Integrating Quadratic
       Denominators
1 2 dx 2      dx
    a x    a  x a  x 
      dx            dx
2 2 2  
    x a      x  a  x  a 
Integrating Quadratic
       Denominators
1 2 dx 2      dx           
    a x    a  x a  x   done via
                                
      dx            dx          
2 2 2                       partial fractions
    x a      x  a  x  a  
                                
Integrating Quadratic
       Denominators
1 2 dx 2      dx                                1     a  x  c
                                                     log 
    a x    a  x a  x   done via
                                                     2a    a  x 
                                
                                 partial fractions  1 log  x  a   c
      dx            dx
2 2 2  
    x a      x  a  x  a  
                                                     2a    x  a
                                                                   
Integrating Quadratic
       Denominators
1 2 dx 2      dx                                1     a  x  c
                                                     log 
    a x    a  x a  x   done via
                                                     2a    a  x 
                                
                                 partial fractions  1 log  x  a   c
      dx            dx
2 2 2  
    x a      x  a  x  a  
                                                     2a    x  a
                                                                   

      dx  1   1 x
3 2 2  tan  c
    a x  a      a
Integrating Quadratic
       Denominators
1 2 dx 2      dx                                1     a  x   c
                                                     log 
    a x    a  x a  x   done via
                                                     2a    a  x 
                                
                                 partial fractions  1 log  x  a   c
      dx            dx
2 2 2  
    x a      x  a  x  a  
                                                     2a    x  a
                                                                   

      dx  1   1 x
3 2 2  tan  c
    a x  a      a

        dx          1 x
4           sin      c
       a x
        2   2
                       a
Integrating Quadratic
       Denominators
1 2 dx 2      dx                                1     a  x   c
                                                     log 
    a x    a  x a  x   done via
                                                     2a    a  x 
                                
                                 partial fractions  1 log  x  a   c
      dx            dx
2 2 2  
    x a      x  a  x  a  
                                                     2a    x  a
                                                                   

      dx  1   1 x
3 2 2  tan  c               5
                                         dx
                                        x2  a2
                                                                 
                                                 log x  x 2  a 2  c
    a x  a      a

        dx          1 x
4           sin      c
       a x
        2   2
                       a
Integrating Quadratic
       Denominators
1 2 dx 2      dx                                1     a  x   c
                                                     log 
    a x    a  x a  x   done via
                                                     2a    a  x 
                                
                                 partial fractions  1 log  x  a   c
      dx            dx
2 2 2  
    x a      x  a  x  a  
                                                     2a    x  a
                                                                   

      dx  1   1 x
3 2 2  tan  c               5
                                         dx
                                        x2  a2
                                                                 
                                                 log x  x 2  a 2  c
    a x  a      a

4
        dx
               sin 1 x
                         c      6
                                         dx
                                        a2  x2
                                                                 
                                                 log x  a 2  x 2  c
       a x
        2   2
                       a
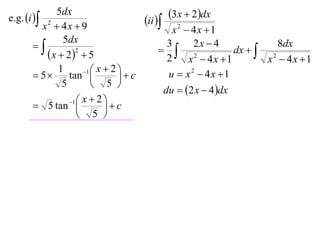
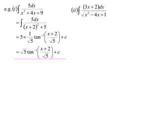
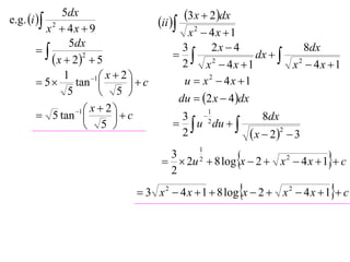
5dx
e.g. i 
             x2  4x  9
5dx
e.g. i 
        x2  4x  9
               5dx
       
           x  22  5
5dx
e.g. i 
         x2  4x  9
               5dx
       
           x  22  5
              1       1  x  2 
        5      tan            c
               5          5 
                 1  x  2 
        5 tan              c
                     5 
e.g. i 
             5dx                                3x  2dx
         x2  4x  9
                                       ii 
                                                x2  4x 1
               5dx
       
           x  22  5
              1       1  x  2 
        5      tan            c
               5          5 
                 1  x  2 
        5 tan              c
                     5 
e.g. i 
             5dx                                3x  2dx
         x2  4x  9
                                       ii 
                                             x2  4x 1
               5dx                                2x  4
                                          3
                                             2           dx   2
                                                                    8dx
           x  22  5                     2    x  4x 1        x  4x 1
              1       1  x  2 
        5      tan            c
               5          5 
                 1  x  2 
        5 tan              c
                     5 
e.g. i 
             5dx                                3x  2dx
         x2  4x  9
                                       ii 
                                              x2  4x 1
               5dx                                 2x  4
                                           3
                                             2              dx   2
                                                                       8dx
           x  22  5                      2    x  4x 1          x  4x 1
              1       1  x  2 
        5      tan            c         u  x2  4x 1
               5          5 
                                            du  2 x  4 dx
                 1  x  2 
        5 tan              c
                     5 
e.g. i 
             5dx                                3x  2dx
         x2  4x  9
                                       ii 
                                              x2  4x 1
               5dx                                 2x  4
                                           3
                                             2              dx   2
                                                                       8dx
           x  22  5                      2    x  4x 1          x  4x 1
              1       1  x  2 
        5      tan            c         u  x2  4x 1
               5          5 
                                            du  2 x  4 dx
                 1  x  2 
        5 tan              c            3 2
                                                     1
                                                                8dx
                     5                     u du  
                                            2                 x  22  3
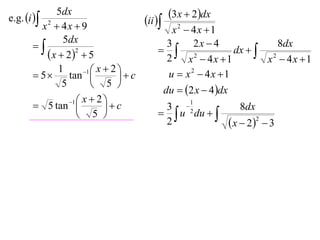
e.g. i 
             5dx                                3x  2dx
         x2  4x  9
                                       ii 
                                              x2  4x 1
               5dx                                 2x  4
                                           3
                                             2              dx   2
                                                                       8dx
           x  22  5                      2    x  4x 1          x  4x 1
              1       1  x  2 
        5      tan            c         u  x2  4x 1
               5          5 
                                            du  2 x  4 dx
                 1  x  2 
        5 tan              c            3 2
                                                       1
                                                                    8dx
                     5                     u du  
                                            2                     x  22  3
                                                                                
                                                   1
                                         3
                                          2u 2  8 log x  2  x 2  4 x  1  c
                                         2
e.g. i 
             5dx                                3x  2dx
         x2  4x  9
                                       ii 
                                              x2  4x 1
               5dx                                 2x  4
                                           3
                                             2              dx   2
                                                                       8dx
           x  22  5                      2    x  4x 1          x  4x 1
              1       1  x  2 
        5      tan            c         u  x2  4x 1
               5          5 
                                            du  2 x  4 dx
                 1  x  2 
        5 tan              c            3 2
                                                       1
                                                                    8dx
                     5                     u du  
                                            2                     x  22  3
                                                                                
                                                   1
                                         3
                                          2u 2  8 log x  2  x 2  4 x  1  c
                                         2
                                                                                
                                  3 x 2  4 x  1  8 log x  2  x 2  4 x  1  c
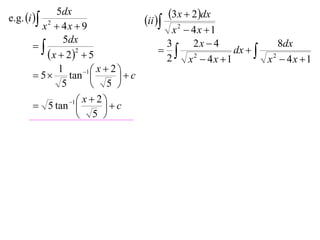
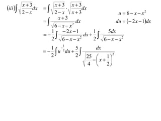
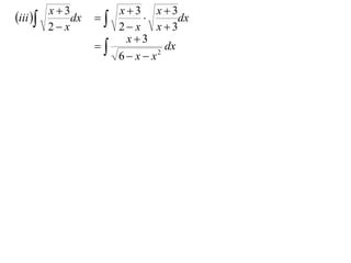
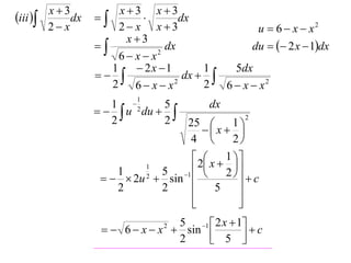
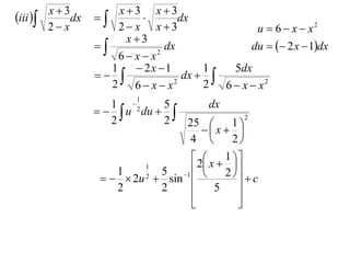
iii  x  3dx
       2 x
iii  x  3dx   x  3  x  3dx
      2 x          2 x    x3
iii  x  3dx   x  3  x  3dx
      2 x          2 x x3
                     x3
                            dx
                    6 x x 2
iii  x  3dx   x  3  x  3dx
      2 x          2 x x3
                     x3
                            dx
                    6 x x 2

                  1     2x 1        1   5dx
                               dx  
                  2 6 x x     2
                                      2 6  x  x2
iii  x  3dx   x  3  x  3dx
      2 x          2 x x3                   u  6  x  x2
                     x3
                            dx              du   2 x  1dx
                    6 x x 2

                  1     2x 1        1   5dx
                               dx  
                  2 6 x x     2
                                      2 6  x  x2
iii  x  3dx   x  3  x  3dx
      2 x          2 x x3                   u  6  x  x2
                     x3
                            dx              du   2 x  1dx
                    6 x x 2

                  1     2x 1        1   5dx
                               dx  
                  2 6 x x     2
                                      2 6  x  x2
                        1
                  1 2     5     dx
                  u du             2
                  2        2  25    1
                                x  
                              4     2
iii  x  3dx   x  3  x  3dx
      2 x          2 x x3                   u  6  x  x2
                     x3
                            dx              du   2 x  1dx
                    6 x x 2

                  1     2x 1        1   5dx
                               dx  
                  2 6 x x     2
                                      2 6  x  x2
                        1
                  1 2     5         dx
                  u du                    2
                  2        2   25         1
                                   x  
                               4          2
                                       1 
                    1
                        1        2 x  2  
                           5 1            c
                   2u  sin 
                        2
                                             
                    2      2         5      
                                
                                            
                                             
iii  x  3dx   x  3  x  3dx
      2 x          2 x x3                   u  6  x  x2
                     x3
                            dx              du   2 x  1dx
                    6 x x 2

                  1     2x 1        1   5dx
                               dx  
                  2 6 x x     2
                                      2 6  x  x2
                        1
                  1 2     5         dx
                  u du                    2
                  2        2   25         1
                                   x  
                               4          2
                                       1 
                    1
                        1        2 x  2  
                           5 1            c
                   2u  sin 
                        2
                                             
                    2      2         5      
                                
                                            
                                             
                                5 1  2 x  1
                   6  x  x  sin 
                             2
                                              c
                                2     5 
Exercise 2F; odd

Exercise 2H; 1, 2, 5, 6, 9, 15, 17 to 20

X2 t04 07 quadratic denominators (2012)

  • 1.
    Integrating Quadratic Denominators 1 2 dx 2   dx a x a  x a  x  dx dx 2 2 2   x a  x  a  x  a 
  • 2.
    Integrating Quadratic Denominators 1 2 dx 2   dx  a x a  x a  x   done via  dx dx  2 2 2    partial fractions x a  x  a  x  a   
  • 3.
    Integrating Quadratic Denominators 1 2 dx 2   dx  1 a  x  c  log  a x a  x a  x   done via  2a a  x    partial fractions  1 log  x  a   c dx dx 2 2 2   x a  x  a  x  a    2a x  a  
  • 4.
    Integrating Quadratic Denominators 1 2 dx 2   dx  1 a  x  c  log  a x a  x a  x   done via  2a a  x    partial fractions  1 log  x  a   c dx dx 2 2 2   x a  x  a  x  a    2a x  a   dx 1 1 x 3 2 2  tan  c a x a a
  • 5.
    Integrating Quadratic Denominators 1 2 dx 2   dx  1 a  x   c  log  a x a  x a  x   done via  2a a  x    partial fractions  1 log  x  a   c dx dx 2 2 2   x a  x  a  x  a    2a x  a   dx 1 1 x 3 2 2  tan  c a x a a dx 1 x 4  sin c a x 2 2 a
  • 6.
    Integrating Quadratic Denominators 1 2 dx 2   dx  1 a  x   c  log  a x a  x a  x   done via  2a a  x    partial fractions  1 log  x  a   c dx dx 2 2 2   x a  x  a  x  a    2a x  a   dx 1 1 x 3 2 2  tan  c 5 dx x2  a2    log x  x 2  a 2  c a x a a dx 1 x 4  sin c a x 2 2 a
  • 7.
    Integrating Quadratic Denominators 1 2 dx 2   dx  1 a  x   c  log  a x a  x a  x   done via  2a a  x    partial fractions  1 log  x  a   c dx dx 2 2 2   x a  x  a  x  a    2a x  a   dx 1 1 x 3 2 2  tan  c 5 dx x2  a2    log x  x 2  a 2  c a x a a 4 dx  sin 1 x c 6 dx a2  x2    log x  a 2  x 2  c a x 2 2 a
  • 8.
    5dx e.g. i  x2  4x  9
  • 9.
    5dx e.g. i  x2  4x  9 5dx   x  22  5
  • 10.
    5dx e.g. i  x2  4x  9 5dx   x  22  5 1 1  x  2   5 tan  c 5  5  1  x  2   5 tan  c  5 
  • 11.
    e.g. i  5dx 3x  2dx x2  4x  9 ii  x2  4x 1 5dx   x  22  5 1 1  x  2   5 tan  c 5  5  1  x  2   5 tan  c  5 
  • 12.
    e.g. i  5dx 3x  2dx x2  4x  9 ii  x2  4x 1 5dx 2x  4  3   2 dx   2 8dx  x  22  5 2 x  4x 1 x  4x 1 1 1  x  2   5 tan  c 5  5  1  x  2   5 tan  c  5 
  • 13.
    e.g. i  5dx 3x  2dx x2  4x  9 ii  x2  4x 1 5dx 2x  4  3   2 dx   2 8dx  x  22  5 2 x  4x 1 x  4x 1 1 1  x  2   5 tan  c u  x2  4x 1 5  5  du  2 x  4 dx 1  x  2   5 tan  c  5 
  • 14.
    e.g. i  5dx 3x  2dx x2  4x  9 ii  x2  4x 1 5dx 2x  4  3   2 dx   2 8dx  x  22  5 2 x  4x 1 x  4x 1 1 1  x  2   5 tan  c u  x2  4x 1 5  5  du  2 x  4 dx 1  x  2   5 tan  c 3 2 1 8dx  5    u du   2  x  22  3
  • 15.
    e.g. i  5dx 3x  2dx x2  4x  9 ii  x2  4x 1 5dx 2x  4  3   2 dx   2 8dx  x  22  5 2 x  4x 1 x  4x 1 1 1  x  2   5 tan  c u  x2  4x 1 5  5  du  2 x  4 dx 1  x  2   5 tan  c 3 2 1 8dx  5    u du   2  x  22  3   1 3   2u 2  8 log x  2  x 2  4 x  1  c 2
  • 16.
    e.g. i  5dx 3x  2dx x2  4x  9 ii  x2  4x 1 5dx 2x  4  3   2 dx   2 8dx  x  22  5 2 x  4x 1 x  4x 1 1 1  x  2   5 tan  c u  x2  4x 1 5  5  du  2 x  4 dx 1  x  2   5 tan  c 3 2 1 8dx  5    u du   2  x  22  3   1 3   2u 2  8 log x  2  x 2  4 x  1  c 2    3 x 2  4 x  1  8 log x  2  x 2  4 x  1  c
  • 17.
    iii  x 3dx 2 x
  • 18.
    iii  x 3dx   x  3  x  3dx 2 x 2 x x3
  • 19.
    iii  x 3dx   x  3  x  3dx 2 x 2 x x3 x3  dx 6 x x 2
  • 20.
    iii  x 3dx   x  3  x  3dx 2 x 2 x x3 x3  dx 6 x x 2 1  2x 1 1 5dx   dx   2 6 x x 2 2 6  x  x2
  • 21.
    iii  x 3dx   x  3  x  3dx 2 x 2 x x3 u  6  x  x2 x3  dx du   2 x  1dx 6 x x 2 1  2x 1 1 5dx   dx   2 6 x x 2 2 6  x  x2
  • 22.
    iii  x 3dx   x  3  x  3dx 2 x 2 x x3 u  6  x  x2 x3  dx du   2 x  1dx 6 x x 2 1  2x 1 1 5dx   dx   2 6 x x 2 2 6  x  x2 1 1 2 5 dx    u du   2 2 2 25  1 x   4  2
  • 23.
    iii  x 3dx   x  3  x  3dx 2 x 2 x x3 u  6  x  x2 x3  dx du   2 x  1dx 6 x x 2 1  2x 1 1 5dx   dx   2 6 x x 2 2 6  x  x2 1 1 2 5 dx    u du   2 2 2 25  1 x   4  2   1  1 1  2 x  2   5 1   c    2u  sin  2  2 2  5     
  • 24.
    iii  x 3dx   x  3  x  3dx 2 x 2 x x3 u  6  x  x2 x3  dx du   2 x  1dx 6 x x 2 1  2x 1 1 5dx   dx   2 6 x x 2 2 6  x  x2 1 1 2 5 dx    u du   2 2 2 25  1 x   4  2   1  1 1  2 x  2   5 1   c    2u  sin  2  2 2  5      5 1  2 x  1   6  x  x  sin  2 c 2  5 
  • 25.
    Exercise 2F; odd Exercise2H; 1, 2, 5, 6, 9, 15, 17 to 20