GUJARAT
TECHNOLOGICAL
UNIVERSITY
Subject : Advanced
Engineering Mathematics
Sem-3 (Chemical)
Topic : Laplace Transforms
Topics
 Definition of Laplace Transform
 Linearity of the Laplace Transform
 Laplace Transform of some Elementary Functions
 First Shifting Theorem
 Inverse Laplace Transform
 Differentiation & Integration of Laplace Transform
 Evaluation of Integrals By Laplace Transform
 Convolution Theorem
 Application to Differential Equations
 Laplace Transform of Periodic Functions
 Unit Step Function
 Second Shifting Theorem
 Dirac Delta Function
Definition of Laplace Transform
 Let f(t) be a given function of t defined for all
then the Laplace Transform of f(t) denoted by L{f(t)}
or or F(s) or is defined as
provided the integral exists, where s is a parameter real
or complex.
0t
)(sf )(s
dttfessFsftfL st
)()()()()}({
0



 
Linearity of the Laplace Transform
 If L{f(t)}= and then for any
constants a and b
)(sf )()]([ sgtgL 
)]([)]([)]()([ tgbLtfaLtbgtafL 
)]([)]([)}()({
)()(
)]()([)}()({
Definition-By:Proof
00
0
tgbLtfaLtbgtafL
dttgebdttfea
dttbgtafetbgtafL
stst
st











Laplace Transform of some Elementary
Functions
asif
a-s
1
)(
e.)e(
Definition-By:Proof
a-s
1
)L(e(2)
)0(,
s
1
1.)1(
Definition-By:Proof
s
1
L(1)(1)
0
)(
0
)(
0
atat
at
00
























 



as
e
dtedteL
s
s
e
dteL
tas
tasst
st
st
|a|s,
a-s
s
at]L[coshly,(5)Similar
|a|s,
a-s
a
11
2
1
)]()([
2
1
2
e
Lat)L(sinh
definitionBy
2
e
atcoshand
2
e
atsinhhave-We:Proof
a-s
a
at]L[sinh(4)
-as,
1
]L[e3)(
22
22
at
atat
22
at-

















 












asas
eLeL
e
ee
as
atat
at
atat
0s,
as
s
at]L[cosand
as
a
at]L[sin
getweparts,imaginaryandrealEquating
as
a
i
as
s
as
ias
1
)L(e1
]e[]sin[cos
sincose
Formula]s[Euler'sincosethatknow-We:Proof
0s,
as
s
at]L[cosand
as
a
at]L[sin(6)
2222
222222
at
iat
iat
ix
2222































as
ias
LatiatL
atiat
xix

   n!1n0,1,2...n
n!
)(or
0,n-1n,
1
)(
1
ust,.)-L(:Proof
n!
or
1
)()8(
1
0
1
1
0
1)1(
1
0
0
11







































n
n
nx
n
n
nu
n
n
u
nstn
nn
n
S
tL
ndxxe
S
n
tL
duue
S
s
du
s
u
e
puttingdttet
SS
n
tL
First Shifting Theorem
)(f]f(t)L[e,
)(f]f(t)L[e
)(f)(f
ra-swhere)(e
)(e
)(ef(t)]L[e
DefinitionByProof
)(f]f(t)L[ethen,(s)fL[f(t)]If
shifting-stheorem,shiftingFirst-Theorem
at-
at
0
rt-
0
a)t-(s-
0
st-at
at
asSimilarly
as
asr
dttf
dttf
dttfe
as
at














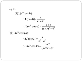
22)-(s
2-s
)4cosL(e
2s
s
L(cosh2t)
)2coshL(e(1)
43)(s
3s
)4cosL(e
4s
s
L(cos4t)
)4cosL(e(1)
:
22
2t
22
2t
22
3t-
22
3t-










t
t
t
t
Eg
Inverse Laplace Transform
)()}({L
bydenotedisand(s)foftransformlaplaceinverse
thecalledisf(t)then(s),fL[f(t)]If-Definition
1-
tfsf 

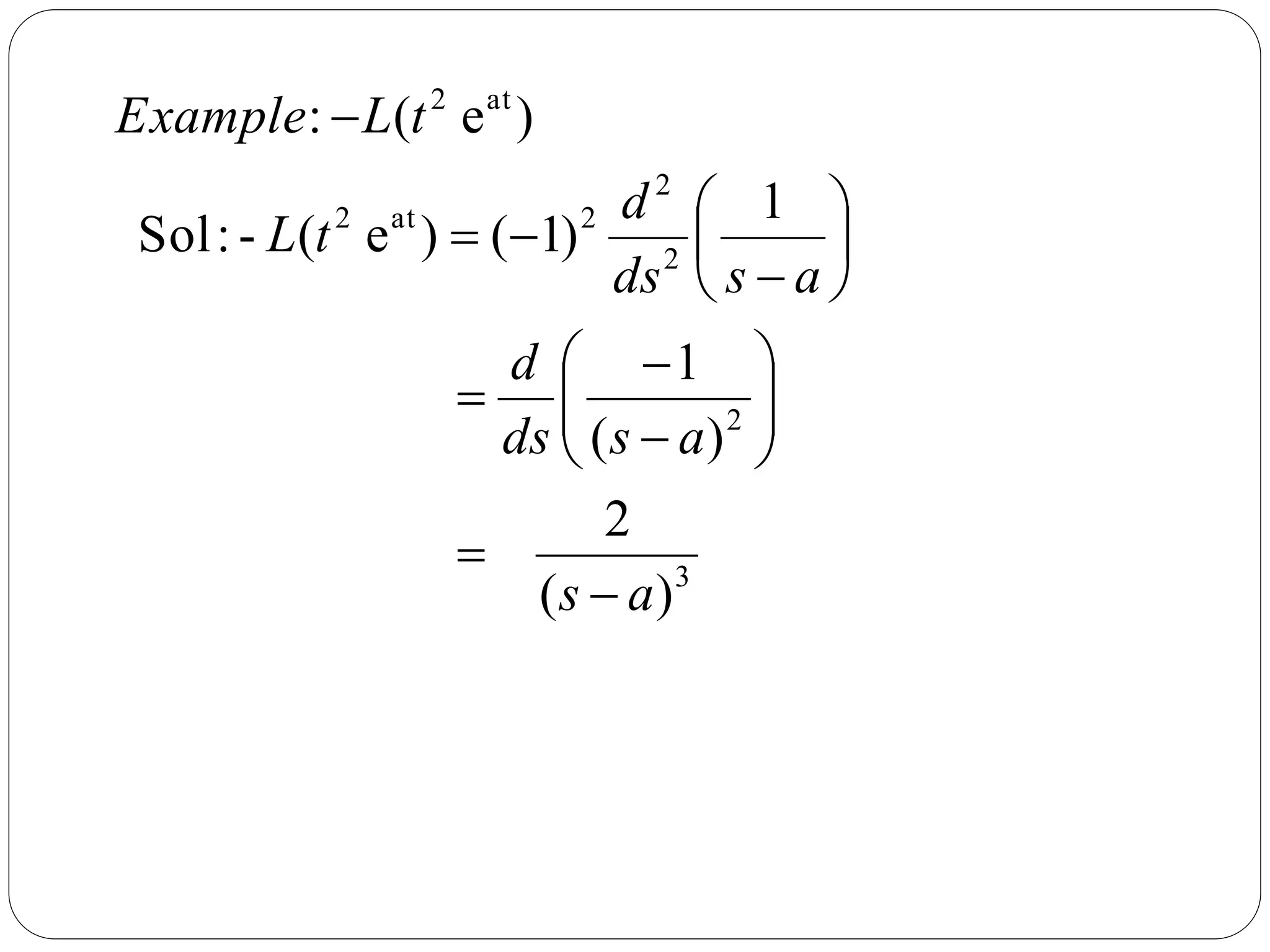
Differentiation & Integration of Laplace
Transform











0
n
n
nn
ds(s)f
t
f(t)
Lthen
,transformLaplacehas
t
f(t)
and(s)fL{f(t)}If
TransformsLaplaceofnIntegratio
1,2,3,...nwhere,(s)]f[
ds
d
(-1)f(t)]L[tthen(s)fL{f(t)}If
TranformLaplaceofationDifferenti
3
2
2
2
2at2
at2
)(
2
)(
1
1
)1()e(-:Sol
)e(:
as
asds
d
asds
d
tL
tLExample

































































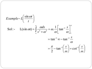
ss
s
s
s
ds
t
t
LExample
s
11
11
1
s
22
cottan
2
tantan
tan
1
.t)L(sin-:Sol
sin
Evaluation of Integrals By Laplace
Transform






















1
)1()cos(
1
)(cos
cos)cos(
cos)(3
)()}({
cos-:Example
2
2
0
0
0
3
s
s
ds
d
ttL
s
s
tL
tdttettL
tttfs
dttfetfL
tdtte
st
st
t
25
2
100
8
)19(
19
cos
cos
)1(
1
)cos(
)1(
2)1(
1
2
0
3
0
22
2
22
22























tdtte
tdtte
s
s
ttL
s
ss
t
st
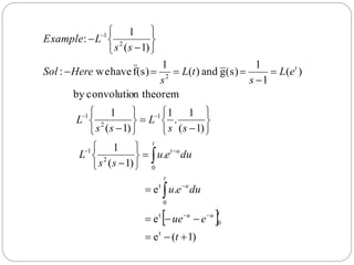
Convolution Theorem
g(t)*f(t)
g*fu)-g(tf(u)(s)}g(s)f{L
theng(t)(s)}g{Landf(t)(s)}f{LIf
t
0
1-
-1-1




 
)1(e
e
.e
.
)1(
1
)1(
1
.
1
)1(
1
n theoremconvolutioby
)(
1
1
(s)gand)(
1
(s)fhavewe:
)1(
1
:
t
0
t
0
t
0
2
1
1
2
1
2
2
1












































t
eue
dueu
dueu
ss
L
ss
L
ss
L
eL
s
tL
s
HereSol
ss
LExample
tuu
t
u
t
ut
t
Laplace Transform of Periodic Functions
 



p
0
st
0)(sf(t)dte
e-1
1
L{f(t)}
ispperiodwith
f(t)functionperiodiccontinouspiecewiseaoftransformlaplaceThe
0tallforf(t)p)f(t
if0)p(
periodithfunction wperiodicbetosaidisf(t)Afunction-Definition
ps-






























































2w
sπ
hcot
ws
w
e
e
.
e1
e1
.
ws
w
e1
ws
w
.
e1
1
L[F(t)]
e1
ws
w
wcoswt)ssinwt(
ws
e
sinwtdteNow
tallforf(t)
w
π
tfand
w
π
t0forsinwtf(t)
0t|sinwt|f(t)
ofionrectificatwave-fulltheoftransformlaplacetheFind
22
2w
sπ
2w
sπ
w
sπ
w
sπ
22
w
sπ
22
w
sπ
w
sπ
22
2
w
π
0
w
π
0
22
st
st
Unit Step Function
s
1
L{u(t)}
0aif
e
s
1
s
e
(1)dte(0)dte
a)dt-u(tea)}-L{u(t
at1,
at0,a)-u(t
as-
a
st-
a
st-
a
0
st-
0
st-



















Second Shifting Theorem
a))L(f(tea))-u(tL(f(t)-Corr.
L(f(t))e
(s)fea))-u(ta)-L(f(t
then(s)fL(f(t))If
as-
as
as-





 
)(cos)2(
)2(cos)2()2(L
)()()(L
theroemshiftingsecondBy
(ii)L
33
1
}{.
}{)]2(L[e
2,ef(t)
)]2((i)L[e
22
1
22
2
1-
1-
22
2
1-
)3(2
)62(
362
)2(323t-
3t-
-3t
ttu
ttu
s
s
Ltu
s
se
atuatfsfe
s
se
s
e
s
e
eLee
eLetu
a
tuExample
s
as
s
s
s
ts
ts












































Laplace transforms

Laplace transforms