Integration Using
   Substitution
Integration Using
          Substitution
Try to convert the integral into a “standard integral”
Integration Using
          Substitution
Try to convert the integral into a “standard integral”
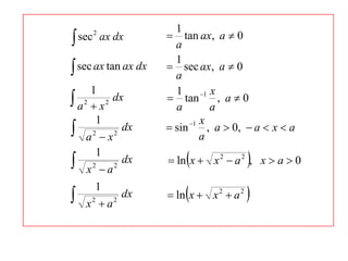
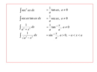
                    STANDARD INTEGRALS
                            1 n 1
          x dx                x , n  1; x  0, if n  0
            n
                          n 1
Integration Using
          Substitution
Try to convert the integral into a “standard integral”
                    STANDARD INTEGRALS
                            1 n 1
          x dx                x , n  1; x  0, if n  0
            n
                          n 1
          1
         xdx            ln x, x  0
Integration Using
          Substitution
Try to convert the integral into a “standard integral”
                    STANDARD INTEGRALS
                            1 n 1
          x dx                x , n  1; x  0, if n  0
            n
                          n 1
          1
         xdx            ln x, x  0
Integration Using
          Substitution
Try to convert the integral into a “standard integral”
                    STANDARD INTEGRALS
                            1 n 1
          x dx                x , n  1; x  0, if n  0
             n
                          n 1
          1
         xdx            ln x, x  0
                          1
         e ax dx        e ax , a  0
                          a
Integration Using
          Substitution
Try to convert the integral into a “standard integral”
                    STANDARD INTEGRALS
                            1 n 1
          x dx                x , n  1; x  0, if n  0
             n
                          n 1
          1
         xdx            ln x, x  0
                          1
         e ax dx        e ax , a  0
                          a
                           1
         cos ax dx      sin ax, a  0
                           a
Integration Using
          Substitution
Try to convert the integral into a “standard integral”
                    STANDARD INTEGRALS
                            1 n 1
          x dx                x , n  1; x  0, if n  0
             n
                          n 1
           1
         xdx            ln x, x  0
                          1
         e ax dx        e ax , a  0
                          a
                           1
         cos ax dx      sin ax, a  0
                           a
                             1
         sin ax dx       cos ax, a  0
                             a
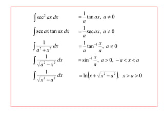
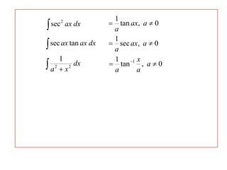
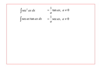
1
 sec                tan ax, a  0
        2
            ax dx
                     a
1
 sec                 tan ax, a  0
        2
            ax dx
                      a
                      1
 sec ax tan ax dx    sec ax, a  0
                      a
1
 sec                 tan ax, a  0
        2
            ax dx
                      a
                      1
 sec ax tan ax dx    sec ax, a  0
                      a
      1               1    1 x
 a 2  x 2 dx        tan
                      a       a
                                , a0
1
 sec                 tan ax, a  0
        2
            ax dx
                       a
                       1
 sec ax tan ax dx    sec ax, a  0
                       a
      1                1     1 x
 a 2  x 2 dx        tan
                       a        a
                                  , a0
       1                     x
 a 2  x 2 dx        sin 1 , a  0,  a  x  a
                             a
1
 sec                 tan ax, a  0
        2
            ax dx
                       a
                       1
 sec ax tan ax dx    sec ax, a  0
                       a
      1                1     1 x
 a 2  x 2 dx        tan
                       a        a
                                  , a0
       1                     x
 a 2  x 2 dx        sin 1 , a  0,  a  x  a
                             a
       1
 x 2  a 2 dx                        
                      ln x  x 2  a 2 , x  a  0
1
 sec                 tan ax, a  0
        2
            ax dx
                       a
                       1
 sec ax tan ax dx    sec ax, a  0
                       a
      1                1     1 x
 a 2  x 2 dx        tan
                       a        a
                                  , a0
       1                     x
 a 2  x 2 dx        sin 1 , a  0,  a  x  a
                             a
       1
 x 2  a 2 dx                           
                      ln x  x 2  a 2 , x  a  0



      1
    x a
     2   2
           dx            
                      ln x  x 2  a 2   
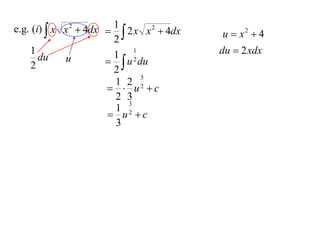
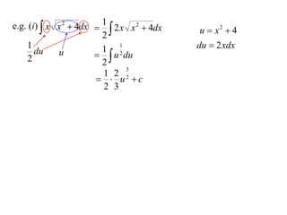
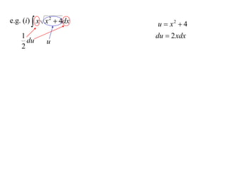
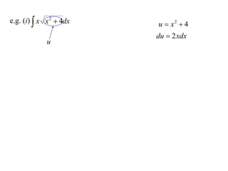
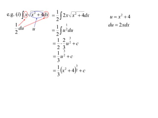
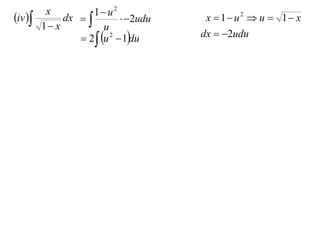
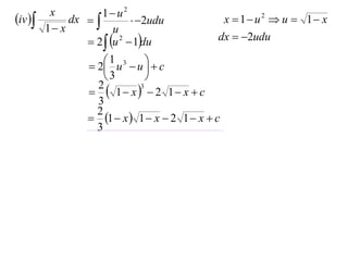
e.g. (i)  x x 2  4dx
e.g. (i)  x x 2  4dx   u  x2  4
e.g. (i)  x x 2  4dx   u  x2  4

             u
e.g. (i)  x x 2  4dx   u  x2  4
                         du  2 xdx
             u
e.g. (i)  x x 2  4dx   u  x2  4
    1                    du  2 xdx
      du     u
    2
e.g. (i)  x x 2  4dx  1 2 x x 2  4dx
                         2                u  x2  4
    1                    1 2
                             1             du  2 xdx
    2
       du    u           u du
                         2
e.g. (i)  x x 2  4dx  1 2 x x 2  4dx
                         2                u  x2  4
    1                    1 2
                             1             du  2 xdx
    2
       du    u           u du
                         2
                               3
                         1 2 2
                         u c
                         2 3
e.g. (i)  x x 2  4dx  1 2 x x 2  4dx
                         2                u  x2  4
    1                    1 2
                              1            du  2 xdx
    2
       du    u           u du
                         2
                                3
                         1 2 2
                         u c
                         2 3
                            3
                         1 2
                        u c
                         3
e.g. (i)  x x 2  4dx  1 2 x x 2  4dx
                         2                u  x2  4
    1                    1 2
                              1            du  2 xdx
    2
       du    u           u du
                         2
                                3
                         1 2 2
                         u c
                         2 3
                            3
                         1 2
                        u c
                         3
                        x  4 2  c
                                  3
                         1 2
                         3
e.g. (i)  x x 2  4dx  1 2 x x 2  4dx
                         2                     u  x2  4
    1                    1 2
                              1                 du  2 xdx
    2
       du    u           u du
                         2
                                3
                         1 2 2
                         u c
                         2 3
                            3
                         1 2
                        u c
                         3
                        x  4 2  c
                                  3
                         1 2
                         3

                        x  4  x 2  4  c
                         1 2
                         3
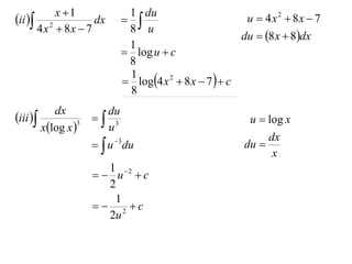
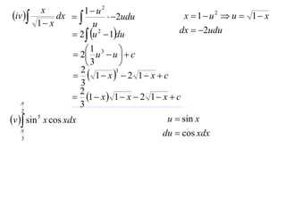
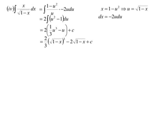
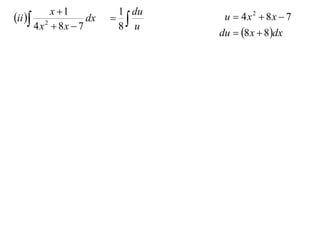
x 1
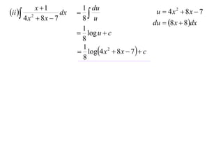
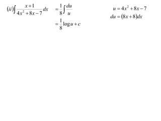
ii                 dx
         4 x  8x  7
            2
x 1
ii                 dx    u  4x2  8x  7
         4 x  8x  7
            2
                           du  8 x  8dx
x 1             1 du
ii 
                               8 u
                      dx              u  4x2  8x  7
         4 x  8x  7
            2
                                      du  8 x  8dx
x 1          1 du
ii 
                            8 u
                      dx                 u  4x2  8x  7
         4 x  8x  7
            2
                                         du  8 x  8dx
                            1
                            log u  c
                            8
x 1          1 du
ii 
                            8 u
                      dx                               u  4x2  8x  7
         4 x  8x  7
            2
                                                       du  8 x  8dx
                            1
                            log u  c
                            8
                            log4 x 2  8 x  7   c
                            1
                            8
x 1          1 du
ii 
                            8 u
                      dx                               u  4x2  8x  7
         4 x  8x  7
            2
                                                       du  8 x  8dx
                            1
                            log u  c
                            8
                            log4 x 2  8 x  7   c
                            1
                            8
           dx
iii 
        xlog x 
                 3
x 1          1 du
ii 
                            8 u
                      dx                               u  4x2  8x  7
         4 x  8x  7
            2
                                                       du  8 x  8dx
                            1
                            log u  c
                            8
                            log4 x 2  8 x  7   c
                            1
                            8
           dx
iii                                                  u  log x
        xlog x 
                 3

                                                           dx
                                                      du 
                                                            x
x 1           1 du
ii 
                             8 u
                      dx                                u  4x2  8x  7
         4 x  8x  7
            2
                                                        du  8 x  8dx
                             1
                             log u  c
                             8
                             log4 x 2  8 x  7   c
                             1
                             8
           dx          du
iii                3                                u  log x
        xlog x 
                 3
                       u
                                                            dx
                       u du
                           3
                                                       du 
                                                             x
x 1           1 du
ii 
                             8 u
                      dx                                u  4x 2  8x  7
         4 x  8x  7
            2
                                                        du  8 x  8dx
                             1
                             log u  c
                             8
                             log4 x 2  8 x  7   c
                             1
                             8
           dx          du
iii                3                                u  log x
        xlog x 
                 3
                       u
                                                             dx
                       u du
                           3
                                                        du 
                                                              x
                        1 2
                       u c
                        2
                         1
                       2 c
                        2u
x 1           1 du
ii 
                             8 u
                      dx                                u  4x 2  8x  7
         4 x  8x  7
            2
                                                        du  8 x  8dx
                             1
                             log u  c
                             8
                             log4 x 2  8 x  7   c
                             1
                             8
           dx          du
iii                3                                u  log x
        xlog x 
                 3
                       u
                                                             dx
                       u du
                           3
                                                        du 
                                                              x
                        1 2
                       u c
                        2
                         1
                       2 c
                        2u
                            1
                                 c
                        2log x 
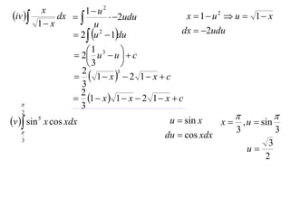
                                 2
x
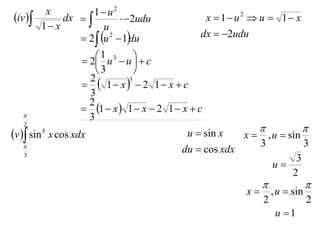
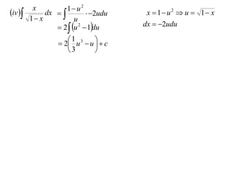
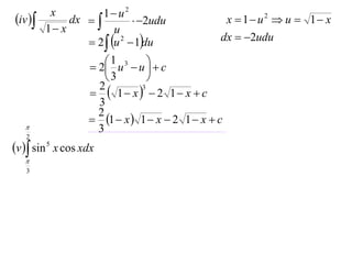
iv         dx
         1 x
x
iv         dx    x  1 u2  u  1 x
         1 x
                   dx  2udu
x          1 u2
iv         dx          2udu    x  1 u2  u  1 x
         1 x          u
                                     dx  2udu
x          1 u2
iv         dx            2udu    x  1 u2  u  1 x
         1 x           u
                  2  u 2  1du     dx  2udu
x          1 u2
iv         dx            2udu     x  1 u2  u  1 x
         1 x           u
                  2  u 2  1du      dx  2udu

                      1 u3  u   c
                   2          
                      3        
x          1 u2
iv         dx            2udu        x  1 u2  u  1 x
         1 x           u
                  2  u 2  1du         dx  2udu

                      1 u3  u   c
                   2           
                      3         
                    1 x  2 1 x  c
                    2          3

                    3
x          1 u2
iv         dx            2udu            x  1 u2  u  1 x
         1 x           u
                  2  u 2  1du             dx  2udu

                   2 1 u3  u   c
                                  
                       3         
                    1 x  2 1 x  c
                    2           3

                    3
                    2
                   1  x  1  x  2 1  x  c
                    3
x          1 u2
iv         dx            2udu             x  1 u2  u  1 x
         1 x           u
                  2  u 2  1du              dx  2udu

                    2 1 u3  u   c
                                   
                        3         
                     1 x  2 1 x  c
                     2           3

                     3
                     2
                    1  x  1  x  2 1  x  c
                    3
   2
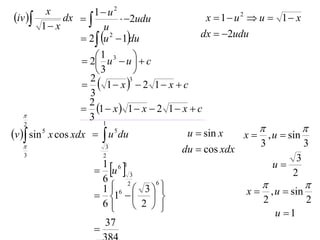
v  sin 5 x cos xdx
   
   3
x          1 u2
iv         dx            2udu             x  1 u2  u  1 x
         1 x           u
                  2  u 2  1du              dx  2udu

                    2 1 u3  u   c
                                   
                        3         
                     1 x  2 1 x  c
                     2           3

                     3
                     2
                    1  x  1  x  2 1  x  c
                    3
   2
v  sin 5 x cos xdx                        u  sin x
   
   3
                                            du  cos xdx
x          1 u2
iv         dx            2udu             x  1 u2  u  1 x
         1 x           u
                  2  u 2  1du              dx  2udu

                    2 1 u3  u   c
                                   
                        3         
                     1 x  2 1 x  c
                     2           3

                     3
                     2
                    1  x  1  x  2 1  x  c
                    3
   2
                                                                      
v  sin 5 x cos xdx                        u  sin x   x  , u  sin
                                                            3          3
   
   3
                                            du  cos xdx
                                                                     3
                                                               u
                                                                    2
x          1 u2
iv         dx            2udu             x  1 u2  u  1 x
         1 x           u
                  2  u 2  1du              dx  2udu

                    2 1 u3  u   c
                                   
                        3         
                     1 x  2 1 x  c
                     2           3

                     3
                     2
                    1  x  1  x  2 1  x  c
                    3
   2
                                                                      
v  sin 5 x cos xdx                        u  sin x   x  , u  sin
                                                            3          3
   
   3
                                            du  cos xdx
                                                                     3
                                                               u
                                                                    2
                                                                              
                                                          x       , u  sin
                                                               2               2
                                                                    u 1
x          1 u2
iv         dx            2udu            x  1 u2  u  1 x
         1 x           u
                  2  u 2  1du             dx  2udu

                   2 1 u3  u   c
                                  
                       3         
                    1 x  2 1 x  c
                    2           3

                    3
                    2
                   1  x  1  x  2 1  x  c
                   3 1
   2
                                                                     
v  sin 5 x cos xdx   u 5 du            u  sin x   x  , u  sin
                                                           3          3
   
   3                     2
                          3
                                           du  cos xdx
                                                                    3
                                                              u
                                                                   2
                                                                             
                                                         x       , u  sin
                                                              2               2
                                                                   u 1
x          1 u2
iv         dx            2udu            x  1 u2  u  1 x
         1 x           u
                  2  u 2  1du             dx  2udu

                   2 1 u3  u   c
                                  
                       3         
                    1 x  2 1 x  c
                    2           3

                    3
                    2
                   1  x  1  x  2 1  x  c
                   3 1
   2
                                                                     
v  sin 5 x cos xdx   u 5 du            u  sin x   x  , u  sin
                                                           3          3
   
   3                     2
                          3
                                           du  cos xdx
                                                                    3
                       u  3
                       1 61                                   u
                                                                   2
                       6    2                                                
                                                         x       , u  sin
                                                              2               2
                                                                   u 1
x          1 u2
iv         dx            2udu            x  1 u2  u  1 x
         1 x           u
                  2  u 2  1du             dx  2udu

                   2 1 u3  u   c
                                  
                       3         
                    1 x  2 1 x  c
                    2           3

                    3
                    2
                   1  x  1  x  2 1  x  c
                   3 1
   2
                                                                     
v  sin 5 x cos xdx   u 5 du            u  sin x   x  , u  sin
                                                           3          3
   
   3                     2
                          3
                                           du  cos xdx
                                                                    3
                       u  3
                        1 61                                  u
                                                                   2
                        6
                        1 6 2  3 6 
                                                                            
                       1                           x       , u  sin
                        6                                    2               2
                                2                             u 1
                        37
                      
4
          xdx
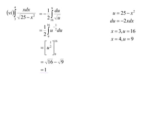
vi 
    3    25  x 2
4
          xdx
vi                u  25  x 2
         25  x 2
    3
                    du  2 xdx
4
          xdx
vi                u  25  x 2
         25  x 2
    3
                    du  2 xdx
                    x  3, u  16
                    x  4, u  9
4                  9
          xdx
vi               1 du
                                 u  25  x 2
         25  x 2
                    2 16 u
    3
                                   du  2 xdx
                      16       1
                     1     
                 
                     29 u du  2
                                   x  3, u  16
                                   x  4, u  9
4                  9
          xdx
vi               1 du
                                  u  25  x 2
         25  x 2
                    2 16 u
    3
                                    du  2 xdx
                      16        1
                     1      
                 
                     29 u du   2
                                    x  3, u  16
                                    x  4, u  9
                           1 16
                    
                  u     2

                    9
4                  9
          xdx
vi               1 du
                                  u  25  x 2
         25  x 2
                    2 16 u
    3
                                    du  2 xdx
                      16        1
                     1      
                 
                     29 u du   2
                                    x  3, u  16
                                    x  4, u  9
                           1 16
                    
                  u     2

                    9
                  16  9
                 1
5
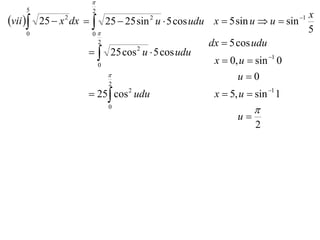
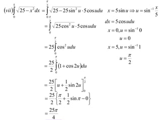
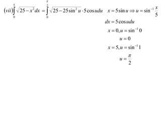
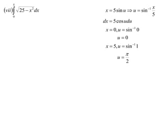
vii  25  x 2 dx
    0
5
                                           x
vii  25  x dx
             2                          1
                     x  5 sin u  u  sin
    0
                                           5
                    dx  5 cos udu
5
                                           x
vii  25  x dx
             2
                     x  5 sin u  u  sin 1

    0
                                           5
                    dx  5 cos udu
                     x  0, u  sin 1 0
                           u0
                     x  5, u  sin 1 1
                                
                           u
                                2

    5               2
                                                                        x
vii  25  x dx  
             2
                        25  25 sin u  5 cos udu x  5 sin u  u  sin
                                  2                                    1

    0               0
                                                                        5
                                                 dx  5 cos udu
                                                 x  0, u  sin 1 0
                                                       u0
                                                 x  5, u  sin 1 1
                                                            
                                                       u
                                                            2

     5                2
                                                                        x
vii    25  x dx   25  25 sin u  5 cos udu x  5 sin u  u  sin
               2                       2                                1

     0                0
                                                                        5
                       2                         dx  5 cos udu
                       25 cos u  5 cos udu
                                2

                       0
                                                  x  0, u  sin 1 0
                                                        u0
                          2
                      25 cos 2 udu              x  5, u  sin 1 1
                          0
                                                             
                                                        u
                                                             2

     5                2
                                                                        x
vii    25  x dx   25  25 sin u  5 cos udu x  5 sin u  u  sin
               2                       2                                1

     0                0
                                                                        5
                       2                         dx  5 cos udu
                       25 cos u  5 cos udu
                                2

                       0
                                                  x  0, u  sin 1 0
                                                        u0
                          2
                      25 cos 2 udu              x  5, u  sin 1 1
                          0
                                                            
                          2
                                                        u
                      25                                     2
                       1  cos 2u du
                      2 0
                                           
                      25  1       2
                      u  sin 2u 
                      2  2        0

     5                2
                                                                        x
vii    25  x dx   25  25 sin u  5 cos udu x  5 sin u  u  sin
               2                       2                                1

     0                0
                                                                        5
                       2                         dx  5 cos udu
                       25 cos u  5 cos udu
                                2

                       0
                                                  x  0, u  sin 1 0
                                                        u0
                          2
                      25 cos 2 udu              x  5, u  sin 1 1
                          0
                                                            
                          2
                                                        u
                      25                                     2
                       1  cos 2u du
                      2 0
                                           
                       25  1      2
                      u  sin 2u 
                       2  2       0
                       25  1        
                        sin   0
                        2 2 2        
                       25
                     
                         4
5
vii  25  x 2 dx
    0
5                      y
vii  25  x 2 dx        5   y  25  x 2
    0




                      -5         5      x
5                      y
vii  25  x 2 dx        5   y  25  x 2
    0




                      -5         5     x
5                      y
vii  25  x 2 dx        5   y  25  x 2
    0
      1
      5
           2

      4
      25             -5         5     x
    
        4
5                                           y
vii  25  x 2 dx                             5       y  25  x 2
    0
      1
      5
           2

      4
      25                              -5                 5      x
    
        4



        Exercise 6C; 1, 2ace, 3, 4ace, 5ace etc, 6, 7 & 8ac, 11, 12
            Exercise 6D; 1, 2a, 3, 4b, 5ac, 6ace etc, 7ab(i,ii)
                   8ab (i,iii,vi), 9ab (ii,iv,vi), 11, 13

                     Patel Exercise 2A ace in all
              NOTE: substitution is not given in Extension 2

12X1 T06 01 integration using substitution (2010)

  • 1.
    Integration Using Substitution
  • 2.
    Integration Using Substitution Try to convert the integral into a “standard integral”
  • 3.
    Integration Using Substitution Try to convert the integral into a “standard integral” STANDARD INTEGRALS 1 n 1  x dx  x , n  1; x  0, if n  0 n n 1
  • 4.
    Integration Using Substitution Try to convert the integral into a “standard integral” STANDARD INTEGRALS 1 n 1  x dx  x , n  1; x  0, if n  0 n n 1 1  xdx  ln x, x  0
  • 5.
    Integration Using Substitution Try to convert the integral into a “standard integral” STANDARD INTEGRALS 1 n 1  x dx  x , n  1; x  0, if n  0 n n 1 1  xdx  ln x, x  0
  • 6.
    Integration Using Substitution Try to convert the integral into a “standard integral” STANDARD INTEGRALS 1 n 1  x dx  x , n  1; x  0, if n  0 n n 1 1  xdx  ln x, x  0 1  e ax dx  e ax , a  0 a
  • 7.
    Integration Using Substitution Try to convert the integral into a “standard integral” STANDARD INTEGRALS 1 n 1  x dx  x , n  1; x  0, if n  0 n n 1 1  xdx  ln x, x  0 1  e ax dx  e ax , a  0 a 1  cos ax dx  sin ax, a  0 a
  • 8.
    Integration Using Substitution Try to convert the integral into a “standard integral” STANDARD INTEGRALS 1 n 1  x dx  x , n  1; x  0, if n  0 n n 1 1  xdx  ln x, x  0 1  e ax dx  e ax , a  0 a 1  cos ax dx  sin ax, a  0 a 1  sin ax dx   cos ax, a  0 a
  • 9.
    1  sec  tan ax, a  0 2 ax dx a
  • 10.
    1  sec  tan ax, a  0 2 ax dx a 1  sec ax tan ax dx  sec ax, a  0 a
  • 11.
    1  sec  tan ax, a  0 2 ax dx a 1  sec ax tan ax dx  sec ax, a  0 a 1 1 1 x  a 2  x 2 dx  tan a a , a0
  • 12.
    1  sec  tan ax, a  0 2 ax dx a 1  sec ax tan ax dx  sec ax, a  0 a 1 1 1 x  a 2  x 2 dx  tan a a , a0 1 x  a 2  x 2 dx  sin 1 , a  0,  a  x  a a
  • 13.
    1  sec  tan ax, a  0 2 ax dx a 1  sec ax tan ax dx  sec ax, a  0 a 1 1 1 x  a 2  x 2 dx  tan a a , a0 1 x  a 2  x 2 dx  sin 1 , a  0,  a  x  a a 1  x 2  a 2 dx    ln x  x 2  a 2 , x  a  0
  • 14.
    1  sec  tan ax, a  0 2 ax dx a 1  sec ax tan ax dx  sec ax, a  0 a 1 1 1 x  a 2  x 2 dx  tan a a , a0 1 x  a 2  x 2 dx  sin 1 , a  0,  a  x  a a 1  x 2  a 2 dx    ln x  x 2  a 2 , x  a  0  1 x a 2 2 dx   ln x  x 2  a 2 
  • 15.
    e.g. (i) x x 2  4dx
  • 16.
    e.g. (i) x x 2  4dx u  x2  4
  • 17.
    e.g. (i) x x 2  4dx u  x2  4 u
  • 18.
    e.g. (i) x x 2  4dx u  x2  4 du  2 xdx u
  • 19.
    e.g. (i) x x 2  4dx u  x2  4 1 du  2 xdx du u 2
  • 20.
    e.g. (i) x x 2  4dx  1 2 x x 2  4dx 2 u  x2  4 1 1 2 1 du  2 xdx 2 du u   u du 2
  • 21.
    e.g. (i) x x 2  4dx  1 2 x x 2  4dx 2 u  x2  4 1 1 2 1 du  2 xdx 2 du u   u du 2 3 1 2 2   u c 2 3
  • 22.
    e.g. (i) x x 2  4dx  1 2 x x 2  4dx 2 u  x2  4 1 1 2 1 du  2 xdx 2 du u   u du 2 3 1 2 2   u c 2 3 3 1 2  u c 3
  • 23.
    e.g. (i) x x 2  4dx  1 2 x x 2  4dx 2 u  x2  4 1 1 2 1 du  2 xdx 2 du u   u du 2 3 1 2 2   u c 2 3 3 1 2  u c 3  x  4 2  c 3 1 2 3
  • 24.
    e.g. (i) x x 2  4dx  1 2 x x 2  4dx 2 u  x2  4 1 1 2 1 du  2 xdx 2 du u   u du 2 3 1 2 2   u c 2 3 3 1 2  u c 3  x  4 2  c 3 1 2 3  x  4  x 2  4  c 1 2 3
  • 25.
    x 1 ii  dx 4 x  8x  7 2
  • 26.
    x 1 ii  dx u  4x2  8x  7 4 x  8x  7 2 du  8 x  8dx
  • 27.
    x 1 1 du ii  8 u dx  u  4x2  8x  7 4 x  8x  7 2 du  8 x  8dx
  • 28.
    x 1 1 du ii  8 u dx  u  4x2  8x  7 4 x  8x  7 2 du  8 x  8dx 1  log u  c 8
  • 29.
    x 1 1 du ii  8 u dx  u  4x2  8x  7 4 x  8x  7 2 du  8 x  8dx 1  log u  c 8  log4 x 2  8 x  7   c 1 8
  • 30.
    x 1 1 du ii  8 u dx  u  4x2  8x  7 4 x  8x  7 2 du  8 x  8dx 1  log u  c 8  log4 x 2  8 x  7   c 1 8 dx iii  xlog x  3
  • 31.
    x 1 1 du ii  8 u dx  u  4x2  8x  7 4 x  8x  7 2 du  8 x  8dx 1  log u  c 8  log4 x 2  8 x  7   c 1 8 dx iii  u  log x xlog x  3 dx du  x
  • 32.
    x 1 1 du ii  8 u dx  u  4x2  8x  7 4 x  8x  7 2 du  8 x  8dx 1  log u  c 8  log4 x 2  8 x  7   c 1 8 dx du iii   3 u  log x xlog x  3 u dx   u du 3 du  x
  • 33.
    x 1 1 du ii  8 u dx  u  4x 2  8x  7 4 x  8x  7 2 du  8 x  8dx 1  log u  c 8  log4 x 2  8 x  7   c 1 8 dx du iii   3 u  log x xlog x  3 u dx   u du 3 du  x 1 2   u c 2 1   2 c 2u
  • 34.
    x 1 1 du ii  8 u dx  u  4x 2  8x  7 4 x  8x  7 2 du  8 x  8dx 1  log u  c 8  log4 x 2  8 x  7   c 1 8 dx du iii   3 u  log x xlog x  3 u dx   u du 3 du  x 1 2   u c 2 1   2 c 2u 1  c 2log x  2
  • 35.
    x iv  dx 1 x
  • 36.
    x iv  dx x  1 u2  u  1 x 1 x dx  2udu
  • 37.
    x 1 u2 iv  dx    2udu x  1 u2  u  1 x 1 x u dx  2udu
  • 38.
    x 1 u2 iv  dx    2udu x  1 u2  u  1 x 1 x u  2  u 2  1du dx  2udu
  • 39.
    x 1 u2 iv  dx    2udu x  1 u2  u  1 x 1 x u  2  u 2  1du dx  2udu  1 u3  u   c  2   3 
  • 40.
    x 1 u2 iv  dx    2udu x  1 u2  u  1 x 1 x u  2  u 2  1du dx  2udu  1 u3  u   c  2   3    1 x  2 1 x  c 2 3 3
  • 41.
    x 1 u2 iv  dx    2udu x  1 u2  u  1 x 1 x u  2  u 2  1du dx  2udu  2 1 u3  u   c   3    1 x  2 1 x  c 2 3 3 2  1  x  1  x  2 1  x  c 3
  • 42.
    x 1 u2 iv  dx    2udu x  1 u2  u  1 x 1 x u  2  u 2  1du dx  2udu  2 1 u3  u   c   3    1 x  2 1 x  c 2 3 3 2  1  x  1  x  2 1  x  c  3 2 v  sin 5 x cos xdx  3
  • 43.
    x 1 u2 iv  dx    2udu x  1 u2  u  1 x 1 x u  2  u 2  1du dx  2udu  2 1 u3  u   c   3    1 x  2 1 x  c 2 3 3 2  1  x  1  x  2 1  x  c  3 2 v  sin 5 x cos xdx u  sin x  3 du  cos xdx
  • 44.
    x 1 u2 iv  dx    2udu x  1 u2  u  1 x 1 x u  2  u 2  1du dx  2udu  2 1 u3  u   c   3    1 x  2 1 x  c 2 3 3 2  1  x  1  x  2 1  x  c  3 2   v  sin 5 x cos xdx u  sin x x  , u  sin 3 3  3 du  cos xdx 3 u 2
  • 45.
    x 1 u2 iv  dx    2udu x  1 u2  u  1 x 1 x u  2  u 2  1du dx  2udu  2 1 u3  u   c   3    1 x  2 1 x  c 2 3 3 2  1  x  1  x  2 1  x  c  3 2   v  sin 5 x cos xdx u  sin x x  , u  sin 3 3  3 du  cos xdx 3 u 2   x , u  sin 2 2 u 1
  • 46.
    x 1 u2 iv  dx    2udu x  1 u2  u  1 x 1 x u  2  u 2  1du dx  2udu  2 1 u3  u   c   3    1 x  2 1 x  c 2 3 3 2  1  x  1  x  2 1  x  c  3 1 2   v  sin 5 x cos xdx   u 5 du u  sin x x  , u  sin 3 3  3 2 3 du  cos xdx 3 u 2   x , u  sin 2 2 u 1
  • 47.
    x 1 u2 iv  dx    2udu x  1 u2  u  1 x 1 x u  2  u 2  1du dx  2udu  2 1 u3  u   c   3    1 x  2 1 x  c 2 3 3 2  1  x  1  x  2 1  x  c  3 1 2   v  sin 5 x cos xdx   u 5 du u  sin x x  , u  sin 3 3  3 2 3 du  cos xdx 3  u  3 1 61 u 2 6 2   x , u  sin 2 2 u 1
  • 48.
    x 1 u2 iv  dx    2udu x  1 u2  u  1 x 1 x u  2  u 2  1du dx  2udu  2 1 u3  u   c   3    1 x  2 1 x  c 2 3 3 2  1  x  1  x  2 1  x  c  3 1 2   v  sin 5 x cos xdx   u 5 du u  sin x x  , u  sin 3 3  3 2 3 du  cos xdx 3  u  3 1 61 u 2 6 1 6 2  3 6      1     x , u  sin 6 2 2   2   u 1 37 
  • 49.
    4 xdx vi  3 25  x 2
  • 50.
    4 xdx vi  u  25  x 2 25  x 2 3 du  2 xdx
  • 51.
    4 xdx vi  u  25  x 2 25  x 2 3 du  2 xdx x  3, u  16 x  4, u  9
  • 52.
    4 9 xdx vi  1 du   u  25  x 2 25  x 2 2 16 u 3 du  2 xdx 16 1 1   29 u du 2 x  3, u  16 x  4, u  9
  • 53.
    4 9 xdx vi  1 du   u  25  x 2 25  x 2 2 16 u 3 du  2 xdx 16 1 1   29 u du 2 x  3, u  16 x  4, u  9 1 16    u  2  9
  • 54.
    4 9 xdx vi  1 du   u  25  x 2 25  x 2 2 16 u 3 du  2 xdx 16 1 1   29 u du 2 x  3, u  16 x  4, u  9 1 16    u  2  9  16  9 1
  • 55.
    5 vii  25 x 2 dx 0
  • 56.
    5 x vii  25  x dx 2 1 x  5 sin u  u  sin 0 5 dx  5 cos udu
  • 57.
    5 x vii  25  x dx 2 x  5 sin u  u  sin 1 0 5 dx  5 cos udu x  0, u  sin 1 0 u0 x  5, u  sin 1 1  u 2
  • 58.
    5 2 x vii  25  x dx   2 25  25 sin u  5 cos udu x  5 sin u  u  sin 2 1 0 0 5 dx  5 cos udu x  0, u  sin 1 0 u0 x  5, u  sin 1 1  u 2
  • 59.
    5 2 x vii  25  x dx   25  25 sin u  5 cos udu x  5 sin u  u  sin 2 2 1 0 0 5 2 dx  5 cos udu   25 cos u  5 cos udu 2 0 x  0, u  sin 1 0  u0 2  25 cos 2 udu x  5, u  sin 1 1 0  u 2
  • 60.
    5 2 x vii  25  x dx   25  25 sin u  5 cos udu x  5 sin u  u  sin 2 2 1 0 0 5 2 dx  5 cos udu   25 cos u  5 cos udu 2 0 x  0, u  sin 1 0  u0 2  25 cos 2 udu x  5, u  sin 1 1 0   2 u 25 2   1  cos 2u du 2 0  25  1 2  u  sin 2u  2  2 0
  • 61.
    5 2 x vii  25  x dx   25  25 sin u  5 cos udu x  5 sin u  u  sin 2 2 1 0 0 5 2 dx  5 cos udu   25 cos u  5 cos udu 2 0 x  0, u  sin 1 0  u0 2  25 cos 2 udu x  5, u  sin 1 1 0   2 u 25 2   1  cos 2u du 2 0  25  1 2  u  sin 2u  2  2 0 25  1     sin   0 2 2 2  25  4
  • 62.
    5 vii  25 x 2 dx 0
  • 63.
    5 y vii  25  x 2 dx 5 y  25  x 2 0 -5 5 x
  • 64.
    5 y vii  25  x 2 dx 5 y  25  x 2 0 -5 5 x
  • 65.
    5 y vii  25  x 2 dx 5 y  25  x 2 0 1   5 2 4 25 -5 5 x  4
  • 66.
    5 y vii  25  x 2 dx 5 y  25  x 2 0 1   5 2 4 25 -5 5 x  4 Exercise 6C; 1, 2ace, 3, 4ace, 5ace etc, 6, 7 & 8ac, 11, 12 Exercise 6D; 1, 2a, 3, 4b, 5ac, 6ace etc, 7ab(i,ii) 8ab (i,iii,vi), 9ab (ii,iv,vi), 11, 13 Patel Exercise 2A ace in all NOTE: substitution is not given in Extension 2