Newtonian Mechanics Chapter 3   Kinematics in Two Dimensions
Learning Objectives Newtonian Mechanics-Kinematics I. A.2.  Motion in two dimensions, including projectile motion   Students should be able to add, subtract, and resolve displacement and velocity vectors, so they can: Determine components of a vector along two specified, mutually perpendicular axes. Determine the net displacement of a particle or the location of a particle relative to another. Determine the change in velocity of a particle or the velocity of one particle relative to another. Students should understand the motion of projectiles in a uniform gravitational field, so they can: Write down expressions for the horizontal and vertical components of velocity and position as functions of time, and sketch or identify graphs of these components. Use these expressions in analyzing the motion of a projectile that is projected with an arbitrary initial velocity.
Table of Contents 3.1 Displacement, Velocity and Acceleration 3.2 Equations of Kinematics in Two Dimensions 3.3 Projectile Motion 3.4 Relative Velocity
Chapter 3 Motion in Two Dimensions Section 1: Displacement, Velocity, and Acceleration
Motion in Two Dimensions How do we describe an object moving across a surface (x & y directions)? Similar to how we described motion along a line. Define a reference point, axes of measurement, and positive directions. Each Dimension is independent of the other Think Etch-a-Sketch
Ahhh the memories…
Displacement
Velocity Average velocity  is the  displacement divided by  the elapsed time.
Velocity The  instantaneous velocity  indicates how fast the car moves and the direction of motion at each instant of time.
Acceleration DEFINITION OF AVERAGE ACCELERATION
Question #1 A truck drives due south for 1.2 km in 1.5 minutes.  Then, the truck turns and drives 1.2 km due west for 1.5 minutes.  Which one of the following statements is correct? a)  The average speed for the two segments is the same.  The average velocity for the two segments is the same. b)  The average speed for the two segments is not the same.  The average velocity for the two segments is the same. c)  The average speed for the two segments is the same.  The average velocity for the two segments is not the same. d)  The average speed for the two segments is not the same.  The average velocity for the two segments is not the same.
Question #2 A ball is rolling down one hill and up another as shown.  Points A and B are at the same height.  How do the velocity and acceleration change as the ball rolls from point A to point B? a)  The velocity and acceleration are the same at both points. b)  The velocity and the magnitude of the acceleration are the same at both points, but the direction of the acceleration is opposite at B to the direction it had at A. c)  The acceleration and the magnitude of the velocity are the same at both points, but the direction of the velocity is opposite at B to the direction it had at A. d)  The horizontal component of the velocity is the same at points A and B, but the vertical component of the velocity has the same magnitude, but the opposite sign at B.  The acceleration at points A and B is the same. e)  The vertical component of the velocity is the same at points A and B, but the horizontal component of the velocity has the same magnitude, but the opposite sign at B.  The acceleration at points A and B has the same magnitude, but opposite direction.
Chapter 3 Motion in Two Dimensions Section 2: Equations of Kinematics in Two Dimensions
Quick Review Equations of Kinematics
Keys to Solving 2-D Problems Resolve all vectors into components x-component Y-component Work the problem as two one-dimensional problems. Each dimension can obey different equations of motion. Re-combine the results for the two components at the end of the problem.
x component
y component
Actual motion The x part of the motion occurs exactly as it would if the y part did not occur at all, and vice versa. Remember the bullet drop video!
Example 1   A Moving Spacecraft In the  x  direction, the spacecraft has an initial velocity component of +22 m/s and an acceleration of +24 m/s 2 .  In the  y  direction, the analogous quantities are +14 m/s and an acceleration of +12 m/s 2 .  Find (a)   x  and v x , (b)   y  and  v y , and (c) the final velocity of the spacecraft at time 7.0 s.
Example 1   A Moving Spacecraft In the  x  direction, the spacecraft has an initial velocity component of +22 m/s and an acceleration of +24 m/s 2 .  In the  y  direction, the analogous quantities are +14 m/s and an acceleration of +12 m/s 2 .  Find (a)     x  and v x , (b)     y  and  v y , and (c) the final velocity of the spacecraft at time 7.0 s.  x a x v x v ox t ? +24.0 m/s 2 ? +22 m/s 7.0 s  y a y v y v oy t ? +12.0 m/s 2 ? +14 m/s 7.0 s
x component  x a x v x v ox t ? +24.0 m/s 2 ? +22 m/s 7.0 s
y component  y a y v y v oy t ? +12.0 m/s 2 ? +14 m/s 7.0 s
Resultant velocity
Question #3 An eagle takes off from a tree branch on the side of a mountain and flies due west for 225 m in 19 s.  Spying a mouse on the ground to the west, the eagle dives 441 m at an angle of 65   relative to the horizontal direction for 11 s to catch the mouse.  Determine the eagle’s average velocity for the thirty second interval. a)  19 m/s at 44   below the horizontal direction b)  22 m/s at 65   below the horizontal direction c)  19 m/s at 65   below the horizontal direction d)  22 m/s at 44   below the horizontal direction e)  25 m/s at 27   below the horizontal direction
Question #4 In two-dimensional motion in the  x-y  plane, what is the relationship between the  x  part of the motion to the  y  part of the motion? a)  The  x  part of the motion is independent of the  y  part of the motion. b)  The  y  part of the motion goes as the square of the  x  part of the motion. c)  The  x  part of the motion is linearly dependent on the  y  part of the motion. d)  The  x  part of the motion goes as the square of the  y  part of the motion. e)  If the  y  part of the motion is in the vertical direction, then  x  part of the motion is dependent on the  y  part.
Question #5 Complete the following statement: In two-dimensional motion in the  x - y  plane, the  x  part of the motion and the  y  part of the motion are independent a)  only if there is no acceleration in either direction. b)  only if there is no acceleration in one of the directions. c)  only if there is an acceleration in both directions. d)  whether or not there is an acceleration in any direction. e)  whenever the acceleration is in the  y  direction only.
Question #6 A roller coaster car rolls from rest down a 20 o  incline with an acceleration of 5.0 m/s 2 How far horizontally has the coaster travelled in 10 seconds? a = 5.0 m/s 2 a a x a y 
Question #7 A roller coaster car rolls from rest down a 20 o  incline with an acceleration of 5.0 m/s 2 How far vertically has the coaster travelled in 10 seconds? a = 5.0 m/s 2 a a x a y 
Question #8 Jackson heads east at 25 km/h for 20 minutes before heading south at 45 km/h for 20 minutes.  Hunter heads south at 45 km/h for 10 minutes before heading east at 25 km/h for 30 minutes.  Which driver has the greater average velocity, if either? a)  Jackson b)  Hunter c)  They both have the same average velocity.
Chapter 3 Motion in Two Dimensions Section 3: Projectile Motion
Projectile Motion Something is fired, thrown, shot, or hurled near the Earth’s surface Horizontal velocity is constant a x  = 0, v o,x  = v x Vertical velocity is accelerated a y  = g = 9.80665 m/s 2   ≈ 10 m/s 2  (constant) Air resistance is ignored If launch angle is not horizontal or vertical must resolve initial velocity into x and y components
Example 3  A Falling Care Package The airplane is moving horizontally with a constant velocity of  +115 m/s at an altitude of 1050 m.  Determine the time required for the care package to hit the ground.
 y a y v y v oy t -1050 m -9.80 m/s 2 0 m/s ?
0  y a y v y v oy t -1050 m -9.80 m/s 2 0 m/s ?
Example 4  The Velocity of the Care Package A plane is moving horizontally with a constant velocity of 115 m/s at an altitude of 1050 m.  Ignoring air resistance, determine the velocity of a package just before it hits the ground.
 y a y v v o,y v o,x t -1050 m -9.80 m/s 2 ? 0 m/s 115 m/s 14.6 s
Conceptual Example 5 I Shot a Bullet into the Air… Suppose you are driving a convertible with the top down.  The car is moving to the right at constant velocity.  You point a rifle straight up into the air and fire it.  In the absence of air resistance, where would the bullet land – (a) behind you (b) ahead of you  (c) in the barrel of the rifle
Example 6  The Height of a Kickoff A placekicker kicks a football at and angle of 40.0 degrees and the initial speed of the ball is 22 m/s.  Ignoring air resistance,  determine the maximum height that the ball attains.
 
 y a y v y v oy t ? -9.80 m/s 2 0 14 m/s
3.3  Projectile Motion  y a y v y v oy t ? -9.80 m/s 2 0 14 m/s
Example 7  The Time of Flight of a Kickoff What is the time of flight between kickoff and landing?
 y a y v y v oy t 0 -9.80 m/s 2 14 m/s ?
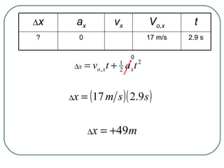
Example 8  The Range of a Kickoff Calculate the range R of the projectile.
0  x a x v x V o,x t ? 0 17 m/s 2.9 s
Question #9 A diver running 1.8 m/s  dives out horizontally from the edge of a vertical cliff and 3.0 s later reaches the water below.  How high was the cliff? h d v
Question #10 A diver running 1.8 m/s  dives out horizontally from the edge of a vertical cliff and 3.0 s later reaches the water below. How far from its base did the diver hit the water? h d v
Question #11 When a football in a field goal attempt reaches its maximum height, how does its speed compare to its initial speed? a)  It is zero. b)  It is equal to its initial speed. c)  It is greater than its initial speed. d)  It is less than its initial speed.
Question #12 The Zambezi River flows over Victoria Falls in Africa. The falls are approximately 108 m high. If the river is flowing horizontally at 3.6 m/s just before going over the falls, what is the speed of the water when it hits the bottom? Assume the water is in freefall as it drops.
Question #13 An astronaut on the planet Zircon tosses a rock horizontally with a speed of 6.75 m/s. The rock falls a distance of 1.20 m and lands a horizontal distance of 8.95 m from the astronaut. What is the acceleration due to gravity on Zircon?
For The Adventurous  Here are some more advanced equations.  They are not given on the equation sheet You are free to use them if they are “memorized” You can have programs stored in your calc Unlikely you will need them, but…
Vertical Position Equation  v o h x y Vertical Position as a function of v o ,   , and horizontal position 0
Maximum Height Equation for the maximum  Height of a projectile. At max height, v y  = 0  v o h
Range Equation  v o d
Chapter 3 Motion in Two Dimensions Section 4: Relative Velocity
Relative Motion Problems Describe motion of an object from some fixed point Relative motion problems are difficult to do unless one applies vector addition concepts Define a vector for an object velocity relative to the fluid, and another for the velocity of the fluid relative to the observer. Add two vectors together.
velocity of person relative to the ground velocity of person relative to the train velocity of train relative to the ground
Example 11   Crossing a River The engine of a boat drives it across a river that is 1800m wide. The velocity of the boat relative to the water is 4.0m/s directed  perpendicular to the current.  The velocity of the water relative to the shore is 2.0m/s. (a)  What is the velocity of the  boat relative to the shore? (b)  How long does it take for  the boat to cross the river?
 x v BW v WS v BS t 1800m 4.0m/s 2.0m/s ? ?
0  x v BW v WS t 1800m 4.0m/s 2.0m/s ?
Question #14 You are trying to cross a river that flows due south with a strong current.  You start out in your motorboat on the east bank desiring to reach the west bank directly west from your starting point.  You should head your motorboat a)  due west. b)  due north. c)  in a southwesterly direction. d)  in a northwesterly direction.
Question #15 At an air show, three planes are flying horizontally due east.  The velocity of plane A relative to plane B is  v AB ; the velocity of plane A relative to plane C is  v AC ; and the velocity of plane B relative to plane C is  v BC .  Determine  v AB  if  v AC  = +10 m/s and  v BC  = +20 m/s? a)   10 m/s b)  +10 m/s c)   20 m/s d)  +20 m/s e)  zero m/s
Question #16 A train is traveling due east at a speed of 26.8 m/s relative to the ground.  A passenger is walking toward the front of the train at a speed of 1.7 m/s relative to the train.  Directly overhead the train is a plane flying horizontally due west at a speed of 257.0 m/s relative to the ground.  What is the horizontal component of the velocity of the airplane with respect to the passenger on the train? a)  258.7 m/s, due west b)  285.5 m/s, due west c)  226.8 m/s, due west d)  231.9 m/s, due west e)  257.0 m/s, due west
Question #17 Sailors are throwing a football on the deck of an aircraft carrier as it is sailing with a constant velocity due east.  Sailor A is standing on the west side of the flight deck while sailor B is standing on the east side.  Sailors on the deck of another aircraft carrier that is stationary are watching the football as it is being tossed back and forth as the first carrier passes.  Assume that sailors A and B throw the football with the same initial speed at the same launch angle with respect to the horizontal, do the sailors on the stationary carrier see the football follow the same parabolic trajectory as the ball goes east to west as it does when it goes west to east? a)  Yes, to the stationary sailors, the trajectory the ball follows is the same whether it is traveling west to east or east to west. b)  No, to the stationary sailors, the length of the trajectory appears shorter as it travels west to east than when it travels east to west. c)  No, to the stationary sailors, the ball appears to be in the air for a much longer time when it is traveling west to east than when it travels east to west. d)  No, to the stationary sailors, the length of the trajectory appears longer as it travels west to east than when it travels east to west. e)  No, to the stationary sailors, the ball appears to be in the air for a much shorter time when it is traveling west to east than when it travels east to west.
Question #18 Cars A and B are moving away from each other as car A moves due north at 25 m/s with respect to the ground and car B moves due south at 15 m/s with respect to the ground.  What are the velocities of the other car according to the two drivers? a)  Car A is moving due north at 25 m/s; and car B is moving due south at 15 m/s. b)  Car A is moving due south at 25 m/s; and car B is moving due north at 15 m/s. c)  Car A is moving due north at 40 m/s; and car B is moving due south at 40 m/s. d)  Car A is moving due south at 40 m/s and car B is moving due north at 40 m/s. e)  Car A is moving due north at 15 m/s and car B is moving due south at 25 m/s.
Question #19 John always paddles his canoe at constant speed  v  with respect to the still water of a river.  One day, the river current was due west and was moving at a constant speed that was close to  v  with respect to that of still water.  John decided to see whether making a round trip across the river and back, a north-south trip, would be faster than making a round trip an equal distance east-west.  What was the result of John’s test? a)  The time for the north-south trip was greater than the time for the east-west trip. b)  The time for the north-south trip was less than the time for the east-west trip. c)  The time for the north-south trip was equal to the time for the east-west trip. d)  One cannot tell because the exact speed of the river with respect to still water is not given.
Question #20 A boat attempts to cross a river.  The boat’s speed with respect to the water is 12.0 m/s.  The speed of the river current with respect to the river bank is 6.0 m/s.  At what angle should the boat be directed so that it crosses the river to a point directly across from its starting point? 6.0m/s 12.0m/s 
END

Ch 3 Two Dimensional Kinematics

  • 1.
    Newtonian Mechanics Chapter3 Kinematics in Two Dimensions
  • 2.
    Learning Objectives NewtonianMechanics-Kinematics I. A.2. Motion in two dimensions, including projectile motion Students should be able to add, subtract, and resolve displacement and velocity vectors, so they can: Determine components of a vector along two specified, mutually perpendicular axes. Determine the net displacement of a particle or the location of a particle relative to another. Determine the change in velocity of a particle or the velocity of one particle relative to another. Students should understand the motion of projectiles in a uniform gravitational field, so they can: Write down expressions for the horizontal and vertical components of velocity and position as functions of time, and sketch or identify graphs of these components. Use these expressions in analyzing the motion of a projectile that is projected with an arbitrary initial velocity.
  • 3.
    Table of Contents3.1 Displacement, Velocity and Acceleration 3.2 Equations of Kinematics in Two Dimensions 3.3 Projectile Motion 3.4 Relative Velocity
  • 4.
    Chapter 3 Motionin Two Dimensions Section 1: Displacement, Velocity, and Acceleration
  • 5.
    Motion in TwoDimensions How do we describe an object moving across a surface (x & y directions)? Similar to how we described motion along a line. Define a reference point, axes of measurement, and positive directions. Each Dimension is independent of the other Think Etch-a-Sketch
  • 6.
  • 7.
  • 8.
    Velocity Average velocity is the displacement divided by the elapsed time.
  • 9.
    Velocity The instantaneous velocity indicates how fast the car moves and the direction of motion at each instant of time.
  • 10.
    Acceleration DEFINITION OFAVERAGE ACCELERATION
  • 11.
    Question #1 Atruck drives due south for 1.2 km in 1.5 minutes. Then, the truck turns and drives 1.2 km due west for 1.5 minutes. Which one of the following statements is correct? a) The average speed for the two segments is the same. The average velocity for the two segments is the same. b) The average speed for the two segments is not the same. The average velocity for the two segments is the same. c) The average speed for the two segments is the same. The average velocity for the two segments is not the same. d) The average speed for the two segments is not the same. The average velocity for the two segments is not the same.
  • 12.
    Question #2 Aball is rolling down one hill and up another as shown. Points A and B are at the same height. How do the velocity and acceleration change as the ball rolls from point A to point B? a) The velocity and acceleration are the same at both points. b) The velocity and the magnitude of the acceleration are the same at both points, but the direction of the acceleration is opposite at B to the direction it had at A. c) The acceleration and the magnitude of the velocity are the same at both points, but the direction of the velocity is opposite at B to the direction it had at A. d) The horizontal component of the velocity is the same at points A and B, but the vertical component of the velocity has the same magnitude, but the opposite sign at B. The acceleration at points A and B is the same. e) The vertical component of the velocity is the same at points A and B, but the horizontal component of the velocity has the same magnitude, but the opposite sign at B. The acceleration at points A and B has the same magnitude, but opposite direction.
  • 13.
    Chapter 3 Motionin Two Dimensions Section 2: Equations of Kinematics in Two Dimensions
  • 14.
  • 15.
    Keys to Solving2-D Problems Resolve all vectors into components x-component Y-component Work the problem as two one-dimensional problems. Each dimension can obey different equations of motion. Re-combine the results for the two components at the end of the problem.
  • 16.
  • 17.
  • 18.
    Actual motion Thex part of the motion occurs exactly as it would if the y part did not occur at all, and vice versa. Remember the bullet drop video!
  • 19.
    Example 1 A Moving Spacecraft In the x direction, the spacecraft has an initial velocity component of +22 m/s and an acceleration of +24 m/s 2 . In the y direction, the analogous quantities are +14 m/s and an acceleration of +12 m/s 2 . Find (a)  x and v x , (b)  y and v y , and (c) the final velocity of the spacecraft at time 7.0 s.
  • 20.
    Example 1 A Moving Spacecraft In the x direction, the spacecraft has an initial velocity component of +22 m/s and an acceleration of +24 m/s 2 . In the y direction, the analogous quantities are +14 m/s and an acceleration of +12 m/s 2 . Find (a)  x and v x , (b)  y and v y , and (c) the final velocity of the spacecraft at time 7.0 s.  x a x v x v ox t ? +24.0 m/s 2 ? +22 m/s 7.0 s  y a y v y v oy t ? +12.0 m/s 2 ? +14 m/s 7.0 s
  • 21.
    x component x a x v x v ox t ? +24.0 m/s 2 ? +22 m/s 7.0 s
  • 22.
    y component y a y v y v oy t ? +12.0 m/s 2 ? +14 m/s 7.0 s
  • 23.
  • 24.
    Question #3 Aneagle takes off from a tree branch on the side of a mountain and flies due west for 225 m in 19 s. Spying a mouse on the ground to the west, the eagle dives 441 m at an angle of 65  relative to the horizontal direction for 11 s to catch the mouse. Determine the eagle’s average velocity for the thirty second interval. a) 19 m/s at 44  below the horizontal direction b) 22 m/s at 65  below the horizontal direction c) 19 m/s at 65  below the horizontal direction d) 22 m/s at 44  below the horizontal direction e) 25 m/s at 27  below the horizontal direction
  • 25.
    Question #4 Intwo-dimensional motion in the x-y plane, what is the relationship between the x part of the motion to the y part of the motion? a) The x part of the motion is independent of the y part of the motion. b) The y part of the motion goes as the square of the x part of the motion. c) The x part of the motion is linearly dependent on the y part of the motion. d) The x part of the motion goes as the square of the y part of the motion. e) If the y part of the motion is in the vertical direction, then x part of the motion is dependent on the y part.
  • 26.
    Question #5 Completethe following statement: In two-dimensional motion in the x - y plane, the x part of the motion and the y part of the motion are independent a) only if there is no acceleration in either direction. b) only if there is no acceleration in one of the directions. c) only if there is an acceleration in both directions. d) whether or not there is an acceleration in any direction. e) whenever the acceleration is in the y direction only.
  • 27.
    Question #6 Aroller coaster car rolls from rest down a 20 o incline with an acceleration of 5.0 m/s 2 How far horizontally has the coaster travelled in 10 seconds? a = 5.0 m/s 2 a a x a y 
  • 28.
    Question #7 Aroller coaster car rolls from rest down a 20 o incline with an acceleration of 5.0 m/s 2 How far vertically has the coaster travelled in 10 seconds? a = 5.0 m/s 2 a a x a y 
  • 29.
    Question #8 Jacksonheads east at 25 km/h for 20 minutes before heading south at 45 km/h for 20 minutes. Hunter heads south at 45 km/h for 10 minutes before heading east at 25 km/h for 30 minutes. Which driver has the greater average velocity, if either? a) Jackson b) Hunter c) They both have the same average velocity.
  • 30.
    Chapter 3 Motionin Two Dimensions Section 3: Projectile Motion
  • 31.
    Projectile Motion Somethingis fired, thrown, shot, or hurled near the Earth’s surface Horizontal velocity is constant a x = 0, v o,x = v x Vertical velocity is accelerated a y = g = 9.80665 m/s 2 ≈ 10 m/s 2 (constant) Air resistance is ignored If launch angle is not horizontal or vertical must resolve initial velocity into x and y components
  • 32.
    Example 3 A Falling Care Package The airplane is moving horizontally with a constant velocity of +115 m/s at an altitude of 1050 m. Determine the time required for the care package to hit the ground.
  • 33.
     y ay v y v oy t -1050 m -9.80 m/s 2 0 m/s ?
  • 34.
    0  ya y v y v oy t -1050 m -9.80 m/s 2 0 m/s ?
  • 35.
    Example 4 The Velocity of the Care Package A plane is moving horizontally with a constant velocity of 115 m/s at an altitude of 1050 m. Ignoring air resistance, determine the velocity of a package just before it hits the ground.
  • 36.
     y ay v v o,y v o,x t -1050 m -9.80 m/s 2 ? 0 m/s 115 m/s 14.6 s
  • 37.
    Conceptual Example 5I Shot a Bullet into the Air… Suppose you are driving a convertible with the top down. The car is moving to the right at constant velocity. You point a rifle straight up into the air and fire it. In the absence of air resistance, where would the bullet land – (a) behind you (b) ahead of you (c) in the barrel of the rifle
  • 38.
    Example 6 The Height of a Kickoff A placekicker kicks a football at and angle of 40.0 degrees and the initial speed of the ball is 22 m/s. Ignoring air resistance, determine the maximum height that the ball attains.
  • 39.
  • 40.
     y ay v y v oy t ? -9.80 m/s 2 0 14 m/s
  • 41.
    3.3 ProjectileMotion  y a y v y v oy t ? -9.80 m/s 2 0 14 m/s
  • 42.
    Example 7 The Time of Flight of a Kickoff What is the time of flight between kickoff and landing?
  • 43.
     y ay v y v oy t 0 -9.80 m/s 2 14 m/s ?
  • 44.
    Example 8 The Range of a Kickoff Calculate the range R of the projectile.
  • 45.
    0  xa x v x V o,x t ? 0 17 m/s 2.9 s
  • 46.
    Question #9 Adiver running 1.8 m/s dives out horizontally from the edge of a vertical cliff and 3.0 s later reaches the water below. How high was the cliff? h d v
  • 47.
    Question #10 Adiver running 1.8 m/s dives out horizontally from the edge of a vertical cliff and 3.0 s later reaches the water below. How far from its base did the diver hit the water? h d v
  • 48.
    Question #11 Whena football in a field goal attempt reaches its maximum height, how does its speed compare to its initial speed? a) It is zero. b) It is equal to its initial speed. c) It is greater than its initial speed. d) It is less than its initial speed.
  • 49.
    Question #12 TheZambezi River flows over Victoria Falls in Africa. The falls are approximately 108 m high. If the river is flowing horizontally at 3.6 m/s just before going over the falls, what is the speed of the water when it hits the bottom? Assume the water is in freefall as it drops.
  • 50.
    Question #13 Anastronaut on the planet Zircon tosses a rock horizontally with a speed of 6.75 m/s. The rock falls a distance of 1.20 m and lands a horizontal distance of 8.95 m from the astronaut. What is the acceleration due to gravity on Zircon?
  • 51.
    For The Adventurous Here are some more advanced equations. They are not given on the equation sheet You are free to use them if they are “memorized” You can have programs stored in your calc Unlikely you will need them, but…
  • 52.
    Vertical Position Equation v o h x y Vertical Position as a function of v o ,  , and horizontal position 0
  • 53.
    Maximum Height Equationfor the maximum Height of a projectile. At max height, v y = 0  v o h
  • 54.
  • 55.
    Chapter 3 Motionin Two Dimensions Section 4: Relative Velocity
  • 56.
    Relative Motion ProblemsDescribe motion of an object from some fixed point Relative motion problems are difficult to do unless one applies vector addition concepts Define a vector for an object velocity relative to the fluid, and another for the velocity of the fluid relative to the observer. Add two vectors together.
  • 57.
    velocity of personrelative to the ground velocity of person relative to the train velocity of train relative to the ground
  • 58.
    Example 11 Crossing a River The engine of a boat drives it across a river that is 1800m wide. The velocity of the boat relative to the water is 4.0m/s directed perpendicular to the current. The velocity of the water relative to the shore is 2.0m/s. (a) What is the velocity of the boat relative to the shore? (b) How long does it take for the boat to cross the river?
  • 59.
     x vBW v WS v BS t 1800m 4.0m/s 2.0m/s ? ?
  • 60.
    0  xv BW v WS t 1800m 4.0m/s 2.0m/s ?
  • 61.
    Question #14 Youare trying to cross a river that flows due south with a strong current. You start out in your motorboat on the east bank desiring to reach the west bank directly west from your starting point. You should head your motorboat a) due west. b) due north. c) in a southwesterly direction. d) in a northwesterly direction.
  • 62.
    Question #15 Atan air show, three planes are flying horizontally due east. The velocity of plane A relative to plane B is v AB ; the velocity of plane A relative to plane C is v AC ; and the velocity of plane B relative to plane C is v BC . Determine v AB if v AC = +10 m/s and v BC = +20 m/s? a)  10 m/s b) +10 m/s c)  20 m/s d) +20 m/s e) zero m/s
  • 63.
    Question #16 Atrain is traveling due east at a speed of 26.8 m/s relative to the ground. A passenger is walking toward the front of the train at a speed of 1.7 m/s relative to the train. Directly overhead the train is a plane flying horizontally due west at a speed of 257.0 m/s relative to the ground. What is the horizontal component of the velocity of the airplane with respect to the passenger on the train? a) 258.7 m/s, due west b) 285.5 m/s, due west c) 226.8 m/s, due west d) 231.9 m/s, due west e) 257.0 m/s, due west
  • 64.
    Question #17 Sailorsare throwing a football on the deck of an aircraft carrier as it is sailing with a constant velocity due east. Sailor A is standing on the west side of the flight deck while sailor B is standing on the east side. Sailors on the deck of another aircraft carrier that is stationary are watching the football as it is being tossed back and forth as the first carrier passes. Assume that sailors A and B throw the football with the same initial speed at the same launch angle with respect to the horizontal, do the sailors on the stationary carrier see the football follow the same parabolic trajectory as the ball goes east to west as it does when it goes west to east? a) Yes, to the stationary sailors, the trajectory the ball follows is the same whether it is traveling west to east or east to west. b) No, to the stationary sailors, the length of the trajectory appears shorter as it travels west to east than when it travels east to west. c) No, to the stationary sailors, the ball appears to be in the air for a much longer time when it is traveling west to east than when it travels east to west. d) No, to the stationary sailors, the length of the trajectory appears longer as it travels west to east than when it travels east to west. e) No, to the stationary sailors, the ball appears to be in the air for a much shorter time when it is traveling west to east than when it travels east to west.
  • 65.
    Question #18 CarsA and B are moving away from each other as car A moves due north at 25 m/s with respect to the ground and car B moves due south at 15 m/s with respect to the ground. What are the velocities of the other car according to the two drivers? a) Car A is moving due north at 25 m/s; and car B is moving due south at 15 m/s. b) Car A is moving due south at 25 m/s; and car B is moving due north at 15 m/s. c) Car A is moving due north at 40 m/s; and car B is moving due south at 40 m/s. d) Car A is moving due south at 40 m/s and car B is moving due north at 40 m/s. e) Car A is moving due north at 15 m/s and car B is moving due south at 25 m/s.
  • 66.
    Question #19 Johnalways paddles his canoe at constant speed v with respect to the still water of a river. One day, the river current was due west and was moving at a constant speed that was close to v with respect to that of still water. John decided to see whether making a round trip across the river and back, a north-south trip, would be faster than making a round trip an equal distance east-west. What was the result of John’s test? a) The time for the north-south trip was greater than the time for the east-west trip. b) The time for the north-south trip was less than the time for the east-west trip. c) The time for the north-south trip was equal to the time for the east-west trip. d) One cannot tell because the exact speed of the river with respect to still water is not given.
  • 67.
    Question #20 Aboat attempts to cross a river. The boat’s speed with respect to the water is 12.0 m/s. The speed of the river current with respect to the river bank is 6.0 m/s. At what angle should the boat be directed so that it crosses the river to a point directly across from its starting point? 6.0m/s 12.0m/s 
  • 68.