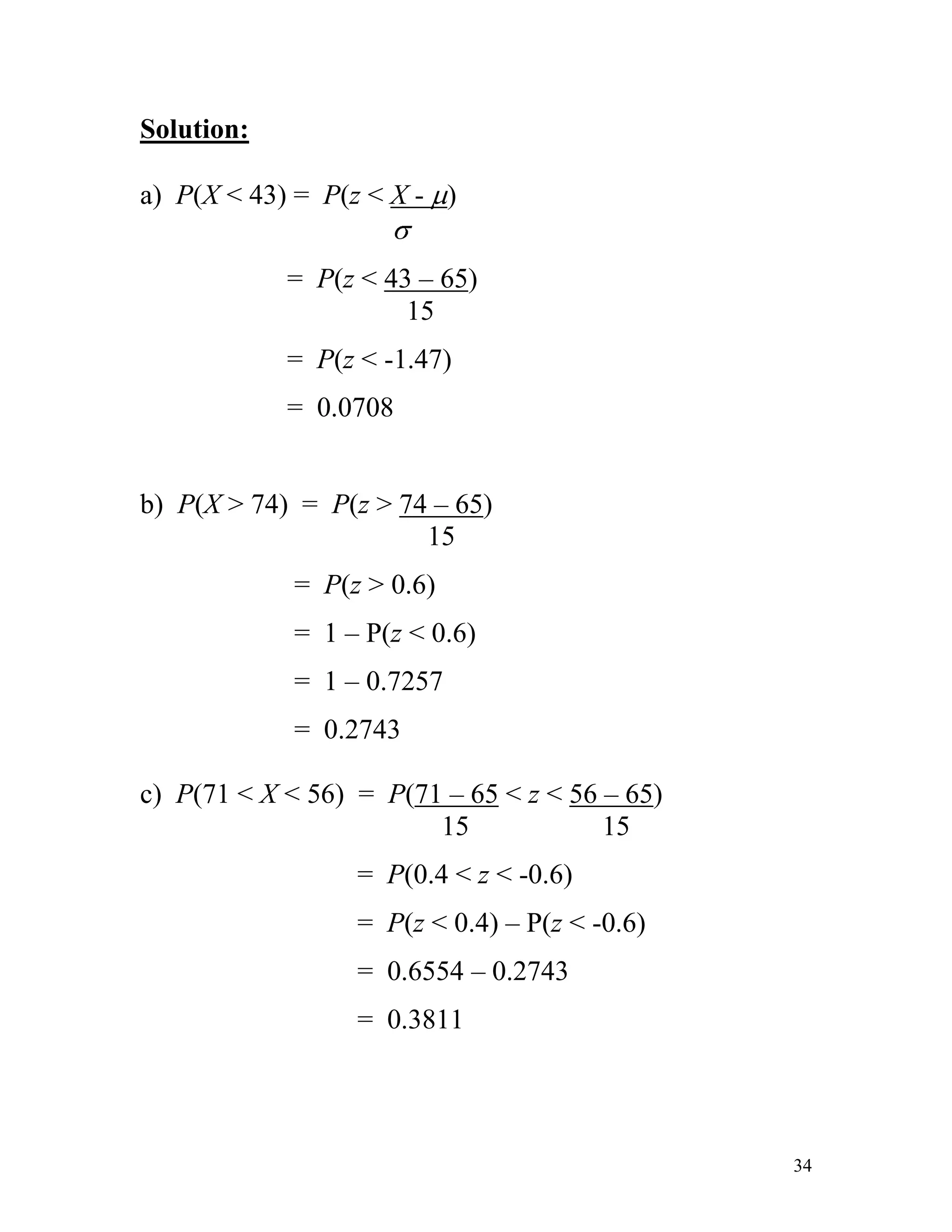
CHAPTER 5SPECIAL DISTRIBUTIONCHAPTER OUTLINE5.1  Discrete distribution       5.1.1   Binomial distribution       5.1.2   Poisson distribution5.2  Continuous distribution       5.2.1   Normal distribution5.3  Introduction to t-distribution OBJECTIVESStudent should be able to:Determine the distribution and also differentiate the distribution form.Solve any problem related to Binomial, Poisson and Normal distribution.5.1DISCRETE DISTRIBUTIONConsist of the values a random variable can assume and the corresponding probabilities of the values.The probabilities are determined theoretically or by observation.5.1.1BINOMIAL DISTRIBUTIONBinomial Distribution – the outcomes of a binomial experiment and the corresponding probabilities of these outcomes.It is applied to find the probability that an outcome will occur x times in n performances of experiment.For example: The probability of a defective laptop manufactured at a firm is 0.05 in a random sample of ten.The probability of 8 packages will not arrive at its destination.To apply the binomial probability distribution, the random variable x must be a discrete dichotomous random variable.Each repetition of the experiment must result in one of two possible outcomes.Conditional of a Binomial ExperimentEach trial can have only two outcomes or outcomes that can be reduced to two outcomes. These outcomes can be considered as either success or failure.There must be a fixed number of trials.The outcomes of each trial must be independent of each other. In other words, the outcome of one trial does not affect the outcome of another trial.The probability of success is denoted by p and that of failure by q, and p + q=1. The probabilities p and q remain constant for each trial.Note:The success does not mean that the corresponding outcome is considered favorable or desirable and vice versaThe outcome to which the question refers is called a success; the outcome to which it does not refer is called a failure.A.Calculating Binomial Probabilities by Using Binomial FormulaFor a binomial experiment, the probability of exactly x successes in n trials is given by the binomial formula:P(x) = nCx px qn-xWhere;n = the total number of trialsp = probability of successq = 1-p = probability of failurex = number of successes in n trialsn-x = number of failures in n trialsExample 1:Compute the probabilities of X successes, using the binomial formula.a. n= 6, X= 3, p=0.03b. n= 4, X= 2, p=0.18Solution: a. P(x=3) = 6C3(0.03)3(1-0.03)6-3  = 6C3(0.03)3(0.97)3 = 0.0005b. P(x=2) = Example 2:A survey found that one out five Malaysian says he or she has visited a doctor in any given month. If 10 people are selected at random, find the probability that exactly 3 will have visited a doctor last month.Solution:In this case, n = 10, x = 3, p = 1/5 and q = 4/5.P(x=3) = 10C3(1/5)3(4/5)7   = 0.2013Exercise 1:1.A burglar alarm system has 6 fail-safe components. The probability of each failing is 0.05. Find these probabilities:Exactly 3 will failLess than 2 will failNone will fail2. A survey from Teenage Research Unlimited found that 30% of teenage consumers receive their spending money from part-time jobs. If 5 teenagers are selected at random, find the probability that at least 3 of them will have part-time jobs.R. H Bruskin Associates Market Research found that 40% of Americans do not think that having a college education is important to succeed in the business world. If a random sample of five American is selected, find these probabilities.Exactly two people will agree with that statement.At  most three people will agree with that statementAt least two people will agree with that statement Fewer than three people will agree with that statement.It was found that 60% of American victims of health care fraud are senior citizens. If 10 victims are randomly selected, find the probability that exactly 3 are senior citizens.B.Using the Table of Binomial ProbabilitiesThe probabilities for a binomial experiment can also be read from the table of binomial probabilities.For any number of trials n:The binomial probability distribution is symmetric if p = 0.5The binomial probability distribution is skewed to the right if p is less than 0.5The binomial probability distribution is skewed to the left if p is greater than 0.50172085From the table also, it is easier to calculate various from of binomial distribution such as:EquallyP(X = x)  = P(X ≤ x) - P(X ≤ x - 1)At mostP(X ≤ x)  = P(X ≤ x) (directly from the table)Less thanP(X  x)  = 1 – P(X ≤ x)From x1 to x2P(x1 ≤ X ≤ x2) = P(X ≤ x2) - P(X ≤ x1 - 1)Between x1 and x2P(x1Example 3: Compute the probability of X successes using the Binomial Table.n=2, p=0.30, X=1n=4, p=0.45, X=3Solution:a. P(X=1) =  P(X ≤ 1) - P(X ≤ 0)                  =  0.9100 – 0.4900                 =  0.4200b. P(X =3) =  Example 4:25% of all VCR manufactured by a large electronics company are defective.  A quality control inspector randomly selects three VCRs from the production line.  What is the probability that,exactly one of these three VCRs is defective.at least two of these VCRs are defective.c) three of these VCRs are defective.Solution:p = 0.25, q = 1 – 0.25 = 0.75, n = 3  P(X=1) =  P(X ≤ 1) - P(X ≤ 0)                  =  0.8438 – 0.4219                 =  0.4219P(X≥2) = 1 – P(X ≤ 1)     = 1 – 0.8438     = 0.1562    c) P(X = 3) = P(X  3) – P(X  2)                       = 1.000 – 0.9844                       = 0.0156Exercise 2:1.If 65% of the people in a community use the gym facilities in one year, find these probabilities for a sample of 10 people.Exactly four people use the gym facilities.At least six people not use the gym facilities.2. In a poll of 12 to 18 year old females conducted by Harris Interactive for the Gillette Company, 40% of the young female said that they expected the US to have a female president within 10 years.  Supposed a random sample of 15 females from this age group selected.  Find the probabilities that of young female in this sample who expect a female president within 10 years is;at least 9at most 56 to 9in between 4 and 8less than 43. In a Gallup Survey, 40% of the people interviewed were unaware that maintaining a healthy weight could reduce the risk of stroke. If 15 people are selected at random, find the probability that at least 9 are unaware that maintaining a proper weight could reduce the risk of stroke.C.Mean and Standard Deviation of the Binomial DistributionThe mean, variance and standard deviation of a binomial distribution are:    Mean =  = npVariance = 2 = npqStandard deviation =  = npqWhere;n = the total number of trialsp = probability of successq = 1-p = probability of failureExample 5:Find the mean, variance and standard deviation for each of the values of n and p when the conditions for the binomial distribution are met.n=100, p=0.75n=300, p=0.3Solution:a.  = np = 100(0.75) = 75       2 = npq = 100(0.75)(0.25) = 18.75     = npq = 18.75 = 4.33b . Example 6:The Statistical Bulletin published by Metropolitan Life Insurance Co. reported that 2% of all American births result in twins. If a random sample of 8000 births is taken, find the mean, variance and standard deviation of the number of births that would result in twins.Solution: = np = 8000(0.02) = 1602 = npq = 8000(0.02)(0.98) = 156.8 = npq = 156.8 = 12.520Exercise 3:1.It has been reported that 83% of federal government employees use e-mail. If sample of 200 federal government employees is selected, find the mean, variance and standard deviation of the number who use e-mail.2. A survey found that 25% of Malaysian watch movie at the cinema. Find the mean, variance and standard deviation of the number of individuals who watch movie at the cinema if a random sample of 1000 Malaysian is selected at the Bintang Walk.1.5.2POISSON DISTRIBUTIONDerived from the French mathematician Simeon D. Poisson.A discrete probability distribution that is useful when n is large and p is small and when the independent variables occur over a period of time or given area or volume. Conditional to apply the Poisson Probability Distributionx is a discrete random variableThe occurrences are randomThe occurrences are independentThe following examples show the application of the Poisson probability distribution.The number of accidents that occur on a highway given during a one-week period.The number of customers entering a grocery store during a one-hour interval.The number of television sets sold at a department store during a given week.The number of typing errors per page.A certain type of fabric made contains an average 0.5 defects per 500 yards.A.Poisson Probability Distribution FormulaAccording to the Poisson probability distribution, the probability of x occurrences in an interval is:Where; :  mean number of occurrences in that intervale :  approximately 2.7183Example 7:Find each probability P(X; ), using the Poisson formulaP(5;4)P(2;4)Solution:a. P(X=5) = e-4(45)/5! = 0.1563b. P(X=2) = Example 8:If there are 200 typographical errors randomly distributed in a 500-page manuscript, find the probability that a given page contains exactly three errors.Solution:Find the number  of errors: = 200/500 = 0.4 (error per page)                                   = 0.0072Exercise 4:1.On average a household receives 2 telemarketing phone calls per week. Using the Poisson distribution formula, find the probability that a randomly selected household receives: exactly six telemarketing phone calls during a given week.less than three telemarketing phone calls in one month. 2. A washing machine in a LaundryMat breaks down an average of three times per month. Using the Poisson probability distribution formula, find the probability that this machine will haveexactly two break downs per monthat most one break down per monthno break downs in 2 monthsIn an airport between 1900 and 2000 hours, the number of airplane that land follows a Poisson distribution with mean 0.9 per five minutes interval. Find the probability that the number of plane that land is:one or less between 1900 and 1905 hoursmore than three between 1915 and 1930 hoursC.Using the Table of Poisson ProbabilitiesThe probabilities for a Poisson distribution can also be read from the table of Poisson probabilities.49530154305EquallyP(X = x)  = P(X ≤ x) - P(X ≤ x - 1)At mostP(X ≤ x)  = P(X ≤ x) (directly from the table)Less thanP(X  x)  = 1 – P(X ≤ x)From x1 to x2P(x1 ≤ X ≤ x2) = P(X ≤ x2) - P(X ≤ x1 - 1)Between x1 and x2P(x1Example 9:Find the probability P(X; ); using Poisson tableP(10;7)P(9;8)Solution:a) P(X = 10) = P(X  10) – P(X  9)     = 0.9015 – 0.8305     = 0.0710b) P(X = 9) = Example 10:A sales firm receives on average three calls per hour on its toll-free number. For any given hour, find the probability that it will receive the following: at most 3 calls at least 3 calls five or more calls between 1 to 4 calls in 2 hoursSolution: = 3 calls per houra) P(X  3) = 0.6472b) P(X  3) = 1 – P(X  2)                   = 1 – 0.4232                   = 0.5768c) P(X  5) = 1 – P(X  4)                   = 1 – 0.8153                   = 0.1847 = 6 calls in 2 hoursd) P(1                        = 0.2851 – 0.0174                        = 0.2677Exercise 5:1. An average of 4.8 customers comes to Malaysia Savings and Loan every half hour. Find the probability that during a given hour, the number of customer will come isexactly two at most 2nonemore than 5 in one hourSports Score Jay receives, on average, eight calls per hour requesting the latest sports score. The distribution is Poisson in nature. For any randomly selected hour, find the probability that the company will receiveat least eight callsthree or more callsat most seven calls.D.Mean and Standard Deviation of the Poisson DistributionMean,  = Variance, 2 = Standard Deviation,  = Example 11:An auto salesperson sells an average of 0.9 cars per day. Find the mean, variance and standard deviation of cars sold per day by this salesperson.Solution: =  = 0.92 =  = 0.9 =  = 0.9 = 0.9487Example 12:An insurance salesperson sells an average of 1.4 policies per day.Find the probability that this salesperson will sell no insurance policy on a certain day.Find the mean, variance and standard deviation of the probability this salesperson will sell the policies per day.Solution:    = 1.4 policies per day    a) P(X = 0) = P(X  0)                      = 0.2466   b)  =  = 1.42 =  = 1.4 =  = 1.4 = 1.1832Example 13:Assuming that the number of accidents that occur in a certain company in a week has a Poisson distribution with a standard deviation of 1.4. Determine:the mean number of accidents that occur in a weekthe probability that in a week, there are no accidents.Solution: = 1.4 accidents a)   = 2 = (1.4)2                 = 1.96 b) P ( X = 0) = e-1.96 (1.96)0/0!                      = 0.14085.2CONTINUOUS DISTRIBUTIONIn Chapter 4, we defined a continuous random variable as a random variable whose values are not countable.A continuous random variable can assume any value over an interval or intervals.Because the number of values contained in any interval is infinite, the possible number of values that a continuous random variable can assume is also infinite.Example of continuous random variables:The life of battery, heights of people, time taken to complete an examination, amount of milk in a gallon, weights of babies, prices of houses.The probability distribution of continuous random variable has two characteristics:The probability that x assumes a value in any interval lies in the range 0 to 1. (Figure 1)80010011430         Figure 1: Area under a curve between two points.The total probability of all the (mutually exclusive) intervals within which x can assume a value is 1.0. (Figure 2)68580017780                         Figure 2: Total area under a probability distribution.5.2.1NORMAL DISTRIBUTIONThe normal distribution is the most important and most widely used among all of probability distributions.A large number of phenomena in the real world are normally distributed either exactly or approximately.The normal probability distribution or the normal curve is a bell-shaped (symmetric) curve.Its mean is denoted by  while its standard deviation is denoted by . (Figure 3)45720047625        Figure 3: Normal distribution with mean;  and standard deviation; .A plotted normal probability distribution will gives a bell-shaped curve which can be illustrated likes:The total area under the curve is 1.0.5715006350The curve is symmetric about the mean.5715001270The two tails of the curve extend indefinitely which means that the curve never touch x- axis.5715002749555.2.1.1THE STANDARD NORMAL DISTRIBUTIONIs a normal distribution with  = 0 and  = 1.The value under the curve indicates the proportion of area in each section. (example figure 2; pg: 27)The units for the standard normal distribution curve are denoted by z and called the z values or z scores. The z value or z score is actually the number of standard deviation that a particular x value is away from the mean.The area under a standard normal distribution curve is used to solve practical application problems such as:finding the % of adult woman whose height is between 5 feet 4 inches and 5 feet 7 inches.A.Finding areas under the standard normal distribution curve571500240030The standard normal distribution table lists the areas under the standard normal curve to the left of z-values from –3.49 to 3.49.Although the z-values on the left side of the mean are negative, the area under the curve is always positive.Example 14:Find the area under the standard normal curve to the left of z = 1.95Solution:022860457200200660Note: z = 1.95 can be interpreted as area to the left of 1.95.P(z P(z The probability that a continuous random variable assumes a single value is zero. Therefore, P(z = 1.95) = 0.Exercise 7:Find the area under the standard normal curve:To the left of z = 1.56To the left of z = -2.87To the right of z = 2.45To the right of z = -1.32From z = 0.85 to z = 1.95Between z = -2.15 and z=1.67Solution:0     1.56To the left of z = 1.56P(z To the left of z = -2.87 0       2.45   To the right of z = 2.45P(z > 2.45) = 1 - P(z                    =  1 - 0.9929                          =  0.0071To the right of z = -1.32 0.85     1.95           From z = 0.85 to z = 1.95P(0.85  z  1.95)= P(z  1.95) – P(z  0.85)= 0.9744 – 0.8023 = 0.1721Between z = -2.15 and z = 1.67B.Converting an x Value to a z ValueFor a normal variable x, a particular value of x can be converted to its corresponding z value by using the formula:z = X -        where  and  are the mean and standard deviation of the normal distribution of x, respectively.Remember!The z value for the mean of a normal distribution is always zero.Example 14:Let x be a continuous random variable that has a normal distribution with a mean of 50 and a standard deviation of 10. Convert the following x values to z values.a)55b) 35Solution:For the given normal distribution,  = 50 and  =10a)   The z value for x = 55 is computes as follows:z =  X -   =  55 – 50  =  0.50       10b)    z  =  35 – 50  =  -1.5                    10Example 15:Let x be a continuous random variable that is normally distributed with a mean of 65 and a standard deviation of 15. Find the probability that x can assumes a value:a)less than 43b)greater than 74c)between 56 and 71Solution:a)  P(X                                                          =  P(z                                       15                     =  P(z                      =  0.0708b)  P(X > 74)  =  P(z > 74 – 65)                                         15                      =  P(z > 0.6)                      =  1 – P(z                       =  1 – 0.7257                      =  0.2743c)  P(71                                            15                   15                               =  P(0.4                                =  P(z                                =  0.6554 – 0.2743                               =  0.3811       Exercise 6:1.Let x denote the time takes to run a road race.  Supposed x is approximately normally distributed with mean of 190 minutes and standard deviation of 21 minutes.  If one runner is selected at random, what is the probability that this runner will complete this road race?in less than 150 minutesin 205 to 245 minutes2.The mean number of hours a student spends on the computer is 3.1 hours per day. Assume the standard deviation is 0.5 hour. Find the percentage of students who spend less than 3.5 hours on the computer. Assume the variable is normally distributed.                             3.  The score of 6000 candidates in a certain examination are found to be approximately normal distributed with a mean of 55 and a standard deviation of 10:If a score of 75 or more is required for passing the distinction, estimate the number of grades with distinction.Calculate the probability that a candidate selected at random has a score between 45 and 65.INTRODUCTION TO t-DISTRIBUTIONThe t distribution is very similar to the standardized normal distribution.Both distributions are bell-shaped and symmetrical.However, the t distribution has more area in the tails and less in the center than does the standardized normal distribution.This is because  is unknown and S is used to estimate it.Because the value of  is uncertain, the values of t that are observed will be more variable than for Z.Standard normalt distribution for 5 degrees of freedomAs the number of degrees of freedom increases, the t distribution gradually approaches the standardized normal distribution until the two are virtually identical.This happens because S becomes a better estimate of  as the sample size gets larger.With a sample size of about 120 or more, S estimates  precisely enough that there is little difference between the t and Z distributions.For this reason, most statisticians use Z instead of t when the sample size is greater than 120. EXERCISES10 % of the bulbs produced by a factory are defective. A sample of 5 bulbs is selected randomly and tested for defect. Find the probability thattwo bulbs are defectiveat least one bulb is defective In a university, 20 percent of the students fail the statistic test. If 20 students from the university are interviewed, what is the probability of getting:less than 3 students who fail the testmore than 3 students who fail the testexactly 4 students who fail the testA financial institution in Kuala Lumpur has offer a job as a risk analyst. For the minimum qualification, the applicant must seats for writing test. Based on the management experience, 40% of the applicants will pass the test and qualified for the interview session. There are 20 applicants who have applied for the jobs. Find the probability that there are more than 50% applicants will pass the test.An Elementary Statistic class has 75 members. If there is a 12% absentee rate per class meeting, find the mean, variance and standard deviation of the number of students who will be absent from each class.Before an umbrella leaves the factory, it is given a quality control check. The probability that an umbrella contains zero, one or two defects is 0.88, 0.08 and 0.04 respectively. In a sample of 16 umbrellas, find the probability that:9 will have no defect4 will have one defect3 will have two defectEn. Rostam is a credit officer at the Trust Bank. Based on his experience, he estimates that an average he will receive the loan application in a week is 3 applications. Find the probability that:he receives none loan application in a weekhe receives 2 until 5 loan applications in a weekat least 5 loan applications he receives in 14 days.A bookstore owner examines 5 books from each lot of 25 to check for missing pages. If he finds at least two books with missing pages, the entire lot is returned. If indeed, there are five books with missing pages, find the probability  that the lot will be returned.The numbers of customers who enter shop ABC independent of one another and at random intervals follow a Poisson distribution with an average rate 42 customers per hour. Find the probability that:no customer enter the shop during a particular 1 minutes intervalat least 4 customers enter the shop during a particular 5 minutes intervalbetween 2 and 6 customers enter the shop during a particular 10-minute interval.One research has been conducted by Student’s Affair Department of Menara University regarding about the PNGK that had been obtained by final semester student for 2002/2203 session. The outcome of the research showed that the PNGK of the student is normal distributed with mean is 2.80 and standard deviation is 0.40. If one final semester student has been selected at random; Calculate the probability that the student gets PNGK from 2.00 until 3.00 Find the percentage that the student gets PNGK less than 2.00Calculate the probability that the student gets PNGK at least 3.00 Calculate the probability that the student gets PNGK more than 3.70 (first class honors). If the university has 1000 final semester student, find the number of first class honors student. 10. Encik Ahmad works as a lawyer at his own law firm which situated at Bandar Kenangan. He drives his car to go to his workplace and return back to his house everyday. The return estimated time taken to his working place is normal distributed with mean 24 minutes and standard deviation is 3.8 minutes.Calculate the probability of estimated time taken by Encik Ahmad to go to his workplace and return back to his house at least half and hour.Find the probability of estimated time taken by Encik Ahmad to go to his workplace and return back to his house from 20 minutes until 25 minutesFind the percentage that the estimated time taken by Encik Ahmad to go to his workplace and return back to his house is more than 25 minutes.Find the probability of estimated time taken by Encik Ahmad to go to his workplace and return back to his house is less than 10 minutes.The average electric bill in a residential area is RM 72 for a month of April. The standard deviation is RM 6. If the amounts of the electric bills are normally distributed, find the probability that the mean of the bill for 15 residents will be less than RM 75.Average waiting time for the customer at the bank counter to receive the service is 3.5 minutes and the standard deviation is 1.0 minutes. If 35 customers have been selected at random, what is the probability waiting time from 3.0 minutes until 4.0 minutes? Then, explain your answer. Assume X is timing for a runner to finish his 2 km run. Given X is normally distributed with mean 15 minutes and standard deviation is 3 minutes. If one runner is selected at random, find the probability that the runner can finish his 2km run in time;Less than 13 minutesNot more than 16 minutesWithin 14 minutes and 17 minutes.Given the systolic blood pressure for the obesity group has mean 132 mmHg and standard deviation 8 mmHg. Assume the variable normally distributed, find the probability an obese person that has been selected at random have a systolic blood pressure:More than 130 mmHg.Less than 140 mmHg.Between 131 mmHg and 136 mmHg.15. The number of passenger for domestic flight from Alor Setar to Kuala Lumpur is normally distributed with mean 80 and standard deviation 12. If one domestic flight is selected at random, find the probability the flight have:less than 90 passengersat least 75 passengersbetween 79 to 95 passengers
Statistik Chapter 5 (1)
Statistik Chapter 5 (1)
Statistik Chapter 5 (1)
Statistik Chapter 5 (1)
Statistik Chapter 5 (1)
Statistik Chapter 5 (1)
Statistik Chapter 5 (1)
Statistik Chapter 5 (1)
Statistik Chapter 5 (1)
Statistik Chapter 5 (1)
Statistik Chapter 5 (1)
Statistik Chapter 5 (1)
Statistik Chapter 5 (1)
Statistik Chapter 5 (1)
Statistik Chapter 5 (1)
Statistik Chapter 5 (1)
Statistik Chapter 5 (1)
Statistik Chapter 5 (1)
Statistik Chapter 5 (1)
Statistik Chapter 5 (1)
Statistik Chapter 5 (1)
Statistik Chapter 5 (1)
Statistik Chapter 5 (1)
Statistik Chapter 5 (1)
Statistik Chapter 5 (1)
Statistik Chapter 5 (1)
Statistik Chapter 5 (1)
Statistik Chapter 5 (1)
Statistik Chapter 5 (1)
Statistik Chapter 5 (1)
Statistik Chapter 5 (1)
Statistik Chapter 5 (1)
Statistik Chapter 5 (1)
Statistik Chapter 5 (1)
Statistik Chapter 5 (1)
Statistik Chapter 5 (1)
Statistik Chapter 5 (1)
Statistik Chapter 5 (1)
Statistik Chapter 5 (1)
Statistik Chapter 5 (1)
Statistik Chapter 5 (1)

Statistik Chapter 5 (1)

  • 1.
    CHAPTER 5SPECIAL DISTRIBUTIONCHAPTEROUTLINE5.1 Discrete distribution 5.1.1 Binomial distribution 5.1.2 Poisson distribution5.2 Continuous distribution 5.2.1 Normal distribution5.3 Introduction to t-distribution OBJECTIVESStudent should be able to:Determine the distribution and also differentiate the distribution form.Solve any problem related to Binomial, Poisson and Normal distribution.5.1DISCRETE DISTRIBUTIONConsist of the values a random variable can assume and the corresponding probabilities of the values.The probabilities are determined theoretically or by observation.5.1.1BINOMIAL DISTRIBUTIONBinomial Distribution – the outcomes of a binomial experiment and the corresponding probabilities of these outcomes.It is applied to find the probability that an outcome will occur x times in n performances of experiment.For example: The probability of a defective laptop manufactured at a firm is 0.05 in a random sample of ten.The probability of 8 packages will not arrive at its destination.To apply the binomial probability distribution, the random variable x must be a discrete dichotomous random variable.Each repetition of the experiment must result in one of two possible outcomes.Conditional of a Binomial ExperimentEach trial can have only two outcomes or outcomes that can be reduced to two outcomes. These outcomes can be considered as either success or failure.There must be a fixed number of trials.The outcomes of each trial must be independent of each other. In other words, the outcome of one trial does not affect the outcome of another trial.The probability of success is denoted by p and that of failure by q, and p + q=1. The probabilities p and q remain constant for each trial.Note:The success does not mean that the corresponding outcome is considered favorable or desirable and vice versaThe outcome to which the question refers is called a success; the outcome to which it does not refer is called a failure.A.Calculating Binomial Probabilities by Using Binomial FormulaFor a binomial experiment, the probability of exactly x successes in n trials is given by the binomial formula:P(x) = nCx px qn-xWhere;n = the total number of trialsp = probability of successq = 1-p = probability of failurex = number of successes in n trialsn-x = number of failures in n trialsExample 1:Compute the probabilities of X successes, using the binomial formula.a. n= 6, X= 3, p=0.03b. n= 4, X= 2, p=0.18Solution: a. P(x=3) = 6C3(0.03)3(1-0.03)6-3 = 6C3(0.03)3(0.97)3 = 0.0005b. P(x=2) = Example 2:A survey found that one out five Malaysian says he or she has visited a doctor in any given month. If 10 people are selected at random, find the probability that exactly 3 will have visited a doctor last month.Solution:In this case, n = 10, x = 3, p = 1/5 and q = 4/5.P(x=3) = 10C3(1/5)3(4/5)7 = 0.2013Exercise 1:1.A burglar alarm system has 6 fail-safe components. The probability of each failing is 0.05. Find these probabilities:Exactly 3 will failLess than 2 will failNone will fail2. A survey from Teenage Research Unlimited found that 30% of teenage consumers receive their spending money from part-time jobs. If 5 teenagers are selected at random, find the probability that at least 3 of them will have part-time jobs.R. H Bruskin Associates Market Research found that 40% of Americans do not think that having a college education is important to succeed in the business world. If a random sample of five American is selected, find these probabilities.Exactly two people will agree with that statement.At most three people will agree with that statementAt least two people will agree with that statement Fewer than three people will agree with that statement.It was found that 60% of American victims of health care fraud are senior citizens. If 10 victims are randomly selected, find the probability that exactly 3 are senior citizens.B.Using the Table of Binomial ProbabilitiesThe probabilities for a binomial experiment can also be read from the table of binomial probabilities.For any number of trials n:The binomial probability distribution is symmetric if p = 0.5The binomial probability distribution is skewed to the right if p is less than 0.5The binomial probability distribution is skewed to the left if p is greater than 0.50172085From the table also, it is easier to calculate various from of binomial distribution such as:EquallyP(X = x) = P(X ≤ x) - P(X ≤ x - 1)At mostP(X ≤ x) = P(X ≤ x) (directly from the table)Less thanP(X x) = 1 – P(X ≤ x)From x1 to x2P(x1 ≤ X ≤ x2) = P(X ≤ x2) - P(X ≤ x1 - 1)Between x1 and x2P(x1Example 3: Compute the probability of X successes using the Binomial Table.n=2, p=0.30, X=1n=4, p=0.45, X=3Solution:a. P(X=1) = P(X ≤ 1) - P(X ≤ 0) = 0.9100 – 0.4900 = 0.4200b. P(X =3) = Example 4:25% of all VCR manufactured by a large electronics company are defective. A quality control inspector randomly selects three VCRs from the production line. What is the probability that,exactly one of these three VCRs is defective.at least two of these VCRs are defective.c) three of these VCRs are defective.Solution:p = 0.25, q = 1 – 0.25 = 0.75, n = 3 P(X=1) = P(X ≤ 1) - P(X ≤ 0) = 0.8438 – 0.4219 = 0.4219P(X≥2) = 1 – P(X ≤ 1) = 1 – 0.8438 = 0.1562 c) P(X = 3) = P(X 3) – P(X 2) = 1.000 – 0.9844 = 0.0156Exercise 2:1.If 65% of the people in a community use the gym facilities in one year, find these probabilities for a sample of 10 people.Exactly four people use the gym facilities.At least six people not use the gym facilities.2. In a poll of 12 to 18 year old females conducted by Harris Interactive for the Gillette Company, 40% of the young female said that they expected the US to have a female president within 10 years. Supposed a random sample of 15 females from this age group selected. Find the probabilities that of young female in this sample who expect a female president within 10 years is;at least 9at most 56 to 9in between 4 and 8less than 43. In a Gallup Survey, 40% of the people interviewed were unaware that maintaining a healthy weight could reduce the risk of stroke. If 15 people are selected at random, find the probability that at least 9 are unaware that maintaining a proper weight could reduce the risk of stroke.C.Mean and Standard Deviation of the Binomial DistributionThe mean, variance and standard deviation of a binomial distribution are: Mean = = npVariance = 2 = npqStandard deviation = = npqWhere;n = the total number of trialsp = probability of successq = 1-p = probability of failureExample 5:Find the mean, variance and standard deviation for each of the values of n and p when the conditions for the binomial distribution are met.n=100, p=0.75n=300, p=0.3Solution:a. = np = 100(0.75) = 75 2 = npq = 100(0.75)(0.25) = 18.75 = npq = 18.75 = 4.33b . Example 6:The Statistical Bulletin published by Metropolitan Life Insurance Co. reported that 2% of all American births result in twins. If a random sample of 8000 births is taken, find the mean, variance and standard deviation of the number of births that would result in twins.Solution: = np = 8000(0.02) = 1602 = npq = 8000(0.02)(0.98) = 156.8 = npq = 156.8 = 12.520Exercise 3:1.It has been reported that 83% of federal government employees use e-mail. If sample of 200 federal government employees is selected, find the mean, variance and standard deviation of the number who use e-mail.2. A survey found that 25% of Malaysian watch movie at the cinema. Find the mean, variance and standard deviation of the number of individuals who watch movie at the cinema if a random sample of 1000 Malaysian is selected at the Bintang Walk.1.5.2POISSON DISTRIBUTIONDerived from the French mathematician Simeon D. Poisson.A discrete probability distribution that is useful when n is large and p is small and when the independent variables occur over a period of time or given area or volume. Conditional to apply the Poisson Probability Distributionx is a discrete random variableThe occurrences are randomThe occurrences are independentThe following examples show the application of the Poisson probability distribution.The number of accidents that occur on a highway given during a one-week period.The number of customers entering a grocery store during a one-hour interval.The number of television sets sold at a department store during a given week.The number of typing errors per page.A certain type of fabric made contains an average 0.5 defects per 500 yards.A.Poisson Probability Distribution FormulaAccording to the Poisson probability distribution, the probability of x occurrences in an interval is:Where; : mean number of occurrences in that intervale : approximately 2.7183Example 7:Find each probability P(X; ), using the Poisson formulaP(5;4)P(2;4)Solution:a. P(X=5) = e-4(45)/5! = 0.1563b. P(X=2) = Example 8:If there are 200 typographical errors randomly distributed in a 500-page manuscript, find the probability that a given page contains exactly three errors.Solution:Find the number of errors: = 200/500 = 0.4 (error per page) = 0.0072Exercise 4:1.On average a household receives 2 telemarketing phone calls per week. Using the Poisson distribution formula, find the probability that a randomly selected household receives: exactly six telemarketing phone calls during a given week.less than three telemarketing phone calls in one month. 2. A washing machine in a LaundryMat breaks down an average of three times per month. Using the Poisson probability distribution formula, find the probability that this machine will haveexactly two break downs per monthat most one break down per monthno break downs in 2 monthsIn an airport between 1900 and 2000 hours, the number of airplane that land follows a Poisson distribution with mean 0.9 per five minutes interval. Find the probability that the number of plane that land is:one or less between 1900 and 1905 hoursmore than three between 1915 and 1930 hoursC.Using the Table of Poisson ProbabilitiesThe probabilities for a Poisson distribution can also be read from the table of Poisson probabilities.49530154305EquallyP(X = x) = P(X ≤ x) - P(X ≤ x - 1)At mostP(X ≤ x) = P(X ≤ x) (directly from the table)Less thanP(X x) = 1 – P(X ≤ x)From x1 to x2P(x1 ≤ X ≤ x2) = P(X ≤ x2) - P(X ≤ x1 - 1)Between x1 and x2P(x1Example 9:Find the probability P(X; ); using Poisson tableP(10;7)P(9;8)Solution:a) P(X = 10) = P(X 10) – P(X 9) = 0.9015 – 0.8305 = 0.0710b) P(X = 9) = Example 10:A sales firm receives on average three calls per hour on its toll-free number. For any given hour, find the probability that it will receive the following: at most 3 calls at least 3 calls five or more calls between 1 to 4 calls in 2 hoursSolution: = 3 calls per houra) P(X 3) = 0.6472b) P(X 3) = 1 – P(X 2) = 1 – 0.4232 = 0.5768c) P(X 5) = 1 – P(X 4) = 1 – 0.8153 = 0.1847 = 6 calls in 2 hoursd) P(1 = 0.2851 – 0.0174 = 0.2677Exercise 5:1. An average of 4.8 customers comes to Malaysia Savings and Loan every half hour. Find the probability that during a given hour, the number of customer will come isexactly two at most 2nonemore than 5 in one hourSports Score Jay receives, on average, eight calls per hour requesting the latest sports score. The distribution is Poisson in nature. For any randomly selected hour, find the probability that the company will receiveat least eight callsthree or more callsat most seven calls.D.Mean and Standard Deviation of the Poisson DistributionMean, = Variance, 2 = Standard Deviation, = Example 11:An auto salesperson sells an average of 0.9 cars per day. Find the mean, variance and standard deviation of cars sold per day by this salesperson.Solution: = = 0.92 = = 0.9 = = 0.9 = 0.9487Example 12:An insurance salesperson sells an average of 1.4 policies per day.Find the probability that this salesperson will sell no insurance policy on a certain day.Find the mean, variance and standard deviation of the probability this salesperson will sell the policies per day.Solution: = 1.4 policies per day a) P(X = 0) = P(X 0) = 0.2466 b) = = 1.42 = = 1.4 = = 1.4 = 1.1832Example 13:Assuming that the number of accidents that occur in a certain company in a week has a Poisson distribution with a standard deviation of 1.4. Determine:the mean number of accidents that occur in a weekthe probability that in a week, there are no accidents.Solution: = 1.4 accidents a) = 2 = (1.4)2 = 1.96 b) P ( X = 0) = e-1.96 (1.96)0/0! = 0.14085.2CONTINUOUS DISTRIBUTIONIn Chapter 4, we defined a continuous random variable as a random variable whose values are not countable.A continuous random variable can assume any value over an interval or intervals.Because the number of values contained in any interval is infinite, the possible number of values that a continuous random variable can assume is also infinite.Example of continuous random variables:The life of battery, heights of people, time taken to complete an examination, amount of milk in a gallon, weights of babies, prices of houses.The probability distribution of continuous random variable has two characteristics:The probability that x assumes a value in any interval lies in the range 0 to 1. (Figure 1)80010011430 Figure 1: Area under a curve between two points.The total probability of all the (mutually exclusive) intervals within which x can assume a value is 1.0. (Figure 2)68580017780 Figure 2: Total area under a probability distribution.5.2.1NORMAL DISTRIBUTIONThe normal distribution is the most important and most widely used among all of probability distributions.A large number of phenomena in the real world are normally distributed either exactly or approximately.The normal probability distribution or the normal curve is a bell-shaped (symmetric) curve.Its mean is denoted by while its standard deviation is denoted by . (Figure 3)45720047625 Figure 3: Normal distribution with mean; and standard deviation; .A plotted normal probability distribution will gives a bell-shaped curve which can be illustrated likes:The total area under the curve is 1.0.5715006350The curve is symmetric about the mean.5715001270The two tails of the curve extend indefinitely which means that the curve never touch x- axis.5715002749555.2.1.1THE STANDARD NORMAL DISTRIBUTIONIs a normal distribution with = 0 and = 1.The value under the curve indicates the proportion of area in each section. (example figure 2; pg: 27)The units for the standard normal distribution curve are denoted by z and called the z values or z scores. The z value or z score is actually the number of standard deviation that a particular x value is away from the mean.The area under a standard normal distribution curve is used to solve practical application problems such as:finding the % of adult woman whose height is between 5 feet 4 inches and 5 feet 7 inches.A.Finding areas under the standard normal distribution curve571500240030The standard normal distribution table lists the areas under the standard normal curve to the left of z-values from –3.49 to 3.49.Although the z-values on the left side of the mean are negative, the area under the curve is always positive.Example 14:Find the area under the standard normal curve to the left of z = 1.95Solution:022860457200200660Note: z = 1.95 can be interpreted as area to the left of 1.95.P(z P(z The probability that a continuous random variable assumes a single value is zero. Therefore, P(z = 1.95) = 0.Exercise 7:Find the area under the standard normal curve:To the left of z = 1.56To the left of z = -2.87To the right of z = 2.45To the right of z = -1.32From z = 0.85 to z = 1.95Between z = -2.15 and z=1.67Solution:0 1.56To the left of z = 1.56P(z To the left of z = -2.87 0 2.45 To the right of z = 2.45P(z > 2.45) = 1 - P(z = 1 - 0.9929 = 0.0071To the right of z = -1.32 0.85 1.95 From z = 0.85 to z = 1.95P(0.85 z 1.95)= P(z 1.95) – P(z 0.85)= 0.9744 – 0.8023 = 0.1721Between z = -2.15 and z = 1.67B.Converting an x Value to a z ValueFor a normal variable x, a particular value of x can be converted to its corresponding z value by using the formula:z = X - where and are the mean and standard deviation of the normal distribution of x, respectively.Remember!The z value for the mean of a normal distribution is always zero.Example 14:Let x be a continuous random variable that has a normal distribution with a mean of 50 and a standard deviation of 10. Convert the following x values to z values.a)55b) 35Solution:For the given normal distribution, = 50 and =10a) The z value for x = 55 is computes as follows:z = X - = 55 – 50 = 0.50 10b) z = 35 – 50 = -1.5 10Example 15:Let x be a continuous random variable that is normally distributed with a mean of 65 and a standard deviation of 15. Find the probability that x can assumes a value:a)less than 43b)greater than 74c)between 56 and 71Solution:a) P(X = P(z 15 = P(z = 0.0708b) P(X > 74) = P(z > 74 – 65) 15 = P(z > 0.6) = 1 – P(z = 1 – 0.7257 = 0.2743c) P(71 15 15 = P(0.4 = P(z = 0.6554 – 0.2743 = 0.3811 Exercise 6:1.Let x denote the time takes to run a road race. Supposed x is approximately normally distributed with mean of 190 minutes and standard deviation of 21 minutes. If one runner is selected at random, what is the probability that this runner will complete this road race?in less than 150 minutesin 205 to 245 minutes2.The mean number of hours a student spends on the computer is 3.1 hours per day. Assume the standard deviation is 0.5 hour. Find the percentage of students who spend less than 3.5 hours on the computer. Assume the variable is normally distributed. 3. The score of 6000 candidates in a certain examination are found to be approximately normal distributed with a mean of 55 and a standard deviation of 10:If a score of 75 or more is required for passing the distinction, estimate the number of grades with distinction.Calculate the probability that a candidate selected at random has a score between 45 and 65.INTRODUCTION TO t-DISTRIBUTIONThe t distribution is very similar to the standardized normal distribution.Both distributions are bell-shaped and symmetrical.However, the t distribution has more area in the tails and less in the center than does the standardized normal distribution.This is because is unknown and S is used to estimate it.Because the value of is uncertain, the values of t that are observed will be more variable than for Z.Standard normalt distribution for 5 degrees of freedomAs the number of degrees of freedom increases, the t distribution gradually approaches the standardized normal distribution until the two are virtually identical.This happens because S becomes a better estimate of as the sample size gets larger.With a sample size of about 120 or more, S estimates precisely enough that there is little difference between the t and Z distributions.For this reason, most statisticians use Z instead of t when the sample size is greater than 120. EXERCISES10 % of the bulbs produced by a factory are defective. A sample of 5 bulbs is selected randomly and tested for defect. Find the probability thattwo bulbs are defectiveat least one bulb is defective In a university, 20 percent of the students fail the statistic test. If 20 students from the university are interviewed, what is the probability of getting:less than 3 students who fail the testmore than 3 students who fail the testexactly 4 students who fail the testA financial institution in Kuala Lumpur has offer a job as a risk analyst. For the minimum qualification, the applicant must seats for writing test. Based on the management experience, 40% of the applicants will pass the test and qualified for the interview session. There are 20 applicants who have applied for the jobs. Find the probability that there are more than 50% applicants will pass the test.An Elementary Statistic class has 75 members. If there is a 12% absentee rate per class meeting, find the mean, variance and standard deviation of the number of students who will be absent from each class.Before an umbrella leaves the factory, it is given a quality control check. The probability that an umbrella contains zero, one or two defects is 0.88, 0.08 and 0.04 respectively. In a sample of 16 umbrellas, find the probability that:9 will have no defect4 will have one defect3 will have two defectEn. Rostam is a credit officer at the Trust Bank. Based on his experience, he estimates that an average he will receive the loan application in a week is 3 applications. Find the probability that:he receives none loan application in a weekhe receives 2 until 5 loan applications in a weekat least 5 loan applications he receives in 14 days.A bookstore owner examines 5 books from each lot of 25 to check for missing pages. If he finds at least two books with missing pages, the entire lot is returned. If indeed, there are five books with missing pages, find the probability that the lot will be returned.The numbers of customers who enter shop ABC independent of one another and at random intervals follow a Poisson distribution with an average rate 42 customers per hour. Find the probability that:no customer enter the shop during a particular 1 minutes intervalat least 4 customers enter the shop during a particular 5 minutes intervalbetween 2 and 6 customers enter the shop during a particular 10-minute interval.One research has been conducted by Student’s Affair Department of Menara University regarding about the PNGK that had been obtained by final semester student for 2002/2203 session. The outcome of the research showed that the PNGK of the student is normal distributed with mean is 2.80 and standard deviation is 0.40. If one final semester student has been selected at random; Calculate the probability that the student gets PNGK from 2.00 until 3.00 Find the percentage that the student gets PNGK less than 2.00Calculate the probability that the student gets PNGK at least 3.00 Calculate the probability that the student gets PNGK more than 3.70 (first class honors). If the university has 1000 final semester student, find the number of first class honors student. 10. Encik Ahmad works as a lawyer at his own law firm which situated at Bandar Kenangan. He drives his car to go to his workplace and return back to his house everyday. The return estimated time taken to his working place is normal distributed with mean 24 minutes and standard deviation is 3.8 minutes.Calculate the probability of estimated time taken by Encik Ahmad to go to his workplace and return back to his house at least half and hour.Find the probability of estimated time taken by Encik Ahmad to go to his workplace and return back to his house from 20 minutes until 25 minutesFind the percentage that the estimated time taken by Encik Ahmad to go to his workplace and return back to his house is more than 25 minutes.Find the probability of estimated time taken by Encik Ahmad to go to his workplace and return back to his house is less than 10 minutes.The average electric bill in a residential area is RM 72 for a month of April. The standard deviation is RM 6. If the amounts of the electric bills are normally distributed, find the probability that the mean of the bill for 15 residents will be less than RM 75.Average waiting time for the customer at the bank counter to receive the service is 3.5 minutes and the standard deviation is 1.0 minutes. If 35 customers have been selected at random, what is the probability waiting time from 3.0 minutes until 4.0 minutes? Then, explain your answer. Assume X is timing for a runner to finish his 2 km run. Given X is normally distributed with mean 15 minutes and standard deviation is 3 minutes. If one runner is selected at random, find the probability that the runner can finish his 2km run in time;Less than 13 minutesNot more than 16 minutesWithin 14 minutes and 17 minutes.Given the systolic blood pressure for the obesity group has mean 132 mmHg and standard deviation 8 mmHg. Assume the variable normally distributed, find the probability an obese person that has been selected at random have a systolic blood pressure:More than 130 mmHg.Less than 140 mmHg.Between 131 mmHg and 136 mmHg.15. The number of passenger for domestic flight from Alor Setar to Kuala Lumpur is normally distributed with mean 80 and standard deviation 12. If one domestic flight is selected at random, find the probability the flight have:less than 90 passengersat least 75 passengersbetween 79 to 95 passengers