Indefinite Integral
Indefinite Integral
               x n 1
1  x n dx         c
               n 1
Indefinite Integral
               x n 1
1  x n dx         c
               n 1
                      ax  b n1
2  ax  b n dx               c
                       an  1
Indefinite Integral
               x n 1
1  x n dx         c
               n 1
                      ax  b n1      must be a linear function 
2  ax  b n dx               c
                       an  1
Indefinite Integral
                  x n 1
   1  x n dx         c
                  n 1
                         ax  b n1      must be a linear function 
   2  ax  b n dx               c
                          an  1


e.g. i  2  5 x  dx
                   3
Indefinite Integral
                  x n 1
   1  x n dx         c
                  n 1
                         ax  b n1           must be a linear function 
   2  ax  b n dx               c
                          an  1

                             1
e.g. i  2  5 x  dx 
                  3
                                  2  5 x 4  c
                           4 5
                             1
                           2  5 x   c
                                         4

                             20
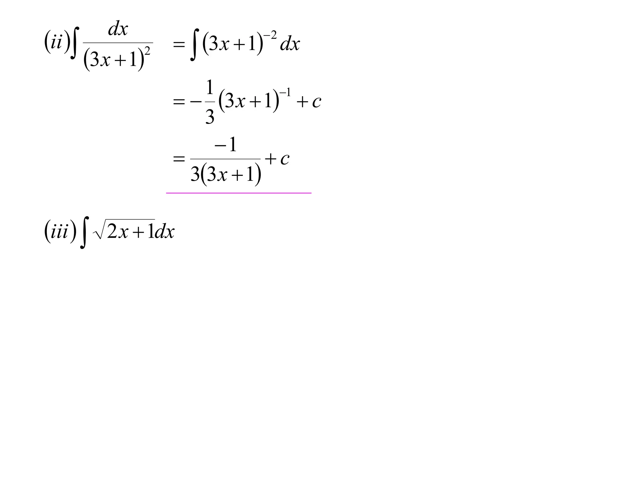
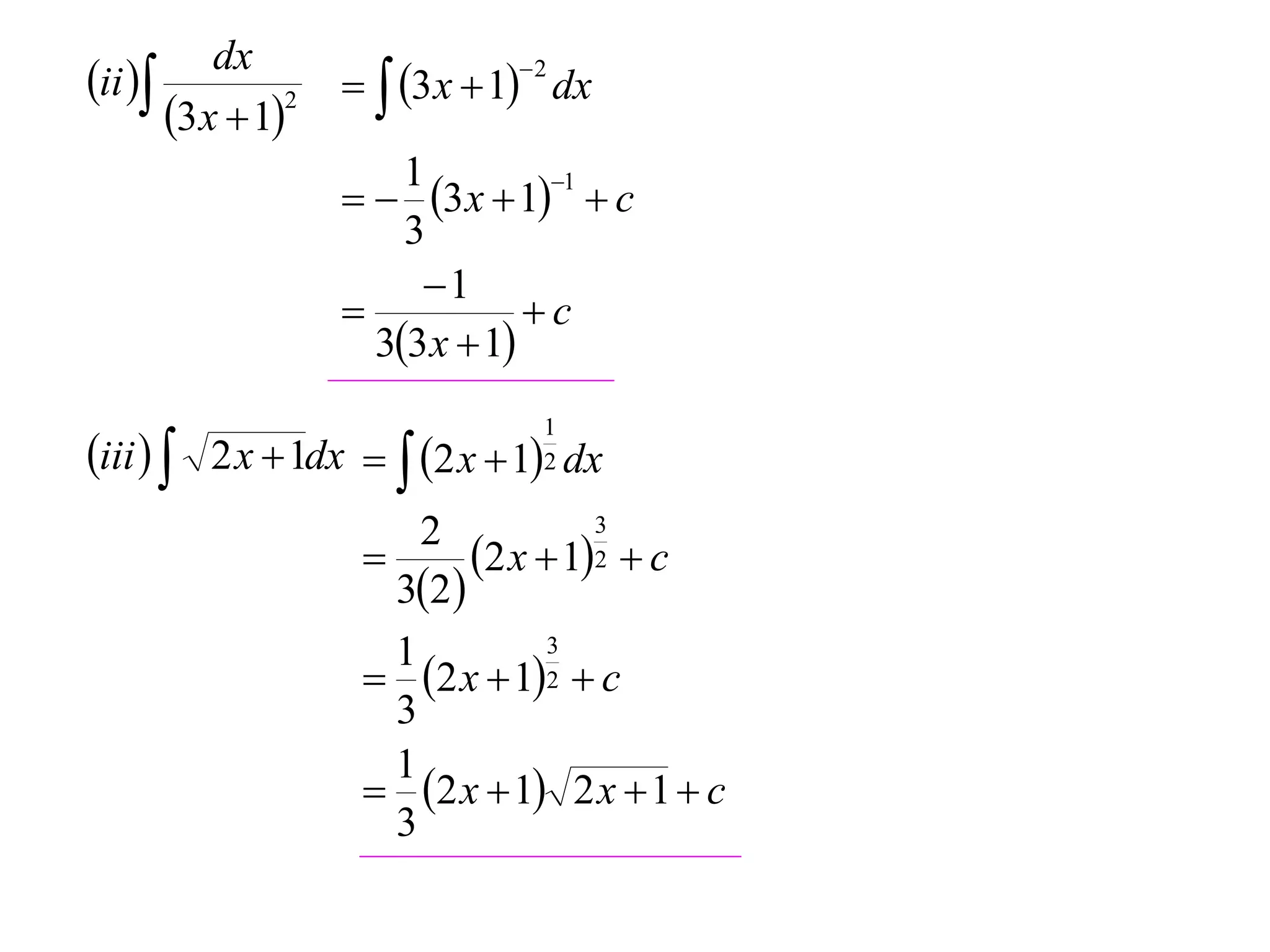
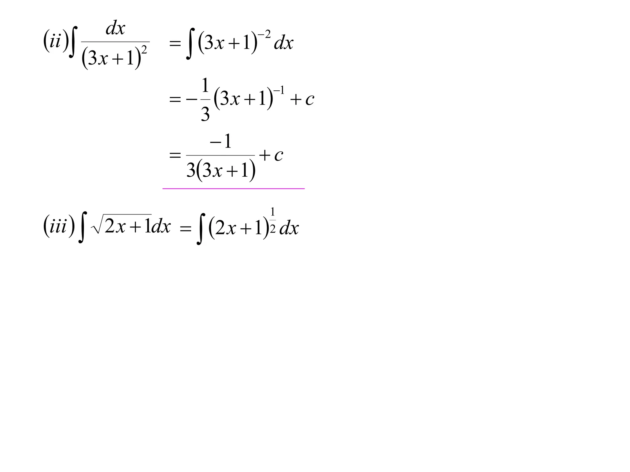
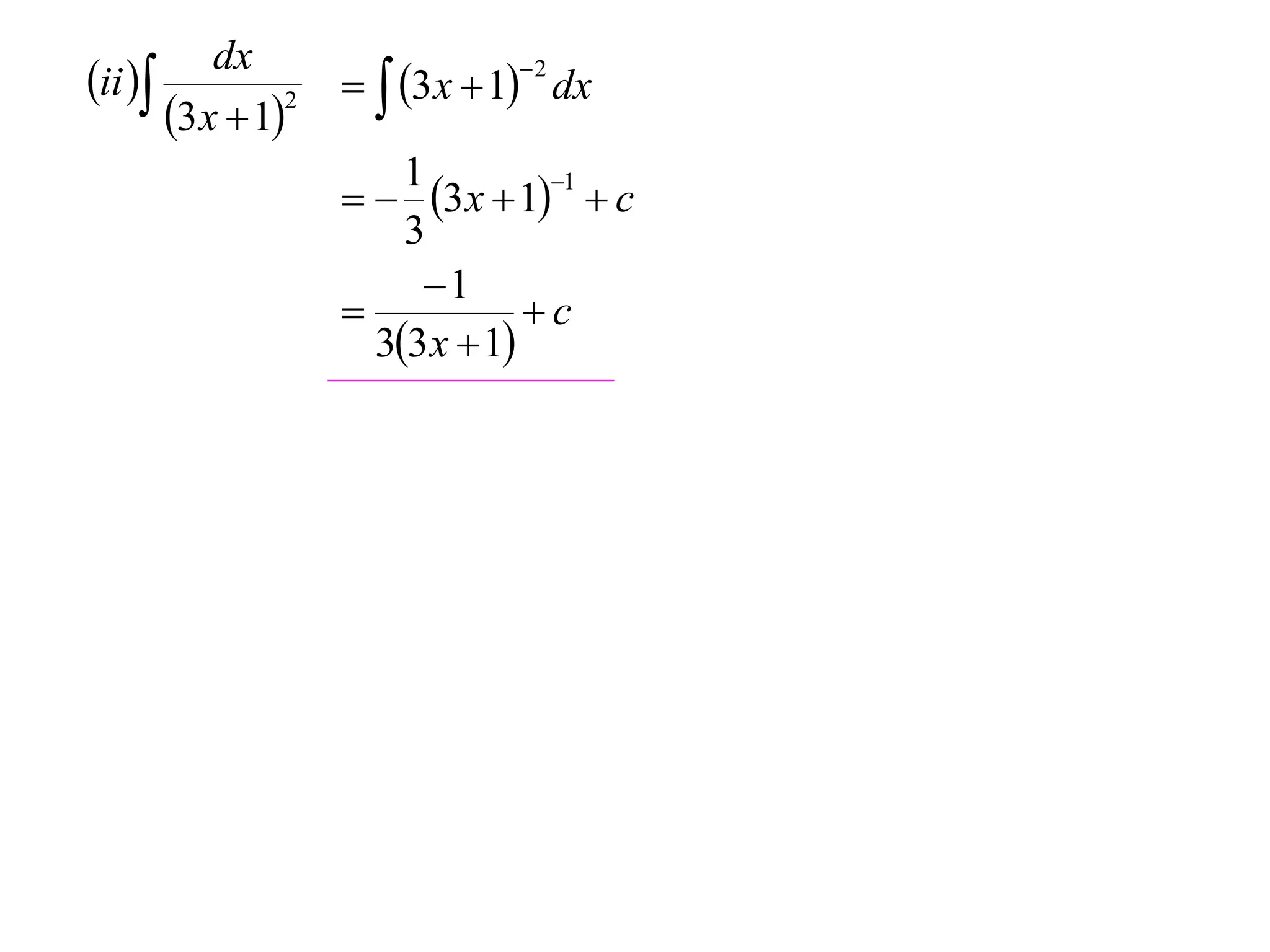
dx
ii 
       3x  12
dx
ii                3 x  1 dx
                              2

       3x  12
dx
ii                3 x  1 dx
                               2

       3x  12
                       1
                       3x  11  c
                       3
                        1
                               c
                     33 x  1
dx
ii                3 x  1 dx
                               2

       3x  12
                       1
                       3x  11  c
                       3
                        1
                               c
                     33 x  1

iii   2 x  1dx
dx
ii                3 x  1 dx
                               2

       3x  12
                       1
                       3x  11  c
                       3
                        1
                               c
                     33 x  1

iii   2 x  1dx   2 x  1 dx
                                1
                                2
dx
ii                3 x  1 dx
                               2

       3x  12
                       1
                       3x  11  c
                       3
                        1
                               c
                     33 x  1

iii   2 x  1dx   2 x  1 dx
                                1
                                2


                        2            3
                           2 x  12  c
                      32 
                      1           3
                     2 x  12  c
                      3
                      1
                     2 x  1 2 x  1  c
                      3
dx
ii                3 x  1 dx
                               2

       3x  12
                       1
                       3x  11  c
                       3
                        1
                               c
                     33 x  1

iii   2 x  1dx   2 x  1 dx
                                1
                                2
                                              Exercise 11D; 1bei, 2bcg,
                       2              3
                          2 x  1  c      4afh, 5cfi, 6ceh, 7bfil, 8*
                     32 
                                      2


                     1           3
                     2 x  12  c
                     3
                     1
                     2 x  1 2 x  1  c
                     3

11X1 T16 03 indefinite integral (2011)

  • 1.
  • 2.
    Indefinite Integral x n 1 1  x n dx  c n 1
  • 3.
    Indefinite Integral x n 1 1  x n dx  c n 1 ax  b n1 2  ax  b n dx  c an  1
  • 4.
    Indefinite Integral x n 1 1  x n dx  c n 1 ax  b n1 must be a linear function  2  ax  b n dx  c an  1
  • 5.
    Indefinite Integral x n 1 1  x n dx  c n 1 ax  b n1 must be a linear function  2  ax  b n dx  c an  1 e.g. i  2  5 x  dx 3
  • 6.
    Indefinite Integral x n 1 1  x n dx  c n 1 ax  b n1 must be a linear function  2  ax  b n dx  c an  1 1 e.g. i  2  5 x  dx  3 2  5 x 4  c 4 5 1   2  5 x   c 4 20
  • 7.
    dx ii  3x  12
  • 8.
    dx ii    3 x  1 dx 2 3x  12
  • 9.
    dx ii    3 x  1 dx 2 3x  12 1  3x  11  c 3 1  c 33 x  1
  • 10.
    dx ii    3 x  1 dx 2 3x  12 1  3x  11  c 3 1  c 33 x  1 iii   2 x  1dx
  • 11.
    dx ii    3 x  1 dx 2 3x  12 1  3x  11  c 3 1  c 33 x  1 iii   2 x  1dx   2 x  1 dx 1 2
  • 12.
    dx ii    3 x  1 dx 2 3x  12 1  3x  11  c 3 1  c 33 x  1 iii   2 x  1dx   2 x  1 dx 1 2 2 3  2 x  12  c 32  1 3  2 x  12  c 3 1  2 x  1 2 x  1  c 3
  • 13.
    dx ii    3 x  1 dx 2 3x  12 1  3x  11  c 3 1  c 33 x  1 iii   2 x  1dx   2 x  1 dx 1 2 Exercise 11D; 1bei, 2bcg, 2 3  2 x  1  c 4afh, 5cfi, 6ceh, 7bfil, 8* 32  2 1 3  2 x  12  c 3 1  2 x  1 2 x  1  c 3