UNIVERSIDAD NACIONAL DE HUANCAVELICA
ANALISIS MATEMATICO II
INTEGRANTES:
- ESPINOZA DAMIAN PABLO DIOSDADO
- HUIZA ANCCASI JHERIC MAX
- ARROYO MEJIA BEYKER
- INGA LAPA NELSON
- CICLO Y SECCIÓN:
- III “A”
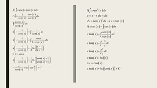
1) cos( )
, cos( )
, ( )
( ) ( cos( ))
( ) cos( )
( ) cos( )
x x dx
u x dv x dx
du dx v sen x
udv uv vdu
xsen x x
xsen x x
xsen x x C
 
 
 
 

 

     
 
 
 
 
 
 
 
 
2
2
2) cos( )
,
( )
cos( ) ,
1
,
1 1
( )
1
cos
cos( )
x bx dx
u x dv dx
sen bx
dv bx dx v
b
udv uv vdu
sen bx sen bx
x dx
b b
sen bx
x sen bx dx t bx
b b
senb x
x sen t dt
b b b
senb x
x bx
b b
xsen bx bx
C
b b
 
 
 
 

 
 
 
 
 
 
   

   
 
 
 
 
 
 
 

 



 
 
 
   
   
   
2
2
2
2
3)
,
2
1
,
2 4
2 2
1 1
2 4 2 4
2 2
1 1
2
2 4 2 4
2 cos 2
1
2 4 4 8
1 (2 ) cos(2 )
4 4 8
xsen x dx
u x du dv
sen x
dv sen x dx v x
udv uv vdu
sen x sen x
x x x dx
x
sen x sen x
x x dx x
sen x x
x
x x
xsen x x
x C
 
  
 
 
  
 
 
   
  
   
   
   
  
   
   
  

 

 
 
 
 
 
 
 
 
2
2
4
2
2 2
2
4
2 2 2
4
3
2 2
4
2 2 4
2 2 4
4)
2
, '
1
' ,
2
2
2 2
1
2
2 2
1
1
2 1
1 1
1
2 2
1 1
1
2 2
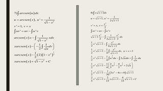
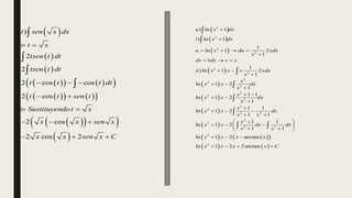
xarcsen x dx
x
u arcsen x u
x
x
v x v
x x x
arcsen x dx
x
x arcsen x x x
dx
x
x
x arcsen x dx
x
x arcsen x x
x arcsen x x C
 

 






 
  
 
 
  




 
 
 
 
2
2
2
2
5) (4 )
,
8
1
4 ,
2 16
8
1 1 (8 )
2 16 2 16
8
1 1 (8 )
2 16 2 16
1 (8 ) cos(8 )
2 16 4 128
1 (8 ) cos(8
4 16
xsen x dx
u x dv dx
sen x
dv sen x dx v x
udv uv vdu
sen x sen x
x x x dx
sen x sen x
x x dx dx
sen x x x
x x
xsen x
x
 
  
 
 
  
 
 
   
  
   
 
 
 
 
  
 
 
   
 

 

 
)
128
x
C

 
   
     
   
2
2
2
2
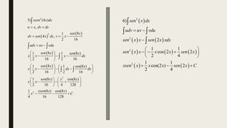
6)
2
1 1
cos 2 2
2 4
1 1
cos(2 ) 2
2 4
sen x dx
udv uv vdu
sen x x sen x xdx
sen x x x x sen x
xsen x x x sen x C
 

 
  
 
 
  

 

 
 
 
 
    
 
2
2
1
2 2
2
7)
1
, '
1
' 1,
' '
1
1
1 1
2
1
2 1
2
1
arcsen u dx
u arcsen x u
x
v v x
uv uv u v
arcsen x x xdx
x
xarcsen x dv
u
xarcsen x x
xarcsen x x C
 

 
 


 
 
 
 
 
  

 


 
2
2 2
2
2
2
2
3
2 2
5 3
2 2 2
2 2
2
8) 1
1
1, '
2 1
' ,
2
' '
1
1
2 2
2 1
1
1
2 4 1
1 1
1 , 1
2 4 1
1 1 1
1 2
2 4
1 1 2 4
1 2
2 4 5 3
1 1
1 3 4 8 1
2 30
2 2
1 1
5 15
x x dx
u x u
x
x
v x v
uv uv u v
x x
x dx
x
x
x x dx
x
x
x x dx u x
x
x x u du udu du
u
x x u u u
x x x x x
x x x x

  

 
 
 

 

   

   
 
   
 
 
    
   

 



  
4
1
15
x C
 
 
 
 
 
2
2
3
2
3 2
3 3
3 3
9) ln
ln
1
ln( ),
,
3
ln
3 3
1
ln
3 3 3
ln( )
3 9
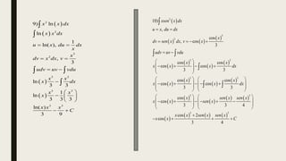
x x dx
x x dx
u x du dx
x
x
dv x dx v
udv uv vdu
x x
x dx
x x
x
x x x
C
 
 
 

 
  
 
 


 

 
   
 
 
 
 
 
 
 
 
 
 
 
 
   
 
 
3
3
3
3 3
3 3
3 3
10)
,
cos
, cos
3
cos cos
cos cos
3 3
cos cos
cos cos
3 3
cos
cos
3 3 4
cos
cos
xsen x dx
u x du dx
x
dv sen x dx v x
udv uv vdu
x x
x x x dx
x x
x x x dx
x sen x sen x
x x sen x
x x
x x
 
   
 
 
   
 
 
 
   
    
   
   
   
   
     
   
   
   
 

 

 
   
3 3
2
3 4
sen x sen x
C

 
 
 
 
3 2
3 2
3
2
2 2
3 2
2
3 2 2
2
3 2 2
2 2 2
3 2
2 2 2 2
3 2
2 2 2
3 2
1
, 3
,
2
3
2 2
1
3
2 2
3
2 2
3
2
2 2 2 2
3
2 2 2 2 2
3 1 1
2 2 2 2 2 2
x
x
x
x x
x
x
x
x
x x x
x x x x
x x x
x e dx
u x du x dx
e
dv e dx v
udv uv vdu
e e
x x dx
e
x e x dx
e
x x e dx
e e e
x x xdx
e e e e
x x x dx
e e e
x x x

 
 
 



 
 
 
 
 
 
  
 
 
 
 
  

 





23
3 2 2 2 23 2
3 3 3
2 4 8
x x x
e
x e x e xe e
C
 
 
 
 
 
 
 
 
 

  
 
 
 
   
 
 
   
       
2
2
2
2
2 2
2
2
2 2 2
2 2
2
2
2 cos
cos
cos( ),
,
2
cos
2 2
1
cos( )
2 2
1
cos( ) cos
2 2 2 2
1 1
cos cos cos
2 2 2 2
co
x
x
x
x
x x
x
x
x x x
x x
x x
x
e x dx
x e dx
u x du sen x dx
e
dv e dx v
e e
x sen x dx
e
x e sen x dx
e e e
x sen x x dx
e e
e x dx x sen x e x dx
e


  
 
 
 
 
 
 
 
 
 
 
 
  
 
 





 
 
   
 
 
   
   
2 2
2
2 2
2
2 2
cos 1
s cos
2 4 4
cos
5
cos
4 2 4
2 cos
5
x x
x
x x
x
x x
x e sen x e
x dx e x dx
x e sen x e
e x dx
e x sen x e
C
  
 


 

 
 
 
 
 
 
 
 
3
3
4
3
4 4
4 3
4
3
4 4
4 4
3 ln
ln
1
ln ,
,
4
1
ln
4 4
ln
4 4
1
ln
4 4
1
ln
4 4 4
ln
4 16
x x dx
x x dx
u x du dx
x
x
dv x dx v
x x
x dx
x
x x
x dx
x
x x dx
x x
x
x x x
C

 
 



 
  
 
 





 
 
 
 
 
 
   
   
   
2
2
2
2
2
2
4
1
arctan ,
1
1 ,
1
arctan
1
arctan , 1
1
1
arctan
2
1 1
arctan
2
1
arctan ln
2
1
arctan ln 1
2
1
arctan ln 1
2
arctg x dx
u x du dx
x
dv dx v x
x x x dx
x
x
x x dx t x
x
x x dt
t
x x dt
t
x x t
x x x
x x x C

 

 


  




 
  





 
 
 
 
 
 
 
 
 
3
4
3
4 4
4
4
4
4
4 3 2
4 3 2
4
4 3
5 ln 3
1
ln 3 , '
3
' ,
4
1
ln 3
4 3 4
1
ln 3
4 4 3
1 1
ln 3
4 4 3
1 1 81
ln 3 3 9 27
4 4 3
1 1 81
ln 3 3 9 27
4 4 3
1 1 9
ln 3
4 4 4
x x dx
u x u
x
x
v x v
x x
x dx
x
x
x x dx
x
x
x x dx
x
x x x x x dx
x
x x x dx x dx xdx dx dx
x
x
x x x
 
  

 
 

 

 

     

 
     
 

 
   





    
2
27 81ln 3
2
x
x x C
 
   
 
 
 
 
   
 
 
3
3
3
3 3
3
3
3
3
3
3
3 3
) 2 1
2 1, 2
,
3
2 1 2
3 3
1
2 1 2
3 3
1
2 1 2
3
2 1
2 1
3 3 3
6
9
x
x
x
x x
x
x
x
x
x
x
x x
a x e dx
u x du dx
e
dv e dx v
e e
x dx
e
x e dx
e
x e dx
e
e
x e
xe e
C

  
 
 
 
 
 
   
 






 
3 2
3 2
2
2
2 2
3 2
2
3 2 2
2 2 2
3 2
2 2 2
3 2
)
, 3
,
2
3
2 2
1
3
2 2
3
2
2 2 2 2
3
2 2 2 2
x
x
x
x x
x
x
x x x
x x x
b x e dx
u x dv x dx
e
dv e dx v
e e
x x dx
e
x e x dx
e e e
x x xdx
e e e e
x x x



 


  
  
 
  
 
  
 
 
   
  
   
 
 
 
   
    
 
   
   
 
     
      
     
     




 
2
2 2 2
3 2 2
2
3
2 2 2 2
2
3
2 2 2
3 2
2 2 2
2
3 1 1
2 2 2 2 2 2
1 3 1
2 2 2 2 4
3 3
2 4 8
3 3 3
2 4 8
x
x x x
x
x x x x
x x x
x x x
dx
e e e
x x x x e
x x
x
e e e e
x x
x
e e e
x x x
C
x e e

  

 
 
 
 
     
      
 
     

     
 
 
    
 
 

  

   

 
   
   
     
   
   
5
2
2
2
)
,
5
5 ,
ln 5
5 5
ln 5 ln
5 1
5
ln 5 ln 5
5 1 5
ln 5 ln 5 ln 5
5 5
ln 5 ln 5
5 5
ln 5 ln 5
x
x
x x
x
x x
x x
x
c x dx
u x du dx
dv dx v
x dx
x
x dx
x
x
x
C
 
 


 
  
 
 

 



 
 
   
     
   
   
   
 
   
2
2
2
2
2
2
2
) ln
1
ln , 2ln
1 ,
1
ln 2ln
1
ln 2 ln
1
ln 2 ln
ln 2 ln
ln 2 ln 2
d x dx
u x du x dx
x
dv dx v x
x x x x dx
x
x x x x dx
x
x x x x x dx
x
x x x x x
x x x x x C
 
 


 
 
 
 
 
  




 
 
   
 
 
   
 
 
     
 
 
 
       
 
 
 
 
   
       
   
 
 
 
3
3
3
3 2
3 2
3 2
3 2
3
) 2
2
2
)
16
1
16
1
cos cos 3
16
1
cos 3 2
16
1
cos 3 2 cos
16
1
2 cos 2 3 2 2 2 2 cos 2 2
16
cos
e x sen x dx
t
x t x
t sen t
i dx
axf x dx ax f x dx
t sen t dt
udv uv vdu
t t t t dt
t t t sen t tsen t dt
t t t sen t t t sen t
x x x sen x x x sen x
x
  

 
  
  
    
    



 

 


       
2
2 3 2 3 cos 2 3 2
2 4 8
x x sen x x x sen x
C

  
 
 
 
   
 
 
 
 
 
 
 
 
2
2
) sec 3
) ,
tan 3
3 ,
3
tan 3 tan 3
)
3 3
tan 3 1 1
tan
3 3 3
tan 3 1 1
3 9
tan 3 1
ln cos
3 9
tan 3 1
ln cos 3
3 9
f x x dx
udv uv vdu
i u x du dx
x
dv sex x dx v
x x x
ii udv dx
x x
t dt
x x
du
u
x x
t
x x
x C
 
 
 
 
 
   
 
 
 
  

 
 


 
   
 
   
 
 
    
     
  
   
2 2
2 2
2 2
) ln 2
) ln 2ln
( ) ( ) ( )
ln 2ln
ln
2 ln 2
2 4
2
ln 2 2 2
2 2 ln 2 2 2
2 4
ln 2 4 4 4 12
2 2 ln 2
2 4
g x x dx
i t t dt t dt
f x g x dx f x dx g x dx
t t dt t dt
t t t
t t t
t x
x x x
x x x
x x x x x
x x C


  

  
 
  
     
     
    


  
 
   
 
 
 
 
 
   
   
 
 
 
 
 
2
2
) csc cot
cos
1
) .
cos
1 1
1
1 cos
1 1 1
ln
2 1
cos
cos 1
1 1
ln
2 cos 1
ln tan
2
h x x x dx
x
i x dx
sen x sen x
x x
dx
sen x
x dx
sen x sen x
senx
x dx
sen x x
t
x
sen x t
t x
x
x
sen x x
x x
sen x
 
 
 
 
 
 
 
 
  
 
    
 
   
  
 
 

 
  
   
 
   

   
 
   
 





C

 
   
   
 
 
 
 
 
   
 
   
 
2
2
)
sec tan
) tan tan
tan
cos
1
tan
1
tan
tan ln
cos
tan ln cos
i xsen x dx
u x du dx
dv x dx v x
i x x x dx
sen x
x x dx
x
x x dt
t
x x dt
t
x x t
t x
x x x C
  
  


 



 





 
 
 
 
 
 
 
   
 
   
2
2
2 2
2
2 2
2
2
2
2 2
2 2
2
2
) arctan
1
arctan
1
2
1
)arctan
2 1
arctan
2 1
1 1 1
arctan
2 1
1 1 1
arctan
2 1 1
1
arctan arctan
2
arctan arctan
2 2
j x x dx
u x du dx
x
x
dv xdx v
x x
i x dx
x x
x x
x dx
x x
x x
x dx
x x
x x
x dx dx
x x x
x
x x x
x
x x x x
C

  

  




 


 

 
 
 
 
 

 




 
 
 
 
   
 
 
   
 
2
2
2
2
2
2
) 3arccos
1
cos
1
3 3
1
)arccos 3 3
1
1
arccos 3 1 3
1
arccos 3 3
1
arccos 3 3 1
arccos 3 3 1
1
arccos 3 3 1
k x dx
u ar x du dx
x
dv v x
i x x x dx
x
x x x dx
x
x
x x dx
x
x x dt
x x t
t x
x x x C
   

  
 
 
 

 
 



 
 
 
  





 
 
 
 
 
 
   
   
 
2
2
2
2
) arccot 2
2
arccot
)
2
1
arccot
2
1 1
arccot
2 1
1
arccot
2 1
1 1
arccot
2 2
1 1
arccot ln
2 2
1
1 1
arccot ln 1
2 2
2
1 1
arccot 2 2 ln
2 2
l x dx
t x
t
i dt
t dt
t t t dt
t
t
t t dt
t
t t du
u
t t u
u t
t t t
t x
x x

 
 
 
 
 

 
 
 

 

 
 

 
 
 

 
 
 
 
 
 
 








 
 
   
2
2
1 2
1
arccot 2 ln 1 4
4
x
x x x C
 

 
 
  
 
 
2
2
2
2
2 2
2 2
2
2
2
3
2
2
3 2
)
2
)
1
2
)
2
2 2 1
2
2 1
)
1
1
2
2
)
1 1
2 2
1
)
1 1
2
m xarcsen x dx
x
i u arcsenx du
x
x
du x v
ii
x x x
xarcsenx dx arcsenx dx
x
x x
dx
x
iii
x
dx
x
u x
dv du
x dx
dx x
iv
x du x u
du du
x
u u u
u
du A
u
v
A
u


  

  
 
  
 

 
 
 
 

 


 
   


  



 

 


  

   
     
3
1
2
2
1 3
2 2
2 1 3
2
2 2
1 2
2
2 3
2
1 1
3
2
1 1
2 3
u
du
u
u
A u
A x x
x
arcsenx x x C
 
 
 
 
 
   
    

   
   
1 1
2 2
3 1
2 2
3 1
2 2
2
2
) 1
1
)
.
2 2
5 3
1
2 1 1 2 1 1
5 3
2 1 2 1 2 1 1
5 3
n x x dx
t x
i t t tdt
t t t dt
t t dt
t dt t dt
t t t t
t x
x x x x
x x x x x
C

 





 
   

    
 





 
 
1
2
1 1
2 2
1
2
1
2
)
5 2
5 2
5
)
4
1 5
4
1 5
4
1 4
4
1 5
4
1 2
10
4 3
5 2
2 5 2 5 2
1
10 5 2
4 3
5 2 5 2 5
5 2
6 2
x
o dx
x
t x
t
i dt
t
t
dt
t
t
dt
t
t
dt
t t
t dt dt
t
t t
t
t x
x x
x
x x
x C

 




 
 

 
 
 

 
 
 
 
 
 
 
 
 
 
 
  





 
 
 
   
     
 
 
       
 
   
2
2
2 2
2 2
2
2
2 2
2 2
2
2
) 3
) 3
3 cos 3 3
2 2
3 1
3 cos 3 1 3 3
2 2 2 2
3 3
......
3 3
3 3 cos 3 3
2 2 2 2
3 3cos 3
3
2
x
x
x x
x x
x
x
x x
x x
x
x
p e sen x dx
i sen x e dx
e e
sen x x dx
e e
sen x x e sen x dx
e sen x dx
e e
e sen x dx sen x x e sen x dx
sen x e x
e sen x dx



 
 
  
 
 
 
 

 
  
 
 
 





 
 
   
   
 
   
 
   
   
2
2
2 2
2 2
2 2
2
2 2
2
2 2
9
3
4 4
3 3cos 3
9
3 3
4 2 4
3 3cos 3
13
3
4 2 4
2 3 3cos 3
3
13 13
2 3 3 cos 3
13
x
x
x x
x x
x x
x
x x
x
x x
e
e sen x dx
sen x e x e
e sen x dx e sen x dx
sen x e x e
e sen x dx
sen x e x e
e sen x dx
e sen x e x
C

  
 
 


 
 


 
 
   
 
   
       
 
 
       
5
5
5 5
5
5
5 5
5
5
5 5
5 5
5
) cos 2
) cos 2
cos 2 2 2
5 5
2
cos 2 2
5 5
2 1
cos 2 2 2 cos 2
5 5 5 5
cos 2
...........
2 2
cos 2 cos 2 2 cos 2
5 5 5 5
cos 2
x
x
x x
x
x
x x
x
x
x x
s x
s
q e x dx
i x e dx
e e
x sen x dx
e
x sen x e dx
e e
x sen x e x dx
e x dx
e e
e x dx x sen x e x dx
e


 

 
 
 
 

 
  
 
 






 
 
   
 
 
   
 
   
5 5
5
5 5
5
5 5
5
cos 2 2 2 4
cos 2
5 25 25
cos 2 2 2
29
cos 2
25 5 25
5cos 2 2 2
cos 2
29
x x
x
x x
s
x x
s
x e sen x e
x dx e x dx
x e sen x e
e x dx
x e sen x e
e x dx C
  
 

 
 


 
 
 
 
 
   
 
 
1
2
0
2
2
2
2 2
2 1
0
2
2 2 3
1
0
2 16
3
2 2 1
0
2
2 2 2 2 1
0
2 2 2
) ln 16
2
ln 16 '
16
'
2
2
ln 16
2 16 2
ln 16
2
1
ln 16
2 16
1 1
ln 16 16 16ln 16
2 2
1
ln 16 16 16ln 16
2
r x x dx
x
u x u
x
x
v x v
x x x
x dx
x
x x x
dx
x
x
x x dx
x
x x x x
x x x


   

  
 
 
 

 
 

 

 
 
 
 
 

 
 
    
 
 
    




 
 
   
2 1
0
17ln 17 1 64ln 2
2
x
 
 
 
 
 
 
 
 
   
     
 
 
     
 
 
       
 
       
     
 
) ln
) ln
cos
cos
cos
cos
cos
2 cos
t
t t
t t t
t t t
t
t t t t
t t t t
t t t
t
s sen x dx
i t x
sen t e dt
sen t e e t dt
sen t e t e e sen t dt
sen t e t e e sen t dt
e sen t dt
e sen t dt sen t e t e e sen t dt
e sen t dt sen t e t e e sen t dt
e sen t dt sen t e t e
e sen t dt



  
 

  
  
 






 
 


   
 
 
   
 
   
 
   
 
ln ln
cos
2 2
) ln
ln cos ln
2 2
ln cos ln
2
t t
x x
sen t e t e
ii t x
sen x e x e
sen x x x x
C
 




 
 
 
 
   
 
 
   
 
 
 
 
 
)
2
2
2 cos cos
2 cos
2 cos
2 cos 2
t sen x dx
t x
tsen t dt
tsen t dt
t t t dt
t t sen t
Sustituyendot x
x x sen x
x x sen x C

  
 

  
  




 
 
 
 
 
 
 
 
   
 
 
2
2
2
2
2
2
2
2
2
2
2
2
2
2 2
2
2
2 2
2
2
) ln 1
) ln 1
1
ln 1 2
1
1
1
) ln 1 2
1
ln 1 2
1
1 1
ln 1 2
1
1 1
ln 1 2
1 1
1 1
ln 1 2
1 1
ln 1 2 arctan
ln 1
u x dx
i x dx
u x du xdx
x
dv dx v x
ii x x x xdx
x
x
x x dx
x
x
x x dx
x
x
x x dx
x x
x
x x dx dx
x x
x x x x
x



   

  
 

 

 
 


  
 
 

  
 
 
 
  







 
 
2 2arctan
x x x C
  
2
2 2
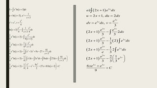
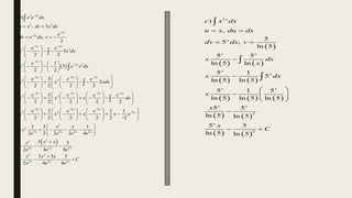
)
) 2
)
2
x
t
t
t
t t
x x
v e dx
i t x
te dt
te e dt
te e
ii Sustituyendo
xe e C



 




Integral por partes-1.pptx

  • 1.
    UNIVERSIDAD NACIONAL DEHUANCAVELICA ANALISIS MATEMATICO II INTEGRANTES: - ESPINOZA DAMIAN PABLO DIOSDADO - HUIZA ANCCASI JHERIC MAX - ARROYO MEJIA BEYKER - INGA LAPA NELSON - CICLO Y SECCIÓN: - III “A”
  • 2.
    1) cos( ) ,cos( ) , ( ) ( ) ( cos( )) ( ) cos( ) ( ) cos( ) x x dx u x dv x dx du dx v sen x udv uv vdu xsen x x xsen x x xsen x x C                                   2 2 2) cos( ) , ( ) cos( ) , 1 , 1 1 ( ) 1 cos cos( ) x bx dx u x dv dx sen bx dv bx dx v b udv uv vdu sen bx sen bx x dx b b sen bx x sen bx dx t bx b b senb x x sen t dt b b b senb x x bx b b xsen bx bx C b b                                                  
  • 3.
                     2 2 2 2 3) , 2 1 , 2 4 2 2 1 1 2 4 2 4 2 2 1 1 2 2 4 2 4 2 cos 2 1 2 4 4 8 1 (2 ) cos(2 ) 4 4 8 xsen x dx u x du dv sen x dv sen x dx v x udv uv vdu sen x sen x x x x dx x sen x sen x x x dx x sen x x x x x xsen x x x C                                                                      2 2 4 2 2 2 2 4 2 2 2 4 3 2 2 4 2 2 4 2 2 4 4) 2 , ' 1 ' , 2 2 2 2 1 2 2 2 1 1 2 1 1 1 1 2 2 1 1 1 2 2 xarcsen x dx x u arcsen x u x x v x v x x x arcsen x dx x x arcsen x x x dx x x x arcsen x dx x x arcsen x x x arcsen x x C                           
  • 4.
           2 2 2 2 5) (4 ) , 8 1 4 , 2 16 8 1 1 (8 ) 2 16 2 16 8 1 1 (8 ) 2 16 2 16 1 (8 ) cos(8 ) 2 16 4 128 1 (8 ) cos(8 4 16 xsen x dx u x dv dx sen x dv sen x dx v x udv uv vdu sen x sen x x x x dx sen x sen x x x dx dx sen x x x x x xsen x x                                                       ) 128 x C                  2 2 2 2 6) 2 1 1 cos 2 2 2 4 1 1 cos(2 ) 2 2 4 sen x dx udv uv vdu sen x x sen x xdx sen x x x x sen x xsen x x x sen x C                   
  • 5.
                  2 2 1 2 2 2 7) 1 , ' 1 ' 1, ' ' 1 1 1 1 2 1 2 1 2 1 arcsen u dx u arcsen x u x v v x uv uv u v arcsen x x xdx x xarcsen x dv u xarcsen x x xarcsen x x C                              2 2 2 2 2 2 2 3 2 2 5 3 2 2 2 2 2 2 8) 1 1 1, ' 2 1 ' , 2 ' ' 1 1 2 2 2 1 1 1 2 4 1 1 1 1 , 1 2 4 1 1 1 1 1 2 2 4 1 1 2 4 1 2 2 4 5 3 1 1 1 3 4 8 1 2 30 2 2 1 1 5 15 x x dx u x u x x v x v uv uv u v x x x dx x x x x dx x x x x dx u x x x x u du udu du u x x u u u x x x x x x x x x                                                     4 1 15 x C  
  • 6.
           2 2 3 2 3 2 3 3 3 3 9) ln ln 1 ln( ), , 3 ln 3 3 1 ln 3 3 3 ln( ) 3 9 x x dx x x dx u x du dx x x dv x dx v udv uv vdu x x x dx x x x x x x C                                                            3 3 3 3 3 3 3 3 3 10) , cos , cos 3 cos cos cos cos 3 3 cos cos cos cos 3 3 cos cos 3 3 4 cos cos xsen x dx u x du dx x dv sen x dx v x udv uv vdu x x x x x dx x x x x x dx x sen x sen x x x sen x x x x x                                                                            3 3 2 3 4 sen x sen x C   
  • 7.
         3 2 3 2 3 2 2 2 3 2 2 3 2 2 2 3 2 2 2 2 2 3 2 2 2 2 2 3 2 2 2 2 3 2 1 , 3 , 2 3 2 2 1 3 2 2 3 2 2 3 2 2 2 2 2 3 2 2 2 2 2 3 1 1 2 2 2 2 2 2 x x x x x x x x x x x x x x x x x x x x e dx u x du x dx e dv e dx v udv uv vdu e e x x dx e x e x dx e x x e dx e e e x x xdx e e e e x x x dx e e e x x x                                             23 3 2 2 2 23 2 3 3 3 2 4 8 x x x e x e x e xe e C                                                 2 2 2 2 2 2 2 2 2 2 2 2 2 2 2 2 cos cos cos( ), , 2 cos 2 2 1 cos( ) 2 2 1 cos( ) cos 2 2 2 2 1 1 cos cos cos 2 2 2 2 co x x x x x x x x x x x x x x x x e x dx x e dx u x du sen x dx e dv e dx v e e x sen x dx e x e sen x dx e e e x sen x x dx e e e x dx x sen x e x dx e                                                            2 2 2 2 2 2 2 2 cos 1 s cos 2 4 4 cos 5 cos 4 2 4 2 cos 5 x x x x x x x x x e sen x e x dx e x dx x e sen x e e x dx e x sen x e C          
  • 8.
                   3 3 4 3 4 4 4 3 4 3 4 4 4 4 3 ln ln 1 ln , , 4 1 ln 4 4 ln 4 4 1 ln 4 4 1 ln 4 4 4 ln 4 16 x x dx x x dx u x du dx x x dv x dx v x x x dx x x x x dx x x x dx x x x x x x C                                               2 2 2 2 2 2 4 1 arctan , 1 1 , 1 arctan 1 arctan , 1 1 1 arctan 2 1 1 arctan 2 1 arctan ln 2 1 arctan ln 1 2 1 arctan ln 1 2 arctg x dx u x du dx x dv dx v x x x x dx x x x x dx t x x x x dt t x x dt t x x t x x x x x x C                         
  • 9.
                     3 4 3 4 4 4 4 4 4 4 3 2 4 3 2 4 4 3 5 ln 3 1 ln 3 , ' 3 ' , 4 1 ln 3 4 3 4 1 ln 3 4 4 3 1 1 ln 3 4 4 3 1 1 81 ln 3 3 9 27 4 4 3 1 1 81 ln 3 3 9 27 4 4 3 1 1 9 ln 3 4 4 4 x x dx u x u x x v x v x x x dx x x x x dx x x x x dx x x x x x x dx x x x x dx x dx xdx dx dx x x x x x                                                    2 27 81ln 3 2 x x x C                       3 3 3 3 3 3 3 3 3 3 3 3 3 ) 2 1 2 1, 2 , 3 2 1 2 3 3 1 2 1 2 3 3 1 2 1 2 3 2 1 2 1 3 3 3 6 9 x x x x x x x x x x x x x a x e dx u x du dx e dv e dx v e e x dx e x e dx e x e dx e e x e xe e C                          
  • 10.
      3 2 32 2 2 2 2 3 2 2 3 2 2 2 2 2 3 2 2 2 2 3 2 ) , 3 , 2 3 2 2 1 3 2 2 3 2 2 2 2 2 3 2 2 2 2 x x x x x x x x x x x x x b x e dx u x dv x dx e dv e dx v e e x x dx e x e x dx e e e x x xdx e e e e x x x                                                                                                 2 2 2 2 3 2 2 2 3 2 2 2 2 2 3 2 2 2 3 2 2 2 2 2 3 1 1 2 2 2 2 2 2 1 3 1 2 2 2 2 4 3 3 2 4 8 3 3 3 2 4 8 x x x x x x x x x x x x x x x dx e e e x x x x e x x x e e e e x x x e e e x x x C x e e                                                                                         5 2 2 2 ) , 5 5 , ln 5 5 5 ln 5 ln 5 1 5 ln 5 ln 5 5 1 5 ln 5 ln 5 ln 5 5 5 ln 5 ln 5 5 5 ln 5 ln 5 x x x x x x x x x x c x dx u x du dx dv dx v x dx x x dx x x x C                     
  • 11.
                                   2 2 2 2 2 2 2 ) ln 1 ln , 2ln 1 , 1 ln 2ln 1 ln 2 ln 1 ln 2 ln ln 2 ln ln 2 ln 2 d x dx u x du x dx x dv dx v x x x x x dx x x x x x dx x x x x x x dx x x x x x x x x x x x C                                                                                              3 3 3 3 2 3 2 3 2 3 2 3 ) 2 2 2 ) 16 1 16 1 cos cos 3 16 1 cos 3 2 16 1 cos 3 2 cos 16 1 2 cos 2 3 2 2 2 2 cos 2 2 16 cos e x sen x dx t x t x t sen t i dx axf x dx ax f x dx t sen t dt udv uv vdu t t t t dt t t t sen t tsen t dt t t t sen t t t sen t x x x sen x x x sen x x                                         2 2 3 2 3 cos 2 3 2 2 4 8 x x sen x x x sen x C    
  • 12.
                             2 2 ) sec 3 ) , tan 3 3 , 3 tan 3 tan 3 ) 3 3 tan 3 1 1 tan 3 3 3 tan 3 1 1 3 9 tan 3 1 ln cos 3 9 tan 3 1 ln cos 3 3 9 f x x dx udv uv vdu i u x du dx x dv sex x dx v x x x ii udv dx x x t dt x x du u x x t x x x C                                                                 2 2 2 2 2 2 ) ln 2 ) ln 2ln ( ) ( ) ( ) ln 2ln ln 2 ln 2 2 4 2 ln 2 2 2 2 2 ln 2 2 2 2 4 ln 2 4 4 4 12 2 2 ln 2 2 4 g x x dx i t t dt t dt f x g x dx f x dx g x dx t t dt t dt t t t t t t t x x x x x x x x x x x x x x C                                      
  • 13.
                                   2 2 ) csc cot cos 1 ) . cos 1 1 1 1 cos 1 1 1 ln 2 1 cos cos 1 1 1 ln 2 cos 1 ln tan 2 h x x x dx x i x dx sen x sen x x x dx sen x x dx sen x sen x senx x dx sen x x t x sen x t t x x x sen x x x x sen x                                                                          C                                  2 2 ) sec tan ) tan tan tan cos 1 tan 1 tan tan ln cos tan ln cos i xsen x dx u x du dx dv x dx v x i x x x dx sen x x x dx x x x dt t x x dt t x x t t x x x x C                    
  • 14.
                           2 2 2 2 2 2 2 2 2 2 2 2 2 2 2 2 ) arctan 1 arctan 1 2 1 )arctan 2 1 arctan 2 1 1 1 1 arctan 2 1 1 1 1 arctan 2 1 1 1 arctan arctan 2 arctan arctan 2 2 j x x dx u x du dx x x dv xdx v x x i x dx x x x x x dx x x x x x dx x x x x x dx dx x x x x x x x x x x x x C                                                           2 2 2 2 2 2 ) 3arccos 1 cos 1 3 3 1 )arccos 3 3 1 1 arccos 3 1 3 1 arccos 3 3 1 arccos 3 3 1 arccos 3 3 1 1 arccos 3 3 1 k x dx u ar x du dx x dv v x i x x x dx x x x x dx x x x x dx x x x dt x x t t x x x x C                                    
  • 15.
                         2 2 2 2 ) arccot 2 2 arccot ) 2 1 arccot 2 1 1 arccot 2 1 1 arccot 2 1 1 1 arccot 2 2 1 1 arccot ln 2 2 1 1 1 arccot ln 1 2 2 2 1 1 arccot 2 2 ln 2 2 l x dx t x t i dt t dt t t t dt t t t t dt t t t du u t t u u t t t t t x x x                                                                 2 2 1 2 1 arccot 2 ln 1 4 4 x x x x C               2 2 2 2 2 2 2 2 2 2 2 3 2 2 3 2 ) 2 ) 1 2 ) 2 2 2 1 2 2 1 ) 1 1 2 2 ) 1 1 2 2 1 ) 1 1 2 m xarcsen x dx x i u arcsenx du x x du x v ii x x x xarcsenx dx arcsenx dx x x x dx x iii x dx x u x dv du x dx dx x iv x du x u du du x u u u u du A u v A u                                                                  3 1 2 2 1 3 2 2 2 1 3 2 2 2 1 2 2 2 3 2 1 1 3 2 1 1 2 3 u du u u A u A x x x arcsenx x x C                    
  • 16.
           1 1 2 2 3 1 2 2 3 1 2 2 2 2 ) 1 1 ) . 2 2 5 3 1 2 1 1 2 1 1 5 3 2 1 2 1 2 1 1 5 3 n x x dx t x i t t tdt t t t dt t t dt t dt t dt t t t t t x x x x x x x x x x C                                1 2 1 1 2 2 1 2 1 2 ) 5 2 5 2 5 ) 4 1 5 4 1 5 4 1 4 4 1 5 4 1 2 10 4 3 5 2 2 5 2 5 2 1 10 5 2 4 3 5 2 5 2 5 5 2 6 2 x o dx x t x t i dt t t dt t t dt t t dt t t t dt dt t t t t t x x x x x x x C                                                   
  • 17.
                                   2 2 2 2 2 2 2 2 2 2 2 2 2 2 ) 3 ) 3 3 cos 3 3 2 2 3 1 3 cos 3 1 3 3 2 2 2 2 3 3 ...... 3 3 3 3 cos 3 3 2 2 2 2 3 3cos 3 3 2 x x x x x x x x x x x x x x p e sen x dx i sen x e dx e e sen x x dx e e sen x x e sen x dx e sen x dx e e e sen x dx sen x x e sen x dx sen x e x e sen x dx                                                                2 2 2 2 2 2 2 2 2 2 2 2 2 2 9 3 4 4 3 3cos 3 9 3 3 4 2 4 3 3cos 3 13 3 4 2 4 2 3 3cos 3 3 13 13 2 3 3 cos 3 13 x x x x x x x x x x x x x x e e sen x dx sen x e x e e sen x dx e sen x dx sen x e x e e sen x dx sen x e x e e sen x dx e sen x e x C                                                   5 5 5 5 5 5 5 5 5 5 5 5 5 5 5 ) cos 2 ) cos 2 cos 2 2 2 5 5 2 cos 2 2 5 5 2 1 cos 2 2 2 cos 2 5 5 5 5 cos 2 ........... 2 2 cos 2 cos 2 2 cos 2 5 5 5 5 cos 2 x x x x x x x x x x x x s x s q e x dx i x e dx e e x sen x dx e x sen x e dx e e x sen x e x dx e x dx e e e x dx x sen x e x dx e                                                    5 5 5 5 5 5 5 5 5 cos 2 2 2 4 cos 2 5 25 25 cos 2 2 2 29 cos 2 25 5 25 5cos 2 2 2 cos 2 29 x x x x x s x x s x e sen x e x dx e x dx x e sen x e e x dx x e sen x e e x dx C            
  • 18.
                     1 2 0 2 2 2 2 2 2 1 0 2 2 2 3 1 0 2 16 3 2 2 1 0 2 2 2 2 2 1 0 2 2 2 ) ln 16 2 ln 16 ' 16 ' 2 2 ln 16 2 16 2 ln 16 2 1 ln 16 2 16 1 1 ln 16 16 16ln 16 2 2 1 ln 16 16 16ln 16 2 r x x dx x u x u x x v x v x x x x dx x x x x dx x x x x dx x x x x x x x x                                                                   2 1 0 17ln 17 1 64ln 2 2 x                                                                   ) ln ) ln cos cos cos cos cos 2 cos t t t t t t t t t t t t t t t t t t t t t t s sen x dx i t x sen t e dt sen t e e t dt sen t e t e e sen t dt sen t e t e e sen t dt e sen t dt e sen t dt sen t e t e e sen t dt e sen t dt sen t e t e e sen t dt e sen t dt sen t e t e e sen t dt                                                        ln ln cos 2 2 ) ln ln cos ln 2 2 ln cos ln 2 t t x x sen t e t e ii t x sen x e x e sen x x x x C      
  • 19.
                                 ) 2 2 2 cos cos 2 cos 2 cos 2 cos 2 t sen x dx t x tsen t dt tsen t dt t t t dt t t sen t Sustituyendot x x x sen x x x sen x C                                          2 2 2 2 2 2 2 2 2 2 2 2 2 2 2 2 2 2 2 2 2 ) ln 1 ) ln 1 1 ln 1 2 1 1 1 ) ln 1 2 1 ln 1 2 1 1 1 ln 1 2 1 1 1 ln 1 2 1 1 1 1 ln 1 2 1 1 ln 1 2 arctan ln 1 u x dx i x dx u x du xdx x dv dx v x ii x x x xdx x x x x dx x x x x dx x x x x dx x x x x x dx dx x x x x x x x                                                       2 2arctan x x x C   
  • 20.
    2 2 2 ) ) 2 ) 2 x t t t tt x x v e dx i t x te dt te e dt te e ii Sustituyendo xe e C        