Binomial Theorem
Binomial Theorem
Binomial Expansions
A binomial expression is one which contains two terms.
Binomial Theorem
Binomial Expansions
A binomial expression is one which contains two terms.
 1  x 0  1
Binomial Theorem
Binomial Expansions
A binomial expression is one which contains two terms.
 1  x 0  1
1  x 1  1  1x
Binomial Theorem
Binomial Expansions
A binomial expression is one which contains two terms.
 1  x 0  1
 1  x 1  1  1x
1  x 2  1  2 x  1x 2
Binomial Theorem
Binomial Expansions
A binomial expression is one which contains two terms.
 1  x 0  1
 1  x 1  1  1x
1  x 2  1  2 x  1x 2
1  x   1  x 1  2 x  1x 2 
         3


          1  2 x  x 2  x  2 x 2  x3
          1  3x  3x 2  x 3
Binomial Theorem
Binomial Expansions
A binomial expression is one which contains two terms.
 1  x 0  1
 1  x 1  1  1x
1  x 2  1  2 x  1x 2
1  x   1  x 1  2 x  1x 2 
         3


          1  2 x  x 2  x  2 x 2  x3
          1  3x  3x 2  x 3
1  x 4  1  x 1  3x  3x 2  x 3 
          1  3x  3x 2  x 3  x  3x 2  3x 3  x 4
          1  4 x  6 x 2  4 x3  x 4
Blaise Pascal saw a pattern which we now know as Pascal’s Triangle
Blaise Pascal saw a pattern which we now know as Pascal’s Triangle

                               1
Blaise Pascal saw a pattern which we now know as Pascal’s Triangle

                                 1
                             1       1
Blaise Pascal saw a pattern which we now know as Pascal’s Triangle

                                 1
                             1       1
                         1       2       1
Blaise Pascal saw a pattern which we now know as Pascal’s Triangle

                                  1
                              1       1
                          1       2       1
                      1       3       3       1
Blaise Pascal saw a pattern which we now know as Pascal’s Triangle

                                   1
                               1       1
                           1       2       1
                       1       3       3       1
                   1       4       6       4       1
Blaise Pascal saw a pattern which we now know as Pascal’s Triangle

                                      1
                                 1        1
                             1        2        1
                         1       3        3        1
                     1       4        6        4       1
                 1       5       10       10       5       1
Blaise Pascal saw a pattern which we now know as Pascal’s Triangle

                                        1
                                   1         1
                              1         2         1
                          1        3         3         1
                      1       4         6         4        1
                  1       5        10        10        5       1
              1       6       15        20        15       6       1
Blaise Pascal saw a pattern which we now know as Pascal’s Triangle

                                           1
                                      1         1
                                 1         2         1
                            1         3         3         1
                        1        4         6         4         1
                    1       5         10        10        5        1
                1       6        15        20        15        6       1
            1       7       21        35        35        21       7       1
Blaise Pascal saw a pattern which we now know as Pascal’s Triangle

                                             1
                                        1         1
                                   1         2         1
                              1         3         3         1
                         1         4         6         4         1
                     1        5         10        10        5         1
                 1       6         15        20        15        6        1
             1       7        21        35        35        21        7       1
         1       8       28        56        70        56        28       8       1
Blaise Pascal saw a pattern which we now know as Pascal’s Triangle

                                              1
                                         1         1
                                    1         2         1
                               1         3         3         1
                           1        4         6         4         1
                       1       5         10        10        5        1
                   1       6        15        20        15        6       1
               1       7       21        35        35        21       7       1
           1       8     28  56    70   56    28 8   1
       1       9       36 84    126 126    84   36 9   1
Blaise Pascal saw a pattern which we now know as Pascal’s Triangle

                                            1
                                       1         1
                                  1         2         1
                             1         3         3         1
                         1        4         6         4         1
                     1       5         10        10        5        1
                 1       6        15        20        15        6       1
             1       7       21        35        35        21       7       1
         1    28 856    70   56    28 8   1
      1  9  36 84    126 126    84   36 9   1
     1 10 45 120 210 252 210 120 45 10 1
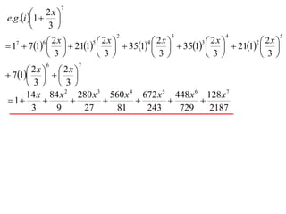
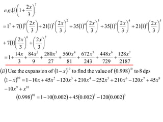
7
           2x 
e.g .i 1     
            3
7
           2x 
e.g .i 1     
            3
                            2         3            4               5

 17  71    211    351    351    211  
           6 2x        5 2x        4 2x        3 2x        2 2x
                                                     
             3         3         3         3         3
            6           7
       2x    2x 
 71   
       3  3
7
           2x 
e.g .i 1     
            3
                            2             3             4          5

 17  71    211    351    351    211  
           6 2x        5 2x        4 2x        3 2x        2 2x
                                                     
             3         3         3         3         3
            6           7
       2x    2x 
 71   
       3  3
      14 x 84 x 2 280 x 3 560 x 4 672 x 5 448 x 6 128 x 7
 1                                        
        3     9       27    81     243     729     2187
7
            2x 
 e.g .i 1     
             3
                                 2               3               4              5

  17  71    211    351    351    211  
            6 2x        5 2x        4 2x        3 2x        2 2x
                                                      
              3         3         3         3         3
             6           7
        2x    2x 
  71   
        3  3
       14 x 84 x 2 280 x 3 560 x 4 672 x 5 448 x 6 128 x 7
  1                                        
         3     9       27    81     243     729     2187
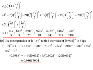
ii  Use the expansion of 1  x 10 to find the value of 0.99810 to 8 dps
7
           1  2 x 
  e.g .i         
                3
                                     2                 3                 4                5

  17  71    211    351    351    211  
            6 2x        5 2x        4 2x        3 2x        2 2x
                                                      
              3         3         3         3         3
               6            7
        2x    2x 
  71   
        3  3
       14 x 84 x 2 280 x 3 560 x 4 672 x 5 448 x 6 128 x 7
  1                                        
         3     9       27    81     243     729     2187
ii  Use the expansion of 1  x 10 to find the value of 0.99810 to 8 dps
   1  x 10  1  10 x  45 x 2  120 x 3  210 x 4  252 x 5  210 x 6  120 x 7  45 x8
   10 x 9  x10
7
           1  2 x 
  e.g .i         
                3
                                     2                 3                 4                5

  17  71    211    351    351    211  
            6 2x        5 2x        4 2x        3 2x        2 2x
                                                      
              3         3         3         3         3
               6            7
        2x    2x 
  71   
        3  3
       14 x 84 x 2 280 x 3 560 x 4 672 x 5 448 x 6 128 x 7
  1                                        
         3     9       27    81     243     729     2187
ii  Use the expansion of 1  x 10 to find the value of 0.99810 to 8 dps
   1  x 10  1  10 x  45 x 2  120 x 3  210 x 4  252 x 5  210 x 6  120 x 7  45 x8
   10 x 9  x10
         0.99810  1  100.002  450.0022  1200.0023
7
           1  2 x 
  e.g .i         
                3
                                       2                 3                4               5

  17  71    211    351    351    211  
            6 2x        5 2x        4 2x        3 2x        2 2x
                                                      
              3         3         3         3         3
               6              7
        2x    2x 
  71   
        3  3
       14 x 84 x 2 280 x 3 560 x 4 672 x 5 448 x 6 128 x 7
  1                                        
         3     9       27    81     243     729     2187
ii  Use the expansion of 1  x 10 to find the value of 0.99810 to 8 dps
   1  x 10  1  10 x  45 x 2  120 x 3  210 x 4  252 x 5  210 x 6  120 x 7  45 x8
   10 x 9  x10
         0.998  1  100.002  450.002  1200.002
                   10                                2                3


                             0.98017904
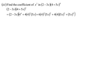
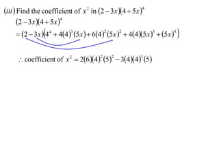
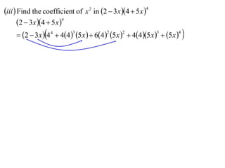
iii  Find the coefficient of x 2 in 2  3x 4  5 x 4
iii  Find the coefficient of x 2 in 2  3x 4  5 x 4
       2  3x 4  5 x 4
        2  3 x 44  443 5x   642 5x 2  445x 3  5x 4 
iii  Find the coefficient of x 2 in 2  3x 4  5 x 4
       2  3x 4  5 x 4
        2  3 x 44  443 5x   642 5x 2  445x 3  5x 4 
iii  Find the coefficient of x 2 in 2  3x 4  5 x 4
       2  3x 4  5 x 4
        2  3 x 44  443 5x   642 5x 2  445x 3  5x 4 
iii  Find the coefficient of x 2 in 2  3x 4  5 x 4
       2  3x 4  5 x 4
        2  3 x 44  443 5x   642 5x 2  445x 3  5x 4 

      coefficient of x 2  26 4  5  34 4  5
                                         2   2            3
iii  Find the coefficient of x 2 in 2  3x 4  5 x 4
       2  3x 4  5 x 4
        2  3 x 44  443 5x   642 5x 2  445x 3  5x 4 

      coefficient of x 2  26 4  5  34 4  5
                                         2   2            3


                              4800  3840
                              960
iii  Find the coefficient of x 2 in 2  3x 4  5 x 4
       2  3x 4  5 x 4
        2  3 x 44  443 5x   642 5x 2  445x 3  5x 4 

      coefficient of x 2  26 4  5  34 4  5
                                         2   2            3


                              4800  3840
                              960




    Exercise 5A; 2ace etc, 4, 6, 7, 9ad, 12b, 13ac, 14ace, 16a, 22, 23

12 x1 t08 01 binomial expansions (2012)

  • 1.
  • 2.
    Binomial Theorem Binomial Expansions Abinomial expression is one which contains two terms.
  • 3.
    Binomial Theorem Binomial Expansions Abinomial expression is one which contains two terms. 1  x 0  1
  • 4.
    Binomial Theorem Binomial Expansions Abinomial expression is one which contains two terms. 1  x 0  1 1  x 1  1  1x
  • 5.
    Binomial Theorem Binomial Expansions Abinomial expression is one which contains two terms. 1  x 0  1 1  x 1  1  1x 1  x 2  1  2 x  1x 2
  • 6.
    Binomial Theorem Binomial Expansions Abinomial expression is one which contains two terms. 1  x 0  1 1  x 1  1  1x 1  x 2  1  2 x  1x 2 1  x   1  x 1  2 x  1x 2  3  1  2 x  x 2  x  2 x 2  x3  1  3x  3x 2  x 3
  • 7.
    Binomial Theorem Binomial Expansions Abinomial expression is one which contains two terms. 1  x 0  1 1  x 1  1  1x 1  x 2  1  2 x  1x 2 1  x   1  x 1  2 x  1x 2  3  1  2 x  x 2  x  2 x 2  x3  1  3x  3x 2  x 3 1  x 4  1  x 1  3x  3x 2  x 3   1  3x  3x 2  x 3  x  3x 2  3x 3  x 4  1  4 x  6 x 2  4 x3  x 4
  • 8.
    Blaise Pascal sawa pattern which we now know as Pascal’s Triangle
  • 9.
    Blaise Pascal sawa pattern which we now know as Pascal’s Triangle 1
  • 10.
    Blaise Pascal sawa pattern which we now know as Pascal’s Triangle 1 1 1
  • 11.
    Blaise Pascal sawa pattern which we now know as Pascal’s Triangle 1 1 1 1 2 1
  • 12.
    Blaise Pascal sawa pattern which we now know as Pascal’s Triangle 1 1 1 1 2 1 1 3 3 1
  • 13.
    Blaise Pascal sawa pattern which we now know as Pascal’s Triangle 1 1 1 1 2 1 1 3 3 1 1 4 6 4 1
  • 14.
    Blaise Pascal sawa pattern which we now know as Pascal’s Triangle 1 1 1 1 2 1 1 3 3 1 1 4 6 4 1 1 5 10 10 5 1
  • 15.
    Blaise Pascal sawa pattern which we now know as Pascal’s Triangle 1 1 1 1 2 1 1 3 3 1 1 4 6 4 1 1 5 10 10 5 1 1 6 15 20 15 6 1
  • 16.
    Blaise Pascal sawa pattern which we now know as Pascal’s Triangle 1 1 1 1 2 1 1 3 3 1 1 4 6 4 1 1 5 10 10 5 1 1 6 15 20 15 6 1 1 7 21 35 35 21 7 1
  • 17.
    Blaise Pascal sawa pattern which we now know as Pascal’s Triangle 1 1 1 1 2 1 1 3 3 1 1 4 6 4 1 1 5 10 10 5 1 1 6 15 20 15 6 1 1 7 21 35 35 21 7 1 1 8 28 56 70 56 28 8 1
  • 18.
    Blaise Pascal sawa pattern which we now know as Pascal’s Triangle 1 1 1 1 2 1 1 3 3 1 1 4 6 4 1 1 5 10 10 5 1 1 6 15 20 15 6 1 1 7 21 35 35 21 7 1 1 8 28 56 70 56 28 8 1 1 9 36 84 126 126 84 36 9 1
  • 19.
    Blaise Pascal sawa pattern which we now know as Pascal’s Triangle 1 1 1 1 2 1 1 3 3 1 1 4 6 4 1 1 5 10 10 5 1 1 6 15 20 15 6 1 1 7 21 35 35 21 7 1 1 28 856 70 56 28 8 1 1 9 36 84 126 126 84 36 9 1 1 10 45 120 210 252 210 120 45 10 1
  • 20.
    7   2x  e.g .i 1   3
  • 21.
    7   2x  e.g .i 1   3 2 3 4 5  17  71    211    351    351    211   6 2x 5 2x 4 2x 3 2x 2 2x            3  3  3  3  3 6 7  2x    2x   71     3  3
  • 22.
    7   2x  e.g .i 1   3 2 3 4 5  17  71    211    351    351    211   6 2x 5 2x 4 2x 3 2x 2 2x            3  3  3  3  3 6 7  2x    2x   71     3  3 14 x 84 x 2 280 x 3 560 x 4 672 x 5 448 x 6 128 x 7  1       3 9 27 81 243 729 2187
  • 23.
    7   2x  e.g .i 1   3 2 3 4 5  17  71    211    351    351    211   6 2x 5 2x 4 2x 3 2x 2 2x            3  3  3  3  3 6 7  2x    2x   71     3  3 14 x 84 x 2 280 x 3 560 x 4 672 x 5 448 x 6 128 x 7  1       3 9 27 81 243 729 2187 ii  Use the expansion of 1  x 10 to find the value of 0.99810 to 8 dps
  • 24.
    7 1  2 x  e.g .i    3 2 3 4 5  17  71    211    351    351    211   6 2x 5 2x 4 2x 3 2x 2 2x            3  3  3  3  3 6 7  2x    2x   71     3  3 14 x 84 x 2 280 x 3 560 x 4 672 x 5 448 x 6 128 x 7  1       3 9 27 81 243 729 2187 ii  Use the expansion of 1  x 10 to find the value of 0.99810 to 8 dps 1  x 10  1  10 x  45 x 2  120 x 3  210 x 4  252 x 5  210 x 6  120 x 7  45 x8  10 x 9  x10
  • 25.
    7 1  2 x  e.g .i    3 2 3 4 5  17  71    211    351    351    211   6 2x 5 2x 4 2x 3 2x 2 2x            3  3  3  3  3 6 7  2x    2x   71     3  3 14 x 84 x 2 280 x 3 560 x 4 672 x 5 448 x 6 128 x 7  1       3 9 27 81 243 729 2187 ii  Use the expansion of 1  x 10 to find the value of 0.99810 to 8 dps 1  x 10  1  10 x  45 x 2  120 x 3  210 x 4  252 x 5  210 x 6  120 x 7  45 x8  10 x 9  x10 0.99810  1  100.002  450.0022  1200.0023
  • 26.
    7 1  2 x  e.g .i    3 2 3 4 5  17  71    211    351    351    211   6 2x 5 2x 4 2x 3 2x 2 2x            3  3  3  3  3 6 7  2x    2x   71     3  3 14 x 84 x 2 280 x 3 560 x 4 672 x 5 448 x 6 128 x 7  1       3 9 27 81 243 729 2187 ii  Use the expansion of 1  x 10 to find the value of 0.99810 to 8 dps 1  x 10  1  10 x  45 x 2  120 x 3  210 x 4  252 x 5  210 x 6  120 x 7  45 x8  10 x 9  x10 0.998  1  100.002  450.002  1200.002 10 2 3  0.98017904
  • 27.
    iii  Findthe coefficient of x 2 in 2  3x 4  5 x 4
  • 28.
    iii  Findthe coefficient of x 2 in 2  3x 4  5 x 4 2  3x 4  5 x 4  2  3 x 44  443 5x   642 5x 2  445x 3  5x 4 
  • 29.
    iii  Findthe coefficient of x 2 in 2  3x 4  5 x 4 2  3x 4  5 x 4  2  3 x 44  443 5x   642 5x 2  445x 3  5x 4 
  • 30.
    iii  Findthe coefficient of x 2 in 2  3x 4  5 x 4 2  3x 4  5 x 4  2  3 x 44  443 5x   642 5x 2  445x 3  5x 4 
  • 31.
    iii  Findthe coefficient of x 2 in 2  3x 4  5 x 4 2  3x 4  5 x 4  2  3 x 44  443 5x   642 5x 2  445x 3  5x 4   coefficient of x 2  26 4  5  34 4  5 2 2 3
  • 32.
    iii  Findthe coefficient of x 2 in 2  3x 4  5 x 4 2  3x 4  5 x 4  2  3 x 44  443 5x   642 5x 2  445x 3  5x 4   coefficient of x 2  26 4  5  34 4  5 2 2 3  4800  3840  960
  • 33.
    iii  Findthe coefficient of x 2 in 2  3x 4  5 x 4 2  3x 4  5 x 4  2  3 x 44  443 5x   642 5x 2  445x 3  5x 4   coefficient of x 2  26 4  5  34 4  5 2 2 3  4800  3840  960 Exercise 5A; 2ace etc, 4, 6, 7, 9ad, 12b, 13ac, 14ace, 16a, 22, 23