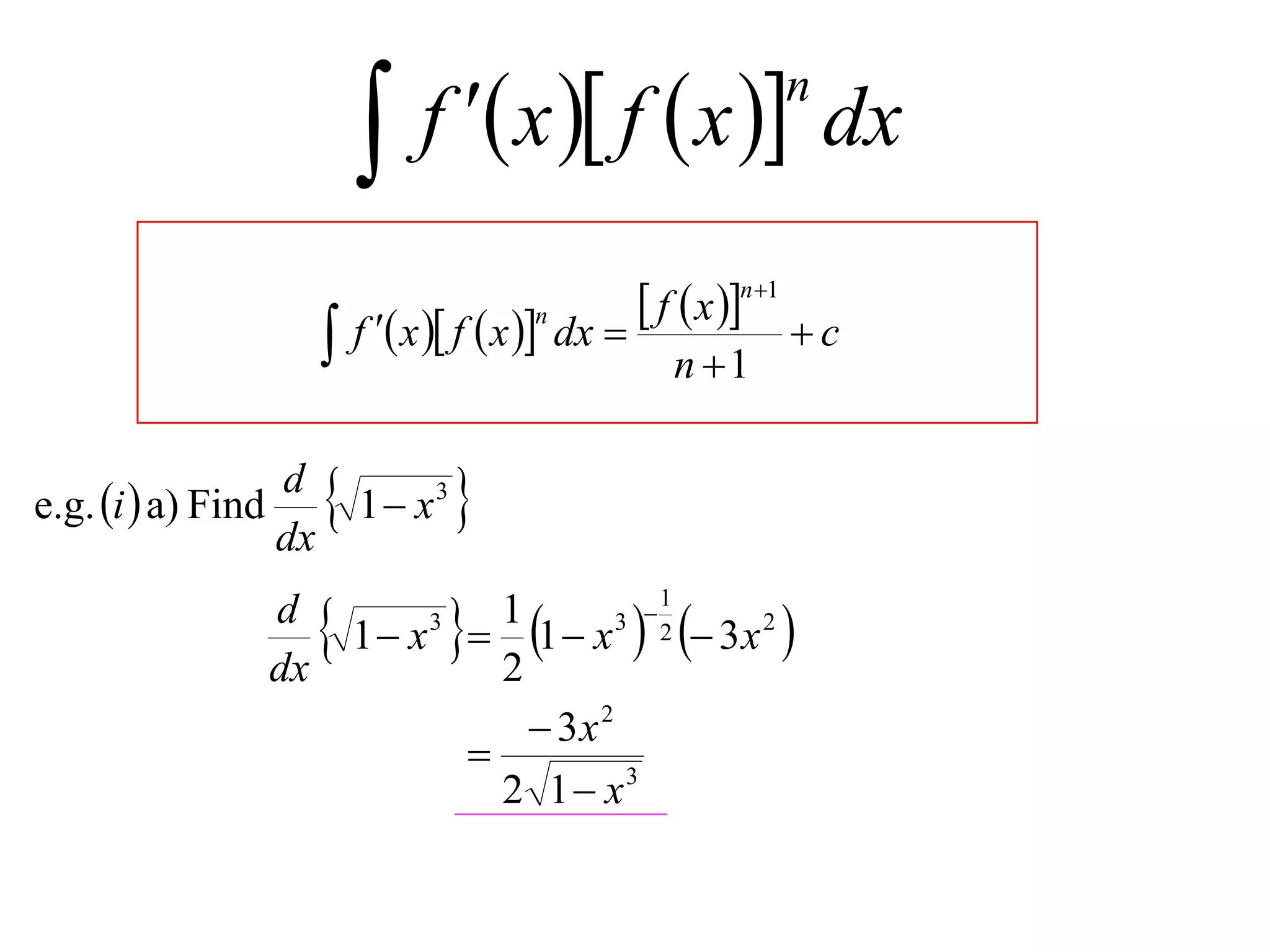
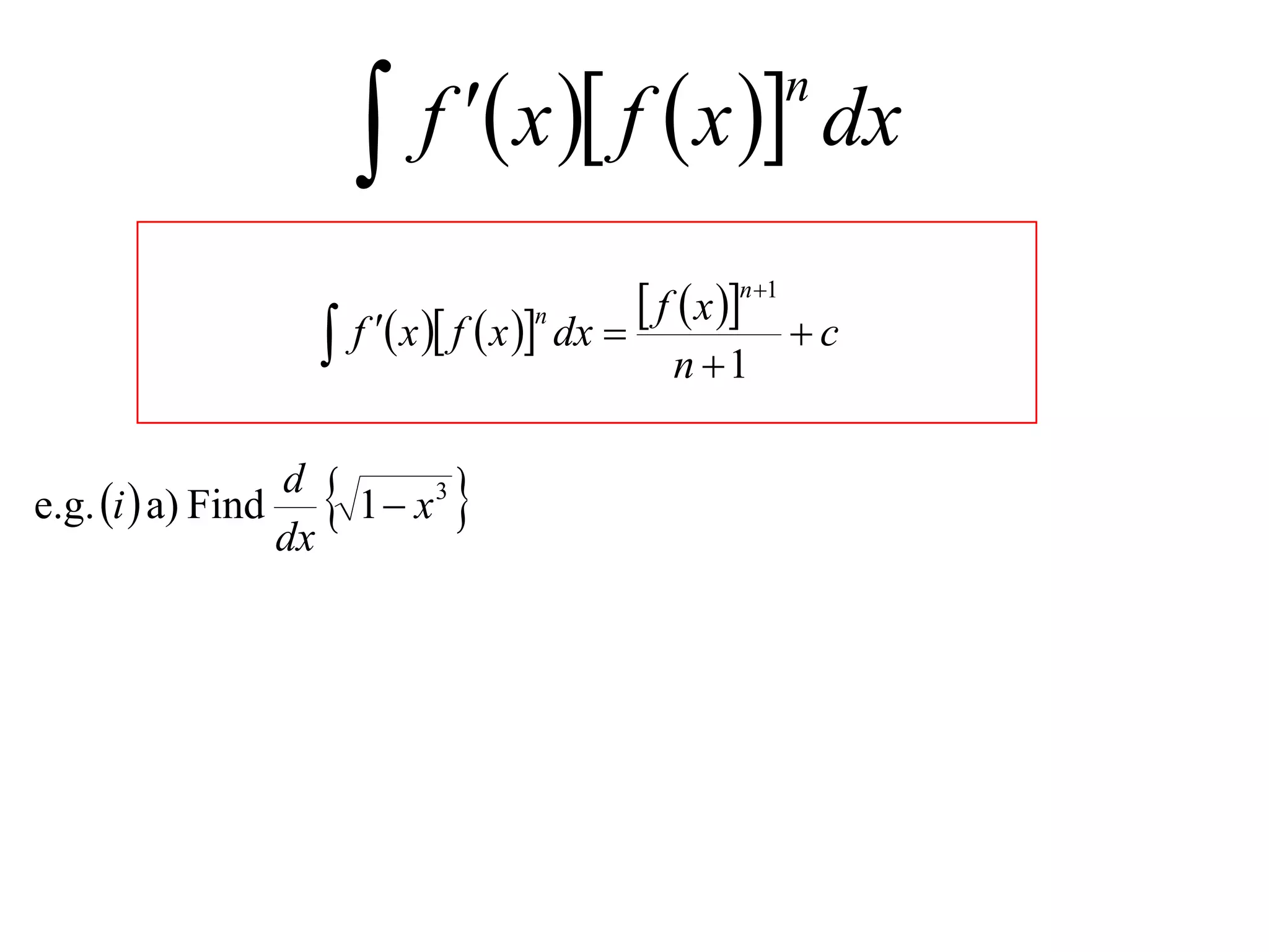
   f  x  f  x  dx
                   n
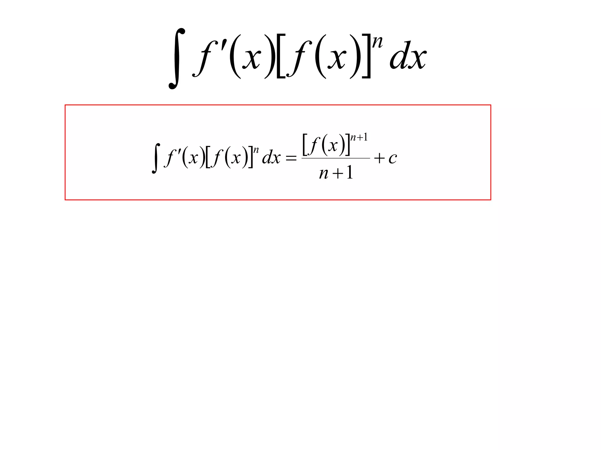
     f  x  f  x  dx
                                      n



                           f  x n1  c
 f  x  f  x  dx 
                 n

                             n 1
     f  x  f  x  dx
                                                             n



                                                  f  x n1  c
                        f  x  f  x  dx 
                                        n

                                                    n 1


e.g. i  a) Find
                  d
                  dx
                        1 x  3
    f  x  f  x  dx
                                                             n



                                                  f  x n1  c
                        f  x  f  x  dx 
                                        n

                                                    n 1


e.g. i  a) Find
                  d
                  dx
                        1 x   3




                                 
                           1  x 3  1  x 3  2  3 x 2 
                                                 1
                d                    1         

                dx                   2
                                        3x 2
                                   
                                     2 1  x3
x2
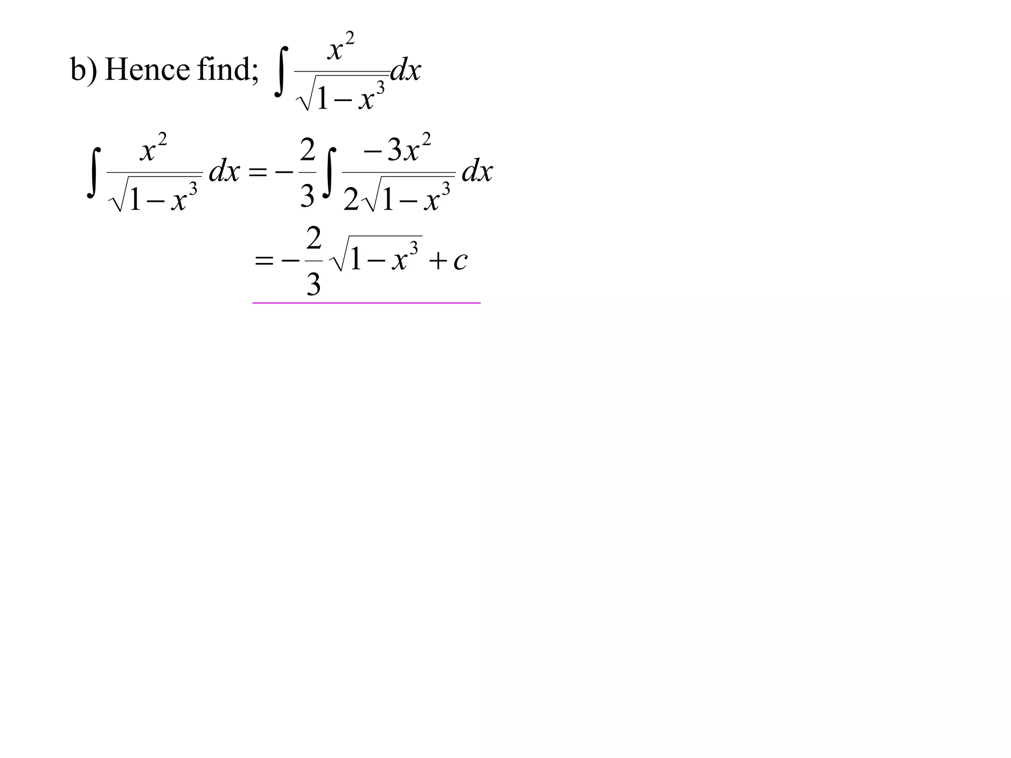
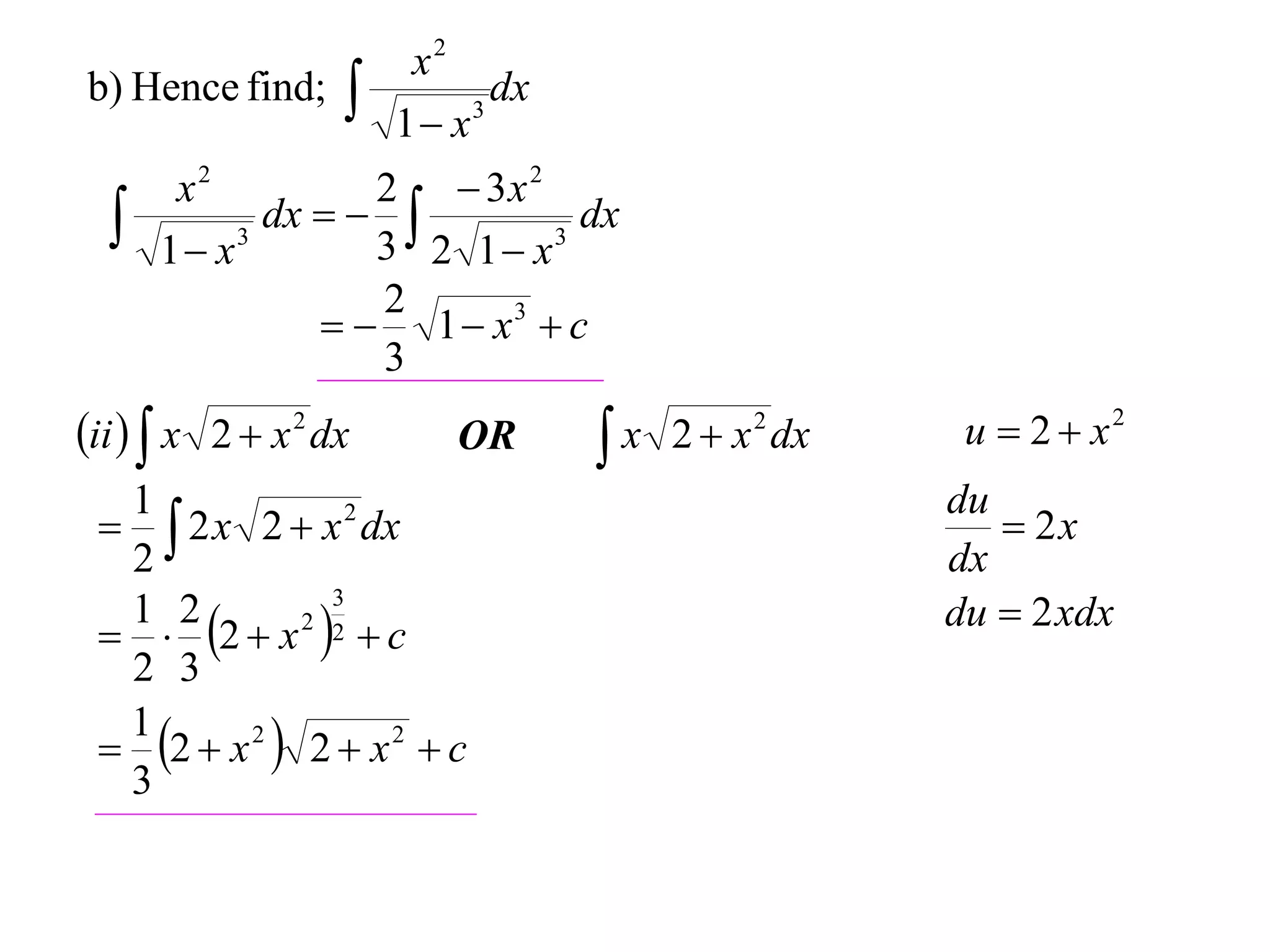
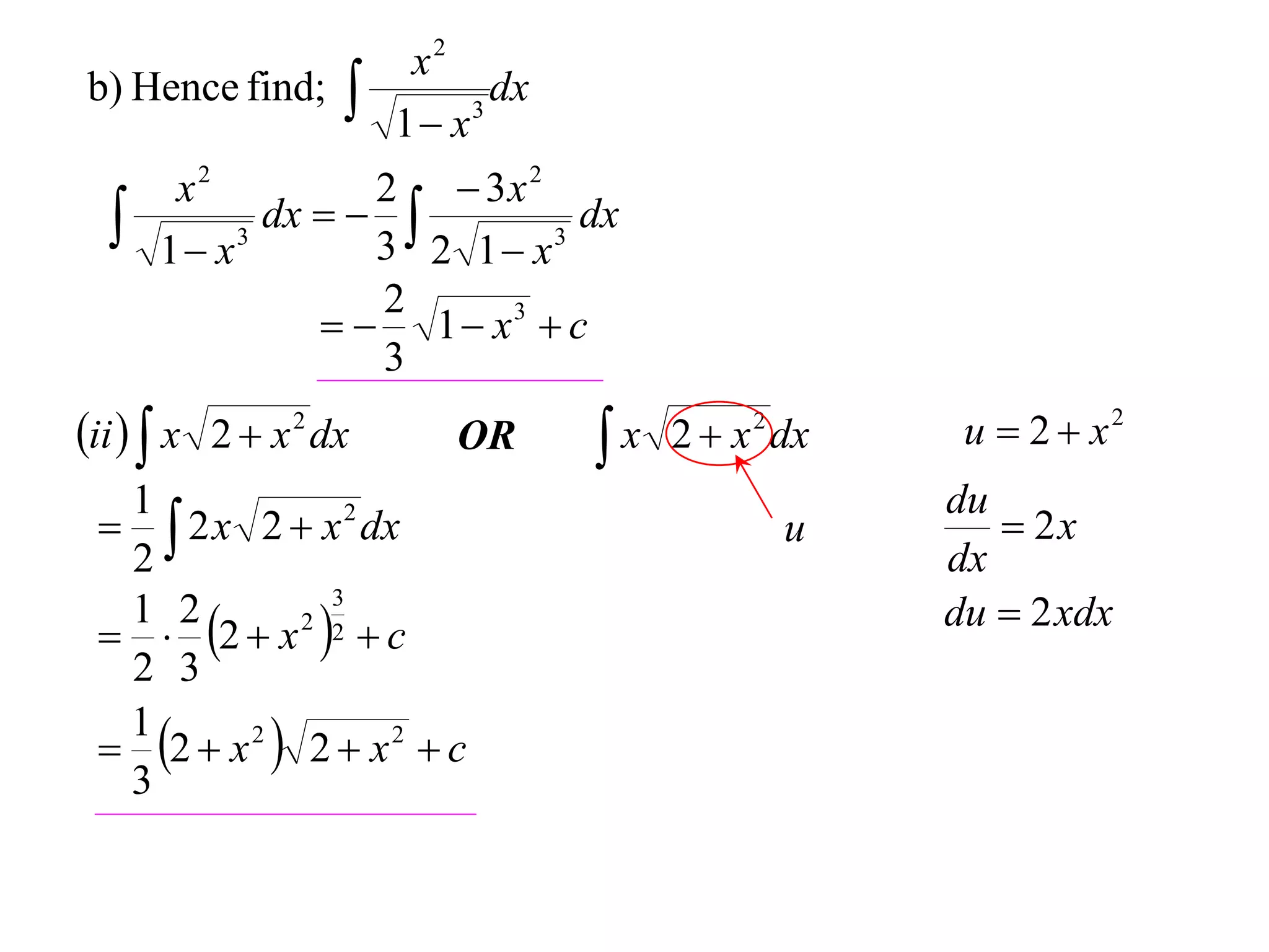
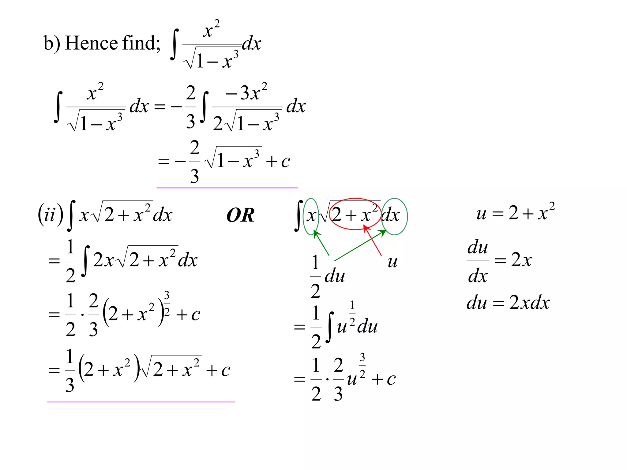
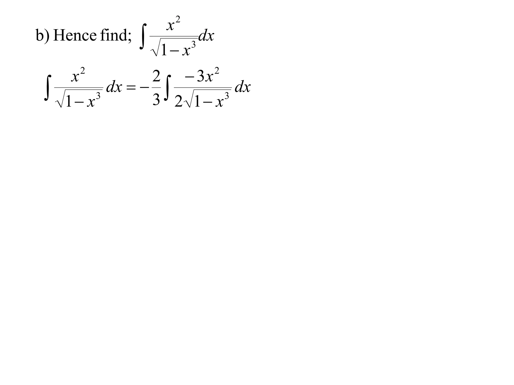
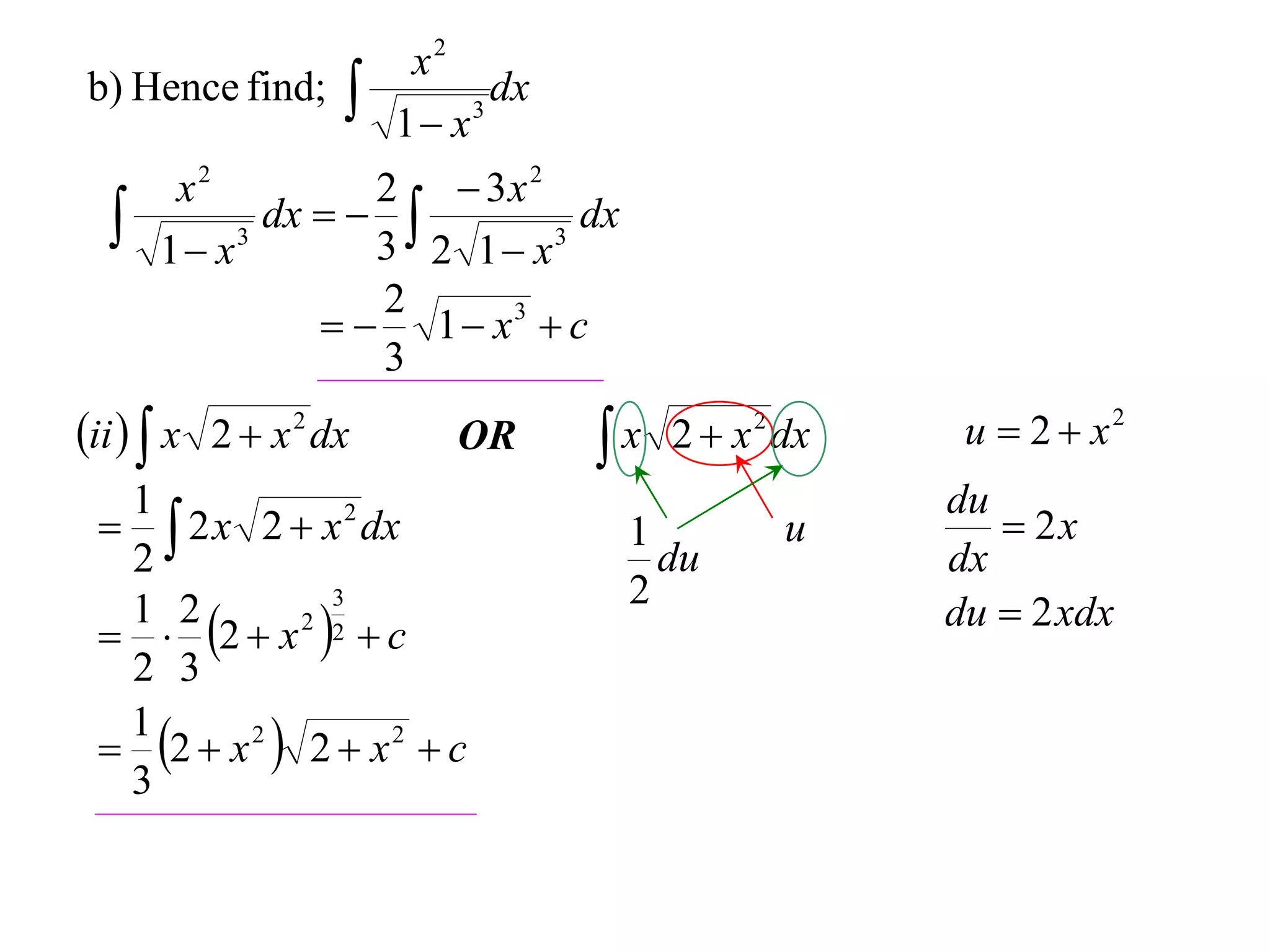
b) Hence find;      1 x 3
                            dx
x2
b) Hence find;      1 x 3
                            dx

      x2          2  3x 2
    1 x 3
            dx   
                  3 2 1 x 3
                             dx
x2
b) Hence find;      1 x 3
                            dx

      x2          2  3x 2
    1 x 3
            dx   
                  3 2 1 x 3
                             dx

                  2
                 1  x3  c
                  3
x2
b) Hence find;        1 x 3
                              dx

       x2          2  3x 2
     1 x 3
             dx   
                   3 2 1 x 3
                              dx

                   2
                  1  x3  c
                   3
ii   x 2  x 2 dx
x2
b) Hence find;        1 x 3
                              dx

       x2          2  3x 2
     1 x 3
             dx   
                   3 2 1 x 3
                              dx

                   2
                  1  x3  c
                   3
ii   x 2  x 2 dx
  1
   2 x 2  x 2 dx
  2
x2
b) Hence find;        1 x 3
                              dx

       x2          2  3x 2
     1 x 3
             dx   
                   3 2 1 x 3
                              dx

                   2
                  1  x3  c
                   3
ii   x 2  x 2 dx
  1
   2 x 2  x 2 dx
  2
   2  x 2 2  c
               3
  1 2
  2 3
x2
b) Hence find;        1 x 3
                              dx

       x2          2  3x 2
     1 x 3
             dx   
                   3 2 1 x 3
                              dx

                   2
                  1  x3  c
                   3
ii   x 2  x 2 dx
  1
   2 x 2  x 2 dx
  2
   2  x 2 2  c
               3
  1 2
  2 3
  2  x 2  2  x 2  c
  1
  3
x2
b) Hence find;        1 x 3
                              dx

       x2          2  3x 2
     1 x 3
             dx   
                   3 2 1 x 3
                              dx

                   2
                  1  x3  c
                   3
ii   x 2  x 2 dx       OR       x 2  x 2 dx
  1
   2 x 2  x 2 dx
  2
   2  x 2 2  c
               3
  1 2
  2 3
  2  x 2  2  x 2  c
  1
  3
x2
b) Hence find;        1 x 3
                              dx

       x2          2  3x 2
     1 x 3
             dx   
                   3 2 1 x 3
                              dx

                   2
                  1  x3  c
                   3
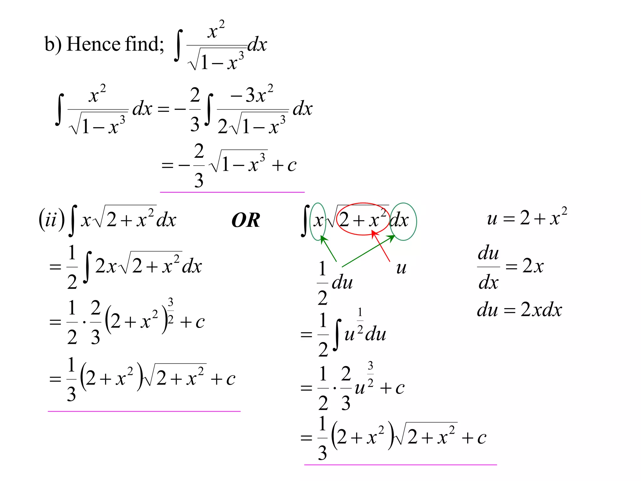
ii   x 2  x 2 dx       OR       x 2  x 2 dx   u  2  x2
  1
   2 x 2  x 2 dx
  2
   2  x 2 2  c
               3
  1 2
  2 3
  2  x 2  2  x 2  c
  1
  3
x2
b) Hence find;        1 x 3
                              dx

       x2          2  3x 2
     1 x 3
             dx   
                   3 2 1 x 3
                              dx

                   2
                  1  x3  c
                   3
ii   x 2  x 2 dx       OR       x 2  x 2 dx    u  2  x2
  1                                                 du
   2 x 2  x 2 dx                                     2x
  2                                                 dx
                                                    du  2 xdx
   2  x 2 2  c
               3
  1 2
  2 3
  2  x 2  2  x 2  c
  1
  3
x2
b) Hence find;        1 x 3
                              dx

       x2          2  3x 2
     1 x 3
             dx   
                   3 2 1 x 3
                              dx

                   2
                  1  x3  c
                   3
ii   x 2  x 2 dx       OR       x 2  x 2 dx    u  2  x2
  1                                                 du
   2 x 2  x 2 dx                            u        2x
  2                                                 dx
                                                    du  2 xdx
   2  x 2 2  c
               3
  1 2
  2 3
  2  x 2  2  x 2  c
  1
  3
x2
b) Hence find;        1 x 3
                              dx

       x2          2  3x 2
     1 x 3
             dx   
                   3 2 1 x 3
                              dx

                   2
                  1  x3  c
                   3
ii   x 2  x 2 dx       OR       x 2  x 2 dx    u  2  x2
  1                                                 du
   2 x 2  x 2 dx                  1         u        2x
  2                                    du           dx
                                     2
                                                    du  2 xdx
   2  x 2 2  c
               3
  1 2
  2 3
  2  x 2  2  x 2  c
  1
  3
x2
b) Hence find;        1 x 3
                              dx

       x2          2  3x 2
     1 x 3
             dx   
                   3 2 1 x 3
                              dx

                   2
                  1  x3  c
                   3
ii   x 2  x 2 dx       OR       x 2  x 2 dx    u  2  x2
  1                                                 du
   2 x 2  x 2 dx                 1       u           2x
  2                                   du            dx
                                    2
                                                    du  2 xdx
   2  x 2 2  c
               3
  1 2                                    1
                                    1 2
  2 3                                u du
                                    2
  2  x 2  2  x 2  c
  1
  3
x2
b) Hence find;        1 x 3
                              dx

       x2          2  3x 2
     1 x 3
             dx   
                   3 2 1 x 3
                              dx

                   2
                  1  x3  c
                   3
ii   x 2  x 2 dx       OR       x 2  x 2 dx    u  2  x2
  1                                                 du
   2 x 2  x 2 dx                 1        u          2x
  2                                   du            dx
                                    2
                                                    du  2 xdx
   2  x 2 2  c
               3
  1 2                                    1
                                    1 2
  2 3                                u du
                                    2
  2  x 2  2  x 2  c
  1                                 1 2 2
                                           3

  3                                  u c
                                    2 3
x2
b) Hence find;        1 x 3
                              dx

       x2          2  3x 2
     1 x 3
             dx   
                   3 2 1 x 3
                              dx

                   2
                  1  x3  c
                   3
ii   x 2  x 2 dx       OR       x 2  x 2 dx             u  2  x2
  1                                                      du
   2 x 2  x 2 dx                 1          u             2x
  2                                   du                 dx
                                    2
                                                         du  2 xdx
   2  x 2 2  c
               3
  1 2                                    1
                                    1 2
  2 3                                u du
                                    2
  2  x 2  2  x 2  c
  1                                 1 2 2
                                           3

  3                                  u c
                                    2 3
                                    2  x 2  2  x 2  c
                                    1
                                    3
1
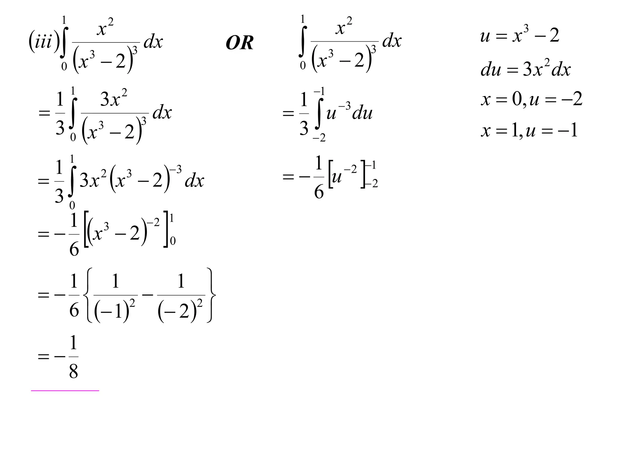
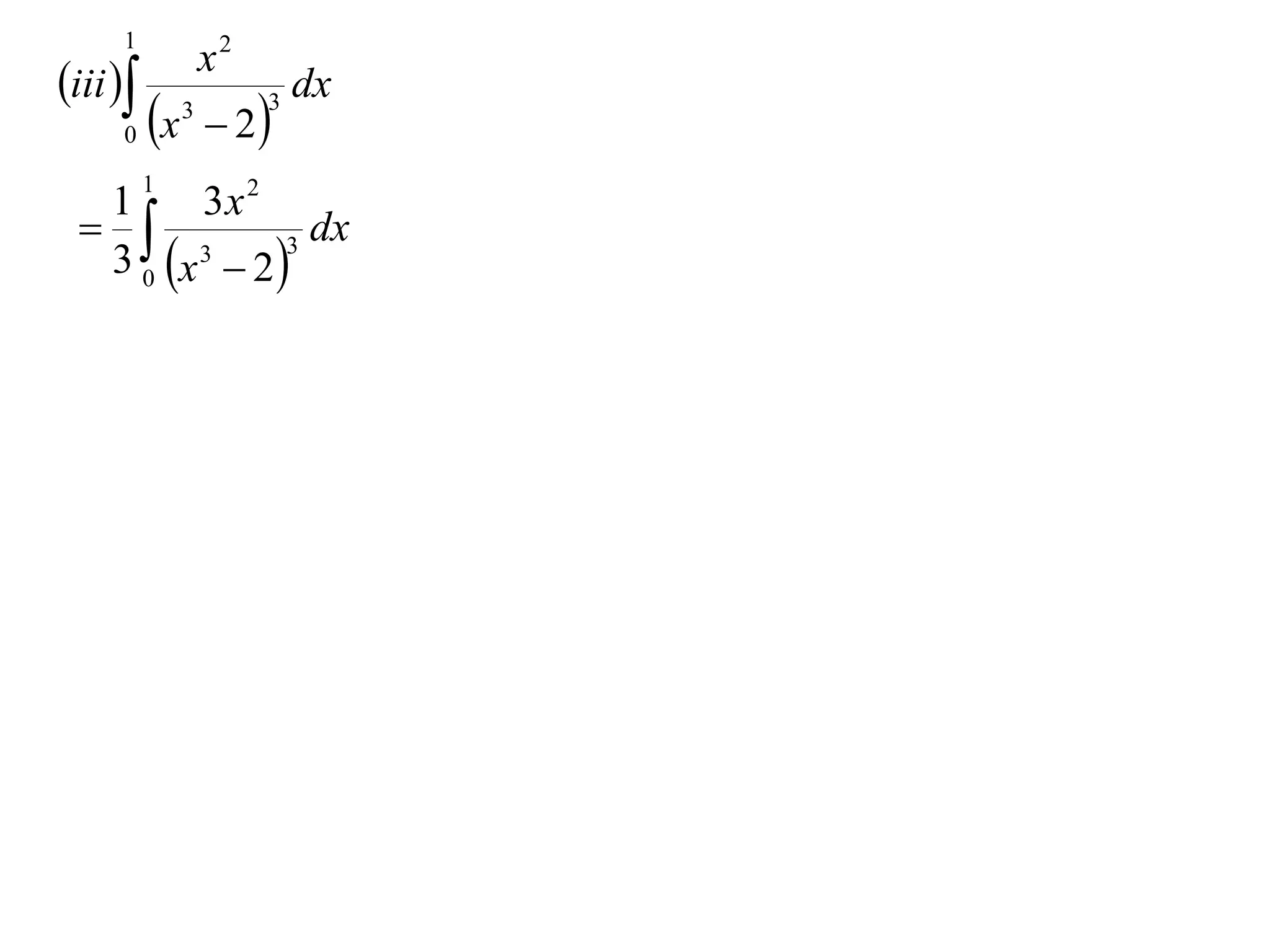
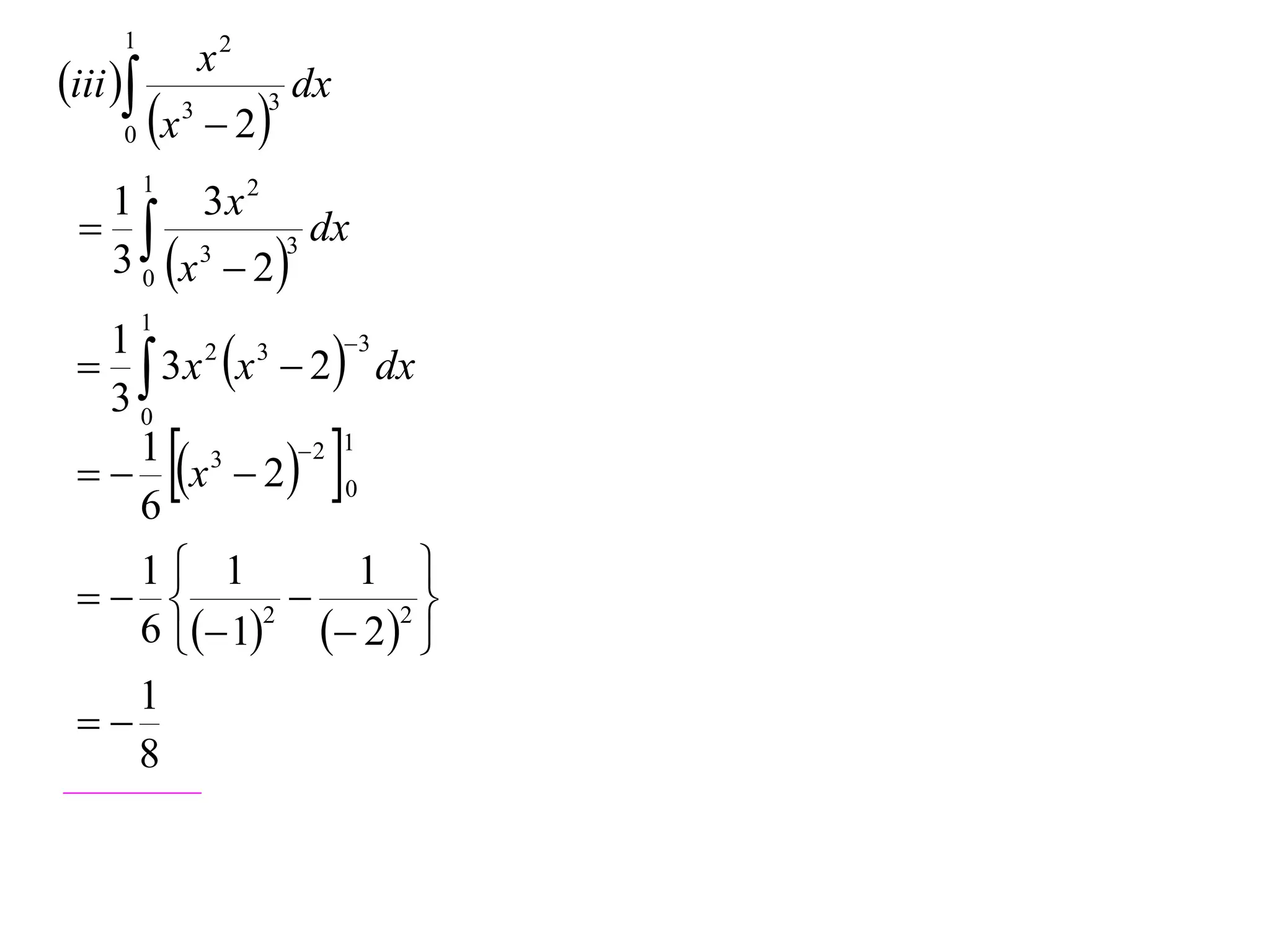
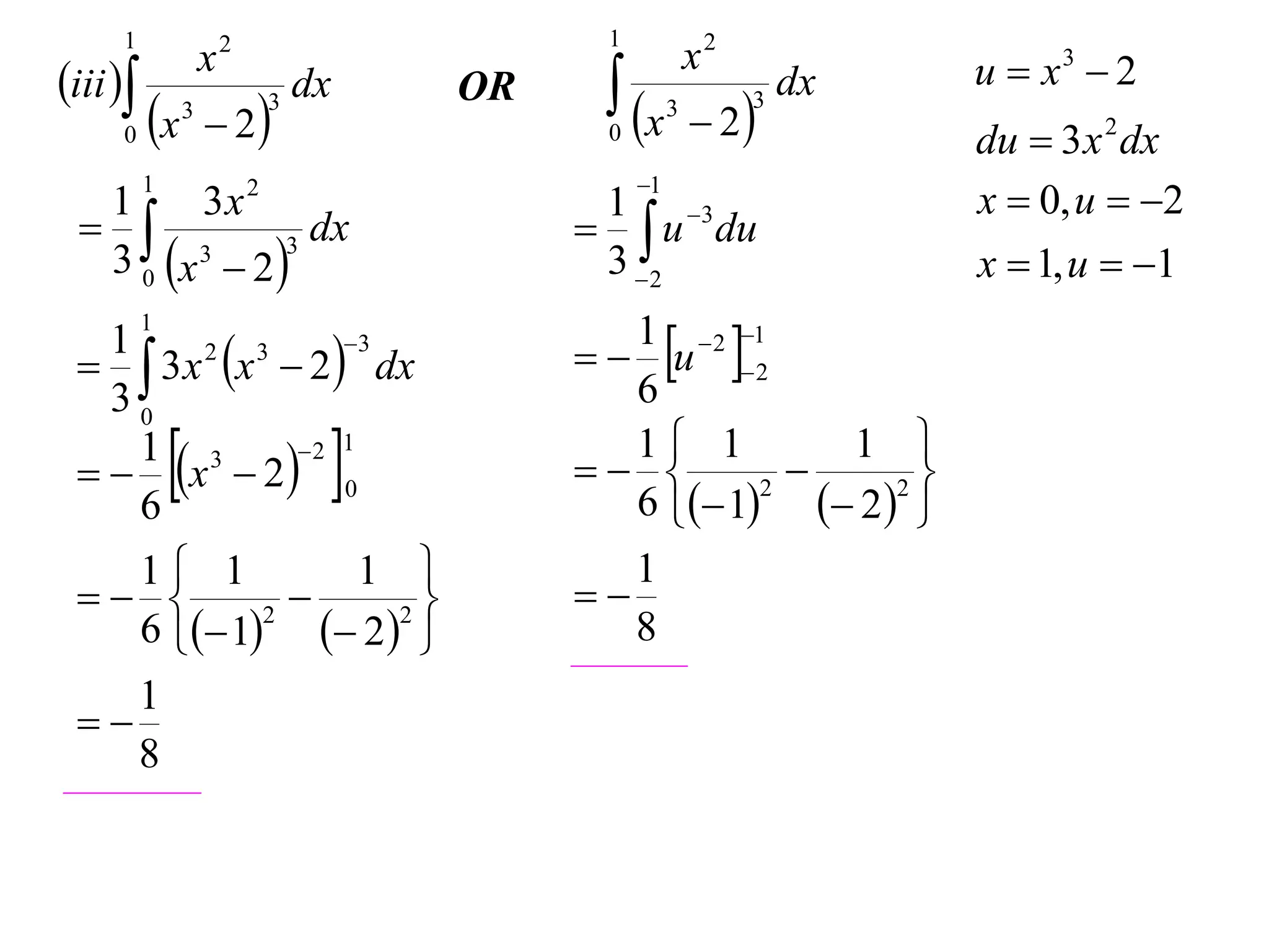
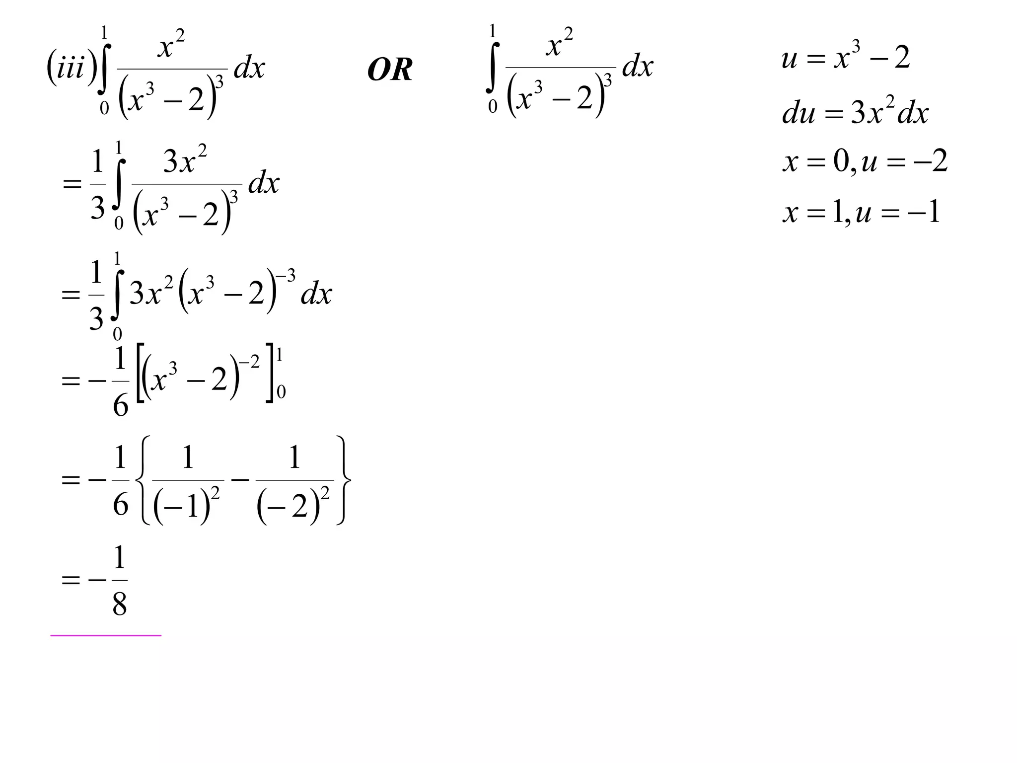
                   x2
iii                      dx
     0    x   3
                    2
                        3
1
                   x2
iii                      dx
     0    x   3
                    2
                        3


          1
  1     3x 2
              dx
  3 0 x  2 
        3     3
1
                   x2
iii                      dx
     0    x   3
                    2
                        3


          1
  1     3x 2
              dx
  3 0 x  2 
        3     3


          1
   3 x x  2  dx
  1     2  3     3

  30
1
                      x2
iii                         dx
     0    x      3
                       2
                           3


          1
  1     3x 2
              dx
  3 0 x  2 
        3     3


          1
   3 x x  2  dx
   1    2  3     3

   30
     1 3
     6
              
   x  2  0
             2 1
                                
1
                      x2
iii                         dx
     0    x      3
                       2
                           3


          1
  1     3x 2
              dx
  3 0 x  2 
        3     3


          1
   3 x x  2  dx
   1    2  3     3

   30
     1 3
     6
              
   x  2  0
             2 1
                                
   1 1        1 
              2
   6  1  2  
           2


    1
 
    8
1                                      1
                      x   2
                                                       x2
iii                            dx         x                dx
                                                        2
                                       OR
     0    x      3
                       2
                              3
                                            0
                                                   3        3


          1
  1     3x 2
              dx
  3 0 x  2 
        3     3


          1
   3 x x  2  dx
   1    2  3     3

   30
     1 3
     6
              
   x  2  0
             2 1
                                   
   1 1        1 
              2
   6  1  2  
           2


    1
 
    8
1                                      1
                      x   2
                                                       x2            u  x3  2
iii                            dx         x                dx
                                                        2
                                       OR
     0    x      3
                       2
                              3
                                            0
                                                   3        3
                                                                     du  3 x 2 dx
          1
  1     3x 2
              dx
  3 0 x  2 
        3     3


          1
   3 x x  2  dx
   1    2  3     3

   30
     1 3
     6
              
   x  2  0
             2 1
                                   
   1 1        1 
              2
   6  1  2  
           2


    1
 
    8
1                                      1
                      x   2
                                                       x2            u  x3  2
iii                            dx         x                dx
                                                        2
                                       OR
     0    x      3
                       2
                              3
                                            0
                                                   3        3
                                                                     du  3 x 2 dx
                                                                     x  0, u  2
          1
  1     3x 2
              dx
  3 0 x  2 
        3     3
                                                                     x  1, u  1
          1
   3 x x  2  dx
   1    2  3     3

   30
     1 3
     6
              
   x  2  0
             2 1
                                   
   1 1        1 
              2
   6  1  2  
           2


    1
 
    8
1                                       1
                      x   2
                                                          x2            u  x3  2
iii                            dx          x                  dx
                                                           2
                                       OR
     0    x      3
                       2
                              3
                                             0
                                                      3        3
                                                                        du  3 x 2 dx
                                                 1
                                                                        x  0, u  2
          1
  1     3x 2                                 1 3
              dx                            u du
  3 0 x  2 
        3     3
                                             3 2                       x  1, u  1
          1
   3 x x  2  dx
   1    2  3     3

   30
     1 3
     6
              
   x  2  0
             2 1
                                   
   1 1        1 
              2
   6  1  2  
           2


    1
 
    8
1                                       1
                      x   2
                                                          x2            u  x3  2
iii                            dx          x                  dx
                                                           2
                                       OR
     0    x      3
                       2
                              3
                                             0
                                                      3        3
                                                                        du  3 x 2 dx
                                                 1
                                                                        x  0, u  2
          1
  1     3x 2                                 1 3
              dx                            u du
  3 0 x  2 
        3     3
                                             3 2                       x  1, u  1

                                              u  2
          1
   3 x x  2  dx
   1    2  3     3                            1  2 1
   30                                          6
     1 3
     6
              
   x  2  0
             2 1
                                   
   1 1        1 
              2
   6  1  2  
           2


    1
 
    8
1                                       1
                      x   2
                                                          x2            u  x3  2
iii                            dx          x                  dx
                                                           2
                                       OR
     0    x      3
                       2
                              3
                                             0
                                                      3        3
                                                                        du  3 x 2 dx
                                                 1
                                                                        x  0, u  2
          1
  1     3x 2                                 1 3
              dx                            u du
  3 0 x  2 
        3     3
                                             3 2                       x  1, u  1

                                              u  2
          1
   3 x x  2  dx
   1    2  3     3                            1  2 1
   30                                          6

     6
              
   x  2  0
     1 3     2 1
                                              1 1
                                                    2
                                                         
                                                           1 
                                                              2
                                               6  1  2  
   1 1        1                              1
              2
                                            
   6  1  2  
           2
                                               8
    1
 
    8
1                                           1
                      x   2
                                                              x2            u  x3  2
iii                            dx              x                  dx
                                                               2
                                        OR
     0    x      3
                       2
                              3
                                                 0
                                                          3        3
                                                                            du  3 x 2 dx
                                                     1
                                                                            x  0, u  2
          1
  1     3x 2                                    1 3
              dx                               u du
  3 0 x  2 
        3     3
                                                3 2                        x  1, u  1

                                                 u  2
          1
   3 x x  2  dx
   1    2  3     3                               1  2 1
   30                                             6

     6
              
   x  2  0
     1 3     2 1
                                                 1 1
                                                       2
                                                            
                                                              1 
                                                                 2
                                                  6  1  2  
   1 1        1                                 1
              2
                                               
   6  1  2  
           2
                                                  8
    1
 
    8
                                       Exercise 11H; 1, 3, 5, 7ace etc, 8bdf,9 11*

11X1 T17 06 derivative times function (2010)

  • 1.
    f  x  f  x  dx n
  • 2.
    f  x  f  x  dx n  f  x n1  c  f  x  f  x  dx  n n 1
  • 3.
    f  x  f  x  dx n  f  x n1  c  f  x  f  x  dx  n n 1 e.g. i  a) Find d dx  1 x  3
  • 4.
    f  x  f  x  dx n  f  x n1  c  f  x  f  x  dx  n n 1 e.g. i  a) Find d dx  1 x  3   1  x 3  1  x 3  2  3 x 2  1 d 1  dx 2  3x 2  2 1  x3
  • 5.
    x2 b) Hence find;  1 x 3 dx
  • 6.
    x2 b) Hence find;  1 x 3 dx x2 2  3x 2  1 x 3 dx    3 2 1 x 3 dx
  • 7.
    x2 b) Hence find;  1 x 3 dx x2 2  3x 2  1 x 3 dx    3 2 1 x 3 dx 2   1  x3  c 3
  • 8.
    x2 b) Hence find;  1 x 3 dx x2 2  3x 2  1 x 3 dx    3 2 1 x 3 dx 2   1  x3  c 3 ii   x 2  x 2 dx
  • 9.
    x2 b) Hence find;  1 x 3 dx x2 2  3x 2  1 x 3 dx    3 2 1 x 3 dx 2   1  x3  c 3 ii   x 2  x 2 dx 1   2 x 2  x 2 dx 2
  • 10.
    x2 b) Hence find;  1 x 3 dx x2 2  3x 2  1 x 3 dx    3 2 1 x 3 dx 2   1  x3  c 3 ii   x 2  x 2 dx 1   2 x 2  x 2 dx 2   2  x 2 2  c 3 1 2 2 3
  • 11.
    x2 b) Hence find;  1 x 3 dx x2 2  3x 2  1 x 3 dx    3 2 1 x 3 dx 2   1  x3  c 3 ii   x 2  x 2 dx 1   2 x 2  x 2 dx 2   2  x 2 2  c 3 1 2 2 3  2  x 2  2  x 2  c 1 3
  • 12.
    x2 b) Hence find;  1 x 3 dx x2 2  3x 2  1 x 3 dx    3 2 1 x 3 dx 2   1  x3  c 3 ii   x 2  x 2 dx OR  x 2  x 2 dx 1   2 x 2  x 2 dx 2   2  x 2 2  c 3 1 2 2 3  2  x 2  2  x 2  c 1 3
  • 13.
    x2 b) Hence find;  1 x 3 dx x2 2  3x 2  1 x 3 dx    3 2 1 x 3 dx 2   1  x3  c 3 ii   x 2  x 2 dx OR  x 2  x 2 dx u  2  x2 1   2 x 2  x 2 dx 2   2  x 2 2  c 3 1 2 2 3  2  x 2  2  x 2  c 1 3
  • 14.
    x2 b) Hence find;  1 x 3 dx x2 2  3x 2  1 x 3 dx    3 2 1 x 3 dx 2   1  x3  c 3 ii   x 2  x 2 dx OR  x 2  x 2 dx u  2  x2 1 du   2 x 2  x 2 dx  2x 2 dx du  2 xdx   2  x 2 2  c 3 1 2 2 3  2  x 2  2  x 2  c 1 3
  • 15.
    x2 b) Hence find;  1 x 3 dx x2 2  3x 2  1 x 3 dx    3 2 1 x 3 dx 2   1  x3  c 3 ii   x 2  x 2 dx OR  x 2  x 2 dx u  2  x2 1 du   2 x 2  x 2 dx u  2x 2 dx du  2 xdx   2  x 2 2  c 3 1 2 2 3  2  x 2  2  x 2  c 1 3
  • 16.
    x2 b) Hence find;  1 x 3 dx x2 2  3x 2  1 x 3 dx    3 2 1 x 3 dx 2   1  x3  c 3 ii   x 2  x 2 dx OR  x 2  x 2 dx u  2  x2 1 du   2 x 2  x 2 dx 1 u  2x 2 du dx 2 du  2 xdx   2  x 2 2  c 3 1 2 2 3  2  x 2  2  x 2  c 1 3
  • 17.
    x2 b) Hence find;  1 x 3 dx x2 2  3x 2  1 x 3 dx    3 2 1 x 3 dx 2   1  x3  c 3 ii   x 2  x 2 dx OR  x 2  x 2 dx u  2  x2 1 du   2 x 2  x 2 dx 1 u  2x 2 du dx 2 du  2 xdx   2  x 2 2  c 3 1 2 1 1 2 2 3   u du 2  2  x 2  2  x 2  c 1 3
  • 18.
    x2 b) Hence find;  1 x 3 dx x2 2  3x 2  1 x 3 dx    3 2 1 x 3 dx 2   1  x3  c 3 ii   x 2  x 2 dx OR  x 2  x 2 dx u  2  x2 1 du   2 x 2  x 2 dx 1 u  2x 2 du dx 2 du  2 xdx   2  x 2 2  c 3 1 2 1 1 2 2 3   u du 2  2  x 2  2  x 2  c 1 1 2 2 3 3   u c 2 3
  • 19.
    x2 b) Hence find;  1 x 3 dx x2 2  3x 2  1 x 3 dx    3 2 1 x 3 dx 2   1  x3  c 3 ii   x 2  x 2 dx OR  x 2  x 2 dx u  2  x2 1 du   2 x 2  x 2 dx 1 u  2x 2 du dx 2 du  2 xdx   2  x 2 2  c 3 1 2 1 1 2 2 3   u du 2  2  x 2  2  x 2  c 1 1 2 2 3 3   u c 2 3  2  x 2  2  x 2  c 1 3
  • 20.
    1 x2 iii  dx 0 x 3  2 3
  • 21.
    1 x2 iii  dx 0 x 3  2 3 1 1 3x 2   dx 3 0 x  2  3 3
  • 22.
    1 x2 iii  dx 0 x 3  2 3 1 1 3x 2   dx 3 0 x  2  3 3 1   3 x x  2  dx 1 2 3 3 30
  • 23.
    1 x2 iii  dx 0 x 3  2 3 1 1 3x 2   dx 3 0 x  2  3 3 1   3 x x  2  dx 1 2 3 3 30 1 3 6    x  2  0 2 1 
  • 24.
    1 x2 iii  dx 0 x 3  2 3 1 1 3x 2   dx 3 0 x  2  3 3 1   3 x x  2  dx 1 2 3 3 30 1 3 6    x  2  0 2 1  1 1 1     2 6  1  2   2 1  8
  • 25.
    1 1 x 2 x2 iii  dx  x dx  2 OR 0 x 3  2 3 0 3 3 1 1 3x 2   dx 3 0 x  2  3 3 1   3 x x  2  dx 1 2 3 3 30 1 3 6    x  2  0 2 1  1 1 1     2 6  1  2   2 1  8
  • 26.
    1 1 x 2 x2 u  x3  2 iii  dx  x dx  2 OR 0 x 3  2 3 0 3 3 du  3 x 2 dx 1 1 3x 2   dx 3 0 x  2  3 3 1   3 x x  2  dx 1 2 3 3 30 1 3 6    x  2  0 2 1  1 1 1     2 6  1  2   2 1  8
  • 27.
    1 1 x 2 x2 u  x3  2 iii  dx  x dx  2 OR 0 x 3  2 3 0 3 3 du  3 x 2 dx x  0, u  2 1 1 3x 2   dx 3 0 x  2  3 3 x  1, u  1 1   3 x x  2  dx 1 2 3 3 30 1 3 6    x  2  0 2 1  1 1 1     2 6  1  2   2 1  8
  • 28.
    1 1 x 2 x2 u  x3  2 iii  dx  x dx  2 OR 0 x 3  2 3 0 3 3 du  3 x 2 dx 1 x  0, u  2 1 1 3x 2 1 3   dx   u du 3 0 x  2  3 3 3 2 x  1, u  1 1   3 x x  2  dx 1 2 3 3 30 1 3 6    x  2  0 2 1  1 1 1     2 6  1  2   2 1  8
  • 29.
    1 1 x 2 x2 u  x3  2 iii  dx  x dx  2 OR 0 x 3  2 3 0 3 3 du  3 x 2 dx 1 x  0, u  2 1 1 3x 2 1 3   dx   u du 3 0 x  2  3 3 3 2 x  1, u  1   u  2 1   3 x x  2  dx 1 2 3 3 1  2 1 30 6 1 3 6    x  2  0 2 1  1 1 1     2 6  1  2   2 1  8
  • 30.
    1 1 x 2 x2 u  x3  2 iii  dx  x dx  2 OR 0 x 3  2 3 0 3 3 du  3 x 2 dx 1 x  0, u  2 1 1 3x 2 1 3   dx   u du 3 0 x  2  3 3 3 2 x  1, u  1   u  2 1   3 x x  2  dx 1 2 3 3 1  2 1 30 6 6    x  2  0 1 3 2 1  1 1   2  1  2 6  1  2   1 1 1  1    2  6  1  2   2 8 1  8
  • 31.
    1 1 x 2 x2 u  x3  2 iii  dx  x dx  2 OR 0 x 3  2 3 0 3 3 du  3 x 2 dx 1 x  0, u  2 1 1 3x 2 1 3   dx   u du 3 0 x  2  3 3 3 2 x  1, u  1   u  2 1   3 x x  2  dx 1 2 3 3 1  2 1 30 6 6    x  2  0 1 3 2 1  1 1   2  1  2 6  1  2   1 1 1  1    2  6  1  2   2 8 1  8 Exercise 11H; 1, 3, 5, 7ace etc, 8bdf,9 11*