Berg • Tymoczko • Stryer




Biochemistry
     Sixth Edition



    Chapter 21:
Glycogen Metabolism



           Copyright © 2007 by W. H. Freeman and Company
Glycogen Metabolism
   OUTLINE
    • Glycogen breakdown requires the interplay of several enzymes
    • Phosphorylase is regulated by allosteric interactions and reversible
      phosphorylation
    • Epinephrine and glucagon signal the need for glycogen breakdown
    • Glycogen is synthesized and degraded by different pathways
    • Glycogen breakdown and synthesis are reciprocally regulated

   Glycogen synthesis: glycogenesis
   Degradation of glycogen: glycogenolysis.
Glycogen

   Glycogen is a highly branched, very large polymer of
    glyc mols linked 1 4
   Branches arise by     1 6 at about every 8-10th residue
   It is found in the cytosol.
   It is the storage form of Glc.
   Liver and muscle are the major sites for the storage of
    glycogen.
Surface: nonreducing ends
At the core:
glycogenin




               Degradation: takes place at the surface!
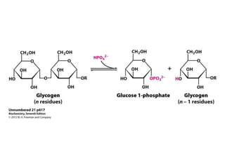
Degradation of Glycogen
   Is not a simple reversal of the synthetic pathway
   Other enzymes involved
    Glycogen  G-1-P
   Shortening of chains:
    – Glycogen phosphorylase ( -1  4)
    – It is an exoglucosidase
    – Degrades the gly. chains at their non-reducing ends
        until four glucosyl units remain on each chain before
        the branch point
    – The resulting structure  a limit dextrin
    – Phosphorylase cannot degrade this any further!
Degradation of Glycogen continued

Removal of branches:

   Branches are removed through two enzymatic activities
    of the debranching enzyme
    a.   Glucosyl 4:4 transferase removes the outer 3 of 4 glucosyl
         residues

    b.   Single glucose residue attached in an 16 linkage is then
         removed by the -amylo (1:6) glucosidase activity of the
         debranching enzyme, releasing free glucose
Regulation phosphorylase
Regulation of glycogen metabolism is different in muscle
and liver.
   In muscle, the end served by glycolysis is ATP
    production and the rate of glycolysis increases as
    muscle works more, demanding more ATP.
   The liver has a different role in whole-body metabolism
    and glucose metabolism in the liver is different. The
    liver makes sure that glucose level is constant in the
    blood, producing and exporting Glc.
Regulation of Glycogen Breakdown
Glycogen represents the most immediately available large-scale
source of metabolic energy. Therefore, it is important that
animals be able to activate glycogen mobilization very rapidly.
 Glycogen breakdown is an hormone-controlled process.


Structure of glycogen phosphorylase:
    Dimer; exists in two forms.
    – Active phosphorylase a
    – Inactive phosphorylase b
   Activation  by phosphorylase kinase
   Deactivation  phosphorylase phosphatase

Control of phosphorylase activity:
 Phosphorylase kinase is activated by c-AMP protein kinase
Muscle phosphorylase
    In muscle, phosphorylase has 2 forms.
    1. Phosphorylase a:
         – active form
         – 2 subunits, in each Ser residue at position 14 is Plated (Phosphorylase kinase
           does this)
    2.   Phosphorylase b:
         – inactive form
         – in resting muscle, all enzyme is its inactive form
         – structurally identical except that Ser residues are not Plated. It is active when
           AMP is high! It is inactive when ATP and Glc 6-P are high! So, muscle
           phosphorylase b is active only when the energy charge of the muscle is low.

   The rate of glycogen breakdown is due to the a/b which is controlled by
    hormones especially by epinephrine.

   Phosphorylase a  phosphorylase b by dephosphorylation catalyzed by
    phosphorylase a phosphatase.
Muscle phosphorylase
Phosphorylase b
Control of
Glycogen Phosphorylase in Muscle
Muscle phosphorylase regulation

   Both phosphorylase b and phosphorylase a exist
    as equilibria between an active R state and a less
    active T state.
   Phosphorylase b is usually inactive because the
    equilibrium favors the T state.
   Phosphorylase a is usually active because the
    equilibrium favors the R state.
AMP dependency of phosphorylase b
   Phosphorylase a is AMP-independent
   Phosphorylase b is AMP-dependent.
    – The stimulation of phosphorylase b by AMP can be prevented by
      high ATP concentrations.
       AMP binds its allosteric site and stabilizes the conformation of
        phosphyrylase b in the R state.
       ATP acts as a negative allosteric modulator by competing with AMP
        and so favors the T state.

Intensive exercise AMP/ATP goes up, Phosphorylase b (active)

In resting muscle AMP/ATP goes down, Phosphorylase b (inactive)

   Exercise will also result in hormone release (epinephrine)
    that generates the phosphorylated a form of the enzyme.
Liver phosphorylase
   Liver phosphorylase and muscle phosphorylase are 90%
    identical in amino acid sequence.
   Liver phosphorylase a, but not b, has the most responsive
    T-to-R transition.
   The binding of Glc shifts the allosteric equilibrium of the
    a form from the R to the T state, deactivating the enzyme.
   Why would Glc function as a negative regulator of liver
    phosphorylase a?
    – When there is plenty of Glc, no need to breakdown liver
      glycogen!
Liver Glycogen phosphorylase
    is regulated by hormones and blood glucose.

   Liver glycogen has a different role in our system.
     – When blood glucose is low (lower than 4-5 mM)
                  Glycogen  Glc-1-P  Glc-6-P  Glc
     – So, when blood glucose is low, glucose is released into the blood
       stream and carried to the needy tissues.
   Glycogen phosphorylase of liver is under hormonal control.
     – Glucagon is the hormone.
     – When glucose is low, glucagon is released.
     – Liver phosphorylase is allosterically regulated by Glc not AMP.
         • When Glc is high in the blood, it enters hepatocytes and binds regulatory
           sites of the enzyme, causing conformational changes (favoring the T
           state).
         • Therefore, glycogen phosphorylase is a glucose sensor.
         • When Glc is high, it stops its own FORMATION.
Phosphorylase kinase
    is activated by phosphorylation and calcium ions
The phosphorylase enzyme.
   Has a fully active form and an inactive form
   Has a mass of 1200 kd
   Consist of 4 subunits (     )
      – The subunit is the source of catalytic activity.
      – The other subunits are regulatory subunits.
   Is under dual control
    1. Regulated by phosphorylation
      – The    subunit is phosphorylated by cAMP dependent PKA).
    2. Partly activated by calcium levels of the order of 1 mM.
      – The subunit is calmodulin, a calsium sensor that stimulates many
        enzymes.
   Phosphorylase kinase has the highest activity only after both the
    phosphorylation of the subunit and the activation of the subunit by
    Ca binding.
Epi and Glucagon signal the need for glycogen
breakdown

   PKA  activates phosphorylase kinase
   Glycogen phosphorylase activated
   Glc 1-P is made
   What activates PKA?
    – HORMONES
         • Glucagon
         • Epinephrine
   Signal transduction
    –   Epi
    –   GTP-bound G proteins
    –   Increased cAMP
    –   PKA increases
   cAMP amplifies the effects of hormones
What shuts off glycogen breakdown?

    This signal transduction pathway is shut down
     by the same pathway.

   How?
    • GTP is deactivated by its inherent GTPase
      activity
    • cAMP is converted to AMP (not a second
      messenger) by phosphodiesterase enzyme.
Steps in Glycogen Synthesis

A.   UDPG synthesis:
             G-6-P  G-1-P
                     G-1-P + UTP  UDPG + PPi


B.   A primer is required for glycogen synthesis:
     1.   A fragment of glycogen can serve as a primer in cells whose
          glycogen stores are not totally depleted.
     2.   If a glycogen fragment is not present, glycogenin, a
          glycosyltransferase, serves as the primer.
Steps in Glycogen Synthesis continued


C.   Elongation of glycogen chains
     – Glucose is transferred from UDPG to the non-reducing end of the
       growing chain.
         • New glycosidic bond between C-1 of the activated sugar and C-4 of the
           accepting glucosyl residue
         • Enzyme: glycogen synthase
     – If no other enzyme acts on the chain, the resulting structure is a linear
       molecule of glucosyl residues attached by 1-4.
         • Such a compound, called amylose, is found in fruits.
     – The UDP released when the new bond is made can be convert back.
               UDP + ATP  UTP + ADP
Steps in Glycogen Synthesis continued

D.   Creating branches in glycogen:
     – Amylose  unbranched
       Glygogen  branches (~8)
           The branches are made through the “branching enzyme”, glucosyl 4:6
            transferase (amylo 1, 4 - 1,6 transglycosylase
     – This enzyme transfers 5 to 8 glucosyl residues from the non-
       reducing end to another residue by an 1,6 link.
     – Further elongation
     – Branches have two important functions
        a) increases the solubility of the glycogen molecule.
        b) The number of non-reducing ends to which new glucosyl residues can
           be added and thereby greatly accelerating the rate at which glycongen
           synthesis and degradation can occur.
Initiation of Glycogenesis By Glycogenin
Summary of the synthesis
   UDP-Glucose synthesis UDP-glucose phosphorylase
   A primer is required for glycogen synthesis (glycogenin or
    a fragment of glycogen)
   Glc units are added to the either the existing glycogen
    chains or glycogenin (enzyme glycogen synthase).
        • C-4 is the non-reducing end of glycogen chain. New glucose
          molecules are always added to this non-reducing terminus.
   Elongation of glucose chains
   Creating branches in glycogen (enzyme transferase)
   Branches have 2 functions:
    1. Increase the solubility of the glycogen molecule
    2. Increase the rate of glycogen synthesis
How Is Glycogen Synthesis Regulated?
   Glucagon and Epi promote glycogenolysis, at the same
    time they inhibit glycogen synthesis.
    –       Both effects are mediated by cAMP and cAMP dependent
            protein kinase.
    –       Regulated enzyme: glycogen synthase
        •     a form: active (not phosphorylated)
        •     b form: inactive (phosphorylated)
        •     PKA and other kinases phosphorylate the enzyme.
              – Protein kinase (Ser – phosphorylated)
   Steps after the binding of the hormones:
    –       Epi  liver cell recep.
    –       Adenylate cyclase activity
    –       cAMP
    –       cAMP  Pkinase which phosphorylates and inactivates
            glycogen synthase
Coordinate Control of Glycogen Breakdown and Synthesis by cAMP Cascades



Glycogen degradation

                                                        Glycogen synthesis




            Inactive forms are shown in red, active forms are shown in green.
Glycogen
                                   degradation




Inactive forms are shown in red,
active forms are shown in green.
Glycogen
                                   synthesis




Inactive forms are shown in red,
active forms are shown in green.
Breakdown and synthesis are reciprocally
regulated
   Hormone -triggered cAMP cascade acting through PKA
    Glycogen breakdown and synthesis are reciprocally
    regulated.
        • Phosphorylase kinase also inactivates glycogen synthase.
   PP1(protein phosphatase 1) reverses the regulatory effects
    of glycogen metabolism.
    – PKA action is reversed by phosphatases
    – PP1 inactivates phosphorylase kinase and phosphorylase a by
      dephosphorylating these enzymes.
    – PP1 also removes P groups from the glycogen synthase b to the
      glycogen synthase a form (more active)
   PP1 has 3 components:
    – P1
    – Rgl
    – I
   How is phosphatase activity of PP1 regulated?
    – Rgl phosphorylation by PKA prevents its binding to PP1, therefore
      activation of cAMP cascade leads to the inactivation of PP1 because
      it cannot bind to its substrate.
    – Phosphorylation of inhibitor 1 by protein kinase A blocks catalysis
      by PP1.
   Thus, Epi increases glycogen breakdown by making
    phosphorylase a and decreases glycogen synthesis by
    making inactive phosphatase.
Insulin stimulates glycogen synthesis
by activating protein phosphatase 1


   When blood glucose is high, insulin is stimulated.
   Activated insulin-sensitive protein kinase makes activated
    protein phosphatase

The consequent dephosphorylation of glycogen
synthase, phosphorylase kinase, and phosphorylase
promotes glycogen synthesis and blocks its
degradation!
Phosphorylation of the enzymes is regulated
by hormones


   Phosphorylated groups can be removed by
    phosphatases; therefore, the action of phosphatases
    always opposes kinases.
    –   If kinases activity is greater than activity of phosphatase, the
        enzyme is in the phosphorylated mode.

   Insulin, Glucagon, and Epi are three important
    hormones which affect glycogen metabolism!
Glycogen metabolism in the liver
regulates the blood-glucose level

    After a carbohydrate-rich meal blood glucose increases.
    Insulin is the primary signal for glycogen synthesis.
    Blood glucose level 80-120 mg/dL (4.4-6.7 mM)
    The liver senses the concentration of blood glucose and
     either release or takes up glucose.

    Glucose infusion changes the enzymes involved in
     glycogen metabolism
Glucose regulation of glycogen metabolism


    Phosphorylase a is the glucose sensor in liver cells
    Glucose is high
    Binding of Glc converts R T
    PP1 is released
    Inactivation of glycogen breakdown and the activation of
     glycogen synthesis take place..
Glucose regulation of glycogen metabolism




                                            [Glycogen breakdown inhibited]




                                               [Glycogen synthesis favored]
Summary of the Regulation of
Glycogen Synthesis and Degradation
   Synthesis and degradation are regulated by the same
    hormonal signals!
     An increase in insulin stimulates glycogen synthesis
     An increase in glucagon or Epi stimulates glycogen degradation
     cAMP production increases in response to the release ofEpi and
      glucogon
     cAMP production decreases in the presence of insulin!
   Key enzymes are phophorylated by a family of kinases,
    some of which are cAMP dependent.
   Phosphorylation of an enzyme causes 3D change that
    affects the active site. It may either increase or decrease
    its activity depending on the type of enzyme.
Glycogen storage diseases

   Glycogen metabolism is a finely controlled system.
    – It is not surprising that genetically determined enzyme deficiencies
      result in disease state.
    – Genetic diseases are in fact valuable research tools for us.
   There are 8 glycogen storage diseases but we will only
    cover Type I and Type V
    – Type I
        • Von Gierke Disease
        • Glc 6-phosphatase is missing.
    – Type V
        • McArdle Disease
        • Phosphorylase is missing.
Problem 31.
Purified from two samples of human liver, glycogen was either treated or not treated
                     Berg • Tymoczko • Stryer
With a-amylase and subsequently analyzed by SDS-PAGE and western blotting with
the use of antibodies to glycogenin. The results are presented in next slide.

1.   Why are no proteins without amylase?

                   Biochemistry
     Glycogen is too large to enter the gel. Antibody to glycogenin was used so we only see
     Glycogenin by western blotting.
                             Seventh Edition
2.   What is the reason using amylase?
         Amylase degrades glycogen, releases glycogenin
3.   Why don’t we see other proteins?
     1. Antibody against glycogenin was used21
                            CHAPTER (glycogen P-lase, glycogen synthase,
                       Glygogen Metabolism
     Protein phosphatase-1 can be seen if we used Abs for them)




                                           Copyright © 2012 by W. H. Freeman and Company
Problem for students. The gene for glycogenin was transfected into a cell line that normally stor
 small amounts of glycogen. The cells were then manipulated according to the following
protocol, and glycogen was isolated and analyzed by SDS-PAGE and western blotting by using
An antibody to glycogenin with and without amylase treatment. The results are presented in the
                            Berg • Tymoczko • Stryer
next slide. The protocol: Cells cultured in growth medium and 25 mM glucose (lane1) were
Switched to medium containing no glucose for 24 hours (lane 2). Glucose-starved cells were
refed with medium containing 25 mM glucose for 1 hour (lane 3) or 3 hours (lane 4). Samples

                      Biochemistry
(12 microg of protein) were either treated or not treated with amylase, before being loaded on
the gel.
           a. Why did the western analysis produce a “smear”-that is, the high molecular-weight
           staining in lane 1(-)?     Seventh Edition
           b. What is the significance of the decrease in HMW-staining in lane 2(-)?
           c. What is the significance of the difference between lanes 2(-) and 3(-)?
           d. Suggest a plausible reason why there is essentially no difference between lanes 3(-)
           and 4(-)?                 CHAPTER 21
           e. Why are the bands at 66 kd the same in the lanes treated with amylase, despite the
                             Glygogen Metabolism
           fact that the cells were treated differently?




                                              Copyright © 2012 by W. H. Freeman and Company
Lec09 glycogen met

Lec09 glycogen met

  • 1.
    Berg • Tymoczko• Stryer Biochemistry Sixth Edition Chapter 21: Glycogen Metabolism Copyright © 2007 by W. H. Freeman and Company
  • 2.
    Glycogen Metabolism  OUTLINE • Glycogen breakdown requires the interplay of several enzymes • Phosphorylase is regulated by allosteric interactions and reversible phosphorylation • Epinephrine and glucagon signal the need for glycogen breakdown • Glycogen is synthesized and degraded by different pathways • Glycogen breakdown and synthesis are reciprocally regulated  Glycogen synthesis: glycogenesis  Degradation of glycogen: glycogenolysis.
  • 3.
    Glycogen  Glycogen is a highly branched, very large polymer of glyc mols linked 1 4  Branches arise by 1 6 at about every 8-10th residue  It is found in the cytosol.  It is the storage form of Glc.  Liver and muscle are the major sites for the storage of glycogen.
  • 8.
    Surface: nonreducing ends Atthe core: glycogenin Degradation: takes place at the surface!
  • 10.
    Degradation of Glycogen  Is not a simple reversal of the synthetic pathway  Other enzymes involved Glycogen  G-1-P  Shortening of chains: – Glycogen phosphorylase ( -1  4) – It is an exoglucosidase – Degrades the gly. chains at their non-reducing ends until four glucosyl units remain on each chain before the branch point – The resulting structure  a limit dextrin – Phosphorylase cannot degrade this any further!
  • 11.
    Degradation of Glycogencontinued Removal of branches:  Branches are removed through two enzymatic activities of the debranching enzyme a. Glucosyl 4:4 transferase removes the outer 3 of 4 glucosyl residues b. Single glucose residue attached in an 16 linkage is then removed by the -amylo (1:6) glucosidase activity of the debranching enzyme, releasing free glucose
  • 16.
    Regulation phosphorylase Regulation ofglycogen metabolism is different in muscle and liver.  In muscle, the end served by glycolysis is ATP production and the rate of glycolysis increases as muscle works more, demanding more ATP.  The liver has a different role in whole-body metabolism and glucose metabolism in the liver is different. The liver makes sure that glucose level is constant in the blood, producing and exporting Glc.
  • 17.
    Regulation of GlycogenBreakdown Glycogen represents the most immediately available large-scale source of metabolic energy. Therefore, it is important that animals be able to activate glycogen mobilization very rapidly.  Glycogen breakdown is an hormone-controlled process. Structure of glycogen phosphorylase:  Dimer; exists in two forms. – Active phosphorylase a – Inactive phosphorylase b  Activation  by phosphorylase kinase  Deactivation  phosphorylase phosphatase Control of phosphorylase activity:  Phosphorylase kinase is activated by c-AMP protein kinase
  • 18.
    Muscle phosphorylase  In muscle, phosphorylase has 2 forms. 1. Phosphorylase a: – active form – 2 subunits, in each Ser residue at position 14 is Plated (Phosphorylase kinase does this) 2. Phosphorylase b: – inactive form – in resting muscle, all enzyme is its inactive form – structurally identical except that Ser residues are not Plated. It is active when AMP is high! It is inactive when ATP and Glc 6-P are high! So, muscle phosphorylase b is active only when the energy charge of the muscle is low.  The rate of glycogen breakdown is due to the a/b which is controlled by hormones especially by epinephrine.  Phosphorylase a  phosphorylase b by dephosphorylation catalyzed by phosphorylase a phosphatase.
  • 23.
  • 24.
  • 25.
  • 26.
    Muscle phosphorylase regulation  Both phosphorylase b and phosphorylase a exist as equilibria between an active R state and a less active T state.  Phosphorylase b is usually inactive because the equilibrium favors the T state.  Phosphorylase a is usually active because the equilibrium favors the R state.
  • 28.
    AMP dependency ofphosphorylase b  Phosphorylase a is AMP-independent  Phosphorylase b is AMP-dependent. – The stimulation of phosphorylase b by AMP can be prevented by high ATP concentrations.  AMP binds its allosteric site and stabilizes the conformation of phosphyrylase b in the R state.  ATP acts as a negative allosteric modulator by competing with AMP and so favors the T state. Intensive exercise AMP/ATP goes up, Phosphorylase b (active) In resting muscle AMP/ATP goes down, Phosphorylase b (inactive)  Exercise will also result in hormone release (epinephrine) that generates the phosphorylated a form of the enzyme.
  • 30.
    Liver phosphorylase  Liver phosphorylase and muscle phosphorylase are 90% identical in amino acid sequence.  Liver phosphorylase a, but not b, has the most responsive T-to-R transition.  The binding of Glc shifts the allosteric equilibrium of the a form from the R to the T state, deactivating the enzyme.  Why would Glc function as a negative regulator of liver phosphorylase a? – When there is plenty of Glc, no need to breakdown liver glycogen!
  • 31.
    Liver Glycogen phosphorylase is regulated by hormones and blood glucose.  Liver glycogen has a different role in our system. – When blood glucose is low (lower than 4-5 mM) Glycogen  Glc-1-P  Glc-6-P  Glc – So, when blood glucose is low, glucose is released into the blood stream and carried to the needy tissues.  Glycogen phosphorylase of liver is under hormonal control. – Glucagon is the hormone. – When glucose is low, glucagon is released. – Liver phosphorylase is allosterically regulated by Glc not AMP. • When Glc is high in the blood, it enters hepatocytes and binds regulatory sites of the enzyme, causing conformational changes (favoring the T state). • Therefore, glycogen phosphorylase is a glucose sensor. • When Glc is high, it stops its own FORMATION.
  • 33.
    Phosphorylase kinase is activated by phosphorylation and calcium ions The phosphorylase enzyme.  Has a fully active form and an inactive form  Has a mass of 1200 kd  Consist of 4 subunits ( ) – The subunit is the source of catalytic activity. – The other subunits are regulatory subunits.  Is under dual control 1. Regulated by phosphorylation – The subunit is phosphorylated by cAMP dependent PKA). 2. Partly activated by calcium levels of the order of 1 mM. – The subunit is calmodulin, a calsium sensor that stimulates many enzymes.  Phosphorylase kinase has the highest activity only after both the phosphorylation of the subunit and the activation of the subunit by Ca binding.
  • 35.
    Epi and Glucagonsignal the need for glycogen breakdown  PKA  activates phosphorylase kinase  Glycogen phosphorylase activated  Glc 1-P is made  What activates PKA? – HORMONES • Glucagon • Epinephrine  Signal transduction – Epi – GTP-bound G proteins – Increased cAMP – PKA increases  cAMP amplifies the effects of hormones
  • 40.
    What shuts offglycogen breakdown?  This signal transduction pathway is shut down by the same pathway.  How? • GTP is deactivated by its inherent GTPase activity • cAMP is converted to AMP (not a second messenger) by phosphodiesterase enzyme.
  • 41.
    Steps in GlycogenSynthesis A. UDPG synthesis: G-6-P  G-1-P G-1-P + UTP  UDPG + PPi B. A primer is required for glycogen synthesis: 1. A fragment of glycogen can serve as a primer in cells whose glycogen stores are not totally depleted. 2. If a glycogen fragment is not present, glycogenin, a glycosyltransferase, serves as the primer.
  • 42.
    Steps in GlycogenSynthesis continued C. Elongation of glycogen chains – Glucose is transferred from UDPG to the non-reducing end of the growing chain. • New glycosidic bond between C-1 of the activated sugar and C-4 of the accepting glucosyl residue • Enzyme: glycogen synthase – If no other enzyme acts on the chain, the resulting structure is a linear molecule of glucosyl residues attached by 1-4. • Such a compound, called amylose, is found in fruits. – The UDP released when the new bond is made can be convert back. UDP + ATP  UTP + ADP
  • 43.
    Steps in GlycogenSynthesis continued D. Creating branches in glycogen: – Amylose  unbranched Glygogen  branches (~8)  The branches are made through the “branching enzyme”, glucosyl 4:6 transferase (amylo 1, 4 - 1,6 transglycosylase – This enzyme transfers 5 to 8 glucosyl residues from the non- reducing end to another residue by an 1,6 link. – Further elongation – Branches have two important functions a) increases the solubility of the glycogen molecule. b) The number of non-reducing ends to which new glucosyl residues can be added and thereby greatly accelerating the rate at which glycongen synthesis and degradation can occur.
  • 46.
  • 51.
    Summary of thesynthesis  UDP-Glucose synthesis UDP-glucose phosphorylase  A primer is required for glycogen synthesis (glycogenin or a fragment of glycogen)  Glc units are added to the either the existing glycogen chains or glycogenin (enzyme glycogen synthase). • C-4 is the non-reducing end of glycogen chain. New glucose molecules are always added to this non-reducing terminus.  Elongation of glucose chains  Creating branches in glycogen (enzyme transferase)  Branches have 2 functions: 1. Increase the solubility of the glycogen molecule 2. Increase the rate of glycogen synthesis
  • 52.
    How Is GlycogenSynthesis Regulated?  Glucagon and Epi promote glycogenolysis, at the same time they inhibit glycogen synthesis. – Both effects are mediated by cAMP and cAMP dependent protein kinase. – Regulated enzyme: glycogen synthase • a form: active (not phosphorylated) • b form: inactive (phosphorylated) • PKA and other kinases phosphorylate the enzyme. – Protein kinase (Ser – phosphorylated)  Steps after the binding of the hormones: – Epi  liver cell recep. – Adenylate cyclase activity – cAMP – cAMP  Pkinase which phosphorylates and inactivates glycogen synthase
  • 54.
    Coordinate Control ofGlycogen Breakdown and Synthesis by cAMP Cascades Glycogen degradation Glycogen synthesis Inactive forms are shown in red, active forms are shown in green.
  • 55.
    Glycogen degradation Inactive forms are shown in red, active forms are shown in green.
  • 56.
    Glycogen synthesis Inactive forms are shown in red, active forms are shown in green.
  • 57.
    Breakdown and synthesisare reciprocally regulated  Hormone -triggered cAMP cascade acting through PKA  Glycogen breakdown and synthesis are reciprocally regulated. • Phosphorylase kinase also inactivates glycogen synthase.  PP1(protein phosphatase 1) reverses the regulatory effects of glycogen metabolism. – PKA action is reversed by phosphatases – PP1 inactivates phosphorylase kinase and phosphorylase a by dephosphorylating these enzymes. – PP1 also removes P groups from the glycogen synthase b to the glycogen synthase a form (more active)
  • 59.
    PP1 has 3 components: – P1 – Rgl – I  How is phosphatase activity of PP1 regulated? – Rgl phosphorylation by PKA prevents its binding to PP1, therefore activation of cAMP cascade leads to the inactivation of PP1 because it cannot bind to its substrate. – Phosphorylation of inhibitor 1 by protein kinase A blocks catalysis by PP1.  Thus, Epi increases glycogen breakdown by making phosphorylase a and decreases glycogen synthesis by making inactive phosphatase.
  • 62.
    Insulin stimulates glycogensynthesis by activating protein phosphatase 1  When blood glucose is high, insulin is stimulated.  Activated insulin-sensitive protein kinase makes activated protein phosphatase The consequent dephosphorylation of glycogen synthase, phosphorylase kinase, and phosphorylase promotes glycogen synthesis and blocks its degradation!
  • 65.
    Phosphorylation of theenzymes is regulated by hormones  Phosphorylated groups can be removed by phosphatases; therefore, the action of phosphatases always opposes kinases. – If kinases activity is greater than activity of phosphatase, the enzyme is in the phosphorylated mode.  Insulin, Glucagon, and Epi are three important hormones which affect glycogen metabolism!
  • 66.
    Glycogen metabolism inthe liver regulates the blood-glucose level  After a carbohydrate-rich meal blood glucose increases.  Insulin is the primary signal for glycogen synthesis.  Blood glucose level 80-120 mg/dL (4.4-6.7 mM)  The liver senses the concentration of blood glucose and either release or takes up glucose.  Glucose infusion changes the enzymes involved in glycogen metabolism
  • 68.
    Glucose regulation ofglycogen metabolism  Phosphorylase a is the glucose sensor in liver cells  Glucose is high  Binding of Glc converts R T  PP1 is released  Inactivation of glycogen breakdown and the activation of glycogen synthesis take place..
  • 69.
    Glucose regulation ofglycogen metabolism [Glycogen breakdown inhibited] [Glycogen synthesis favored]
  • 70.
    Summary of theRegulation of Glycogen Synthesis and Degradation  Synthesis and degradation are regulated by the same hormonal signals!  An increase in insulin stimulates glycogen synthesis  An increase in glucagon or Epi stimulates glycogen degradation  cAMP production increases in response to the release ofEpi and glucogon  cAMP production decreases in the presence of insulin!  Key enzymes are phophorylated by a family of kinases, some of which are cAMP dependent.  Phosphorylation of an enzyme causes 3D change that affects the active site. It may either increase or decrease its activity depending on the type of enzyme.
  • 71.
    Glycogen storage diseases  Glycogen metabolism is a finely controlled system. – It is not surprising that genetically determined enzyme deficiencies result in disease state. – Genetic diseases are in fact valuable research tools for us.  There are 8 glycogen storage diseases but we will only cover Type I and Type V – Type I • Von Gierke Disease • Glc 6-phosphatase is missing. – Type V • McArdle Disease • Phosphorylase is missing.
  • 76.
    Problem 31. Purified fromtwo samples of human liver, glycogen was either treated or not treated Berg • Tymoczko • Stryer With a-amylase and subsequently analyzed by SDS-PAGE and western blotting with the use of antibodies to glycogenin. The results are presented in next slide. 1. Why are no proteins without amylase? Biochemistry Glycogen is too large to enter the gel. Antibody to glycogenin was used so we only see Glycogenin by western blotting. Seventh Edition 2. What is the reason using amylase? Amylase degrades glycogen, releases glycogenin 3. Why don’t we see other proteins? 1. Antibody against glycogenin was used21 CHAPTER (glycogen P-lase, glycogen synthase, Glygogen Metabolism Protein phosphatase-1 can be seen if we used Abs for them) Copyright © 2012 by W. H. Freeman and Company
  • 78.
    Problem for students.The gene for glycogenin was transfected into a cell line that normally stor small amounts of glycogen. The cells were then manipulated according to the following protocol, and glycogen was isolated and analyzed by SDS-PAGE and western blotting by using An antibody to glycogenin with and without amylase treatment. The results are presented in the Berg • Tymoczko • Stryer next slide. The protocol: Cells cultured in growth medium and 25 mM glucose (lane1) were Switched to medium containing no glucose for 24 hours (lane 2). Glucose-starved cells were refed with medium containing 25 mM glucose for 1 hour (lane 3) or 3 hours (lane 4). Samples Biochemistry (12 microg of protein) were either treated or not treated with amylase, before being loaded on the gel. a. Why did the western analysis produce a “smear”-that is, the high molecular-weight staining in lane 1(-)? Seventh Edition b. What is the significance of the decrease in HMW-staining in lane 2(-)? c. What is the significance of the difference between lanes 2(-) and 3(-)? d. Suggest a plausible reason why there is essentially no difference between lanes 3(-) and 4(-)? CHAPTER 21 e. Why are the bands at 66 kd the same in the lanes treated with amylase, despite the Glygogen Metabolism fact that the cells were treated differently? Copyright © 2012 by W. H. Freeman and Company