Simple Harmonic Motion
Simple Harmonic Motion A particle that moves back and forward in such a way that its acceleration at any instant is directly proportional to its distance from a fixed point, is said to undergo  Simple Harmonic Motion (SHM)
Simple Harmonic Motion A particle that moves back and forward in such a way that its acceleration at any instant is directly proportional to its distance from a fixed point, is said to undergo  Simple Harmonic Motion (SHM)
Simple Harmonic Motion A particle that moves back and forward in such a way that its acceleration at any instant is directly proportional to its distance from a fixed point, is said to undergo  Simple Harmonic Motion (SHM)
Simple Harmonic Motion A particle that moves back and forward in such a way that its acceleration at any instant is directly proportional to its distance from a fixed point, is said to undergo  Simple Harmonic Motion (SHM)
Simple Harmonic Motion A particle that moves back and forward in such a way that its acceleration at any instant is directly proportional to its distance from a fixed point, is said to undergo  Simple Harmonic Motion (SHM) (constant needs to be negative)
Simple Harmonic Motion A particle that moves back and forward in such a way that its acceleration at any instant is directly proportional to its distance from a fixed point, is said to undergo  Simple Harmonic Motion (SHM) (constant needs to be negative)
Simple Harmonic Motion A particle that moves back and forward in such a way that its acceleration at any instant is directly proportional to its distance from a fixed point, is said to undergo  Simple Harmonic Motion (SHM) (constant needs to be negative)
Simple Harmonic Motion A particle that moves back and forward in such a way that its acceleration at any instant is directly proportional to its distance from a fixed point, is said to undergo  Simple Harmonic Motion (SHM) (constant needs to be negative)
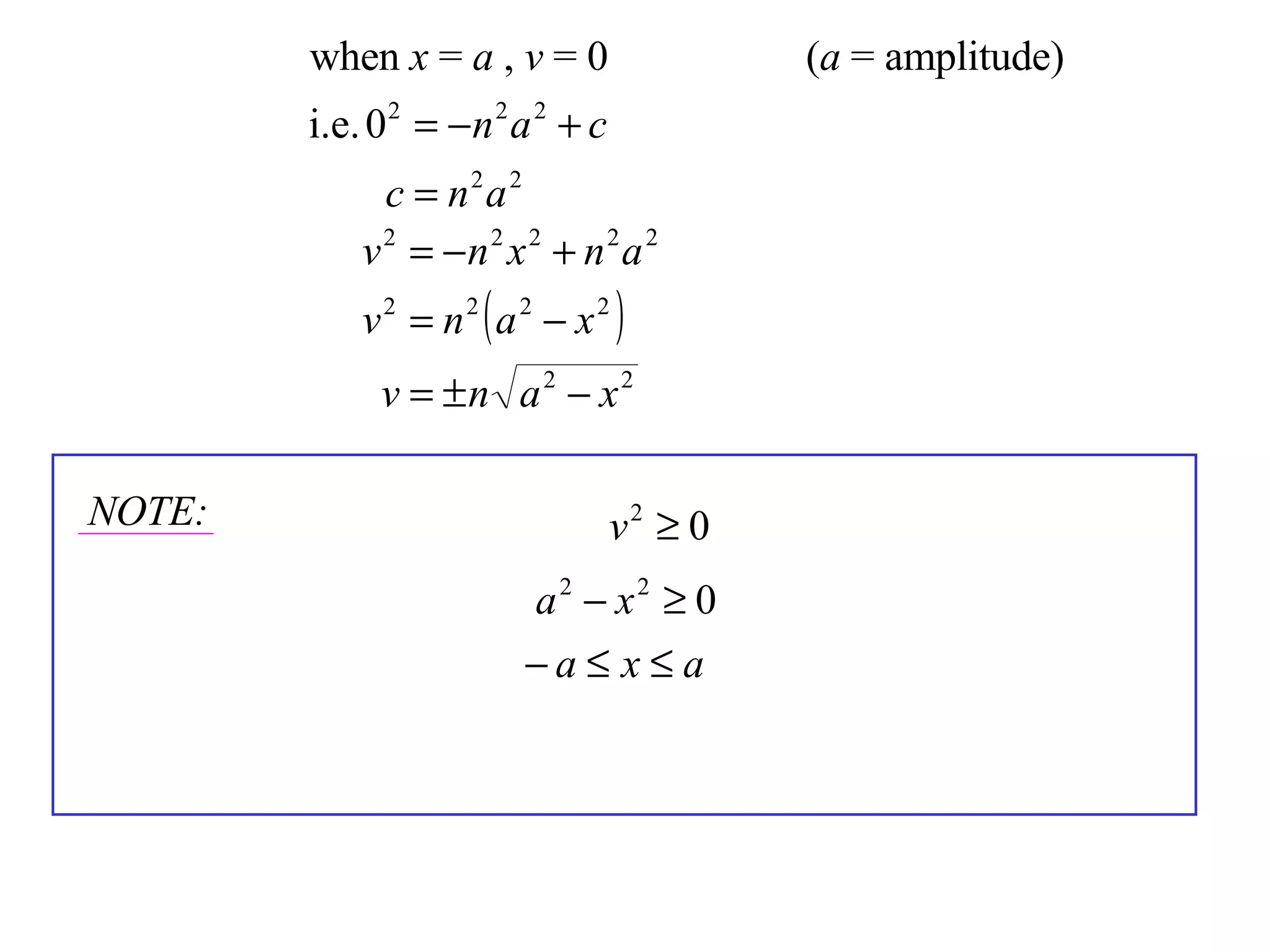
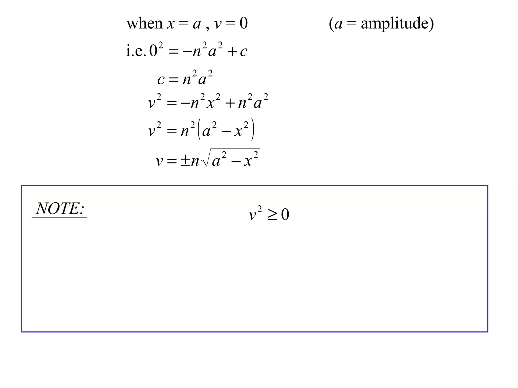
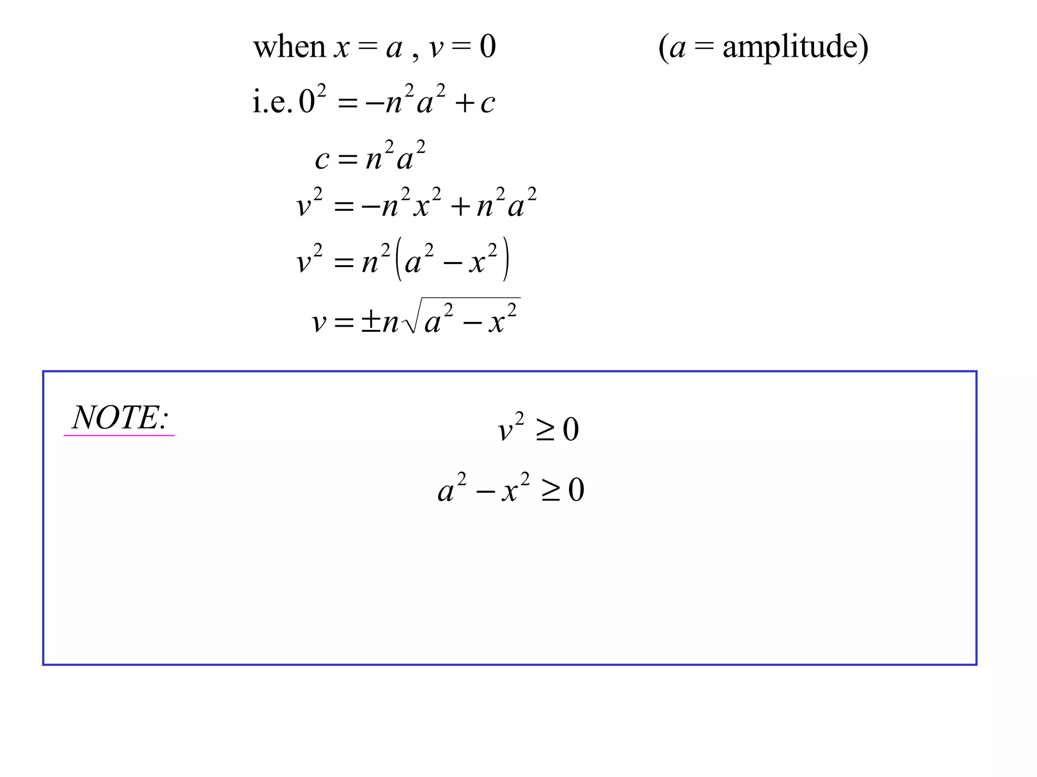
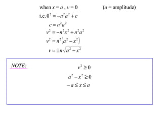
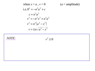
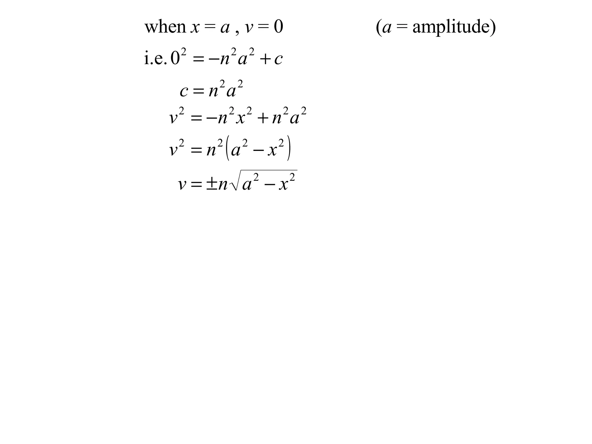
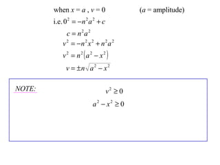
when  x  =  a  ,  v  = 0 ( a  = amplitude)
when  x  =  a  ,  v  = 0 ( a  = amplitude)
when  x  =  a  ,  v  = 0 ( a  = amplitude)
NOTE: when  x  =  a  ,  v  = 0 ( a  = amplitude)
NOTE: when  x  =  a  ,  v  = 0 ( a  = amplitude)
NOTE: when  x  =  a  ,  v  = 0 ( a  = amplitude)
NOTE: Particle travels back and forward between  x  = - a  and  x  =  a when  x  =  a  ,  v  = 0 ( a  = amplitude)
 
 
 
 
 
 
 
In general;
In general;
In general;
In general;
In general;
In general;
In general; the particle has;
In general; the particle has;
In general; the particle has; (time for one oscillation)
In general; the particle has; (time for one oscillation) (number of oscillations  per time period)
e.g. ( i ) A particle,  P,  moves on the  x  axis according to the law  x  = 4sin3 t .
e.g. ( i ) A particle,  P,  moves on the  x  axis according to the law  x  = 4sin3 t . a) Show that  P  is moving in SHM and state the period of motion.
e.g. ( i ) A particle,  P,  moves on the  x  axis according to the law  x  = 4sin3 t . a) Show that  P  is moving in SHM and state the period of motion.
e.g. ( i ) A particle,  P,  moves on the  x  axis according to the law  x  = 4sin3 t . a) Show that  P  is moving in SHM and state the period of motion.
e.g. ( i ) A particle,  P,  moves on the  x  axis according to the law  x  = 4sin3 t . a) Show that  P  is moving in SHM and state the period of motion.
e.g. ( i ) A particle,  P,  moves on the  x  axis according to the law  x  = 4sin3 t . a) Show that  P  is moving in SHM and state the period of motion.
e.g. ( i ) A particle,  P,  moves on the  x  axis according to the law  x  = 4sin3 t . a) Show that  P  is moving in SHM and state the period of motion.
e.g. ( i ) A particle,  P,  moves on the  x  axis according to the law  x  = 4sin3 t . a) Show that  P  is moving in SHM and state the period of motion. b) Find the interval in which the particle moves and determine the greatest speed.
e.g. ( i ) A particle,  P,  moves on the  x  axis according to the law  x  = 4sin3 t . a) Show that  P  is moving in SHM and state the period of motion. b) Find the interval in which the particle moves and determine the greatest speed.
( ii ) A particle moves so that its acceleration is given by Initially the particle is 3cm to the right of  O  and traveling with a velocity of 6cm/s. Find the interval in which the particle moves and determine the greatest acceleration.
( ii ) A particle moves so that its acceleration is given by Initially the particle is 3cm to the right of  O  and traveling with a velocity of 6cm/s. Find the interval in which the particle moves and determine the greatest acceleration.
( ii ) A particle moves so that its acceleration is given by Initially the particle is 3cm to the right of  O  and traveling with a velocity of 6cm/s. Find the interval in which the particle moves and determine the greatest acceleration.
( ii ) A particle moves so that its acceleration is given by Initially the particle is 3cm to the right of  O  and traveling with a velocity of 6cm/s. Find the interval in which the particle moves and determine the greatest acceleration.
( ii ) A particle moves so that its acceleration is given by Initially the particle is 3cm to the right of  O  and traveling with a velocity of 6cm/s. Find the interval in which the particle moves and determine the greatest acceleration.
( ii ) A particle moves so that its acceleration is given by Initially the particle is 3cm to the right of  O  and traveling with a velocity of 6cm/s. Find the interval in which the particle moves and determine the greatest acceleration.
( ii ) A particle moves so that its acceleration is given by Initially the particle is 3cm to the right of  O  and traveling with a velocity of 6cm/s. Find the interval in which the particle moves and determine the greatest acceleration.
( ii ) A particle moves so that its acceleration is given by Initially the particle is 3cm to the right of  O  and traveling with a velocity of 6cm/s. Find the interval in which the particle moves and determine the greatest acceleration.
NOTE:
NOTE: At amplitude; v  = 0 a  is maximum
NOTE: At amplitude; v  = 0 a  is maximum At centre; v  is maximum a  = 0
Exercise 3D; 1, 6, 7, 10, 12, 14ab, 15ab, 18, 19, 22, 24, 25 (start with trig, prove SHM or are told) Exercise 3F; 1, 4, 5b, 6b, 8, 9a, 10a, 13, 14 a, b( ii,iv ), 16, 18, 19 (start with  )  NOTE: At amplitude; v  = 0 a  is maximum At centre; v  is maximum a  = 0

12 X1 T07 02 Simple Harmonic Motion

  • 1.
  • 2.
    Simple Harmonic MotionA particle that moves back and forward in such a way that its acceleration at any instant is directly proportional to its distance from a fixed point, is said to undergo Simple Harmonic Motion (SHM)
  • 3.
    Simple Harmonic MotionA particle that moves back and forward in such a way that its acceleration at any instant is directly proportional to its distance from a fixed point, is said to undergo Simple Harmonic Motion (SHM)
  • 4.
    Simple Harmonic MotionA particle that moves back and forward in such a way that its acceleration at any instant is directly proportional to its distance from a fixed point, is said to undergo Simple Harmonic Motion (SHM)
  • 5.
    Simple Harmonic MotionA particle that moves back and forward in such a way that its acceleration at any instant is directly proportional to its distance from a fixed point, is said to undergo Simple Harmonic Motion (SHM)
  • 6.
    Simple Harmonic MotionA particle that moves back and forward in such a way that its acceleration at any instant is directly proportional to its distance from a fixed point, is said to undergo Simple Harmonic Motion (SHM) (constant needs to be negative)
  • 7.
    Simple Harmonic MotionA particle that moves back and forward in such a way that its acceleration at any instant is directly proportional to its distance from a fixed point, is said to undergo Simple Harmonic Motion (SHM) (constant needs to be negative)
  • 8.
    Simple Harmonic MotionA particle that moves back and forward in such a way that its acceleration at any instant is directly proportional to its distance from a fixed point, is said to undergo Simple Harmonic Motion (SHM) (constant needs to be negative)
  • 9.
    Simple Harmonic MotionA particle that moves back and forward in such a way that its acceleration at any instant is directly proportional to its distance from a fixed point, is said to undergo Simple Harmonic Motion (SHM) (constant needs to be negative)
  • 10.
    when x = a , v = 0 ( a = amplitude)
  • 11.
    when x = a , v = 0 ( a = amplitude)
  • 12.
    when x = a , v = 0 ( a = amplitude)
  • 13.
    NOTE: when x = a , v = 0 ( a = amplitude)
  • 14.
    NOTE: when x = a , v = 0 ( a = amplitude)
  • 15.
    NOTE: when x = a , v = 0 ( a = amplitude)
  • 16.
    NOTE: Particle travelsback and forward between x = - a and x = a when x = a , v = 0 ( a = amplitude)
  • 17.
  • 18.
  • 19.
  • 20.
  • 21.
  • 22.
  • 23.
  • 24.
  • 25.
  • 26.
  • 27.
  • 28.
  • 29.
  • 30.
    In general; theparticle has;
  • 31.
    In general; theparticle has;
  • 32.
    In general; theparticle has; (time for one oscillation)
  • 33.
    In general; theparticle has; (time for one oscillation) (number of oscillations per time period)
  • 34.
    e.g. ( i) A particle, P, moves on the x axis according to the law x = 4sin3 t .
  • 35.
    e.g. ( i) A particle, P, moves on the x axis according to the law x = 4sin3 t . a) Show that P is moving in SHM and state the period of motion.
  • 36.
    e.g. ( i) A particle, P, moves on the x axis according to the law x = 4sin3 t . a) Show that P is moving in SHM and state the period of motion.
  • 37.
    e.g. ( i) A particle, P, moves on the x axis according to the law x = 4sin3 t . a) Show that P is moving in SHM and state the period of motion.
  • 38.
    e.g. ( i) A particle, P, moves on the x axis according to the law x = 4sin3 t . a) Show that P is moving in SHM and state the period of motion.
  • 39.
    e.g. ( i) A particle, P, moves on the x axis according to the law x = 4sin3 t . a) Show that P is moving in SHM and state the period of motion.
  • 40.
    e.g. ( i) A particle, P, moves on the x axis according to the law x = 4sin3 t . a) Show that P is moving in SHM and state the period of motion.
  • 41.
    e.g. ( i) A particle, P, moves on the x axis according to the law x = 4sin3 t . a) Show that P is moving in SHM and state the period of motion. b) Find the interval in which the particle moves and determine the greatest speed.
  • 42.
    e.g. ( i) A particle, P, moves on the x axis according to the law x = 4sin3 t . a) Show that P is moving in SHM and state the period of motion. b) Find the interval in which the particle moves and determine the greatest speed.
  • 43.
    ( ii )A particle moves so that its acceleration is given by Initially the particle is 3cm to the right of O and traveling with a velocity of 6cm/s. Find the interval in which the particle moves and determine the greatest acceleration.
  • 44.
    ( ii )A particle moves so that its acceleration is given by Initially the particle is 3cm to the right of O and traveling with a velocity of 6cm/s. Find the interval in which the particle moves and determine the greatest acceleration.
  • 45.
    ( ii )A particle moves so that its acceleration is given by Initially the particle is 3cm to the right of O and traveling with a velocity of 6cm/s. Find the interval in which the particle moves and determine the greatest acceleration.
  • 46.
    ( ii )A particle moves so that its acceleration is given by Initially the particle is 3cm to the right of O and traveling with a velocity of 6cm/s. Find the interval in which the particle moves and determine the greatest acceleration.
  • 47.
    ( ii )A particle moves so that its acceleration is given by Initially the particle is 3cm to the right of O and traveling with a velocity of 6cm/s. Find the interval in which the particle moves and determine the greatest acceleration.
  • 48.
    ( ii )A particle moves so that its acceleration is given by Initially the particle is 3cm to the right of O and traveling with a velocity of 6cm/s. Find the interval in which the particle moves and determine the greatest acceleration.
  • 49.
    ( ii )A particle moves so that its acceleration is given by Initially the particle is 3cm to the right of O and traveling with a velocity of 6cm/s. Find the interval in which the particle moves and determine the greatest acceleration.
  • 50.
    ( ii )A particle moves so that its acceleration is given by Initially the particle is 3cm to the right of O and traveling with a velocity of 6cm/s. Find the interval in which the particle moves and determine the greatest acceleration.
  • 51.
  • 52.
    NOTE: At amplitude;v = 0 a is maximum
  • 53.
    NOTE: At amplitude;v = 0 a is maximum At centre; v is maximum a = 0
  • 54.
    Exercise 3D; 1,6, 7, 10, 12, 14ab, 15ab, 18, 19, 22, 24, 25 (start with trig, prove SHM or are told) Exercise 3F; 1, 4, 5b, 6b, 8, 9a, 10a, 13, 14 a, b( ii,iv ), 16, 18, 19 (start with ) NOTE: At amplitude; v = 0 a is maximum At centre; v is maximum a = 0