Newtons’s Laws Chapters 4&5
Learning Objectives
Table Of Contents
Chapter 4: Forces and Newton’s Laws of Motion  Section 1: Concepts of Force and Mass
Introducing Forces A force is a push or pull on an object. Forces are what cause an object to accelerate, or to change its velocity by speeding up, slowing down, or changing direction. It is important that we learn to identify all the forces acting on an object, and to draw these forces as vectors. Contact forces   arise from physical contact.
Drawing Forces What are the forces acting on a book as it rests on the table? Textbook F G Gravity pulls down on the book F T Table pushes up on the book
Two Methods of Drawing Forces Force Diagram Free Body Diagram Textbook F G F T F G F T
Sample problem: Draw a force diagram and a free body diagram for a monkey hanging motionless by two arm from two vines attached to neighboring trees.
Mass Mass   is a measure of the amount of “stuff” contained in an object. It is the measure of how much inertia an object has. Scalar value Measured in kg
Chapter 4: Forces and Newton’s Laws of Motion Section 2: Newton’s First Law of Motion
1 st  Law Of Motion - Inertia An object remains in constant motion unless acted upon by and unbalanced force It is often said that the Law of Inertia violates “common sense”. Why do you think some people say that? If there is zero net force on a body, it cannot accelerate, and therefore must move at constant velocity. This means: the body cannot turn. the body cannot speed up. The body cannot slow down.
Mass and Inertia Chemists like to define mass as the amount of “stuff” or “matter” a substance has. Physicists define  mass  as  inertia , which is the ability of a body to resist acceleration by a net force. What is the relationship between mass and inertia? Inertia  is the natural tendency of an object to remain at rest in motion at a constant speed along a straight line. The  mass  of an object is a quantitative measure of inertia.  Measured in kilograms (kg)
Net Force The net force on an object is the vector sum of all forces acting on that object. The SI unit of force is the Newton (N). Individual Forces Net Force 10 N 4 N 6 N
Net Forces Individual Forces Net Force 3 N 4 N 5 N
Question #1 When you sit on a chair, the resultant force on you is  A)  zero. B)  up. C)  down. D)  depends on your weight.  E)  depends on the angle of the chair
Question #2 If an object is moving can you conclude there are forces acting on it?  If an object is at rest, can you conclude there are no forces acting on it?  Consider each of the following situations.  In which one of the following cases, if any, are there no forces acting on the object? a)  A bolt that came loose from a satellite orbits the earth at a constant speed. b)  After a gust of wind has blown through a tree, an apple falls to the ground. c)  A man rests by leaning against a tall building in downtown Dallas. d) Sometime after her parachute opened, the sky diver fell toward the ground at a constant velocity.  e)  All of the above
Question #3 A child is driving a bumper car at an amusement park.  During one interval of the ride, she is traveling at the car’s maximum speed when she crashes into a bumper attached to one of the side walls.  During the collision, her glasses fly forward from her face.  Which of the following statements best describes why the glasses flew from her face? a)  The glasses continued moving forward because there was too little force acting on them to hold them on her face during the collision. b)  During the collision, the girl’s face pushed the glasses forward. c)  The glasses continued moving forward because the force of the air on them was less than the force of the girl’s face on them. d)  During the collision, the car pushed the girl forward causing her glasses to fly off her face. e)  During the collision, the wall pushed the car backward and the girl reacted by pushing her glasses forward.
Frame of Reference An   inertial reference frame  is one in which Newton’s law of inertia is valid. All accelerating reference frames are non-inertial. We assume earth is an inertial reference frame since the acceleration is small.
Question #4 If an object is moving can you conclude there are forces acting on it?  If an object is at rest, can you conclude there are no forces acting on it?  Consider each of the following situations.  In which one of the following cases, if any, are there no forces acting on the object? a)  A bolt that came loose from a satellite orbits the earth at a constant speed. b)  After a gust of wind has blown through a tree, an apple falls to the ground. c)  A man rests by leaning against a tall building in downtown Dallas. d)  Sometime after her parachute opened, the sky diver fell toward the ground at a constant velocity.  e)  Forces are acting on all of the objects in choices a, b, c, and d.
Question #5 A child is driving a bumper car at an amusement park.  During one interval of the ride, she is traveling at the car’s maximum speed when she crashes into a bumper attached to one of the side walls.  During the collision, her glasses fly forward from her face.  Which of the following statements best describes why the glasses flew from her face? a)  The glasses continued moving forward because there was too little force acting on them to hold them on her face during the collision. b)  During the collision, the girl’s face pushed the glasses forward. c)  The glasses continued moving forward because the force of the air on them was less than the force of the girl’s face on them. d)  During the collision, the car pushed the girl forward causing her glasses to fly off her face. e)  During the collision, the wall pushed the car backward and the girl reacted by pushing her glasses forward.
Chapter 4: Forces and Newton’s Laws of Motion Section 3: Newton’s Second Law of Motion
Newton’s 2 nd  Law Quantifies the magnitude and direction of the accelerations. When a net force is present, the acceleration of the object is proportional to the net force and inversely proportional to the mass of the object. The direction of the acceleration is the same as the direction of the net force. a c  is the constant added that “fixes” the units.  usually ignored/forgotten
SI Unit of Force SI Unit for Force This combination of units is called a  newton  (N).
Working 2nd Law Problems 1. Identify the system being accelerated. 2. Define a coordinate system. 3. Identify forces by drawing a force or free body diagram. 4. Explicitly write   F=ma 5. Replace   F with the actual forces in your free body diagram. 6. Substitute numeric values, where appropriate, and solve for unknowns.
Question #6 A car of mass  m  is moving at a speed 3 v  in the left lane on a highway.  In the right lane, a truck of mass 3 m  is moving at a speed  v.  As the car is passing the truck, the driver notices that the traffic light ahead has turned yellow.  Both drivers apply the brakes to stop ahead.  What is the ratio of the force required to stop the truck to that required to stop the car?  Assume each vehicle stops with a constant deceleration and stops in the same distance  x . a)  1/9 b)  1/3 c)  1 d)  3 e)  9
Question #7 The graph shows the velocities of two objects as a function of time.  During the intervals A, B, and C indicated, net forces  ,  , and  act on the two objects, respectively.  If the objects have equal mass, which one of the following choices is the correct relationship between the magnitudes of the three net forces? a)  F A  >  F B  =  F C b)  F C  >  F A  >  F B c)  F A  <  F B  <  F C d)  F A  =  F B  =  F C e)  F A  =  F C  >  F B
Comparison of units
So, what’s all this mean? A man stands on a scale inside a stationary elevator. Forces acting on the man Reading  on scale N mg
And then… When Moving Upward With  Constant Velocity Forces acting on the man Reading  on scale N mg v
And then… When Moving Upward With  Constant Acceleration Forces acting on the man Reading  on scale N mg a
And then… a When Moving Downward With  Constant Acceleration Forces acting on the man Reading  on scale N mg
Chapter 4: Forces and Newton’s Laws of Motion Section 4: The Vector Nature of Newton's Second Law of Motion
Section 4-The short, short version Forces are a vector Just as with velocity, acceleration, Forces that are perpendicular are independent of each other is equivalent to
Question #8 In a grocery store, you push a 14.5-kg cart with a horizontal force of 12.0 N. If the cart starts at rest, how far does it move in 3.00 seconds?
Question #9 A catcher stops a 92 mph pitch in his glove, bringing it to rest in 0.15 m. If the force exerted by the catcher is 803 N, what is the mass of the ball?
Chapter 4: Forces and Newton’s Laws of Motion Section 5: Newton’s 3 rd  Law of Motion
Newton’s Third Law For every action there exists an equal and opposite reaction. If A exerts a force F on B, then B exerts a force of -F on A.
Example Problem: You rest a book on a table. a) Identify the forces acting on the book with a free body diagram. b) Are these forces equal and opposite? c) Are these forces an action-reaction pair? Why or why not?
Requirements for Newton’s Laws The 1st and 2nd laws require that ONE system be analyzed and that ALL the forces on the system be accounted for. The 3rd law requires that TWO systems be analyzed and that the forces of interaction between the two be accounted for.
Question #10 A water skier is being pulled by a rope attached to a speed boat moving at a constant velocity.  Consider the following four forces: (1) the force of the boat pulling the rope, (2) the force of the skier pulling on the rope, (3) the force of the boat pushing the water, and (4) the force of the water pushing on the boat.  Which two forces are an “action-reaction” pair that is consistent with Newton’s third law of motion? a)  1 and 2 b)  2 and 3 c)  2 and 4 d)  3 and 4 e)  1 and 4
Question #11 A large crate is lifted vertically at constant speed by a rope attached to a helicopter.  Consider the following four forces that arise in this situation: (1) the weight of the helicopter, (2) the weight of the crate, (3) the force of the crate pulling on the earth, and (4) the force of the helicopter pulling on the rope.  Which one of the following relationships concerning the forces or their magnitudes is correct? a)  The magnitude of force 4 is greater than that of force 2. b)  The magnitude of force 4 is greater than that of force 1. c)  Forces 3 and 4 are equal in magnitude, but oppositely directed. d)  Forces 2 and 4 are equal in magnitude, but oppositely directed. e)  The magnitude of force 1 is less than that of force 2.
Question #12 An astronaut is on a spacewalk outside her ship in “gravity-free” space.  Initially, the spacecraft and astronaut are at rest with respect to each other.  Then, the astronaut pushes to the left on the spacecraft and the astronaut accelerates to the right.  Which one of the following statements concerning this situation is true? a)  The astronaut stops moving after she stops pushing on the spacecraft. b)  The velocity of the astronaut increases while she is pushing on the spacecraft. c)  The force exerted on the astronaut is larger than the force exerted on the spacecraft. d)  The spacecraft does not move, but the astronaut moves to the right with a constant speed. e)  The force exerted on the spacecraft is larger than the force exerted on the astronaut.
Chapter 4: Forces and Newton’s Laws of Motion Section 6: Types of Forces: An Overview
Two Types of Forces Fundamental Forces Always present in nature Gravitational, Strong Nuclear, Electroweak Non-fundamental Forces Present in certain situations usually as a result of Fundamental and applied forces. Normal, Tension, Friction
Natural Forces Types   Range Gravitational  Unlimited Electromagnetic  Unlimited Weak Nuclear    10  12  m Strong Nuclear    10  15  m Size 10 0 10 6 10 20 10 35
Chapter 4: Forces and Newton’s Laws of Motion Section 7: The Gravitational Force
Newton’s Law of Universal Gravitation Every particle in the universe exerts an attractive force on every other particle.  A particle is a piece of matter, small enough in size to be regarded as a mathematical point. The force that each exerts on the other is directed along the line joining the particles. For two particles that have masses  m 1  and  m 2   and are separated by a distance  r , the force has a magnitude given by:
Weight The weight of an object on or above the earth is the gravitational force that the earth exerts on the object.  The weight always acts downwards, toward the center of the earth. On or above another astronomical body, the weight is the gravitational force exerted on the object by that body.  SI Unit of Weight:  newton (N)
Relation Between Mass and Weight
On the earth’s surface
Question #13 A cannon fires a ball vertically upward from the Earth’s surface.  Which one of the following statements concerning the net force acting on the ball at the top of its trajectory is correct? a)  The net force on the ball is instantaneously equal to zero newtons at the top of the flight path. b)  The direction of the net force on the ball changes from upward to downward. c)  The net force on the ball is less than the weight, but greater than zero newtons. d)  The net force on the ball is greater than the weight of the ball. e)  The net force on the ball is equal to the weight of the ball.
Question #14 If an object at the surface of the Earth has a weight  W , what would be the weight of the object if it was transported to the surface of a planet that is one-sixth the mass of Earth and has a radius one third that of Earth? a)  3 W b)  4 W /3 c)  W d)  3 W /2 e)  W /3
Question #15 Two objects that may be considered point masses are initially separated by a distance  d .  The separation distance is then decreased to  d /3.  How does the gravitational force between these two objects change as a result of the decrease? a)  The force will not change since it is only dependent on the masses of the objects. b)  The force will be nine times larger than the initial value. c)  The force will be three times larger than the initial value. d)  The force will be one third of the initial value. e)  The force will be one ninth of the initial value.
Chapter 4: Forces and Newton’s Laws of Motion Section 8: The Normal Force
Definition of the Normal Force The normal force is one component of the force that a surface exerts on an object with which it is in contact – namely, the component that is perpendicular to the surface.
Sample Problem If you apply an 11 N force to a 15 N block which is resting on a table, what is the normal force the table exerts on the block?
What is the normal force if instead of pushing down on the 15 N block, you lift it with 11 N of force? Sample Problem
Apparent Weight What we feel as “our weight” is the normal force acting on us.
Apparent Weight apparent  weight true weight
Question #16 A free-body diagram is shown for the following situation: a force  pulls on a crate of mass  m  on a rough surface.  The diagram shows the magnitudes and directions of the forces that act on the crate in this situation.  represents the normal force on the crate,  represents the acceleration due to gravity, and  represents the frictional force.  Which one of the following expressions is equal to the magnitude of the normal force? a)  P      f  /   b)  P      f c)  P      f    mg d)  mg e)  zero
Question #17 4.8.3. Consider the three cases shown in the drawing in which the same force  is applied to a box of mass  M .  In which case(s) will the magnitude of the normal force on the box equal ( F  sin     + Mg) ? a)  Case One only b)  Case Two only c)  Case Three only d)  Cases One and Two only e)  Cases Two and Three only
Question #18 Consider the situation shown in the drawing.  Block A has a mass 1.0 kg and block B has a mass 3.0 kg.  The two blocks are connected by a very light rope of negligible mass that passes over a pulley as shown.  The coefficient of kinetic friction for the blocks on the ramp is 0.33.  The ramp is angled at     = 45  .  At time  t  = 0 s, block A is released with an initial speed of 6.0 m/s.  What is the tension in the rope? a)  11.8 N b)  7.88 N c)  15.8 N d)  13.6 N e)  9.80 N
Chapter 4: Forces and Newton’s Laws of Motion Section 9: Static and Kinetic Friction Forces
Static and Kinetic Frictional Forces When an object is in contact with a surface there is a force acting on that object. The component of this force that is parallel to the surface is called the  frictional force .
Static Friction When the two surfaces are not sliding across one another the friction is called  static friction .
Static Friction The magnitude of the static frictional force can have any value from zero up to a maximum value. is called the coefficient of static friction.
Static Friction Note that the magnitude of the frictional force does not depend on the contact area of the surfaces.
Static vs. Kinetic Friction Static friction opposes the  impending  relative motion between two objects. Kinetic friction opposes the relative sliding motion motions that actually does occur. is called the coefficient of kinetic friction.
Sample Problem If a 40 pound child is sledding on a level surface, what is the frictional force if the coefficient of friction is 0.05?
Question #19 On a rainy evening, a truck is driving along a straight, level road at 25 m/s.  The driver panics when a deer runs onto the road and locks the wheels while braking.  If the coefficient of friction for the wheel/road interface is 0.68, how far does the truck slide before it stops? a)  55 m b)  47 m c)  41 m d)  36 m e)  32 m
Question #20 Three pine blocks, each with identical mass, are sitting on a rough surface as shown.  If the same horizontal force is applied to each block, which one of the following statements is false? a)  The coefficient of kinetic friction is the same for all three blocks. b)  The magnitude of the force of kinetic friction is greater for block 3. c)  The normal force exerted by the surface is the same for all three blocks.  d)  Block 3 has the greatest apparent area in contact with the surface. e)  If the horizontal force is the minimum to start block 1 moving, then that same force could be used to start block 2 or block 3 moving.
Question #21 A 1.0-kg block is placed against a wall and is held stationary by a force of 8.0 N applied at a 45° angle as shown in the drawing.  What is the magnitude of the friction force? a)  3.7 N b)  4.1 N c)  5.8 N d)  7.0 N e)  8.0 N
Chapter 4: Forces and Newton’s Laws of Motion Section 10: The Tension Force
The Tension Force Cables and ropes transmit forces through  tension . A massless rope will transmit tension undiminished from one end to the other. If the rope passes around a massless, frictionless pulley, the tension will be transmitted to the other end of the rope undiminished.
Question #22 Some children are pulling on a rope that is raising a bucket via a pulley up to their tree house.  The bucket containing their lunch is rising at a constant velocity.  Ignoring the mass of the rope, but not ignoring air resistance, which one of the following statements concerning the tension in the rope is true? a)  The magnitude of the tension is zero newtons. b)  The direction of the tension is downward. c)  The magnitude of the tension is equal to that of the weight of the bucket. d)  The magnitude of the tension is less than that of the weight of the bucket. e)  The magnitude of the tension is greater than that of the weight of the bucket.
Question #23 One end of a string is tied to a tree branch at a height  h  above the ground.  The other end of the string, which has a length  L  =  h , is tied to a rock.  The rock is then dropped from the branch.  Which one of the following statements concerning the tension in the string is true as the rock falls? a)  The tension is independent of the magnitude of the rock’s acceleration. b)  The magnitude of the tension is equal to the weight of the rock. c)  The magnitude of the tension is less than the weight of the rock. d)  The magnitude of the tension is greater than the weight of the rock. e)  The tension increases as the speed of the rock increases as it falls.
Question #24 A rock is suspended from a string.  Barbara accelerates the rock upward with a constant acceleration by pulling on the other end of the string.  Which one of the following statements concerning the tension in the string is true? a)  The tension is independent of the magnitude of the rock’s acceleration. b)  The magnitude of the tension is equal to the weight of the rock. c)  The magnitude of the tension is less than the weight of the rock. d)  The magnitude of the tension is greater than the weight of the rock. e)  The tension decreases as the speed of the rock increases as it rises.
Chapter 4: Forces and Newton’s Laws of Motion Section 11: Equilibrium Applications of Newton’s Laws of Motion
Definition of Equilibrium An object is in equilibrium when it has zero acceleration.
Reasoning Strategy Select an object(s) to which the equations of equilibrium are to be applied.  Draw a free-body diagram for each object chosen above.  Include only forces acting on the object, not forces the object exerts on its environment. Choose a set of  x ,  y  axes for each object and resolve all forces in the free-body diagram into components that point along these axes. Apply the equations and solve for the unknown quantities.
Sample Problem The picture below shows a traction device used with a foot injury. The weight of the 2.2-kg object creates a tension in the rope that passes around the pulleys. The foot pulley is kept in equilibrium because the foot also applies a force to it. Ignoring the weight of the foot, find the magnitude of the force F .
Solution:
Question #25 Consider the following: (i) the book is at rest, (ii) the book is moving at a constant velocity, (iii) the book is moving with a constant acceleration.  Under which of these conditions is the book in equilibrium? a)  (i) only b)  (ii) only c)  (iii) only d)  (i) and (ii) only e)  (ii) and (iii) only
Question #26 A block of mass  M  is hung by ropes as shown.  The system is in equilibrium.  The point O represents the knot, the junction of the three ropes.  Which of the following statements is true concerning the magnitudes of the three forces in equilibrium? a)  F 1  +  F 2  =  F 3 b)  F 1  =  F 2  = 0.5× F 3 c)  F 1  =  F 2  =  F 3 d)  F 1  >  F 3 e)  F 2  <  F 3
Question #27 A team of dogs pulls a sled of mass 2 m  with a force  .  A second sled of mass  m  is attached by a rope and pulled behind the first sled.  The tension in the rope is  .  Assuming frictional forces are too small to consider, determine the ratio of the magnitudes of the forces  and  , that is,  P/T . a)  3 b)  2 c)  1 d)  0.5 e)  0.33
Chapter 4: Forces and Newton’s Laws of Motion Section 12: Non-equilibrium Applications of Newton’s Laws of Motion
Nonequilibrium Application of Newton’s Laws of Motion When an object is accelerating, it is not in equilibrium.
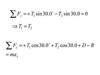
Example  14  Towing a Supertanker  A supertanker of mass  m  = 1.50 × 10 8  kg is being towed by two tugboats. The tensions in the towing cables apply forces at equal angles of 30.0° with respect to the tanker's axis. In addition, the tanker's engines produce a forward drive force, whose magnitude is  D  = 75.0 × 10 3  N. Moreover, the water applies an opposing force, whose magnitude is  R  = 40.0 × 10 3  N. The tanker moves forward with an acceleration that points along the tanker's axis and has a magnitude of 2.00 × 10 -3  m/s 2 . Find the magnitudes of the tensions.
The acceleration is along the  x  axis so
y  component x  component Force
 
 
Question #28 F v o  = 0 m  t = 5 s v   = ? F = 20 N m = 5 kg A constant force  F  acts on a block of mass  m . which is initially at rest. Find the velocity of the block after time   t .
Question #29 A force of magnitude  F  pushes a block of mass 2 m , which in turn pushes a block of mass  m  as shown.  The blocks are accelerated across a horizontal, frictionless surface.  What is the magnitude of the force that the smaller block exerts on the larger block? a)  F /3 b)  F /2 c)  F d)  2 F e)  3 F

Ch 4 Newtons’s Laws

  • 1.
  • 2.
  • 3.
  • 4.
    Chapter 4: Forcesand Newton’s Laws of Motion Section 1: Concepts of Force and Mass
  • 5.
    Introducing Forces Aforce is a push or pull on an object. Forces are what cause an object to accelerate, or to change its velocity by speeding up, slowing down, or changing direction. It is important that we learn to identify all the forces acting on an object, and to draw these forces as vectors. Contact forces arise from physical contact.
  • 6.
    Drawing Forces Whatare the forces acting on a book as it rests on the table? Textbook F G Gravity pulls down on the book F T Table pushes up on the book
  • 7.
    Two Methods ofDrawing Forces Force Diagram Free Body Diagram Textbook F G F T F G F T
  • 8.
    Sample problem: Drawa force diagram and a free body diagram for a monkey hanging motionless by two arm from two vines attached to neighboring trees.
  • 9.
    Mass Mass is a measure of the amount of “stuff” contained in an object. It is the measure of how much inertia an object has. Scalar value Measured in kg
  • 10.
    Chapter 4: Forcesand Newton’s Laws of Motion Section 2: Newton’s First Law of Motion
  • 11.
    1 st Law Of Motion - Inertia An object remains in constant motion unless acted upon by and unbalanced force It is often said that the Law of Inertia violates “common sense”. Why do you think some people say that? If there is zero net force on a body, it cannot accelerate, and therefore must move at constant velocity. This means: the body cannot turn. the body cannot speed up. The body cannot slow down.
  • 12.
    Mass and InertiaChemists like to define mass as the amount of “stuff” or “matter” a substance has. Physicists define mass as inertia , which is the ability of a body to resist acceleration by a net force. What is the relationship between mass and inertia? Inertia is the natural tendency of an object to remain at rest in motion at a constant speed along a straight line. The mass of an object is a quantitative measure of inertia. Measured in kilograms (kg)
  • 13.
    Net Force Thenet force on an object is the vector sum of all forces acting on that object. The SI unit of force is the Newton (N). Individual Forces Net Force 10 N 4 N 6 N
  • 14.
    Net Forces IndividualForces Net Force 3 N 4 N 5 N
  • 15.
    Question #1 Whenyou sit on a chair, the resultant force on you is A) zero. B) up. C) down. D) depends on your weight. E) depends on the angle of the chair
  • 16.
    Question #2 Ifan object is moving can you conclude there are forces acting on it? If an object is at rest, can you conclude there are no forces acting on it? Consider each of the following situations. In which one of the following cases, if any, are there no forces acting on the object? a) A bolt that came loose from a satellite orbits the earth at a constant speed. b) After a gust of wind has blown through a tree, an apple falls to the ground. c) A man rests by leaning against a tall building in downtown Dallas. d) Sometime after her parachute opened, the sky diver fell toward the ground at a constant velocity. e) All of the above
  • 17.
    Question #3 Achild is driving a bumper car at an amusement park. During one interval of the ride, she is traveling at the car’s maximum speed when she crashes into a bumper attached to one of the side walls. During the collision, her glasses fly forward from her face. Which of the following statements best describes why the glasses flew from her face? a) The glasses continued moving forward because there was too little force acting on them to hold them on her face during the collision. b) During the collision, the girl’s face pushed the glasses forward. c) The glasses continued moving forward because the force of the air on them was less than the force of the girl’s face on them. d) During the collision, the car pushed the girl forward causing her glasses to fly off her face. e) During the collision, the wall pushed the car backward and the girl reacted by pushing her glasses forward.
  • 18.
    Frame of ReferenceAn inertial reference frame is one in which Newton’s law of inertia is valid. All accelerating reference frames are non-inertial. We assume earth is an inertial reference frame since the acceleration is small.
  • 19.
    Question #4 Ifan object is moving can you conclude there are forces acting on it? If an object is at rest, can you conclude there are no forces acting on it? Consider each of the following situations. In which one of the following cases, if any, are there no forces acting on the object? a) A bolt that came loose from a satellite orbits the earth at a constant speed. b) After a gust of wind has blown through a tree, an apple falls to the ground. c) A man rests by leaning against a tall building in downtown Dallas. d) Sometime after her parachute opened, the sky diver fell toward the ground at a constant velocity. e) Forces are acting on all of the objects in choices a, b, c, and d.
  • 20.
    Question #5 Achild is driving a bumper car at an amusement park. During one interval of the ride, she is traveling at the car’s maximum speed when she crashes into a bumper attached to one of the side walls. During the collision, her glasses fly forward from her face. Which of the following statements best describes why the glasses flew from her face? a) The glasses continued moving forward because there was too little force acting on them to hold them on her face during the collision. b) During the collision, the girl’s face pushed the glasses forward. c) The glasses continued moving forward because the force of the air on them was less than the force of the girl’s face on them. d) During the collision, the car pushed the girl forward causing her glasses to fly off her face. e) During the collision, the wall pushed the car backward and the girl reacted by pushing her glasses forward.
  • 21.
    Chapter 4: Forcesand Newton’s Laws of Motion Section 3: Newton’s Second Law of Motion
  • 22.
    Newton’s 2 nd Law Quantifies the magnitude and direction of the accelerations. When a net force is present, the acceleration of the object is proportional to the net force and inversely proportional to the mass of the object. The direction of the acceleration is the same as the direction of the net force. a c is the constant added that “fixes” the units. usually ignored/forgotten
  • 23.
    SI Unit ofForce SI Unit for Force This combination of units is called a newton (N).
  • 24.
    Working 2nd LawProblems 1. Identify the system being accelerated. 2. Define a coordinate system. 3. Identify forces by drawing a force or free body diagram. 4. Explicitly write  F=ma 5. Replace  F with the actual forces in your free body diagram. 6. Substitute numeric values, where appropriate, and solve for unknowns.
  • 25.
    Question #6 Acar of mass m is moving at a speed 3 v in the left lane on a highway. In the right lane, a truck of mass 3 m is moving at a speed v. As the car is passing the truck, the driver notices that the traffic light ahead has turned yellow. Both drivers apply the brakes to stop ahead. What is the ratio of the force required to stop the truck to that required to stop the car? Assume each vehicle stops with a constant deceleration and stops in the same distance x . a) 1/9 b) 1/3 c) 1 d) 3 e) 9
  • 26.
    Question #7 Thegraph shows the velocities of two objects as a function of time. During the intervals A, B, and C indicated, net forces , , and act on the two objects, respectively. If the objects have equal mass, which one of the following choices is the correct relationship between the magnitudes of the three net forces? a) F A > F B = F C b) F C > F A > F B c) F A < F B < F C d) F A = F B = F C e) F A = F C > F B
  • 27.
  • 28.
    So, what’s allthis mean? A man stands on a scale inside a stationary elevator. Forces acting on the man Reading on scale N mg
  • 29.
    And then… WhenMoving Upward With Constant Velocity Forces acting on the man Reading on scale N mg v
  • 30.
    And then… WhenMoving Upward With Constant Acceleration Forces acting on the man Reading on scale N mg a
  • 31.
    And then… aWhen Moving Downward With Constant Acceleration Forces acting on the man Reading on scale N mg
  • 32.
    Chapter 4: Forcesand Newton’s Laws of Motion Section 4: The Vector Nature of Newton's Second Law of Motion
  • 33.
    Section 4-The short,short version Forces are a vector Just as with velocity, acceleration, Forces that are perpendicular are independent of each other is equivalent to
  • 34.
    Question #8 Ina grocery store, you push a 14.5-kg cart with a horizontal force of 12.0 N. If the cart starts at rest, how far does it move in 3.00 seconds?
  • 35.
    Question #9 Acatcher stops a 92 mph pitch in his glove, bringing it to rest in 0.15 m. If the force exerted by the catcher is 803 N, what is the mass of the ball?
  • 36.
    Chapter 4: Forcesand Newton’s Laws of Motion Section 5: Newton’s 3 rd Law of Motion
  • 37.
    Newton’s Third LawFor every action there exists an equal and opposite reaction. If A exerts a force F on B, then B exerts a force of -F on A.
  • 38.
    Example Problem: Yourest a book on a table. a) Identify the forces acting on the book with a free body diagram. b) Are these forces equal and opposite? c) Are these forces an action-reaction pair? Why or why not?
  • 39.
    Requirements for Newton’sLaws The 1st and 2nd laws require that ONE system be analyzed and that ALL the forces on the system be accounted for. The 3rd law requires that TWO systems be analyzed and that the forces of interaction between the two be accounted for.
  • 40.
    Question #10 Awater skier is being pulled by a rope attached to a speed boat moving at a constant velocity. Consider the following four forces: (1) the force of the boat pulling the rope, (2) the force of the skier pulling on the rope, (3) the force of the boat pushing the water, and (4) the force of the water pushing on the boat. Which two forces are an “action-reaction” pair that is consistent with Newton’s third law of motion? a) 1 and 2 b) 2 and 3 c) 2 and 4 d) 3 and 4 e) 1 and 4
  • 41.
    Question #11 Alarge crate is lifted vertically at constant speed by a rope attached to a helicopter. Consider the following four forces that arise in this situation: (1) the weight of the helicopter, (2) the weight of the crate, (3) the force of the crate pulling on the earth, and (4) the force of the helicopter pulling on the rope. Which one of the following relationships concerning the forces or their magnitudes is correct? a) The magnitude of force 4 is greater than that of force 2. b) The magnitude of force 4 is greater than that of force 1. c) Forces 3 and 4 are equal in magnitude, but oppositely directed. d) Forces 2 and 4 are equal in magnitude, but oppositely directed. e) The magnitude of force 1 is less than that of force 2.
  • 42.
    Question #12 Anastronaut is on a spacewalk outside her ship in “gravity-free” space. Initially, the spacecraft and astronaut are at rest with respect to each other. Then, the astronaut pushes to the left on the spacecraft and the astronaut accelerates to the right. Which one of the following statements concerning this situation is true? a) The astronaut stops moving after she stops pushing on the spacecraft. b) The velocity of the astronaut increases while she is pushing on the spacecraft. c) The force exerted on the astronaut is larger than the force exerted on the spacecraft. d) The spacecraft does not move, but the astronaut moves to the right with a constant speed. e) The force exerted on the spacecraft is larger than the force exerted on the astronaut.
  • 43.
    Chapter 4: Forcesand Newton’s Laws of Motion Section 6: Types of Forces: An Overview
  • 44.
    Two Types ofForces Fundamental Forces Always present in nature Gravitational, Strong Nuclear, Electroweak Non-fundamental Forces Present in certain situations usually as a result of Fundamental and applied forces. Normal, Tension, Friction
  • 45.
    Natural Forces Types Range Gravitational Unlimited Electromagnetic Unlimited Weak Nuclear  10  12 m Strong Nuclear  10  15 m Size 10 0 10 6 10 20 10 35
  • 46.
    Chapter 4: Forcesand Newton’s Laws of Motion Section 7: The Gravitational Force
  • 47.
    Newton’s Law ofUniversal Gravitation Every particle in the universe exerts an attractive force on every other particle. A particle is a piece of matter, small enough in size to be regarded as a mathematical point. The force that each exerts on the other is directed along the line joining the particles. For two particles that have masses m 1 and m 2 and are separated by a distance r , the force has a magnitude given by:
  • 48.
    Weight The weightof an object on or above the earth is the gravitational force that the earth exerts on the object. The weight always acts downwards, toward the center of the earth. On or above another astronomical body, the weight is the gravitational force exerted on the object by that body. SI Unit of Weight: newton (N)
  • 49.
  • 50.
  • 51.
    Question #13 Acannon fires a ball vertically upward from the Earth’s surface. Which one of the following statements concerning the net force acting on the ball at the top of its trajectory is correct? a) The net force on the ball is instantaneously equal to zero newtons at the top of the flight path. b) The direction of the net force on the ball changes from upward to downward. c) The net force on the ball is less than the weight, but greater than zero newtons. d) The net force on the ball is greater than the weight of the ball. e) The net force on the ball is equal to the weight of the ball.
  • 52.
    Question #14 Ifan object at the surface of the Earth has a weight W , what would be the weight of the object if it was transported to the surface of a planet that is one-sixth the mass of Earth and has a radius one third that of Earth? a) 3 W b) 4 W /3 c) W d) 3 W /2 e) W /3
  • 53.
    Question #15 Twoobjects that may be considered point masses are initially separated by a distance d . The separation distance is then decreased to d /3. How does the gravitational force between these two objects change as a result of the decrease? a) The force will not change since it is only dependent on the masses of the objects. b) The force will be nine times larger than the initial value. c) The force will be three times larger than the initial value. d) The force will be one third of the initial value. e) The force will be one ninth of the initial value.
  • 54.
    Chapter 4: Forcesand Newton’s Laws of Motion Section 8: The Normal Force
  • 55.
    Definition of theNormal Force The normal force is one component of the force that a surface exerts on an object with which it is in contact – namely, the component that is perpendicular to the surface.
  • 56.
    Sample Problem Ifyou apply an 11 N force to a 15 N block which is resting on a table, what is the normal force the table exerts on the block?
  • 57.
    What is thenormal force if instead of pushing down on the 15 N block, you lift it with 11 N of force? Sample Problem
  • 58.
    Apparent Weight Whatwe feel as “our weight” is the normal force acting on us.
  • 59.
    Apparent Weight apparent weight true weight
  • 60.
    Question #16 Afree-body diagram is shown for the following situation: a force pulls on a crate of mass m on a rough surface. The diagram shows the magnitudes and directions of the forces that act on the crate in this situation. represents the normal force on the crate, represents the acceleration due to gravity, and represents the frictional force. Which one of the following expressions is equal to the magnitude of the normal force? a) P  f /  b) P  f c) P  f  mg d) mg e) zero
  • 61.
    Question #17 4.8.3.Consider the three cases shown in the drawing in which the same force is applied to a box of mass M . In which case(s) will the magnitude of the normal force on the box equal ( F sin  + Mg) ? a) Case One only b) Case Two only c) Case Three only d) Cases One and Two only e) Cases Two and Three only
  • 62.
    Question #18 Considerthe situation shown in the drawing. Block A has a mass 1.0 kg and block B has a mass 3.0 kg. The two blocks are connected by a very light rope of negligible mass that passes over a pulley as shown. The coefficient of kinetic friction for the blocks on the ramp is 0.33. The ramp is angled at  = 45  . At time t = 0 s, block A is released with an initial speed of 6.0 m/s. What is the tension in the rope? a) 11.8 N b) 7.88 N c) 15.8 N d) 13.6 N e) 9.80 N
  • 63.
    Chapter 4: Forcesand Newton’s Laws of Motion Section 9: Static and Kinetic Friction Forces
  • 64.
    Static and KineticFrictional Forces When an object is in contact with a surface there is a force acting on that object. The component of this force that is parallel to the surface is called the frictional force .
  • 65.
    Static Friction Whenthe two surfaces are not sliding across one another the friction is called static friction .
  • 66.
    Static Friction Themagnitude of the static frictional force can have any value from zero up to a maximum value. is called the coefficient of static friction.
  • 67.
    Static Friction Notethat the magnitude of the frictional force does not depend on the contact area of the surfaces.
  • 68.
    Static vs. KineticFriction Static friction opposes the impending relative motion between two objects. Kinetic friction opposes the relative sliding motion motions that actually does occur. is called the coefficient of kinetic friction.
  • 69.
    Sample Problem Ifa 40 pound child is sledding on a level surface, what is the frictional force if the coefficient of friction is 0.05?
  • 70.
    Question #19 Ona rainy evening, a truck is driving along a straight, level road at 25 m/s. The driver panics when a deer runs onto the road and locks the wheels while braking. If the coefficient of friction for the wheel/road interface is 0.68, how far does the truck slide before it stops? a) 55 m b) 47 m c) 41 m d) 36 m e) 32 m
  • 71.
    Question #20 Threepine blocks, each with identical mass, are sitting on a rough surface as shown. If the same horizontal force is applied to each block, which one of the following statements is false? a) The coefficient of kinetic friction is the same for all three blocks. b) The magnitude of the force of kinetic friction is greater for block 3. c) The normal force exerted by the surface is the same for all three blocks. d) Block 3 has the greatest apparent area in contact with the surface. e) If the horizontal force is the minimum to start block 1 moving, then that same force could be used to start block 2 or block 3 moving.
  • 72.
    Question #21 A1.0-kg block is placed against a wall and is held stationary by a force of 8.0 N applied at a 45° angle as shown in the drawing. What is the magnitude of the friction force? a) 3.7 N b) 4.1 N c) 5.8 N d) 7.0 N e) 8.0 N
  • 73.
    Chapter 4: Forcesand Newton’s Laws of Motion Section 10: The Tension Force
  • 74.
    The Tension ForceCables and ropes transmit forces through tension . A massless rope will transmit tension undiminished from one end to the other. If the rope passes around a massless, frictionless pulley, the tension will be transmitted to the other end of the rope undiminished.
  • 75.
    Question #22 Somechildren are pulling on a rope that is raising a bucket via a pulley up to their tree house. The bucket containing their lunch is rising at a constant velocity. Ignoring the mass of the rope, but not ignoring air resistance, which one of the following statements concerning the tension in the rope is true? a) The magnitude of the tension is zero newtons. b) The direction of the tension is downward. c) The magnitude of the tension is equal to that of the weight of the bucket. d) The magnitude of the tension is less than that of the weight of the bucket. e) The magnitude of the tension is greater than that of the weight of the bucket.
  • 76.
    Question #23 Oneend of a string is tied to a tree branch at a height h above the ground. The other end of the string, which has a length L = h , is tied to a rock. The rock is then dropped from the branch. Which one of the following statements concerning the tension in the string is true as the rock falls? a) The tension is independent of the magnitude of the rock’s acceleration. b) The magnitude of the tension is equal to the weight of the rock. c) The magnitude of the tension is less than the weight of the rock. d) The magnitude of the tension is greater than the weight of the rock. e) The tension increases as the speed of the rock increases as it falls.
  • 77.
    Question #24 Arock is suspended from a string. Barbara accelerates the rock upward with a constant acceleration by pulling on the other end of the string. Which one of the following statements concerning the tension in the string is true? a) The tension is independent of the magnitude of the rock’s acceleration. b) The magnitude of the tension is equal to the weight of the rock. c) The magnitude of the tension is less than the weight of the rock. d) The magnitude of the tension is greater than the weight of the rock. e) The tension decreases as the speed of the rock increases as it rises.
  • 78.
    Chapter 4: Forcesand Newton’s Laws of Motion Section 11: Equilibrium Applications of Newton’s Laws of Motion
  • 79.
    Definition of EquilibriumAn object is in equilibrium when it has zero acceleration.
  • 80.
    Reasoning Strategy Selectan object(s) to which the equations of equilibrium are to be applied. Draw a free-body diagram for each object chosen above. Include only forces acting on the object, not forces the object exerts on its environment. Choose a set of x , y axes for each object and resolve all forces in the free-body diagram into components that point along these axes. Apply the equations and solve for the unknown quantities.
  • 81.
    Sample Problem Thepicture below shows a traction device used with a foot injury. The weight of the 2.2-kg object creates a tension in the rope that passes around the pulleys. The foot pulley is kept in equilibrium because the foot also applies a force to it. Ignoring the weight of the foot, find the magnitude of the force F .
  • 82.
  • 83.
    Question #25 Considerthe following: (i) the book is at rest, (ii) the book is moving at a constant velocity, (iii) the book is moving with a constant acceleration. Under which of these conditions is the book in equilibrium? a) (i) only b) (ii) only c) (iii) only d) (i) and (ii) only e) (ii) and (iii) only
  • 84.
    Question #26 Ablock of mass M is hung by ropes as shown. The system is in equilibrium. The point O represents the knot, the junction of the three ropes. Which of the following statements is true concerning the magnitudes of the three forces in equilibrium? a) F 1 + F 2 = F 3 b) F 1 = F 2 = 0.5× F 3 c) F 1 = F 2 = F 3 d) F 1 > F 3 e) F 2 < F 3
  • 85.
    Question #27 Ateam of dogs pulls a sled of mass 2 m with a force . A second sled of mass m is attached by a rope and pulled behind the first sled. The tension in the rope is . Assuming frictional forces are too small to consider, determine the ratio of the magnitudes of the forces and , that is, P/T . a) 3 b) 2 c) 1 d) 0.5 e) 0.33
  • 86.
    Chapter 4: Forcesand Newton’s Laws of Motion Section 12: Non-equilibrium Applications of Newton’s Laws of Motion
  • 87.
    Nonequilibrium Application ofNewton’s Laws of Motion When an object is accelerating, it is not in equilibrium.
  • 88.
    Example  14  Towing a Supertanker A supertanker of mass m = 1.50 × 10 8 kg is being towed by two tugboats. The tensions in the towing cables apply forces at equal angles of 30.0° with respect to the tanker's axis. In addition, the tanker's engines produce a forward drive force, whose magnitude is D = 75.0 × 10 3 N. Moreover, the water applies an opposing force, whose magnitude is R = 40.0 × 10 3 N. The tanker moves forward with an acceleration that points along the tanker's axis and has a magnitude of 2.00 × 10 -3 m/s 2 . Find the magnitudes of the tensions.
  • 89.
    The acceleration isalong the x axis so
  • 90.
    y componentx component Force
  • 91.
  • 92.
  • 93.
    Question #28 Fv o = 0 m  t = 5 s v = ? F = 20 N m = 5 kg A constant force F acts on a block of mass m . which is initially at rest. Find the velocity of the block after time  t .
  • 94.
    Question #29 Aforce of magnitude F pushes a block of mass 2 m , which in turn pushes a block of mass m as shown. The blocks are accelerated across a horizontal, frictionless surface. What is the magnitude of the force that the smaller block exerts on the larger block? a) F /3 b) F /2 c) F d) 2 F e) 3 F