EDUCATION HOLE PRESENTS
Engineering Mathematics – II
Unit-IV
Fourier series and Partial Differential Equations...................................................................... 2
Periodic functions ............................................................................................................................2
Even and Odd Functions .......................................................................................................................................3
Fourier series of period ....................................................................................................................4
Euler’s Formulae ..............................................................................................................................5
Functions having arbitrary periods .......................................................................................... 7
Fourier Series Expansion on the Interval [a,b]......................................................................................................7
Even and Odd Functions .......................................................................................................................................8
Half range sine series .............................................................................................................. 8
Harmonic analysis ............................................................................................................................9
Fourier series on a square.....................................................................................................................................9
Solution of first order partial differential equations by Lagrange’s method .................................... 10
Solution of second order linear partial differential equations with constant coefficients.................................11
Fourier series and Partial Differential Equations
Periodic functions
The first topic we need to discuss is that of a periodic function. A function is said to be periodic
with period T if the following is true,
The following is a nice little fact about periodic functions.
Fact 1
If f and g are both periodic functions with period T then so is and fg.
This is easy enough to prove so let’s do that.
The two periodic functions that most of us are familiar are sine and cosine and in fact we’ll be
using these two functions regularly in the remaining sections of this chapter. So, having said that
let’s close off this discussion of periodic functions with the following fact,
Fact 2
and are periodic functions with
period .
Even and Odd Functions
The next quick idea that we need to discuss is that of even and odd functions.
Recall that a function is said to be even if,
and a function is said to be odd if,
The standard examples of even functions are and
while the standard examples of odd functions are
and . The following fact about
certain integrals of even/odd functions will be useful in some of our work.
Fact 3
1. If is an even function then,
2. If is an odd function then,
Fourier series of period
Let s(x) denotes a function of the real variable x, and s is integrable on an interval [x0, x0 + P],
for real numbers x0 and P. We will attempt to represent s in that interval as an infinite sum, or
series, of harmonically related sinusoidal functions. Outside the interval, the series is periodic
with period P (frequency 1/P). It follows that if s also has that property, the approximation is
valid on the entire real line. We can begin with a finite summation (or partial sum):
is a periodic function with period P. Using the identities:
Function s(x) (in red) is a sum of six sine functions of different amplitudes and harmonically
related frequencies. Their summation is called a Fourier series. The Fourier transform, S(f) (in
blue), which depicts amplitude vs frequency, reveals the 6 frequencies and their amplitudes.
we can also write the function in these equivalent forms:
where:
When the coefficients (known as Fourier coefficients) are computed as follows:[7]
approximates on and the approximation improves as N → ∞. The
infinite sum, is called the Fourier series representation of In engineering
applications, the Fourier series is generally presumed to converge everywhere except at
discontinuities, since the functions encountered in engineering are more well behaved than the
ones that mathematicians can provide as counter-examples to this presumption. In particular, the
Fourier series converges absolutely and uniformly to s(x) whenever the derivative of s(x) (which
may not exist everywhere) is square integrable. If a function is square-integrable on the interval
[x0, x0+P], then the Fourier series converges to the function at almost every point. See
Convergence of Fourier series. It is possible to define Fourier coefficients for more general
functions or distributions, in such cases convergence in norm or weak convergence is usually of
interest
Euler’s Formulae
(1)
around . These type of differential equations are called Euler Equations.
Recall from the previous section that a point is an ordinary point if the quotients,
have Taylor series around . However, because of the x in the denominator neither of
these will have a Taylor series around and so is a singular point. So, the
method from the previous section won’t work since it required an ordinary point. However, it is
possible to get solutions to this differential equation that aren’t series solutions. Let’s start off by
assuming that x>0 (the reason for this will be apparent after we work the first example) and that
all solutions are of the form,
(2)
Now plug this into the differential equation to get,
Now, we assumed that x>0 and so this will only be zero if,
(3)
So solutions will be of the form (2) provided r is a solution to (3). This equation is a quadratic in
r and so we will have three cases to look at : Real, Distinct Roots, Double Roots, and Complex
Roots.
Real, Distinct Roots
There really isn’t a whole lot to do in this case. We’ll get two solutions that will form a
fundamental set of solutions (we’ll leave it to you to check this) and so our general solution will
be,
Functions having arbitrary periods
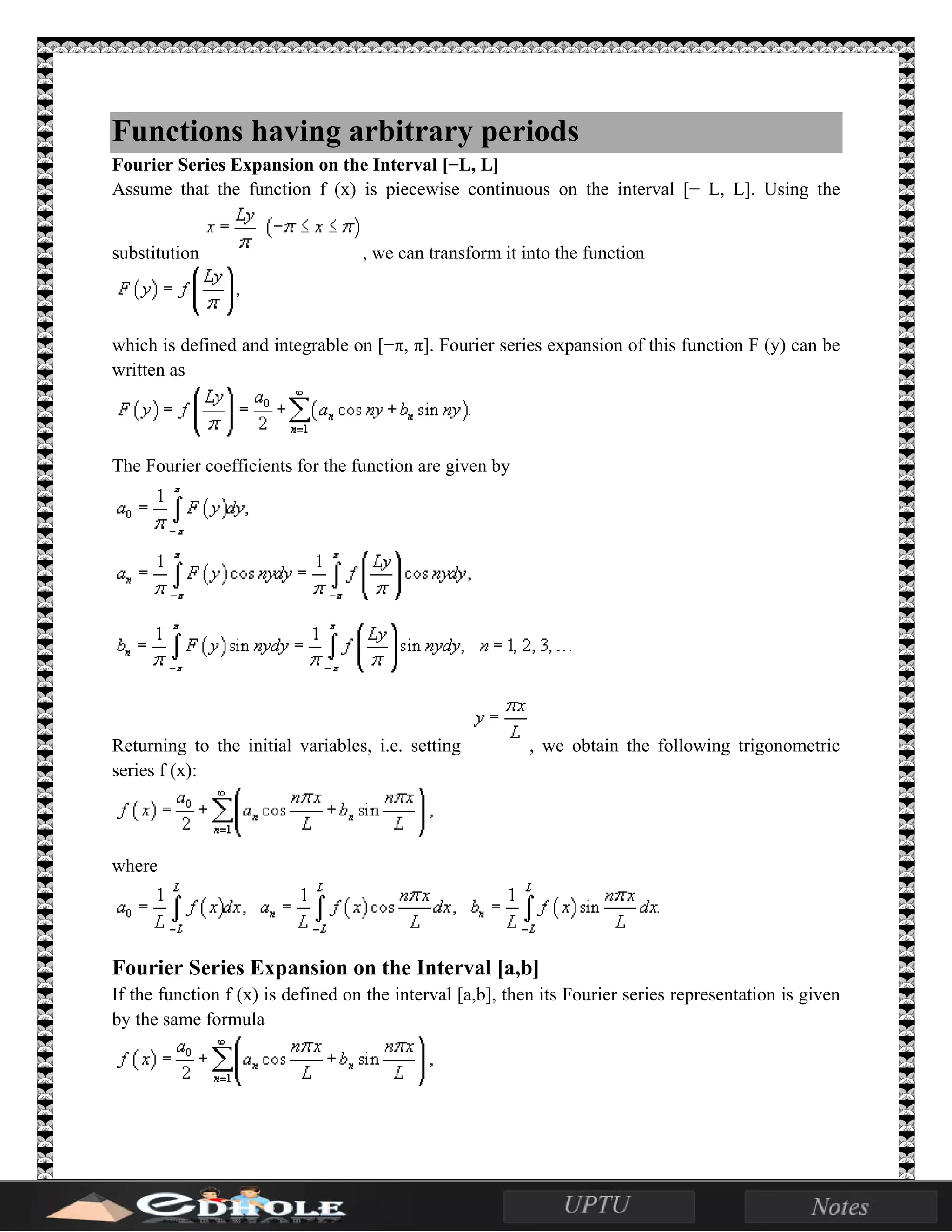
Fourier Series Expansion on the Interval [−L, L]
Assume that the function f (x) is piecewise continuous on the interval [− L, L]. Using the
substitution , we can transform it into the function
which is defined and integrable on [−π, π]. Fourier series expansion of this function F (y) can be
written as
The Fourier coefficients for the function are given by
Returning to the initial variables, i.e. setting , we obtain the following trigonometric
series f (x):
where
Fourier Series Expansion on the Interval [a,b]
If the function f (x) is defined on the interval [a,b], then its Fourier series representation is given
by the same formula
where and Fourier coefficients are calculated as follows:
Even and Odd Functions
The Fourier series expansion of an even function, defined on the interval [− L, L] has the form:
where
The Fourier series expansion of an odd function defined on the interval [− L, L] is expressed by
the formula
where the Fourier coefficients are
Half range sine series
A half range Fourier series is a Fourier series defined on an interval instead of the more
common , with the implication that the analyzed function should be
extended to as either an even (f(-x)=f(x)) or odd function (f(-x)=-f(x)). This allows the
expansion of the function in a series solely of sines (odd) or cosines (even). The choice between
odd and even is typically motivated by boundary conditions associated with a differential
equation satisfied by .
Example
Calculate the half range Fourier sine series for the function where
.
Since we are calculating a sine series, Now,
When n is odd, When n is even, thus
With the special case , hence the required Fourier sine series is
Harmonic analysis
Since Fourier's time, many different approaches to defining and understanding the concept of
Fourier series have been discovered, all of which are consistent with one another, but each of
which emphasizes different aspects of the topic. Some of the more powerful and elegant
approaches are based on mathematical ideas and tools that were not available at the time Fourier
completed his original work. Fourier originally defined the Fourier series for real-valued
functions of real arguments, and using the sine and cosine functions as the basis set for the
decomposition. Many other Fourier-related transforms have since been defined, extending the
initial idea to other applications. This general area of inquiry is now sometimes called harmonic
analysis. A Fourier series, however, can be used only for periodic functions, or for functions on a
bounded (compact) interval.
Fourier series on a square
We can also define the Fourier series for functions of two variables x and y in the square
[−π, π]×[−π, π]:
Aside from being useful for solving partial differential equations such as the heat equation, one
notable application of Fourier series on the square is in image compression. In particular, the
jpeg image compression standard uses the two-dimensional discrete cosine transform, which is a
Fourier transform using the cosine basis functions.
Solution of first order partial differential equations by
Lagrange’s method
The general form of first-order linear partial differential equations with variable coefficients is
P(x,y)ux+Q(x,y)uy+f(x,y)u=R(x,y) (11.21)
We can eliminate the term in u from (11.21) by substituting u=ve-ξ(x,y)
, where ξ(x,y) satisfies the
equation
P(x,y) ξx(x,y)+ Q (x,y) ξy(x,y)=f(x,y)
Hence, Eq (11.21) is reduced to
P(x,y)ux+Q (x,y) uy =R(x,y) (11.22)
where P,Q,R in (11.22) are not the same as in (11.21). The following theorem provides a method for
solving (11.22) often called Lagrange's Method.
Theorem 11.1 The general solution of the linear partial differential equation of first order
Pp+Qq=R; (11.23)
where p=
y
u
q,
x
u
∂
∂
=
∂
∂
, P, Q and R are functions of x y and u
is F(ϕ, ψ) = 0 (11.24)
where F is an arbitrary function and ϕ (x,y,u) =c1 and ψ (x,y,u)=c2 form a solution of the auxiliary
system of equations
R
du
Q
dy
P
dx
== (11.25)
Proof: Let ϕ (x,y,u)=c1 and ψ (x,y,u)=c2 satisfy (11.25), then equations
ϕxdx+ϕy dy +ϕudu=0
and
R
du
Q
dy
P
dx
==
must be compatible, that is, we must have P ϕx+Qϕy+Rϕu=0
Similarly we must have
Pψx+Qψy+Rψu=0
Solving these equations for P,Q, and R, we have
)y,x(/),(
R
)x,u(/),(
Q
)u,y(/),(
P
∂ψϕ∂
=
∂ψϕ∂
=
∂ψϕ∂
(11.26)
where ∂ (ϕ,ψ)/∂(y,u)= ϕyψu- ψyϕu≠0 denotes the Jacobian.
Let F(ϕ,ψ)=0. By differentiating this equation with respect to x and y, respectively, we obtain the
equations
0p
ux
F
p
ux
F
=






∂
ψ∂
+
∂
ψ∂
ψ∂
∂
+






∂
ϕ∂
+
∂
ϕ∂
ϕ∂
∂
0q
uy
F
q
uy
F
=






∂
ψ∂
+
∂
ψ∂
ψ∂
∂
+






∂
ϕ∂
+
∂
ϕ∂
ϕ∂
∂
and if we now eliminate
ϕ∂
∂F
and
ψ∂
∂F
from these equations, we obtain the equation p
)u,y(
),(
∂
ψϕ∂
+q
)x,u(
),(
∂
ψϕ∂
=
)y,x(
),(
∂
ψϕ∂
(11.27)
Substituting from equations (11.26) into equation (11.27), we see that F(ϕ,ψ)=0 is a general
solution of (11.23). The solution can also be written as
ϕ =g(ψ) or ψ=h(ϕ),
Solution of second order linear partial differential equations with constant
coefficients
Homogeneous Equations
Let Dx= ,
y
D,
x
D,
y
D,
x i
i
i
yi
i
i
xy
∂
∂
=
∂
∂
=
∂
∂
=
∂
∂
We are looking for solving equations of the type
0
y
u
k
yx
u
k
x
u
2
2
2
2
12
2
=
∂
∂
+
∂∂
∂
+
∂
∂
(11.45)
where k1 and k2 are constants.
(11.44) can be written as
( ) 0uDkDDkD 2
y2yx1
2
x =++
or F(Dx, Dy) u=0 (11.46)
The auxiliary equation of (11.45) (compare with Section 5.5) is
0DkDDkD 2
y2yx1
2
x =++
Dy then equation (11.45) can be written as
Let the roots of this equation be m1 and m2, that is, Dx=m1Dy, Dx=m2Dy
(Dx-m1Dy) (Dx-m2Dy)u=0- (11.47)
This implies
(Dx-m2Dy) u=0 or p-m2q=0
The auxiliary system of equations for p-m2q=0 is of the type
0
du
m-
dy
1
dx
2
==
This gives us -m2dx=dy
or y+m2x=c
and u=c1=ϕ (c)
Thus, u=ϕ(y+m2x) is a solution of (11.44).
From (11.46) we also have (Dx-m1Dy) u=0
or p-m1q=0
Its auxiliary system of equations is
0
du
m-
dy
1
dx
1
==
This gives –m1dx=dy or m1x+y=c1 and u=c2 and so u=ψ(y+m1x) is a solution of (11.44).
Therefore u=ϕ (y+m2x) + ψ (y+m1x) is the complete solution of (11.44)
If the roots are equal (m1 = m2) then Equation 11.44 is equivalent to
(Dx-m1Dy)2
u = 0
Putting (Dx-m1Dy) u = z, we get
(Dx-m1Dy) z=0 which gives
z=ϕ (y+m1x)
Substituting z in (Dx-m1Dy) u=z gives
(Dx-m1Dy) u = ϕ (y+m1x)
or p-m1q = ϕ (y+m1x)
Its auxiliary system of equations is
)xmy(
du
m-
dy
1
dx
11 +ϕ
==
which gives y+m1x = a & u + ϕ (a) x+b
The complete solution in this case is
u= x ϕ (y+m1x) + ψ (y+m1x)

Mba Ebooks ! Edhole

  • 1.
    EDUCATION HOLE PRESENTS EngineeringMathematics – II Unit-IV
  • 2.
    Fourier series andPartial Differential Equations...................................................................... 2 Periodic functions ............................................................................................................................2 Even and Odd Functions .......................................................................................................................................3 Fourier series of period ....................................................................................................................4 Euler’s Formulae ..............................................................................................................................5 Functions having arbitrary periods .......................................................................................... 7 Fourier Series Expansion on the Interval [a,b]......................................................................................................7 Even and Odd Functions .......................................................................................................................................8 Half range sine series .............................................................................................................. 8 Harmonic analysis ............................................................................................................................9 Fourier series on a square.....................................................................................................................................9 Solution of first order partial differential equations by Lagrange’s method .................................... 10 Solution of second order linear partial differential equations with constant coefficients.................................11 Fourier series and Partial Differential Equations Periodic functions The first topic we need to discuss is that of a periodic function. A function is said to be periodic with period T if the following is true, The following is a nice little fact about periodic functions. Fact 1 If f and g are both periodic functions with period T then so is and fg. This is easy enough to prove so let’s do that.
  • 3.
    The two periodicfunctions that most of us are familiar are sine and cosine and in fact we’ll be using these two functions regularly in the remaining sections of this chapter. So, having said that let’s close off this discussion of periodic functions with the following fact, Fact 2 and are periodic functions with period . Even and Odd Functions The next quick idea that we need to discuss is that of even and odd functions. Recall that a function is said to be even if, and a function is said to be odd if, The standard examples of even functions are and while the standard examples of odd functions are and . The following fact about certain integrals of even/odd functions will be useful in some of our work. Fact 3
  • 4.
    1. If isan even function then, 2. If is an odd function then, Fourier series of period Let s(x) denotes a function of the real variable x, and s is integrable on an interval [x0, x0 + P], for real numbers x0 and P. We will attempt to represent s in that interval as an infinite sum, or series, of harmonically related sinusoidal functions. Outside the interval, the series is periodic with period P (frequency 1/P). It follows that if s also has that property, the approximation is valid on the entire real line. We can begin with a finite summation (or partial sum): is a periodic function with period P. Using the identities: Function s(x) (in red) is a sum of six sine functions of different amplitudes and harmonically related frequencies. Their summation is called a Fourier series. The Fourier transform, S(f) (in blue), which depicts amplitude vs frequency, reveals the 6 frequencies and their amplitudes. we can also write the function in these equivalent forms:
  • 5.
    where: When the coefficients(known as Fourier coefficients) are computed as follows:[7] approximates on and the approximation improves as N → ∞. The infinite sum, is called the Fourier series representation of In engineering applications, the Fourier series is generally presumed to converge everywhere except at discontinuities, since the functions encountered in engineering are more well behaved than the ones that mathematicians can provide as counter-examples to this presumption. In particular, the Fourier series converges absolutely and uniformly to s(x) whenever the derivative of s(x) (which may not exist everywhere) is square integrable. If a function is square-integrable on the interval [x0, x0+P], then the Fourier series converges to the function at almost every point. See Convergence of Fourier series. It is possible to define Fourier coefficients for more general functions or distributions, in such cases convergence in norm or weak convergence is usually of interest Euler’s Formulae (1) around . These type of differential equations are called Euler Equations.
  • 6.
    Recall from theprevious section that a point is an ordinary point if the quotients, have Taylor series around . However, because of the x in the denominator neither of these will have a Taylor series around and so is a singular point. So, the method from the previous section won’t work since it required an ordinary point. However, it is possible to get solutions to this differential equation that aren’t series solutions. Let’s start off by assuming that x>0 (the reason for this will be apparent after we work the first example) and that all solutions are of the form, (2) Now plug this into the differential equation to get, Now, we assumed that x>0 and so this will only be zero if, (3) So solutions will be of the form (2) provided r is a solution to (3). This equation is a quadratic in r and so we will have three cases to look at : Real, Distinct Roots, Double Roots, and Complex Roots. Real, Distinct Roots There really isn’t a whole lot to do in this case. We’ll get two solutions that will form a fundamental set of solutions (we’ll leave it to you to check this) and so our general solution will be,
  • 7.
    Functions having arbitraryperiods Fourier Series Expansion on the Interval [−L, L] Assume that the function f (x) is piecewise continuous on the interval [− L, L]. Using the substitution , we can transform it into the function which is defined and integrable on [−π, π]. Fourier series expansion of this function F (y) can be written as The Fourier coefficients for the function are given by Returning to the initial variables, i.e. setting , we obtain the following trigonometric series f (x): where Fourier Series Expansion on the Interval [a,b] If the function f (x) is defined on the interval [a,b], then its Fourier series representation is given by the same formula
  • 8.
    where and Fouriercoefficients are calculated as follows: Even and Odd Functions The Fourier series expansion of an even function, defined on the interval [− L, L] has the form: where The Fourier series expansion of an odd function defined on the interval [− L, L] is expressed by the formula where the Fourier coefficients are Half range sine series A half range Fourier series is a Fourier series defined on an interval instead of the more common , with the implication that the analyzed function should be extended to as either an even (f(-x)=f(x)) or odd function (f(-x)=-f(x)). This allows the expansion of the function in a series solely of sines (odd) or cosines (even). The choice between odd and even is typically motivated by boundary conditions associated with a differential equation satisfied by . Example
  • 9.
    Calculate the halfrange Fourier sine series for the function where . Since we are calculating a sine series, Now, When n is odd, When n is even, thus With the special case , hence the required Fourier sine series is Harmonic analysis Since Fourier's time, many different approaches to defining and understanding the concept of Fourier series have been discovered, all of which are consistent with one another, but each of which emphasizes different aspects of the topic. Some of the more powerful and elegant approaches are based on mathematical ideas and tools that were not available at the time Fourier completed his original work. Fourier originally defined the Fourier series for real-valued functions of real arguments, and using the sine and cosine functions as the basis set for the decomposition. Many other Fourier-related transforms have since been defined, extending the initial idea to other applications. This general area of inquiry is now sometimes called harmonic analysis. A Fourier series, however, can be used only for periodic functions, or for functions on a bounded (compact) interval. Fourier series on a square We can also define the Fourier series for functions of two variables x and y in the square [−π, π]×[−π, π]:
  • 10.
    Aside from beinguseful for solving partial differential equations such as the heat equation, one notable application of Fourier series on the square is in image compression. In particular, the jpeg image compression standard uses the two-dimensional discrete cosine transform, which is a Fourier transform using the cosine basis functions. Solution of first order partial differential equations by Lagrange’s method The general form of first-order linear partial differential equations with variable coefficients is P(x,y)ux+Q(x,y)uy+f(x,y)u=R(x,y) (11.21) We can eliminate the term in u from (11.21) by substituting u=ve-ξ(x,y) , where ξ(x,y) satisfies the equation P(x,y) ξx(x,y)+ Q (x,y) ξy(x,y)=f(x,y) Hence, Eq (11.21) is reduced to P(x,y)ux+Q (x,y) uy =R(x,y) (11.22) where P,Q,R in (11.22) are not the same as in (11.21). The following theorem provides a method for solving (11.22) often called Lagrange's Method. Theorem 11.1 The general solution of the linear partial differential equation of first order Pp+Qq=R; (11.23) where p= y u q, x u ∂ ∂ = ∂ ∂ , P, Q and R are functions of x y and u is F(ϕ, ψ) = 0 (11.24) where F is an arbitrary function and ϕ (x,y,u) =c1 and ψ (x,y,u)=c2 form a solution of the auxiliary system of equations R du Q dy P dx == (11.25) Proof: Let ϕ (x,y,u)=c1 and ψ (x,y,u)=c2 satisfy (11.25), then equations ϕxdx+ϕy dy +ϕudu=0 and R du Q dy P dx ==
  • 11.
    must be compatible,that is, we must have P ϕx+Qϕy+Rϕu=0 Similarly we must have Pψx+Qψy+Rψu=0 Solving these equations for P,Q, and R, we have )y,x(/),( R )x,u(/),( Q )u,y(/),( P ∂ψϕ∂ = ∂ψϕ∂ = ∂ψϕ∂ (11.26) where ∂ (ϕ,ψ)/∂(y,u)= ϕyψu- ψyϕu≠0 denotes the Jacobian. Let F(ϕ,ψ)=0. By differentiating this equation with respect to x and y, respectively, we obtain the equations 0p ux F p ux F =       ∂ ψ∂ + ∂ ψ∂ ψ∂ ∂ +       ∂ ϕ∂ + ∂ ϕ∂ ϕ∂ ∂ 0q uy F q uy F =       ∂ ψ∂ + ∂ ψ∂ ψ∂ ∂ +       ∂ ϕ∂ + ∂ ϕ∂ ϕ∂ ∂ and if we now eliminate ϕ∂ ∂F and ψ∂ ∂F from these equations, we obtain the equation p )u,y( ),( ∂ ψϕ∂ +q )x,u( ),( ∂ ψϕ∂ = )y,x( ),( ∂ ψϕ∂ (11.27) Substituting from equations (11.26) into equation (11.27), we see that F(ϕ,ψ)=0 is a general solution of (11.23). The solution can also be written as ϕ =g(ψ) or ψ=h(ϕ), Solution of second order linear partial differential equations with constant coefficients Homogeneous Equations Let Dx= , y D, x D, y D, x i i i yi i i xy ∂ ∂ = ∂ ∂ = ∂ ∂ = ∂ ∂ We are looking for solving equations of the type 0 y u k yx u k x u 2 2 2 2 12 2 = ∂ ∂ + ∂∂ ∂ + ∂ ∂ (11.45)
  • 12.
    where k1 andk2 are constants. (11.44) can be written as ( ) 0uDkDDkD 2 y2yx1 2 x =++ or F(Dx, Dy) u=0 (11.46) The auxiliary equation of (11.45) (compare with Section 5.5) is 0DkDDkD 2 y2yx1 2 x =++ Dy then equation (11.45) can be written as Let the roots of this equation be m1 and m2, that is, Dx=m1Dy, Dx=m2Dy (Dx-m1Dy) (Dx-m2Dy)u=0- (11.47) This implies (Dx-m2Dy) u=0 or p-m2q=0 The auxiliary system of equations for p-m2q=0 is of the type 0 du m- dy 1 dx 2 == This gives us -m2dx=dy or y+m2x=c and u=c1=ϕ (c) Thus, u=ϕ(y+m2x) is a solution of (11.44). From (11.46) we also have (Dx-m1Dy) u=0 or p-m1q=0 Its auxiliary system of equations is 0 du m- dy 1 dx 1 == This gives –m1dx=dy or m1x+y=c1 and u=c2 and so u=ψ(y+m1x) is a solution of (11.44). Therefore u=ϕ (y+m2x) + ψ (y+m1x) is the complete solution of (11.44)
  • 13.
    If the rootsare equal (m1 = m2) then Equation 11.44 is equivalent to (Dx-m1Dy)2 u = 0 Putting (Dx-m1Dy) u = z, we get (Dx-m1Dy) z=0 which gives z=ϕ (y+m1x) Substituting z in (Dx-m1Dy) u=z gives (Dx-m1Dy) u = ϕ (y+m1x) or p-m1q = ϕ (y+m1x) Its auxiliary system of equations is )xmy( du m- dy 1 dx 11 +ϕ == which gives y+m1x = a & u + ϕ (a) x+b The complete solution in this case is u= x ϕ (y+m1x) + ψ (y+m1x)