NADEEM UDDIN
ASSOCIATE PROFESSOR
OF STATISTICS
DISCRETE PROBABILITY
DISTRIBUTIONS
Binomial Experiment:
A binomial experiment is a random experiment that has the
following properties:
1-The experiment consists of n repeated trials.
2-Each trial can result in just two possible outcomes. We
call one of these outcomes a success and the other, a
failure.
3-The probability of success, denoted by p, is the same on
every trial.
4-The trials are independent; that is, the outcome on one
trial does not affect the outcome on other trials.
Experiment-1
The MCQs of Business Statistics paper of commerce group
contains 10 MCQs, each question has four possible answers
In which one is correct. If a student guesses randomly and
independently each question.
Explanation:
1-There are 10 fixed trials (10 MCQs). Thus the first
condition of binomial experiment is satisfied.
2-Each trial has two possible outcomes correct or incorrect
answer, where the correct answer is our success. Thus the
second condition of binomial experiment is satisfied.
3-The probability of success is the same on every trial that
is 𝑝 =
1
4
. Thus the third condition of binomial experiment
is satisfied.
4-The trials are independent, that the outcome on one trial
does not affect the outcome on other trials. Thus the fourth
condition of binomial experiment is satisfied.
Experiment-2
You toss a coin 3 times and count the number of times the
coin lands on heads.
Explanation:
This is a binomial experiment because:
1-The experiment consists of repeated trials. We
toss a coin 3 times.
2-Each trial can result in just two possible outcomes
heads or tails.
3-The probability of success is constant 0.5 on every trial.
4-The trials are independent; that is, getting heads
on one trial does not affect whether we get heads
on other trials.
Binomial Random Variable:
A binomial random variable is the number of successes x in n
repeated trials of a binomial experiment. The binomial random can
assume n+1 integer value that is 0 to n.
Binomial Distribution:
The probability distribution of a binomial random variable is called
a binomial distribution .
Suppose we toss a coin 3 times and count the number of heads
(successes). The binomial random variable is the number of heads,
which can take on values of 0, 1, 2 or 3. The binomial distribution
is presented below.
Given x, n, and P, we can compute the binomial probability
based on the following formula:
𝑃 𝑥 = 𝑥 = 𝑛 𝑐 𝑥
𝑝 𝑥 𝑞 𝑛−𝑥 ; 𝑓𝑜𝑟𝑥 = 0, 1, 2, … … . , 𝑛
Where n and p are the parameters of binomial distribution.
The binomial distribution has the following properties:
The mean of the distribution is np.
The variance is npq.
Number of heads Probability
0 0.125
1 0.375
2 0.375
3 0.125
Use of Binomial Probability Distribution
Example-1
At a supermarket 60% of customers pay by credit
card. Find the probability that in a randomly
selected sample of ten customers.
(a). exactly two pay by credit card.
(b). exactly eight not pay by credit card.
(c). at least one pay by credit card.
(d). at least nine pay by credit card.
(e). 1st, 3rd and 8th person pay by credit card.
Solution :
x is the number of customers in a sample of 10, who pay by
credit card.
n = 10
P = 0.60 (paying by credit card as success)
q = 1 – P = 1 – 0.60 = 0.40
so X ̴ B(10,0.6)
(a). 𝑃 𝑥 = 𝑥 = 𝑛
𝑐 𝑥 𝑝 𝑥
𝑞 𝑛−𝑥
𝑃 𝑥 = 2 = 10
𝑐2 0.6 2
0.4 10−2
= 0.0106
(b).
p(exactly eight not pay by credit card) = p(exactly two pay by credit card)
p(exactly eight not pay by credit card) = 0.0106 (from part (a))
(c). 𝑃 𝑥 ≥ 1 = 1 − 𝑝 𝑥 = 0
= 1 − 10
𝑐0 0.6 0 0.4 10−0
= 1 − 0.0001048
= 0.9998
(d). 𝑃 𝑥 ≥ 9 = 𝑝 𝑥 = 9 + 𝑝 𝑥 = 10
𝑃 𝑥 ≥ 9 = 10
𝑐9 0.6 9
0.4 10−9
+
10
𝑐10 0.6 10 0.4 10−10
𝑃 𝑥 ≥ 9 = 0.0403 + 0.00604
𝑃 𝑥 ≥ 9 = 0.04634
(e). If specific order is given than we could not apply binomial
distribution.
𝑃 1st, 3rd and 8th person pay by credit card = ?
= 𝑝 × 𝑞 × 𝑝 × 𝑞 × 𝑞 × 𝑞 × 𝑞 × 𝑝 × 𝑞 × 𝑞
= 𝑝3 × 𝑞7
= (0.6)3
× (0.4)7
= 0.00035
Example-2
Suppose a die is tossed 5 times. What is the probability of getting
exactly 2 fours?
Solution:
This is a binomial experiment in which the number of trials is equal to
5, the number of successes is equal to 2, and the probability of success
(four) on a single trial is 1/6 or about 0.167. Therefore, the binomial
probability is:
Where n=5
P = 1/6
q = 1 – p = 5/6
p(x = 2) = ?
P(x=2) = 5
𝑐2
(0.167)
2
(0.833)
3
P(x=2) = 0.161
Example-3
If n = 20 and p = 0.8 then find mean and variance of
binomial distribution.
Solution:
As we know
Mean = np = 20×0.8= 16
Variance = npq = np(1-p) = 20×0.8×0.2=3.2
Example-4
If Mean and variance of a binomial distribution is 16 and 3.2.
Find n and p.
Solution:
Mean = 16
Variance = 3.2
We know thatMean= np = 16 ---------- (i)
Variance= npq = 3.2 ----- (ii)
Put the value of np = 16 in (ii)
Then 16q = 3.2
q = 3.2/ 16 = 0.2
Since p+q = 1
Then p+ 0.2 = 1
P = 1- 0.2 = 0.8
Now put value of p = 0.8 in (i)
0.8n = 16
n = 16 / 0.8 = 20
Poisson experiment:
A Poisson experiment is a random experiment that has the
following properties:
1-The experiment results in outcomes that can be classified
as successes or failures.
2-The average number of successes (μ) that occurs in a
specified region is known.
3-The probability that a success will occur is proportional to
the size of the region.
4-The probability that a success will occur in an extremely
small region is virtually zero.
Note that the specified region could take many forms. For
instance, it could be a length, an area, a volume, a period of
time, etc.
Poisson application
1-The number of car accidents at a place per month.
2-The number of network failures per day.
3-The arrivals of buses, trucks and cars at a toll-
plaza in a 2 hours interval.
4-There will be a specific number of flaws found on
the surface space of a sheet-metal panel used in
the production of cars.
Poisson Random Variable:
A Poisson random variable is the number of successes that result
from a Poisson experiment.
Poisson Distribution:
The probability distribution of a Poisson random variable is called a
Poisson distribution.
Given the mean number of successes (μ) that occur in a specified
region, we can compute the Poisson probability based on the
following formula:
𝑃 𝑥 = 𝑥 =
𝑒−𝜇 𝜇 𝑥
𝑥!
; 𝑓𝑜𝑟𝑥 = 0, 1, 2, … … … …
The mean of the distribution is equal to μ .
The variance is also equal to μ .
Use of Poisson Probability Distribution
Example-5
A student finds that the average number of amoebas in
10ml of pond water from a particular pond is four. Find the
probability that in a 10ml sample.
(a). there are exactly five amoebas.
(b). there are no amoebas.
(c). there are fewer than three amoebas.
(d). there are at least three amoebas.
(e). there are 1 to 3 amoebas.(inclusive)
Solution:
X is the number of amoebas in 10ml of pond water where
X ̴ P(4)
𝜇 = 4
𝑃(𝑥 = 𝑥) =
𝑒−𝜇 𝜇 𝑥
𝑥!
(a). 𝑃 𝑥 = 5 =
𝑒−445
5!
= 0.156
(b). 𝑃 𝑥 = 0 =
𝑒−440
0!
= 0.183
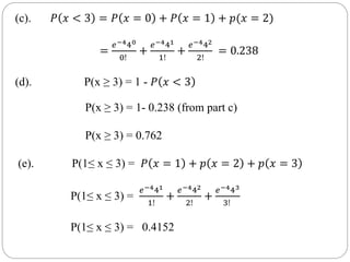
(c). 𝑃 𝑥 < 3 = 𝑃 𝑥 = 0 + 𝑃 𝑥 = 1 + 𝑝(𝑥 = 2)
=
𝑒−440
0!
+
𝑒−441
1!
+
𝑒−442
2!
= 0.238
(d). P(x ≥ 3) = 1 - 𝑃 𝑥 < 3
P(x ≥ 3) = 1- 0.238 (from part c)
P(x ≥ 3) = 0.762
(e). P(1≤ x ≤ 3) = 𝑃 𝑥 = 1 + 𝑝 𝑥 = 2 + 𝑝 𝑥 = 3
P(1≤ x ≤ 3) =
𝑒−441
1!
+
𝑒−442
2!
+
𝑒−443
3!
P(1≤ x ≤ 3) = 0.4152
Example-6
On average the school photocopier breaks down eight times during
the school week (Monday to Friday). Find the probability
(a). five times in given week.
(b). once on Monday.
(c). eight times in a fortnight.
Solution:
(a). mean number of breakdowns in weak =  = 8
𝑃 𝑥 = 5 =
𝑒−885
5!
= 0.0916
(b). mean number of breakdowns in a day =  =
8
5
= 1.6
𝑃 𝑥 = 1 =
𝑒−1.6 1.6 1
1!
= 0.323
(c). mean number of breakdowns in fortnight =  = 2  8 = 16
𝑃 𝑥 = 8 =
𝑒−16168
8!
= 0.0120
Using the Poisson Distribution as an Approximation to the
Binomial Distribution
Ifn is sufficiently large and p is sufficiently small. if n ≥ 20
and p ≤ 0.05, or ifn ≥ 100 and np ≤ 10.
Example-7
Eggs are packed into boxes of 500 on average 0.7% of the eggs are
found to be broken when the eggs are unpacked. Find the probability
that in a box of 500 eggs,
(a). exactly three are broken.
(b). at least two are broken.
P = 0.007
n = 500
 = np = 500  0.007 = 3.5
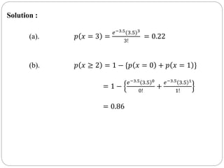
Solution :
(a). 𝑝 𝑥 = 3 =
𝑒−3.5(3.5)3
3!
= 0.22
(b). 𝑝 𝑥 ≥ 2 = 1 − {𝑝 𝑥 = 0 + 𝑝 𝑥 = 1 }
= 1 −
𝑒−3.5 3.5 0
0!
+
𝑒−3.5 3.5 1
1!
= 0.86
Hypergeometric Experiments:
A hypergeometric experiment is a random experiment that
has the following properties:
1-The experiment consists of n repeated trials.
2-Each trial can result in just two possible outcomes. We
call one of these outcomes a success and the other, a
failure.
3-The probability of success, in each trial is not constant.
4-The trials are dependent.
Experiment-1
A recent study found that four out of nine houses were insured. If we
select three houses from the nine without replacement and all the three
are insured.
Explanation:
1-The experiment consists of 3 repeated trials.
2-Each trial can result in just two possible outcomes. We call one of
these outcomes a success (insured) and the other, a failure
(not insured).
3-The probability of success, in each trial is not constant.
1
st
trial probability would be 4
9
.
2
nd
trial probability would be 3
8
.
3
rd
trial probability would be 2
7
.
4-The trials are dependent.
Experiment-2
You have an urn of 15 balls - 5 red and 10 green. You randomly
select 2 balls without replacement and count the number of red
balls you have selected.
Explanation:
This would be a hypergeometric experiment.
Note that it would not be a binomial experiment. A binomial
experiment requires that the probability of success be constant on
every trial. With the above experiment, the probability of a
success changes on every trial. In the beginning, the probability of
selecting a red ball is 5/15. If you select a red ball on the first trial,
the probability of selecting a red ball on the second trial is 4/14.
And if you select a green ball on the first trial, the probability of
selecting a red ball on the second trial is 5/14.
Note further that if you selected the balls with replacement, the
probability of success would not change. It would be 5/15 on every
trial. Then, this would be a binomial experiment.
Hypergeometric Random Variable:
A hypergeometric random variable is the number of successes that
result from a hypergeometric experiment.
Hypergeometric Distribution:
The probability distribution of a hypergeometric random variable is
called a hypergeometric distribution.
Given x, N, n, and k, we can compute the hypergeometric probability
based on the following formula:
𝑃 𝑥 = 𝑥 =
𝐾
𝑥
𝑁 − 𝐾
𝑛 − 𝑥
𝑁
𝑛
; 𝑓𝑜𝑟𝑥 = 0, 1, 2, 3, … … … . , 𝑛
The mean of the distribution is equal to n × k / N .
The variance is n × k × ( N - k ) × ( N - n ) / [ N
2
× ( N - 1 ) ] .
Where
N = Size of population.
n = Size of sample.
K = Number of successes.
N – K = Number of failures.
x = Number of successes in the sample.
Use of HyperGeometric Probability Distribution
𝑝 𝑥 = 𝑥 =
𝐾
𝑥
𝑁−𝐾
𝑛−𝑥
𝑁
𝑛
Example-8
If 5 cards are dealt from a deck of 52 playing cards, what is the
probability that 3 will be hearts?
Solution:
By using hypergeometric distribution 𝑝 𝑥 = 𝑥 =
𝐾
𝑥
𝑁−𝐾
𝑛−𝑥
𝑁
𝑛
Where N = 52
n = 5
K = 13
P(x=3) = ?
𝑃 𝑥 = 3 =
13
3
52−13
5 − 3
52
5
=
13
𝐶3×39
𝐶2
52 𝐶5
= 0.0815
Example-9
From 15 kidney transplant operation,3 are fail within a year
.consider a sample of 2 patients, find the probability that
(a)Only 1 of the kidney transplant operations result in
failure within a year.
(b)All 2 of the kidney transplant operations result in failure
within a year.
(c)At least 1 of the kidney transplant operations result in
failure within a year.
Solution:
By using hypergeometric distribution 𝑝 𝑥 = 𝑥 =
𝐾
𝑥
𝑁−𝐾
𝑛−𝑥
𝑁
𝑛
Where N =1 5
n = 3
K = 3
(a) P(x=1) = ?
𝑃 𝑥 = 1 =
3
1
15−3
3 − 1
15
3
=
3
𝐶1×12
𝐶2
15
𝐶3
= 0.4351
(b) P(x=2) = ?
𝑃 𝑥 = 2 =
3
2
15−3
3 − 2
15
3
=
3
𝐶2×12
𝐶1
15
𝐶3
= 0.0791
(c) P( x ≥ 1) = ?
𝑃 𝑥 ≥ 1 = 𝑃 𝑥 = 1 + 𝑃(𝑥 = 2)
P(x ≥ 1) = 0.4351 + 0.0791 (from part a and b)
P(x ≥ 1) = 0.5142
Example-10
A small voting district has 1000 female voters and 4000 male voters.
A random sample of 10 voters is drawn. What is the probability
exactly 7 of the voters will be male?
Solution:
Since the population size is large relative to the sample size, We shall
approximate the hypergeometric distribution to binomial distribution.
Therefore n = 10
𝑝 =
4000
5000
= 0.8(𝑚𝑎𝑙𝑒 𝑝𝑟𝑜𝑏𝑎𝑏𝑖𝑙𝑖𝑡𝑦)
q = 0.2(female probability)
𝑃 𝑥 = 𝑥 = 𝑛
𝑐 𝑥 𝑝 𝑥
𝑞 𝑛−𝑥
𝑃 𝑥 = 7 = 10
𝑐7 0.8 7 0.2 10−7
= 0.2013
Geometric Experiment:
A Geometric experiment is a random experiment that has the
following properties:
1-Each trial can result in just two possible outcomes. We
call one of these outcomes a success and the other, a failure.
2-The probability of success, denoted by p, is the same on
every trial.
3-The trials are independent; that is, the outcome on one
trial does not affect the outcome on other trials.
4- The experiment is repeated a variable number of times
until the first success is obtained.
Experiment-1
On a production line the probability that an item is faulty is 0.06, items
are selected at random until the first faulty item obtained from the
production line for quality control.
Explanation:
1-Each trial can result in just two possible outcomes. We call one of
these outcomes a success(faulty) and the other, a failure(not faulty).
2-The probability of success, denoted by p, (that is 0.06), is
the same on each trial.
3-The trials are independent; that is, the outcome on one trial does not
affect the outcome on other trials form production line.
4-The experiment is repeated a variable number of times
until the first success(faulty product) is obtained.
Geometric Random Variable:
In a geometric experiment, define the discrete random
variable X as the number of independent trials until the
first success.
Geometric Distribution:
We say that X has a geometric distribution and write
X∼g(p)
𝑃 𝑋 = 𝑥 = 𝑝𝑞 𝑥−1 , for x = 1, 2, 3, …….
where p is the probability of success in a single trial.
Example-11
The probability of a defective steel rod is 0.01. Steel rods
are selected at random. Find the probability that the first
defect occurs on the ninth steel rod.
Solution:
P = 0.01
q = 1- 0.01 = 0.99
x = 9
𝑃 𝑋 = 𝑥 = 𝑝𝑞 𝑥−1
𝑃 𝑋 = 9 = (0.01)(0.99)9−1
𝑃 𝑋 = 9 = 0.0092
Example-12
The lifetime risk of developing lung cancer is about 1.25%.
(a) What is the probability of that you ask ten people before one
says he or she has lung cancer?
(b) Find the (i) mean and (ii) standard deviation.
Solution:
(a) P = 0.0125
q = 1- 0.01 = 0.9875
x=10
𝑃 𝑋 = 𝑥 = 𝑝𝑞 𝑥−1
𝑃 𝑋 = 10 = (0.0125)(0.9875)10−1
𝑃 𝑋 = 𝑥 = 0.0112
(b)
𝑚𝑒𝑎𝑛 =
1
𝑝
𝑚𝑒𝑎𝑛 =
1
0.125
= 80
𝑆. 𝑑 =
𝑞
𝑝2
𝑆. 𝑑 =
0.9875
(0.0125)2 = 80
Example-13
The literacy rate for a nation measures the proportion of people age 15
and over who can read and write. The literacy rate for women in
Pakistan is 45%. Let X= the number of Pakistani women you ask until
one says that she is literate.
(a) What is the probability distribution of X?
(b) What is the probability that you ask five women before one
says she is literate?
Solution:
(a) X∼g(0.45)
(b) P = 0.45 ; q = 1- 0.45 = 0.55 ; x = 5
𝑃 𝑋 = 𝑥 = 𝑝𝑞 𝑥−1
𝑃 𝑋 = 5 = (0.45)(0.55)5−1
𝑃 𝑋 = 𝑥 = 0.0412
Example-14
If the probability that a target is destroyed on any one shot
is 0.75, What is the probability that it would be destroyed
on 3rd attempt.
Solution:
P = 0.75
q = 1- 0.75 = 0.25
x = 3
𝑃 𝑋 = 𝑥 = 𝑝𝑞 𝑥−1
𝑃 𝑋 = 3 = (0.75)(0.25)3−1
𝑃 𝑋 = 3 = 0.0469
Negative Binomial Experiment
A negative binomial experiment is a statistical
experiment that has the following properties:
1-The experiment consists of x repeated trials.
2-Each trial can result in just two possible outcomes. We
call one of these outcomes a success and the other, a
failure.
3-The probability of success, denoted by P, is the same on
every trial.
4-The trials are independent; that is, the outcome on one
trial does not affect the outcome on other trials.
5-The experiment continues until k successes are observed,
where k is specified in advance.
Experiment-1
Suppose that the probability is 0.8 that any given person will believe a
tale about life after death. Here the 6th person to hear this tale is the 4th
one to believe it.
Explanation:
1-The experiment consists of x = 6 repeated trials.
2-Each trial can result in just two possible outcomes. We call one
of these outcomes a success(believe) and the other, a failure
( Not believe).
3-The probability of success, denoted by P (that is 𝑝 = 0.8 ), is the
same on every trial.
4-The trials are independent; that is, the outcome on one
trial does not affect the outcome on other trials.
5-The experiment continues until k (k = 4) successes are observed,
Where k is specified in advance.
Experiment-2
A person throwing a coin and gets the second head on the 5th throw.
Explanation:
1-The experiment consists of x = 5 repeated trials.
2-Each trial can result in just two possible outcomes. We call one
of these outcomes a success(Head) and the other, a failure(Tail).
3-The probability of success, denoted by P (that is 𝑝 =
1
2
), is the
same on every trial.
4-The trials are independent; that is, the outcome on one
trial does not affect the outcome on other trials.
5-The experiment continues until k (k = 2) successes are observed,
Where k is specified in advance.
Experiment-3
You flip a coin repeatedly and count the number of times the
coin lands on heads. You continue flipping the coin until it
has landed 3 times on heads.
Explanation:
This is a negative binomial experiment because:
1-The experiment consists of repeated trials. We flip a coin
repeatedly until it has landed 3 times on heads.
2-Each trial can result in just two possible outcomes –
heads or tails.
3-The probability of success is constant ( 0.5) on every trial.
4-The trials are independent; that is, getting heads on one
trial does not affect whether we get heads on other trials.
5-The experiment continues until a fixed number of
successes have occurred; in this case, 3 heads.
Notation
The following notation is helpful, when we talk about
negative binomial probability.
x: The number of trials required to produce k successes in
a negative binomial experiment.
k: The number of successes in the negative binomial
experiment.
P: The probability of success on an individual trial.
q: The probability of failure on an individual trial.
Negative Binomial Random Variable
The number X of trials to produce k successes in a negative binomial
experiment is called a negative binomial random variable.
Negative Binomial Distribution
A negative binomial random variable is the number X of repeated trials
to produce k successes in a negative binomial experiment.
The probability distribution of a negative binomial random variable is
called a negative binomial distribution. The negative binomial
distribution is also known as the Pascal distribution.
𝑃 𝑋 = 𝑥 =
𝑥 − 1
𝑘 − 1
𝑝 𝑘
𝑞 𝑥−𝑘 , 𝑓𝑜𝑟 𝑥 = 𝑘, 𝑘+1, 𝑘+2,……
Example-15
You are surveying people exiting from a polling booth and asking
them if they voted independent. The probability that a person voted
independent is 25%. What is the probability that 15 people must be
asked before you can find 5 people who voted independent?
Solution:
K = 5, x = 15, p = 0.25, q = 0.75
𝑃 𝑋 = 𝑥 =
𝑥 − 1
𝑘 − 1
𝑝 𝑘
𝑞 𝑥−𝑘
𝑃 𝑋 = 15 =
15 − 1
5 − 1
(0.25)5 (0.75)15−5
𝑃 𝑋 = 15 = 0.0552
Example-16
Suppose that the probability is 0.8 that any given person will believe
a tale about life after death. What is the probability that the sixth
person to hear this tale is the fourth one to believe it ?
Solution:
K = 4, x = 6, p = 0.8, q = 0.2
𝑃 𝑋 = 𝑥 =
𝑥 − 1
𝑘 − 1
𝑝 𝑘
𝑞 𝑥−𝑘
𝑃 𝑋 = 6 =
6 − 1
4 − 1
(0.8)6 (0.2)6−4
𝑃 𝑋 = 6 = 0.1049
Example-17
A football player, his success rate of goal hitting is 70%. What is the
probability that player hits his third goal on his fifth attempt?
Solution:
K = 3, x = 5, p = 0.7, q = 0.3
𝑃 𝑋 = 𝑥 =
𝑥 − 1
𝑘 − 1
𝑝 𝑘 𝑞 𝑥−𝑘
𝑃 𝑋 = 5 =
5 − 1
3 − 1
(0.7)3 (0.3)5−3
𝑃 𝑋 = 5 = 0.1852
Example-18
You draw cards from a deck (with replacement) until you get four
kings. What is the probability that you will draw exactly 20 times
Solution:
K = 4, x = 20, 𝑝 =
4
52
= 0.077, q = 0.923
𝑃 𝑋 = 𝑥 =
𝑥 − 1
𝑘 − 1
𝑝 𝑘 𝑞 𝑥−𝑘
𝑃 𝑋 = 20 =
20 − 1
4 − 1
(0.077)4
(0.923)20−4
𝑃 𝑋 = 20 = 0.00945
Example-19
Find the probability that a person tossing 3coins will get either all
heads or all tails for the second time on the fifth toss
Solution:
K = 2, x = 5, 𝑝 =
2
8
= 0.25, q = 0.75
𝑃 𝑋 = 𝑥 =
𝑥 − 1
𝑘 − 1
𝑝 𝑘
𝑞 𝑥−𝑘
𝑃 𝑋 = 5 =
5 − 1
2 − 1
(0.25)2 (0.75)5−2
𝑃 𝑋 = 5 = 0.1445
Example-20
If the probability that a person will die by COVID-19 in
China is 0.06 (Till 2nd May 2020 by W.H.O.).
What is the probability that
(a) Exactly 2 effected persons will die out of 15.
(b) The 10th effected person will die.
(c) The 10th effected person will be the 5th person to die.
Solution:
Let x denotes the number of a person who effects by
COVID-19, Then the number of a person who dies it,
will be considered a success.
(a) There are 15 persons with two possible outcomes
will die or
will not die, the probability is constant and trials are
independent.
Where n = 15, P = 0.06, q = 0.94, x = 2
𝑃 𝑥 = 𝑥 = 𝑛
𝑐 𝑥 𝑝 𝑥 𝑞 𝑛−𝑥
𝑃 𝑥 = 2 = 15
𝑐2 0.06 2
0.94 15−2
= 0.1691
(b)Since the 10th person is the first to die, So the first success occurs on
the 10th , therefore the geometric distribution is suitable.
Where P = 0.06, q = 0.94, x = 10
𝑃 𝑥 = 10 = (𝑝)(𝑞) 𝑥−1
𝑃 𝑥 = 10 = 0.06 0.94 10−1
= 0.0344
(c)Since 10th person effected by COVID-19 will be the 5th to die implies
that the 5th success occurs the 10th trial, therefore the negative
binomial distribution is suitable.
Where x = 10, k = 5, p = 0.06, q = 0.94
𝑃 𝑋 = 𝑥 =
𝑥 − 1
𝑘 − 1
𝑝 𝑘 𝑞 𝑥−𝑘
𝑃 𝑋 = 10 =
10 − 1
5 − 1
(0.06)5 (0.94)10−5 = 0.000072

Discrete probability distributions

  • 1.
    NADEEM UDDIN ASSOCIATE PROFESSOR OFSTATISTICS DISCRETE PROBABILITY DISTRIBUTIONS
  • 2.
    Binomial Experiment: A binomialexperiment is a random experiment that has the following properties: 1-The experiment consists of n repeated trials. 2-Each trial can result in just two possible outcomes. We call one of these outcomes a success and the other, a failure. 3-The probability of success, denoted by p, is the same on every trial. 4-The trials are independent; that is, the outcome on one trial does not affect the outcome on other trials.
  • 3.
    Experiment-1 The MCQs ofBusiness Statistics paper of commerce group contains 10 MCQs, each question has four possible answers In which one is correct. If a student guesses randomly and independently each question. Explanation: 1-There are 10 fixed trials (10 MCQs). Thus the first condition of binomial experiment is satisfied. 2-Each trial has two possible outcomes correct or incorrect answer, where the correct answer is our success. Thus the second condition of binomial experiment is satisfied.
  • 4.
    3-The probability ofsuccess is the same on every trial that is 𝑝 = 1 4 . Thus the third condition of binomial experiment is satisfied. 4-The trials are independent, that the outcome on one trial does not affect the outcome on other trials. Thus the fourth condition of binomial experiment is satisfied.
  • 5.
    Experiment-2 You toss acoin 3 times and count the number of times the coin lands on heads. Explanation: This is a binomial experiment because: 1-The experiment consists of repeated trials. We toss a coin 3 times. 2-Each trial can result in just two possible outcomes heads or tails. 3-The probability of success is constant 0.5 on every trial. 4-The trials are independent; that is, getting heads on one trial does not affect whether we get heads on other trials.
  • 6.
    Binomial Random Variable: Abinomial random variable is the number of successes x in n repeated trials of a binomial experiment. The binomial random can assume n+1 integer value that is 0 to n. Binomial Distribution: The probability distribution of a binomial random variable is called a binomial distribution . Suppose we toss a coin 3 times and count the number of heads (successes). The binomial random variable is the number of heads, which can take on values of 0, 1, 2 or 3. The binomial distribution is presented below.
  • 7.
    Given x, n,and P, we can compute the binomial probability based on the following formula: 𝑃 𝑥 = 𝑥 = 𝑛 𝑐 𝑥 𝑝 𝑥 𝑞 𝑛−𝑥 ; 𝑓𝑜𝑟𝑥 = 0, 1, 2, … … . , 𝑛 Where n and p are the parameters of binomial distribution. The binomial distribution has the following properties: The mean of the distribution is np. The variance is npq. Number of heads Probability 0 0.125 1 0.375 2 0.375 3 0.125
  • 8.
    Use of BinomialProbability Distribution Example-1 At a supermarket 60% of customers pay by credit card. Find the probability that in a randomly selected sample of ten customers. (a). exactly two pay by credit card. (b). exactly eight not pay by credit card. (c). at least one pay by credit card. (d). at least nine pay by credit card. (e). 1st, 3rd and 8th person pay by credit card.
  • 9.
    Solution : x isthe number of customers in a sample of 10, who pay by credit card. n = 10 P = 0.60 (paying by credit card as success) q = 1 – P = 1 – 0.60 = 0.40 so X ̴ B(10,0.6) (a). 𝑃 𝑥 = 𝑥 = 𝑛 𝑐 𝑥 𝑝 𝑥 𝑞 𝑛−𝑥 𝑃 𝑥 = 2 = 10 𝑐2 0.6 2 0.4 10−2 = 0.0106
  • 10.
    (b). p(exactly eight notpay by credit card) = p(exactly two pay by credit card) p(exactly eight not pay by credit card) = 0.0106 (from part (a)) (c). 𝑃 𝑥 ≥ 1 = 1 − 𝑝 𝑥 = 0 = 1 − 10 𝑐0 0.6 0 0.4 10−0 = 1 − 0.0001048 = 0.9998
  • 11.
    (d). 𝑃 𝑥≥ 9 = 𝑝 𝑥 = 9 + 𝑝 𝑥 = 10 𝑃 𝑥 ≥ 9 = 10 𝑐9 0.6 9 0.4 10−9 + 10 𝑐10 0.6 10 0.4 10−10 𝑃 𝑥 ≥ 9 = 0.0403 + 0.00604 𝑃 𝑥 ≥ 9 = 0.04634 (e). If specific order is given than we could not apply binomial distribution. 𝑃 1st, 3rd and 8th person pay by credit card = ? = 𝑝 × 𝑞 × 𝑝 × 𝑞 × 𝑞 × 𝑞 × 𝑞 × 𝑝 × 𝑞 × 𝑞 = 𝑝3 × 𝑞7 = (0.6)3 × (0.4)7 = 0.00035
  • 12.
    Example-2 Suppose a dieis tossed 5 times. What is the probability of getting exactly 2 fours? Solution: This is a binomial experiment in which the number of trials is equal to 5, the number of successes is equal to 2, and the probability of success (four) on a single trial is 1/6 or about 0.167. Therefore, the binomial probability is: Where n=5 P = 1/6 q = 1 – p = 5/6 p(x = 2) = ? P(x=2) = 5 𝑐2 (0.167) 2 (0.833) 3 P(x=2) = 0.161
  • 13.
    Example-3 If n =20 and p = 0.8 then find mean and variance of binomial distribution. Solution: As we know Mean = np = 20×0.8= 16 Variance = npq = np(1-p) = 20×0.8×0.2=3.2
  • 14.
    Example-4 If Mean andvariance of a binomial distribution is 16 and 3.2. Find n and p. Solution: Mean = 16 Variance = 3.2 We know thatMean= np = 16 ---------- (i) Variance= npq = 3.2 ----- (ii) Put the value of np = 16 in (ii) Then 16q = 3.2 q = 3.2/ 16 = 0.2 Since p+q = 1 Then p+ 0.2 = 1 P = 1- 0.2 = 0.8 Now put value of p = 0.8 in (i) 0.8n = 16 n = 16 / 0.8 = 20
  • 15.
    Poisson experiment: A Poissonexperiment is a random experiment that has the following properties: 1-The experiment results in outcomes that can be classified as successes or failures. 2-The average number of successes (μ) that occurs in a specified region is known. 3-The probability that a success will occur is proportional to the size of the region. 4-The probability that a success will occur in an extremely small region is virtually zero. Note that the specified region could take many forms. For instance, it could be a length, an area, a volume, a period of time, etc.
  • 16.
    Poisson application 1-The numberof car accidents at a place per month. 2-The number of network failures per day. 3-The arrivals of buses, trucks and cars at a toll- plaza in a 2 hours interval. 4-There will be a specific number of flaws found on the surface space of a sheet-metal panel used in the production of cars.
  • 17.
    Poisson Random Variable: APoisson random variable is the number of successes that result from a Poisson experiment. Poisson Distribution: The probability distribution of a Poisson random variable is called a Poisson distribution. Given the mean number of successes (μ) that occur in a specified region, we can compute the Poisson probability based on the following formula: 𝑃 𝑥 = 𝑥 = 𝑒−𝜇 𝜇 𝑥 𝑥! ; 𝑓𝑜𝑟𝑥 = 0, 1, 2, … … … … The mean of the distribution is equal to μ . The variance is also equal to μ .
  • 18.
    Use of PoissonProbability Distribution Example-5 A student finds that the average number of amoebas in 10ml of pond water from a particular pond is four. Find the probability that in a 10ml sample. (a). there are exactly five amoebas. (b). there are no amoebas. (c). there are fewer than three amoebas. (d). there are at least three amoebas. (e). there are 1 to 3 amoebas.(inclusive)
  • 19.
    Solution: X is thenumber of amoebas in 10ml of pond water where X ̴ P(4) 𝜇 = 4 𝑃(𝑥 = 𝑥) = 𝑒−𝜇 𝜇 𝑥 𝑥! (a). 𝑃 𝑥 = 5 = 𝑒−445 5! = 0.156 (b). 𝑃 𝑥 = 0 = 𝑒−440 0! = 0.183
  • 20.
    (c). 𝑃 𝑥< 3 = 𝑃 𝑥 = 0 + 𝑃 𝑥 = 1 + 𝑝(𝑥 = 2) = 𝑒−440 0! + 𝑒−441 1! + 𝑒−442 2! = 0.238 (d). P(x ≥ 3) = 1 - 𝑃 𝑥 < 3 P(x ≥ 3) = 1- 0.238 (from part c) P(x ≥ 3) = 0.762 (e). P(1≤ x ≤ 3) = 𝑃 𝑥 = 1 + 𝑝 𝑥 = 2 + 𝑝 𝑥 = 3 P(1≤ x ≤ 3) = 𝑒−441 1! + 𝑒−442 2! + 𝑒−443 3! P(1≤ x ≤ 3) = 0.4152
  • 21.
    Example-6 On average theschool photocopier breaks down eight times during the school week (Monday to Friday). Find the probability (a). five times in given week. (b). once on Monday. (c). eight times in a fortnight. Solution: (a). mean number of breakdowns in weak =  = 8 𝑃 𝑥 = 5 = 𝑒−885 5! = 0.0916
  • 22.
    (b). mean numberof breakdowns in a day =  = 8 5 = 1.6 𝑃 𝑥 = 1 = 𝑒−1.6 1.6 1 1! = 0.323 (c). mean number of breakdowns in fortnight =  = 2  8 = 16 𝑃 𝑥 = 8 = 𝑒−16168 8! = 0.0120
  • 23.
    Using the PoissonDistribution as an Approximation to the Binomial Distribution Ifn is sufficiently large and p is sufficiently small. if n ≥ 20 and p ≤ 0.05, or ifn ≥ 100 and np ≤ 10. Example-7 Eggs are packed into boxes of 500 on average 0.7% of the eggs are found to be broken when the eggs are unpacked. Find the probability that in a box of 500 eggs, (a). exactly three are broken. (b). at least two are broken. P = 0.007 n = 500  = np = 500  0.007 = 3.5
  • 24.
    Solution : (a). 𝑝𝑥 = 3 = 𝑒−3.5(3.5)3 3! = 0.22 (b). 𝑝 𝑥 ≥ 2 = 1 − {𝑝 𝑥 = 0 + 𝑝 𝑥 = 1 } = 1 − 𝑒−3.5 3.5 0 0! + 𝑒−3.5 3.5 1 1! = 0.86
  • 25.
    Hypergeometric Experiments: A hypergeometricexperiment is a random experiment that has the following properties: 1-The experiment consists of n repeated trials. 2-Each trial can result in just two possible outcomes. We call one of these outcomes a success and the other, a failure. 3-The probability of success, in each trial is not constant. 4-The trials are dependent.
  • 26.
    Experiment-1 A recent studyfound that four out of nine houses were insured. If we select three houses from the nine without replacement and all the three are insured. Explanation: 1-The experiment consists of 3 repeated trials. 2-Each trial can result in just two possible outcomes. We call one of these outcomes a success (insured) and the other, a failure (not insured). 3-The probability of success, in each trial is not constant. 1 st trial probability would be 4 9 . 2 nd trial probability would be 3 8 . 3 rd trial probability would be 2 7 . 4-The trials are dependent.
  • 27.
    Experiment-2 You have anurn of 15 balls - 5 red and 10 green. You randomly select 2 balls without replacement and count the number of red balls you have selected. Explanation: This would be a hypergeometric experiment. Note that it would not be a binomial experiment. A binomial experiment requires that the probability of success be constant on every trial. With the above experiment, the probability of a success changes on every trial. In the beginning, the probability of selecting a red ball is 5/15. If you select a red ball on the first trial, the probability of selecting a red ball on the second trial is 4/14. And if you select a green ball on the first trial, the probability of selecting a red ball on the second trial is 5/14. Note further that if you selected the balls with replacement, the probability of success would not change. It would be 5/15 on every trial. Then, this would be a binomial experiment.
  • 28.
    Hypergeometric Random Variable: Ahypergeometric random variable is the number of successes that result from a hypergeometric experiment. Hypergeometric Distribution: The probability distribution of a hypergeometric random variable is called a hypergeometric distribution. Given x, N, n, and k, we can compute the hypergeometric probability based on the following formula: 𝑃 𝑥 = 𝑥 = 𝐾 𝑥 𝑁 − 𝐾 𝑛 − 𝑥 𝑁 𝑛 ; 𝑓𝑜𝑟𝑥 = 0, 1, 2, 3, … … … . , 𝑛 The mean of the distribution is equal to n × k / N . The variance is n × k × ( N - k ) × ( N - n ) / [ N 2 × ( N - 1 ) ] .
  • 29.
    Where N = Sizeof population. n = Size of sample. K = Number of successes. N – K = Number of failures. x = Number of successes in the sample.
  • 30.
    Use of HyperGeometricProbability Distribution 𝑝 𝑥 = 𝑥 = 𝐾 𝑥 𝑁−𝐾 𝑛−𝑥 𝑁 𝑛 Example-8 If 5 cards are dealt from a deck of 52 playing cards, what is the probability that 3 will be hearts? Solution: By using hypergeometric distribution 𝑝 𝑥 = 𝑥 = 𝐾 𝑥 𝑁−𝐾 𝑛−𝑥 𝑁 𝑛 Where N = 52 n = 5 K = 13 P(x=3) = ? 𝑃 𝑥 = 3 = 13 3 52−13 5 − 3 52 5 = 13 𝐶3×39 𝐶2 52 𝐶5 = 0.0815
  • 31.
    Example-9 From 15 kidneytransplant operation,3 are fail within a year .consider a sample of 2 patients, find the probability that (a)Only 1 of the kidney transplant operations result in failure within a year. (b)All 2 of the kidney transplant operations result in failure within a year. (c)At least 1 of the kidney transplant operations result in failure within a year.
  • 32.
    Solution: By using hypergeometricdistribution 𝑝 𝑥 = 𝑥 = 𝐾 𝑥 𝑁−𝐾 𝑛−𝑥 𝑁 𝑛 Where N =1 5 n = 3 K = 3 (a) P(x=1) = ? 𝑃 𝑥 = 1 = 3 1 15−3 3 − 1 15 3 = 3 𝐶1×12 𝐶2 15 𝐶3 = 0.4351 (b) P(x=2) = ? 𝑃 𝑥 = 2 = 3 2 15−3 3 − 2 15 3 = 3 𝐶2×12 𝐶1 15 𝐶3 = 0.0791
  • 33.
    (c) P( x≥ 1) = ? 𝑃 𝑥 ≥ 1 = 𝑃 𝑥 = 1 + 𝑃(𝑥 = 2) P(x ≥ 1) = 0.4351 + 0.0791 (from part a and b) P(x ≥ 1) = 0.5142
  • 34.
    Example-10 A small votingdistrict has 1000 female voters and 4000 male voters. A random sample of 10 voters is drawn. What is the probability exactly 7 of the voters will be male? Solution: Since the population size is large relative to the sample size, We shall approximate the hypergeometric distribution to binomial distribution. Therefore n = 10 𝑝 = 4000 5000 = 0.8(𝑚𝑎𝑙𝑒 𝑝𝑟𝑜𝑏𝑎𝑏𝑖𝑙𝑖𝑡𝑦) q = 0.2(female probability) 𝑃 𝑥 = 𝑥 = 𝑛 𝑐 𝑥 𝑝 𝑥 𝑞 𝑛−𝑥 𝑃 𝑥 = 7 = 10 𝑐7 0.8 7 0.2 10−7 = 0.2013
  • 35.
    Geometric Experiment: A Geometricexperiment is a random experiment that has the following properties: 1-Each trial can result in just two possible outcomes. We call one of these outcomes a success and the other, a failure. 2-The probability of success, denoted by p, is the same on every trial. 3-The trials are independent; that is, the outcome on one trial does not affect the outcome on other trials. 4- The experiment is repeated a variable number of times until the first success is obtained.
  • 36.
    Experiment-1 On a productionline the probability that an item is faulty is 0.06, items are selected at random until the first faulty item obtained from the production line for quality control. Explanation: 1-Each trial can result in just two possible outcomes. We call one of these outcomes a success(faulty) and the other, a failure(not faulty). 2-The probability of success, denoted by p, (that is 0.06), is the same on each trial. 3-The trials are independent; that is, the outcome on one trial does not affect the outcome on other trials form production line. 4-The experiment is repeated a variable number of times until the first success(faulty product) is obtained.
  • 37.
    Geometric Random Variable: Ina geometric experiment, define the discrete random variable X as the number of independent trials until the first success. Geometric Distribution: We say that X has a geometric distribution and write X∼g(p) 𝑃 𝑋 = 𝑥 = 𝑝𝑞 𝑥−1 , for x = 1, 2, 3, ……. where p is the probability of success in a single trial.
  • 38.
    Example-11 The probability ofa defective steel rod is 0.01. Steel rods are selected at random. Find the probability that the first defect occurs on the ninth steel rod. Solution: P = 0.01 q = 1- 0.01 = 0.99 x = 9 𝑃 𝑋 = 𝑥 = 𝑝𝑞 𝑥−1 𝑃 𝑋 = 9 = (0.01)(0.99)9−1 𝑃 𝑋 = 9 = 0.0092
  • 39.
    Example-12 The lifetime riskof developing lung cancer is about 1.25%. (a) What is the probability of that you ask ten people before one says he or she has lung cancer? (b) Find the (i) mean and (ii) standard deviation. Solution: (a) P = 0.0125 q = 1- 0.01 = 0.9875 x=10 𝑃 𝑋 = 𝑥 = 𝑝𝑞 𝑥−1 𝑃 𝑋 = 10 = (0.0125)(0.9875)10−1 𝑃 𝑋 = 𝑥 = 0.0112
  • 40.
    (b) 𝑚𝑒𝑎𝑛 = 1 𝑝 𝑚𝑒𝑎𝑛 = 1 0.125 =80 𝑆. 𝑑 = 𝑞 𝑝2 𝑆. 𝑑 = 0.9875 (0.0125)2 = 80
  • 41.
    Example-13 The literacy ratefor a nation measures the proportion of people age 15 and over who can read and write. The literacy rate for women in Pakistan is 45%. Let X= the number of Pakistani women you ask until one says that she is literate. (a) What is the probability distribution of X? (b) What is the probability that you ask five women before one says she is literate? Solution: (a) X∼g(0.45) (b) P = 0.45 ; q = 1- 0.45 = 0.55 ; x = 5 𝑃 𝑋 = 𝑥 = 𝑝𝑞 𝑥−1 𝑃 𝑋 = 5 = (0.45)(0.55)5−1 𝑃 𝑋 = 𝑥 = 0.0412
  • 42.
    Example-14 If the probabilitythat a target is destroyed on any one shot is 0.75, What is the probability that it would be destroyed on 3rd attempt. Solution: P = 0.75 q = 1- 0.75 = 0.25 x = 3 𝑃 𝑋 = 𝑥 = 𝑝𝑞 𝑥−1 𝑃 𝑋 = 3 = (0.75)(0.25)3−1 𝑃 𝑋 = 3 = 0.0469
  • 43.
    Negative Binomial Experiment Anegative binomial experiment is a statistical experiment that has the following properties: 1-The experiment consists of x repeated trials. 2-Each trial can result in just two possible outcomes. We call one of these outcomes a success and the other, a failure. 3-The probability of success, denoted by P, is the same on every trial. 4-The trials are independent; that is, the outcome on one trial does not affect the outcome on other trials. 5-The experiment continues until k successes are observed, where k is specified in advance.
  • 44.
    Experiment-1 Suppose that theprobability is 0.8 that any given person will believe a tale about life after death. Here the 6th person to hear this tale is the 4th one to believe it. Explanation: 1-The experiment consists of x = 6 repeated trials. 2-Each trial can result in just two possible outcomes. We call one of these outcomes a success(believe) and the other, a failure ( Not believe). 3-The probability of success, denoted by P (that is 𝑝 = 0.8 ), is the same on every trial. 4-The trials are independent; that is, the outcome on one trial does not affect the outcome on other trials. 5-The experiment continues until k (k = 4) successes are observed, Where k is specified in advance.
  • 45.
    Experiment-2 A person throwinga coin and gets the second head on the 5th throw. Explanation: 1-The experiment consists of x = 5 repeated trials. 2-Each trial can result in just two possible outcomes. We call one of these outcomes a success(Head) and the other, a failure(Tail). 3-The probability of success, denoted by P (that is 𝑝 = 1 2 ), is the same on every trial. 4-The trials are independent; that is, the outcome on one trial does not affect the outcome on other trials. 5-The experiment continues until k (k = 2) successes are observed, Where k is specified in advance.
  • 46.
    Experiment-3 You flip acoin repeatedly and count the number of times the coin lands on heads. You continue flipping the coin until it has landed 3 times on heads. Explanation: This is a negative binomial experiment because: 1-The experiment consists of repeated trials. We flip a coin repeatedly until it has landed 3 times on heads. 2-Each trial can result in just two possible outcomes – heads or tails. 3-The probability of success is constant ( 0.5) on every trial. 4-The trials are independent; that is, getting heads on one trial does not affect whether we get heads on other trials. 5-The experiment continues until a fixed number of successes have occurred; in this case, 3 heads.
  • 47.
    Notation The following notationis helpful, when we talk about negative binomial probability. x: The number of trials required to produce k successes in a negative binomial experiment. k: The number of successes in the negative binomial experiment. P: The probability of success on an individual trial. q: The probability of failure on an individual trial.
  • 48.
    Negative Binomial RandomVariable The number X of trials to produce k successes in a negative binomial experiment is called a negative binomial random variable. Negative Binomial Distribution A negative binomial random variable is the number X of repeated trials to produce k successes in a negative binomial experiment. The probability distribution of a negative binomial random variable is called a negative binomial distribution. The negative binomial distribution is also known as the Pascal distribution. 𝑃 𝑋 = 𝑥 = 𝑥 − 1 𝑘 − 1 𝑝 𝑘 𝑞 𝑥−𝑘 , 𝑓𝑜𝑟 𝑥 = 𝑘, 𝑘+1, 𝑘+2,……
  • 49.
    Example-15 You are surveyingpeople exiting from a polling booth and asking them if they voted independent. The probability that a person voted independent is 25%. What is the probability that 15 people must be asked before you can find 5 people who voted independent? Solution: K = 5, x = 15, p = 0.25, q = 0.75 𝑃 𝑋 = 𝑥 = 𝑥 − 1 𝑘 − 1 𝑝 𝑘 𝑞 𝑥−𝑘 𝑃 𝑋 = 15 = 15 − 1 5 − 1 (0.25)5 (0.75)15−5 𝑃 𝑋 = 15 = 0.0552
  • 50.
    Example-16 Suppose that theprobability is 0.8 that any given person will believe a tale about life after death. What is the probability that the sixth person to hear this tale is the fourth one to believe it ? Solution: K = 4, x = 6, p = 0.8, q = 0.2 𝑃 𝑋 = 𝑥 = 𝑥 − 1 𝑘 − 1 𝑝 𝑘 𝑞 𝑥−𝑘 𝑃 𝑋 = 6 = 6 − 1 4 − 1 (0.8)6 (0.2)6−4 𝑃 𝑋 = 6 = 0.1049
  • 51.
    Example-17 A football player,his success rate of goal hitting is 70%. What is the probability that player hits his third goal on his fifth attempt? Solution: K = 3, x = 5, p = 0.7, q = 0.3 𝑃 𝑋 = 𝑥 = 𝑥 − 1 𝑘 − 1 𝑝 𝑘 𝑞 𝑥−𝑘 𝑃 𝑋 = 5 = 5 − 1 3 − 1 (0.7)3 (0.3)5−3 𝑃 𝑋 = 5 = 0.1852
  • 52.
    Example-18 You draw cardsfrom a deck (with replacement) until you get four kings. What is the probability that you will draw exactly 20 times Solution: K = 4, x = 20, 𝑝 = 4 52 = 0.077, q = 0.923 𝑃 𝑋 = 𝑥 = 𝑥 − 1 𝑘 − 1 𝑝 𝑘 𝑞 𝑥−𝑘 𝑃 𝑋 = 20 = 20 − 1 4 − 1 (0.077)4 (0.923)20−4 𝑃 𝑋 = 20 = 0.00945
  • 53.
    Example-19 Find the probabilitythat a person tossing 3coins will get either all heads or all tails for the second time on the fifth toss Solution: K = 2, x = 5, 𝑝 = 2 8 = 0.25, q = 0.75 𝑃 𝑋 = 𝑥 = 𝑥 − 1 𝑘 − 1 𝑝 𝑘 𝑞 𝑥−𝑘 𝑃 𝑋 = 5 = 5 − 1 2 − 1 (0.25)2 (0.75)5−2 𝑃 𝑋 = 5 = 0.1445
  • 54.
    Example-20 If the probabilitythat a person will die by COVID-19 in China is 0.06 (Till 2nd May 2020 by W.H.O.). What is the probability that (a) Exactly 2 effected persons will die out of 15. (b) The 10th effected person will die. (c) The 10th effected person will be the 5th person to die.
  • 55.
    Solution: Let x denotesthe number of a person who effects by COVID-19, Then the number of a person who dies it, will be considered a success. (a) There are 15 persons with two possible outcomes will die or will not die, the probability is constant and trials are independent. Where n = 15, P = 0.06, q = 0.94, x = 2 𝑃 𝑥 = 𝑥 = 𝑛 𝑐 𝑥 𝑝 𝑥 𝑞 𝑛−𝑥 𝑃 𝑥 = 2 = 15 𝑐2 0.06 2 0.94 15−2 = 0.1691
  • 56.
    (b)Since the 10thperson is the first to die, So the first success occurs on the 10th , therefore the geometric distribution is suitable. Where P = 0.06, q = 0.94, x = 10 𝑃 𝑥 = 10 = (𝑝)(𝑞) 𝑥−1 𝑃 𝑥 = 10 = 0.06 0.94 10−1 = 0.0344 (c)Since 10th person effected by COVID-19 will be the 5th to die implies that the 5th success occurs the 10th trial, therefore the negative binomial distribution is suitable. Where x = 10, k = 5, p = 0.06, q = 0.94 𝑃 𝑋 = 𝑥 = 𝑥 − 1 𝑘 − 1 𝑝 𝑘 𝑞 𝑥−𝑘 𝑃 𝑋 = 10 = 10 − 1 5 − 1 (0.06)5 (0.94)10−5 = 0.000072