Embed presentation
Download as PDF, PPTX



































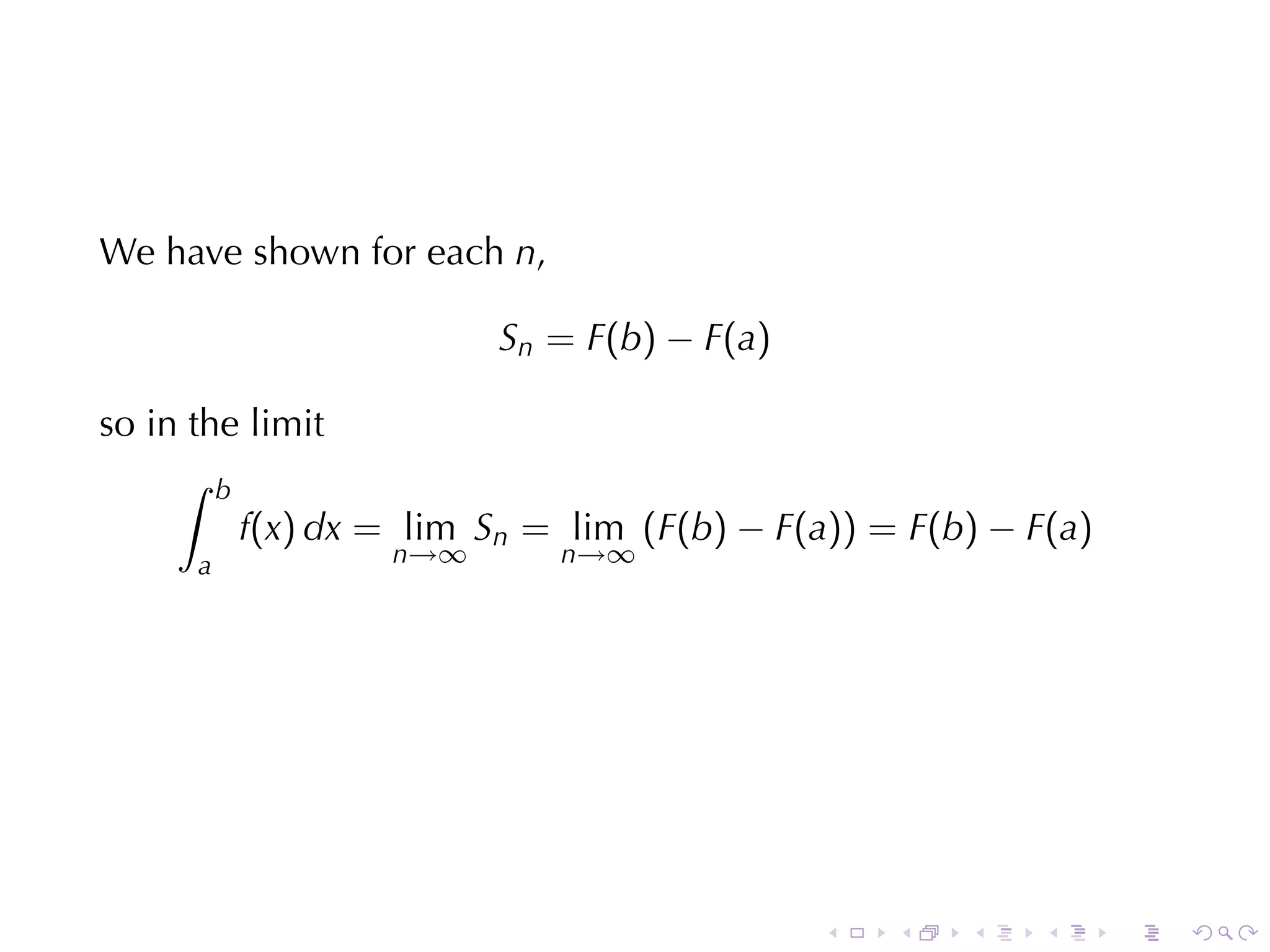
The document discusses the evaluation of definite integrals and introduces essential concepts such as the limit definition of the integral and properties of integrals, including additive properties and comparison theorems. It highlights the Fundamental Theorem of Calculus, which connects differentiation to integration, and offers examples demonstrating the computation of areas under curves. Key takeaways include the ability to express the integral as a measure of total change and the importance of proper notation for antiderivatives.

































