )s)(r( a4 ac4b)b( a2 ac4bb * a2 ac4bb )s(r)( 2 22 2 2 22 22        Product of roots = (r) (s)
  • 53.
    EXAMPLE DETERMINE THE VALUEOF K THAT SATISFIES THE GIVEN CONDITION       signsopposite withbutequalynumericallrootsthe0;6-x5-kx1-2k4. 0.isrootstheofone0;65kk10x-x12k3. 1.-isrootsofproduct0;1-k2x2)x(3k2. 20.isrootsofsum0;45xxk1. 2 22 2 2    
  • 54.
    FINDING THE QUADRATICEQUATION GIVEN THE ROOTS    0sxr-x isequationquadraticthes,andrberootstheLet  i21andi213 27and252 2 1 and 4 3 1   . . . Example: Find the quadratic equations with the given roots.
  • 55.
  • 56.
    APPLICATIONS OF QUADRATICEQUATIONS A right triangle contains one 90 angle. The side opposite the 90 angle is called the hypotenuse. The other two sides are called legs. The lengths of the sides of a right triangle are related by a theorem known as the Pythagorean Theorem. The Pythagorean Theorem states that the square of the length of the hypotenuse of a right triangle is equal to the sum of the squares of the lengths of the legs. This theorem is often used to solve applications that involve right triangles.
  • 57.
    The Pythagorean Theorem Ifa and b denote the lengths of the legs of a right triangle and c the length of the hypotenuse, then c2 = a2 + b2 . APPLICATIONS OF QUADRATIC EQUATIONS
  • 58.
    A television screenmeasures 60 inches diagonally, and its aspect ratio is 16 to 9. This means that the ratio of the width of the screen to the height of the screen is 16 to 9. Find the width and height of the screen. A 60-inch television screen with a 16:9 aspect ratio. APPLICATIONS OF QUADRATIC EQUATIONS EXAMPLE
  • 59.
    SOLUTION Let 16x representthe width of the screen and let 9x represent the height of the screen. Applying the Pythagorean Theorem gives us (16x)2 + (9x)2 = 602 256x2 + 81x2 = 3600 337x2 = 3600 Solve for x.
  • 60.
     3.268 inches Theheight of the screen is about 9(3.268)  29.4 inches, and the width of the screen is about 16(3.268)  52.3 inches. cont’d Apply the square root procedure. The plus-or-minus sign is not used in this application because we know x is positive. SOLUTION
  • 61.
    APPLICATIONS OF QUADRATICEQUATIONS Quadratic equations are often used to determine the height (position) of an object that has been dropped or projected. For instance, the position equation s = –16t 2 + v0t + s0 can be used to estimate the height of a projected object near the surface of Earth at a given time t in seconds. In this equation, v0 is the initial velocity of the object in feet per second and s0 is the initial height of the object in feet.
  • 62.
    SOLVE THE FOLLOWINGPROBLEMS. 1. The product of two consecutive positive integers is 56. Find the lowest integer. ans. 7 2. Paul can finish a job in 2 hrs less than John. Working together they can finish it in 2 hours and 24 minutes. How long would it take Paul to finish the job working alone? ans. 4 hours 3.The length of a rectangle is five more than twice its width. The area of the rectangle is 52 sqm. Find the dimensions of the rectangle. ans. 4 and 13 4.A tank can be filled in 2 hours by 2 pipes together. The larger pipe can fill it in 3 hours less than the smaller. How long will it take each pipe to fill the tank? ans. 6 and 3 APPLICATIONS OF QUADRATIC EQUATIONS
  • 63.
    5. A cartraveled the first 100 kilometers of a trip at one speed and the last 135 kilometers at an average of 5 kilometers per hour less. If the entire trip took 5 hours, what was the average speed of the car for the first part of the trip? ans. 50 kph 6. Find a number whose square exceeds 14 times the number by 51. 7. The denominator of a fraction is 1 more than the numerator. When 5/6 is added to the fraction, the terms of the fraction are reversed. What is the original fraction? 8. A boy can row 16 kilometers downstream and return a distance of 16 kilometers upstream in 5 hours. If the rate of the current is 6 km/hr, what is the boy’s rate of rowing in still water? APPLICATIONS OF QUADRATIC EQUATIONS
  • 64.
    9. A boxis to be formed from a rectangular piece of wood by cutting equal squares of 10 inches out of the corners and folding the sides. The piece of wood is thrice as long as it is wide. If the volume of the box is 7680 in3, What are the dimensions of the original piece of wood? 10. The science club bought a Php 2400 worth of apparatus for their experiment. If there had been 8 more students in the club, then the cost per member to buy the apparatus would have been Php 10 less. How many students are in the club? APPLICATIONS OF QUADRATIC EQUATIONS