Capacitance and capacitor
Capacitance is the ability of a body to store an
electrical charge. Any object that can be electrically
charged exhibits capacitance. A common form of
energy storage device is a parallel-plate capacitor.
A capacitor is a device for storing electrical charge.
Capacitors consist of a pair of conducting plates
separated by an insulating material (oil, paper, air).
The measure of the extent to which a capacitor can
store charge is called Capacitance.
Capacitance is measured in farads F, or more usually
microfarads mF or picofarads pF.
Factors affecting capacitance:
The capacitance is only a function of the physical
dimensions (geometry) of the conductors and the
permittivity of the dielectric.
There are three basic factors of capacitor construction
determining the amount of capacitance created.
C is the capacitance
A is the area of overlap of the two plates;
εr is the relative permittivity of the material between
plates
ε0 is the electric constant (ε0 ≈ 8.854×10−12 F m–1);
and
d is the separation between the plates.
1-PLATE AREA: All other factors being equal, greater
plate area gives greater capacitance; less plate area
gives less capacitance.
2-PLATE SPACING:
All other factors being equal, further plate spacing
gives less capacitance; closer plate spacing gives
greater capacitance.
3-DIELECTRIC MATERIAL: All other factors being
equal, greater permittivity of the dielectric gives
greater capacitance; less permittivity of the dielectric
gives less capacitance.
Dielectric Materials
A dielectric is an electrical insulator that can be
polarized by an applied electric field.
When a dielectric is placed in an electric field, electric
charges do not flow through the material as they do in
a conductor, but only slightly shift from their average
equilibrium positions causing dielectric polarization.
Because of dielectric polarization, positive charges are
displaced toward the field and negative charges shift in
the opposite direction. This creates an internal electric
field which reduces the overall field within the dielectric
itself.
While the term "insulator" implies low electrical
conduction, "dielectric" is typically used to describe
materials with a high polarizability.
The latter is expressed by a number called the
dielectric constant.
The term insulator is generally used to indicate
electrical obstruction while the term dielectric is
used to indicate the energy storing capacity of the
material (by means of polarization).
If the space between the plates of a capacitor is filled
with a Dielectric, the capacitance of the capacitor will
change compared to the situation in which there is
vacuum between the plates.
The change in the capacitance is caused by a
change in the electric field between the plates.
The electric field between the capacitor plates will
induce dipole moments in the material between the
plates. These induced dipole moments will reduce
the electric field in the region between the plates.
A material in which the induced dipole moment is
linearly proportional to the applied electric field is
called a linear dielectric.
For linear dielectric:
Where K is called the dielectric constant. Since the
final electric field E can never exceed the free electric
field Efree, the dielectric constant k must be larger
than 1.
The potential difference across a capacitor is
proportional to the electric field between the plates.
Since the presence of a dielectric reduces the
strength of the electric field, it will also reduce the
potential difference between the capacitor plates (if
the total charge on the plates is kept constant):
The capacitance C of a system with a dielectric is
inversely proportional to the potential difference
between the plates, and is related to the capacitance
Cfree of a capacitor with no dielectric in the following
manner
Since k is larger than 1, the capacitance of a capacitor
can be significantly increased by filling the space
between the capacitor plates with a dielectric with a
large k.
.
The electric field between the two capacitor plates is
the vector sum of the fields generated by the charges
on the capacitor plates and the field generated by the
surface charges on the surface of the dielectric.
The electric field between two large parallel plates is given by
The voltage difference between the two plates can be
expressed in terms of the work done on a positive test
charge q when it moves from the positive to the negative
plate.
It then follows from the definition of capacitance that
Dielectric Constant-Permitivity
In Electromagnetism, permittivity is one of the
fundamental material parameters, which affects the
propagation of Electric Fields. Permittivity is typically
denoted by the symbol .
Absolute permittivity is the measure of the
resistance that is encountered when forming an
electric field in a medium.
In other words, permittivity is a measure of how an
electric field affects, and is affected by, a dielectric
medium.
To understand permittivity, consider the Figure
shown blow, in which two charged plates are
separated, with equal and opposite charges on
either side.
Assume for the moment that between the plates,
there is no material (vacuum).
As you can imagine, there will exist an Electric
Field in Figure 1, directed downward (from the
positive charge to the negative charge).
Now, imagine that some material is placed between
the plates. This material is no doubt made up of
atoms which often form molecules. And as in the
case of water, these molecules often look
(electrically) like small dipoles (with a positive
charge on one end and negative charge on the
other end).
In general, a material will be made up of some
composition of molecules or atoms. These molecules
will often have some sort of dipole moment. In the
absence of an external electric field, these molecules
will align randomly, as shown in Figure blow:
Now, suppose this material is placed between the
charged plates of Figure 1. The result is that the
molecules will align themselves as shown in Figure
blow:
The picture shows something very important - the
electric field due to the dipole moment of the materials
molecules opposes the external electric field E in last
Figure.
The result is that the net electric field is reduced within
the material. Generally, permittivity will vary with
frequency, temperature, and humidity.
For many common materials this variation will be
negligibleThe permittivity is a measure of how much the
molecules oppose the external E-field.
The E-field due to a single point charge of value q [C]
at a distance R placed in vacuum is:
In previous equation, is the permittivity of Free
Space, which is measured in Farads/meter.
This is the permittivity of a vacuum (no atoms
present).
In general, the Electric Field due to a point charge will
be reduced due to the molecules within a material.
The effect on the Electric Field is written in blow
Equation:
The term is known as the relative permittivity or
dielectric constant.
Charging and discharging of
capacitor
Since voltage V is related to charge on a capacitor
given by the equation,Vc = Q/C, the voltage across
the value of the voltage across the capacitor, ( Vc )
at any instant in time during the charging period is
given as:
Where:
•Vc is the voltage across the capacitor
•Vs is the supply voltage
•t is the elapsed time since the application of the
supply voltage
•RC is the time constant of the RC charging circuit
In the pervious equation (tau) and is called the
time constant of the circuit.
After a period equivalent to 4 time constants, ( 4T )
the capacitor in this RC charging circuit is virtually
fully charged and the voltage across the capacitor
is now approx 99% of its maximum value, 0.99Vs.
The time period taken for the capacitor to reach
this 4T point is known as the Transient Period.
After a time of 5T the capacitor is now fully charged
and the voltage across the capacitor, ( Vc ) is equal
to the supply voltage, ( Vs ). As the capacitor is
fully charged no more current flows in the circuit.
The time period after this 5T point is known as the
Steady State Period.
As the voltage across the capacitor Vc changes with
time, and is a different value at each time constant
up to 5T, we can calculate this value of capacitor
voltage, Vc at any given point.
The capacitor continues charging up and the voltage
difference between Vs and Vc reduces, so to does
the circuit current, i. Then at its final condition
greater than five time constants ( 5T ) when the
capacitor is said to be fully charged, t = ∞, i = 0,q =
Q = CV. Then at infinity the current diminishes to
zero, the capacitor acts like an open circuit condition
therefore, the voltage drop is entirely across the
capacitor.
Discharging of a capacitor
Chargin
g Discharging
RC TIME CONSTANT:
The time required to charge a capacitor to 63 percent
(actually 63.2 percent) of full charge or to discharge it
to 37 percent (actually 36.8 percent) of its initial voltage
is known as the TIME CONSTANT (TC) of the circuit.
Combination of capacitors
Capacitors in Parallel
We put 3 capacitors with capacitances C1, C2 and C3 in
parallel
V
Q1
Q2
Q3
C1
C2
C3
Charges on individual
capacitors:
Q1 = C1V
Q2 = C2V
Q3 = C3V
 Total charge Q = Q1 + Q2 + Q3
= V(C1 + C2 + C3)
Therefore equivalent capacitor
C = Q/V = Q1/V + Q2/V + Q3/V = C1 + C2 + C3
So for capacitors in parallel
C = C1 + C2 + C3
 You can think about this another way.
All capacitors in parallel have the same potential
difference across them but the stored charge is
divided amongst them in direct proportion to the
capacitance.
Capacitors in Series
V
C1 C2 C3
V1 V2 V3
Q
Individual charges are equal. Why?
 V1 = Q/C1; V2 = Q/C2; V3 = Q/C3
 But V = V1 + V2 + V3 = Q(1/C1 + 1/C2 + 1/C3)
 AND V/Q = 1/C so
 1/C = 1/C1 + 1/C2 + 1/C3
 All capacitors in series carry the same charge
which is equal to the charge carried by the
system as a whole.
 The potential difference is divided amongst the
capacitors in inverse proportion to their
capacitance.
Energy stored in a Capacitor
parallel plate capacitor by transferring a charge Q
from one plate to the other.
Of course, once we have transferred some charge,
an electric field is set up between the plates which
opposes any further charge transfer. In order to fully
charge the capacitor, we must do work against this
field, and this work becomes energy stored in the
capacitor. Let us calculate this energy. Suppose that
the capacitor plates carry a charge q and that the
potential difference between the plates is V.
The work we do in transferring a small amount of
charge dq from the negative to the positive plate is
simply :
In order to evaluate the total work done in
transferring the total charge Q from one plate to the
other, we can divide this charge into many small
increments dq find the incremental work dW in
transferring this incremental charge, using the above
formula, and then sum all of these works.
But before that put V=q/c so.
Integrating above equation on both sides yields
Note, again, that the work W done in charging the
capacitor is the same as the energy stored in the
capacitor. Since C=Q/V, we can write this stored
energy in one of three equivalent forms:
These formulae are valid for any type of capacitor,
since the arguments that we used to derive them do
not depend on any special property of parallel plate
capacitors.
Where is the energy in a parallel plate capacitor
actually stored? Well, if we think about it, the only
place it could be stored is in the electric field
generated between the plates.
(a) Calculate the charge stored on a 3-pF capacitor
with 20V across it.
(b) Find the energy stored in the capacitor.
Example : 2
Solution:
(a) Since
(b) The energy stored is
,Cvq 
pC6020103 12
 
q
pJ600400103
2
1
2
1 122
 
Cvw
• Find the equivalent capacitance seen
between terminals a and b of the circuit in
Figure.
Solution:
:seriesinarecapacitorsF5andF20 mm 
F4
520
520
m



F6with theparalleliniscapacitorF4 mm 
:capacitorsF20and m
F302064 m
withseriesiniscapacitorF30 m
capacitor.F60the m
F20F
6030
6030
mm 


eqC

Capacitance and capacitor

  • 1.
  • 2.
    Capacitance is theability of a body to store an electrical charge. Any object that can be electrically charged exhibits capacitance. A common form of energy storage device is a parallel-plate capacitor. A capacitor is a device for storing electrical charge. Capacitors consist of a pair of conducting plates separated by an insulating material (oil, paper, air). The measure of the extent to which a capacitor can store charge is called Capacitance. Capacitance is measured in farads F, or more usually microfarads mF or picofarads pF.
  • 4.
    Factors affecting capacitance: Thecapacitance is only a function of the physical dimensions (geometry) of the conductors and the permittivity of the dielectric. There are three basic factors of capacitor construction determining the amount of capacitance created. C is the capacitance A is the area of overlap of the two plates; εr is the relative permittivity of the material between plates ε0 is the electric constant (ε0 ≈ 8.854×10−12 F m–1); and d is the separation between the plates.
  • 5.
    1-PLATE AREA: Allother factors being equal, greater plate area gives greater capacitance; less plate area gives less capacitance. 2-PLATE SPACING: All other factors being equal, further plate spacing gives less capacitance; closer plate spacing gives greater capacitance.
  • 6.
    3-DIELECTRIC MATERIAL: Allother factors being equal, greater permittivity of the dielectric gives greater capacitance; less permittivity of the dielectric gives less capacitance.
  • 7.
  • 8.
    A dielectric isan electrical insulator that can be polarized by an applied electric field. When a dielectric is placed in an electric field, electric charges do not flow through the material as they do in a conductor, but only slightly shift from their average equilibrium positions causing dielectric polarization. Because of dielectric polarization, positive charges are displaced toward the field and negative charges shift in the opposite direction. This creates an internal electric field which reduces the overall field within the dielectric itself.
  • 9.
    While the term"insulator" implies low electrical conduction, "dielectric" is typically used to describe materials with a high polarizability. The latter is expressed by a number called the dielectric constant. The term insulator is generally used to indicate electrical obstruction while the term dielectric is used to indicate the energy storing capacity of the material (by means of polarization).
  • 10.
    If the spacebetween the plates of a capacitor is filled with a Dielectric, the capacitance of the capacitor will change compared to the situation in which there is vacuum between the plates. The change in the capacitance is caused by a change in the electric field between the plates. The electric field between the capacitor plates will induce dipole moments in the material between the plates. These induced dipole moments will reduce the electric field in the region between the plates.
  • 11.
    A material inwhich the induced dipole moment is linearly proportional to the applied electric field is called a linear dielectric. For linear dielectric: Where K is called the dielectric constant. Since the final electric field E can never exceed the free electric field Efree, the dielectric constant k must be larger than 1.
  • 12.
    The potential differenceacross a capacitor is proportional to the electric field between the plates. Since the presence of a dielectric reduces the strength of the electric field, it will also reduce the potential difference between the capacitor plates (if the total charge on the plates is kept constant):
  • 13.
    The capacitance Cof a system with a dielectric is inversely proportional to the potential difference between the plates, and is related to the capacitance Cfree of a capacitor with no dielectric in the following manner Since k is larger than 1, the capacitance of a capacitor can be significantly increased by filling the space between the capacitor plates with a dielectric with a large k. .
  • 14.
    The electric fieldbetween the two capacitor plates is the vector sum of the fields generated by the charges on the capacitor plates and the field generated by the surface charges on the surface of the dielectric.
  • 15.
    The electric fieldbetween two large parallel plates is given by The voltage difference between the two plates can be expressed in terms of the work done on a positive test charge q when it moves from the positive to the negative plate. It then follows from the definition of capacitance that
  • 16.
  • 17.
    In Electromagnetism, permittivityis one of the fundamental material parameters, which affects the propagation of Electric Fields. Permittivity is typically denoted by the symbol . Absolute permittivity is the measure of the resistance that is encountered when forming an electric field in a medium. In other words, permittivity is a measure of how an electric field affects, and is affected by, a dielectric medium.
  • 18.
    To understand permittivity,consider the Figure shown blow, in which two charged plates are separated, with equal and opposite charges on either side. Assume for the moment that between the plates, there is no material (vacuum).
  • 19.
    As you canimagine, there will exist an Electric Field in Figure 1, directed downward (from the positive charge to the negative charge). Now, imagine that some material is placed between the plates. This material is no doubt made up of atoms which often form molecules. And as in the case of water, these molecules often look (electrically) like small dipoles (with a positive charge on one end and negative charge on the other end).
  • 20.
    In general, amaterial will be made up of some composition of molecules or atoms. These molecules will often have some sort of dipole moment. In the absence of an external electric field, these molecules will align randomly, as shown in Figure blow:
  • 21.
    Now, suppose thismaterial is placed between the charged plates of Figure 1. The result is that the molecules will align themselves as shown in Figure blow:
  • 23.
    The picture showssomething very important - the electric field due to the dipole moment of the materials molecules opposes the external electric field E in last Figure. The result is that the net electric field is reduced within the material. Generally, permittivity will vary with frequency, temperature, and humidity. For many common materials this variation will be negligibleThe permittivity is a measure of how much the molecules oppose the external E-field.
  • 24.
    The E-field dueto a single point charge of value q [C] at a distance R placed in vacuum is:
  • 25.
    In previous equation,is the permittivity of Free Space, which is measured in Farads/meter. This is the permittivity of a vacuum (no atoms present). In general, the Electric Field due to a point charge will be reduced due to the molecules within a material. The effect on the Electric Field is written in blow Equation: The term is known as the relative permittivity or dielectric constant.
  • 27.
  • 31.
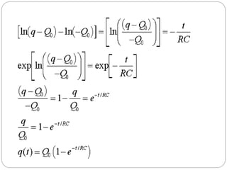
    Since voltage Vis related to charge on a capacitor given by the equation,Vc = Q/C, the voltage across the value of the voltage across the capacitor, ( Vc ) at any instant in time during the charging period is given as: Where: •Vc is the voltage across the capacitor •Vs is the supply voltage •t is the elapsed time since the application of the supply voltage •RC is the time constant of the RC charging circuit
  • 34.
    In the perviousequation (tau) and is called the time constant of the circuit. After a period equivalent to 4 time constants, ( 4T ) the capacitor in this RC charging circuit is virtually fully charged and the voltage across the capacitor is now approx 99% of its maximum value, 0.99Vs. The time period taken for the capacitor to reach this 4T point is known as the Transient Period. After a time of 5T the capacitor is now fully charged and the voltage across the capacitor, ( Vc ) is equal to the supply voltage, ( Vs ). As the capacitor is fully charged no more current flows in the circuit. The time period after this 5T point is known as the Steady State Period.
  • 36.
    As the voltageacross the capacitor Vc changes with time, and is a different value at each time constant up to 5T, we can calculate this value of capacitor voltage, Vc at any given point. The capacitor continues charging up and the voltage difference between Vs and Vc reduces, so to does the circuit current, i. Then at its final condition greater than five time constants ( 5T ) when the capacitor is said to be fully charged, t = ∞, i = 0,q = Q = CV. Then at infinity the current diminishes to zero, the capacitor acts like an open circuit condition therefore, the voltage drop is entirely across the capacitor.
  • 37.
  • 38.
  • 39.
    RC TIME CONSTANT: Thetime required to charge a capacitor to 63 percent (actually 63.2 percent) of full charge or to discharge it to 37 percent (actually 36.8 percent) of its initial voltage is known as the TIME CONSTANT (TC) of the circuit.
  • 40.
  • 41.
    Capacitors in Parallel Weput 3 capacitors with capacitances C1, C2 and C3 in parallel V Q1 Q2 Q3 C1 C2 C3 Charges on individual capacitors: Q1 = C1V Q2 = C2V Q3 = C3V
  • 42.
     Total chargeQ = Q1 + Q2 + Q3 = V(C1 + C2 + C3) Therefore equivalent capacitor C = Q/V = Q1/V + Q2/V + Q3/V = C1 + C2 + C3 So for capacitors in parallel C = C1 + C2 + C3
  • 43.
     You canthink about this another way. All capacitors in parallel have the same potential difference across them but the stored charge is divided amongst them in direct proportion to the capacitance.
  • 44.
    Capacitors in Series V C1C2 C3 V1 V2 V3 Q Individual charges are equal. Why?
  • 45.
     V1 =Q/C1; V2 = Q/C2; V3 = Q/C3  But V = V1 + V2 + V3 = Q(1/C1 + 1/C2 + 1/C3)  AND V/Q = 1/C so  1/C = 1/C1 + 1/C2 + 1/C3
  • 46.
     All capacitorsin series carry the same charge which is equal to the charge carried by the system as a whole.  The potential difference is divided amongst the capacitors in inverse proportion to their capacitance.
  • 47.
    Energy stored ina Capacitor
  • 48.
    parallel plate capacitorby transferring a charge Q from one plate to the other. Of course, once we have transferred some charge, an electric field is set up between the plates which opposes any further charge transfer. In order to fully charge the capacitor, we must do work against this field, and this work becomes energy stored in the capacitor. Let us calculate this energy. Suppose that the capacitor plates carry a charge q and that the potential difference between the plates is V. The work we do in transferring a small amount of charge dq from the negative to the positive plate is simply :
  • 50.
    In order toevaluate the total work done in transferring the total charge Q from one plate to the other, we can divide this charge into many small increments dq find the incremental work dW in transferring this incremental charge, using the above formula, and then sum all of these works. But before that put V=q/c so. Integrating above equation on both sides yields
  • 51.
    Note, again, thatthe work W done in charging the capacitor is the same as the energy stored in the capacitor. Since C=Q/V, we can write this stored energy in one of three equivalent forms: These formulae are valid for any type of capacitor, since the arguments that we used to derive them do not depend on any special property of parallel plate capacitors. Where is the energy in a parallel plate capacitor actually stored? Well, if we think about it, the only place it could be stored is in the electric field generated between the plates.
  • 52.
    (a) Calculate thecharge stored on a 3-pF capacitor with 20V across it. (b) Find the energy stored in the capacitor. Example : 2 Solution: (a) Since (b) The energy stored is ,Cvq  pC6020103 12   q pJ600400103 2 1 2 1 122   Cvw
  • 53.
    • Find theequivalent capacitance seen between terminals a and b of the circuit in Figure.
  • 54.
    Solution: :seriesinarecapacitorsF5andF20 mm  F4 520 520 m    F6withtheparalleliniscapacitorF4 mm  :capacitorsF20and m F302064 m withseriesiniscapacitorF30 m capacitor.F60the m F20F 6030 6030 mm    eqC