Integration By
       Partial Fractions
         Ax
To find;         dx
           P x 
Integration By
       Partial Fractions
         Ax
To find;         dx
           P x 
1 If degA x   degP x , perform a division
Integration By
       Partial Fractions
         Ax
To find;         dx
           P x 
1 If degA x   degP x , perform a division
2 If degA x   degP x , factorise P x 
Integration By
       Partial Fractions
         Ax
To find;         dx
           P x 
1 If degA x   degP x , perform a division
2 If degA x   degP x , factorise P x 
                                           A
    a) for linear factor  x  a , write
                                          xa
Integration By
       Partial Fractions
         Ax
To find;         dx
           P x 
1 If degA x   degP x , perform a division
2 If degA x   degP x , factorise P x 
                                              A
    a) for linear factor  x  a , write
                                           xa
    b) for multiple linear factors  x  a  , write
                                               n


            A         B                 C
                           
        x  a x  a   2
                                     x  a n
Integration By
       Partial Fractions
         Ax
To find;         dx
           P x 
1 If degA x   degP x , perform a division
2 If degA x   degP x , factorise P x 
                                              A
    a) for linear factor  x  a , write
                                           xa
    b) for multiple linear factors  x  a  , write
                                               n


            A         B                 C
                           
        x  a x  a   2
                                     x  a n
                                                       Ax  B
    c) for polynomial factors e.g. ax  bx  c, write 2
                                        2

                                                     ax  bx  c
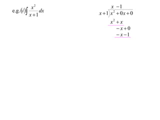
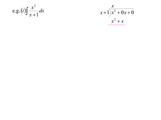
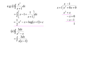
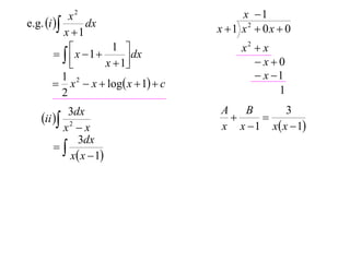
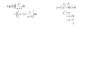
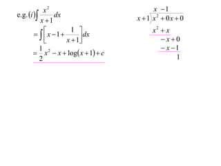
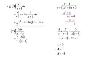
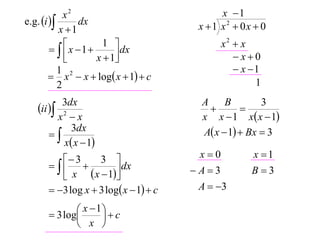
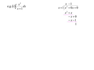
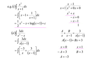
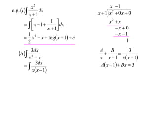
x2
e.g. i       dx
           x 1
x2            x
e.g. i       dx   x 1 x2  0x  0
           x 1
                          x2  x
x2            x 1
e.g. i       dx   x 1 x2  0x  0
           x 1
                          x2  x
                             x0
x2            x 1
e.g. i       dx   x 1 x2  0x  0
           x 1
                          x2  x
                             x0
                              x 1
x2            x 1
e.g. i       dx   x 1 x2  0x  0
           x 1
                          x2  x
                             x0
                              x 1
                                  1
x2                      x 1
e.g. i       dx             x 1 x2  0x  0
           x 1
                                    x2  x
          x 1
                     1 
            
                        dx
                   x  1              x0
                                        x 1
                                            1
x2                            x 1
e.g. i       dx                    x 1 x2  0x  0
           x 1
                                           x2  x
          x 1
                     1 
             
                        dx
                   x  1                     x0
           1                                   x 1
         x 2  x  log x  1  c
           2                                       1
x2                            x 1
e.g. i       dx                    x 1 x2  0x  0
           x 1
                                           x2  x
          x 1
                     1 
             
                        dx
                   x  1                     x0
           1                                   x 1
         x 2  x  log x  1  c
           2                                       1
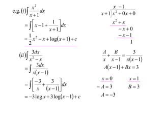
             3dx
   ii 
            x2  x
x2                            x 1
e.g. i       dx                    x 1 x2  0x  0
           x 1
                                           x2  x
          x 1
                     1 
             
                        dx
                   x  1                     x0
           1                                   x 1
         x 2  x  log x  1  c
           2                                       1
         3dx
   ii 
       x2  x
           3dx
      
         x x  1
x2                            x 1
e.g. i       dx                    x 1 x2  0x  0
           x 1
                                           x2  x
          x 1
                     1 
             
                        dx
                   x  1                     x0
           1                                   x 1
         x 2  x  log x  1  c
           2                                       1
          3dx                         A   B       3
   ii  2                                 
         x x                         x x  1 x x  1
            3dx
       
          x x  1
x2                            x 1
e.g. i       dx                    x 1 x2  0x  0
           x 1
                                           x2  x
          x 1
                     1 
             
                        dx
                   x  1                     x0
           1                                   x 1
         x 2  x  log x  1  c
           2                                       1
         3dx                          A     B        3
   ii                                       
       x2  x                         x x  1 x x  1
      
           3dx                        A x  1  Bx  3
         x x  1
x2                             x 1
e.g. i       dx                     x 1 x2  0x  0
           x 1
                                            x2  x
          x 1
                     1 
             
                        dx
                   x  1                      x0
           1                                    x 1
         x 2  x  log x  1  c
           2                                        1
         3dx                            A     B        3
   ii                                         
       x2  x                           x x  1 x x  1
      
           3dx                          A x  1  Bx  3
         x x  1
                                       x0
                                      A3
                                       A  3
x2                             x 1
e.g. i       dx                     x 1 x2  0x  0
           x 1
                                            x2  x
          x 1
                     1 
             
                        dx
                   x  1                      x0
           1                                    x 1
         x 2  x  log x  1  c
           2                                        1
         3dx                            A     B        3
   ii                                         
       x2  x                           x x  1 x x  1
      
           3dx                          A x  1  Bx  3
         x x  1
                                       x0         x 1
                                      A3         B3
                                       A  3
x2                             x 1
e.g. i       dx                     x 1 x2  0x  0
           x 1
                                            x2  x
          x 1
                     1 
             
                        dx
                   x  1                      x0
           1                                    x 1
         x 2  x  log x  1  c
           2                                        1
         3dx                            A     B        3
   ii                                         
       x2  x                           x x  1 x x  1
      
           3dx                          A x  1  Bx  3
         x x  1
          3    3                    x0         x 1
                  dx             A3         B3
          x  x  1
                                       A  3
x2                              x 1
e.g. i       dx                      x 1 x2  0x  0
           x 1
                                             x2  x
          x 1
                     1 
             
                        dx
                   x  1                       x0
           1                                     x 1
         x 2  x  log x  1  c
           2                                         1
         3dx                             A     B        3
   ii                                          
       x2  x                            x x  1 x x  1
      
           3dx                           A x  1  Bx  3
         x x  1
          3      3                   x0         x 1
                     dx           A3         B3
          x  x  1
       3 log x  3 log x  1  c    A  3
x2                              x 1
e.g. i       dx                      x 1 x2  0x  0
           x 1
                                             x2  x
          x 1
                     1 
             
                        dx
                   x  1                       x0
           1                                     x 1
         x 2  x  log x  1  c
           2                                         1
         3dx                             A     B        3
   ii                                          
       x2  x                            x x  1 x x  1
      
           3dx                           A x  1  Bx  3
         x x  1
          3      3                   x0         x 1
                     dx           A3         B3
          x  x  1
       3 log x  3 log x  1  c    A  3

               x  1
       3 log
                   c
              x 
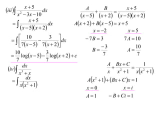
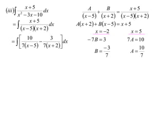
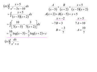
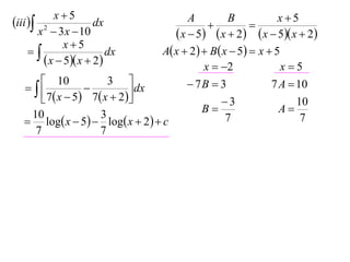
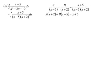
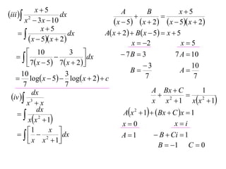
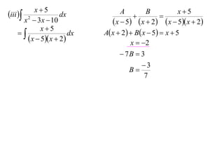
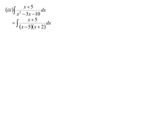
x5
iii  2           dx
       x  3 x  10
x5
iii  2             dx
       x  3 x  10
              x5
                       dx
         x  5 x  2
x5                                              x5
iii  2             dx             A
                                          
                                               B
                                                     
       x  3 x  10               x  5  x  2  x  5 x  2
              x5
                       dx   A x  2   B x  5  x  5
         x  5 x  2
x5                                              x5
iii  2             dx             A
                                          
                                               B
                                                     
       x  3 x  10               x  5  x  2  x  5 x  2
              x5
                       dx   A x  2   B x  5  x  5
         x  5 x  2                 x  2
                                      7B  3
                                             3
                                         B
                                               7
x5                                              x5
iii  2             dx             A
                                          
                                               B
                                                     
       x  3 x  10               x  5  x  2  x  5 x  2
              x5
                       dx   A x  2   B x  5  x  5
         x  5 x  2                 x  2              x5
                                      7B  3             7 A  10
                                             3                 10
                                         B                 A
                                               7                 7
x5                                                      x5
iii  2             dx                     A
                                                  
                                                       B
                                                             
       x  3 x  10                       x  5  x  2  x  5 x  2
              x5
                       dx           A x  2   B x  5  x  5
         x  5 x  2                         x  2              x5
       10               3                   7B  3             7 A  10
                            dx
       7  x  5  7  x  2                      3                 10
                                                 B                 A
                                                       7                 7
x5                                                    x5
iii  2             dx                   A
                                                
                                                     B
                                                           
       x  3 x  10                     x  5  x  2  x  5 x  2
              x5
                       dx         A x  2   B x  5  x  5
         x  5 x  2                       x  2              x5
       10               3                 7B  3             7 A  10
                            dx
       7  x  5  7  x  2                    3                 10
    10                 3                       B                 A
    log x  5  log x  2   c                  7                 7
     7                 7
x5                                                      x5
iii  2             dx                     A
                                                  
                                                       B
                                                             
       x  3 x  10                       x  5  x  2  x  5 x  2
              x5
                       dx           A x  2   B x  5  x  5
         x  5 x  2                         x  2              x5
         10               3                 7B  3             7 A  10
                              dx
         7  x  5  7  x  2                    3                 10
      10                 3                       B                 A
    log x  5  log x  2   c                    7                 7
       7                 7
          dx
 iv  3
        x x
x5                                                      x5
iii  2             dx                     A
                                                  
                                                       B
                                                             
       x  3 x  10                       x  5  x  2  x  5 x  2
              x5
                       dx           A x  2   B x  5  x  5
         x  5 x  2                         x  2              x5
         10               3                 7B  3             7 A  10
                              dx
         7  x  5  7  x  2                    3                 10
      10                 3                       B                 A
    log x  5  log x  2   c                    7                 7
       7                 7
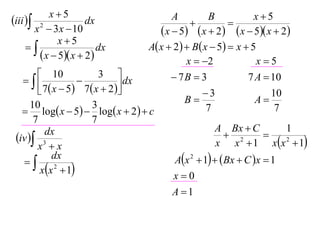
          dx
 iv  3
        x x
             dx
   
         xx 2  1
x5                                                      x5
iii  2             dx                     A
                                                  
                                                       B
                                                              
       x  3 x  10                       x  5  x  2  x  5 x  2
              x5
                       dx           A x  2   B x  5  x  5
         x  5 x  2                         x  2              x5
         10               3                 7B  3              7 A  10
                              dx
         7  x  5  7  x  2                    3                  10
      10                 3                       B                  A
    log x  5  log x  2   c                    7                  7
       7                 7
                                                          A Bx  C          1
 iv  3
          dx                                                  2       
        x x                                              x x  1 xx 2  1
   
             dx                               Ax 2  1   Bx  C x  1
         xx 2  1
x5                                                      x5
iii  2             dx                     A
                                                  
                                                       B
                                                              
       x  3 x  10                       x  5  x  2  x  5 x  2
              x5
                       dx           A x  2   B x  5  x  5
         x  5 x  2                         x  2              x5
         10               3                 7B  3              7 A  10
                              dx
         7  x  5  7  x  2                    3                  10
      10                 3                       B                  A
    log x  5  log x  2   c                    7                  7
       7                 7
                                                          A Bx  C          1
 iv  3
          dx                                                  2       
        x x                                              x x  1 xx 2  1
   
             dx                               Ax 2  1   Bx  C x  1
         xx 2  1
                                             x0
                                             A 1
x5                                                      x5
iii  2             dx                     A
                                                  
                                                       B
                                                              
       x  3 x  10                       x  5  x  2  x  5 x  2
              x5
                       dx           A x  2   B x  5  x  5
         x  5 x  2                         x  2              x5
         10               3                 7B  3              7 A  10
                              dx
         7  x  5  7  x  2                    3                  10
      10                 3                       B                  A
    log x  5  log x  2   c                    7                  7
       7                 7
                                                          A Bx  C          1
 iv  3
          dx                                                  2       
        x x                                              x x  1 xx 2  1
   
             dx                               Ax 2  1   Bx  C x  1
         xx 2  1                                               xi
                                             x0
                                             A 1           B  Ci  1
x5                                                      x5
iii  2             dx                     A
                                                  
                                                       B
                                                              
       x  3 x  10                       x  5  x  2  x  5 x  2
              x5
                       dx           A x  2   B x  5  x  5
         x  5 x  2                         x  2              x5
         10               3                 7B  3              7 A  10
                              dx
         7  x  5  7  x  2                    3                  10
      10                 3                       B                  A
    log x  5  log x  2   c                    7                  7
       7                 7
                                                          A Bx  C          1
 iv  3
          dx                                                  2       
        x x                                              x x  1 xx 2  1
   
             dx                               Ax 2  1   Bx  C x  1
         xx 2  1                                               xi
                                             x0
                                             A 1           B  Ci  1
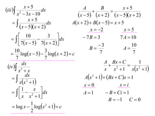
                                                             B  1 C  0
x5                                                      x5
iii  2             dx                     A
                                                  
                                                       B
                                                              
       x  3 x  10                       x  5  x  2  x  5 x  2
              x5
                       dx           A x  2   B x  5  x  5
         x  5 x  2                         x  2              x5
         10               3                 7B  3              7 A  10
                              dx
         7  x  5  7  x  2                    3                  10
      10                 3                       B                  A
    log x  5  log x  2   c                    7                  7
       7                 7
                                                          A Bx  C          1
 iv  3
           dx                                                 2       
        x x                                              x x  1 xx 2  1
   
             dx                               Ax 2  1   Bx  C x  1
         xx 2  1                                               xi
                                             x0
       1  x  dx
                                            A 1           B  Ci  1
          x x  1
                  2
                                                             B  1 C  0
x5                                                      x5
iii  2             dx                     A
                                                  
                                                       B
                                                              
       x  3 x  10                       x  5  x  2  x  5 x  2
              x5
                       dx           A x  2   B x  5  x  5
         x  5 x  2                         x  2              x5
         10               3                 7B  3              7 A  10
                              dx
         7  x  5  7  x  2                    3                  10
      10                 3                       B                  A
    log x  5  log x  2   c                    7                  7
       7                 7
                                                          A Bx  C          1
 iv  3
           dx                                                 2       
        x x                                              x x  1 xx 2  1
   
             dx                               Ax 2  1   Bx  C x  1
         xx 2  1                                               xi
                                             x0
       1  x  dx
                                            A 1           B  Ci  1
          x x  1
                  2
                                                             B  1 C  0
     log x  logx 2  1  c
                 1
                 2
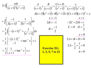
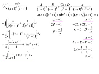
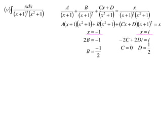
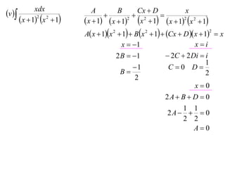
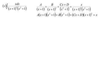
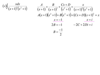
xdx
v 
         x  12 x 2  1
v 
               xdx                A        B     Cx  D           x
                                                2     
         x  12 x 2  1    x  1  x  12 x  1  x  12 x 2  1
                              A x  1x 2  1  B x 2  1  Cx  D  x  1  x
                                                                                2
v 
               xdx                A        B     Cx  D           x
                                                2     
         x  12 x 2  1    x  1  x  12 x  1  x  12 x 2  1
                              A x  1x 2  1  B x 2  1  Cx  D  x  1  x
                                                                                2


                                             x  1
                                           2 B  1
                                                  1
                                             B
                                                   2
v 
               xdx                A        B     Cx  D           x
                                                2     
         x  12 x 2  1    x  1  x  12 x  1  x  12 x 2  1
                              A x  1x 2  1  B x 2  1  Cx  D  x  1  x
                                                                                2


                                             x  1                         xi
                                           2 B  1               2C  2 Di  i
                                               1
                                            B
                                               2
v 
               xdx                A        B     Cx  D           x
                                                2     
         x  12 x 2  1    x  1  x  12 x  1  x  12 x 2  1
                              A x  1x 2  1  B x 2  1  Cx  D  x  1  x
                                                                                2


                                             x  1                         xi
                                           2 B  1               2C  2 Di  i
                                                                                1
                                                  1              C 0 D
                                             B                                 2
                                                   2
v 
               xdx                A        B     Cx  D           x
                                                2     
         x  12 x 2  1    x  1  x  12 x  1  x  12 x 2  1
                              A x  1x 2  1  B x 2  1  Cx  D  x  1  x
                                                                                2


                                             x  1                         xi
                                           2 B  1               2C  2 Di  i
                                                                                 1
                                                  1              C 0 D
                                             B                                  2
                                                   2
                                                                            x0
                                                                 2A  B  D  0
                                                                       1 1
                                                                  2A    0
                                                                       2 2
                                                                           A0
v 
               xdx                A        B     Cx  D           x
                                                2     
         x  12 x 2  1    x  1  x  12 x  1  x  12 x 2  1
                           A x  1x 2  1  B x 2  1  Cx  D  x  1  x
                                                                               2



    1                                   x  1                         xi
                  1 
             
    2 x  1 2x  1
              2   2     dx             2 B  1               2C  2 Di  i
                                                                              1
                                               1              C 0 D
                                          B                                  2
                                                2
                                                                         x0
                                                              2A  B  D  0
                                                                 1 1
                                                             2A    0
                                                                 2 2
                                                                   A0
v 
               xdx                 A        B     Cx  D           x
                                                 2     
         x  12 x 2  1     x  1  x  12 x  1  x  12 x 2  1
                              A x  1x 2  1  B x 2  1  Cx  D  x  1  x
                                                                                2



    1                                      x  1                         xi
                    1 
             
    2 x  1 2x  1
              2     2     dx              2 B  1               2C  2 Di  i
                                                                                 1
                                                  1              C 0 D
  1                   1                    B                                  2
    x  1  2
                 2

  2                x  1
                              dx                   2
                                                                            x0
                                                               2A  B  D  0
                                                                   1 1
                                                               2A    0
                                                                   2 2
                                                                     A0
v 
               xdx                 A        B     Cx  D           x
                                                 2     
         x  12 x 2  1     x  1  x  12 x  1  x  12 x 2  1
                              A x  1x 2  1  B x 2  1  Cx  D  x  1  x
                                                                                2



    1                                      x  1                         xi
                    1 
             
    2 x  1 2x  1
              2     2     dx              2 B  1               2C  2 Di  i
                                                                                 1
                                                  1              C 0 D
  1                   1                    B                                  2
    x  1  2
                 2

  2                x  1
                              dx                   2
                                                                            x0
 1    x  11      1                                     2A  B  D  0
                 tan x   c
 2  1                                                           1 1
                                                               2A    0
                                                                   2 2
                                                                     A0
v 
               xdx                 A        B     Cx  D           x
                                                 2     
         x  12 x 2  1     x  1  x  12 x  1  x  12 x 2  1
                              A x  1x 2  1  B x 2  1  Cx  D  x  1  x
                                                                                2



    1                                      x  1                         xi
                    1 
             
    2 x  1 2x  1
              2     2     dx              2 B  1               2C  2 Di  i
                                                                                 1
                                                  1              C 0 D
  1                   1                    B                                  2
    x  1  2
                 2

  2                x  1
                              dx                   2
                                                                            x0
 1    x  11      1                                     2A  B  D  0
                 tan x   c
 2  1                                                           1 1
                                                               2A    0
 1 1                                                             2 2
         tan 1 x   c                                           A0
 2  x 1            
v 
               xdx                 A        B     Cx  D           x
                                                 2     
         x  12 x 2  1     x  1  x  12 x  1  x  12 x 2  1
                              A x  1x 2  1  B x 2  1  Cx  D  x  1  x
                                                                                2



    1                                      x  1                         xi
                    1 
             
    2 x  1 2x  1
              2     2     dx              2 B  1               2C  2 Di  i
                                                                                 1
                                                  1              C 0 D
  1                   1                    B                                  2
    x  1  2
                 2

  2                x  1
                              dx                   2
                                                                            x0
 1    x  11      1                                     2A  B  D  0
                 tan x   c
 2  1                                                           1 1
                                                               2A    0
 1 1                                 Exercise 2G;                2 2
         tan 1 x   c             1, 3, 5, 7 to 21              A0
 2  x 1            

X2 T04 06 partial fractions (2011)

  • 1.
    Integration By Partial Fractions  Ax To find;  dx P x 
  • 2.
    Integration By Partial Fractions  Ax To find;  dx P x  1 If degA x   degP x , perform a division
  • 3.
    Integration By Partial Fractions  Ax To find;  dx P x  1 If degA x   degP x , perform a division 2 If degA x   degP x , factorise P x 
  • 4.
    Integration By Partial Fractions  Ax To find;  dx P x  1 If degA x   degP x , perform a division 2 If degA x   degP x , factorise P x  A a) for linear factor  x  a , write xa
  • 5.
    Integration By Partial Fractions  Ax To find;  dx P x  1 If degA x   degP x , perform a division 2 If degA x   degP x , factorise P x  A a) for linear factor  x  a , write xa b) for multiple linear factors  x  a  , write n A B C   x  a x  a 2  x  a n
  • 6.
    Integration By Partial Fractions  Ax To find;  dx P x  1 If degA x   degP x , perform a division 2 If degA x   degP x , factorise P x  A a) for linear factor  x  a , write xa b) for multiple linear factors  x  a  , write n A B C   x  a x  a 2  x  a n Ax  B c) for polynomial factors e.g. ax  bx  c, write 2 2 ax  bx  c
  • 7.
  • 8.
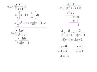
    x2 x e.g. i  dx x 1 x2  0x  0 x 1 x2  x
  • 9.
    x2 x 1 e.g. i  dx x 1 x2  0x  0 x 1 x2  x x0
  • 10.
    x2 x 1 e.g. i  dx x 1 x2  0x  0 x 1 x2  x x0  x 1
  • 11.
    x2 x 1 e.g. i  dx x 1 x2  0x  0 x 1 x2  x x0  x 1 1
  • 12.
    x2 x 1 e.g. i  dx x 1 x2  0x  0 x 1 x2  x   x 1 1     dx x  1 x0  x 1 1
  • 13.
    x2 x 1 e.g. i  dx x 1 x2  0x  0 x 1 x2  x   x 1 1     dx x  1 x0 1  x 1  x 2  x  log x  1  c 2 1
  • 14.
    x2 x 1 e.g. i  dx x 1 x2  0x  0 x 1 x2  x   x 1 1     dx x  1 x0 1  x 1  x 2  x  log x  1  c 2 1 3dx ii  x2  x
  • 15.
    x2 x 1 e.g. i  dx x 1 x2  0x  0 x 1 x2  x   x 1 1     dx x  1 x0 1  x 1  x 2  x  log x  1  c 2 1 3dx ii  x2  x 3dx  x x  1
  • 16.
    x2 x 1 e.g. i  dx x 1 x2  0x  0 x 1 x2  x   x 1 1     dx x  1 x0 1  x 1  x 2  x  log x  1  c 2 1 3dx A B 3 ii  2   x x x x  1 x x  1 3dx  x x  1
  • 17.
    x2 x 1 e.g. i  dx x 1 x2  0x  0 x 1 x2  x   x 1 1     dx x  1 x0 1  x 1  x 2  x  log x  1  c 2 1 3dx A B 3 ii    x2  x x x  1 x x  1  3dx A x  1  Bx  3 x x  1
  • 18.
    x2 x 1 e.g. i  dx x 1 x2  0x  0 x 1 x2  x   x 1 1     dx x  1 x0 1  x 1  x 2  x  log x  1  c 2 1 3dx A B 3 ii    x2  x x x  1 x x  1  3dx A x  1  Bx  3 x x  1 x0 A3 A  3
  • 19.
    x2 x 1 e.g. i  dx x 1 x2  0x  0 x 1 x2  x   x 1 1     dx x  1 x0 1  x 1  x 2  x  log x  1  c 2 1 3dx A B 3 ii    x2  x x x  1 x x  1  3dx A x  1  Bx  3 x x  1 x0 x 1 A3 B3 A  3
  • 20.
    x2 x 1 e.g. i  dx x 1 x2  0x  0 x 1 x2  x   x 1 1     dx x  1 x0 1  x 1  x 2  x  log x  1  c 2 1 3dx A B 3 ii    x2  x x x  1 x x  1  3dx A x  1  Bx  3 x x  1  3 3  x0 x 1     dx A3 B3  x  x  1 A  3
  • 21.
    x2 x 1 e.g. i  dx x 1 x2  0x  0 x 1 x2  x   x 1 1     dx x  1 x0 1  x 1  x 2  x  log x  1  c 2 1 3dx A B 3 ii    x2  x x x  1 x x  1  3dx A x  1  Bx  3 x x  1  3 3  x0 x 1     dx A3 B3  x  x  1  3 log x  3 log x  1  c A  3
  • 22.
    x2 x 1 e.g. i  dx x 1 x2  0x  0 x 1 x2  x   x 1 1     dx x  1 x0 1  x 1  x 2  x  log x  1  c 2 1 3dx A B 3 ii    x2  x x x  1 x x  1  3dx A x  1  Bx  3 x x  1  3 3  x0 x 1     dx A3 B3  x  x  1  3 log x  3 log x  1  c A  3 x  1  3 log  c  x 
  • 23.
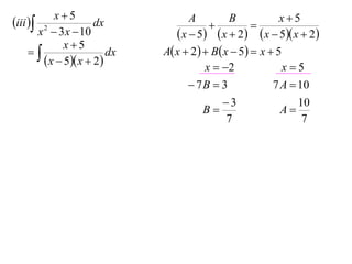
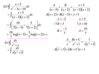
    x5 iii  2 dx x  3 x  10
  • 24.
    x5 iii  2 dx x  3 x  10 x5  dx  x  5 x  2
  • 25.
    x5 x5 iii  2 dx A  B  x  3 x  10  x  5  x  2  x  5 x  2 x5  dx A x  2   B x  5  x  5  x  5 x  2
  • 26.
    x5 x5 iii  2 dx A  B  x  3 x  10  x  5  x  2  x  5 x  2 x5  dx A x  2   B x  5  x  5  x  5 x  2 x  2  7B  3 3 B 7
  • 27.
    x5 x5 iii  2 dx A  B  x  3 x  10  x  5  x  2  x  5 x  2 x5  dx A x  2   B x  5  x  5  x  5 x  2 x  2 x5  7B  3 7 A  10 3 10 B A 7 7
  • 28.
    x5 x5 iii  2 dx A  B  x  3 x  10  x  5  x  2  x  5 x  2 x5  dx A x  2   B x  5  x  5  x  5 x  2 x  2 x5  10 3   7B  3 7 A  10     dx  7  x  5  7  x  2  3 10 B A 7 7
  • 29.
    x5 x5 iii  2 dx A  B  x  3 x  10  x  5  x  2  x  5 x  2 x5  dx A x  2   B x  5  x  5  x  5 x  2 x  2 x5  10 3   7B  3 7 A  10     dx  7  x  5  7  x  2  3 10 10 3 B A  log x  5  log x  2   c 7 7 7 7
  • 30.
    x5 x5 iii  2 dx A  B  x  3 x  10  x  5  x  2  x  5 x  2 x5  dx A x  2   B x  5  x  5  x  5 x  2 x  2 x5  10 3   7B  3 7 A  10     dx  7  x  5  7  x  2  3 10 10 3 B A  log x  5  log x  2   c 7 7 7 7 dx iv  3 x x
  • 31.
    x5 x5 iii  2 dx A  B  x  3 x  10  x  5  x  2  x  5 x  2 x5  dx A x  2   B x  5  x  5  x  5 x  2 x  2 x5  10 3   7B  3 7 A  10     dx  7  x  5  7  x  2  3 10 10 3 B A  log x  5  log x  2   c 7 7 7 7 dx iv  3 x x dx  xx 2  1
  • 32.
    x5 x5 iii  2 dx A  B  x  3 x  10  x  5  x  2  x  5 x  2 x5  dx A x  2   B x  5  x  5  x  5 x  2 x  2 x5  10 3   7B  3 7 A  10     dx  7  x  5  7  x  2  3 10 10 3 B A  log x  5  log x  2   c 7 7 7 7 A Bx  C 1 iv  3 dx  2  x x x x  1 xx 2  1  dx Ax 2  1   Bx  C x  1 xx 2  1
  • 33.
    x5 x5 iii  2 dx A  B  x  3 x  10  x  5  x  2  x  5 x  2 x5  dx A x  2   B x  5  x  5  x  5 x  2 x  2 x5  10 3   7B  3 7 A  10     dx  7  x  5  7  x  2  3 10 10 3 B A  log x  5  log x  2   c 7 7 7 7 A Bx  C 1 iv  3 dx  2  x x x x  1 xx 2  1  dx Ax 2  1   Bx  C x  1 xx 2  1 x0 A 1
  • 34.
    x5 x5 iii  2 dx A  B  x  3 x  10  x  5  x  2  x  5 x  2 x5  dx A x  2   B x  5  x  5  x  5 x  2 x  2 x5  10 3   7B  3 7 A  10     dx  7  x  5  7  x  2  3 10 10 3 B A  log x  5  log x  2   c 7 7 7 7 A Bx  C 1 iv  3 dx  2  x x x x  1 xx 2  1  dx Ax 2  1   Bx  C x  1 xx 2  1 xi x0 A 1  B  Ci  1
  • 35.
    x5 x5 iii  2 dx A  B  x  3 x  10  x  5  x  2  x  5 x  2 x5  dx A x  2   B x  5  x  5  x  5 x  2 x  2 x5  10 3   7B  3 7 A  10     dx  7  x  5  7  x  2  3 10 10 3 B A  log x  5  log x  2   c 7 7 7 7 A Bx  C 1 iv  3 dx  2  x x x x  1 xx 2  1  dx Ax 2  1   Bx  C x  1 xx 2  1 xi x0 A 1  B  Ci  1 B  1 C  0
  • 36.
    x5 x5 iii  2 dx A  B  x  3 x  10  x  5  x  2  x  5 x  2 x5  dx A x  2   B x  5  x  5  x  5 x  2 x  2 x5  10 3   7B  3 7 A  10     dx  7  x  5  7  x  2  3 10 10 3 B A  log x  5  log x  2   c 7 7 7 7 A Bx  C 1 iv  3 dx  2  x x x x  1 xx 2  1  dx Ax 2  1   Bx  C x  1 xx 2  1 xi x0    1  x  dx  A 1  B  Ci  1  x x  1 2 B  1 C  0
  • 37.
    x5 x5 iii  2 dx A  B  x  3 x  10  x  5  x  2  x  5 x  2 x5  dx A x  2   B x  5  x  5  x  5 x  2 x  2 x5  10 3   7B  3 7 A  10     dx  7  x  5  7  x  2  3 10 10 3 B A  log x  5  log x  2   c 7 7 7 7 A Bx  C 1 iv  3 dx  2  x x x x  1 xx 2  1  dx Ax 2  1   Bx  C x  1 xx 2  1 xi x0    1  x  dx  A 1  B  Ci  1  x x  1 2 B  1 C  0  log x  logx 2  1  c 1 2
  • 38.
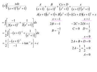
    xdx v   x  12 x 2  1
  • 39.
    v  xdx A B Cx  D x   2   x  12 x 2  1  x  1  x  12 x  1  x  12 x 2  1 A x  1x 2  1  B x 2  1  Cx  D  x  1  x 2
  • 40.
    v  xdx A B Cx  D x   2   x  12 x 2  1  x  1  x  12 x  1  x  12 x 2  1 A x  1x 2  1  B x 2  1  Cx  D  x  1  x 2 x  1 2 B  1 1 B 2
  • 41.
    v  xdx A B Cx  D x   2   x  12 x 2  1  x  1  x  12 x  1  x  12 x 2  1 A x  1x 2  1  B x 2  1  Cx  D  x  1  x 2 x  1 xi 2 B  1  2C  2 Di  i 1 B 2
  • 42.
    v  xdx A B Cx  D x   2   x  12 x 2  1  x  1  x  12 x  1  x  12 x 2  1 A x  1x 2  1  B x 2  1  Cx  D  x  1  x 2 x  1 xi 2 B  1  2C  2 Di  i 1 1 C 0 D B 2 2
  • 43.
    v  xdx A B Cx  D x   2   x  12 x 2  1  x  1  x  12 x  1  x  12 x 2  1 A x  1x 2  1  B x 2  1  Cx  D  x  1  x 2 x  1 xi 2 B  1  2C  2 Di  i 1 1 C 0 D B 2 2 x0 2A  B  D  0 1 1 2A    0 2 2 A0
  • 44.
    v  xdx A B Cx  D x   2   x  12 x 2  1  x  1  x  12 x  1  x  12 x 2  1 A x  1x 2  1  B x 2  1  Cx  D  x  1  x 2  1 x  1 xi 1      2 x  1 2x  1 2 2  dx 2 B  1  2C  2 Di  i 1 1 C 0 D B 2 2 x0 2A  B  D  0 1 1 2A    0 2 2 A0
  • 45.
    v  xdx A B Cx  D x   2   x  12 x 2  1  x  1  x  12 x  1  x  12 x 2  1 A x  1x 2  1  B x 2  1  Cx  D  x  1  x 2  1 x  1 xi 1      2 x  1 2x  1 2 2  dx 2 B  1  2C  2 Di  i 1 1 C 0 D 1  1  B 2     x  1  2 2 2  x  1 dx 2 x0 2A  B  D  0 1 1 2A    0 2 2 A0
  • 46.
    v  xdx A B Cx  D x   2   x  12 x 2  1  x  1  x  12 x  1  x  12 x 2  1 A x  1x 2  1  B x 2  1  Cx  D  x  1  x 2  1 x  1 xi 1      2 x  1 2x  1 2 2  dx 2 B  1  2C  2 Di  i 1 1 C 0 D 1  1  B 2     x  1  2 2 2  x  1 dx 2 x0 1    x  11 1  2A  B  D  0    tan x   c 2  1  1 1 2A    0 2 2 A0
  • 47.
    v  xdx A B Cx  D x   2   x  12 x 2  1  x  1  x  12 x  1  x  12 x 2  1 A x  1x 2  1  B x 2  1  Cx  D  x  1  x 2  1 x  1 xi 1      2 x  1 2x  1 2 2  dx 2 B  1  2C  2 Di  i 1 1 C 0 D 1  1  B 2     x  1  2 2 2  x  1 dx 2 x0 1    x  11 1  2A  B  D  0    tan x   c 2  1  1 1 2A    0 1 1  2 2    tan 1 x   c A0 2  x 1 
  • 48.
    v  xdx A B Cx  D x   2   x  12 x 2  1  x  1  x  12 x  1  x  12 x 2  1 A x  1x 2  1  B x 2  1  Cx  D  x  1  x 2  1 x  1 xi 1      2 x  1 2x  1 2 2  dx 2 B  1  2C  2 Di  i 1 1 C 0 D 1  1  B 2     x  1  2 2 2  x  1 dx 2 x0 1    x  11 1  2A  B  D  0    tan x   c 2  1  1 1 2A    0 1 1  Exercise 2G; 2 2    tan 1 x   c 1, 3, 5, 7 to 21 A0 2  x 1 