BIOSTATISTICS IN
BIOEQUIVALENCE
Dr. Bhaswat S. Chakraborty
Sr. VP & Chair, R&D Core Committee
Cadila Pharmaceuticals Ltd.
Former Senior Clinical Reviewer, TPD (Canadian FDA)
1
Presented at the IVIVC & BABE SUMMIT 2015
Holiday Inn, Mumbai, Nov. 23, 2015
CONTENT GUIDELINES
ļ‚¢Importance of Biostatistics
ļ‚¢Basic concepts of biostatistics
ļ‚¢Sample size calculation
ļ‚¢Statistical aspects of Reference scaling
ļ‚¢Conclusion
2
BIOSTATISTICS
ļ‚¢ Statistics applied to biological data (in biology and
biomedical sciences)
ļ‚¢ In such data subjects (patients, mice, cells, etc.) exhibit
considerable variation in their response to stimuli
ļ‚— may be due to different treatments or due to chance,
measurement error,Ā  or other characteristics of subjects
ļ‚— Biostatistics disentanglesĀ  these different sources of variation
ļ‚— distinguishes between correlation and causation & infers
from known samples about the populations
ļ‚¢ e.g. do the results of treating patients with two therapies justify
the conclusion that one treatment is better than the other?
ļ‚¢ are the products bioequivalent?Ā 
3
BIOSTATISTICS..
ļ‚¢ It applies statistical theory to real-world problems
ļ‚— designing and conducting biomedical experiments and
clinical trials, BE trials, PK, toxicology..
ļ‚¢ Biostatisticians are specialists in the evaluation of data
as scientific evidence
ļ‚— Provide the mathematical framework that transcends the
scientific context to generalize the findings.
ļ‚— Their expertise includes the design, conduct, data generation
and analysis of experiments
ļ‚— Finally, the interpretation & reporting of results
4
BASICS OF BIOSTATISTICS IN
BE
ļ‚¢ Data collection, organization & descriptive statistics
ļ‚¢ Population assumptions
ļ‚— Parametric or non-parametric
ļ‚— Normal or other distribution
ļ‚— Homogeneity of variance
ļ‚¢ Study Designs
ļ‚— Cross over, replicate, parallel
ļ‚¢ Sample size calculation
ļ‚¢ Tests of significance, ANOVA
ļ‚¢ Inference on bioequivalence
5
DATA COLLECTION,
ORGANIZATION & DESCRIPTIVE
STATISTICS
ļ‚¢ Descriptive statisticsĀ are numbers that are
used to summarize and describe data
ļ‚—"data" refers to the information that has been
collected from an experiment, a survey, a historical
record, etc.
ļ‚—In bioequivalnce study, DS could be
ļ‚¢ summary of demographics
ļ‚¢ plasma and PK
ļ‚¢ ratio or geometric means and 90%CI
ļ‚¢ Descriptive statics are presented using both
tables and figures 6
7
POPULATION PARAMETRIC
ASSUMPTIONS
ļ‚¢ Parametric and nonparametric are two broad
classifications of statistical procedures
ļ‚¢ Parametric statistics assume about the shape of the
distribution in the underlying population
ļ‚— assume a normal, lognormal, Weibull distribution
ļ‚¢ Also about the form or parameters of the assumed
distribution
ļ‚— means and standard deviations
ļ‚¢ Nonparametric statistics rely on no or few assumptions
about the shape or parameters of the population
distribution from which the samples were drawn
ļ‚¢ If the data deviate strongly from parametric assumptions,
using the parametric procedure could lead to incorrect
conclusions
8
NON-PARAMETRIC
PROCEDURES
9
PARAMETRIC
ASSUMPTIONS IN BE
STUDIES
ļ‚¢ Three basic assumptions
ļ‚— Normality
ļ‚¢ random variables in BE are normally distributed
ļ‚— Homoscedasticity
ļ‚¢ variance of the dependent variable is constant; it does not vary with
independent variables, e.g., formulation, subject, period
ļ‚— Independence
ļ‚¢ random variables are independent
ļ‚¢ lnCmax or lnAUC obtained from a volunteer plasma
levels is drawn from a population N(μ, σ²)
ļ‚¢ An individual observation of parameters μ & σ² defined
the distribution of lnAUC can be observed in this
volunteer
ļ‚¢ Data from another volunteer administeredthe same
formulation is also drawn from N(μ, σ²) population
10
LOG TRANSFORMATION
ļ‚¢ μ is the population mean of lnX and also the
population median of X
ļ‚¢ Following a log transformation, BE methods
compares the median or geometric means
ļ‚¢ Log transformation stabilizes the variance and to
obtain a symmetrical distribution of variables; for
Tmax usually heteroscedasticity remains
11
If ),(~ln 2
σµNX
12
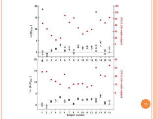
13
BIOEQUIVALENCE STUDY
DESIGNS
ļ‚¢ For almost all generic drugs today, the
regulatory standard is ā€œaverage bioequivalence
(ABE)ā€
ļ‚¢ Concluded from 2-product, 2-period, crossover
studies with fixed effects
ļ‚¢ That means
ļ‚—An average patient (volunteer) will have
ļ‚—An average Cmax and AUC
ļ‚—From an average reference and test product
ļ‚—That are not significantly different
14
DESIGN OF 2-PRODUCT, 2-PERIOD,
CROSSOVER STUDIES
Subjects
Sequence 1
Sequence 2
Test
Reference
Reference
Test
Period I W
A
S
H
O
U
T
Randomizaion
Period II
15
TESTS OF SIGNIFICANCE
16
Interval hypothesis
Two one-sided t tests
ANOVA
17
ANALYSIS OF CROSS-OVER
DESIGNS
ļ‚¢ Need a computer software and validated procedure
especially when the experimental design is
unbalanced
ļ‚¢ Need of a model to analyse data
ļ‚¢ Steps
ļ‚— Write the model to analyse the cross-over
ļ‚— Check at least graphically the parametric assumptions
ļ‚— Check the absence of a carry-over effect
ļ‚— Estimate the mean for each formulation, estimate the
within subjects variance for each PK parameter
ļ‚— Carry out ANOVA for each PK parameter
ļ‚— Compute 90% CI for each PK parameter
18
19
A MODEL FOR THE 2Ɨ2
CROSSOVER DESIGN
lkjijljikjiljikji SANPSFAUC ,,,),(),,(,, εµ +++++=
Y1,1,1,1= 98.3
µ = population mean
Fi = effect of the ith
formulation
Sj = effect of the jth
sequence
Pk(i,j) = effect of the kth
period
Anl|Sj = random effect of the lth
subject of sequence j,
they are assumed independent distrib according a N(0,Ω²)
ei,j,k,l = indep random effects assumed to be drawn from N(0,s²)
d.concordet@envt.fr
INFERENCE ON
BIOEQUIVALENCE
20
21
AN EXAMPLE



ā‰¤āˆ’ā‰¤
>āˆ’<āˆ’
.251lnlnln8.0ln:
25.1lnlnlnor8.0lnlnln:
1
0
RT
RTRT
H
H
µµ
µµµµ






≤≤
><
.2518.0:
25.1or8.0:
1
0
R
T
R
T
R
T
H
H
µ
µ
µ
µ
µ
µ
Sequence1Sequence2
ln AUC PER 1 PER 2
4.37 4.83
4.21 4.55
3.88 4.19
2.68 3.29
4.09 4.41
4.56 4.52
3.94 4.28
3.74 4.31
3.16 3.73
3.61 4.06
3.60 3.21
3.77 3.75
5.29 4.60
4.25 3.91
3.50 2.54
3.30 2.20
3.91 3.09
3.29 2.20
3.64 2.36
4.80 4.21
lkjijljikjiljikji SANPSFAUC ,,,),(),,(,,ln εµ +++++=
Homoscedasticity seems reasonable
No (differential) carryover effect
0.0508ˆ 2
=σ3.51=TX 08.4=RX
nT=10 ; nR=10 ; df = nT+nR -2 = 18 734.195.0
18 =t
d.concordet@envt.fr
22
SAMPLE SIZE CALCULATION:
Where does the General Formula
come from?
UNDERSTANDING VARIABLES
& TYPES OF ERROR
ļ‚¢ μ0 and μA
ļ‚¢ Means under Null & Alternate Hypotheses
ļ‚¢ σ0
2
and σA
2
ļ‚¢ Variances under Null & Alternate Hypotheses (may be the same)
ļ‚¢ N0 and NA
ļ‚¢ Sample Sizes in two groups (may be the same)
ļ‚¢ H0: Null Hypothesis
ļ‚¢ μ0 – μA = 0
ļ‚¢ HA: Alternate Hypothesis
ļ‚¢ μ0 – μA = Ī“
ļ‚¢ Type I Error (α): False +ve
ļ‚¢ Probability of rejecting a true H0
ļ‚¢ Type II Error (β): False –ve
ļ‚¢ Probability of rejecting a true HA
ļ‚¢ Power (1-β): True +ve
ļ‚¢ Probability of accepting a true H
23
α/2
UNDERSTANDING SAMPLE SIZE
DETERMINATION
H0: μ0 – μA = 0 HA: μ0 – μA = Ī“
α/2
Power = 1-β
β
S.Error =σ(√2/N) S.Error =σ(√2/N)
0+Z1-α/2σ√(2/N)
0
Γ–Z1-βσ√(2/N)
Ī“
X0–XA
Critical Value
24
FROM THE PREVIOUS
GRAPH, WE HAVE
0+Z1-α/2σ√(2/N) = Γ–Z1-βσ√(2/N)
Upon simplification,
N =
2 σ2
[Z1-α/2 + Z1-β/2]2
Ī“ 2
25
ANALYSIS:
ANSWER THOSE FIVE KEY
QUESTIONS
1. What is the main purpose of the trial?
2. What is the principal measure of patient outcome?
3. How will the data be analysed to detect a treatment
difference?
4. What type of results does one anticipate with standard
treatment?
5. How small a treatment difference is it important to
detect and with what degree of certainty?
Stuart Pocock in Clinical Trials, Wiley Int.
26
SAMPLE SIZE FOR A T TEST
Input variables you will need
α
The Type I error probability for a two sided test.
n
For independent t-tests n is the number of experimental subjects. For pair
test n is the number of pairs.
power
For independent tests power is probability of correctly rejecting the null
hypothesis of equal population means
Ī“
A difference in population means
σ
For independent tests σ is the within group standard deviation. For paired
designs it is the standard deviation of difference in the response of matched
pairs.
m
For independent tests m is the ratio of control to experimental patients. m
is not defined for paired studies.
27
SAMPLE SIZE FOR A T TEST
• A study with 1 control(s) per experimental subject.
• In a previous study the response within each
subject group was normally distributed with
standard deviation 20.
• SAMPLE SIZE: If the true difference in the
experimental and control means is 15, we will need
to study 38 experimental subjects and 38 control
subjects
• Power of 0.9
• The Type I error of 0.05
28
SAMPLE SIZE VS EFFECT
SIZE: T TEST
29
SAMPLE SIZE VS POWER: T
TEST
30
31
• The hypotheses to be tested:
• The equivalence interval : [0.8, 1.25]
• The experimental design : crossover (2Ɨ2) with the same
number of subjects per sequence N
• The consumer risk (α = 5%)
• The producer/trialist risk (β = 20%)
• A log transformation is required
• An estimate of intra-subject variation from
log-transformed data)
• An estimate of µT/µR
DETERMINING BE SAMPLE
SIZE
25.18.0 ≤≤
R
T
µ
µ multiplicative
Acceptance Probability
0
0.2
0.4
0.6
0.8
1
1.2
0.8 0.9 1 1.1 1.2
T/R
Probability
Accept Prob (n=24) Accept Prob (n=36) Accept Prob (n=12)
32
33
SAMPLE SIZE BE
µT/µR
CV % 0.85 0.90 0.95 1.00 1.05 1.10 1.15 1.20
5.0% 12 6 4 4 4 6 8 22
7.5% 22 8 6 6 6 8 12 44
10.0% 36 12 8 6 8 10 20 76
12.5% 54 16 10 8 10 14 30 118
15.0% 78 22 12 10 12 20 42 168
Number of subjects per sequence for a 2Ɨ2 crossover,
log transformation, equivalence interval : [0.8, 1.25],
α=5%, β = 20%
34
BIOEQUIVALENT DRUG PRODUCTS
ļ‚¢ Pharmaceutical Equivalent
ļ‚—Same dose and dosage form, ideally same assay
and content uniformity
ļ‚—Could be pharmaceutical alternative dose or form
ļ‚¢ Bioequivalent
ļ‚—Statistical and pharmacokinetic equivalent
ļ‚—Equivalent rate and extent of absorption
ļ‚¢ 90% CI of relative mean Cmax and AUC: 80-125%
ļ‚¢ Interpretation: Therapeutic equivalence 35
CURRENTLY PRACTICED BE
ļ‚¢ For almost all generic drugs today, the regulatory
standard is ā€œaverage bioequivalence (IBE)ā€
ļ‚¢ Concluded from 2-product, 2-period, crossover studies
with fixed effects
ļ‚¢ That means
ļ‚— An average patient (volunteer) will have
ļ‚— An average Cmax and AUC
ļ‚— From an average reference and test product
ļ‚— That are not significantly different
ļ‚¢ Problem: cannot individualize or generalize for
population 36
THREE MAIN CONCERNS WITH
ABE
ļ‚¢ Safety
ļ‚— Generic N– as safe as the
Brand?
ļ‚¢ Prescribability
ļ‚— Can a physician have an
equal choice of prescribing
Brand or Generic N to drug-
naĆÆve patients?
ļ‚¢ Switchability
ļ‚— Can a patient stabilized
on Generic1 be switched
to Generic N?
Brand
Gen 1
Gen 2
Gen 3 Gen
N
?
37
LIMITATIONS OF ABE FROM A 2X2
STUDY
ļ‚¢ Produces medical dilemma
ļ‚¢ Ignores distribution of Cmax and AUC
ļ‚¢ Within subject variation is not accurate
ļ‚¢ Ignores correlated variances and subject-by-
formulation interaction
ļ‚¢ One criteria irrespective of inherent patterns of
product, drug or patient variations
ļ‚¢ Although rare, but may not be therapeutic equivalent
38
OTHER CHOICES IN BE AND THEIR
CONDITIONS
ļ‚¢ Individual Bioequivalence (IBE)
ļ‚— Addresses switchability
ļ‚¢ Population Bioequivalence (PBE)
ļ‚— Addresses prescribability
ļ‚¢ Design and statistics of IBE & PBE
ļ‚— Take into account both population mean
and variance
ļ‚— Address switchability and thereby subject-fomulation interaction
ļ‚— Provide same level of confidence (consumer’s risk of 5%) and
power
ļ‚— Accept formulations with reduced within subject variability 39
INDIVIDUAL BIOEQUIVALENCE
(IBE) METRIC
2 2 2 2
2 2
0
( ) ( )
max( , )
T R D WT WR
I
WR W
µ µ σ σ σ
Īø
σ σ
āˆ’ + + āˆ’
≤
2
2
0
(ln1.25)
I
W
ε
Īø
σ
+
=
Where
Where
µT = mean of the test product
µR = mean of the reference product
σD
2
= variability due to the subject-by-formulation interaction
σWT
2
= within-subject variability for the test product
σWR
2
= within-subject variability for the reference product
σW0
2
= specified constant within-subject variability
40
POPULATION BIOEQUIVALENCE
(PBE) METRIC
Where
µT = mean of the test product
µR = mean of the reference product
σTT
2
= total variability (within- and between-subject) of the test
product
σTR
2
= total variability (within- and between-subject) of the reference
product
σ0
2
= specified constant total variance
≤θP
41
DESIGN OF 4-PERIOD, REPLICATE
STUDIES
Subjects
Sequence 1
Sequence 2
T
R
PI W
A
S
H
O
U
T
1
Randomizaion
PII PIII PIVW
A
S
H
O
U
T
2
W
A
S
H
O
U
T
3
R
RR
TT
T
42
SAMPLE SIZE FOR IBE
Source: US FDA Guidelines for
Minimum 12
43
SAMPLE SIZE FOR PBE
Source: US FDA Guidelines for
Minimum 18
44
CONDUCT OF REPLICATE
STUDIES
ļ‚¢ Generally dosing, environmental control, blood sampling scheme
and duration, diet, rest and sample preparation for bioanalysis
are all the same as those for 2-period, crossover studies
ļ‚¢ Avoid first-order carryover (from preceding formulation) & direct-
by-carryover (from current and preceding formulation) effects
ļ‚— Unlikely when the study is single dose, drug is not endogenous,
washout is adequate, and the results meet all the criteria
ļ‚¢ If conducted in groups, for logistical reasons, ANOVA model
should take the period effect of multiple groups into account
ļ‚¢ Use all data; if outliers are detected, make sure that they don’t
indicate product failure or strong subject-formulation interaction
45
Standards for IBE and PBE
2 ' 2
' 2
2 ' 2
2
0
( ) ( )
( ) / 2
( ) ( )
R T R R
R R
R T R R
E y y E y y
E y y
E y y E y y
Īø
σ
 āˆ’ āˆ’ āˆ’
 āˆ’ļ£“
= 
āˆ’ āˆ’ āˆ’ļ£“

' 2 2
0( ) / 2R RE y y Ļƒāˆ’ ≄
' 2 2
0( ) / 2R RE y y Ļƒāˆ’ <
Where σ0 is constant variability.
For IBE, YT, YR and YR
’
are PK responses from the
test and two reference formulations to the same
individual
For PBE, YT, YR and YR’ are PK responses from the
test and two reference formulations to the different
individuals
if
if
46
REFERENCE SCALING
ļ‚¢ A general objective in assessing BE is to compare the log-
transformed BA measure after administration of the T and R
products
ļ‚¢ Population and individual approaches are based on the
comparison of an expected squared distance between the T
and R formulations to the expected squared distance between
two administrations of the R formulation
ļ‚¢ An acceptable T formulation is one where the T-R distance is
not substantially greater than the R-R distance
ļ‚¢ In both population and individual BE approaches, this
comparison appears as a comparison to the reference
variance, which is referred to as scaling to the reference
variability 47
REFERENCE SCALING..
ļ‚¢ Population and individual BE approaches, but not the average BE
approach, allow two types of scaling
ļ‚— reference-scaling
ļ‚— constant-scaling.
ļ‚¢ Reference-scaling means that the criterion used is scaled to the
variability of the R product, which effectively widens the BE
limit for more variable reference products
48
49
Reference Test
PI PII PI PII
Declaring IBE and PBE
IBE or PBE is claimed when 95% confidence upper
bound of Īø is less than ĪøI or ĪøP and the observed
ratio of geometric means is within bioequivalence
limits of 80 – 125%.
H0: Īø ≄ ĪøI or ĪøP; HA: < ĪøI or ĪøP
50
ANALYSIS BY SAS PROC MIXED
51
EXAMPLE: TWO CYCLOSPORINE
FORMULATIONS
TEST: OPEN CIRCLES; REF.: CLOSED CIRCLES; N = 20
Canafax et al.(1999) Pharmacology 59:78–88
52
ABE – TWO CYCLOSPORINE
FORMULATIONS
N = 20
Canafax et al.(1999) Pharmacology 59:78–88
53
IBE – TWO CYCLOSPORINE
FORMULATIONS
N = 20
Canafax et al.(1999) Pharmacology 59:78–88
εI=0.04-0.05;Constant Scaled σW0
2
= 0.2; ĪøI = 2.245; IBE
declared
<ĪøI
54
ANOTHER EXAMPLE: TWO ALVERINE
FORMULATIONS HIGHLY VARIABLE DRUG, INTRA-SUBJECT CV
~35%; N = 48
Chakraborty et al.(2010) Unpublished Data
55
ABE, IBE & PBE: TWO ALVERINE
FORMULATIONS
HIGHLY VARIABLE DRUG, INTRA-SUBJECT CV ~35%; N = 48
Chakraborty et al.(2010) Unpublished Data
56
Thank You Very Much
57

Biostatistics in Bioequivalence

  • 1.
    BIOSTATISTICS IN BIOEQUIVALENCE Dr. BhaswatS. Chakraborty Sr. VP & Chair, R&D Core Committee Cadila Pharmaceuticals Ltd. Former Senior Clinical Reviewer, TPD (Canadian FDA) 1 Presented at the IVIVC & BABE SUMMIT 2015 Holiday Inn, Mumbai, Nov. 23, 2015
  • 2.
    CONTENT GUIDELINES ļ‚¢Importance ofBiostatistics ļ‚¢Basic concepts of biostatistics ļ‚¢Sample size calculation ļ‚¢Statistical aspects of Reference scaling ļ‚¢Conclusion 2
  • 3.
    BIOSTATISTICS ļ‚¢ Statistics appliedto biological data (in biology and biomedical sciences) ļ‚¢ In such data subjects (patients, mice, cells, etc.) exhibit considerable variation in their response to stimuli ļ‚— may be due to different treatments or due to chance, measurement error,Ā  or other characteristics of subjects ļ‚— Biostatistics disentanglesĀ  these different sources of variation ļ‚— distinguishes between correlation and causation & infers from known samples about the populations ļ‚¢ e.g. do the results of treating patients with two therapies justify the conclusion that one treatment is better than the other? ļ‚¢ are the products bioequivalent?Ā  3
  • 4.
    BIOSTATISTICS.. ļ‚¢ It appliesstatistical theory to real-world problems ļ‚— designing and conducting biomedical experiments and clinical trials, BE trials, PK, toxicology.. ļ‚¢ Biostatisticians are specialists in the evaluation of data as scientific evidence ļ‚— Provide the mathematical framework that transcends the scientific context to generalize the findings. ļ‚— Their expertise includes the design, conduct, data generation and analysis of experiments ļ‚— Finally, the interpretation & reporting of results 4
  • 5.
    BASICS OF BIOSTATISTICSIN BE ļ‚¢ Data collection, organization & descriptive statistics ļ‚¢ Population assumptions ļ‚— Parametric or non-parametric ļ‚— Normal or other distribution ļ‚— Homogeneity of variance ļ‚¢ Study Designs ļ‚— Cross over, replicate, parallel ļ‚¢ Sample size calculation ļ‚¢ Tests of significance, ANOVA ļ‚¢ Inference on bioequivalence 5
  • 6.
    DATA COLLECTION, ORGANIZATION &DESCRIPTIVE STATISTICS ļ‚¢ Descriptive statisticsĀ are numbers that are used to summarize and describe data ļ‚—"data" refers to the information that has been collected from an experiment, a survey, a historical record, etc. ļ‚—In bioequivalnce study, DS could be ļ‚¢ summary of demographics ļ‚¢ plasma and PK ļ‚¢ ratio or geometric means and 90%CI ļ‚¢ Descriptive statics are presented using both tables and figures 6
  • 7.
  • 8.
    POPULATION PARAMETRIC ASSUMPTIONS ļ‚¢ Parametricand nonparametric are two broad classifications of statistical procedures ļ‚¢ Parametric statistics assume about the shape of the distribution in the underlying population ļ‚— assume a normal, lognormal, Weibull distribution ļ‚¢ Also about the form or parameters of the assumed distribution ļ‚— means and standard deviations ļ‚¢ Nonparametric statistics rely on no or few assumptions about the shape or parameters of the population distribution from which the samples were drawn ļ‚¢ If the data deviate strongly from parametric assumptions, using the parametric procedure could lead to incorrect conclusions 8
  • 9.
  • 10.
    PARAMETRIC ASSUMPTIONS IN BE STUDIES ļ‚¢Three basic assumptions ļ‚— Normality ļ‚¢ random variables in BE are normally distributed ļ‚— Homoscedasticity ļ‚¢ variance of the dependent variable is constant; it does not vary with independent variables, e.g., formulation, subject, period ļ‚— Independence ļ‚¢ random variables are independent ļ‚¢ lnCmax or lnAUC obtained from a volunteer plasma levels is drawn from a population N(μ, σ²) ļ‚¢ An individual observation of parameters μ & σ² defined the distribution of lnAUC can be observed in this volunteer ļ‚¢ Data from another volunteer administeredthe same formulation is also drawn from N(μ, σ²) population 10
  • 11.
    LOG TRANSFORMATION ļ‚¢ μis the population mean of lnX and also the population median of X ļ‚¢ Following a log transformation, BE methods compares the median or geometric means ļ‚¢ Log transformation stabilizes the variance and to obtain a symmetrical distribution of variables; for Tmax usually heteroscedasticity remains 11 If ),(~ln 2 σµNX
  • 12.
  • 13.
  • 14.
    BIOEQUIVALENCE STUDY DESIGNS ļ‚¢ Foralmost all generic drugs today, the regulatory standard is ā€œaverage bioequivalence (ABE)ā€ ļ‚¢ Concluded from 2-product, 2-period, crossover studies with fixed effects ļ‚¢ That means ļ‚—An average patient (volunteer) will have ļ‚—An average Cmax and AUC ļ‚—From an average reference and test product ļ‚—That are not significantly different 14
  • 15.
    DESIGN OF 2-PRODUCT,2-PERIOD, CROSSOVER STUDIES Subjects Sequence 1 Sequence 2 Test Reference Reference Test Period I W A S H O U T Randomizaion Period II 15
  • 16.
    TESTS OF SIGNIFICANCE 16 Intervalhypothesis Two one-sided t tests
  • 17.
  • 18.
    ANALYSIS OF CROSS-OVER DESIGNS ļ‚¢Need a computer software and validated procedure especially when the experimental design is unbalanced ļ‚¢ Need of a model to analyse data ļ‚¢ Steps ļ‚— Write the model to analyse the cross-over ļ‚— Check at least graphically the parametric assumptions ļ‚— Check the absence of a carry-over effect ļ‚— Estimate the mean for each formulation, estimate the within subjects variance for each PK parameter ļ‚— Carry out ANOVA for each PK parameter ļ‚— Compute 90% CI for each PK parameter 18
  • 19.
    19 A MODEL FORTHE 2Ɨ2 CROSSOVER DESIGN lkjijljikjiljikji SANPSFAUC ,,,),(),,(,, εµ +++++= Y1,1,1,1= 98.3 µ = population mean Fi = effect of the ith formulation Sj = effect of the jth sequence Pk(i,j) = effect of the kth period Anl|Sj = random effect of the lth subject of sequence j, they are assumed independent distrib according a N(0,Ω²) ei,j,k,l = indep random effects assumed to be drawn from N(0,s²) d.concordet@envt.fr
  • 20.
  • 21.
    21 AN EXAMPLE    ā‰¤āˆ’ā‰¤ >āˆ’<āˆ’ .251lnlnln8.0ln: 25.1lnlnlnor8.0lnlnln: 1 0 RT RTRT H H µµ µµµµ       ≤≤ >< .2518.0: 25.1or8.0: 1 0 R T R T R T H H µ µ µ µ µ µ Sequence1Sequence2 ln AUCPER 1 PER 2 4.37 4.83 4.21 4.55 3.88 4.19 2.68 3.29 4.09 4.41 4.56 4.52 3.94 4.28 3.74 4.31 3.16 3.73 3.61 4.06 3.60 3.21 3.77 3.75 5.29 4.60 4.25 3.91 3.50 2.54 3.30 2.20 3.91 3.09 3.29 2.20 3.64 2.36 4.80 4.21 lkjijljikjiljikji SANPSFAUC ,,,),(),,(,,ln εµ +++++= Homoscedasticity seems reasonable No (differential) carryover effect 0.0508ˆ 2 =σ3.51=TX 08.4=RX nT=10 ; nR=10 ; df = nT+nR -2 = 18 734.195.0 18 =t d.concordet@envt.fr
  • 22.
    22 SAMPLE SIZE CALCULATION: Wheredoes the General Formula come from?
  • 23.
    UNDERSTANDING VARIABLES & TYPESOF ERROR ļ‚¢ μ0 and μA ļ‚¢ Means under Null & Alternate Hypotheses ļ‚¢ σ0 2 and σA 2 ļ‚¢ Variances under Null & Alternate Hypotheses (may be the same) ļ‚¢ N0 and NA ļ‚¢ Sample Sizes in two groups (may be the same) ļ‚¢ H0: Null Hypothesis ļ‚¢ μ0 – μA = 0 ļ‚¢ HA: Alternate Hypothesis ļ‚¢ μ0 – μA = Ī“ ļ‚¢ Type I Error (α): False +ve ļ‚¢ Probability of rejecting a true H0 ļ‚¢ Type II Error (β): False –ve ļ‚¢ Probability of rejecting a true HA ļ‚¢ Power (1-β): True +ve ļ‚¢ Probability of accepting a true H 23
  • 24.
    α/2 UNDERSTANDING SAMPLE SIZE DETERMINATION H0:μ0 – μA = 0 HA: μ0 – μA = Ī“ α/2 Power = 1-β β S.Error =σ(√2/N) S.Error =σ(√2/N) 0+Z1-α/2σ√(2/N) 0 Γ–Z1-βσ√(2/N) Ī“ X0–XA Critical Value 24
  • 25.
    FROM THE PREVIOUS GRAPH,WE HAVE 0+Z1-α/2σ√(2/N) = Γ–Z1-βσ√(2/N) Upon simplification, N = 2 σ2 [Z1-α/2 + Z1-β/2]2 Ī“ 2 25
  • 26.
    ANALYSIS: ANSWER THOSE FIVEKEY QUESTIONS 1. What is the main purpose of the trial? 2. What is the principal measure of patient outcome? 3. How will the data be analysed to detect a treatment difference? 4. What type of results does one anticipate with standard treatment? 5. How small a treatment difference is it important to detect and with what degree of certainty? Stuart Pocock in Clinical Trials, Wiley Int. 26
  • 27.
    SAMPLE SIZE FORA T TEST Input variables you will need α The Type I error probability for a two sided test. n For independent t-tests n is the number of experimental subjects. For pair test n is the number of pairs. power For independent tests power is probability of correctly rejecting the null hypothesis of equal population means Γ A difference in population means σ For independent tests σ is the within group standard deviation. For paired designs it is the standard deviation of difference in the response of matched pairs. m For independent tests m is the ratio of control to experimental patients. m is not defined for paired studies. 27
  • 28.
    SAMPLE SIZE FORA T TEST • A study with 1 control(s) per experimental subject. • In a previous study the response within each subject group was normally distributed with standard deviation 20. • SAMPLE SIZE: If the true difference in the experimental and control means is 15, we will need to study 38 experimental subjects and 38 control subjects • Power of 0.9 • The Type I error of 0.05 28
  • 29.
    SAMPLE SIZE VSEFFECT SIZE: T TEST 29
  • 30.
    SAMPLE SIZE VSPOWER: T TEST 30
  • 31.
    31 • The hypothesesto be tested: • The equivalence interval : [0.8, 1.25] • The experimental design : crossover (2Ɨ2) with the same number of subjects per sequence N • The consumer risk (α = 5%) • The producer/trialist risk (β = 20%) • A log transformation is required • An estimate of intra-subject variation from log-transformed data) • An estimate of µT/µR DETERMINING BE SAMPLE SIZE 25.18.0 ≤≤ R T µ µ multiplicative
  • 32.
    Acceptance Probability 0 0.2 0.4 0.6 0.8 1 1.2 0.8 0.91 1.1 1.2 T/R Probability Accept Prob (n=24) Accept Prob (n=36) Accept Prob (n=12) 32
  • 33.
    33 SAMPLE SIZE BE µT/µR CV% 0.85 0.90 0.95 1.00 1.05 1.10 1.15 1.20 5.0% 12 6 4 4 4 6 8 22 7.5% 22 8 6 6 6 8 12 44 10.0% 36 12 8 6 8 10 20 76 12.5% 54 16 10 8 10 14 30 118 15.0% 78 22 12 10 12 20 42 168 Number of subjects per sequence for a 2Ɨ2 crossover, log transformation, equivalence interval : [0.8, 1.25], α=5%, β = 20%
  • 34.
  • 35.
    BIOEQUIVALENT DRUG PRODUCTS ļ‚¢Pharmaceutical Equivalent ļ‚—Same dose and dosage form, ideally same assay and content uniformity ļ‚—Could be pharmaceutical alternative dose or form ļ‚¢ Bioequivalent ļ‚—Statistical and pharmacokinetic equivalent ļ‚—Equivalent rate and extent of absorption ļ‚¢ 90% CI of relative mean Cmax and AUC: 80-125% ļ‚¢ Interpretation: Therapeutic equivalence 35
  • 36.
    CURRENTLY PRACTICED BE ļ‚¢For almost all generic drugs today, the regulatory standard is ā€œaverage bioequivalence (IBE)ā€ ļ‚¢ Concluded from 2-product, 2-period, crossover studies with fixed effects ļ‚¢ That means ļ‚— An average patient (volunteer) will have ļ‚— An average Cmax and AUC ļ‚— From an average reference and test product ļ‚— That are not significantly different ļ‚¢ Problem: cannot individualize or generalize for population 36
  • 37.
    THREE MAIN CONCERNSWITH ABE ļ‚¢ Safety ļ‚— Generic N– as safe as the Brand? ļ‚¢ Prescribability ļ‚— Can a physician have an equal choice of prescribing Brand or Generic N to drug- naĆÆve patients? ļ‚¢ Switchability ļ‚— Can a patient stabilized on Generic1 be switched to Generic N? Brand Gen 1 Gen 2 Gen 3 Gen N ? 37
  • 38.
    LIMITATIONS OF ABEFROM A 2X2 STUDY ļ‚¢ Produces medical dilemma ļ‚¢ Ignores distribution of Cmax and AUC ļ‚¢ Within subject variation is not accurate ļ‚¢ Ignores correlated variances and subject-by- formulation interaction ļ‚¢ One criteria irrespective of inherent patterns of product, drug or patient variations ļ‚¢ Although rare, but may not be therapeutic equivalent 38
  • 39.
    OTHER CHOICES INBE AND THEIR CONDITIONS ļ‚¢ Individual Bioequivalence (IBE) ļ‚— Addresses switchability ļ‚¢ Population Bioequivalence (PBE) ļ‚— Addresses prescribability ļ‚¢ Design and statistics of IBE & PBE ļ‚— Take into account both population mean and variance ļ‚— Address switchability and thereby subject-fomulation interaction ļ‚— Provide same level of confidence (consumer’s risk of 5%) and power ļ‚— Accept formulations with reduced within subject variability 39
  • 40.
    INDIVIDUAL BIOEQUIVALENCE (IBE) METRIC 22 2 2 2 2 0 ( ) ( ) max( , ) T R D WT WR I WR W µ µ σ σ σ Īø σ σ āˆ’ + + āˆ’ ≤ 2 2 0 (ln1.25) I W ε Īø σ + = Where Where µT = mean of the test product µR = mean of the reference product σD 2 = variability due to the subject-by-formulation interaction σWT 2 = within-subject variability for the test product σWR 2 = within-subject variability for the reference product σW0 2 = specified constant within-subject variability 40
  • 41.
    POPULATION BIOEQUIVALENCE (PBE) METRIC Where µT= mean of the test product µR = mean of the reference product σTT 2 = total variability (within- and between-subject) of the test product σTR 2 = total variability (within- and between-subject) of the reference product σ0 2 = specified constant total variance ≤θP 41
  • 42.
    DESIGN OF 4-PERIOD,REPLICATE STUDIES Subjects Sequence 1 Sequence 2 T R PI W A S H O U T 1 Randomizaion PII PIII PIVW A S H O U T 2 W A S H O U T 3 R RR TT T 42
  • 43.
    SAMPLE SIZE FORIBE Source: US FDA Guidelines for Minimum 12 43
  • 44.
    SAMPLE SIZE FORPBE Source: US FDA Guidelines for Minimum 18 44
  • 45.
    CONDUCT OF REPLICATE STUDIES ļ‚¢Generally dosing, environmental control, blood sampling scheme and duration, diet, rest and sample preparation for bioanalysis are all the same as those for 2-period, crossover studies ļ‚¢ Avoid first-order carryover (from preceding formulation) & direct- by-carryover (from current and preceding formulation) effects ļ‚— Unlikely when the study is single dose, drug is not endogenous, washout is adequate, and the results meet all the criteria ļ‚¢ If conducted in groups, for logistical reasons, ANOVA model should take the period effect of multiple groups into account ļ‚¢ Use all data; if outliers are detected, make sure that they don’t indicate product failure or strong subject-formulation interaction 45
  • 46.
    Standards for IBEand PBE 2 ' 2 ' 2 2 ' 2 2 0 ( ) ( ) ( ) / 2 ( ) ( ) R T R R R R R T R R E y y E y y E y y E y y E y y Īø σ  āˆ’ āˆ’ āˆ’  āˆ’ļ£“ =  āˆ’ āˆ’ āˆ’ļ£“  ' 2 2 0( ) / 2R RE y y Ļƒāˆ’ ≄ ' 2 2 0( ) / 2R RE y y Ļƒāˆ’ < Where σ0 is constant variability. For IBE, YT, YR and YR ’ are PK responses from the test and two reference formulations to the same individual For PBE, YT, YR and YR’ are PK responses from the test and two reference formulations to the different individuals if if 46
  • 47.
    REFERENCE SCALING ļ‚¢ Ageneral objective in assessing BE is to compare the log- transformed BA measure after administration of the T and R products ļ‚¢ Population and individual approaches are based on the comparison of an expected squared distance between the T and R formulations to the expected squared distance between two administrations of the R formulation ļ‚¢ An acceptable T formulation is one where the T-R distance is not substantially greater than the R-R distance ļ‚¢ In both population and individual BE approaches, this comparison appears as a comparison to the reference variance, which is referred to as scaling to the reference variability 47
  • 48.
    REFERENCE SCALING.. ļ‚¢ Populationand individual BE approaches, but not the average BE approach, allow two types of scaling ļ‚— reference-scaling ļ‚— constant-scaling. ļ‚¢ Reference-scaling means that the criterion used is scaled to the variability of the R product, which effectively widens the BE limit for more variable reference products 48
  • 49.
  • 50.
    Declaring IBE andPBE IBE or PBE is claimed when 95% confidence upper bound of Īø is less than ĪøI or ĪøP and the observed ratio of geometric means is within bioequivalence limits of 80 – 125%. H0: Īø ≄ ĪøI or ĪøP; HA: < ĪøI or ĪøP 50
  • 51.
    ANALYSIS BY SASPROC MIXED 51
  • 52.
    EXAMPLE: TWO CYCLOSPORINE FORMULATIONS TEST:OPEN CIRCLES; REF.: CLOSED CIRCLES; N = 20 Canafax et al.(1999) Pharmacology 59:78–88 52
  • 53.
    ABE – TWOCYCLOSPORINE FORMULATIONS N = 20 Canafax et al.(1999) Pharmacology 59:78–88 53
  • 54.
    IBE – TWOCYCLOSPORINE FORMULATIONS N = 20 Canafax et al.(1999) Pharmacology 59:78–88 εI=0.04-0.05;Constant Scaled σW0 2 = 0.2; ĪøI = 2.245; IBE declared <ĪøI 54
  • 55.
    ANOTHER EXAMPLE: TWOALVERINE FORMULATIONS HIGHLY VARIABLE DRUG, INTRA-SUBJECT CV ~35%; N = 48 Chakraborty et al.(2010) Unpublished Data 55
  • 56.
    ABE, IBE &PBE: TWO ALVERINE FORMULATIONS HIGHLY VARIABLE DRUG, INTRA-SUBJECT CV ~35%; N = 48 Chakraborty et al.(2010) Unpublished Data 56
  • 57.